Deck 15: Organic Compounds and the Atomic Properties of Carbon
Question
Question
Question
Question
Question
Question
Question
Question
Question
Question
Question
Question
Question
Question
Question
Question
Question
Question
Question
Question
Question
Question
Question
Question
Question
Question
Question
Question
Question
Question
Question
Question
Question
Question
Question
Question
Question
Question
Question
Question
Question
Question
Question
Question
Question
Question
Question
Question
Question
Question
Question
Question
Question
Question
Question
Question
Question
Question
Question
Question
Question
Question
Question
Question
Question
Question
Question
Question
Question
Question
Question
Question
Question
Question
Question
Question
Question
Question
Question
Question
Unlock Deck
Sign up to unlock the cards in this deck!
Unlock Deck
Unlock Deck
1/107
Play
Full screen (f)
Deck 15: Organic Compounds and the Atomic Properties of Carbon
1
Select the correct name for the following compound. 
A) cis-2,3-dimethyl-4-hexene
B) trans-2,3-dimethyl-4-hexene
C) cis-4,5-dimethyl-2-hexene
D) trans-4,5-dimethyl-2-hexene
E) trans-4,5-dimethyl-2-heptene

A) cis-2,3-dimethyl-4-hexene
B) trans-2,3-dimethyl-4-hexene
C) cis-4,5-dimethyl-2-hexene
D) trans-4,5-dimethyl-2-hexene
E) trans-4,5-dimethyl-2-heptene
trans-4,5-dimethyl-2-hexene
2
Select the correct name for the following compound. 
A) 2,4,5-tripropylheptane
B) 6-methyl-3,4-dipropylnonane
C) 4-ethyl-5,7-dipropyloctane
D) 5-ethyl-2,4-dipropyloctane
E) 4-ethyl-7-methyl-5-propyldecane

A) 2,4,5-tripropylheptane
B) 6-methyl-3,4-dipropylnonane
C) 4-ethyl-5,7-dipropyloctane
D) 5-ethyl-2,4-dipropyloctane
E) 4-ethyl-7-methyl-5-propyldecane
4-ethyl-7-methyl-5-propyldecane
3
Select the correct name for the following compound. 
A) ortho-ethylheptylcyclopentane
B) meta-ethylheptylcyclopentane
C) 1-ethyl-2-heptylcyclopentane
D) ethylcyclopentylheptane
E) ortho-ethylheptylbenzene

A) ortho-ethylheptylcyclopentane
B) meta-ethylheptylcyclopentane
C) 1-ethyl-2-heptylcyclopentane
D) ethylcyclopentylheptane
E) ortho-ethylheptylbenzene
1-ethyl-2-heptylcyclopentane
4
Select the correct name for the following compound. 
A) 2-ethyl-4-propylcycloheptene
B) 3-ethyl-5-propylcycloheptene
C) 6-ethyl-4-propylcycloheptene
D) 7-ethyl-5-propylcycloheptene
E) 3-ethyl-5-propylcyclohexene

A) 2-ethyl-4-propylcycloheptene
B) 3-ethyl-5-propylcycloheptene
C) 6-ethyl-4-propylcycloheptene
D) 7-ethyl-5-propylcycloheptene
E) 3-ethyl-5-propylcyclohexene
Unlock Deck
Unlock for access to all 107 flashcards in this deck.
Unlock Deck
k this deck
5
Select the correct name for the following compound. 
A) 2-isopropyl-2,3,4-trimethylbutane
B) 2-isopropyl-2,3-dimethylpentane
C) 2,3,3,4-tetramethylhexane
D) 1,1,2,2,3-pentamethylpentane
E) None of these choices are correct.

A) 2-isopropyl-2,3,4-trimethylbutane
B) 2-isopropyl-2,3-dimethylpentane
C) 2,3,3,4-tetramethylhexane
D) 1,1,2,2,3-pentamethylpentane
E) None of these choices are correct.
Unlock Deck
Unlock for access to all 107 flashcards in this deck.
Unlock Deck
k this deck
6
Select the correct name for the following compound. 
A) 4-4-diethyl-2-pentyne
B) 2,2-diethyl-3-pentyne
C) 2-ethyl-2-methyl-4-hexyne
D) 4-ethyl-4-methyl-2-hexyne
E) 2-ethyl-2-methyl-4-hexene

A) 4-4-diethyl-2-pentyne
B) 2,2-diethyl-3-pentyne
C) 2-ethyl-2-methyl-4-hexyne
D) 4-ethyl-4-methyl-2-hexyne
E) 2-ethyl-2-methyl-4-hexene
Unlock Deck
Unlock for access to all 107 flashcards in this deck.
Unlock Deck
k this deck
7
Select the correct name for the following compound. 
A) cis-3-ethyl-2,6-dimethyl-6-propyl-4-nonene
B) trans-3-ethyl-2,6-dimethyl-6-propyl-4-nonene
C) cis-7-ethyl-4,8-dimethyl-4-propyl-5-nonene
D) trans-7-ethyl-4,8-dimethyl-4-propyl-5-nonene
E) None of these choices are correct.

