Deck 17: Carboxylic Acids,esters,and Amides
Question
Question
Question
Question
Question
Question
Question
Question
Question
Question
Question
Question
Question
Question
Question
Question
Question
Question
Question
Question
Question
Question
Question
Question
Question
Question
Question
Question
Question
Question
Question
Question
Question
Question
Question
Question
Question
Question
Question
Question
Question
Question
Question
Question
Question
Question
Question
Question
Question
Question
Question
Question
Question
Question
Question
Question
Question
Question
Question
Question
Question
Question
Question
Question
Question
Question
Question
Question
Question
Question
Question
Question
Question
Question
Question
Question
Question
Question
Question
Question
Unlock Deck
Sign up to unlock the cards in this deck!
Unlock Deck
Unlock Deck
1/107
Play
Full screen (f)
Deck 17: Carboxylic Acids,esters,and Amides
1
What are the products of the acid-base reaction below? 
A)
B)
C)
D)No reaction occurs.

A)

B)

C)

D)No reaction occurs.

2
What is the IUPAC name of the compound below? 
A)N,N-dimethylpropanamide
B)N,N-dimethylethylamide
C)Dimethylpropanamide
D)Dimethylaminopropanamide

A)N,N-dimethylpropanamide
B)N,N-dimethylethylamide
C)Dimethylpropanamide
D)Dimethylaminopropanamide
N,N-dimethylpropanamide
3
What is the structure of 4-ethyl-5-methylheptanoic acid?
A)
B)
C)
D)
A)

B)

C)

D)


4
What is the IUPAC name of the compound below? 
A)2-methyl-2-propylpropanoic acid
B)2-methyl-2-propyl-1-propanoic acid
C)2,2-dimethylpentanoic acid
D)2,2-dimethyl-1-pentoic acid
E)4,4-dimethylpentanoic acid

A)2-methyl-2-propylpropanoic acid
B)2-methyl-2-propyl-1-propanoic acid
C)2,2-dimethylpentanoic acid
D)2,2-dimethyl-1-pentoic acid
E)4,4-dimethylpentanoic acid
Unlock Deck
Unlock for access to all 107 flashcards in this deck.
Unlock Deck
k this deck
5
Which compound is a secondary amide?
A)
B)
C)
D)
E)
A)

B)

C)

D)

E)

Unlock Deck
Unlock for access to all 107 flashcards in this deck.
Unlock Deck
k this deck
6
Which of the following properly describes soaps?
A)Fatty acids
B)Salts of carboxylic acids that have a long hydrocarbon chain
C)Salts of carboxylic acids that have a short hydrocarbon chain
D)Carboxylic acids
A)Fatty acids
B)Salts of carboxylic acids that have a long hydrocarbon chain
C)Salts of carboxylic acids that have a short hydrocarbon chain
D)Carboxylic acids
Unlock Deck
Unlock for access to all 107 flashcards in this deck.
Unlock Deck
k this deck
7
Which structure properly represents the compound sodium hexanoate?
A)
B)
C)
D)
A)

B)

C)

D)

Unlock Deck
Unlock for access to all 107 flashcards in this deck.
Unlock Deck
k this deck
8
Which amide has the lowest boiling point?
A)CH3(CH2)5CONH2
B)CH3CH2CON(CH2CH3)2
C)CH3CH2CH2CH2CONHCH2CH3
D)All of the amides have the same boiling point.
A)CH3(CH2)5CONH2
B)CH3CH2CON(CH2CH3)2
C)CH3CH2CH2CH2CONHCH2CH3
D)All of the amides have the same boiling point.
Unlock Deck
Unlock for access to all 107 flashcards in this deck.
Unlock Deck
k this deck
9
Carboxylic acids react with bases such as NaOH to form what type of compounds?
A)Alcohols
B)Esters
C)Carboxylate salts
D)Carboxylic amides
A)Alcohols
B)Esters
C)Carboxylate salts
D)Carboxylic amides
Unlock Deck
Unlock for access to all 107 flashcards in this deck.
Unlock Deck
k this deck
10
What is the common name of the compound below? 
A)m-bromobenzoic acid
B)3-bromoacetobenzenoic acid
C)o-bromobenzene carboxylic acid
D)3-bromo-1-acetobenzoic acid

