Deck 9: Reactions of Alcohols, Ethers, Epoxides, Amines, and Thiols
Question
Question
Question
Question
Question
Question
Question
Question
Question
Question
Question
Question
Question
Question
Question
Question
Question
Question
Question
Question
Question
Question
Question
Question
Question
Question
Question
Question
Question
Question
Question
Question
Question
Question
Question
Question
Question
Question
Question
Unlock Deck
Sign up to unlock the cards in this deck!
Unlock Deck
Unlock Deck
1/39
Play
Full screen (f)
Deck 9: Reactions of Alcohols, Ethers, Epoxides, Amines, and Thiols
1
What is the major product of the following reaction?
A)
B)
C)
D)
E) no reaction
A)
B)
C)
D)
E) no reaction

2
What is the major product of the following reaction?
A)
B)
C)
D)
E) no reaction
A)
B)
C)
D)
E) no reaction

3
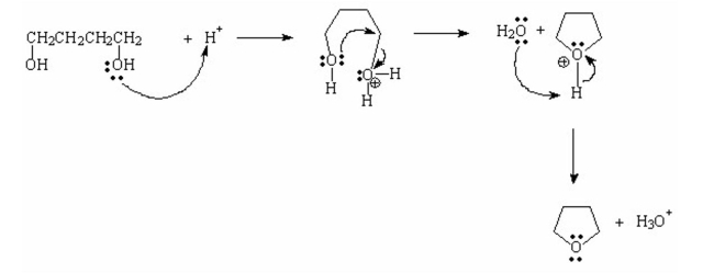
Propose a mechanism for the following reaction: 


4
Which of the following alcohols dehydrates most rapidly? I.

II.

III.

IV.

V.

A) I
B) II
C) III
D) IV
E) V

II.

III.

IV.

V.

A) I
B) II
C) III
D) IV
E) V
Unlock Deck
Unlock for access to all 39 flashcards in this deck.
Unlock Deck
k this deck
5
What is the major product of the following reaction?
A)
B)
C)
D)
E)
A)
B)
C)
D)
E)

Unlock Deck
Unlock for access to all 39 flashcards in this deck.
Unlock Deck
k this deck
6
What is the major product of the following reaction?
A)
B)
C)
D)
E) no reaction
A)
B)
C)
D)
E) no reaction
Unlock Deck
Unlock for access to all 39 flashcards in this deck.
Unlock Deck
k this deck
7
What is the major product of the following reaction? 
I.
II.

III.

IV.

V.

A) I
B) II
C) III
D) IV
E) V

I.
II.

III.

IV.

V.

A) I
B) II
C) III
D) IV
E) V
Unlock Deck
Unlock for access to all 39 flashcards in this deck.
Unlock Deck
k this deck
8
What is the major product of the following reaction?
A)
B)
C)
D)
E)
A)
B)
C)
D)
E)

Unlock Deck
Unlock for access to all 39 flashcards in this deck.
Unlock Deck
k this deck
9
What are the major products of the following reaction? 
I.

II.

III.

IV.

V.

A) I
B) II
C) III
D) IV
E) V

I.

II.

III.

IV.

V.

A) I
B) II
C) III
D) IV
E) V
Unlock Deck
Unlock for access to all 39 flashcards in this deck.
Unlock Deck
k this deck
10
Why are alcohols less reactive than alkyl halides in substitution reactions?
Unlock Deck
Unlock for access to all 39 flashcards in this deck.
Unlock Deck
k this deck
11
What is the major product of the following reaction?
A)
B)
C)
D)
E)no reaction
A)
B)
C)
D)
E)no reaction
Unlock Deck
Unlock for access to all 39 flashcards in this deck.
Unlock Deck
k this deck
12
What is the major product of the following reaction? 

Unlock Deck
Unlock for access to all 39 flashcards in this deck.
Unlock Deck
k this deck
13
What is the major product of the following reaction? 

Unlock Deck
Unlock for access to all 39 flashcards in this deck.
Unlock Deck
k this deck
14
What is the product of the following reaction? 
I.
II. v.
III.

IV.

V.
A) I
B) II
C) III
D) IV
E) V

I.
II. v.
III.

IV.

V.
A) I
B) II
C) III
D) IV
E) V
Unlock Deck
Unlock for access to all 39 flashcards in this deck.
Unlock Deck
k this deck
15
Which of the following is the strongest acid?
A) CH3NH2
B) CH3OH
C) CH3SH
D) CH3OCH3
E) CH3CL
A) CH3NH2
B) CH3OH
C) CH3SH
D) CH3OCH3
E) CH3CL
Unlock Deck
Unlock for access to all 39 flashcards in this deck.
Unlock Deck
k this deck
16
What is the major product of the following reaction? 
I.

