Deck 16: Biomolecules: Lipids and Nucleic Acids
Question
Question
Question
Question
Question
Question
Question
Question
Question
Question
Question
Question
Question
Question
Question
Question
Question
Question
Question
Question
Question
Question
Question
Question
Question
Question
Question
Question
Question
Question
Question
Question
Question
Question
Question
Question
Question
Question
Question
Question
Question
Question
Question
Question
Question
Question
Question
Question
Question
Question
Unlock Deck
Sign up to unlock the cards in this deck!
Unlock Deck
Unlock Deck
1/50
Play
Full screen (f)
Deck 16: Biomolecules: Lipids and Nucleic Acids
1
When soaps disperse in water, the long hydrocarbon tails cluster together in a hydrophobic ball, while the ionic heads on the surface of the cluster stick out into the water. These spherical clusters are called:
A) fatty acid esters
B) triacylglycerols
C) lipid bilayers
D) micelles
A) fatty acid esters
B) triacylglycerols
C) lipid bilayers
D) micelles
micelles
2
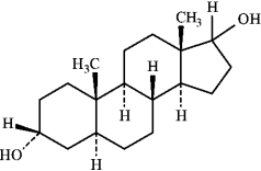
Instructions: Draw the structures of the major organic product(s) you would expect to obtain from reaction of androsterone with the reagents listed below.
androsterone
Draw major product(s):
NaBH4, ethanol
androsteroneDraw major product(s):
NaBH4, ethanol

3
Instructions: Match each of the given terms to a structure from the list below. There is only one correct structure for each term, and structures may be used more than once.
A sphingolipid
A)
B)
C)
D)
E)
F)
G)Malonyl ACP
H)
I)
J)
A sphingolipid
A)
B)
C)
D)
E)
F)
G)Malonyl ACP
H)
I)
J)


4
Which of the following would be expected to be found in higher concentration in butter versus olive oil?
A)CH3(CH2)12CO2H
B)CH3(CH2)7CHCH(CH2)7CO2H
C)CH3(CH2)4(CHCHCH2)2(CH2)6CO2H
D)CH3(CH2)4(CHCHCH2)4(CH2)2CO2H
A)CH3(CH2)12CO2H
B)CH3(CH2)7CHCH(CH2)7CO2H
C)CH3(CH2)4(CHCHCH2)2(CH2)6CO2H
D)CH3(CH2)4(CHCHCH2)4(CH2)2CO2H
Unlock Deck
Unlock for access to all 50 flashcards in this deck.
Unlock Deck
k this deck
5
Instructions: Match each of the given terms to a structure from the list below. There is only one correct structure for each term, and structures may be used more than once.
A terpenoid
A)
B)
C)
D)
E)
F)
G)Malonyl ACP
H)
I)
J)
A terpenoid
A)
B)
C)
D)
E)
F)
G)Malonyl ACP
H)
I)
J)

Unlock Deck
Unlock for access to all 50 flashcards in this deck.
Unlock Deck
k this deck
6
Chemically, these are triacylglycerols, triesters of glycerol with three long-chain carboxylic acids.
A) waxes
B) fats and oils
C) fatty acids
D) soaps
A) waxes
B) fats and oils
C) fatty acids
D) soaps
Unlock Deck
Unlock for access to all 50 flashcards in this deck.
Unlock Deck
k this deck
7
Write the saponification reaction of glyceryl distearate monooleate.
Unlock Deck
Unlock for access to all 50 flashcards in this deck.
Unlock Deck
k this deck
8
Instructions: Match each of the given terms to a structure from the list below. There is only one correct structure for each term, and structures may be used more than once.
An estrogen
A)
B)
C)
D)
E)
F)
G)Malonyl ACP
H)
I)
J)
An estrogen
A)
B)
C)
D)
E)
F)
G)Malonyl ACP
H)
I)
J)