A)m-bromobenzoic acid
B)3-bromoacetobenzenoic acid
C)o-bromobenzene carboxylic acid
D)3-bromo-1-acetobenzoic acid
Unlock Deck
Unlock for access to all 107 flashcards in this deck.
Unlock Deck
k this deck
11
Which statement about the labeled carbons in the compound below is true? 
A)C1 is an α carbon and C2 is a β carbon
B)C2 is an α carbon and C1 is a β carbon
C)C3 is an α carbon and C2 is a β carbon
D)C2 is an α carbon and C3 is a β carbon

A)C1 is an α carbon and C2 is a β carbon
B)C2 is an α carbon and C1 is a β carbon
C)C3 is an α carbon and C2 is a β carbon
D)C2 is an α carbon and C3 is a β carbon
Unlock Deck
Unlock for access to all 107 flashcards in this deck.
Unlock Deck
k this deck
12
Which compound has the highest boiling point?
A)(CH3)2CHCH2CHO
B)CH3CH2CH2CH2CH2COOH
C)(CH3)2CHCH2CH2CH2OH
D)CH3(CH2)6CH3
E)All of the compounds have the same boiling point.
A)(CH3)2CHCH2CHO
B)CH3CH2CH2CH2CH2COOH
C)(CH3)2CHCH2CH2CH2OH
D)CH3(CH2)6CH3
E)All of the compounds have the same boiling point.
Unlock Deck
Unlock for access to all 107 flashcards in this deck.
Unlock Deck
k this deck
13
What organic product is formed when a carboxylic acid reacts with an alcohol in the presence of sulfuric acid?
A)An ether
B)An ester
C)A ketone
D)An amide
A)An ether
B)An ester
C)A ketone
D)An amide
Unlock Deck
Unlock for access to all 107 flashcards in this deck.
Unlock Deck
k this deck
14
What is the IUPAC name of the compound below? 
A)Propanamide
B)Ethylamide
C)Propanamine
D)N-propylamide

A)Propanamide
B)Ethylamide
C)Propanamine
D)N-propylamide
Unlock Deck
Unlock for access to all 107 flashcards in this deck.
Unlock Deck
k this deck
15
The reaction of a carboxylic acid (RCOOH)with an alcohol (R'OH)in the presence of an acid catalyst to form an ester (RCOOR')is called which of the following?
A)An addition reaction
B)A Fischer esterification
C)An acid-base reaction
D)A saponification
A)An addition reaction
B)A Fischer esterification
C)An acid-base reaction
D)A saponification
Unlock Deck
Unlock for access to all 107 flashcards in this deck.
Unlock Deck
k this deck
16
Which carboxylic acid is responsible for the sting of some types of ants?
A)Formic acid (HCO2H)
B)Hexanoic acid (CH3(CH2)4COOH)
C)Acetic acid (CH3CO2H)
D)Propanoic acid (CH3CH2COOH)
A)Formic acid (HCO2H)
B)Hexanoic acid (CH3(CH2)4COOH)
C)Acetic acid (CH3CO2H)
D)Propanoic acid (CH3CH2COOH)
Unlock Deck
Unlock for access to all 107 flashcards in this deck.
Unlock Deck
k this deck
17
What is the structure of 2-chloro-3-hydroxy-4-methylpentanoic acid?
A)
B)
C)
D)
A)

B)

C)

D)

Unlock Deck
Unlock for access to all 107 flashcards in this deck.
Unlock Deck
k this deck
18
Which compound is an a-hydroxy acid?
A)
B)
C)
D)
A)

B)

C)

D)

Unlock Deck
Unlock for access to all 107 flashcards in this deck.
Unlock Deck
k this deck
19
Which compound can react with ammonia to produce an amide?
A)
B)
C)
D)
E)More than one of the compounds above can react with ammonia to produce an amide.
A)

B)

C)

D)

E)More than one of the compounds above can react with ammonia to produce an amide.
Unlock Deck
Unlock for access to all 107 flashcards in this deck.
Unlock Deck
k this deck
20
What is the IUPAC name of the compound below? 
A)Heptyl propanoate
B)Hexyl propanoate
C)Propyl heptanoate
D)4-decanoate
E)Propyl hexanoate

A)Heptyl propanoate
B)Hexyl propanoate
C)Propyl heptanoate
D)4-decanoate
E)Propyl hexanoate
Unlock Deck
Unlock for access to all 107 flashcards in this deck.
Unlock Deck
k this deck
21
Which compound is the most soluble in water?
A)(CH3)2CHCH2COOCH3
B)CH3CH2CH2CH2CH2COOH
C)CH3(CH2)6CH3
D)CH3CH2CH2CH2CH2COOK
A)(CH3)2CHCH2COOCH3
B)CH3CH2CH2CH2CH2COOH
C)CH3(CH2)6CH3
D)CH3CH2CH2CH2CH2COOK
Unlock Deck
Unlock for access to all 107 flashcards in this deck.
Unlock Deck
k this deck
22
Clavulanic acid (structure shown)is a drug used in conjunction with some antibiotics to overcome certain types of antibiotic resistance. How many chirality centers are in clavulanic acid? 
A)0
B)1
C)2
D)3
E)4

