Deck 17: Biochemistry
Question
Question
Question
Question
Question
Question
Question
Question
Question
Question
Question
Question
Question
Question
Question
Question
Question
Question
Question
Question
Question
Question
Question
Question
Question
Question
Question
Question
Question
Question
Question
Question
Question
Question
Question
Question
Question
Question
Question
Question
Question
Question
Question
Question
Question
Question
Question
Question
Question
Question
Question
Question
Question
Question
Question
Question
Question
Question
Question
Question
Question
Question
Question
Question
Question
Question
Question
Question
Question
Question
Question
Question
Question
Question
Question
Question
Question
Question
Question
Question
Unlock Deck
Sign up to unlock the cards in this deck!
Unlock Deck
Unlock Deck
1/95
Play
Full screen (f)
Deck 17: Biochemistry
1
The following peptide is formed from two amino acids: Which of the following correctly identifies the alpha carbons as indicated by the circled atoms?

A)A
B)B
C)C
D)D
E)E

A)A
B)B
C)C
D)D
E)E
B
2
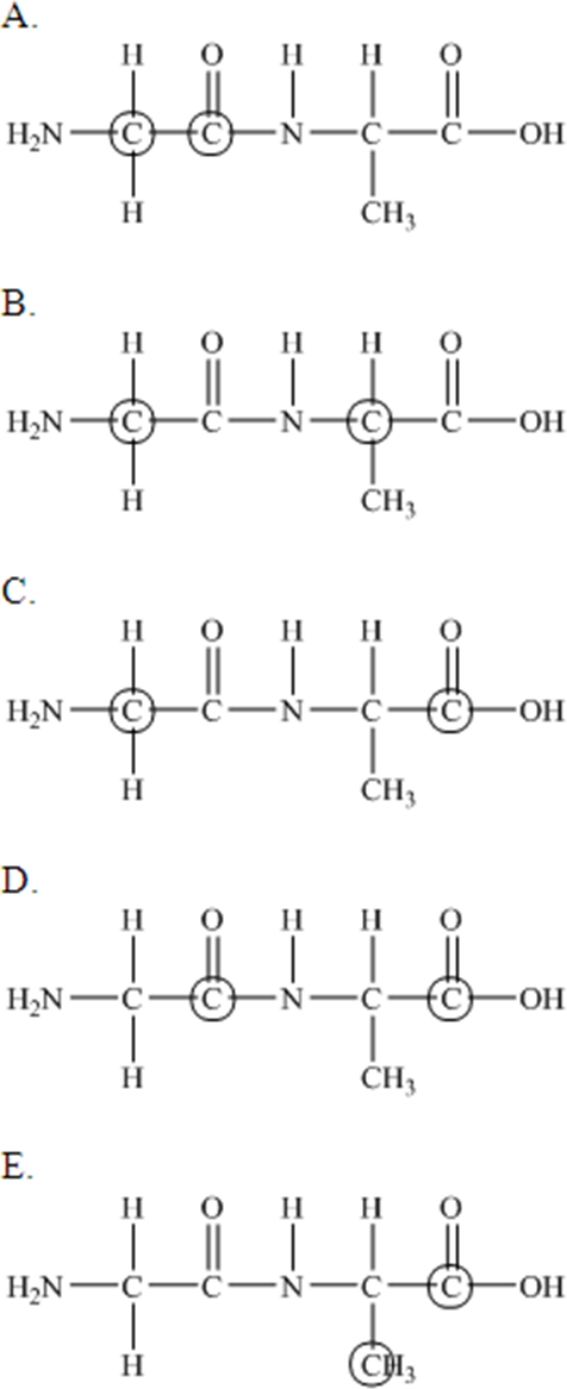
The following molecule is formed by three amino acids: Identify the alpha carbons (using the numbers as shown) and the side chains for each amino acid in the molecule. 
A)1, 2; H, CO
B)3, 5, 8; CH3, CO, CH2(CH3)2
C)1, 3, 5; H, CH3, CO
D)2, 3, 8; CO, CH3, CH3
E)1, 3, 6; H, CH3, CH2(CH3)2

A)1, 2; H, CO
B)3, 5, 8; CH3, CO, CH2(CH3)2
C)1, 3, 5; H, CH3, CO
D)2, 3, 8; CO, CH3, CH3
E)1, 3, 6; H, CH3, CH2(CH3)2
1, 3, 6; H, CH3, CH2(CH3)2
3
The following peptide is formed from two amino acids: Which of the following correctly identifies the alpha carbons as indicated by the circled atoms?

