Deck 11: Carbohydrates
Question
Question
Question
Question
Question
Question
Question
Question
Question
Question
Question
Question
Question
Question
Question
Question
Question
Question
Question
Question
Question
Question
Question
Question
Question
Question
Question
Question
Question
Question
Question
Question
Question
Question
Question
Question
Question
Question
Question
Question
Question
Question
Question
Question
Question
Question
Question
Question
Question
Question
Unlock Deck
Sign up to unlock the cards in this deck!
Unlock Deck
Unlock Deck
1/50
Play
Full screen (f)
Deck 11: Carbohydrates
1
Two monosaccharides that differ in stereochemistry at only a single asymmetric carbon are called _____.
A) aldoses
B) epimers
C) anomers
D) pentoses
E) enantiomers
A) aldoses
B) epimers
C) anomers
D) pentoses
E) enantiomers
B
2
In N-linked glycoproteins, the carbohydrate portion is attached to a(n)_____________ residue in the protein.
asparagine
3
The influenza virus recognizes _______________ (a carbohydrate) residues of glycoproteins present on cell surface.
sialic acid
4
Fehling's solution is used to differentiate between reducing and nonreducing sugars. Which type of ion in Fehling's solution allows for this differentiation?
A) cupric
B) sodium
C) iodide
D) hydroxide
E) bicarbonate
A) cupric
B) sodium
C) iodide
D) hydroxide
E) bicarbonate
Unlock Deck
Unlock for access to all 50 flashcards in this deck.
Unlock Deck
k this deck
5
A _______________ is a stereoisomer that is not a mirror image.
Unlock Deck
Unlock for access to all 50 flashcards in this deck.
Unlock Deck
k this deck
6
Which of the following terms describes a class of compounds with the molecular formula (CH2O)n?
A) proteoglycans
B) glycogen
C) mucoproteins
D) polysaccharides
E) monosaccharides
A) proteoglycans
B) glycogen
C) mucoproteins
D) polysaccharides
E) monosaccharides
Unlock Deck
Unlock for access to all 50 flashcards in this deck.
Unlock Deck
k this deck
7
What term describes stereoisomers that are mirror images of each other?
A) anomers
B) epimers
C) enantiomers
D) diastereomers
E) meso compound
A) anomers
B) epimers
C) enantiomers
D) diastereomers
E) meso compound
Unlock Deck
Unlock for access to all 50 flashcards in this deck.
Unlock Deck
k this deck
8
Which of the following are proteins that bind to specific carbohydrate structures in order to facilitate recognition between proteins and cells?
A) mucoproteins
B) glycosaminoglycans
C) glycoproteins
D) lectins
E) proteoglycans
A) mucoproteins
B) glycosaminoglycans
C) glycoproteins
D) lectins
E) proteoglycans
Unlock Deck
Unlock for access to all 50 flashcards in this deck.
Unlock Deck
k this deck
9
What type of enzyme synthesizes oligosaccharides?
A) amylase
B) sucrase
C) glycosyltransferase
D) -galactosidase
E) protein kinase
A) amylase
B) sucrase
C) glycosyltransferase
D) -galactosidase
E) protein kinase
Unlock Deck
Unlock for access to all 50 flashcards in this deck.
Unlock Deck
k this deck
10
Which of the following is among the most abundant organic molecules in the biosphere?
A) glycogen
B) amylose
C) amylopectin
D) cellulose
E) chitin
A) glycogen
B) amylose
C) amylopectin
D) cellulose
E) chitin
Unlock Deck
Unlock for access to all 50 flashcards in this deck.
Unlock Deck
k this deck
11
Which of the following is the storage form of glucose in animals?
A) glycogen
B) amylose
C) amylopectin
D) cellulose
E) chitin
A) glycogen
B) amylose
C) amylopectin
D) cellulose
E) chitin
Unlock Deck
Unlock for access to all 50 flashcards in this deck.
Unlock Deck
k this deck
12
A _______________ is a five-membered ring formed from a monosaccharide.
Unlock Deck
Unlock for access to all 50 flashcards in this deck.
