Deck 7: Alkynes
Question
Question
Question
Question
Question
Question
Question
Question
Question
Question
Question
Question
Question
Question
Question
Question
Question
Question
Question
Question
Question
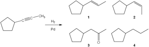
Question
Question
Question
Question
Question
Question
Question
Question
Question
Question
Question
Question
Question
Question
Question
Question
Question
Question
Question
Question
Question
Question
Question
Question
Question
Question
Question
Question
Question
Question
Question
Question
Question
Question
Question
Question
Question
Question
Question
Question
Question
Question
Question
Question
Question
Question
Question
Question
Question
Question
Question
Question
Question
Question
Question
Question
Question
Question
Question
Unlock Deck
Sign up to unlock the cards in this deck!
Unlock Deck
Unlock Deck
1/100
Play
Full screen (f)
Deck 7: Alkynes
1
What is the major organic product obtained from the following reaction?
A) (E) 2-butene
B) (Z) 2-butene
C) 2-butyne
D) 1-butyne
A) (E) 2-butene
B) (Z) 2-butene
C) 2-butyne
D) 1-butyne
2-butyne
2
Which of the following is the strongest acid?
A) propane
B) cyclopropane
C) propene
D) propyne
A) propane
B) cyclopropane
C) propene
D) propyne
propyne
3
What is the IUPAC name of the following compound? (CH3)2CHCH2−C≡C−CH(CH3)2
A) 2,6-dimethyl-3-heptyne
B) 2,6-dimethyl-4-heptyne
C) 1,1,5,5-tetramethyl-2-pentyne
D) 4-nonyne
A) 2,6-dimethyl-3-heptyne
B) 2,6-dimethyl-4-heptyne
C) 1,1,5,5-tetramethyl-2-pentyne
D) 4-nonyne
2,6-dimethyl-3-heptyne
4
Approximately how long is a carbon-carbon triple bond of an alkyne?
A) 110 pm
B) 121 pm
C) 135 pm
D) 156 pm
A) 110 pm
B) 121 pm
C) 135 pm
D) 156 pm
Unlock Deck
Unlock for access to all 100 flashcards in this deck.
Unlock Deck
k this deck
5
What is the approximate C−C−C bond angle in propyne?
A) 90°
B) 109°
C) 120°
D) 180°
A) 90°
B) 109°
C) 120°
D) 180°
Unlock Deck
Unlock for access to all 100 flashcards in this deck.
Unlock Deck
k this deck
6
What is the IUPAC name of the following compound? 
A) (R)-4-methyl-2-hexyne
B) (S)-4-methyl-2-hexyne
C) (R)-3-methyl-4-hexyne
D) (S)-3-methyl-4-hexyne

A) (R)-4-methyl-2-hexyne
B) (S)-4-methyl-2-hexyne
C) (R)-3-methyl-4-hexyne
D) (S)-3-methyl-4-hexyne
Unlock Deck
Unlock for access to all 100 flashcards in this deck.
Unlock Deck
k this deck
7
Which atomic orbitals overlap to form the carbon-carbon triple bond of an alkyne?
A) 2s + 2s; sp + sp; 2p + 2p
B) sp + sp; sp + sp; 2p + 2p
C) sp + sp; 2p + 2p; 2p + 2p
D) sp2 + sp2; sp + sp; 2p + 2p
A) 2s + 2s; sp + sp; 2p + 2p
B) sp + sp; sp + sp; 2p + 2p
C) sp + sp; 2p + 2p; 2p + 2p
D) sp2 + sp2; sp + sp; 2p + 2p
Unlock Deck
Unlock for access to all 100 flashcards in this deck.
Unlock Deck
k this deck
8
Which of the following has the lowest pKa?
A) butane
B) 1-butene
C) 1-butyne
D) 2-butyne
A) butane
B) 1-butene
C) 1-butyne
D) 2-butyne
Unlock Deck
Unlock for access to all 100 flashcards in this deck.
Unlock Deck
k this deck
9
What is the major organic product obtained from the following reaction? 
A) cyclohexyne
B) 1,3-cyclohexadiene
C) cyclohexene
D) 1,2-diaminocyclohexane

