Deck 5: Some Basic Nuclear Physics
Question
Question
Question
Question
Question
Question
Question
Question
Question
Question
Question
Question
Question
Question
Question
Question
Question
Question
Question
Question
Unlock Deck
Sign up to unlock the cards in this deck!
Unlock Deck
Unlock Deck
1/20
Play
Full screen (f)
Deck 5: Some Basic Nuclear Physics
1
A simple method of calculating the age of the earth is based on the natural 

At the time the earth was created the ratio of uranium isotopes was
64
65
66
64
6566
2

54 3
Tabulate the number of neutrons, protons, and electrons for neutral atoms of 

The superscript gives
these elements to be 
these elements to be 
4
The total binding energy is a useful property for comparing the relative 

Unlock Deck
Unlock for access to all 20 flashcards in this deck.
Unlock Deck
k this deck
5
Calculate the energy associated with the β+ decay process in equation (5.19).
Note: be careful counting electrons.
Note: be careful counting electrons.
Unlock Deck
Unlock for access to all 20 flashcards in this deck.
Unlock Deck
k this deck
6
The measured decay rates of a radioactive material as a function of time are
shown in the table below.
(a) Calculate the half-life of the decay.
(b) Show that a semilogarithmic plot of the decay rate as a function of time is linear.
(c) Derive an analytical form of the linear relationship for part (b).
shown in the table below.
(a) Calculate the half-life of the decay.
(b) Show that a semilogarithmic plot of the decay rate as a function of time is linear.
(c) Derive an analytical form of the linear relationship for part (b).

Unlock Deck
Unlock for access to all 20 flashcards in this deck.
Unlock Deck
k this deck
7
Using the energy stated in the text for the process in equation (5.28),
calculate the atomic mass of
calculate the atomic mass of

Unlock Deck
Unlock for access to all 20 flashcards in this deck.
Unlock Deck
k this deck
8

Unlock Deck
Unlock for access to all 20 flashcards in this deck.
Unlock Deck
k this deck
9
Calculate the energy associated with the process in equation (5.18)
Unlock Deck
Unlock for access to all 20 flashcards in this deck.
Unlock Deck
k this deck
10
Assume carbon


Unlock Deck
Unlock for access to all 20 flashcards in this deck.
Unlock Deck
k this deck
11

Unlock Deck
Unlock for access to all 20 flashcards in this deck.
Unlock Deck
k this deck
12
Using the reaction energy given in the text for equation (5.27) calculate the 

Unlock Deck
Unlock for access to all 20 flashcards in this deck.
Unlock Deck
k this deck
13
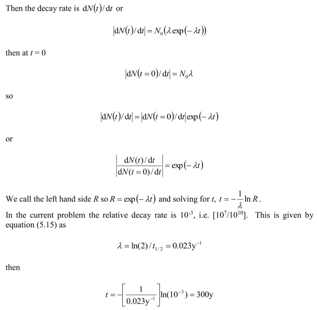
At t = 0 there are
nuclei of a particular nuclide in a sample. The 
nuclei of a particular nuclide in a sample. The 
Unlock Deck
Unlock for access to all 20 flashcards in this deck.
Unlock Deck
k this deck
14

Unlock Deck
Unlock for access to all 20 flashcards in this deck.
Unlock Deck
k this deck
15

Unlock Deck
Unlock for access to all 20 flashcards in this deck.
Unlock Deck
k this deck
16

Unlock Deck
Unlock for access to all 20 flashcards in this deck.
Unlock Deck
k this deck
17

Unlock Deck
Unlock for access to all 20 flashcards in this deck.
Unlock Deck
k this deck
18

Unlock Deck
Unlock for access to all 20 flashcards in this deck.
Unlock Deck
k this deck
19
Nuclide A has a half-life of 4 days, and nuclide B has a half-life of 16 days. 

Unlock Deck
Unlock for access to all 20 flashcards in this deck.
Unlock Deck
k this deck
20
(a) Write the equation for the α-decay of


Unlock Deck
Unlock for access to all 20 flashcards in this deck.
Unlock Deck
k this deck