II.

III.

IV.

V.
A) I
B) II
C) III
D) IV
E) V

I.

II.

III.

IV.

V.
A) I
B) II
C) III
D) IV
E) V
Unlock Deck
Unlock for access to all 39 flashcards in this deck.
Unlock Deck
k this deck
17
Which of the following reagents are required to form CH3Br?
A) CH3OH+Br-
B) CH3OH+HBr
C) CH3OH+Br2
D) CH3OH+NaBr
E) CH3OH+Br+
A) CH3OH+Br-
B) CH3OH+HBr
C) CH3OH+Br2
D) CH3OH+NaBr
E) CH3OH+Br+
Unlock Deck
Unlock for access to all 39 flashcards in this deck.
Unlock Deck
k this deck
18
What is the major product of the following reaction? 

Unlock Deck
Unlock for access to all 39 flashcards in this deck.
Unlock Deck
k this deck
19
When dipentyl ether is treated with HI, what type of reaction occurs?
A) SN2
B) SN1
C) Both SN1 and SN2
D) E1
E) E2
A) SN2
B) SN1
C) Both SN1 and SN2
D) E1
E) E2
Unlock Deck
Unlock for access to all 39 flashcards in this deck.
Unlock Deck
k this deck
20
What is the major product of the following reaction? 
I.
II.

III.
11ee043a_358d_9751_854b_a7f934b85b6d_TB1829_11
IV.

V.

A) I
B) II
C) III
D) IV
E) V

I.
II.

III.
11ee043a_358d_9751_854b_a7f934b85b6d_TB1829_11
IV.

V.

A) I
B) II
C) III
D) IV
E) V
Unlock Deck
Unlock for access to all 39 flashcards in this deck.
Unlock Deck
k this deck
21
What are the major products of the following reaction? 

Unlock Deck
Unlock for access to all 39 flashcards in this deck.
Unlock Deck
k this deck
22
What is the major product of the following reaction? 

Unlock Deck
Unlock for access to all 39 flashcards in this deck.
Unlock Deck
k this deck
23
What are the products of the following reaction? 

Unlock Deck
Unlock for access to all 39 flashcards in this deck.
Unlock Deck
k this deck
24
What is the major product of the following reaction? 

Unlock Deck
Unlock for access to all 39 flashcards in this deck.
Unlock Deck
k this deck
25
What is the major product of the following reaction? 

Unlock Deck
Unlock for access to all 39 flashcards in this deck.
Unlock Deck
k this deck
26
Draw the products of the following reaction and circle the major product. 

Unlock Deck
Unlock for access to all 39 flashcards in this deck.
Unlock Deck
k this deck
27
What is the major product of the following reaction? 

Unlock Deck
Unlock for access to all 39 flashcards in this deck.
Unlock Deck
k this deck
28
Which of the following alcohols, when heated wit H2SO4 , undergoes dehydration more rapidly? Explain. 

Unlock Deck
Unlock for access to all 39 flashcards in this deck.
Unlock Deck
k this deck
29
What is the major product of the following reaction? 

Unlock Deck
Unlock for access to all 39 flashcards in this deck.
Unlock Deck
k this deck
30
What is the major product of the following reaction? 

Unlock Deck
Unlock for access to all 39 flashcards in this deck.
Unlock Deck
k this deck
31
What is the major product of the following reaction? 

Unlock Deck
Unlock for access to all 39 flashcards in this deck.
Unlock Deck
k this deck
32
Why are certain arene oxides carcinogenic?
Unlock Deck
Unlock for access to all 39 flashcards in this deck.
Unlock Deck
k this deck
33
What is the major product of the following reaction? 

Unlock Deck
Unlock for access to all 39 flashcards in this deck.
Unlock Deck
k this deck
34
What is the major product of the following reaction? 

Unlock Deck
Unlock for access to all 39 flashcards in this deck.
Unlock Deck
k this deck
35
Draw the major product formed when naphthalene oxide undergoes rearrangement in the
presence of water, and explain why it is the major product.
presence of water, and explain why it is the major product.
Unlock Deck
Unlock for access to all 39 flashcards in this deck.
Unlock Deck
k this deck
36
What is the major product of the following reaction? 

Unlock Deck
Unlock for access to all 39 flashcards in this deck.
Unlock Deck
k this deck
37
What is the product of the following reaction? 

Unlock Deck
Unlock for access to all 39 flashcards in this deck.
Unlock Deck
k this deck
38
What is the major product of the following reaction? 

Unlock Deck
Unlock for access to all 39 flashcards in this deck.
Unlock Deck
k this deck
39
What are the major products of the following reaction? 

Unlock Deck
Unlock for access to all 39 flashcards in this deck.
Unlock Deck
k this deck

