
Contemporary Mathematics for Business & Consumers 8th Edition by Robert Brechner,Geroge Bergeman
Edition 8ISBN: 978-1305585454
Contemporary Mathematics for Business & Consumers 8th Edition by Robert Brechner,Geroge Bergeman
Edition 8ISBN: 978-1305585454 Exercise 56
Convert the following mixed numbers to improper fractions.


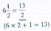
Explanation
First multiply the denominator 2 by the ...
Contemporary Mathematics for Business & Consumers 8th Edition by Robert Brechner,Geroge Bergeman
Why don’t you like this exercise?
Other Minimum 8 character and maximum 255 character
Character 255