A)A
B)B
C)C
D)D
E)E

A)A
B)B
C)C
D)D
E)E
C
4
The following molecule is formed by two amino acids: Identify the alpha carbons using the numbers as shown. 
A)2, 4
B)1, 6
C)2, 3
D)2, 6

A)2, 4
B)1, 6
C)2, 3
D)2, 6
Unlock Deck
Unlock for access to all 95 flashcards in this deck.
Unlock Deck
k this deck
5
The following peptide is formed from two amino acids: Which of the following correctly identifies the peptide bond as indicated by the circled bond?

A)A
B)B
C)C
D)D
E)E

A)A
B)B
C)C
D)D
E)E
Unlock Deck
Unlock for access to all 95 flashcards in this deck.
Unlock Deck
k this deck
6
Which of the amino acids contains a basic side chain?
A)
B)
C)
D)
E)
A)

B)

C)

D)

E)

Unlock Deck
Unlock for access to all 95 flashcards in this deck.
Unlock Deck
k this deck
7
Which amino acid contains a nonpolar side chain?
A)
B)
C)
D)
E)
A)

B)

C)

D)

E)

Unlock Deck
Unlock for access to all 95 flashcards in this deck.
Unlock Deck
k this deck
8
Which of the following is not a building block for proteins?
A)
B)
C)
D)
E)
A)

B)

C)

D)

E)

Unlock Deck
Unlock for access to all 95 flashcards in this deck.
Unlock Deck
k this deck
9
Which of the following correctly shows the product of the reaction between serine and alanine? 
A)A
B)B
C)C
D)D
E)E

A)A
B)B
C)C
D)D
E)E
Unlock Deck
Unlock for access to all 95 flashcards in this deck.
Unlock Deck
k this deck
10
Which of these forms represents how an amino acid exists under physiological conditions?
A)
B)
C)
D)
E)
A)

B)

C)

D)

E)

Unlock Deck
Unlock for access to all 95 flashcards in this deck.
Unlock Deck
k this deck
11
The following molecule is formed by three amino acids: Identify the alpha carbons using the numbers as shown. 
A)1, 2
B)3, 5, 8
C)1, 3, 5
D)2, 3, 8
E)1, 3, 6

A)1, 2
B)3, 5, 8
C)1, 3, 5
D)2, 3, 8
E)1, 3, 6
Unlock Deck
Unlock for access to all 95 flashcards in this deck.
Unlock Deck
k this deck
12
Which of the following tripeptides could not be formed by a combination of glycine, cysteine, and isoleucine.
A)Gly-Cys-Ile
B)Gly-Ile-Cys
C)Ile-Gly-Cys
D)Cys-Ile-Gly
E)All of these are possible.
A)Gly-Cys-Ile
B)Gly-Ile-Cys
C)Ile-Gly-Cys
D)Cys-Ile-Gly
E)All of these are possible.
Unlock Deck
Unlock for access to all 95 flashcards in this deck.
Unlock Deck
k this deck
13
Which amino acid contains a polar side chain?
A)
B)
C)
D)
E)
A)

B)

C)

D)

E)

Unlock Deck
Unlock for access to all 95 flashcards in this deck.
Unlock Deck
k this deck
14
Which of the amino acids contains an acidic side chain?
A)
B)
C)
D)
E)
A)

B)

C)

D)

E)

Unlock Deck
Unlock for access to all 95 flashcards in this deck.
Unlock Deck
k this deck
15
The following peptide is formed from two amino acids: Which of the following correctly identifies the peptide bond as indicated by the circled bond?

A)A
B)B
C)C
D)D
E)E

A)A
B)B
C)C
D)D
E)E
Unlock Deck
Unlock for access to all 95 flashcards in this deck.
Unlock Deck
k this deck
16
Which of the amino acids is a building block for proteins?
A)
B)
C)
D)
E)
A)

B)

C)

D)

E)

