Deck 6: Energy From Nuclear Fission
Question
Question
Question
Question
Question
Question
Question
Question
Question
Question
Question
Question
Question
Question
Question
Question
Question
Question
Unlock Deck
Sign up to unlock the cards in this deck!
Unlock Deck
Unlock Deck
1/18
Play
Full screen (f)
Deck 6: Energy From Nuclear Fission
1
Consider the fission process in equation (6.3);
(a) Calculate the total binding energy for each of the components in the reaction.
(b) Show that the fission energy is the total binding energy on the right hand side of the
equation minus the total binding energy on the left hand side.
(a) Calculate the total binding energy for each of the components in the reaction.(b) Show that the fission energy is the total binding energy on the right hand side of the
equation minus the total binding energy on the left hand side.

2

From Appendix IV the energy content of one tonne of coal is
comparison to fission energy we convert this to MeV to get

comparison to fission energy we convert this to MeV to get

3
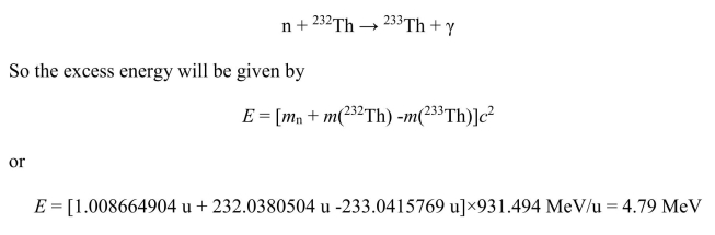
Calculate the energy of the gamma ray liberated during thermal neutron 

The reaction is 

4
with the fission process: 
Unlock Deck
Unlock for access to all 18 flashcards in this deck.
Unlock Deck
k this deck
5
If nuclear energy production and nuclear waste policies remain the same as
they are at present, estimate the mass and volume of spent fuel from commercial power
reactors in the year 2100.
they are at present, estimate the mass and volume of spent fuel from commercial power
reactors in the year 2100.
Unlock Deck
Unlock for access to all 18 flashcards in this deck.
Unlock Deck
k this deck
6
A common induced fission process in a thermal nuclear reactor is


Unlock Deck
Unlock for access to all 18 flashcards in this deck.
Unlock Deck
k this deck
7

Unlock Deck
Unlock for access to all 18 flashcards in this deck.
Unlock Deck
k this deck
8

Unlock Deck
Unlock for access to all 18 flashcards in this deck.
Unlock Deck
k this deck
9
A 800 MWe nuclear generating station inputs cooling water at a temperature
of 5 °C and exhausts it at a temperature of 25 °C. If the station operates at an efficiency of
41%, what is the flow rate of the water in kg/s?
of 5 °C and exhausts it at a temperature of 25 °C. If the station operates at an efficiency of
41%, what is the flow rate of the water in kg/s?
Unlock Deck
Unlock for access to all 18 flashcards in this deck.
Unlock Deck
k this deck
10
If
present in equal amounts when the earth was formed, calculate their relative abundance at
present. Note: The age of the earth is 4.54 billion years.
present in equal amounts when the earth was formed, calculate their relative abundance atpresent. Note: The age of the earth is 4.54 billion years.
Unlock Deck
Unlock for access to all 18 flashcards in this deck.
Unlock Deck
k this deck
11

Unlock Deck
Unlock for access to all 18 flashcards in this deck.
Unlock Deck
k this deck
12
Use the information in Figure 6.27 to argue that it is more likely to die in a
nuclear accident with 10 fatalities than in one with 1000 fatalities.
nuclear accident with 10 fatalities than in one with 1000 fatalities.
Unlock Deck
Unlock for access to all 18 flashcards in this deck.
Unlock Deck
k this deck
13
produce the same amount of thermal energy as 1 tonne of coal? Unlock Deck
Unlock for access to all 18 flashcards in this deck.
Unlock Deck
k this deck
14
Fissile


Unlock Deck
Unlock for access to all 18 flashcards in this deck.
Unlock Deck
k this deck
15
Assume that the total number of nuclear reactors worldwide has remained
relatively constant since the mid-1970s. Is the occurrence of the three major nuclear
accidents discussed in this chapter consistent with the predictions of the Rasmussen study
shown in Figure 6.32?
relatively constant since the mid-1970s. Is the occurrence of the three major nuclear
accidents discussed in this chapter consistent with the predictions of the Rasmussen study
shown in Figure 6.32?
Unlock Deck
Unlock for access to all 18 flashcards in this deck.
Unlock Deck
k this deck
16
There were 56 total known fatalities from the Chernobyl accident in 1986.
On the basis of the Rasmussen report, estimate the anticipated time scale for a similar
accident. Discuss this estimate in the context of the Fukushima Dai-ichi accident.
On the basis of the Rasmussen report, estimate the anticipated time scale for a similar
accident. Discuss this estimate in the context of the Fukushima Dai-ichi accident.
Unlock Deck
Unlock for access to all 18 flashcards in this deck.
Unlock Deck
k this deck
17
is a common and particularly troublesome fission fragment produced in 
Unlock Deck
Unlock for access to all 18 flashcards in this deck.
Unlock Deck
k this deck
18
Coal can contain up to about 2000 ppm (by mass) of natural uranium.
Compare the chemical energy content of the coal with the available fission energy from the
Compare the chemical energy content of the coal with the available fission energy from the

Unlock Deck
Unlock for access to all 18 flashcards in this deck.
Unlock Deck
k this deck

