Deck 7: Alkynes
Question
Question
Question
Question
Question
Question
Question
Question
Question
Question
Question
Question
Question
Question
Question
Question
Question
Question
Question
Question
Question
Question
Question
Question
Question
Question
Question
Question
Question
Question
Question
Question
Question
Question
Question
Question
Question
Question
Question
Question
Question
Question
Question
Question
Question
Question
Question
Question
Question
Question
Question
Question
Question
Question
Question
Question
Question
Question
Question
Question
Question
Question
Question
Question
Question
Question
Question
Question
Question
Question
Question
Question
Question
Question
Question
Question
Question
Question
Question
Question
Unlock Deck
Sign up to unlock the cards in this deck!
Unlock Deck
Unlock Deck
1/80
Play
Full screen (f)
Deck 7: Alkynes
1
What is the correct assignment of the acid, base, conjugate acid and conjugate base in the following equilibrium? 
A) 1 = acid; 2 = base; 3 = conjugate acid; 4 = conjugate base
B) 1 = acid; 2 = base; 3 = conjugate base; 4 = conjugate acid
C) 1 = base; 2 = acid; 3 = conjugate acid; 4 = conjugate base
D) 1 = base; 2 = acid; 3 = conjugate base; 4 = conjugate acid

A) 1 = acid; 2 = base; 3 = conjugate acid; 4 = conjugate base
B) 1 = acid; 2 = base; 3 = conjugate base; 4 = conjugate acid
C) 1 = base; 2 = acid; 3 = conjugate acid; 4 = conjugate base
D) 1 = base; 2 = acid; 3 = conjugate base; 4 = conjugate acid
1 = acid; 2 = base; 3 = conjugate base; 4 = conjugate acid
2
What is the IUPAC name of the following compound? 
A) (R)-4-methyl-2-hexyne
B) (S)-4-methyl-2-hexyne
C) (R)-3-methyl-4-hexyne
D) (S)-3-methyl-4-hexyne

A) (R)-4-methyl-2-hexyne
B) (S)-4-methyl-2-hexyne
C) (R)-3-methyl-4-hexyne
D) (S)-3-methyl-4-hexyne
(S)-4-methyl-2-hexyne
3
What is the IUPAC name of the following compound? 
A) 3,4-dimethyl-1-hexen-5-yne
B) 4-ethynyl-2-vinylbutane
C) 3-methyl-4-vinyl-1-pentyne
D) 4-ethynyl-3-methyl-1-pentyne

A) 3,4-dimethyl-1-hexen-5-yne
B) 4-ethynyl-2-vinylbutane
C) 3-methyl-4-vinyl-1-pentyne
D) 4-ethynyl-3-methyl-1-pentyne
3,4-dimethyl-1-hexen-5-yne
4
What is the approximate C-C-C bond angle in propyne?
A) 90
B) 109
C) 120
D) 180
A) 90
B) 109
C) 120
D) 180
Unlock Deck
Unlock for access to all 80 flashcards in this deck.
Unlock Deck
k this deck
5
How many alkynes are there with the molecular formula C6H10?
A) 4
B) 5
C) 6
D) 7
A) 4
B) 5
C) 6
D) 7
Unlock Deck
Unlock for access to all 80 flashcards in this deck.
Unlock Deck
k this deck
6
Which sequence of reactions can be used to convert 1-pentene to 1-pentyne
A) Treatment with HBr; followed by treatment with NaOH
B) Treatment with Br2; followed by treatment with NaNH2
C) Treatment with Br2; followed by treatment with H2SO4
D) Treatment with Br2, H2O; followed by treatment with NaOH
A) Treatment with HBr; followed by treatment with NaOH
B) Treatment with Br2; followed by treatment with NaNH2
C) Treatment with Br2; followed by treatment with H2SO4
D) Treatment with Br2, H2O; followed by treatment with NaOH
Unlock Deck
Unlock for access to all 80 flashcards in this deck.
Unlock Deck
k this deck
7
How many terminal alkynes are there with the molecular formula C7H12?
A) 5
B) 7
C) 8
D) 9
A) 5
B) 7
C) 8
D) 9
Unlock Deck
Unlock for access to all 80 flashcards in this deck.
Unlock Deck
k this deck
8
What is the IUPAC name of the following compound? CH3CH2CH2-CºC-CH(CH3)2
A) 1-isopropyl-1-pentyne
B) 2-methyl-3-heptyne
C) 6-methyl-4-heptyne
D) isopropyl propyl ethyne
A) 1-isopropyl-1-pentyne
B) 2-methyl-3-heptyne
C) 6-methyl-4-heptyne
D) isopropyl propyl ethyne
Unlock Deck
Unlock for access to all 80 flashcards in this deck.
Unlock Deck
k this deck
9
What is the major organic product obtained from the following reaction? 
A) cyclohexyne
B) 1,3-cyclohexadiene
C) cyclohexene
D) 1,2-diaminocyclohexane