Unlock Deck
k this deck
13
_______________ is a disaccharide composed of galactose and glucose joined by a β-1,4 glycosidic bond.
Unlock Deck
Unlock for access to all 50 flashcards in this deck.
Unlock Deck
k this deck
14
Maltose is composed of two molecules of glucose linked together by a(n) ____________ glycosidic bond.
Unlock Deck
Unlock for access to all 50 flashcards in this deck.
Unlock Deck
k this deck
15
When an open-chain aldose cyclizes into a ring, it forms a _______________.
Unlock Deck
Unlock for access to all 50 flashcards in this deck.
Unlock Deck
k this deck
16
______is the class of glycoproteins with predominantly N-acetylgalactosamine moieties.
A) Glycosaminoglycans
B) Mucoproteins
C) Starch
D) Lectins
E) Proteoglycans
A) Glycosaminoglycans
B) Mucoproteins
C) Starch
D) Lectins
E) Proteoglycans
Unlock Deck
Unlock for access to all 50 flashcards in this deck.
Unlock Deck
k this deck
17
Plant starch is composed of amylose, a linear polymer of glucose, and a branched polymer of glucose referred to as _______________.
Unlock Deck
Unlock for access to all 50 flashcards in this deck.
Unlock Deck
k this deck
18
In C-type lectins, a _______________ acts as a bridge between the carbohydrate and the protein.
Unlock Deck
Unlock for access to all 50 flashcards in this deck.
Unlock Deck
k this deck
19
A given protein with several potential glycosylation sites can have many different glycosylated structures called ________________.
Unlock Deck
Unlock for access to all 50 flashcards in this deck.
Unlock Deck
k this deck
20
What molecule are most sugars attached to prior to their transfer to proteins?
A) GDP
B) GMP
C) AMP
D) UMP
E) UDP
A) GDP
B) GMP
C) AMP
D) UMP
E) UDP
Unlock Deck
Unlock for access to all 50 flashcards in this deck.
Unlock Deck
k this deck
21
What are lectins?
A) proteins that bind the carbohydrates on glycoproteins and other macromolecules
B) proteins that promote cell-cell interaction
C) proteins found in animals, plants, and microorganisms
D) All of the answers are correct.
E) None of the answers is correct.
A) proteins that bind the carbohydrates on glycoproteins and other macromolecules
B) proteins that promote cell-cell interaction
C) proteins found in animals, plants, and microorganisms
D) All of the answers are correct.
E) None of the answers is correct.
Unlock Deck
Unlock for access to all 50 flashcards in this deck.
Unlock Deck
k this deck
22
How is the d or l configuration determined?
Unlock Deck
Unlock for access to all 50 flashcards in this deck.
Unlock Deck
k this deck
23
List some of the reasons why carbohydrates are considered important molecules.
Unlock Deck
Unlock for access to all 50 flashcards in this deck.
Unlock Deck
k this deck
24
At what location(s) within a cell is/are proteins glycosylated?
A) ribosome
D) lysosome
B) endoplasmic reticulum
E) endoplasmic reticulum and Golgi complex
C) Golgi complex
A) ribosome
D) lysosome
B) endoplasmic reticulum
E) endoplasmic reticulum and Golgi complex
C) Golgi complex
Unlock Deck
Unlock for access to all 50 flashcards in this deck.
Unlock Deck
k this deck
25
Glycoform refers to
A) a single protein type that can have forms that differ only in their glycosylation.
B) glycoproteins from the same gene family.
C) a common core of sugars that can be found on many different proteins.
D) All of the answers are correct.
E) None of the answers is correct.
A) a single protein type that can have forms that differ only in their glycosylation.
B) glycoproteins from the same gene family.
C) a common core of sugars that can be found on many different proteins.
D) All of the answers are correct.
E) None of the answers is correct.
Unlock Deck
Unlock for access to all 50 flashcards in this deck.
Unlock Deck
k this deck
26
The simplest carbohydrates are the 3-carbon molecules:
A) d- and l-glyceraldehyde.
B) dihydroxyacetone and d- and l-glyceraldehyde.
C) dihydroxyacetone and glycerate.
D) dihydroxyacetone and glycerol
E) None of the answers is correct.