A) cyclohexyne
B) 1,3-cyclohexadiene
C) cyclohexene
D) 1,2-diaminocyclohexane
Unlock Deck
Unlock for access to all 100 flashcards in this deck.
Unlock Deck
k this deck
10
What is the correct assignment of the acid, base, conjugate acid and conjugate base in the following equilibrium? 
A) 1 = acid; 2 = base; 3 = conjugate acid; 4 = conjugate base
B) 1 = acid; 2 = base; 3 = conjugate base; 4 = conjugate acid
C) 1 = base; 2 = acid; 3 = conjugate acid; 4 = conjugate base
D) 1 = base; 2 = acid; 3 = conjugate base; 4 = conjugate acid

A) 1 = acid; 2 = base; 3 = conjugate acid; 4 = conjugate base
B) 1 = acid; 2 = base; 3 = conjugate base; 4 = conjugate acid
C) 1 = base; 2 = acid; 3 = conjugate acid; 4 = conjugate base
D) 1 = base; 2 = acid; 3 = conjugate base; 4 = conjugate acid
Unlock Deck
Unlock for access to all 100 flashcards in this deck.
Unlock Deck
k this deck
11
What is the IUPAC name of the following compound? CH3CH2CH2−C≡C−CH(CH3)2
A) 1-isopropyl-1-pentyne
B) 2-methyl-3-heptyne
C) 6-methyl-4-heptyne
D) isopropyl propyl ethyne
A) 1-isopropyl-1-pentyne
B) 2-methyl-3-heptyne
C) 6-methyl-4-heptyne
D) isopropyl propyl ethyne
Unlock Deck
Unlock for access to all 100 flashcards in this deck.
Unlock Deck
k this deck
12
How many terminal alkynes are there with the molecular formula C7H12?
A) 5
B) 7
C) 8
D) 9
A) 5
B) 7
C) 8
D) 9
Unlock Deck
Unlock for access to all 100 flashcards in this deck.
Unlock Deck
k this deck
13
What is the smallest cycloalkyne that is stable at room temperature?
A) cyclohexyne
B) cyclononyne
C) cyclododecyne
D) cycloeicosyne
A) cyclohexyne
B) cyclononyne
C) cyclododecyne
D) cycloeicosyne
Unlock Deck
Unlock for access to all 100 flashcards in this deck.
Unlock Deck
k this deck
14
What is the IUPAC name for the following compound? 
A) (R)-3-methyl-1-penten-4-yne
B) (S)-3-methyl-1-penten-4-yne
C) (R)-4-methyl-4-penten-1-yne
D) (S)-4-methyl-4-penten-1-yne

A) (R)-3-methyl-1-penten-4-yne
B) (S)-3-methyl-1-penten-4-yne
C) (R)-4-methyl-4-penten-1-yne
D) (S)-4-methyl-4-penten-1-yne
Unlock Deck
Unlock for access to all 100 flashcards in this deck.
Unlock Deck
k this deck
15
What is the IUPAC name of the following compound? 
A) 3,4-dimethyl-1-hexen-5-yne
B) 4-ethynyl-2-vinylbutane
C) 3-methyl-4-vinyl-1-pentyne
D) 4-ethynyl-3-methyl-1-pentyne