A) cyclohexyne
B) 1,3-cyclohexadiene
C) cyclohexene
D) 1,2-diaminocyclohexane
Unlock Deck
Unlock for access to all 80 flashcards in this deck.
Unlock Deck
k this deck
10
What is the IUPAC name of the following compound 
A) vinylcyclohexane
B) allylcyclohexane
C) ethynylcyclohexane
D) acetylcyclohexane

A) vinylcyclohexane
B) allylcyclohexane
C) ethynylcyclohexane
D) acetylcyclohexane
Unlock Deck
Unlock for access to all 80 flashcards in this deck.
Unlock Deck
k this deck
11
Which atomic orbitals overlap to form the carbon-carbon triple bond of an alkyne?
A) 2s + 2s; sp + sp; 2p + 2p
B) sp + sp; sp + sp; 2p + 2p
C) sp + sp; 2p + 2p; 2p + 2p
D) sp2 + sp2; sp + sp; 2p + 2p
A) 2s + 2s; sp + sp; 2p + 2p
B) sp + sp; sp + sp; 2p + 2p
C) sp + sp; 2p + 2p; 2p + 2p
D) sp2 + sp2; sp + sp; 2p + 2p
Unlock Deck
Unlock for access to all 80 flashcards in this deck.
Unlock Deck
k this deck
12
Approximately how long is a carbon-carbon triple bond of an alkyne?
A) 110 pm
B) 121 pm
C) 135 pm
D) 156 pm
A) 110 pm
B) 121 pm
C) 135 pm
D) 156 pm
Unlock Deck
Unlock for access to all 80 flashcards in this deck.
Unlock Deck
k this deck
13
Which sequence of reactions can be used to convert (Z) 2-pentene to 2-pentyne
A) Treatment with Br2; followed by treatment with NaNH2
B) Treatment with Br2, H2O; followed by treatment with NaOH
C) Treatment with Br2; followed by treatment with H2SO4
D) Treatment with HBr; followed by treatment with NaOH
A) Treatment with Br2; followed by treatment with NaNH2
B) Treatment with Br2, H2O; followed by treatment with NaOH
C) Treatment with Br2; followed by treatment with H2SO4
D) Treatment with HBr; followed by treatment with NaOH
Unlock Deck
Unlock for access to all 80 flashcards in this deck.
Unlock Deck
k this deck
14
What is the major organic product obtained from the following reaction? 
A) (E) 2-butene
B) (Z) 2-butene
C) 2-butyne
D) 1-butyne

A) (E) 2-butene
B) (Z) 2-butene
C) 2-butyne
D) 1-butyne
Unlock Deck
Unlock for access to all 80 flashcards in this deck.
Unlock Deck
k this deck
15
Which of the following has the lowest pKa?
A) butane
B) 1-butene
C) 1-butyne
D) 2-butyne
A) butane
B) 1-butene
C) 1-butyne
D) 2-butyne
Unlock Deck
Unlock for access to all 80 flashcards in this deck.
Unlock Deck
k this deck
16
Which of the following is the strongest acid?
A) propane
B) cyclopropane
C) propene
D) propyne
A) propane
B) cyclopropane
C) propene
D) propyne
Unlock Deck
Unlock for access to all 80 flashcards in this deck.
Unlock Deck
k this deck
17
What is the IUPAC name for the following compound? 
A) (R)-3-methyl-1-penten-4-yne
B) (S)-3-methyl-1-penten-4-yne
C) (R)-4-methyl-4-penten-1-yne
D) (S)-4-methyl-4-penten-1-yne