Unlock Deck
Unlock for access to all 50 flashcards in this deck.
Unlock Deck
k this deck
9
Instructions: Match each of the given terms to a structure from the list below. There is only one correct structure for each term, and structures may be used more than once.
Monoterpene precursor
A)
B)
C)
D)
E)
F)
G)Malonyl ACP
H)
I)
J)
Monoterpene precursor
A)
B)
C)
D)
E)
F)
G)Malonyl ACP
H)
I)
J)

Unlock Deck
Unlock for access to all 50 flashcards in this deck.
Unlock Deck
k this deck
10
Draw the structure of calcium oleate. Would this substance be soluble or insoluble in water?
Unlock Deck
Unlock for access to all 50 flashcards in this deck.
Unlock Deck
k this deck
11
Instructions: Match each of the given terms to a structure from the list below. There is only one correct structure for each term, and structures may be used more than once.
A phosphoglyceride
A)
B)
C)
D)
E)
F)
G)Malonyl ACP
H)
I)
J)
A phosphoglyceride
A)
B)
C)
D)
E)
F)
G)Malonyl ACP
H)
I)
J)

Unlock Deck
Unlock for access to all 50 flashcards in this deck.
Unlock Deck
k this deck
12
Instructions: Match each of the given terms to a structure from the list below. There is only one correct structure for each term, and structures may be used more than once.
A soap
A)
B)
C)
D)
E)
F)
G)Malonyl ACP
H)
I)
J)
A soap
A)
B)
C)
D)
E)
F)
G)Malonyl ACP
H)
I)
J)

Unlock Deck
Unlock for access to all 50 flashcards in this deck.
Unlock Deck
k this deck
13
Which of the following would function in a regulatory capacity?
A) aldosterone
B) androsterone
C) norethindrone
D) estradiol
A) aldosterone
B) androsterone
C) norethindrone
D) estradiol
Unlock Deck
Unlock for access to all 50 flashcards in this deck.
Unlock Deck
k this deck
14
Instructions: Draw the structures of the major organic product(s) you would expect to obtain from reaction of androsterone with the reagents listed below.
androsterone
Draw major product(s):
CH3COCl, pyridine
androsteroneDraw major product(s):
CH3COCl, pyridine
Unlock Deck
Unlock for access to all 50 flashcards in this deck.
Unlock Deck
k this deck
15
Which of the following fatty acids has the highest melting point?
A) lauric acid
B) myristic acid
C) palmitic acid
D) stearic acid
A) lauric acid
B) myristic acid
C) palmitic acid
D) stearic acid
Unlock Deck
Unlock for access to all 50 flashcards in this deck.
Unlock Deck
k this deck
16
How many constitutional isomers could be written for glyceryl monolaurate monomyristate monosterate?
Unlock Deck
Unlock for access to all 50 flashcards in this deck.
Unlock Deck
k this deck
17
The major lipid components of cell membranes are:
A) sphingolipids
B) fatty acids
C) phosphoglycerides
D) terpenoids
A) sphingolipids
B) fatty acids
C) phosphoglycerides
D) terpenoids
Unlock Deck
Unlock for access to all 50 flashcards in this deck.
Unlock Deck
k this deck
18
Cell membranes, which form an effective barrier to the passage of ions and other components into and out of the cell, are:
A) fatty acid esters
B) tricacylglycerols
C) lipid bilayers
D) micelles
A) fatty acid esters
B) tricacylglycerols
C) lipid bilayers
D) micelles
Unlock Deck
Unlock for access to all 50 flashcards in this deck.
Unlock Deck
k this deck
19
Draw the structure of glyceryl trimyristate and compare its melting point to that of glyceryl tristearate.
Unlock Deck
Unlock for access to all 50 flashcards in this deck.
Unlock Deck
k this deck
20
Instructions: Match each of the given terms to a structure from the list below. There is only one correct structure for each term, and structures may be used more than once.
A triglyceride
A)
B)
C)
D)
E)
F)
G)Malonyl ACP
H)
I)
J)
A triglyceride
A)
B)
C)
D)
E)
F)
G)Malonyl ACP
H)
I)
J)