A) d- and l-glyceraldehyde.
B) dihydroxyacetone and d- and l-glyceraldehyde.
C) dihydroxyacetone and glycerate.
D) dihydroxyacetone and glycerol
E) None of the answers is correct.
Unlock Deck
Unlock for access to all 50 flashcards in this deck.
Unlock Deck
k this deck
27
Common carbohydrates found in nature are
A) aldehydes with two or more hydroxyl groups.
B) ketones with two or more hydroxyl groups.
C) amines with two or more hydroxyl groups.
D) aldehydes with two or more hydroxyl groups and ketones with two or more hydroxyl groups.
E) All of the answers are correct.
A) aldehydes with two or more hydroxyl groups.
B) ketones with two or more hydroxyl groups.
C) amines with two or more hydroxyl groups.
D) aldehydes with two or more hydroxyl groups and ketones with two or more hydroxyl groups.
E) All of the answers are correct.
Unlock Deck
Unlock for access to all 50 flashcards in this deck.
Unlock Deck
k this deck
28
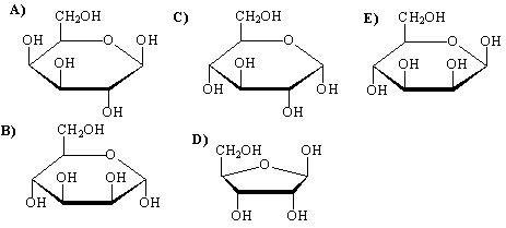
Which of the following is the anomer of β-d-glucopyranose? 

Unlock Deck
Unlock for access to all 50 flashcards in this deck.
Unlock Deck
k this deck
29
Draw the Haworth projections of the two pyranose forms of d-glucose.
Unlock Deck
Unlock for access to all 50 flashcards in this deck.
Unlock Deck
k this deck
30
Sugars are commonly linked to which amino acid residues in glycoproteins?
A) tyrosine and asparagine
D) serine and glutamine
B) serine, threonine, and asparagine
E) threonine and glutamine
C) serine, tyrosine, and asparagine
A) tyrosine and asparagine
D) serine and glutamine
B) serine, threonine, and asparagine
E) threonine and glutamine
C) serine, tyrosine, and asparagine
Unlock Deck
Unlock for access to all 50 flashcards in this deck.
Unlock Deck
k this deck
31
Draw the Fischer projection structures of all of the trioses.
Unlock Deck
Unlock for access to all 50 flashcards in this deck.
Unlock Deck
k this deck
32
Which of the following explains how some viruses gain entry into specific cells?
A) by attaching to ion channels
B) by cleaving the glycosidic bonds of cell surface glycoproteins and altering protein shapes
C) by binding to glycoproteins on the cell surface that are unique to specific cells
D) All of the answers are correct.
E) None of the answers is correct.
A) by attaching to ion channels
B) by cleaving the glycosidic bonds of cell surface glycoproteins and altering protein shapes
C) by binding to glycoproteins on the cell surface that are unique to specific cells
D) All of the answers are correct.
E) None of the answers is correct.
Unlock Deck
Unlock for access to all 50 flashcards in this deck.
Unlock Deck
k this deck
33
What is the difference between an enantiomer and a diastereoisomer? Give examples.
Unlock Deck
Unlock for access to all 50 flashcards in this deck.
Unlock Deck
k this deck
34
Selectins are proteins that
A) selectively bind proteins destined for lysozomes.
B) aid in selection of proteins bound for the Golgi complex.
C) bind immune-system cells as part of the inflammatory response.
D) All of the answers are correct.
E) None of the answers is correct.
A) selectively bind proteins destined for lysozomes.
B) aid in selection of proteins bound for the Golgi complex.
C) bind immune-system cells as part of the inflammatory response.
D) All of the answers are correct.
E) None of the answers is correct.
Unlock Deck
Unlock for access to all 50 flashcards in this deck.
Unlock Deck
k this deck
35
An aldehyde and alcohol can react to form a
A) hemialdol.
D) All of the answers are correct.
B) hemiketal.
E) None of the answers is correct.
C) hemiacetal.
A) hemialdol.