A) (R)-3-methyl-1-penten-4-yne
B) (S)-3-methyl-1-penten-4-yne
C) (R)-4-methyl-4-penten-1-yne
D) (S)-4-methyl-4-penten-1-yne
Unlock Deck
Unlock for access to all 80 flashcards in this deck.
Unlock Deck
k this deck
18
What is the smallest cycloalkyne that is stable at room temperature?
A) cyclohexyne
B) cyclononyne
C) cyclododecyne
D) cycloeicosyne
A) cyclohexyne
B) cyclononyne
C) cyclododecyne
D) cycloeicosyne
Unlock Deck
Unlock for access to all 80 flashcards in this deck.
Unlock Deck
k this deck
19
Which atomic orbitals overlap to form the carbon-carbon single bond of 1-propyne?
A) 2s + sp
B) sp + sp2
C) sp + sp3
D) sp2 + sp3
A) 2s + sp
B) sp + sp2
C) sp + sp3
D) sp2 + sp3
Unlock Deck
Unlock for access to all 80 flashcards in this deck.
Unlock Deck
k this deck
20
What is the IUPAC name of the following compound? (CH3)2CHCH2-CºC-CH(CH3)2
A) 2,6-dimethyl-3-heptyne
B) 2,6-dimethyl-4-heptyne
C) 1,1,5,5-tetramethyl-2-pentyne
D) 4-nonyne
A) 2,6-dimethyl-3-heptyne
B) 2,6-dimethyl-4-heptyne
C) 1,1,5,5-tetramethyl-2-pentyne
D) 4-nonyne
Unlock Deck
Unlock for access to all 80 flashcards in this deck.
Unlock Deck
k this deck
21
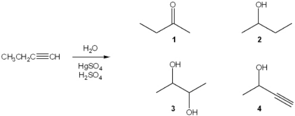
What is the major organic product obtained from the following reaction? 
A) 1
B) 2
C) 3
D) 4

A) 1
B) 2
C) 3
D) 4
Unlock Deck
Unlock for access to all 80 flashcards in this deck.
Unlock Deck
k this deck
22
What is the major organic product obtained from the following reaction? 
A) 3,4-dibromohexane
B) 3,3-dibromohexane
C) (Z) 3,4-dibromohexene
D) 3,3,4,4-tetrabromohexane

A) 3,4-dibromohexane
B) 3,3-dibromohexane
C) (Z) 3,4-dibromohexene
D) 3,3,4,4-tetrabromohexane
Unlock Deck
Unlock for access to all 80 flashcards in this deck.
Unlock Deck
k this deck
23
What is the major organic product obtained from the following reaction? 
A) 2,3-dibromobutane
B) 2,2,3,3-tetrabromobutane
C) 2,3-dibromobutene
D) 2,2-dibromobutane

A) 2,3-dibromobutane
B) 2,2,3,3-tetrabromobutane
C) 2,3-dibromobutene
D) 2,2-dibromobutane
Unlock Deck
Unlock for access to all 80 flashcards in this deck.
Unlock Deck
k this deck
24
What is the major organic product obtained from the following reaction? 
A) 2-methyl-3-hexene
B) 2-methyl-3-heptyne
C) 2-bromo-3-methylbutane
D) 2-methyl-2-butene

A) 2-methyl-3-hexene
B) 2-methyl-3-heptyne
C) 2-bromo-3-methylbutane
D) 2-methyl-2-butene
Unlock Deck
Unlock for access to all 80 flashcards in this deck.
Unlock Deck
k this deck
25
What is the major organic product obtained from the following reaction? 
A) 3,4-dibromohexane
B) 3,3-dibromohexane
C) (E) 3,4-dibromohexene
D) 3,3,4,4-tetrabromohexane