A) 3,4-dimethyl-1-hexen-5-yne
B) 4-ethynyl-2-vinylbutane
C) 3-methyl-4-vinyl-1-pentyne
D) 4-ethynyl-3-methyl-1-pentyne
Unlock Deck
Unlock for access to all 100 flashcards in this deck.
Unlock Deck
k this deck
16
Which sequence of reactions can be used to convert (Z) 2-pentene to 2-pentyne
A) Treatment with Br2; followed by treatment with NaNH2
B) Treatment with Br2, H2O; followed by treatment with NaOH
C) Treatment with Br2; followed by treatment with H2SO4
D) Treatment with HBr; followed by treatment with NaOH
A) Treatment with Br2; followed by treatment with NaNH2
B) Treatment with Br2, H2O; followed by treatment with NaOH
C) Treatment with Br2; followed by treatment with H2SO4
D) Treatment with HBr; followed by treatment with NaOH
Unlock Deck
Unlock for access to all 100 flashcards in this deck.
Unlock Deck
k this deck
17
Which sequence of reactions can be used to convert 1-pentene to 1-pentyne
A) Treatment with HBr; followed by treatment with NaOH
B) Treatment with Br2; followed by treatment with NaNH2
C) Treatment with Br2; followed by treatment with H2SO4
D) Treatment with Br2, H2O; followed by treatment with NaOH
A) Treatment with HBr; followed by treatment with NaOH
B) Treatment with Br2; followed by treatment with NaNH2
C) Treatment with Br2; followed by treatment with H2SO4
D) Treatment with Br2, H2O; followed by treatment with NaOH
Unlock Deck
Unlock for access to all 100 flashcards in this deck.
Unlock Deck
k this deck
18
What is the IUPAC name of the following compound 
A) vinylcyclohexane
B) allylcyclohexane
C) ethynylcyclohexane
D) acetylcyclohexane

A) vinylcyclohexane
B) allylcyclohexane
C) ethynylcyclohexane
D) acetylcyclohexane
Unlock Deck
Unlock for access to all 100 flashcards in this deck.
Unlock Deck
k this deck
19
How many alkynes are there with the molecular formula C6H10?
A) 4
B) 5
C) 6
D) 7
A) 4
B) 5
C) 6
D) 7
Unlock Deck
Unlock for access to all 100 flashcards in this deck.
Unlock Deck
k this deck
20
Which atomic orbitals overlap to form the carbon-carbon single bond of 1-propyne?
A) 2s + sp
B) sp + sp2
C) sp + sp3
D) sp2 + sp3
A) 2s + sp
B) sp + sp2
C) sp + sp3
D) sp2 + sp3
Unlock Deck
Unlock for access to all 100 flashcards in this deck.
Unlock Deck
k this deck
21
What is the major organic product obtained from the following reaction?
A) 2,3-dibromobutane
B) 2,2,3,3-tetrabromobutane
C) 2,3-dibromobutene
D) 2,2-dibromobutane
A) 2,3-dibromobutane
B) 2,2,3,3-tetrabromobutane
C) 2,3-dibromobutene
D) 2,2-dibromobutane
Unlock Deck
Unlock for access to all 100 flashcards in this deck.
Unlock Deck
k this deck
22
What is the major organic product obtained from the following reaction? 
A) 1
B) 2
C) 3
D) 4

A) 1
B) 2
C) 3
D) 4
Unlock Deck
Unlock for access to all 100 flashcards in this deck.
Unlock Deck
k this deck
23
What is the major organic product obtained from the following reaction? 
A) 1
B) 2
C) 3
D) 4

A) 1
B) 2
C) 3
D) 4
Unlock Deck
Unlock for access to all 100 flashcards in this deck.
Unlock Deck
k this deck
24
What is the major organic product obtained from the following reaction? 
A) 1
B) 2
C) 3
D) 4

A) 1
B) 2
C) 3
D) 4
Unlock Deck
Unlock for access to all 100 flashcards in this deck.
Unlock Deck
k this deck
25
What is the major organic product obtained from the following reaction? 
A) (E) 3,4-dibromohexene
B) (Z) 3,4-dibromohexene
C) (E) 2,3-dibromohexene
D) (Z) 2,3-dibromobutene

A) (E) 3,4-dibromohexene
B) (Z) 3,4-dibromohexene
C) (E) 2,3-dibromohexene
D) (Z) 2,3-dibromobutene
Unlock Deck
Unlock for access to all 100 flashcards in this deck.
Unlock Deck
k this deck
26
What is the major organic product obtained from the following reaction? 
A) 1
B) 2
C) 3
D) 4

