Deck 1: General Mathematics
Question
Question
Question
Question
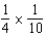
Question
Question
Question
Question
Question
Question
Question
Question
Question
Question
Unlock Deck
Sign up to unlock the cards in this deck!
Unlock Deck
Unlock Deck
1/14
Play
Full screen (f)
Deck 1: General Mathematics
1
Divide and reduce to lowest terms: 


2
Add and reduce to lowest terms: 


3
Directions: Change the following fractions to ratios.


3:4
4
Write 85% as a fraction and as a decimal.
Unlock Deck
Unlock for access to all 14 flashcards in this deck.
Unlock Deck
k this deck
5
Multiply and reduce to lowest terms: 

Unlock Deck
Unlock for access to all 14 flashcards in this deck.
Unlock Deck
k this deck
6
Directions: Change the following fractions to ratios.


Unlock Deck
Unlock for access to all 14 flashcards in this deck.
Unlock Deck
k this deck
7
Directions: Change the following fractions to ratios.


Unlock Deck
Unlock for access to all 14 flashcards in this deck.
Unlock Deck
k this deck
8
Which is greater,
or
?
or
? Unlock Deck
Unlock for access to all 14 flashcards in this deck.
Unlock Deck
k this deck
9
Change 1
to an improper fraction.
to an improper fraction. Unlock Deck
Unlock for access to all 14 flashcards in this deck.
Unlock Deck
k this deck
10
Write 0.05 as a fraction and as a percentage.
Unlock Deck
Unlock for access to all 14 flashcards in this deck.
Unlock Deck
k this deck
11
Directions: Change the following fractions to ratios.


Unlock Deck
Unlock for access to all 14 flashcards in this deck.
Unlock Deck
k this deck
12
Multiply and reduce to lowest terms: 

Unlock Deck
Unlock for access to all 14 flashcards in this deck.
Unlock Deck
k this deck
13
Divide and reduce to lowest terms: 

Unlock Deck
Unlock for access to all 14 flashcards in this deck.
Unlock Deck
k this deck
14
Add: 

Unlock Deck
Unlock for access to all 14 flashcards in this deck.
Unlock Deck
k this deck