A) 3,4-dibromohexane
B) 3,3-dibromohexane
C) (E) 3,4-dibromohexene
D) 3,3,4,4-tetrabromohexane
Unlock Deck
Unlock for access to all 80 flashcards in this deck.
Unlock Deck
k this deck
26
What type of intermediate s formed in the Hg2- catalyzed hydration of an alkyne??
A) an alcohol
B) an enol
C) a 1,2-diene
D) an epoxide
A) an alcohol
B) an enol
C) a 1,2-diene
D) an epoxide
Unlock Deck
Unlock for access to all 80 flashcards in this deck.
Unlock Deck
k this deck
27
What is the major organic product obtained from the following reaction? 
A) 1
B) 2
C) 3
D) 4

A) 1
B) 2
C) 3
D) 4
Unlock Deck
Unlock for access to all 80 flashcards in this deck.
Unlock Deck
k this deck
28
What is the major organic product obtained from the following reaction? 
A) butanal
B) cis-2-butene
C) 2-butanol
D) butanone

A) butanal
B) cis-2-butene
C) 2-butanol
D) butanone
Unlock Deck
Unlock for access to all 80 flashcards in this deck.
Unlock Deck
k this deck
29
What is the major organic product obtained from the following reaction? 
A) butanal
B) cis-2-butene
C) 2-butanol
D) butanone

A) butanal
B) cis-2-butene
C) 2-butanol
D) butanone
Unlock Deck
Unlock for access to all 80 flashcards in this deck.
Unlock Deck
k this deck
30
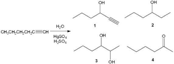
What is the major organic product obtained from the following reaction? 
A) 1
B) 2
C) 3
D) 4

A) 1
B) 2
C) 3
D) 4
Unlock Deck
Unlock for access to all 80 flashcards in this deck.
Unlock Deck
k this deck
31
What is the major organic product obtained from the following reaction? 
A) (E) 3,4-dibromohexene
B) (Z) 3,4-dibromohexene
C) (E) 2,3-dibromohexene
D) (Z) 2,3-dibromobutene

A) (E) 3,4-dibromohexene
B) (Z) 3,4-dibromohexene
C) (E) 2,3-dibromohexene
D) (Z) 2,3-dibromobutene
Unlock Deck
Unlock for access to all 80 flashcards in this deck.
Unlock Deck
k this deck
32
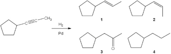
What is the major organic product obtained from the following reaction? 
A) 1
B) 2
C) 3
D) 4

A) 1
B) 2
C) 3
D) 4
Unlock Deck
Unlock for access to all 80 flashcards in this deck.
Unlock Deck
k this deck
33
What is the major organic product obtained from the following reaction? 
A) 2-hexanone
B) hexanal
C) 2-hexanol
D) cis-2-hexene

A) 2-hexanone
B) hexanal
C) 2-hexanol
D) cis-2-hexene
Unlock Deck
Unlock for access to all 80 flashcards in this deck.
Unlock Deck
k this deck
34
What is the major organic product obtained from the following reaction? 
A) 1-methyl-4-nonyne
B) 2-methyl-4-nonyne
C) 2-methyl-3-nonyne
D) 3-methyl-4-nonyne

A) 1-methyl-4-nonyne
B) 2-methyl-4-nonyne
C) 2-methyl-3-nonyne
D) 3-methyl-4-nonyne
Unlock Deck
Unlock for access to all 80 flashcards in this deck.
Unlock Deck
k this deck
35
What is the major organic product obtained from the following reaction? 
A) (E) 1,2-dibromobutene
B) (Z) 1,2-dibromobutene
C) (E) 2,3-dibromobutene
D) (Z) 2,3-dibromobutene

A) (E) 1,2-dibromobutene
B) (Z) 1,2-dibromobutene
C) (E) 2,3-dibromobutene
D) (Z) 2,3-dibromobutene
Unlock Deck
Unlock for access to all 80 flashcards in this deck.
Unlock Deck
k this deck
36
What is the major organic product obtained from the following reaction? 
A) 2-hexanone
B) hexanal
C) 2-hexanol
D) cis-2-hexene

