Deck 12: Wave Energy
Question
Question
Question
Question
Question
Question
Question
Question
Question
Question
Question
Question
Question
Question
Question
Question
Question
Question
Question
Unlock Deck
Sign up to unlock the cards in this deck!
Unlock Deck
Unlock Deck
1/19
Play
Full screen (f)
Deck 12: Wave Energy
1
An ocean wave has a velocity of 20 m/s. 


2
Hawaii has about 1200 km of coast line and a population of about 1.4 

(a) From Table 2.1 the per capita average power consumption in the United


3
The LIMPET wave generating facility in Scotland has a width of 21 m.
Estimate its efficiency.
Estimate its efficiency.
From the map, the average wave power in Scotland is 70 kW/m. If the LIMPET
device has a width of 21 m then the total average wave power will be
device has a width of 21 m then the total average wave power will be

4
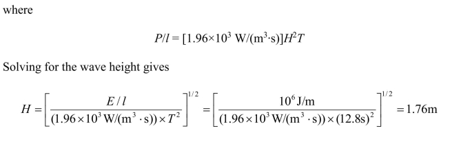
The average wave power available in Hawaii (Figure 12.1) is 100 kW/m.
For waves with a period of 10 s, what is the average wave height?
For waves with a period of 10 s, what is the average wave height?
Unlock Deck
Unlock for access to all 19 flashcards in this deck.
Unlock Deck
k this deck
5
A tsunami in deep water has a period of
(a) What is its velocity?
(b) What is its wavelength?
(c) If the tsunami has a height of 2.5 m, what is its power per km of wave front?
(a) What is its velocity?(b) What is its wavelength?
(c) If the tsunami has a height of 2.5 m, what is its power per km of wave front?
Unlock Deck
Unlock for access to all 19 flashcards in this deck.
Unlock Deck
k this deck
6
An ocean wave has a period of 10 s and a height of 2 m in deep water. 

Unlock Deck
Unlock for access to all 19 flashcards in this deck.
Unlock Deck
k this deck
7
An ocean wave has a height of 2.5 m and a period of 10 s. What is the total
power available from 20 m of wave front for this wave?
power available from 20 m of wave front for this wave?
Unlock Deck
Unlock for access to all 19 flashcards in this deck.
Unlock Deck
k this deck
8
In deepwater, tsunamis have a relatively small height (typically 2 m) and a
very long period (typically 30 minutes). The amplitude becomes larger as they pile up
when they reach shallow water. For a tsunami in deep water, calculate the energy per meter
of wave front (in J/m). Compare this with the energy per meter of width of a 2-m wide,
1500-kg automobile traveling at 120 km/h. This comparison emphasizes the damage that
can be caused by a tsunami.
very long period (typically 30 minutes). The amplitude becomes larger as they pile up
when they reach shallow water. For a tsunami in deep water, calculate the energy per meter
of wave front (in J/m). Compare this with the energy per meter of width of a 2-m wide,
1500-kg automobile traveling at 120 km/h. This comparison emphasizes the damage that
can be caused by a tsunami.
Unlock Deck
Unlock for access to all 19 flashcards in this deck.
Unlock Deck
k this deck
9
A seiche is a standing wave that occurs due to resonant conditions on the
surface of lakes and enclosed ocean bays. It is the result of surface perturbations caused by
phenomena such as seismic activities or weather conditions. The period of a seiche is
approximated by the expression
surface of lakes and enclosed ocean bays. It is the result of surface perturbations caused by
phenomena such as seismic activities or weather conditions. The period of a seiche is
approximated by the expression

Unlock Deck
Unlock for access to all 19 flashcards in this deck.
Unlock Deck
k this deck
10
A small boat with two occupants and a 15 kW outboard motor (total mass = 

Unlock Deck
Unlock for access to all 19 flashcards in this deck.
Unlock Deck
k this deck
11
An ocean wave has a wavelength of 120 m and a period of 16 s.
(a) Calculate the wave's velocity.
(b) If the amplitude of the wave is 1.5 m, calculate the energy per km of wave front in one
period.
(a) Calculate the wave's velocity.
(b) If the amplitude of the wave is 1.5 m, calculate the energy per km of wave front in one
period.
Unlock Deck
Unlock for access to all 19 flashcards in this deck.
Unlock Deck
k this deck
12
An ocean wave has a velocity of 8.5 m/s. What are its period and
wavelength?
wavelength?
Unlock Deck
Unlock for access to all 19 flashcards in this deck.
Unlock Deck
k this deck
13
If a tsunami in deep water has a period of 10 minutes, what would the 

Unlock Deck
Unlock for access to all 19 flashcards in this deck.
Unlock Deck
k this deck
14
Most of Greenland's electricity comes from hydroelectric facilities. These 

Unlock Deck
Unlock for access to all 19 flashcards in this deck.
Unlock Deck
k this deck
15
North Carolina has some of the highest average wave energies in the United
States along its roughly 500 km of coastline (Figure 12.1). Would it be reasonable for
North Carolina to utilize wave energy for all of its electricity? Assume that a total annual
per-capita electricity requirement of 15 MWhe and that 5% of the coastline is used for
wave electricity generation at an average efficiency of 20%.
States along its roughly 500 km of coastline (Figure 12.1). Would it be reasonable for
North Carolina to utilize wave energy for all of its electricity? Assume that a total annual
per-capita electricity requirement of 15 MWhe and that 5% of the coastline is used for
wave electricity generation at an average efficiency of 20%.
Unlock Deck
Unlock for access to all 19 flashcards in this deck.
Unlock Deck
k this deck
16
In a storm, waves may have a height of 12 m and a period of 15 s. Compare
the power per meter of wave front to the average values shown in Figure 12.1.
the power per meter of wave front to the average values shown in Figure 12.1.
Unlock Deck
Unlock for access to all 19 flashcards in this deck.
Unlock Deck
k this deck
17
A section of ocean shoreline has incident waves with a constant period of 

Unlock Deck
Unlock for access to all 19 flashcards in this deck.
Unlock Deck
k this deck
18
An ocean wave has a height of 5 m and a period of 12 s.
(a) Calculate the wavelength of this wave.
(b) Calculate the power per unit wave front for this wave.
(c) Calculate the energy per unit wave front for one period of this wave.
(a) Calculate the wavelength of this wave.
(b) Calculate the power per unit wave front for this wave.
(c) Calculate the energy per unit wave front for one period of this wave.
Unlock Deck
Unlock for access to all 19 flashcards in this deck.
Unlock Deck
k this deck
19
(a) If all other factors are the same, which is the single most important
parameter in maximizing the energy per unit length of wave front for one period of the
wave: wavelength, wave height or wave velocity.?
(b) What is the effect of doubling each of these parameters on the wave energy per period?
parameter in maximizing the energy per unit length of wave front for one period of the
wave: wavelength, wave height or wave velocity.?
(b) What is the effect of doubling each of these parameters on the wave energy per period?
Unlock Deck
Unlock for access to all 19 flashcards in this deck.
Unlock Deck
k this deck