Unlock Deck
Unlock for access to all 50 flashcards in this deck.
Unlock Deck
k this deck
21
Instructions: Match each of the following terms to a structure from the list below. There is only one correct structure for each term and structures may be used more than once.
process by which mRNA is synthesized
A)Sanger dideoxy method
B)GAUCGUAAA
C)Watson-Crick
D)translation
E)
F)
G)transcription
H)Maxam-Gilbert method
I)AUGGCUGAG
J)replication
K)
L)
M)AGATCGCTC
process by which mRNA is synthesized
A)Sanger dideoxy method
B)GAUCGUAAA
C)Watson-Crick
D)translation
E)
F)
G)transcription
H)Maxam-Gilbert method
I)AUGGCUGAG
J)replication
K)
L)
M)AGATCGCTC
Unlock Deck
Unlock for access to all 50 flashcards in this deck.
Unlock Deck
k this deck
22
The bond between the nitrogenous base and the sugar in a nucleoside is a glycosidic bond. Which type of reagent should cleave this bond?
A) acid
B) base
C) acid or base
D) neither acid nor base
E) It depends on which nitrogenous base and which sugar are present.
A) acid
B) base
C) acid or base
D) neither acid nor base
E) It depends on which nitrogenous base and which sugar are present.
Unlock Deck
Unlock for access to all 50 flashcards in this deck.
Unlock Deck
k this deck
23
The phosphodiester linkages in DNA and in RNA are, respectively:
A) 2' to 3', 3' to 2'
B) 2' to 5', 5' to 2'
C) 3' to 5', 5' to 3'
D) 3' to 5', 3' to 5'
E) 5' to 5', 3' to 3'
A) 2' to 3', 3' to 2'
B) 2' to 5', 5' to 2'
C) 3' to 5', 5' to 3'
D) 3' to 5', 3' to 5'
E) 5' to 5', 3' to 3'
Unlock Deck
Unlock for access to all 50 flashcards in this deck.
Unlock Deck
k this deck
24
Instructions: Match each of the following terms to a structure from the list below. There is only one correct structure for each term and structures may be used more than once.
DNA sequencing method for the human genome
A)Sanger dideoxy method
B)GAUCGUAAA
C)Watson-Crick
D)translation
E)
F)
G)transcription
H)Maxam-Gilbert method
I)AUGGCUGAG
J)replication
K)
L)
M)AGATCGCTC
DNA sequencing method for the human genome
A)Sanger dideoxy method
B)GAUCGUAAA
C)Watson-Crick
D)translation
E)
F)
G)transcription
H)Maxam-Gilbert method
I)AUGGCUGAG
J)replication
K)
L)
M)AGATCGCTC
Unlock Deck
Unlock for access to all 50 flashcards in this deck.
Unlock Deck
k this deck
25
What sequence of bases on the second strand of DNA is complementary to the following?
(5') GCATTA (3')
(5') GCATTA (3')
Unlock Deck
Unlock for access to all 50 flashcards in this deck.
Unlock Deck
k this deck
26
Instructions: Match each of the following terms to a structure from the list below. There is only one correct structure for each term and structures may be used more than once.
-RNA base sequence complementary to the DNA base sequence which codes for Leu-Ala-Phe:
CTAGCATTT
A)Sanger dideoxy method
B)GAUCGUAAA
C)Watson-Crick
D)translation
E)
F)
G)transcription
H)Maxam-Gilbert method
I)AUGGCUGAG
J)replication
K)
L)
M)AGATCGCTC
-RNA base sequence complementary to the DNA base sequence which codes for Leu-Ala-Phe:
CTAGCATTT
A)Sanger dideoxy method
B)GAUCGUAAA
C)Watson-Crick
D)translation
E)
F)
G)transcription
H)Maxam-Gilbert method
I)AUGGCUGAG
J)replication
K)
L)
M)AGATCGCTC
Unlock Deck
Unlock for access to all 50 flashcards in this deck.
Unlock Deck
k this deck
27
Which of the following characterizes the polymerase chain reaction (PCR)?
A) produces multiple copies of DNA segments
B) requires small amount of the source DNA
C) the key to the process is a thermally stable enzyme
D) involves temperature cycling
E) all of these
A) produces multiple copies of DNA segments
B) requires small amount of the source DNA
C) the key to the process is a thermally stable enzyme
D) involves temperature cycling
E) all of these
Unlock Deck
Unlock for access to all 50 flashcards in this deck.
