Deck 1: Computation
Question
Question
Question
Question
Question
Question
Question
Question
Question
Question
Question
Question
Question
Question
Question
Question
Question
Question
Question
Question
Question
Question
Question
Question
Question
Question
Question
Question
Question
Question
Question
Question
Question
Question
Question
Question
Question
Question
Question
Question
Question
Question
Question
Question
Question
Question
Question
Question
Question
Question
Question
Question
Question
Question
Question
Question
Question
Question
Question
Question
Question
Question
Question
Question
Question
Question
Question
Question
Question
Question
Question
Question
Question
Unlock Deck
Sign up to unlock the cards in this deck!
Unlock Deck
Unlock Deck
1/73
Play
Full screen (f)
Deck 1: Computation
1
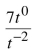
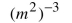
Simplify each expression, first as a base to a single power, then, if possible, as a decimal.



2
Write each decimal number in scientific notation.
3,,234 005
3,,234 005

3
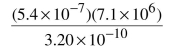
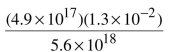
Use your calculator to evaluate the following expressions. If the value is not exact, round
your answer to four decimal places.

your answer to four decimal places.


4
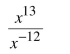
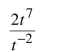
Write the following expressions so that no answer includes negative exponents. Assume the
variables are nonzero.

variables are nonzero.

Unlock Deck
Unlock for access to all 73 flashcards in this deck.
Unlock Deck
k this deck
5
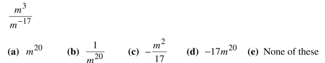
Write the following expressions so that no answer includes negative exponents. Assume the
variables are nonzero.

variables are nonzero.

Unlock Deck
Unlock for access to all 73 flashcards in this deck.
Unlock Deck
k this deck
6
Simplify the following and write your answers in scientific notation.


Unlock Deck
Unlock for access to all 73 flashcards in this deck.
Unlock Deck
k this deck
7
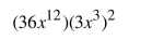
Simplify each expression, first as a base to a single power, then, if possible, as a decimal.


Unlock Deck
Unlock for access to all 73 flashcards in this deck.
Unlock Deck
k this deck
8
How any hundreds, tens, and ones are in the following sum? 

Unlock Deck
Unlock for access to all 73 flashcards in this deck.
Unlock Deck
k this deck
9
Write the following expressions so that no answer includes negative exponents. Assume the
variables are nonzero.

variables are nonzero.

Unlock Deck
Unlock for access to all 73 flashcards in this deck.
Unlock Deck
k this deck
10
Simplify each expression, first as a base to a single power, then, if possible, as a decimal.


Unlock Deck
Unlock for access to all 73 flashcards in this deck.
Unlock Deck
k this deck
11
Write the following expressions so that no answer includes negative exponents. Assume the
variables are nonzero.

variables are nonzero.

Unlock Deck
Unlock for access to all 73 flashcards in this deck.
Unlock Deck
k this deck
12
Simplify the following and write your answers in scientific notation.


Unlock Deck
Unlock for access to all 73 flashcards in this deck.
Unlock Deck
k this deck
13
Write the following expressions so that no answer includes negative exponents. Assume the
variables are nonzero.

variables are nonzero.

Unlock Deck
Unlock for access to all 73 flashcards in this deck.
Unlock Deck
k this deck
14
Write each decimal number in scientific notation.
0.0021055
0.0021055
Unlock Deck
Unlock for access to all 73 flashcards in this deck.
Unlock Deck
k this deck
15
Convert each number into decimal notation.


Unlock Deck
Unlock for access to all 73 flashcards in this deck.
Unlock Deck
k this deck
16
Convert each number into decimal notation.


Unlock Deck
Unlock for access to all 73 flashcards in this deck.
Unlock Deck
k this deck
17
Use your calculator to evaluate the following expressions. If the value is not exact, round
your answer to four decimal places.

your answer to four decimal places.

Unlock Deck
Unlock for access to all 73 flashcards in this deck.
Unlock Deck
k this deck
18
Use your calculator to evaluate the following expressions. If the value is not exact, round
your answer to four decimal places.

your answer to four decimal places.