A) 1
B) 2
C) 3
D) 4
Unlock Deck
Unlock for access to all 100 flashcards in this deck.
Unlock Deck
k this deck
27
What is the major organic product obtained from the following reaction?
A) 3,4-dibromohexane
B) 3,3-dibromohexane
C) (Z) 3,4-dibromohexene
D) 3,3,4,4-tetrabromohexane
A) 3,4-dibromohexane
B) 3,3-dibromohexane
C) (Z) 3,4-dibromohexene
D) 3,3,4,4-tetrabromohexane
Unlock Deck
Unlock for access to all 100 flashcards in this deck.
Unlock Deck
k this deck
28
What type of intermediate is formed in the Hg2+ catalyzed hydration of an alkyne??
A) an alcohol
B) an enol
C) a 1,2-diene
D) an epoxide
A) an alcohol
B) an enol
C) a 1,2-diene
D) an epoxide
Unlock Deck
Unlock for access to all 100 flashcards in this deck.
Unlock Deck
k this deck
29
What is the major organic product obtained from the following reaction? 
A) butanal
B) cis-2-butene
C) 2-butanol
D) butanone

A) butanal
B) cis-2-butene
C) 2-butanol
D) butanone
Unlock Deck
Unlock for access to all 100 flashcards in this deck.
Unlock Deck
k this deck
30
What is the major organic product obtained from the following reaction? 
A) butanal
B) cis-2-butene
C) 2-butanol
D) butanone

A) butanal
B) cis-2-butene
C) 2-butanol
D) butanone
Unlock Deck
Unlock for access to all 100 flashcards in this deck.
Unlock Deck
k this deck
31
What is the major organic product obtained from the following reaction?
A) 2,3-dibromobutane
B) 2,2,3,3-tetrabromobutane
C) 2,3-dibromobutene
D) 2,2-dibromobutane
A) 2,3-dibromobutane
B) 2,2,3,3-tetrabromobutane
C) 2,3-dibromobutene
D) 2,2-dibromobutane
Unlock Deck
Unlock for access to all 100 flashcards in this deck.
Unlock Deck
k this deck
32
What is the major organic product obtained from the following reaction? 
A) (E) 1,2-dibromobutene
B) (Z) 1,2-dibromobutene
C) (E) 2,3-dibromobutene
D) (Z) 2,3-dibromobutene

A) (E) 1,2-dibromobutene
B) (Z) 1,2-dibromobutene
C) (E) 2,3-dibromobutene
D) (Z) 2,3-dibromobutene
Unlock Deck
Unlock for access to all 100 flashcards in this deck.
Unlock Deck
k this deck
33
What is the major organic product obtained from the following reaction? 
A) 1
B) 2
C) 3
D) 4

A) 1
B) 2
C) 3
D) 4
Unlock Deck
Unlock for access to all 100 flashcards in this deck.
Unlock Deck
k this deck
34
What is the major organic product obtained from the following reaction? 
A) 1
B) 2
C) 3
D) 4

A) 1
B) 2
C) 3
D) 4
Unlock Deck
Unlock for access to all 100 flashcards in this deck.
Unlock Deck
k this deck
35
What is the major organic product obtained from the following reaction? 
A) 2-hexanone
B) hexanal
C) 2-hexanol
D) cis-2-hexene

A) 2-hexanone
B) hexanal
C) 2-hexanol
D) cis-2-hexene
Unlock Deck
Unlock for access to all 100 flashcards in this deck.
Unlock Deck
k this deck
36
What is the major organic product obtained from the following reaction? 
A) 1-methyl-4-nonyne
B) 2-methyl-4-nonyne
C) 2-methyl-3-nonyne
D) 3-methyl-4-nonyne

A) 1-methyl-4-nonyne
B) 2-methyl-4-nonyne
C) 2-methyl-3-nonyne
D) 3-methyl-4-nonyne
Unlock Deck
Unlock for access to all 100 flashcards in this deck.
Unlock Deck
k this deck
37
What is the major organic product obtained from the following reaction? 
A) 1
B) 2
C) 3
D) 4