A)0
B)1
C)2
D)3
E)4
Unlock Deck
Unlock for access to all 107 flashcards in this deck.
Unlock Deck
k this deck
23
Which is NOT a polyamide?
A)Kevlar
B)Nylon
C)Olestra
D)N,N-dimethylpropylamide
E)More than one of the compounds is not a polyamide.
A)Kevlar
B)Nylon
C)Olestra
D)N,N-dimethylpropylamide
E)More than one of the compounds is not a polyamide.
Unlock Deck
Unlock for access to all 107 flashcards in this deck.
Unlock Deck
k this deck
24
Which is a lactone?
A)
B)
C)
D)
A)

B)

C)

D)

Unlock Deck
Unlock for access to all 107 flashcards in this deck.
Unlock Deck
k this deck
25
What is the hydrolysis reaction of an ester by a base called?
A)An addition reaction
B)A Fischer esterification
C)A substitution reaction
D)A saponification
A)An addition reaction
B)A Fischer esterification
C)A substitution reaction
D)A saponification
Unlock Deck
Unlock for access to all 107 flashcards in this deck.
Unlock Deck
k this deck
26
Which statement is false?
A)Aspirin is a synthetic compound; that is,it does not occur in nature.
B)The active ingredient in aspirin is acetylsalicylic acid.
C)Salicin,found in willow bark,and salicylic acid,found in meadowsweet blossoms,have structures that are similar to aspirin.
D)Aspirin is a strong acid.
A)Aspirin is a synthetic compound; that is,it does not occur in nature.
B)The active ingredient in aspirin is acetylsalicylic acid.
C)Salicin,found in willow bark,and salicylic acid,found in meadowsweet blossoms,have structures that are similar to aspirin.
D)Aspirin is a strong acid.
Unlock Deck
Unlock for access to all 107 flashcards in this deck.
Unlock Deck
k this deck
27
What amide is formed when ethanoic acid (also called acetic acid)is heated with N,N-dimethylamine?
A)
B)
C)
D)
A)

B)

C)

D)

Unlock Deck
Unlock for access to all 107 flashcards in this deck.
Unlock Deck
k this deck
28
Which compound is a triacylglycerol?
A)
B)
C)
D)
A)

B)

C)

D)

Unlock Deck
Unlock for access to all 107 flashcards in this deck.
Unlock Deck
k this deck
29
Aspartame is an artificial sweetener,drawn below. How many chirality centers are in aspartame? 
A)0
B)4
C)3
D)1
E)2

A)0
B)4
C)3
D)1
E)2
Unlock Deck
Unlock for access to all 107 flashcards in this deck.
Unlock Deck
k this deck
30
Heating a carboxylic acid with a primary amine forms water along with what organic product?
A)A primary amide
B)A secondary amide
C)A tertiary amide
D)An ester
A)A primary amide
B)A secondary amide
C)A tertiary amide
D)An ester
Unlock Deck
Unlock for access to all 107 flashcards in this deck.
Unlock Deck
k this deck
31
What are the products of the reaction shown? 
A)Hexyl cyclopentanoate + water
B)Cyclopentyl hexanoate + water
C)Pentyl cyclopentanoate + water
D)Cyclopentyl pentanoate + water

A)Hexyl cyclopentanoate + water
B)Cyclopentyl hexanoate + water
C)Pentyl cyclopentanoate + water
D)Cyclopentyl pentanoate + water
Unlock Deck
Unlock for access to all 107 flashcards in this deck.
Unlock Deck
k this deck
32
What amide is formed when pentanoic acid is heated with ethylamine?
A)
B)
C)
D)
A)

B)

C)

D)

Unlock Deck
Unlock for access to all 107 flashcards in this deck.
Unlock Deck
k this deck
33
Aspartame is an artificial sweetener,drawn below. Which of these functional groups is NOT contained in aspartame? 
A)Carboxylic acid
B)Ester
C)Amide
D)Ether