Unlock Deck
Unlock for access to all 73 flashcards in this deck.
Unlock Deck
k this deck
19
Write in exponential form.
ccccc⋅⋅⋅⋅⋅⋅⋅⋅⋅⋅⋅⋅⋅⋅dddddddddd
ccccc⋅⋅⋅⋅⋅⋅⋅⋅⋅⋅⋅⋅⋅⋅dddddddddd
Unlock Deck
Unlock for access to all 73 flashcards in this deck.
Unlock Deck
k this deck
20
Write the following expressions so that no answer includes negative exponents. Assume the
variables are nonzero.

variables are nonzero.

Unlock Deck
Unlock for access to all 73 flashcards in this deck.
Unlock Deck
k this deck
21
Write each decimal number in scientific notation.
0.9992
0.9992
Unlock Deck
Unlock for access to all 73 flashcards in this deck.
Unlock Deck
k this deck
22
Simplify each expression, first as a base to a single power, then, if possible, as a decimal.


Unlock Deck
Unlock for access to all 73 flashcards in this deck.
Unlock Deck
k this deck
23
Determine the number of significant digits.
7,,998 540
7,,998 540
Unlock Deck
Unlock for access to all 73 flashcards in this deck.
Unlock Deck
k this deck
24
Simplify each expression, first as a base to a single power, then, if possible, as a decimal.


Unlock Deck
Unlock for access to all 73 flashcards in this deck.
Unlock Deck
k this deck
25
Write the following expressions so that no answer includes negative exponents.
Assume the variables are nonzero.

Assume the variables are nonzero.

Unlock Deck
Unlock for access to all 73 flashcards in this deck.
Unlock Deck
k this deck
26
Use your calculator to evaluate the following expressions. If the value is not exact, round
your answer to four decimal places.

your answer to four decimal places.

Unlock Deck
Unlock for access to all 73 flashcards in this deck.
Unlock Deck
k this deck
27
Use your calculator to evaluate the following expressions. If the value is not exact, round
your answer to four decimal places.

your answer to four decimal places.

Unlock Deck
Unlock for access to all 73 flashcards in this deck.
Unlock Deck
k this deck
28
Determine the number of significant digits.
0.0841
0.0841
Unlock Deck
Unlock for access to all 73 flashcards in this deck.
Unlock Deck
k this deck
29
Write each decimal number in scientific notation.
850.23
850.23
Unlock Deck
Unlock for access to all 73 flashcards in this deck.
Unlock Deck
k this deck
30
Write the following expressions so that no answer includes negative exponents.
Assume the variables are nonzero.

Assume the variables are nonzero.

Unlock Deck
Unlock for access to all 73 flashcards in this deck.
Unlock Deck
k this deck
31
Use dimensional analysis to answer the following.
How many hundreds, tens, and ones are in the following sum?
How many hundreds, tens, and ones are in the following sum?

Unlock Deck
Unlock for access to all 73 flashcards in this deck.
Unlock Deck
k this deck
32
Simplify the following and write your answers in scientific notation.
Find the mean of the following set of data. 21.11.26 sec 11.23 sec 11.30 sec 11.29 sec AE: ___________
Assume the data above is used to predict the average time RE: ___________it takes a runner to run the 100-m dash. Use the mean from
the data set to compute the absolute error and relative error
if the actual time to run the 100 meters is 11.26 seconds.
Round to two decimal places if necessary.
Find the mean of the following set of data. 21.11.26 sec 11.23 sec 11.30 sec 11.29 sec AE: ___________
Assume the data above is used to predict the average time RE: ___________it takes a runner to run the 100-m dash. Use the mean from
the data set to compute the absolute error and relative error
if the actual time to run the 100 meters is 11.26 seconds.
Round to two decimal places if necessary.
Unlock Deck
Unlock for access to all 73 flashcards in this deck.
Unlock Deck
k this deck
33
Use your calculator to evaluate the following expressions. If the value is not exact, round
your answer to four decimal places.

your answer to four decimal places.

Unlock Deck
Unlock for access to all 73 flashcards in this deck.
Unlock Deck
k this deck
34
Simplify each expression, first as a base to a single power, then, if possible, as a decimal.


Unlock Deck
Unlock for access to all 73 flashcards in this deck.
Unlock Deck
k this deck
35
Write the following expressions so that no answer includes negative exponents.
Assume the variables are nonzero.

