Deck 5: Analytic Trigonometry
Question
Question
Question
Question
Question
Question
Question
Question
Question
Question
Question
Question
Question
Question
Question
Question
Question
Question
Question
Question
Question
Question
Question
Question
Question
Question
Question
Question
Question
Question
Question
Question
Question
Question
Question
Question
Question
Question
Question
Question
Unlock Deck
Sign up to unlock the cards in this deck!
Unlock Deck
Unlock Deck
1/40
Play
Full screen (f)
Deck 5: Analytic Trigonometry
1

D
2

C
3

A
4
Simplify the given expression algebraically. 

Unlock Deck
Unlock for access to all 40 flashcards in this deck.
Unlock Deck
k this deck
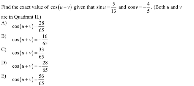
5

Unlock Deck
Unlock for access to all 40 flashcards in this deck.
Unlock Deck
k this deck
6
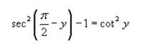
Verify the identity shown below. 

Unlock Deck
Unlock for access to all 40 flashcards in this deck.
Unlock Deck
k this deck
7

Unlock Deck
Unlock for access to all 40 flashcards in this deck.
Unlock Deck
k this deck
8

Unlock Deck
Unlock for access to all 40 flashcards in this deck.
Unlock Deck
k this deck
9
Which of the following is a solution to the given equation? 

Unlock Deck
Unlock for access to all 40 flashcards in this deck.
Unlock Deck
k this deck
10

Unlock Deck
Unlock for access to all 40 flashcards in this deck.
Unlock Deck
k this deck
11

Unlock Deck
Unlock for access to all 40 flashcards in this deck.
Unlock Deck
k this deck
12

Unlock Deck
Unlock for access to all 40 flashcards in this deck.
Unlock Deck
k this deck
13

Unlock Deck
Unlock for access to all 40 flashcards in this deck.
Unlock Deck
k this deck
14

Unlock Deck
Unlock for access to all 40 flashcards in this deck.
Unlock Deck
k this deck
15

Unlock Deck
Unlock for access to all 40 flashcards in this deck.
Unlock Deck
k this deck
16

Unlock Deck
Unlock for access to all 40 flashcards in this deck.
Unlock Deck
k this deck
17

Unlock Deck
Unlock for access to all 40 flashcards in this deck.
Unlock Deck
k this deck
18

Unlock Deck
Unlock for access to all 40 flashcards in this deck.
Unlock Deck
k this deck
19

Unlock Deck
Unlock for access to all 40 flashcards in this deck.
Unlock Deck
k this deck
20

Unlock Deck
Unlock for access to all 40 flashcards in this deck.
Unlock Deck
k this deck
21

Unlock Deck
Unlock for access to all 40 flashcards in this deck.
Unlock Deck
k this deck
22
Verify the identity shown below. 

Unlock Deck
Unlock for access to all 40 flashcards in this deck.
Unlock Deck
k this deck
23

Unlock Deck
Unlock for access to all 40 flashcards in this deck.
Unlock Deck
k this deck
24

Unlock Deck
Unlock for access to all 40 flashcards in this deck.
Unlock Deck
k this deck
25
Solve the following equation. 

Unlock Deck
Unlock for access to all 40 flashcards in this deck.
Unlock Deck
k this deck
26
Determine which of the following are trigonometric identities. 

Unlock Deck
Unlock for access to all 40 flashcards in this deck.
Unlock Deck
k this deck
27

Unlock Deck
Unlock for access to all 40 flashcards in this deck.
Unlock Deck
k this deck
28
Solve the following equation. 

Unlock Deck
Unlock for access to all 40 flashcards in this deck.
Unlock Deck
k this deck
29

Unlock Deck
Unlock for access to all 40 flashcards in this deck.
Unlock Deck
k this deck
30

Unlock Deck
Unlock for access to all 40 flashcards in this deck.
Unlock Deck
k this deck
31
Verify the identity shown below. 

Unlock Deck
Unlock for access to all 40 flashcards in this deck.
Unlock Deck
k this deck
32
Solve the multi-angle equation below. 

Unlock Deck
Unlock for access to all 40 flashcards in this deck.
Unlock Deck
k this deck
33
Factor; then use fundamental identities to simplify the expression below and determine which of the following is not equivalent. 

Unlock Deck
Unlock for access to all 40 flashcards in this deck.
Unlock Deck
k this deck
34

Unlock Deck
Unlock for access to all 40 flashcards in this deck.
Unlock Deck
k this deck
35
Verify the identity shown below. 

Unlock Deck
Unlock for access to all 40 flashcards in this deck.
Unlock Deck
k this deck
36

Unlock Deck
Unlock for access to all 40 flashcards in this deck.
Unlock Deck
k this deck
37

Unlock Deck
Unlock for access to all 40 flashcards in this deck.
Unlock Deck
k this deck
38
Which of the following is a solution to the given equation? 

Unlock Deck
Unlock for access to all 40 flashcards in this deck.
Unlock Deck
k this deck
39

Unlock Deck
Unlock for access to all 40 flashcards in this deck.
Unlock Deck
k this deck
40

Unlock Deck
Unlock for access to all 40 flashcards in this deck.
Unlock Deck
k this deck