A) 2-hexanone
B) hexanal
C) 2-hexanol
D) cis-2-hexene
Unlock Deck
Unlock for access to all 80 flashcards in this deck.
Unlock Deck
k this deck
37
What is the major organic product obtained from the following reaction? 
A) 2,3-dibromobutane
B) 2,2,3,3-tetrabromobutane
C) 2,3-dibromobutene
D) 2,2-dibromobutane

A) 2,3-dibromobutane
B) 2,2,3,3-tetrabromobutane
C) 2,3-dibromobutene
D) 2,2-dibromobutane
Unlock Deck
Unlock for access to all 80 flashcards in this deck.
Unlock Deck
k this deck
38
What is the major organic product obtained from the following reaction? 
A) 1
B) 2
C) 3
D) 4

A) 1
B) 2
C) 3
D) 4
Unlock Deck
Unlock for access to all 80 flashcards in this deck.
Unlock Deck
k this deck
39
What is the major organic product obtained from the following reaction? 
A) 1
B) 2
C) 3
D) 4

A) 1
B) 2
C) 3
D) 4
Unlock Deck
Unlock for access to all 80 flashcards in this deck.
Unlock Deck
k this deck
40
What is the major organic product obtained from the following reaction? 
A) 1
B) 2
C) 3
D) 4

A) 1
B) 2
C) 3
D) 4
Unlock Deck
Unlock for access to all 80 flashcards in this deck.
Unlock Deck
k this deck
41
What is the major organic product obtained from the following series of reactions? 
A) 1
B) 2
C) 3
D) 4

A) 1
B) 2
C) 3
D) 4
Unlock Deck
Unlock for access to all 80 flashcards in this deck.
Unlock Deck
k this deck
42
What is the best choice of reagent(s) to perform the following transformation? 
A) H2/Lindlar catalyst
B) Na/NH3
C) (sia)2BH; followed by H2O2, NaOH
D) BH3; followed by H2O2, NaOH

A) H2/Lindlar catalyst
B) Na/NH3
C) (sia)2BH; followed by H2O2, NaOH
D) BH3; followed by H2O2, NaOH
Unlock Deck
Unlock for access to all 80 flashcards in this deck.
Unlock Deck
k this deck
43
What is the major organic product obtained from the following reaction? 
A) 1
B) 2
C) 3
D) 4

A) 1
B) 2
C) 3
D) 4
Unlock Deck
Unlock for access to all 80 flashcards in this deck.
Unlock Deck
k this deck
44
What is the best choice of reagent(s) to perform the following transformation? 
A) H2/Lindlar catalyst
B) Na/NH3
C) (sia)2BH; followed by H2O2, NaOH
D) BH3; followed by H2O2, NaOH

A) H2/Lindlar catalyst
B) Na/NH3
C) (sia)2BH; followed by H2O2, NaOH
D) BH3; followed by H2O2, NaOH
Unlock Deck
Unlock for access to all 80 flashcards in this deck.
Unlock Deck
k this deck
45
What is the major organic product obtained from the following series of reactions? 
A) propanal, CH3CH2CHO
B) 1-propanol, CH3CH2CH2OH
C) butanal, CH3CH2CH2CHO
D) butanone, CH3COCH2CH3

A) propanal, CH3CH2CHO
B) 1-propanol, CH3CH2CH2OH
C) butanal, CH3CH2CH2CHO
D) butanone, CH3COCH2CH3
Unlock Deck
Unlock for access to all 80 flashcards in this deck.
Unlock Deck
k this deck
46
What is the best choice of reagent(s) to perform the following transformation? 
A) 1 mole of Br2
B) 2 moles of Br2
C) 1 mole of HBr
D) 2 moles of HBr

A) 1 mole of Br2
B) 2 moles of Br2
C) 1 mole of HBr
D) 2 moles of HBr
Unlock Deck
Unlock for access to all 80 flashcards in this deck.
Unlock Deck
k this deck
47
What is the major organic product obtained from the following reaction? 
A) 1
B) 2
C) 3
D) 4

A) 1
B) 2
C) 3
D) 4
Unlock Deck
Unlock for access to all 80 flashcards in this deck.
Unlock Deck
k this deck
48
What is the major organic product obtained from the following series of reactions? 
A) (Z)-2-heptene
B) (Z)-1,5-heptene
C) 1-heptene
D) heptane