Unlock Deck
Unlock for access to all 95 flashcards in this deck.
Unlock Deck
k this deck
17
Which of the following could be formed by reaction of Met-Thr-Arg with Ser?
A)Met-Thr-Arg
B)Ser-Met-Thr-Arg
C)Met-Ser-Thr-Arg
D)Met-Thr-Ser-Arg
E)Met-Ser-Arg
A)Met-Thr-Arg
B)Ser-Met-Thr-Arg
C)Met-Ser-Thr-Arg
D)Met-Thr-Ser-Arg
E)Met-Ser-Arg
Unlock Deck
Unlock for access to all 95 flashcards in this deck.
Unlock Deck
k this deck
18
The following molecule is formed by two amino acids: Identify the alpha carbons (using the numbers as shown) and the side chains for each amino acid in the molecule. 
A)2, 4; CH3, CH2SH
B)1, 6; CHNH2, SH
C)2, 3; CH3, CO
D)2, 4; NH2, CO2H
E)2, 6; CH3, SH

A)2, 4; CH3, CH2SH
B)1, 6; CHNH2, SH
C)2, 3; CH3, CO
D)2, 4; NH2, CO2H
E)2, 6; CH3, SH
Unlock Deck
Unlock for access to all 95 flashcards in this deck.
Unlock Deck
k this deck
19
Which of the following correctly shows the product of the reaction between serine and glycine? 
A)A
B)B
C)C
D)D
E)E

A)A
B)B
C)C
D)D
E)E
Unlock Deck
Unlock for access to all 95 flashcards in this deck.
Unlock Deck
k this deck
20
Which of the following tripeptides contain one each of serine, glycine, and cysteine?
A)Ser-Gly-Cys
B)Ser-Gly-Ile
C)Gly-Gly-Ser
D)Gly-Ser-Gly
E)Sin-Gin-Cin
A)Ser-Gly-Cys
B)Ser-Gly-Ile
C)Gly-Gly-Ser
D)Gly-Ser-Gly
E)Sin-Gin-Cin
Unlock Deck
Unlock for access to all 95 flashcards in this deck.
Unlock Deck
k this deck
21
Which type of protein structure describes the order of amino acids in a protein?
A)primary
B)secondary
C)tertiary
D)quaternary
E)peptide bond
A)primary
B)secondary
C)tertiary
D)quaternary
E)peptide bond
Unlock Deck
Unlock for access to all 95 flashcards in this deck.
Unlock Deck
k this deck
22
How many different amino acids are obtained by hydrolyzing all the peptide bonds in the following polypeptide? 
A)1
B)2
C)3
D)4
E)5

A)1
B)2
C)3
D)4
E)5
Unlock Deck
Unlock for access to all 95 flashcards in this deck.
Unlock Deck
k this deck
23
Identify the two classes of nucleic acids.
A)ribonucleic acid and deoxyribonucleic acid
B)alpha helix and pleated sheet
C)dipeptide and tripeptide
D)primary and secondary
E)globular and fibrous
A)ribonucleic acid and deoxyribonucleic acid
B)alpha helix and pleated sheet
C)dipeptide and tripeptide
D)primary and secondary
E)globular and fibrous
Unlock Deck
Unlock for access to all 95 flashcards in this deck.
Unlock Deck
k this deck
24
Which of the following is not a base found in RNA?
A)
B)
C)
D)
E)
A)

B)

C)

D)

E)

Unlock Deck
Unlock for access to all 95 flashcards in this deck.
Unlock Deck
k this deck
25
Which type of protein structure describes the way in which the various regions of secondary structure in a protein are arranged into a three-dimensional shape?
A)primary
B)secondary
C)tertiary
D)quaternary
E)pleated sheet
A)primary
B)secondary
C)tertiary
D)quaternary
E)pleated sheet
Unlock Deck
Unlock for access to all 95 flashcards in this deck.
Unlock Deck
k this deck
26
Which type of protein structure is illustrated by this image of bacterial protein G? 
A)primary
B)secondary
C)tertiary
D)quaternary
E)helical

A)primary
B)secondary
C)tertiary
D)quaternary
E)helical
Unlock Deck
Unlock for access to all 95 flashcards in this deck.
Unlock Deck
k this deck
27
Which type of protein structure is illustrated by this image of hexokinase? 
A)primary
B)secondary
C)tertiary
D)quaternary
E)helical

A)primary
B)secondary
C)tertiary
D)quaternary
E)helical
Unlock Deck
Unlock for access to all 95 flashcards in this deck.
Unlock Deck
k this deck
28
How many different amino acids are obtained by hydrolyzing all the peptide bonds in the following polypeptide? 
A)1
B)2
C)3
D)4
E)5