A) 1
B) 2
C) 3
D) 4
Unlock Deck
Unlock for access to all 100 flashcards in this deck.
Unlock Deck
k this deck
38
What is the major organic product obtained from the following reaction?
A) 2-methyl-3-hexene
B) 2-methyl-3-heptyne
C) 2-bromo-3-methylbutane
D) 2-methyl-2-butene
A) 2-methyl-3-hexene
B) 2-methyl-3-heptyne
C) 2-bromo-3-methylbutane
D) 2-methyl-2-butene
Unlock Deck
Unlock for access to all 100 flashcards in this deck.
Unlock Deck
k this deck
39
What is the major organic product obtained from the following reaction? 
A) 2-hexanone
B) hexanal
C) 2-hexanol
D) cis-2-hexene

A) 2-hexanone
B) hexanal
C) 2-hexanol
D) cis-2-hexene
Unlock Deck
Unlock for access to all 100 flashcards in this deck.
Unlock Deck
k this deck
40
What is the major organic product obtained from the following reaction?
A) 3,4-dibromohexane
B) 3,3-dibromohexane
C) (E) 3,4-dibromohexene
D) 3,3,4,4-tetrabromohexane
A) 3,4-dibromohexane
B) 3,3-dibromohexane
C) (E) 3,4-dibromohexene
D) 3,3,4,4-tetrabromohexane
Unlock Deck
Unlock for access to all 100 flashcards in this deck.
Unlock Deck
k this deck
41
What is the major organic product obtained from the following reaction? 
A) 1
B) 2
C) 3
D) 4

A) 1
B) 2
C) 3
D) 4
Unlock Deck
Unlock for access to all 100 flashcards in this deck.
Unlock Deck
k this deck
42
What is the major organic product obtained from the following series of reactions? 
A) propanal, CH3CH2CHO
B) 1-propanol, CH3CH2CH2OH
C) butanal, CH3CH2CH2CHO
D) butanone, CH3COCH2CH3

A) propanal, CH3CH2CHO
B) 1-propanol, CH3CH2CH2OH
C) butanal, CH3CH2CH2CHO
D) butanone, CH3COCH2CH3
Unlock Deck
Unlock for access to all 100 flashcards in this deck.
Unlock Deck
k this deck
43
What is the best choice of reagent(s) to perform the following transformation? 
A) H2/Pt
B) H2/Lindlar catalyst
C) Na/NH3
D) BH3; followed by H2O2, NaOH

A) H2/Pt
B) H2/Lindlar catalyst
C) Na/NH3
D) BH3; followed by H2O2, NaOH
Unlock Deck
Unlock for access to all 100 flashcards in this deck.
Unlock Deck
k this deck
44
What is the major organic product obtained from the following series of reactions? 
A) (Z)-2-heptene
B) (Z)-1,5-heptene
C) 1-heptene
D) heptane

A) (Z)-2-heptene
B) (Z)-1,5-heptene
C) 1-heptene
D) heptane
Unlock Deck
Unlock for access to all 100 flashcards in this deck.
Unlock Deck
k this deck
45
What is the major organic product obtained from the following series of reactions? 
A) (E)-5-phenyl-2-pentene
B) 6-phenyl-1-hexene
C) (Z)-6-phenyl-2-hexene
D) (E)-6-methyl-3-heptene

A) (E)-5-phenyl-2-pentene
B) 6-phenyl-1-hexene
C) (Z)-6-phenyl-2-hexene
D) (E)-6-methyl-3-heptene
Unlock Deck
Unlock for access to all 100 flashcards in this deck.
Unlock Deck
k this deck
46
What is the major organic product obtained from the following reaction? 
A) 1
B) 2
C) 3
D) 4

A) 1
B) 2
C) 3
D) 4
Unlock Deck
Unlock for access to all 100 flashcards in this deck.
Unlock Deck
k this deck
47
The triple bond in ethyne is made up of two π bonds, each formed by lateral overlap of two p orbitals, and a σ bond formed by end-on overlap of two sp hybrid orbitals.
Unlock Deck
Unlock for access to all 100 flashcards in this deck.
Unlock Deck
k this deck
48
What is the best choice of reagent(s) to perform the following transformation? 
A) 1 mol of Br2
B) 2 mol of Br2
C) 1 mol of HBr
D) 2 mol of HBr