D) All of the answers are correct.
B) hemiketal.
E) None of the answers is correct.
C) hemiacetal.
Unlock Deck
Unlock for access to all 50 flashcards in this deck.
Unlock Deck
k this deck
36
The enzyme that digests amylopectin is
A) -amylase.
B) amylopectinase.
C) cellulase.
D) invertase.
E) None of the answers is correct.
A) -amylase.
B) amylopectinase.
C) cellulase.
D) invertase.
E) None of the answers is correct.
Unlock Deck
Unlock for access to all 50 flashcards in this deck.
Unlock Deck
k this deck
37
The nutritional storage form(s) of glucose in plants is/are
A) glycogen.
B) amylose.
C) amylopectin.
D) cellulose.
E) amylose and amylopectin.
A) glycogen.
B) amylose.
C) amylopectin.
D) cellulose.
E) amylose and amylopectin.
Unlock Deck
Unlock for access to all 50 flashcards in this deck.
Unlock Deck
k this deck
38
Inhibitors against which viral enzyme have potential as anti-influenza agents?
A) Calnexin
D) All of the answers are correct.
B) Neuraminidase
E) None of the answers is correct.
C) Selectin
A) Calnexin
D) All of the answers are correct.
B) Neuraminidase
E) None of the answers is correct.
C) Selectin
Unlock Deck
Unlock for access to all 50 flashcards in this deck.
Unlock Deck
k this deck
39
Glycoproteins are normally
A) found on membranes.
D) All of the answers are correct.
B) secreted as extracellular proteins.
E) found on membranes and secreted as extracellular proteins.
C) found inside organelles.
A) found on membranes.
D) All of the answers are correct.
B) secreted as extracellular proteins.
E) found on membranes and secreted as extracellular proteins.
C) found inside organelles.
Unlock Deck
Unlock for access to all 50 flashcards in this deck.
Unlock Deck
k this deck
40
Fructose can cyclize to (a)
A) pyranose ring.
B) furanose ring.
C) both pyranose and furanose ring forms.
D) All of the answers are correct.
E) None of the answers is correct.
A) pyranose ring.
B) furanose ring.
C) both pyranose and furanose ring forms.
D) All of the answers are correct.
E) None of the answers is correct.
Unlock Deck
Unlock for access to all 50 flashcards in this deck.
Unlock Deck
k this deck
41
How does a genetic mutation account for some of the different human blood types?
Unlock Deck
Unlock for access to all 50 flashcards in this deck.
Unlock Deck
k this deck
42
Describe the mechanism by which N-linked sugars are synthesized and attached to proteins.
Unlock Deck
Unlock for access to all 50 flashcards in this deck.
Unlock Deck
k this deck
43
What is the advantage of having different blood types within a species?
Unlock Deck
Unlock for access to all 50 flashcards in this deck.
Unlock Deck
k this deck
44
Why is it more difficult to determine the structure of the oligosaccharides, when compared to amino acid sequences?
Unlock Deck
Unlock for access to all 50 flashcards in this deck.
Unlock Deck
k this deck
45
Describe some of the functions of glycosaminoglycans and proteoglycans.
Unlock Deck
Unlock for access to all 50 flashcards in this deck.
Unlock Deck
k this deck
46
What is the role of l-selectin when produced by an embryo?
Unlock Deck
Unlock for access to all 50 flashcards in this deck.
Unlock Deck
k this deck
47
Draw the structure of lactose. Identify the monosaccharides involved, and identify the type of linkage in lactose.
Unlock Deck
Unlock for access to all 50 flashcards in this deck.
Unlock Deck
k this deck
48
Compare the structures of amylopectin and amylose.
Unlock Deck
Unlock for access to all 50 flashcards in this deck.
Unlock Deck
k this deck
49
What are the chemical and structural differences between cellulose and glycogen?
Unlock Deck
Unlock for access to all 50 flashcards in this deck.
Unlock Deck
k this deck
50
What is the role of mannose 6-phosphate? What disease is caused by lack of this terminal sugar on glycoproteins?
Unlock Deck
Unlock for access to all 50 flashcards in this deck.
Unlock Deck
k this deck