A) cis-3-ethyl-2,6-dimethyl-6-propyl-4-nonene
B) trans-3-ethyl-2,6-dimethyl-6-propyl-4-nonene
C) cis-7-ethyl-4,8-dimethyl-4-propyl-5-nonene
D) trans-7-ethyl-4,8-dimethyl-4-propyl-5-nonene
E) None of these choices are correct.
Unlock Deck
Unlock for access to all 107 flashcards in this deck.
Unlock Deck
k this deck
8
Select the correct name for the following compound.
A)1-butyl-4-pentyl-3-propylcyclohexene
B) 1-butyl-4-pentyl-5-propylcyclohexene
C) 2-butyl-5-pentyl-6-propylcyclohexene
D) 4-butyl-1-pentyl-2-propylcyclohexene
E) 1-butyl-4-pentyl-3-propylbenzene
A)1-butyl-4-pentyl-3-propylcyclohexene
B) 1-butyl-4-pentyl-5-propylcyclohexene
C) 2-butyl-5-pentyl-6-propylcyclohexene
D) 4-butyl-1-pentyl-2-propylcyclohexene
E) 1-butyl-4-pentyl-3-propylbenzene
Unlock Deck
Unlock for access to all 107 flashcards in this deck.
Unlock Deck
k this deck
9
Select the correct name for the following compound.
A)1-ethyl-3-methylcyclohexane
B) 1-methyl-5-ethylcyclohexane
C) meta-ethylmethylcyclohexane
D) meta-ethylmethylbenzene
E) 3-ethyltoluene
A)1-ethyl-3-methylcyclohexane
B) 1-methyl-5-ethylcyclohexane
C) meta-ethylmethylcyclohexane
D) meta-ethylmethylbenzene
E) 3-ethyltoluene
Unlock Deck
Unlock for access to all 107 flashcards in this deck.
Unlock Deck
k this deck
10
Select the correct name for the following compound. 
A) 1,1-diethyl-3-butyl-3-hexene
B) 5-butyl-3-ethyl-5-octene
C) 4-butyl-6-ethyl-3-octene
D) 3-ethyl-5-propyl-5-nonene
E) 4-butyl-6-ethyl-3,4-octene

A) 1,1-diethyl-3-butyl-3-hexene
B) 5-butyl-3-ethyl-5-octene
C) 4-butyl-6-ethyl-3-octene
D) 3-ethyl-5-propyl-5-nonene
E) 4-butyl-6-ethyl-3,4-octene
Unlock Deck
Unlock for access to all 107 flashcards in this deck.
Unlock Deck
k this deck
11
Select the correct name for the following compound. 
A) cis-2-methyl-2,3-dipropyl-4-octene
B) cis-7-methyl-6,7-dipropyl-4-octene
C) cis-4,4-dimethyl-5-propyl-6-decene
D) trans-7,7-dimethyl-6-propyl-4-decene
E) cis-7,7-dimethyl-6-propyl-4-decene

A) cis-2-methyl-2,3-dipropyl-4-octene
B) cis-7-methyl-6,7-dipropyl-4-octene
C) cis-4,4-dimethyl-5-propyl-6-decene
D) trans-7,7-dimethyl-6-propyl-4-decene
E) cis-7,7-dimethyl-6-propyl-4-decene
Unlock Deck
Unlock for access to all 107 flashcards in this deck.
Unlock Deck
k this deck
12
Select the correct name for the following compound. 
A) 1,1,3-triethyl-2-methylbutane
B) 1,1-diethyl-2,3-dimethylpentane
C) 2,4-diethyl-3-methylhexane
D) 3-ethyl-4,5-dimethylheptane
E) None of these choices are correct.

A) 1,1,3-triethyl-2-methylbutane
B) 1,1-diethyl-2,3-dimethylpentane
C) 2,4-diethyl-3-methylhexane
D) 3-ethyl-4,5-dimethylheptane
E) None of these choices are correct.
Unlock Deck
Unlock for access to all 107 flashcards in this deck.
Unlock Deck
k this deck
13
Select the correct name for the following compound. 
A) 1,2-diethyl-1-methyl-3-propyl-4-isobutylhexane
B) 1,6,6-trimethyl-1,2,4-triethyl-3-propylhexane
C) 1,1,6-trimethyl-3,5,6-triethyl-4-propylhexane
D) 4,6-diethyl-2,7-dimethyl-5-propylnonane
E) 3,5-diethyl-1,1,6-trimethyl-4-propyloctane

A) 1,2-diethyl-1-methyl-3-propyl-4-isobutylhexane
B) 1,6,6-trimethyl-1,2,4-triethyl-3-propylhexane
C) 1,1,6-trimethyl-3,5,6-triethyl-4-propylhexane
D) 4,6-diethyl-2,7-dimethyl-5-propylnonane
E) 3,5-diethyl-1,1,6-trimethyl-4-propyloctane
Unlock Deck
Unlock for access to all 107 flashcards in this deck.
Unlock Deck
k this deck
14
Select the correct name for the following compound. 
A) cis-2-methyl-4-heptene
B) trans-2-methyl-4-heptene
C) cis-6-methyl-3-heptene
D) trans-6-methyl-3-heptene
E) cis-2-methyl-3-heptene