A) (Z)-2-heptene
B) (Z)-1,5-heptene
C) 1-heptene
D) heptane
Unlock Deck
Unlock for access to all 80 flashcards in this deck.
Unlock Deck
k this deck
49
What is the best choice of reagent(s) to perform the following transformation? 
A) H2/Pt
B) H2/Lindlar catalyst
C) Na/NH3
D) BH3; followed by H2O2, NaOH

A) H2/Pt
B) H2/Lindlar catalyst
C) Na/NH3
D) BH3; followed by H2O2, NaOH
Unlock Deck
Unlock for access to all 80 flashcards in this deck.
Unlock Deck
k this deck
50
What is the major organic product obtained from the following reaction? 
A) 1
B) 2
C) 3
D) 4

A) 1
B) 2
C) 3
D) 4
Unlock Deck
Unlock for access to all 80 flashcards in this deck.
Unlock Deck
k this deck
51
What is the major organic product obtained from the following reaction? 
A) butane
B) 1-butene
C) cis-2-butene
D) trans-2-butene

A) butane
B) 1-butene
C) cis-2-butene
D) trans-2-butene
Unlock Deck
Unlock for access to all 80 flashcards in this deck.
Unlock Deck
k this deck
52
Which of the following reagents react with 2-butyne to form (Z)-2-butene 
A) only 1
B) only 2
C) only 3
D) only 1 and 2

A) only 1
B) only 2
C) only 3
D) only 1 and 2
Unlock Deck
Unlock for access to all 80 flashcards in this deck.
Unlock Deck
k this deck
53
What is the best choice of reagent(s) to perform the following transformation? 
A) H2O; H2SO4
B) 1. 3 moles of NaNH2; 2. H3O+
C) KMnO4, NaOH, H2O
D) Zn

A) H2O; H2SO4
B) 1. 3 moles of NaNH2; 2. H3O+
C) KMnO4, NaOH, H2O
D) Zn
Unlock Deck
Unlock for access to all 80 flashcards in this deck.
Unlock Deck
k this deck
54
What is the major organic product obtained from the following reaction? 
A) butane
B) 1-butene
C) cis-2-butene
D) trans-2-butene

A) butane
B) 1-butene
C) cis-2-butene
D) trans-2-butene
Unlock Deck
Unlock for access to all 80 flashcards in this deck.
Unlock Deck
k this deck
55
What is the major organic product obtained from the following series of reactions? 
A) (E)-5-phenyl-2-pentene
B) 6-phenyl-1-hexene
C) (Z)-6-phenyl-2-hexene
D) (E)-6-methyl-3-heptene

A) (E)-5-phenyl-2-pentene
B) 6-phenyl-1-hexene
C) (Z)-6-phenyl-2-hexene
D) (E)-6-methyl-3-heptene
Unlock Deck
Unlock for access to all 80 flashcards in this deck.
Unlock Deck
k this deck
56
What is the major organic product obtained from the following series of reactions? 
A) (Z)-2-heptene
B) (E)-2-heptene
C) 1-heptene
D) heptane

A) (Z)-2-heptene
B) (E)-2-heptene
C) 1-heptene
D) heptane
Unlock Deck
Unlock for access to all 80 flashcards in this deck.
Unlock Deck
k this deck
57
Which of the following reagents react with 2-butyne to form butane
A) H2/Lindlar catalyst
B) H2/Pd
C) (sia)2BH followed by CH3COOH
D) Na/NH3
A) H2/Lindlar catalyst
B) H2/Pd
C) (sia)2BH followed by CH3COOH
D) Na/NH3
Unlock Deck
Unlock for access to all 80 flashcards in this deck.
Unlock Deck
k this deck
58
What is the best choice of reagent(s) to perform the following transformation? 
A) 1 mole of Br2
B) 2 moles of Br2
C) 1 mole of HBr
D) 2 moles of HBr

A) 1 mole of Br2
B) 2 moles of Br2
C) 1 mole of HBr
D) 2 moles of HBr
Unlock Deck
Unlock for access to all 80 flashcards in this deck.
Unlock Deck
k this deck
59
What is the major organic product obtained from the following reaction? 
A) butane
B) 1-butene
C) cis-2-butene
D) trans-2-butene