Unlock Deck
k this deck
28
Instructions: Match each of the following terms to a structure from the list below. There is only one correct structure for each term and structures may be used more than once.
uridine
A)Sanger dideoxy method
B)GAUCGUAAA
C)Watson-Crick
D)translation
E)
F)
G)transcription
H)Maxam-Gilbert method
I)AUGGCUGAG
J)replication
K)
L)
M)AGATCGCTC
uridine
A)Sanger dideoxy method
B)GAUCGUAAA
C)Watson-Crick
D)translation
E)
F)
G)transcription
H)Maxam-Gilbert method
I)AUGGCUGAG
J)replication
K)
L)
M)AGATCGCTC
Unlock Deck
Unlock for access to all 50 flashcards in this deck.
Unlock Deck
k this deck
29
Which of the following is not true about cholesterol?
A) a steroid
B) a precursor for other steroids
C) produced from lanosterol
D) geometry allows for ring-flips
E) all of these are true
A) a steroid
B) a precursor for other steroids
C) produced from lanosterol
D) geometry allows for ring-flips
E) all of these are true
Unlock Deck
Unlock for access to all 50 flashcards in this deck.
Unlock Deck
k this deck
30
Instructions: Match each of the following terms to a structure from the list below. There is only one correct structure for each term and structures may be used more than once.
a purine nucleotide
A)Sanger dideoxy method
B)GAUCGUAAA
C)Watson-Crick
D)translation
E)
F)
G)transcription
H)Maxam-Gilbert method
I)AUGGCUGAG
J)replication
K)
L)
M)AGATCGCTC
a purine nucleotide
A)Sanger dideoxy method
B)GAUCGUAAA
C)Watson-Crick
D)translation
E)
F)
G)transcription
H)Maxam-Gilbert method
I)AUGGCUGAG
J)replication
K)
L)
M)AGATCGCTC
Unlock Deck
Unlock for access to all 50 flashcards in this deck.
Unlock Deck
k this deck
31
Consider the following structure.
a)Circle any nucleoside.
b)Draw a box around any nucleotide.
c)Identify as DNA or RNA.
a)Circle any nucleoside.
b)Draw a box around any nucleotide.
c)Identify as DNA or RNA.
Unlock Deck
Unlock for access to all 50 flashcards in this deck.
Unlock Deck
k this deck
32
Instructions: Match each of the following terms to a structure from the list below. There is only one correct structure for each term and structures may be used more than once.
a pyrimidine nucleoside
A)Sanger dideoxy method
B)GAUCGUAAA
C)Watson-Crick
D)translation
E)
F)
G)transcription
H)Maxam-Gilbert method
I)AUGGCUGAG
J)replication
K)
L)
M)AGATCGCTC
a pyrimidine nucleoside
A)Sanger dideoxy method
B)GAUCGUAAA
C)Watson-Crick
D)translation
E)
F)
G)transcription
H)Maxam-Gilbert method
I)AUGGCUGAG
J)replication
K)
L)
M)AGATCGCTC
Unlock Deck
Unlock for access to all 50 flashcards in this deck.
Unlock Deck
k this deck
33
Instructions: Match each of the following terms to a structure from the list below. There is only one correct structure for each term and structures may be used more than once.
RNA base sequence with guanine at the 3' end.
A)Sanger dideoxy method
B)GAUCGUAAA
C)Watson-Crick
D)translation
E)
F)
G)transcription
H)Maxam-Gilbert method
I)AUGGCUGAG
J)replication
K)
L)
M)AGATCGCTC
RNA base sequence with guanine at the 3' end.
A)Sanger dideoxy method
B)GAUCGUAAA
C)Watson-Crick
D)translation
E)
F)
G)transcription
H)Maxam-Gilbert method
I)AUGGCUGAG
J)replication
K)
L)
M)AGATCGCTC
Unlock Deck
Unlock for access to all 50 flashcards in this deck.
Unlock Deck
k this deck
34
Which reagent is used to accelerate coupling reactions in both laboratory peptide synthesis and laboratory DNA synthesis?
A) catalytic H+
B) dicyclohexylcarbodiimide (DCC)
C) ethyl chloroformate
D) NaOH
E) PhS - NH4+
A) catalytic H+
B) dicyclohexylcarbodiimide (DCC)
C) ethyl chloroformate
D) NaOH
E) PhS - NH4+
Unlock Deck
Unlock for access to all 50 flashcards in this deck.
Unlock Deck
k this deck
35
Which of the following processes is used to harden an oil to give a fat?