A) cis-2-methyl-4-heptene
B) trans-2-methyl-4-heptene
C) cis-6-methyl-3-heptene
D) trans-6-methyl-3-heptene
E) cis-2-methyl-3-heptene
Unlock Deck
Unlock for access to all 107 flashcards in this deck.
Unlock Deck
k this deck
15
Select the correct name for the following compound. 
A) cis-2,5-diethyl-6-methyl-3-nonene
B) 2,5-diethyl-6-methyl-3-nonene
C) cis-4,6-diethyl-3-methyl-6-nonene
D) 4,6-diethyl-3-methyl-6-nonene
E) trans-2,5-diethyl-6-methyl-3-nonene

A) cis-2,5-diethyl-6-methyl-3-nonene
B) 2,5-diethyl-6-methyl-3-nonene
C) cis-4,6-diethyl-3-methyl-6-nonene
D) 4,6-diethyl-3-methyl-6-nonene
E) trans-2,5-diethyl-6-methyl-3-nonene
Unlock Deck
Unlock for access to all 107 flashcards in this deck.
Unlock Deck
k this deck
16
Select the correct name for the following compound. 
A) 4-ethyl-1,1,5-trimethyl-2-heptyne
B) 4,5-diethyl-1,1-dimethyl-2-heptyne
C) 5-ethyl-2,6-dimethyl-3-octene
D) 3-ethyl-3,7-dimethyl-5-octyne
E) 5-ethyl-2,6-dimethyl-3-octyne

A) 4-ethyl-1,1,5-trimethyl-2-heptyne
B) 4,5-diethyl-1,1-dimethyl-2-heptyne
C) 5-ethyl-2,6-dimethyl-3-octene
D) 3-ethyl-3,7-dimethyl-5-octyne
E) 5-ethyl-2,6-dimethyl-3-octyne
Unlock Deck
Unlock for access to all 107 flashcards in this deck.
Unlock Deck
k this deck
17
Select the correct name for the following compound. 
A) 1,1-dimethyl-1-cylcopentyl-2-pentane
B) 1,1-dimethyl-2-hexene-cyclopentane
C) 2-cyclopentyl-2-methyl-3-hexene
D) 5,5-dimethyl-5-cyclopentyl-3-pentane
E) 5,5-dimethyl-5-cyclopentyl-3-pentene

A) 1,1-dimethyl-1-cylcopentyl-2-pentane
B) 1,1-dimethyl-2-hexene-cyclopentane
C) 2-cyclopentyl-2-methyl-3-hexene
D) 5,5-dimethyl-5-cyclopentyl-3-pentane
E) 5,5-dimethyl-5-cyclopentyl-3-pentene
Unlock Deck
Unlock for access to all 107 flashcards in this deck.
Unlock Deck
k this deck
18
Select the correct name for the following compound. 
A) ortho-dipropylcyclopentylhexane
B) 2,3-dipropylcyclopentylhexane
C) 2-hexyl-1,5-dipropylcyclopentane
D) 1-hexyl-2,3-dipropylcyclopentane
E) 1,2-dipropyl-3-hexylcyclopentane

A) ortho-dipropylcyclopentylhexane
B) 2,3-dipropylcyclopentylhexane
C) 2-hexyl-1,5-dipropylcyclopentane
D) 1-hexyl-2,3-dipropylcyclopentane
E) 1,2-dipropyl-3-hexylcyclopentane
Unlock Deck
Unlock for access to all 107 flashcards in this deck.
Unlock Deck
k this deck
19
Select the correct name for the following compound. 
A) 5-butyl-4,4-dimethyl-3-propyl-1-heptene
B) 5-ethyl-4-4-dimethyl-3-propyl-1-nonyne
C) 5-ethyl-6-6-dimethyl-7-propyl-8-nonyne
D) 4,6-diethyl-5-5-dimethyl-4-decyne
E) 5-ethyl-4-4-dimethyl-3-propyl-1-nonene

A) 5-butyl-4,4-dimethyl-3-propyl-1-heptene
B) 5-ethyl-4-4-dimethyl-3-propyl-1-nonyne
C) 5-ethyl-6-6-dimethyl-7-propyl-8-nonyne
D) 4,6-diethyl-5-5-dimethyl-4-decyne
E) 5-ethyl-4-4-dimethyl-3-propyl-1-nonene
Unlock Deck
Unlock for access to all 107 flashcards in this deck.
Unlock Deck
k this deck
20
Select the correct name for the following compound. 
A) 2-ethyl-3-pentene
B) 4-ethyl-2-pentene
C) 3-methyl-4-hexene
D) 4-methyl-2-hexene
E) None of these choices are correct.