A)Carboxylic acid
B)Ester
C)Amide
D)Ether
Unlock Deck
Unlock for access to all 107 flashcards in this deck.
Unlock Deck
k this deck
34
Which reagent,when reacted with dimethylamine,would produce the compound shown below? 
A)
B)
C)
D)N(CH3)3

A)

B)

C)

D)N(CH3)3
Unlock Deck
Unlock for access to all 107 flashcards in this deck.
Unlock Deck
k this deck
35
What products are formed in the base hydrolysis of the ester shown below with NaOH? 
A)Ethanol and acetic acid
B)Acetic acid and sodium ethoxide
C)Methanol and sodium propanoate
D)Sodium acetate and water
E)Sodium acetate and ethanol

A)Ethanol and acetic acid
B)Acetic acid and sodium ethoxide
C)Methanol and sodium propanoate
D)Sodium acetate and water
E)Sodium acetate and ethanol
Unlock Deck
Unlock for access to all 107 flashcards in this deck.
Unlock Deck
k this deck
36
Which of these structures represents a soap?
A)CH3CO2- K+
B)CH3(CH2)14CO2- Na+
C)CH3(CH2)12COOH
D)CH3(CH2)7CO2(CH2)7Na
E)More than one of the compounds is a soap.
A)CH3CO2- K+
B)CH3(CH2)14CO2- Na+
C)CH3(CH2)12COOH
D)CH3(CH2)7CO2(CH2)7Na
E)More than one of the compounds is a soap.
Unlock Deck
Unlock for access to all 107 flashcards in this deck.
Unlock Deck
k this deck
37
Which statement is NOT true?
A)Olestra has properties similar to the triacylglycerols in fats and oils.
B)All natural and synthetic fibers are polymers.
C)Fibers like wool and silk obtained from animals are proteins,and are joined together by many ester linkages.
D)Olestra has so many ester units clustered together that they are too crowded to be hydrolyzed.
A)Olestra has properties similar to the triacylglycerols in fats and oils.
B)All natural and synthetic fibers are polymers.
C)Fibers like wool and silk obtained from animals are proteins,and are joined together by many ester linkages.
D)Olestra has so many ester units clustered together that they are too crowded to be hydrolyzed.
Unlock Deck
Unlock for access to all 107 flashcards in this deck.
Unlock Deck
k this deck
38
Which name is possible for a carboxylic acid?
A)1-chloropentanoic acid
B)2-pentylbutanoic acid
C)m-butylbenzoic acid
D)6,6-dimethylhexanoic acid
A)1-chloropentanoic acid
B)2-pentylbutanoic acid
C)m-butylbenzoic acid
D)6,6-dimethylhexanoic acid
Unlock Deck
Unlock for access to all 107 flashcards in this deck.
Unlock Deck
k this deck
39
What products are formed in the acid hydrolysis of the ester shown below? 
A)Ethanol and acetic acid
B)Acetic acid and water
C)Propanoic acid and ethanol
D)Acetic acid and ethane
E)Ethanal and ethanol

A)Ethanol and acetic acid
B)Acetic acid and water
C)Propanoic acid and ethanol
D)Acetic acid and ethane
E)Ethanal and ethanol
Unlock Deck
Unlock for access to all 107 flashcards in this deck.
Unlock Deck
k this deck
40
Clavulanic acid (structure shown)is a drug used in conjunction with some antibiotics to overcome certain types of antibiotic resistance. Which of these functional groups is NOT contained in clavulanic acid? 
A)Carboxylic acid
B)β-lactam
C)Lactone
D)Ether

A)Carboxylic acid
B)β-lactam
C)Lactone
D)Ether
Unlock Deck
Unlock for access to all 107 flashcards in this deck.
Unlock Deck
k this deck
41
To be active,aspirin must cross a cell membrane,and to do so,it must be ionic.
Unlock Deck
Unlock for access to all 107 flashcards in this deck.
Unlock Deck
k this deck
42
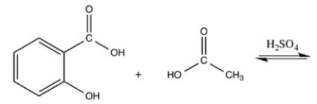
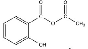
The organic compound known as aspirin,can be formed in the reaction shown below. Which choice represents the main organic product of this reaction? 
A)
B)
C)
D)

A)

B)

C)

D)

Unlock Deck
Unlock for access to all 107 flashcards in this deck.
Unlock Deck
k this deck
43
The compound below is named sodium 3-hydroxy-5-propylnonanoate. 

Unlock Deck
Unlock for access to all 107 flashcards in this deck.
Unlock Deck
k this deck
44
The compound below can hydrogen bond to another molecule like itself. 