Assume the variables are nonzero.

Unlock Deck
Unlock for access to all 73 flashcards in this deck.
Unlock Deck
k this deck
36
Convert each number into decimal notation.


Unlock Deck
Unlock for access to all 73 flashcards in this deck.
Unlock Deck
k this deck
37
Write the following expressions so that no answer includes negative exponents.
Assume the variables are nonzero.

Assume the variables are nonzero.

Unlock Deck
Unlock for access to all 73 flashcards in this deck.
Unlock Deck
k this deck
38
Write the following expressions so that no answer includes negative exponents.
Assume the variables are nonzero.

Assume the variables are nonzero.

Unlock Deck
Unlock for access to all 73 flashcards in this deck.
Unlock Deck
k this deck
39
Write the following expressions so that no answer includes negative exponents.
Assume the variables are nonzero.

Assume the variables are nonzero.

Unlock Deck
Unlock for access to all 73 flashcards in this deck.
Unlock Deck
k this deck
40
Use dimensional analysis to answer the following.
Write in exponential form.
ssssssssssss⋅⋅⋅⋅⋅⋅⋅⋅⋅⋅⋅⋅⋅⋅⋅⋅ttttt
Write in exponential form.
ssssssssssss⋅⋅⋅⋅⋅⋅⋅⋅⋅⋅⋅⋅⋅⋅⋅⋅ttttt
Unlock Deck
Unlock for access to all 73 flashcards in this deck.
Unlock Deck
k this deck
41
Write the following expressions so that no answer includes negative exponents.
Assume the variables are nonzero.

Assume the variables are nonzero.

Unlock Deck
Unlock for access to all 73 flashcards in this deck.
Unlock Deck
k this deck
42
Simplify the following and write your answers in scientific notation.
Find the mean of the following set of data. 21.
60 61 62 59 63 61 AE: ___________
Assume the data above is used to predict the average RE: ___________
number of heartbeats per minute of a young man out for a stroll. Use the mean from the data set to compute
the absolute error and relative error if the actual number
of heartbeats per minute is 62. Round to two decimal
places if necessary.
Determine the number of significant digits.
Find the mean of the following set of data. 21.
60 61 62 59 63 61 AE: ___________
Assume the data above is used to predict the average RE: ___________
number of heartbeats per minute of a young man out for a stroll. Use the mean from the data set to compute
the absolute error and relative error if the actual number
of heartbeats per minute is 62. Round to two decimal
places if necessary.
Determine the number of significant digits.
Unlock Deck
Unlock for access to all 73 flashcards in this deck.
Unlock Deck
k this deck
43
Simplify the following and write your answers in scientific notation.
1,000,000,001
1,000,000,001
Unlock Deck
Unlock for access to all 73 flashcards in this deck.
Unlock Deck
k this deck
44
Simplify each expression, first as a base to a single power, then,
if possible, as a decimal.

if possible, as a decimal.

Unlock Deck
Unlock for access to all 73 flashcards in this deck.
Unlock Deck
k this deck
45
Write the following expressions so that no answer includes negative exponents.
Assume the variables are nonzero.

Assume the variables are nonzero.

Unlock Deck
Unlock for access to all 73 flashcards in this deck.
Unlock Deck
k this deck
46
Simplify the following and write your answers in scientific notation.


Unlock Deck
Unlock for access to all 73 flashcards in this deck.
Unlock Deck
k this deck
47
Write the following expressions so that no answer includes negative exponents.
Assume the variables are nonzero.

Assume the variables are nonzero.

Unlock Deck
Unlock for access to all 73 flashcards in this deck.
Unlock Deck
k this deck
48
Use your calculator to evaluate the following expressions. If the value is
not exact, round your answer to four decimal places.

not exact, round your answer to four decimal places.

Unlock Deck
Unlock for access to all 73 flashcards in this deck.
Unlock Deck
k this deck
49
Use dimensional analysis to answer the following.
How many hundreds, tens, and ones are in the following sum?
(a) 1; 4; 8
(b) 10; 4; 8
(c) 4; 8; 1
(d) 8; 4; 10
(e) None of these
How many hundreds, tens, and ones are in the following sum?