A) 2-ethyl-3-pentene
B) 4-ethyl-2-pentene
C) 3-methyl-4-hexene
D) 4-methyl-2-hexene
E) None of these choices are correct.
Unlock Deck
Unlock for access to all 107 flashcards in this deck.
Unlock Deck
k this deck
21
The reaction of bromine with an alkene such as cyclopentene is a good laboratory test for the presence of a double bond in a compound. What type of reaction is it?
A) addition
B) elimination
C) substitution
D) displacement
E) reduction
A) addition
B) elimination
C) substitution
D) displacement
E) reduction
Unlock Deck
Unlock for access to all 107 flashcards in this deck.
Unlock Deck
k this deck
22
Which compound, if any, will be optically active? 
A) A
B) B
C) C
D) D
E) None of these choices are correct.

A) A
B) B
C) C
D) D
E) None of these choices are correct.
Unlock Deck
Unlock for access to all 107 flashcards in this deck.
Unlock Deck
k this deck
23
Select the correct name for the following compound. 
A) 3-ethyl-2,3-dimethyl-1-propanol
B) 2,3,4-trimethyl-1-butanol
C) 2,3-dimethyl-1-pentanol
D) 3,4-dimethyl-5-pentanol
E) 2,3-dimethyl-1-pentanal

A) 3-ethyl-2,3-dimethyl-1-propanol
B) 2,3,4-trimethyl-1-butanol
C) 2,3-dimethyl-1-pentanol
D) 3,4-dimethyl-5-pentanol
E) 2,3-dimethyl-1-pentanal
Unlock Deck
Unlock for access to all 107 flashcards in this deck.
Unlock Deck
k this deck
24
Select the correct type for the following reaction. CH3CH2CH2CH2OH + HBr → CH3CH2CH2CH2Br + H2O
A) Dehydration
B) Dehydroxylation
C) Addition
D) Elimination
E) Substitution
A) Dehydration
B) Dehydroxylation
C) Addition
D) Elimination
E) Substitution
Unlock Deck
Unlock for access to all 107 flashcards in this deck.
Unlock Deck
k this deck
25
Select the correct name for the following compound. 
A) 1-chloro-2-ethyl-3-propylcyclohexane
B) 1-chloro-2-ethyl-3-propylcyclohexene
C) 1-chloro-ortho-ethylpropylbenzene
D) 1-chloro-meta-ethylpropylbenzene
E) 1-chloro-2-ethyl-3-propylbenzene

A) 1-chloro-2-ethyl-3-propylcyclohexane
B) 1-chloro-2-ethyl-3-propylcyclohexene
C) 1-chloro-ortho-ethylpropylbenzene
D) 1-chloro-meta-ethylpropylbenzene
E) 1-chloro-2-ethyl-3-propylbenzene
Unlock Deck
Unlock for access to all 107 flashcards in this deck.
Unlock Deck
k this deck
26
What is the molecular formula of the compound 2,3-dimethyl-4-cyclopentyl-5-ethyldecane?
A) C16H34
B) C17H34
C) C18H36
D) C19H38
E) C20H40
A) C16H34
B) C17H34
C) C18H36
D) C19H38
E) C20H40
Unlock Deck
Unlock for access to all 107 flashcards in this deck.
Unlock Deck
k this deck
27
Select the correct name for the following compound. 
A) 3,4-diethyl-4-methyl-2-butanol
B) 2,3-diethyl-4-pentanol
C) 3,4-diethyl-2-pentanol
D) 3-ethyl-4-methyl-2-hexanol
E) 3-ethyl-4-methyl-2-hexanal

A) 3,4-diethyl-4-methyl-2-butanol
B) 2,3-diethyl-4-pentanol
C) 3,4-diethyl-2-pentanol
D) 3-ethyl-4-methyl-2-hexanol
E) 3-ethyl-4-methyl-2-hexanal
Unlock Deck
Unlock for access to all 107 flashcards in this deck.
Unlock Deck
k this deck
28
Select the correct name for the following compound. 
A) ortho-dibromobenzene
B) meta-dibromobenzene
C) para-dibromobenzene
D) 1,4-dibromocyclohexene
E) 1,4-dibromocyclohexane

A) ortho-dibromobenzene
B) meta-dibromobenzene
C) para-dibromobenzene
D) 1,4-dibromocyclohexene
E) 1,4-dibromocyclohexane
Unlock Deck
Unlock for access to all 107 flashcards in this deck.
Unlock Deck
k this deck
29
Select the correct reaction type for the following process.
A) addition
B) elimination
C) substitution
D) oxidation
E) reduction
A) addition
B) elimination
C) substitution
D) oxidation
E) reduction
Unlock Deck
Unlock for access to all 107 flashcards in this deck.
Unlock Deck
k this deck
30
Including cyclic compounds, how many possible isomers exist for C4H8?
A) 2
B) 4
C) 5
D) 6
E) 7
A) 2
B) 4
C) 5
D) 6
E) 7
Unlock Deck
Unlock for access to all 107 flashcards in this deck.
Unlock Deck
k this deck
31
Select the correct name for the following compound. 
A) meta-chloroethylcyclohexene
B) 1-chloro-5-ethylcyclohexene
C) meta-chloroethylbenzene
D) 1-chloro-5-ethylbenzene
E) 1-chloro-3-ethylcyclohexane