A) butane
B) 1-butene
C) cis-2-butene
D) trans-2-butene
Unlock Deck
Unlock for access to all 80 flashcards in this deck.
Unlock Deck
k this deck
60
What is the best choice of reagent(s) to perform the following transformation? 
A) H2/Pt
B) H2/Lindlar catalyst
C) Na/NH3
D) BH3; followed by H2O2, NaOH

A) H2/Pt
B) H2/Lindlar catalyst
C) Na/NH3
D) BH3; followed by H2O2, NaOH
Unlock Deck
Unlock for access to all 80 flashcards in this deck.
Unlock Deck
k this deck
61
What is IUPAC name of the following compound?
Unlock Deck
Unlock for access to all 80 flashcards in this deck.
Unlock Deck
k this deck
62
What is the major organic product obtained from the following reaction?
Unlock Deck
Unlock for access to all 80 flashcards in this deck.
Unlock Deck
k this deck
63
What is the major organic product obtained from the following reaction?
Unlock Deck
Unlock for access to all 80 flashcards in this deck.
Unlock Deck
k this deck
64
Outline how one might achieve the following transformation, showing reagents and the isolated intermediates in the synthetic scheme.
Unlock Deck
Unlock for access to all 80 flashcards in this deck.
Unlock Deck
k this deck
65
What is the major organic product obtained from the following reaction?
Unlock Deck
Unlock for access to all 80 flashcards in this deck.
Unlock Deck
k this deck
66
Outline how one might achieve the following transformation, showing reagents and the isolated intermediates in the synthetic scheme.
Unlock Deck
Unlock for access to all 80 flashcards in this deck.
Unlock Deck
k this deck
67
What is the major organic product obtained from the following reaction?
Unlock Deck
Unlock for access to all 80 flashcards in this deck.
Unlock Deck
k this deck
68
What is the major organic product obtained from the following reaction?
Unlock Deck
Unlock for access to all 80 flashcards in this deck.
Unlock Deck
k this deck
69
Outline how one might achieve the following transformation, showing reagents and the isolated intermediates in the synthetic scheme.
Unlock Deck
Unlock for access to all 80 flashcards in this deck.
Unlock Deck
k this deck
70
What is the major organic product obtained from the following reaction?
Unlock Deck
Unlock for access to all 80 flashcards in this deck.
Unlock Deck
k this deck
71
What is the major organic product obtained from the following reaction?
Unlock Deck
Unlock for access to all 80 flashcards in this deck.
Unlock Deck
k this deck
72
What is IUPAC name of the following compound?
Unlock Deck
Unlock for access to all 80 flashcards in this deck.
Unlock Deck
k this deck
73
Outline how one might achieve the following transformation, showing reagents and the isolated intermediates in the synthetic scheme.
Unlock Deck
Unlock for access to all 80 flashcards in this deck.
Unlock Deck
k this deck
74
What is IUPAC name of the following compound?
Unlock Deck
Unlock for access to all 80 flashcards in this deck.
Unlock Deck
k this deck
75
What is the major organic product obtained from the following reaction?
Unlock Deck
Unlock for access to all 80 flashcards in this deck.
Unlock Deck
k this deck
76
What is the major organic product obtained from the following reaction?
Unlock Deck
Unlock for access to all 80 flashcards in this deck.
Unlock Deck
k this deck
77
What is the major organic product obtained from the following reaction?
Unlock Deck
Unlock for access to all 80 flashcards in this deck.
Unlock Deck
k this deck
78
What is IUPAC name of the following compound?
Unlock Deck
Unlock for access to all 80 flashcards in this deck.
Unlock Deck
k this deck
79
Outline how one might achieve the following transformation, showing reagents and the isolated intermediates in the synthetic scheme.
Unlock Deck
Unlock for access to all 80 flashcards in this deck.
Unlock Deck
k this deck
80
What is the major organic product obtained from the following reaction?
Unlock Deck
Unlock for access to all 80 flashcards in this deck.
Unlock Deck
k this deck