(a) 1; 4; 8
(b) 10; 4; 8
(c) 4; 8; 1
(d) 8; 4; 10
(e) None of these
Unlock Deck
Unlock for access to all 73 flashcards in this deck.
Unlock Deck
k this deck
50
Simplify the following and write your answers in scientific notation.


Unlock Deck
Unlock for access to all 73 flashcards in this deck.
Unlock Deck
k this deck
51
Use dimensional analysis to answer the following.
Write in exponential form. rrrrr⋅⋅⋅⋅⋅⋅⋅⋅⋅sssss⋅⋅⋅⋅⋅⋅⋅ttttttt
Write in exponential form. rrrrr⋅⋅⋅⋅⋅⋅⋅⋅⋅sssss⋅⋅⋅⋅⋅⋅⋅ttttttt

Unlock Deck
Unlock for access to all 73 flashcards in this deck.
Unlock Deck
k this deck
52
Simplify each expression, first as a base to a single power, then,
if possible, as a decimal.

if possible, as a decimal.

Unlock Deck
Unlock for access to all 73 flashcards in this deck.
Unlock Deck
k this deck
53
Write the following expressions so that no answer includes negative exponents.
Assume the variables are nonzero.

Assume the variables are nonzero.

Unlock Deck
Unlock for access to all 73 flashcards in this deck.
Unlock Deck
k this deck
54
Use dimensional analysis to answer the following.
A leaky faucet wastes three quarts of water per day.
Assuming this loss rate doesn't change, approximately
how many gallons of water is wasted per year? There
are four quarts per gallon and about 365 days per year.
A leaky faucet wastes three quarts of water per day.
Assuming this loss rate doesn't change, approximately
how many gallons of water is wasted per year? There
are four quarts per gallon and about 365 days per year.
Unlock Deck
Unlock for access to all 73 flashcards in this deck.
Unlock Deck
k this deck
55
Write the following expressions so that no answer includes negative exponents.
Assume the variables are nonzero.

Assume the variables are nonzero.

Unlock Deck
Unlock for access to all 73 flashcards in this deck.
Unlock Deck
k this deck
56
Write the following expressions so that no answer includes negative exponents.
Assume the variables are nonzero.

Assume the variables are nonzero.

Unlock Deck
Unlock for access to all 73 flashcards in this deck.
Unlock Deck
k this deck
57
Simplify the following and write your answers in scientific notation.
0.9093
0.9093
Unlock Deck
Unlock for access to all 73 flashcards in this deck.
Unlock Deck
k this deck
58
Simplify each expression, first as a base to a single power, then,
if possible, as a decimal.

if possible, as a decimal.

Unlock Deck
Unlock for access to all 73 flashcards in this deck.
Unlock Deck
k this deck
59
Use dimensional analysis to answer the following.
A student drove home after finals to visit his parents.
If it took him 3 hours to get home while traveling at
an average speed of
how far is the student's
home from his college?
A student drove home after finals to visit his parents.
If it took him 3 hours to get home while traveling at
an average speed of
how far is the student'shome from his college?
Unlock Deck
Unlock for access to all 73 flashcards in this deck.
Unlock Deck
k this deck
60
Convert each number into decimal notation.


Unlock Deck
Unlock for access to all 73 flashcards in this deck.
Unlock Deck
k this deck
61
Write each decimal number in scientific notation.
5,784,900,000
5,784,900,000

Unlock Deck
Unlock for access to all 73 flashcards in this deck.
Unlock Deck
k this deck
62
Convert each number into decimal notation.

(a) 0.000000561
(b) 0.00000561
(c) 0.0000561
(d) 0.000561
(e) None of these

(a) 0.000000561
(b) 0.00000561
(c) 0.0000561
(d) 0.000561
(e) None of these
Unlock Deck
Unlock for access to all 73 flashcards in this deck.
Unlock Deck
k this deck
63
Write each decimal number in scientific notation.
0.007048
0.007048

Unlock Deck
Unlock for access to all 73 flashcards in this deck.
Unlock Deck
k this deck
64
Convert each number into decimal notation.


Unlock Deck
Unlock for access to all 73 flashcards in this deck.
Unlock Deck
k this deck
65
Use your calculator to evaluate the following expressions. If the value is
not exact, round your answer to four decimal places.

not exact, round your answer to four decimal places.