A) meta-chloroethylcyclohexene
B) 1-chloro-5-ethylcyclohexene
C) meta-chloroethylbenzene
D) 1-chloro-5-ethylbenzene
E) 1-chloro-3-ethylcyclohexane
Unlock Deck
Unlock for access to all 107 flashcards in this deck.
Unlock Deck
k this deck
32
Select the correct name for the following compound. 
A) para-bromochloro-2-ethylbenzene
B) 4-bromo-1-chloro-2-ethylbenzene
C) 5-bromo-2-chloro-1-ethylbenzene
D) 1-bromo-4-chloro-3-ethylcyclohexene
E) 4-bromo-1-chloro-2-ethylcyclohexane

A) para-bromochloro-2-ethylbenzene
B) 4-bromo-1-chloro-2-ethylbenzene
C) 5-bromo-2-chloro-1-ethylbenzene
D) 1-bromo-4-chloro-3-ethylcyclohexene
E) 4-bromo-1-chloro-2-ethylcyclohexane
Unlock Deck
Unlock for access to all 107 flashcards in this deck.
Unlock Deck
k this deck
33
Which of the following features do cyclohexene and 3-methyl-1-pentyne have in common?
A) same physical properties
B) same chemical properties
C) same boiling point
D) same molecular weight
E) same number of double bonds
A) same physical properties
B) same chemical properties
C) same boiling point
D) same molecular weight
E) same number of double bonds
Unlock Deck
Unlock for access to all 107 flashcards in this deck.
Unlock Deck
k this deck
34
Select the correct name for the following compound. 
A) 2,5-dimethyl-3-octyne-6-cyclobutane
B) 4-cyclobutyl-1-isopropyl-3-methyl-1-hexyne
C) 3-cyclobutyl-4,7-dimethyl-5-octyne
D) 6-cyclobutyl-2,5-dimethyl-3-octyne
E) 3-cyclobutyl-4,7-dimethyl-5-octene

A) 2,5-dimethyl-3-octyne-6-cyclobutane
B) 4-cyclobutyl-1-isopropyl-3-methyl-1-hexyne
C) 3-cyclobutyl-4,7-dimethyl-5-octyne
D) 6-cyclobutyl-2,5-dimethyl-3-octyne
E) 3-cyclobutyl-4,7-dimethyl-5-octene
Unlock Deck
Unlock for access to all 107 flashcards in this deck.
Unlock Deck
k this deck
35
What is the difference between 1-butyne and 1-butene?
A) 1 carbon atom
B) 1 carbon atom and 2 hydrogen atoms
C) 2 hydrogen atoms
D) 4 hydrogen atoms
E) 1 carbon atom and 4 hydrogen atoms
A) 1 carbon atom
B) 1 carbon atom and 2 hydrogen atoms
C) 2 hydrogen atoms
D) 4 hydrogen atoms
E) 1 carbon atom and 4 hydrogen atoms
Unlock Deck
Unlock for access to all 107 flashcards in this deck.
Unlock Deck
k this deck
36
Benzene will react with chloromethane in the presence of a catalyst to produce toluene and hydrogen chloride. Select the correct reaction type for the process. 
A) addition
B) elimination
C) substitution
D) oxidation
E) reduction

A) addition
B) elimination
C) substitution
D) oxidation
E) reduction
Unlock Deck
Unlock for access to all 107 flashcards in this deck.
Unlock Deck
k this deck
37
Alcohols undergo a variety of reactions. Which one of the following reactions is not undergone by the alcohol functional group?
A) Substitution
B) Addition
C) Dehydration
D) oxidation to form a ketone
E) oxidation to form an aldehyde or a carboxylic acid
A) Substitution
B) Addition
C) Dehydration
D) oxidation to form a ketone
E) oxidation to form an aldehyde or a carboxylic acid
Unlock Deck
Unlock for access to all 107 flashcards in this deck.
Unlock Deck
k this deck
38
Which compound, if any, will not be optically active? 
A) A
B) B
C) C
D) D
E) They are all optically active.

A) A
B) B
C) C
D) D
E) They are all optically active.
Unlock Deck
Unlock for access to all 107 flashcards in this deck.
Unlock Deck
k this deck
39
Excluding cyclic compounds, how many possible isomers exist for C4H8?
A) 2
B) 4
C) 5
D) 6
E) 7
A) 2
B) 4
C) 5
D) 6
E) 7
Unlock Deck
Unlock for access to all 107 flashcards in this deck.
Unlock Deck
k this deck
40
Select the correct name for the following compound.
A)ortho-butylethylbenzene
B) meta-butylethylbenzene
C) para-butylethylbenzene
D) 1-butyl-2-ethylcyclohexene
E) 1-butyl-2-ethylcyclohexane
A)ortho-butylethylbenzene
B) meta-butylethylbenzene
C) para-butylethylbenzene
D) 1-butyl-2-ethylcyclohexene
E) 1-butyl-2-ethylcyclohexane
Unlock Deck
Unlock for access to all 107 flashcards in this deck.
Unlock Deck
k this deck
41
Select the correct type for the following reaction. 
A) addition
B) elimination
C) substitution
D) oxidation
E) dehydrogenation