A)1
B)2
C)3
D)4
E)5
Unlock Deck
Unlock for access to all 95 flashcards in this deck.
Unlock Deck
k this deck
29
What are the parts of a nucleic acid?
A)sugar and nitrogen base
B)sugar and phosphate group
C)sugar and phosphorus base
D)sugar, phosphate group, and nitrogen base
E)phosphate group and nitrogen base
A)sugar and nitrogen base
B)sugar and phosphate group
C)sugar and phosphorus base
D)sugar, phosphate group, and nitrogen base
E)phosphate group and nitrogen base
Unlock Deck
Unlock for access to all 95 flashcards in this deck.
Unlock Deck
k this deck
30
_____ is one of a class of organic polymers making up most body tissue that is characterized by the presence of peptide bonds and formed by the polymerization of amino acids.
A)A dipeptide
B)A tripeptide
C)A protein
D)DNA
E)A carbohydrate
A)A dipeptide
B)A tripeptide
C)A protein
D)DNA
E)A carbohydrate
Unlock Deck
Unlock for access to all 95 flashcards in this deck.
Unlock Deck
k this deck
31
Which amino acids are obtained by hydrolyzing all the peptide bonds in the following polypeptide? 
A)
B)
C)
D)
E)

A)

B)

C)

D)

E)

Unlock Deck
Unlock for access to all 95 flashcards in this deck.
Unlock Deck
k this deck
32
Which type of protein structure results from the association in a protein of two or more polypeptide chains?
A)primary
B)secondary
C)tertiary
D)quaternary
E)globular
A)primary
B)secondary
C)tertiary
D)quaternary
E)globular
Unlock Deck
Unlock for access to all 95 flashcards in this deck.
Unlock Deck
k this deck
33
What is the fundamental unit of a nucleic acid polymer, consisting of a sugar molecule bonded to both a phosphate group and an organic, nitrogen-containing base?
A)nucleotide
B)nucleic acid
C)tripeptide
D)monomer
E)triglyceride
A)nucleotide
B)nucleic acid
C)tripeptide
D)monomer
E)triglyceride
Unlock Deck
Unlock for access to all 95 flashcards in this deck.
Unlock Deck
k this deck
34
Which of the following structures is the sugar found in DNA?
A)
B)
C)
D)
E)
A)

B)

C)

D)

E)

Unlock Deck
Unlock for access to all 95 flashcards in this deck.
Unlock Deck
k this deck
35
Which of the following structures is the sugar found in RNA?
A)
B)
C)
D)
E)
A)

B)

C)

D)

E)

Unlock Deck
Unlock for access to all 95 flashcards in this deck.
Unlock Deck
k this deck
36
How many different amino acids are obtained by hydrolyzing all the peptide bonds in the following polypeptide? 
A)1
B)2
C)3
D)4
E)5

A)1
B)2
C)3
D)4
E)5
Unlock Deck
Unlock for access to all 95 flashcards in this deck.
Unlock Deck
k this deck
37
Which of the following will denature proteins?
A)heating
B)strong mixing
C)adding strong acids
D)adding a nonaqueous solvent
E)all of these
A)heating
B)strong mixing
C)adding strong acids
D)adding a nonaqueous solvent
E)all of these
Unlock Deck
Unlock for access to all 95 flashcards in this deck.
Unlock Deck
k this deck
38
Which of the following is not a base found in DNA?
A)
B)
C)
D)
E)
A)

B)

C)

D)

E)

Unlock Deck
Unlock for access to all 95 flashcards in this deck.
Unlock Deck
k this deck
39
Which amino acids are obtained by hydrolyzing all the peptide bonds in the following polypeptide? 
A)
B)
C)
D)
E)

A)

B)

C)

D)

E)

Unlock Deck
Unlock for access to all 95 flashcards in this deck.
Unlock Deck
k this deck
40
How many different amino acids are obtained by hydrolyzing all the peptide bonds in the following polypeptide? 
A)0
B)1
C)2
D)3
E)4