A) oxidation
B) hydrogenation
C) hydrolysis
D) hydration
A) oxidation
B) hydrogenation
C) hydrolysis
D) hydration
Unlock Deck
Unlock for access to all 50 flashcards in this deck.
Unlock Deck
k this deck
36
Which of the following fatty acids has the highest melting point?
A) lauric acid
B) oleic acid
C) linoleic acid
D) linolenic acid
A) lauric acid
B) oleic acid
C) linoleic acid
D) linolenic acid
Unlock Deck
Unlock for access to all 50 flashcards in this deck.
Unlock Deck
k this deck
37
A double-stranded DNA molecule that contains 22%, on a mole basis, T must also contain
A) 11% G
B) 22% G
C) 28% G
D) 56% G
E) 78% G
A) 11% G
B) 22% G
C) 28% G
D) 56% G
E) 78% G
Unlock Deck
Unlock for access to all 50 flashcards in this deck.
Unlock Deck
k this deck
38
Instructions: Match each of the following terms to a structure from the list below. There is only one correct structure for each term and structures may be used more than once.
DNA base sequence with cytosine at the 3' end.
A)Sanger dideoxy method
B)GAUCGUAAA
C)Watson-Crick
D)translation
E)
F)
G)transcription
H)Maxam-Gilbert method
I)AUGGCUGAG
J)replication
K)
L)
M)AGATCGCTC
DNA base sequence with cytosine at the 3' end.
A)Sanger dideoxy method
B)GAUCGUAAA
C)Watson-Crick
D)translation
E)
F)
G)transcription
H)Maxam-Gilbert method
I)AUGGCUGAG
J)replication
K)
L)
M)AGATCGCTC
Unlock Deck
Unlock for access to all 50 flashcards in this deck.
Unlock Deck
k this deck
39
DNA can best be described as
A) two backbones of alternating deoxyribose and nitrogenous base on the exterior, with phosphates on the interior
B) two backbones of alternating deoxyribose and nitrogenous base on the interior, with phosphates on the exterior
C) two backbones of alternating deoxyribose and phosphate on the exterior, with nitrogenous bases on the interior
D) two backbones of alternating deoxyribose and phosphate on the interior, with nitrogenous bases on the exterior
E) two backbones of alternating nitrogenous base and phosphate on the exterior, with deoxyriboses on the interior
A) two backbones of alternating deoxyribose and nitrogenous base on the exterior, with phosphates on the interior
B) two backbones of alternating deoxyribose and nitrogenous base on the interior, with phosphates on the exterior
C) two backbones of alternating deoxyribose and phosphate on the exterior, with nitrogenous bases on the interior
D) two backbones of alternating deoxyribose and phosphate on the interior, with nitrogenous bases on the exterior
E) two backbones of alternating nitrogenous base and phosphate on the exterior, with deoxyriboses on the interior
Unlock Deck
Unlock for access to all 50 flashcards in this deck.
Unlock Deck
k this deck
40
Rank DNA, mRNA, and tRNA from largest to smallest.
A) DNA > mRNA > tRNA
B) DNA > tRNA > mRNA
C) mRNA > tRNA > DNA
D) mRNA > DNA > tRNA
E) tRNA > mRNA > DNA
A) DNA > mRNA > tRNA
B) DNA > tRNA > mRNA
C) mRNA > tRNA > DNA
D) mRNA > DNA > tRNA
E) tRNA > mRNA > DNA
Unlock Deck
Unlock for access to all 50 flashcards in this deck.
Unlock Deck
k this deck
41
Which of the following is a definition of messenger RNA (mRNA)?
A) RNA found in the ribosome, the site in cells where synthesis of proteins takes place
B) RNA which carries a specific amino acid to the site of protein synthesis
C) RNA which has coded genetic information
D) RNA which signals cell death
A) RNA found in the ribosome, the site in cells where synthesis of proteins takes place
B) RNA which carries a specific amino acid to the site of protein synthesis
C) RNA which has coded genetic information
D) RNA which signals cell death
Unlock Deck
Unlock for access to all 50 flashcards in this deck.
Unlock Deck
k this deck
42
Which of the following is deoxyadenosine? 
A) 1
B) 2
C) 3
D) 4