Unlock Deck
Unlock for access to all 73 flashcards in this deck.
Unlock Deck
k this deck
66
Use your calculator to evaluate the following expressions. If the value is
not exact, round your answer to four decimal places.

not exact, round your answer to four decimal places.

Unlock Deck
Unlock for access to all 73 flashcards in this deck.
Unlock Deck
k this deck
67
Simplify the following and write your answers in scientific notation.


Unlock Deck
Unlock for access to all 73 flashcards in this deck.
Unlock Deck
k this deck
68
Determine the number of significant digits.
0.0040307
(a) 1
(b) 3
(c) 6
(d) 8
(e) None of these
0.0040307
(a) 1
(b) 3
(c) 6
(d) 8
(e) None of these
Unlock Deck
Unlock for access to all 73 flashcards in this deck.
Unlock Deck
k this deck
69
Simplify the following and write your answers in scientific notation.


Unlock Deck
Unlock for access to all 73 flashcards in this deck.
Unlock Deck
k this deck
70
Determine the number of significant digits.
5,200,010
(a) 2
(b) 3
(c) 6
(d) 7
(e) None of these
5,200,010
(a) 2
(b) 3
(c) 6
(d) 7
(e) None of these
Unlock Deck
Unlock for access to all 73 flashcards in this deck.
Unlock Deck
k this deck
71
Use dimensional analysis to answer the following.
The winner of a drag race had a time of 4.52 seconds. The length of the track is one quarter mile. Find the approximate
Average speed of the winning car.
The winner of a drag race had a time of 4.52 seconds. The length of the track is one quarter mile. Find the approximate
Average speed of the winning car.

Unlock Deck
Unlock for access to all 73 flashcards in this deck.
Unlock Deck
k this deck
72
Simplify the following and write your answers in scientific notation.
Find the mean of the following set of data. 21.1.24 min 1.22 min 1.21 min 1.25 min Assume the data above is used to predict the average time it takes a swimmer to complete two laps in a pool. Use the
Mean from the data set to compute the absolute error and
Relative error if the actual time it takes the swimmer to
Complete the two laps is 1.26 minutes. Round to two
Decimal places if necessary.
(a) Mean: 1.23 min; AE: 0.03 min; RE: ≈ 23.%8
(b) Mean: 1.23 min; AE: 0.03 min; RE: ≈ 11.%9
(c) Mean: 1.22 min; AE: 0.04 min; RE: ≈ 31.%7
(d) Mean: 1.24 min; AE: 0.02 min; RE: ≈ 15.%9
(e) None of these
Find the mean of the following set of data. 21.1.24 min 1.22 min 1.21 min 1.25 min Assume the data above is used to predict the average time it takes a swimmer to complete two laps in a pool. Use the
Mean from the data set to compute the absolute error and
Relative error if the actual time it takes the swimmer to
Complete the two laps is 1.26 minutes. Round to two
Decimal places if necessary.
(a) Mean: 1.23 min; AE: 0.03 min; RE: ≈ 23.%8
(b) Mean: 1.23 min; AE: 0.03 min; RE: ≈ 11.%9
(c) Mean: 1.22 min; AE: 0.04 min; RE: ≈ 31.%7
(d) Mean: 1.24 min; AE: 0.02 min; RE: ≈ 15.%9
(e) None of these
Unlock Deck
Unlock for access to all 73 flashcards in this deck.
Unlock Deck
k this deck
73
Use dimensional analysis to answer the following.
Assume that a man spends 20 minutes per day in the shower. Approximately how many hours does the man spend in the
Shower during his lifetime if his life expectancy is 84 years?
A year has about 365 days, and a day is about 24 hours.
(a) 170 hours
(b) 10,220 hours
(c) 1533 hours
(d) 613,200 hours
(e) None of these
Assume that a man spends 20 minutes per day in the shower. Approximately how many hours does the man spend in the
Shower during his lifetime if his life expectancy is 84 years?
A year has about 365 days, and a day is about 24 hours.
(a) 170 hours
(b) 10,220 hours
(c) 1533 hours
(d) 613,200 hours
(e) None of these
Unlock Deck
Unlock for access to all 73 flashcards in this deck.
Unlock Deck
k this deck