A)0
B)1
C)2
D)3
E)4
Unlock Deck
Unlock for access to all 95 flashcards in this deck.
Unlock Deck
k this deck
41
A portion of one strand in a DNA molecule has the following sequence of bases: AATAGCAGGCTTA Identify the sequence of bases in the other strand of the DNA molecule that would hydrogen-bond to these bases.
A)TTATCGTCCGAAT
B)GGCGATGAATCCG
C)CCGCTACTTAGGC
D)AATAGCAGGCTTA
E)TTGTACTAACGGT
A)TTATCGTCCGAAT
B)GGCGATGAATCCG
C)CCGCTACTTAGGC
D)AATAGCAGGCTTA
E)TTGTACTAACGGT
Unlock Deck
Unlock for access to all 95 flashcards in this deck.
Unlock Deck
k this deck
42
A portion of a DNA strand has the following base sequence: GACTAACCTT What is the corresponding base sequence in mRNA transcribed from this DNA?
A)CUGAUUGGAA
B)CTGATTGGAA
C)CTGUTTGGAA
D)CTUATTUUAA
E)GACTAACCTT
A)CUGAUUGGAA
B)CTGATTGGAA
C)CTGUTTGGAA
D)CTUATTUUAA
E)GACTAACCTT
Unlock Deck
Unlock for access to all 95 flashcards in this deck.
Unlock Deck
k this deck
43
Identify the following structure: 
A)amino acid
B)DNA
C)lipid
D)nucleotide
E)glucose

A)amino acid
B)DNA
C)lipid
D)nucleotide
E)glucose
Unlock Deck
Unlock for access to all 95 flashcards in this deck.
Unlock Deck
k this deck
44
Identify the sugar and nucleic acid in which this structure would be found. 
A)ribose, DNA
B)deoxyribose, RNA
C)ribose, RNA
D)deoxyribose, DNA
E)glucose, gluconic acid