A) addition
B) elimination
C) substitution
D) oxidation
E) dehydrogenation
Unlock Deck
Unlock for access to all 107 flashcards in this deck.
Unlock Deck
k this deck
42
One source of a musky odor in perfumes is civetone, a compound extracted from the scent gland of the civet cat. Identify the functional group circled. 
A) aldehyde
B) ketone
C) alcohol
D) carboxylic acid
E) oxide

A) aldehyde
B) ketone
C) alcohol
D) carboxylic acid
E) oxide
Unlock Deck
Unlock for access to all 107 flashcards in this deck.
Unlock Deck
k this deck
43
Select the correct type for the following reaction.
b
A) addition
B) elimination
C) substitution
D) oxidation
E) reduction
bA) addition
B) elimination
C) substitution
D) oxidation
E) reduction
Unlock Deck
Unlock for access to all 107 flashcards in this deck.
Unlock Deck
k this deck
44
Aspirin is an effective and widely used pain reliever. Identify the functional group circled. 
A) aldehyde
B) ketone
C) ester
D) carboxylic acid
E) carbonyl

A) aldehyde
B) ketone
C) ester
D) carboxylic acid
E) carbonyl
Unlock Deck
Unlock for access to all 107 flashcards in this deck.
Unlock Deck
k this deck
45
Glucose is an important sugar in a person's metabolic cycle. Identify the functional group circled.
A) aldehyde
B) ketone
C) alcohol
D) ester
E) carboxylic acid
A) aldehyde
B) ketone
C) alcohol
D) ester
E) carboxylic acid
Unlock Deck
Unlock for access to all 107 flashcards in this deck.
Unlock Deck
k this deck
46
Glycerin is used in cosmetics as a moisturizer. Identify the functional group circled. 
A) carboxylic acid
B) alcohol
C) ester
D) ether
E) aldehyde

A) carboxylic acid
B) alcohol
C) ester
D) ether
E) aldehyde
Unlock Deck
Unlock for access to all 107 flashcards in this deck.
Unlock Deck
k this deck
47
Urea carries waste nitrogen from the body in urine. Identify the functional group circled. 
A) aldehyde
B) alcohol
C) carboxyl
D) amine
E) amide

A) aldehyde
B) alcohol
C) carboxyl
D) amine
E) amide
Unlock Deck
Unlock for access to all 107 flashcards in this deck.
Unlock Deck
k this deck
48
Acetaminophen is a widely used and an effective pain reliever. Identify the functional group circled. 
A) aldehyde
B) alcohol
C) amide
D) amine
E) carbonyl

A) aldehyde
B) alcohol
C) amide
D) amine
E) carbonyl
Unlock Deck
Unlock for access to all 107 flashcards in this deck.
Unlock Deck
k this deck
49
The millipede ejects the compound shown below to protect itself from its enemies. Identify the functional group circled.
A) nitrile
B) alcohol
C) amide
D) amine
E) nitro
A) nitrile
B) alcohol
C) amide
D) amine
E) nitro
Unlock Deck
Unlock for access to all 107 flashcards in this deck.
Unlock Deck
k this deck
50
Serotonin transmits nerve impulses through the body. Identify the functional group circled. 
A) aldehyde
B) alcohol
C) amide
D) amine
E) nitride

A) aldehyde
B) alcohol
C) amide
D) amine
E) nitride
Unlock Deck
Unlock for access to all 107 flashcards in this deck.
Unlock Deck
k this deck
51
The compound shown below is responsible for the odor in rancid butter. Identify the functional group circled. 
A) aldehyde
B) ketone
C) alcohol
D) carboxylic acid
E) carbonyl

A) aldehyde
B) ketone
C) alcohol
D) carboxylic acid
E) carbonyl
Unlock Deck
Unlock for access to all 107 flashcards in this deck.
Unlock Deck
k this deck
52
Select the correct type for the following reaction. 
A) addition
B) elimination
C) carbonylation
D) dehydration
E) oxidation

A) addition
B) elimination
C) carbonylation
D) dehydration
E) oxidation
Unlock Deck
Unlock for access to all 107 flashcards in this deck.
Unlock Deck
k this deck
53
Anethole, a derivative of anise, is used in flavoring and as perfume in soap and toothpaste. Identify the functional group circled. 
A) aldehyde
B) ketone
C) alcohol
D) ester
E) ether

A) aldehyde
B) ketone
C) alcohol
D) ester
E) ether
Unlock Deck
Unlock for access to all 107 flashcards in this deck.
Unlock Deck
k this deck
54
Testosterone is a male hormone. Identify the functional group circled. 
A) aldehyde
B) ketone
C) alcohol
D) ester
E) carboxyl