Unlock Deck
Unlock for access to all 107 flashcards in this deck.
Unlock Deck
k this deck
45
The compound shown below is a naturally occurring ester in honey. Which structure represents the carboxylic acid required for its synthesis? 
A)
B)
C)
D)

A)

B)

C)

D)

Unlock Deck
Unlock for access to all 107 flashcards in this deck.
Unlock Deck
k this deck
46
Aspirin relieves pain and decreases inflammation because it prevents the synthesis of prostaglandins,the compounds responsible for both of these physiological responses.
Unlock Deck
Unlock for access to all 107 flashcards in this deck.
Unlock Deck
k this deck
47
The drug Clofibrate is used to lower blood triglycerides and cholesterol. It can be made by a Fisher esterification reaction between a carboxylic acid and an alcohol. Which structure represents the alcohol required for its synthesis? 
A)
B)
C)
D)

A)

B)

C)

D)

Unlock Deck
Unlock for access to all 107 flashcards in this deck.
Unlock Deck
k this deck
48
Hydrolysis of amides is an important reaction because it represents the first step in the digestion of dietary protein. Which of the following compounds is formed as a result of the hydrolysis of N,N-diethylpropanamide as shown below? 
A)
B)
C)
D)

A)

B)

C)

D)

Unlock Deck
Unlock for access to all 107 flashcards in this deck.
Unlock Deck
k this deck
49
When soap is mixed with water,the nonpolar hydrocarbon tails dissolve the dirt on the exterior of micelles.
Unlock Deck
Unlock for access to all 107 flashcards in this deck.
Unlock Deck
k this deck
50
At the pH of the aqueous environment in the cells,carboxylic acids exist primarily in their ionized form. Consider the structure of succinic acid,an intermediate in the citric acid cycle. Which of the following properly shows how this carboxylic acid exists in the cell? 
A)
B)
C)
D)

A)

B)

C)

D)

Unlock Deck
Unlock for access to all 107 flashcards in this deck.
Unlock Deck
k this deck
51
A common type of reaction for acyl compounds is substitution.
Unlock Deck
Unlock for access to all 107 flashcards in this deck.
Unlock Deck
k this deck
52
3-hydroxybutanoic acid is an important starting material for polymer synthesis. Which of the following properly represents the structure of this compound?
A)
B)
C)
D)
A)

B)

C)

D)

Unlock Deck
Unlock for access to all 107 flashcards in this deck.
Unlock Deck
k this deck
53
Hydrolysis of amides is an important reaction because it represents the first step in the digestion of dietary protein. Which of the following compounds is formed as a result of the hydrolysis of N-methylbutanamide as shown below? 
A)
B)
C)
D)NH3

A)

B)

C)

D)NH3
Unlock Deck
Unlock for access to all 107 flashcards in this deck.
Unlock Deck
k this deck
54
The compound below is named potassium 2-chloro-3-hydroxybutanoate. 

Unlock Deck
Unlock for access to all 107 flashcards in this deck.
Unlock Deck
k this deck
55
Which choice represents the products of the acid base reaction shown below: 
A)
B)
C)
D)

A)

B)

C)

D)

Unlock Deck
Unlock for access to all 107 flashcards in this deck.
Unlock Deck
k this deck
56
Methylparaben is an ester used as a preservative in foods,beverages,and cosmetics. It is synthesized in the following reaction. What is the structure of methylparaben? 
A)
B)
C)
D)

A)

B)

C)

D)

Unlock Deck
Unlock for access to all 107 flashcards in this deck.
Unlock Deck
k this deck
57
What is the major organic product of the reaction shown below? 
A)
B)
C)
D)

A)

B)

C)

D)

Unlock Deck
Unlock for access to all 107 flashcards in this deck.
Unlock Deck
k this deck
58
The active ingredient in many insect repellants is the amide N,N-diethyl-m-toluamide,also known as DEET. DEET is formed by the reaction between the carboxylic acid and amine shown below. What is the structure of DEET? 
A)
B)
C)
D)

A)

B)

C)

D)

Unlock Deck
Unlock for access to all 107 flashcards in this deck.
Unlock Deck
k this deck
59
2-amino-3-methylpentanoic acid (common name isoleucine)is an essential amino acid found in the body's proteins. Which of the following properly represents the structure of this compound?
A)
B)
C)
D)
A)

B)

C)

D)