A)ribose, DNA
B)deoxyribose, RNA
C)ribose, RNA
D)deoxyribose, DNA
E)glucose, gluconic acid
Unlock Deck
Unlock for access to all 95 flashcards in this deck.
Unlock Deck
k this deck
45
Which of the following corresponds to the process of copying DNA to make new DNA molecules?
A)replication
B)codonation
C)hydrolysis
D)translation
E)transcription
A)replication
B)codonation
C)hydrolysis
D)translation
E)transcription
Unlock Deck
Unlock for access to all 95 flashcards in this deck.
Unlock Deck
k this deck
46
Which of the following is present in DNA but not found in RNA?
A)adenine
B)thymine
C)uracil
D)cytosine
E)guanine
A)adenine
B)thymine
C)uracil
D)cytosine
E)guanine
Unlock Deck
Unlock for access to all 95 flashcards in this deck.
Unlock Deck
k this deck
47
Which of the following takes the genetic code from DNA to the ribosomes for protein synthesis?
A)DNA
B)gly
C)mRNA
D)tRNA
E)mDNA
A)DNA
B)gly
C)mRNA
D)tRNA
E)mDNA
Unlock Deck
Unlock for access to all 95 flashcards in this deck.
Unlock Deck
k this deck
48
Which of the following is present in RNA but not found in DNA?
A)adenine
B)thymine
C)uracil
D)cytosine
E)guanine
A)adenine
B)thymine
C)uracil
D)cytosine
E)guanine
Unlock Deck
Unlock for access to all 95 flashcards in this deck.
Unlock Deck
k this deck
49
If the base sequence in a portion of a strand of DNA is ACTAAGATC, what is the base sequence in the strand of mRNA transcribed from this DNA?
A)ACTAAGATC
B)TUATTCTAU
C)UGAUUCUAG
D)TGUTTCTUG
E)TGATTCTAG
A)ACTAAGATC
B)TUATTCTAU
C)UGAUUCUAG
D)TGUTTCTUG
E)TGATTCTAG
Unlock Deck
Unlock for access to all 95 flashcards in this deck.
Unlock Deck
k this deck
50
If the codon in mRNA is UUU, what anticodon in tRNA allows it to hydrogen bond to the mRNA?
A)TTT
B)CCC
C)AAA
D)UUU
E)GGG
A)TTT
B)CCC
C)AAA
D)UUU
E)GGG
Unlock Deck
Unlock for access to all 95 flashcards in this deck.
Unlock Deck
k this deck
51
A portion of one strand in a DNA molecule has the following sequence of bases: TTAGCCAGTGCTA Identify the sequence of bases in the other strand of the DNA molecule that would hydrogen bond to these bases.
A)CCGATTGACATCG
B)GGCTAACTGTAGC
C)AATCGGTCACGAT
D)TTAGCCAGTGCTA
E)GGTACCTAGACGT
A)CCGATTGACATCG
B)GGCTAACTGTAGC
C)AATCGGTCACGAT
D)TTAGCCAGTGCTA
E)GGTACCTAGACGT
Unlock Deck
Unlock for access to all 95 flashcards in this deck.
Unlock Deck
k this deck
52
Which of the following corresponds to the process of synthesizing various types of RNA?
A)replication
B)codonation
C)hydrolysis
D)translation
E)transcription
A)replication
B)codonation
C)hydrolysis
D)translation
E)transcription
Unlock Deck
Unlock for access to all 95 flashcards in this deck.
Unlock Deck
k this deck
53
If the anticodon in tRNA is CAG, what codon is needed in mRNA to allow them to hydrogen bond?
A)GUC
B)CAG
C)GTC
D)TUC
E)TCA
A)GUC
B)CAG
C)GTC
D)TUC
E)TCA
Unlock Deck
Unlock for access to all 95 flashcards in this deck.
Unlock Deck
k this deck
54
If the base sequence in a portion of a strand of DNA is TTGGAGTACC, what is the base sequence in the strand of mRNA transcribed from this DNA?
A)TTGGAGTACC
B)AACCTCATGG
C)UUCCTCUTGG
D)AACCTCATUU
E)AACCUCAUGG
A)TTGGAGTACC
B)AACCTCATGG
C)UUCCTCUTGG
D)AACCTCATUU
E)AACCUCAUGG
Unlock Deck
Unlock for access to all 95 flashcards in this deck.
Unlock Deck
k this deck
55
A portion of a DNA strand has the following base sequence: TTAACGCGATA What is the corresponding base sequence in mRNA transcribed from this DNA?
A)AAUUGCGCUAU
B)AATTGCGCTAT
C)UUTTGCGCTUT
D)TTAACGCGATA
E)AATTUCUCTAT
A)AAUUGCGCUAU
B)AATTGCGCTAT
C)UUTTGCGCTUT
D)TTAACGCGATA
E)AATTUCUCTAT
Unlock Deck
Unlock for access to all 95 flashcards in this deck.
Unlock Deck
k this deck
56
What is a high-molar-mass nucleic acid that stores genetic information and has a double helix structure?
A)tRNA
B)mRNA
C)DNA
D)dRNA
E)cytoplasm
A)tRNA
B)mRNA
C)DNA
D)dRNA
E)cytoplasm
Unlock Deck
Unlock for access to all 95 flashcards in this deck.
Unlock Deck
k this deck
57
A portion of one strand in a DNA molecule has the following sequence of bases: ATATCGTCCGAA Identify the sequence of bases in the other strand of the DNA molecule that would hydrogen bond to these bases.
A)TGTGCAGCCATT
B)CGCGATGAATCC
C)ATATCGTCCGAA
D)TATAGCAGGCTT
E)GCGCTACTTAGG
A)TGTGCAGCCATT
B)CGCGATGAATCC
C)ATATCGTCCGAA
D)TATAGCAGGCTT
E)GCGCTACTTAGG
Unlock Deck
Unlock for access to all 95 flashcards in this deck.
Unlock Deck
k this deck
58
A portion of one strand in a DNA molecule has the following sequence of bases: CGGAATTTACG Identify the sequence of bases in the other strand of the DNA molecule that would hydrogen-bond to these bases.
A)CGGAATTTACG
B)GCCTTAAATGC
C)CAATTGGGTCA
D)TAAGGCCCGTA
E)ATTCCGGGCAT
A)CGGAATTTACG
B)GCCTTAAATGC
C)CAATTGGGTCA
D)TAAGGCCCGTA
E)ATTCCGGGCAT
Unlock Deck
Unlock for access to all 95 flashcards in this deck.
Unlock Deck
k this deck
59
What is the series of three bases in a nucleic acid that defines the amino acid to be used in the synthesis of a protein?
A)nucleotide
B)codon
C)tripeptide
D)translation
E)amino acid
A)nucleotide
B)codon
C)tripeptide
D)translation
E)amino acid
Unlock Deck
Unlock for access to all 95 flashcards in this deck.
Unlock Deck
k this deck
60
Which of the following corresponds to the process of using RNA molecules to synthesize protein molecules from amino acids?
A)replication
B)codonation
C)hydrolysis
D)translation
E)transcription
A)replication
B)codonation
C)hydrolysis
D)translation
E)transcription
Unlock Deck
Unlock for access to all 95 flashcards in this deck.
Unlock Deck
k this deck
61
Which of the following provides the most branching sites for glucose removal when energy is needed by the body?
A)amylose
B)amylopectin
C)glycogen
D)triglyceride
E)deoxyribonucleic acid
A)amylose
B)amylopectin
C)glycogen
D)triglyceride
E)deoxyribonucleic acid
Unlock Deck
Unlock for access to all 95 flashcards in this deck.
Unlock Deck
k this deck
62
The bonds that hold sugars together in polysaccharides are
A)ether linkages
B)peptide bonds
C)disulfide linkages
D)carbon-carbon covalent bond
E)ionic bonds
A)ether linkages
B)peptide bonds
C)disulfide linkages
D)carbon-carbon covalent bond
E)ionic bonds
Unlock Deck
Unlock for access to all 95 flashcards in this deck.
Unlock Deck
k this deck
63
A triglyceride contains the following fatty acid.Is this triglyceride a fat or an oil? Is it a liquid or a solid? Is it saturated or unsaturated? 
A)solid fat, unsaturated
B)solid fat, saturated
C)liquid fat, unsaturated
D)liquid oil, unsaturated
E)liquid oil, saturated