A) aldehyde
B) ketone
C) alcohol
D) ester
E) carboxyl
Unlock Deck
Unlock for access to all 107 flashcards in this deck.
Unlock Deck
k this deck
55
Putrescine is produced during the decay and protein breakdown of meats and is responsible for some of the odor found in them. Identify the functional group circled. 
A) aldehyde
B) ketone
C) amide
D) nitrile
E) amine

A) aldehyde
B) ketone
C) amide
D) nitrile
E) amine
Unlock Deck
Unlock for access to all 107 flashcards in this deck.
Unlock Deck
k this deck
56
Vanillin is a flavoring agent which occurs naturally in the vanilla bean, the seed of an orchid. Identify the functional group circled.
A) aldehyde
B) ketone
C) alcohol
D) carboxylic acid
E) carbonyl
A) aldehyde
B) ketone
C) alcohol
D) carboxylic acid
E) carbonyl
Unlock Deck
Unlock for access to all 107 flashcards in this deck.
Unlock Deck
k this deck
57
Identify the functional group circled. 
A) aldehyde
B) ketone
C) alcohol
D) ester
E) carboxylic acid

A) aldehyde
B) ketone
C) alcohol
D) ester
E) carboxylic acid
Unlock Deck
Unlock for access to all 107 flashcards in this deck.
Unlock Deck
k this deck
58
2-chloro-2,3-dimethylbutane will react with potassium hydroxide dissolved in alcohol to produce 2,3-dimethyl-2-butene. What type of reaction is this? 
A) addition
B) elimination
C) substitution
D) oxidation
E) displacement

A) addition
B) elimination
C) substitution
D) oxidation
E) displacement
Unlock Deck
Unlock for access to all 107 flashcards in this deck.
Unlock Deck
k this deck
59
Benzocaine is from a family of chemicals that are good local anesthetics. Identify the functional group circled. 
A) aldehyde
B) ketone
C) ester
D) carboxylic acid
E) carbonyl

A) aldehyde
B) ketone
C) ester
D) carboxylic acid
E) carbonyl
Unlock Deck
Unlock for access to all 107 flashcards in this deck.
Unlock Deck
k this deck
60
Enflurane is an effective gaseous anesthetic with relatively low flammability. Identify the functional group circled. 
A) aldehyde
B) ketone
C) ester
D) ether
E) alcohol

A) aldehyde
B) ketone
C) ester
D) ether
E) alcohol
Unlock Deck
Unlock for access to all 107 flashcards in this deck.
Unlock Deck
k this deck
61
Dacron is a ___________ compound and is produced by a __________ reaction.
A) polyamide; addition
B) polyamide; condensation
C) polyester; addition
D) polyester; condensation
E) polyene; addition
A) polyamide; addition
B) polyamide; condensation
C) polyester; addition
D) polyester; condensation
E) polyene; addition
Unlock Deck
Unlock for access to all 107 flashcards in this deck.
Unlock Deck
k this deck
62
Identify the organic product when 3-cylcobutyl-1-propanol reacts with excess potassium dichromate in sulfuric acid. 
A) A
B) B
C) C
D) D
E) None of these choices are correct.

A) A
B) B
C) C
D) D
E) None of these choices are correct.
Unlock Deck
Unlock for access to all 107 flashcards in this deck.
Unlock Deck
k this deck
63
Which one of the following classes of organic compound does not contain the carbonyl (C=O) group?
A) aldehydes
B) carboxylic acids
C) ketones
D) alcohols
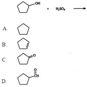
E) esters
A) aldehydes
B) carboxylic acids
C) ketones
D) alcohols
E) esters
Unlock Deck
Unlock for access to all 107 flashcards in this deck.
Unlock Deck
k this deck
64
Identify the principal organic products for the following reaction. 
A) A
B) B
C) C
D) D
E) None of these choices are correct.

A) A
B) B
C) C
D) D
E) None of these choices are correct.
Unlock Deck
Unlock for access to all 107 flashcards in this deck.
Unlock Deck
k this deck
65
Identify the organic product when cyclohexanol reacts with excess potassium dichromate in the presence of sulfuric acid. 
A) A
B) B
C) C
D) D
E) None of these choices are correct.

A) A
B) B
C) C
D) D
E) None of these choices are correct.
Unlock Deck
Unlock for access to all 107 flashcards in this deck.
Unlock Deck
k this deck
66
Identify the products of the following reaction. 
A) A
B) B
C) C
D) D
E) None of these choices are correct.

