Deck 7: Energy From Nuclear Fusion
Question
Question
Question
Question
Question
Question
Question
Question
Question
Question
Question
Question
Question
Question
Question
Question
Question
Question
Question
Question
Unlock Deck
Sign up to unlock the cards in this deck!
Unlock Deck
Unlock Deck
1/20
Play
Full screen (f)
Deck 7: Energy From Nuclear Fusion
1
Using appropriate masses from Appendix II, show that the energy released
from equation (7.7) is 26.7 MeV.
from equation (7.7) is 26.7 MeV.
For the process


2
The sun generates energy through nuclear fusion, which converts mass into 

The change in mass is given by Einstein's relation as 

3
If all of the world energy needs were provided by d-t fusion, how much
lithium per year would be utilized to produce tritium? Consider the total energy associated
with fusion as being equivalent to the world's current primary energy use.
lithium per year would be utilized to produce tritium? Consider the total energy associated
with fusion as being equivalent to the world's current primary energy use.
From the Preface the world's total primary energy use is
energy per d-t fusion is given by equation (7.6) as 17.6 MeV. An additional 4.8 MeV is
released in the breeding reaction given in equation (7.10) for a total of (17.6+4.8) MeV =
22.4 MeV. This is converted into joules to yield
energy per d-t fusion is given by equation (7.6) as 17.6 MeV. An additional 4.8 MeV isreleased in the breeding reaction given in equation (7.10) for a total of (17.6+4.8) MeV =
22.4 MeV. This is converted into joules to yield

4
The age of the sun has been estimated at 4.6 billion years. If it has radiated 

Unlock Deck
Unlock for access to all 20 flashcards in this deck.
Unlock Deck
k this deck
5
Verify the energy release given for the process in equation (7.3).
Unlock Deck
Unlock for access to all 20 flashcards in this deck.
Unlock Deck
k this deck
6
What is the number density of tritons in a 50% d/50% t plasma that has the
same mass density as air at STP
same mass density as air at STP

Unlock Deck
Unlock for access to all 20 flashcards in this deck.
Unlock Deck
k this deck
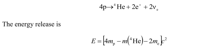
7
Confirm that the total energy released by the process in equation (7.6) is
17.6 MeV.
17.6 MeV.
Unlock Deck
Unlock for access to all 20 flashcards in this deck.
Unlock Deck
k this deck
8
energy. Unlock Deck
Unlock for access to all 20 flashcards in this deck.
Unlock Deck
k this deck
9
What is the kinetic energy of a particle in a plasma at a temperature of
200 MK?
200 MK?
Unlock Deck
Unlock for access to all 20 flashcards in this deck.
Unlock Deck
k this deck
10
At the current worldwide rate of primary energy use, determine the potential
longevity of d-t fusion as a sole power source for society, based on the availability of
lithium. Current estimates of viable lithium resources worldwide are about 1.7×1010 kg.
Compare this result with the calculation in Example 7.3.
longevity of d-t fusion as a sole power source for society, based on the availability of
lithium. Current estimates of viable lithium resources worldwide are about 1.7×1010 kg.
Compare this result with the calculation in Example 7.3.
Unlock Deck
Unlock for access to all 20 flashcards in this deck.
Unlock Deck
k this deck
11
Compare the energy produced per kg of fuel for the combustion of coal, d-d
fusion and d-t fusion.
fusion and d-t fusion.
Unlock Deck
Unlock for access to all 20 flashcards in this deck.
Unlock Deck
k this deck
12
The physical radius of a nucleus in units of fm is often approximated by the 

Unlock Deck
Unlock for access to all 20 flashcards in this deck.
Unlock Deck
k this deck
13
(a)


Unlock Deck
Unlock for access to all 20 flashcards in this deck.
Unlock Deck
k this deck
14
A 1 m diameter sphere of d-t plasma in a magnetic confinement fusion
reactor just satisfies the Lawson criterion and is at the breakeven point without particle
injection. If the sphere of plasma radiates as a black body, calculate the total power
radiated from its surface.
reactor just satisfies the Lawson criterion and is at the breakeven point without particle
injection. If the sphere of plasma radiates as a black body, calculate the total power
radiated from its surface.
Unlock Deck
Unlock for access to all 20 flashcards in this deck.
Unlock Deck
k this deck
15
Tritium-tritium fusion is given by the reaction


Unlock Deck
Unlock for access to all 20 flashcards in this deck.
Unlock Deck
k this deck
16
Consider a body of water
in area and 100 m deep. The center of mass 
in area and 100 m deep. The center of mass 
Unlock Deck
Unlock for access to all 20 flashcards in this deck.
Unlock Deck
k this deck
17
Consider a d-t fusion reactor that produces an output of 1000 MWe at a 

Unlock Deck
Unlock for access to all 20 flashcards in this deck.
Unlock Deck
k this deck
18

Unlock Deck
Unlock for access to all 20 flashcards in this deck.
Unlock Deck
k this deck
19
The total power output of the sun is
produced within a radius of 175,000 km of its center. If we were able to reproduce the
sun's conditions for p-p fusion in a fusion reactor with an active volume of 10×10×10 m3,
what would be the reactor's power output? Is p-p fusion a reasonable approach to take for a
power reactor?
produced within a radius of 175,000 km of its center. If we were able to reproduce thesun's conditions for p-p fusion in a fusion reactor with an active volume of 10×10×10 m3,
what would be the reactor's power output? Is p-p fusion a reasonable approach to take for a
power reactor?
Unlock Deck
Unlock for access to all 20 flashcards in this deck.
Unlock Deck
k this deck
20
The ITER is designed to have a magnetic field pulse duration of up to 480
seconds. What corresponding plasma particle density is needed to achieve the Lawson
criterion?
seconds. What corresponding plasma particle density is needed to achieve the Lawson
criterion?
Unlock Deck
Unlock for access to all 20 flashcards in this deck.
Unlock Deck
k this deck