A)solid fat, unsaturated
B)solid fat, saturated
C)liquid fat, unsaturated
D)liquid oil, unsaturated
E)liquid oil, saturated
Unlock Deck
Unlock for access to all 95 flashcards in this deck.
Unlock Deck
k this deck
64
What types of glucose polymers are present in starch?
A)glycogen and cellulose
B)cellulose and fatty acids
C)amylose and amylopectin
D)adenine and guanine
E)polypeptides and nucleic acids
A)glycogen and cellulose
B)cellulose and fatty acids
C)amylose and amylopectin
D)adenine and guanine
E)polypeptides and nucleic acids
Unlock Deck
Unlock for access to all 95 flashcards in this deck.
Unlock Deck
k this deck
65
A triglyceride is formed from the following fatty acid.Is this triglyceride a fat or an oil? Is it a solid or a liquid? Is it saturated or unsaturated? 
A)solid fat, unsaturated
B)solid fat, saturated
C)liquid fat, unsaturated
D)liquid oil, unsaturated
E)liquid oil, saturated

A)solid fat, unsaturated
B)solid fat, saturated
C)liquid fat, unsaturated
D)liquid oil, unsaturated
E)liquid oil, saturated
Unlock Deck
Unlock for access to all 95 flashcards in this deck.
Unlock Deck
k this deck
66
The beginning of a strand of mRNA has the following base sequence: AUG_UUA_UAU_UGC_UUA_ACU_GUU_UAU.The polypeptide formed by the first seven steps of protein synthesis has the sequence Met-Leu-Tyr-Cys-Leu-Thr-Val.What is the next amino acid to be added to the polypeptide chain?
A)Cys
B)Leu
C)Met
D)Thr
E)Tyr
A)Cys
B)Leu
C)Met
D)Thr
E)Tyr
Unlock Deck
Unlock for access to all 95 flashcards in this deck.
Unlock Deck
k this deck
67
Identify the type of carbohydrate shown in this model. 
A)monosaccharide
B)disaccharide
C)polysaccharide
D)pentose
E)cellulose

A)monosaccharide
B)disaccharide
C)polysaccharide
D)pentose
E)cellulose
Unlock Deck
Unlock for access to all 95 flashcards in this deck.
Unlock Deck
k this deck
68
Glucose is a hexose sugar with the formula C6H12O6.Which of the following is -glucose?
A)
B)
C)
D)
E)
A)

B)

C)

D)

E)

Unlock Deck
Unlock for access to all 95 flashcards in this deck.
Unlock Deck
k this deck
69
A triglyceride contains the following fatty acid.Is this triglyceride a solid fat or a liquid oil? Is it saturated or unsaturated? Does it contain cis or trans arrangements at the double bonds? 
A)liquid oil, saturated, trans
B)liquid oil, saturated, cis
C)liquid oil, unsaturated, cis and trans
D)solid fat, saturated, cis
E)solid fat, unsaturated, trans

A)liquid oil, saturated, trans
B)liquid oil, saturated, cis
C)liquid oil, unsaturated, cis and trans
D)solid fat, saturated, cis
E)solid fat, unsaturated, trans
Unlock Deck
Unlock for access to all 95 flashcards in this deck.
Unlock Deck
k this deck
70
Glucose is a hexose sugar with the formula C6H12O6.Which of the following is -glucose?
A)
B)
C)
D)
E)
A)

B)

C)

D)

E)