A) A
B) B
C) C
D) D
E) None of these choices are correct.
Unlock Deck
Unlock for access to all 107 flashcards in this deck.
Unlock Deck
k this deck
67
Identify the products of the reaction of 3-octene with chlorine.
A)
B)
C)
D)
E)
A)

B)

C)

D)

E)

Unlock Deck
Unlock for access to all 107 flashcards in this deck.
Unlock Deck
k this deck
68
Which of the following polymers is a condensation polymer?
A) Polystyrene
B) Teflon®
C) polyvinylchloride
D) polypropylene
E) Dacron®
A) Polystyrene
B) Teflon®
C) polyvinylchloride
D) polypropylene
E) Dacron®
Unlock Deck
Unlock for access to all 107 flashcards in this deck.
Unlock Deck
k this deck
69
Identify the organic product for the reaction of 2-pentanol with sulfuric acid. 
A) A
B) B
C) C
D) D
E) None of these choices are correct.

A) A
B) B
C) C
D) D
E) None of these choices are correct.
Unlock Deck
Unlock for access to all 107 flashcards in this deck.
Unlock Deck
k this deck
70
The most abundant organic chemical on earth is
A) glycogen.
B) starch.
C) cellulose.
D) glucose.
E) carbonate.
A) glycogen.
B) starch.
C) cellulose.
D) glucose.
E) carbonate.
Unlock Deck
Unlock for access to all 107 flashcards in this deck.
Unlock Deck
k this deck
71
Identify the products of the reaction between 2-bromopentane and potassium ethoxide. 
A) A
B) B
C) C
D) D
E) None of these choices are correct.

A) A
B) B
C) C
D) D
E) None of these choices are correct.
Unlock Deck
Unlock for access to all 107 flashcards in this deck.
Unlock Deck
k this deck
72
Each amino acid has two functional groups in common and one of 20 other groups attached to the α-carbon. The two functional groups are
A) carboxyl and amine.
B) ester and amine.
C) carboxyl and amide.
D) alcohol and amine.
E) carboxyl and peptide.
A) carboxyl and amine.
B) ester and amine.
C) carboxyl and amide.
D) alcohol and amine.
E) carboxyl and peptide.
Unlock Deck
Unlock for access to all 107 flashcards in this deck.
Unlock Deck
k this deck
73
One characteristic of the monomers that form condensation polymers that is not common in monomers which form addition polymers is
A) the presence of pi bonds.
B) the presence of two functional groups.
C) the presence of alkyl side chains.
D) the ability to form free radicals.
E) the presence of sulfur atoms.
A) the presence of pi bonds.
B) the presence of two functional groups.
C) the presence of alkyl side chains.
D) the ability to form free radicals.
E) the presence of sulfur atoms.
Unlock Deck
Unlock for access to all 107 flashcards in this deck.
Unlock Deck
k this deck
74
Identify the two principal products of the reaction between ammonia and ethyl propionate. 
A) A
B) B
C) C
D) D
E) None of these choices are correct.

A) A
B) B
C) C
D) D
E) None of these choices are correct.
Unlock Deck
Unlock for access to all 107 flashcards in this deck.
Unlock Deck
k this deck
75
Nylon-type compounds are prepared by the reaction of
A) a diol with a diacid.
B) an alcohol with a diacid.
C) a diamine with a diacid.
D) an amine with a diacid.
E) a diamine with an acid.
A) a diol with a diacid.
B) an alcohol with a diacid.
C) a diamine with a diacid.
D) an amine with a diacid.
E) a diamine with an acid.
Unlock Deck
Unlock for access to all 107 flashcards in this deck.
Unlock Deck
k this deck
76
Identify the products for the reaction between cycloheptene and bromine.

A) A
B) B
C) C
D) D
E) None of these choices are correct.

A) A
B) B
C) C
D) D
E) None of these choices are correct.
Unlock Deck
Unlock for access to all 107 flashcards in this deck.
Unlock Deck
k this deck
77
Amygdalin (Laetrile) was once touted for its potential anticancer activity. However, the claims were never scientifically verified. Identify the functional group circled. 
A) carbonite
B) ether
C) amide
D) amine
E) nitrile

A) carbonite
B) ether
C) amide
D) amine
E) nitrile
Unlock Deck
Unlock for access to all 107 flashcards in this deck.
Unlock Deck
k this deck
78
Identify the principal organic product of the reaction between butane and chlorine. 
A) CH3Cl
B) CH3CH2Cl
C) CH3CHClCH3
D) CH3CH2CHClCH3
E) None of these choices are correct.

A) CH3Cl
B) CH3CH2Cl
C) CH3CHClCH3
D) CH3CH2CHClCH3
E) None of these choices are correct.
Unlock Deck
Unlock for access to all 107 flashcards in this deck.
Unlock Deck
k this deck
79
Identify the organic product when cyclopentanol reacts with sulfuric acid. 
A) A
B) B
C) C
D) D
E) None of these choices are correct.

A) A
B) B
C) C
D) D
E) None of these choices are correct.
Unlock Deck
Unlock for access to all 107 flashcards in this deck.
Unlock Deck
k this deck
80
Identify the principal organic product when benzyl chloride reacts with aqueous sodium hydroxide.
A) A
B) B
C) C
D) D
E) None of these choices are correct.
A) A
B) B
C) C
D) D
E) None of these choices are correct.
Unlock Deck
Unlock for access to all 107 flashcards in this deck.
Unlock Deck
k this deck