Unlock Deck
Unlock for access to all 107 flashcards in this deck.
Unlock Deck
k this deck
60
Which statement concerning carboxylic acids is incorrect?
A)The functional group of a carboxylic acid is abbreviated as COOH or CO2H.
B)Carboxylic acids are hydrogen ion donors.
C)The presence of a carboxylic acid increases the [H3O+] in an aqueous solution relative to water.
D)The reaction of a carboxylic acid with a strong base produces a water-insoluble carboxylate salt.
A)The functional group of a carboxylic acid is abbreviated as COOH or CO2H.
B)Carboxylic acids are hydrogen ion donors.
C)The presence of a carboxylic acid increases the [H3O+] in an aqueous solution relative to water.
D)The reaction of a carboxylic acid with a strong base produces a water-insoluble carboxylate salt.
Unlock Deck
Unlock for access to all 107 flashcards in this deck.
Unlock Deck
k this deck
61
Animal fats and vegetable oils are composed of triacylglycerols.
Unlock Deck
Unlock for access to all 107 flashcards in this deck.
Unlock Deck
k this deck
62
The ester below contains a propoxy group. 

Unlock Deck
Unlock for access to all 107 flashcards in this deck.
Unlock Deck
k this deck
63
Treatment of an amide (RCONHR')with water in the presence of an acid catalyst (HCl)forms a carboxylic acid with the structure R'COOH,and an amine salt with the structure RNH3+ Cl-.
Unlock Deck
Unlock for access to all 107 flashcards in this deck.
Unlock Deck
k this deck
64
2-ethylheptanamide is an alternative name for N-ethylheptanamide.
Unlock Deck
Unlock for access to all 107 flashcards in this deck.
Unlock Deck
k this deck
65
The compound below is a 1° amide. 

Unlock Deck
Unlock for access to all 107 flashcards in this deck.
Unlock Deck
k this deck
66
A lactam can be a primary amide.
Unlock Deck
Unlock for access to all 107 flashcards in this deck.
Unlock Deck
k this deck
67
The two compounds below have approximately the same boiling point. 

Unlock Deck
Unlock for access to all 107 flashcards in this deck.
Unlock Deck
k this deck
68
The first step in the metabolism of a triacylglycerol is hydrolysis of the ester bonds to form glycerol and three fatty acids in a reaction called a simple ester hydrolysis. In the cells of the body,this reaction is catalyzed by acids.
Unlock Deck
Unlock for access to all 107 flashcards in this deck.
Unlock Deck
k this deck
69
Penicillin acts as an antibiotic by reacting with an enzyme needed to synthesize the cell nucleus of a bacterium.
Unlock Deck
Unlock for access to all 107 flashcards in this deck.
Unlock Deck
k this deck
70
The compound below is an example of a lactam. 

Unlock Deck
Unlock for access to all 107 flashcards in this deck.
Unlock Deck
k this deck
71
Triacylglycerols are esters formed from glycerol and three acids,each of which has a long carbon chain bonded to the carbonyl group.
Unlock Deck
Unlock for access to all 107 flashcards in this deck.
Unlock Deck
k this deck
72
A condensation polymer is a polymer formed when monomers containing two functional groups come together with the gain of a small molecule such as water.
Unlock Deck
Unlock for access to all 107 flashcards in this deck.
Unlock Deck
k this deck
73
Nylon is an example of a condensation polymer.
Unlock Deck
Unlock for access to all 107 flashcards in this deck.
Unlock Deck
k this deck
74
The compound below has the molecular formula C9H11NO,contains a benzene ring,and is a 2° amide. 

Unlock Deck
Unlock for access to all 107 flashcards in this deck.
Unlock Deck
k this deck
75
When the compound below reacts with water in the presence of HCl,ethanol and acetic acid are formed. 

Unlock Deck
Unlock for access to all 107 flashcards in this deck.
Unlock Deck
k this deck
76
Polyesters are condensation polymers.
Unlock Deck
Unlock for access to all 107 flashcards in this deck.
Unlock Deck
k this deck
77
The ester below contains a butoxy group. 

Unlock Deck
Unlock for access to all 107 flashcards in this deck.
Unlock Deck
k this deck
78
All natural and synthetic fibers are polymers.
Unlock Deck
Unlock for access to all 107 flashcards in this deck.
Unlock Deck
k this deck
79
The two compounds below have approximately the same boiling point. 

Unlock Deck
Unlock for access to all 107 flashcards in this deck.
Unlock Deck
k this deck
80
Fischer esterification can be used to synthesize aspirin from salicylic acid.
Unlock Deck
Unlock for access to all 107 flashcards in this deck.
Unlock Deck
k this deck