Unlock Deck
Unlock for access to all 95 flashcards in this deck.
Unlock Deck
k this deck
71
The beginning of a strand of mRNA has the following base sequence: AUGCUUCCCCAACGAUUUCGACUU.The polypeptide formed by the first six steps of protein synthesis has the composition Met-Leu-Pro-Gln-Arg-Phe.What is the next amino acid to be added to the polypeptide chain?
A)Arg
B)Gln
C)Leu
D)Met
E)Phe
A)Arg
B)Gln
C)Leu
D)Met
E)Phe
Unlock Deck
Unlock for access to all 95 flashcards in this deck.
Unlock Deck
k this deck
72
A general class of biological molecules that can be extracted from cells by nonpolar solvents is called:
A)carbohydrates
B)proteins
C)cytoplasm
D)lipids
E)amino acids
A)carbohydrates
B)proteins
C)cytoplasm
D)lipids
E)amino acids
Unlock Deck
Unlock for access to all 95 flashcards in this deck.
Unlock Deck
k this deck
73
The beginning of a strand of mRNA has the following base sequence: AUGUUUUUGCCUCAUCGUUUGCAU.The polypeptide formed by the first six steps of protein synthesis has the sequence Met-Phe-Leu-Pro-His-Arg.What is the next amino acid to be added to the polypeptide chain?
A)Arg
B)His
C)Leu
D)Met
E)Phe
A)Arg
B)His
C)Leu
D)Met
E)Phe
Unlock Deck
Unlock for access to all 95 flashcards in this deck.
Unlock Deck
k this deck
74
Identify the type of carbohydrate shown in this model. 
A)monosaccharide
B)disaccharide
C)polysaccharide
D)pentose
E)cellulose

A)monosaccharide
B)disaccharide
C)polysaccharide
D)pentose
E)cellulose
Unlock Deck
Unlock for access to all 95 flashcards in this deck.
Unlock Deck
k this deck
75
Which of the following best describes this molecule? 
A)saturated fatty acid
B)cis unsaturated fatty acid
C)trans unsaturated fatty acid
D)nucleic acid
E)protein

A)saturated fatty acid
B)cis unsaturated fatty acid
C)trans unsaturated fatty acid
D)nucleic acid
E)protein
Unlock Deck
Unlock for access to all 95 flashcards in this deck.
Unlock Deck
k this deck
76
Examine the following model of a carbohydrate and classify the molecule. 
A)monosaccharide
B)disaccharide
C)polysaccharide
D)glycogen
E)cellulose

A)monosaccharide
B)disaccharide
C)polysaccharide
D)glycogen
E)cellulose
Unlock Deck
Unlock for access to all 95 flashcards in this deck.
Unlock Deck
k this deck
77
What is the class of biomolecules that serves as a source of energy, is composed of carbon, hydrogen, and oxygen, and has the general formula Cn(H2O)m?
A)nucleic acids
B)sugars
C)celluloses
D)carbohydrates
E)proteins
A)nucleic acids
B)sugars
C)celluloses
D)carbohydrates
E)proteins
Unlock Deck
Unlock for access to all 95 flashcards in this deck.
Unlock Deck
k this deck
78
Examine the following model of a portion of a carbohydrate and classify the molecule. 
A)monosaccharide
B)disaccharide
C)polysaccharide
D)pentose
E)sucrose

A)monosaccharide
B)disaccharide
C)polysaccharide
D)pentose
E)sucrose
Unlock Deck
Unlock for access to all 95 flashcards in this deck.
Unlock Deck
k this deck
79
The beginning of a strand of mRNA has the following base sequence: AUGUUCUCUGAUGGCAAUUCU.The polypeptide formed by the first six steps of protein synthesis has the composition Met-Phe-Ser-Asp-Gly-Asn.What is the next amino acid to be added to the polypeptide chain?
A)Asn
B)Asp
C)Met
D)Phe
E)Ser
A)Asn
B)Asp
C)Met
D)Phe
E)Ser
Unlock Deck
Unlock for access to all 95 flashcards in this deck.
Unlock Deck
k this deck
80
Which of the following best describes this molecule? 
A)saturated fatty acid
B)cis unsaturated fatty acid
C)trans unsaturated fatty acid
D)nucleic acid
E)protein

A)saturated fatty acid
B)cis unsaturated fatty acid
C)trans unsaturated fatty acid
D)nucleic acid
E)protein
Unlock Deck
Unlock for access to all 95 flashcards in this deck.
Unlock Deck
k this deck