A) 1 mol of Br2
B) 2 mol of Br2
C) 1 mol of HBr
D) 2 mol of HBr
Unlock Deck
Unlock for access to all 100 flashcards in this deck.
Unlock Deck
k this deck
49
What is the best choice of reagent(s) to perform the following transformation? 
A) H2/Lindlar catalyst
B) Na/NH3
C) (sia)2BH; followed by H2O2, NaOH
D) BH3; followed by H2O2, NaOH

A) H2/Lindlar catalyst
B) Na/NH3
C) (sia)2BH; followed by H2O2, NaOH
D) BH3; followed by H2O2, NaOH
Unlock Deck
Unlock for access to all 100 flashcards in this deck.
Unlock Deck
k this deck
50
What is the major organic product obtained from the following reaction? 
A) 1
B) 2
C) 3
D) 4

A) 1
B) 2
C) 3
D) 4
Unlock Deck
Unlock for access to all 100 flashcards in this deck.
Unlock Deck
k this deck
51
Which of the following reagents react with 2-butyne to form butane
A) H2/Lindlar catalyst
B) H2/Pd
C) (sia)2BH followed by CH3COOH
D) Na/NH3
A) H2/Lindlar catalyst
B) H2/Pd
C) (sia)2BH followed by CH3COOH
D) Na/NH3
Unlock Deck
Unlock for access to all 100 flashcards in this deck.
Unlock Deck
k this deck
52
What is the major organic product obtained from the following reaction? 
A) butane
B) 1-butene
C) cis-2-butene
D) trans-2-butene

A) butane
B) 1-butene
C) cis-2-butene
D) trans-2-butene
Unlock Deck
Unlock for access to all 100 flashcards in this deck.
Unlock Deck
k this deck
53
What is the best choice of reagent(s) to perform the following transformation? 
A) H2/Pt
B) H2/Lindlar catalyst
C) Na/NH3
D) BH3; followed by H2O2, NaOH

A) H2/Pt
B) H2/Lindlar catalyst
C) Na/NH3
D) BH3; followed by H2O2, NaOH
Unlock Deck
Unlock for access to all 100 flashcards in this deck.
Unlock Deck
k this deck
54
What is the major organic product obtained from the following series of reactions? 
A) 1
B) 2
C) 3
D) 4

A) 1
B) 2
C) 3
D) 4
Unlock Deck
Unlock for access to all 100 flashcards in this deck.
Unlock Deck
k this deck
55
What is the best choice of reagent(s) to perform the following transformation? 
A) H2/Lindlar catalyst
B) Na/NH3
C) (sia)2BH; followed by H2O2, NaOH
D) BH3; followed by H2O2, NaOH

A) H2/Lindlar catalyst
B) Na/NH3
C) (sia)2BH; followed by H2O2, NaOH
D) BH3; followed by H2O2, NaOH
Unlock Deck
Unlock for access to all 100 flashcards in this deck.
Unlock Deck
k this deck
56
What is the major organic product obtained from the following reaction? 
A) butane
B) 1-butene
C) cis-2-butene
D) trans-2-butene

A) butane
B) 1-butene
C) cis-2-butene
D) trans-2-butene
Unlock Deck
Unlock for access to all 100 flashcards in this deck.
Unlock Deck
k this deck
57
What is the best choice of reagent(s) to perform the following transformation? 
A) 1 mol of Br2
B) 2 mol of Br2
C) 1 mol of HBr
D) 2 mol of HBr

A) 1 mol of Br2
B) 2 mol of Br2
C) 1 mol of HBr
D) 2 mol of HBr
Unlock Deck
Unlock for access to all 100 flashcards in this deck.
Unlock Deck
k this deck
58
What is the major organic product obtained from the following series of reactions? 
A) (Z)-2-heptene
B) (E)-2-heptene
C) 1-heptene
D) heptane

A) (Z)-2-heptene
B) (E)-2-heptene
C) 1-heptene
D) heptane
Unlock Deck
Unlock for access to all 100 flashcards in this deck.
Unlock Deck
k this deck
59
What is the major organic product obtained from the following reaction? 
A) butane
B) 1-butene
C) cis-2-butene
D) trans-2-butene

A) butane
B) 1-butene
C) cis-2-butene
D) trans-2-butene
Unlock Deck
Unlock for access to all 100 flashcards in this deck.
Unlock Deck
k this deck
60
The IUPAC name for the following compound is 2,5-dimethyl-4-ethyl-3-hexene. 