A) 1
B) 2
C) 3
D) 4
Unlock Deck
Unlock for access to all 50 flashcards in this deck.
Unlock Deck
k this deck
43
The process invented in 1986 which allows multiple copies of a given DNA sequence to be produced is:
A)The polymerase chain reaction.
B)The Sanger dideoxy method.
C)The Maxam-Gilbert method.
D)The restriction endonuclease reaction.
A)The polymerase chain reaction.
B)The Sanger dideoxy method.
C)The Maxam-Gilbert method.
D)The restriction endonuclease reaction.
Unlock Deck
Unlock for access to all 50 flashcards in this deck.
Unlock Deck
k this deck
44
Which of the following is 2-deoxy-D-ribose?

A) 1
B) 2
C) 3
D) 4

A) 1
B) 2
C) 3
D) 4
Unlock Deck
Unlock for access to all 50 flashcards in this deck.
Unlock Deck
k this deck
45
What mRNA sequence is complementary to the following DNA base sequence?
(5') TAAGGCGATA (3')
(5') TAAGGCGATA (3')
Unlock Deck
Unlock for access to all 50 flashcards in this deck.
Unlock Deck
k this deck
46
In humans, most steroids function as:
A)Enzymes
B)Hormones
C)Nucleic acids
D)Proteins
A)Enzymes
B)Hormones
C)Nucleic acids
D)Proteins
Unlock Deck
Unlock for access to all 50 flashcards in this deck.
Unlock Deck
k this deck
47
Male sex hormones like testosterone are called:
A)Androgens
B)Estrogens
C)Progestins
D)Glucocorticoids
A)Androgens
B)Estrogens
C)Progestins
D)Glucocorticoids
Unlock Deck
Unlock for access to all 50 flashcards in this deck.
Unlock Deck
k this deck
48
What is the anticodon sequence in tRNA that corresponds the following segment of mRNA?
(5') CUU-AGC-UGG-CCC(3')
(5') CUU-AGC-UGG-CCC(3')
Unlock Deck
Unlock for access to all 50 flashcards in this deck.
Unlock Deck
k this deck
49
What sequence is fully complementary to the following sequence? (5') ATCTAGTCA (3')
A) (5') TAGATCAGT (3')
B) (5') TGACTAGAT (3')
C) (5') ATCTAGTCA (3')
D) (5') ACTGATCTA (3')
A) (5') TAGATCAGT (3')
B) (5') TGACTAGAT (3')
C) (5') ATCTAGTCA (3')
D) (5') ACTGATCTA (3')
Unlock Deck
Unlock for access to all 50 flashcards in this deck.
Unlock Deck
k this deck
50
Which of the following is uridine? 
A) 1
B) 2
C) 3
D) 4

A) 1
B) 2
C) 3
D) 4
Unlock Deck
Unlock for access to all 50 flashcards in this deck.
Unlock Deck
k this deck