Unlock Deck
Unlock for access to all 100 flashcards in this deck.
Unlock Deck
k this deck
61
What is the major organic product obtained from the following reaction? 

Unlock Deck
Unlock for access to all 100 flashcards in this deck.
Unlock Deck
k this deck
62
2-hexyne will produce a single product upon mercury(II)-catalyzed hydration.
Unlock Deck
Unlock for access to all 100 flashcards in this deck.
Unlock Deck
k this deck
63
The following species is referred to as a(an)_________________. 

Unlock Deck
Unlock for access to all 100 flashcards in this deck.
Unlock Deck
k this deck
64
The key intermediate in the following reaction would be a vinylic carbocation.
|
|
Unlock Deck
Unlock for access to all 100 flashcards in this deck.
Unlock Deck
k this deck
65
Acetylene (ethyne) is more acidic and has a shorter carbon to carbon bond than either ethane or ethene.
Unlock Deck
Unlock for access to all 100 flashcards in this deck.
Unlock Deck
k this deck
66
The product of the reaction when the following substance is treated with BH3 in THF followed by H2O2 would be a ketone. 

Unlock Deck
Unlock for access to all 100 flashcards in this deck.
Unlock Deck
k this deck
67
What is IUPAC name of the following compound? 

Unlock Deck
Unlock for access to all 100 flashcards in this deck.
Unlock Deck
k this deck
68
Addition of H2 to 2-pentyne in the presence of the Lindlar's catalyst will produce ___-2-pentene.
Unlock Deck
Unlock for access to all 100 flashcards in this deck.
Unlock Deck
k this deck
69
The following deuteration reaction correctly shows the stereochemistry of the product. 

Unlock Deck
Unlock for access to all 100 flashcards in this deck.
Unlock Deck
k this deck
70
What is IUPAC name of the following compound? 

Unlock Deck
Unlock for access to all 100 flashcards in this deck.
Unlock Deck
k this deck
71
The following species is the conjugate base of _________________. 

Unlock Deck
Unlock for access to all 100 flashcards in this deck.
Unlock Deck
k this deck
72
Consider an unknown with the molecular formula C4H6. The number of possible alkyne isomers is _____.
Unlock Deck
Unlock for access to all 100 flashcards in this deck.
Unlock Deck
k this deck
73
The product of the following reaction would be an aldehyde. 

Unlock Deck
Unlock for access to all 100 flashcards in this deck.
Unlock Deck
k this deck
74
Consider an unknown with the molecular formula C4H6. The index of hydrogen deficiency of this compound is _____.
Unlock Deck
Unlock for access to all 100 flashcards in this deck.
Unlock Deck
k this deck
75
The name of the product of the reaction of the following substance with bromoethane would be ________________. 

Unlock Deck
Unlock for access to all 100 flashcards in this deck.
Unlock Deck
k this deck
76
What is IUPAC name of the following compound? 

Unlock Deck
Unlock for access to all 100 flashcards in this deck.
Unlock Deck
k this deck
77
H2 and Ni would be the required reagents for the following conversion. 

Unlock Deck
Unlock for access to all 100 flashcards in this deck.
Unlock Deck
k this deck
78
Consider the following,
the product formed is shown below. 
the product formed is shown below. 
Unlock Deck
Unlock for access to all 100 flashcards in this deck.
Unlock Deck
k this deck
79
The name of the final product after adding 1 mole of each reactant in the following sequence is ______________________. 

Unlock Deck
Unlock for access to all 100 flashcards in this deck.
Unlock Deck
k this deck
80
What is IUPAC name of the following compound? 

Unlock Deck
Unlock for access to all 100 flashcards in this deck.
Unlock Deck
k this deck

