Deck 4: Carbon and the Molecular Diversity of Life
Question
Question
Question
Question
Question
Question
Question
Question
Question
Question
Question
Question
Question
Question
Question
Question
Question
Question
Question
Question
Question
Question
Question
Question
Question
Question
Question
Question
Question
Question
Question
Question
Question
Question
Question
Question
Question
Question
Question
Question
Question
Question
Question
Question
Question
Question
Question
Question
Question
Question
Question
Question
Question
Question
Question
Question
Question
Question
Unlock Deck
Sign up to unlock the cards in this deck!
Unlock Deck
Unlock Deck
1/58
Play
Full screen (f)
Deck 4: Carbon and the Molecular Diversity of Life
1
A carbon atom is most likely to form what kind of bond(s)with other atoms?
A) ionic
B) hydrogen
C) covalent
D) ionic bonds, covalent bonds, and hydrogen bonds
A) ionic
B) hydrogen
C) covalent
D) ionic bonds, covalent bonds, and hydrogen bonds
C
2
The kind and number of bonds an atom can form depends on ________.
A) its atomic number
B) its electron configuration
C) its atomic mass
D) the number of particles in its nucleus
A) its atomic number
B) its electron configuration
C) its atomic mass
D) the number of particles in its nucleus
B
3
A carbon atom has 6 electrons however, its valency is 4. This is because the carbon atom ________.
A) donates its 2 electrons to another atom
B) shares its 2 electrons and bonds with another atom
C) has 4 electrons in its first shell and 2 in the second shell
D) has only 2 electrons in its first shell and 4 in the second shell
A) donates its 2 electrons to another atom
B) shares its 2 electrons and bonds with another atom
C) has 4 electrons in its first shell and 2 in the second shell
D) has only 2 electrons in its first shell and 4 in the second shell
D
4
Research indicates that ibuprofen, a drug used to relieve inflammation and pain, is a mixture of two enantiomers; that is, molecules that ________.
A) have identical chemical formulas but differ in the branching of their carbon skeletons
B) are mirror images of each other
C) differ in the location of their double bonds
D) differ in the arrangement of atoms around their double bonds
A) have identical chemical formulas but differ in the branching of their carbon skeletons
B) are mirror images of each other
C) differ in the location of their double bonds
D) differ in the arrangement of atoms around their double bonds
Unlock Deck
Unlock for access to all 58 flashcards in this deck.
Unlock Deck
k this deck
5
Miller's classic experiment demonstrated that a discharge of sparks through a mixture of gases could result in the formation of a large variety of organic compounds. Miller did not use ________ as one of the gases in his experiment.
A) methane
B) oxygen
C) water
D) ammonia
A) methane
B) oxygen
C) water
D) ammonia
Unlock Deck
Unlock for access to all 58 flashcards in this deck.
Unlock Deck
k this deck
6
Why are hydrocarbons insoluble in water?
A) The majority of their bonds are polar covalent carbon-to-hydrogen linkages.
B) The majority of their bonds are nonpolar covalent carbon-to-hydrogen linkages.
C) They exhibit considerable molecular complexity and diversity.
D) They are less dense than water.
A) The majority of their bonds are polar covalent carbon-to-hydrogen linkages.
B) The majority of their bonds are nonpolar covalent carbon-to-hydrogen linkages.
C) They exhibit considerable molecular complexity and diversity.
D) They are less dense than water.
Unlock Deck
Unlock for access to all 58 flashcards in this deck.
Unlock Deck
k this deck
7
In an ethane (C₂H₆)molecule, each carbon atom is bonded to ________ hydrogen atoms.
A) two
B) three
C) four
D) six
A) two
B) three
C) four
D) six
Unlock Deck
Unlock for access to all 58 flashcards in this deck.
Unlock Deck
k this deck
8
The experimental approach taken in current biological investigations presumes that ________.
A) simple organic compounds can be synthesized in the laboratory from inorganic precursors, but complex organic compounds like carbohydrates and proteins can be synthesized only by living organisms
B) a life force ultimately controls the activities of living organisms, and this life force cannot be studied by physical or chemical methods
C) living organisms are composed of the same elements present in nonliving things, plus a few special trace elements found only in living organisms or their products
D) living organisms can be understood in terms of the same physical and chemical laws that can be used to explain all natural phenomena
A) simple organic compounds can be synthesized in the laboratory from inorganic precursors, but complex organic compounds like carbohydrates and proteins can be synthesized only by living organisms
B) a life force ultimately controls the activities of living organisms, and this life force cannot be studied by physical or chemical methods
C) living organisms are composed of the same elements present in nonliving things, plus a few special trace elements found only in living organisms or their products
D) living organisms can be understood in terms of the same physical and chemical laws that can be used to explain all natural phenomena
Unlock Deck
Unlock for access to all 58 flashcards in this deck.
Unlock Deck
k this deck
9
Why is carbon so important in biology?
A) It is a common element on Earth.
B) It has very little electronegativity, making it a good electron donor.
C) It bonds to only a few other elements.
D) It can form a variety of carbon skeletons and host functional groups.
A) It is a common element on Earth.
B) It has very little electronegativity, making it a good electron donor.
C) It bonds to only a few other elements.
D) It can form a variety of carbon skeletons and host functional groups.
Unlock Deck
Unlock for access to all 58 flashcards in this deck.
Unlock Deck
k this deck
10
The complexity and variety of organic molecules is due to ________.
A) the chemical versatility of carbon atoms
B) the variety of rare elements in organic molecules
C) the diverse bonding patterns of nitrogen
D) their interaction with water
A) the chemical versatility of carbon atoms
B) the variety of rare elements in organic molecules
C) the diverse bonding patterns of nitrogen
D) their interaction with water
Unlock Deck
Unlock for access to all 58 flashcards in this deck.
Unlock Deck
k this deck
11
Stanley Miller's 1953 experiments supported the hypothesis that ________.
A) life on Earth arose from simple inorganic molecules
B) organic molecules can be synthesized abiotically under conditions that may have existed on early Earth
C) life on Earth arose from simple organic molecules, with energy from lightning and volcanoes
D) the conditions on early Earth were conducive to the origin of life
A) life on Earth arose from simple inorganic molecules
B) organic molecules can be synthesized abiotically under conditions that may have existed on early Earth
C) life on Earth arose from simple organic molecules, with energy from lightning and volcanoes
D) the conditions on early Earth were conducive to the origin of life
Unlock Deck
Unlock for access to all 58 flashcards in this deck.
Unlock Deck
k this deck
12
Which of the following carbon molecules does not have the bond angle of 109.5°?
A) CH₄
B) C₂H₄
C) C₂H₆
D) C₃H₈
A) CH₄
B) C₂H₄
C) C₂H₆
D) C₃H₈
Unlock Deck
Unlock for access to all 58 flashcards in this deck.
Unlock Deck
k this deck
13
Compared to a hydrocarbon chain where all the carbon atoms are linked by single bonds, a hydrocarbon chain with the same number of carbon atoms but with one or more double bonds will ________.
A) be more flexible in structure
B) be more constrained in structure
C) be more polar
D) have more hydrogen atoms
A) be more flexible in structure
B) be more constrained in structure
C) be more polar
D) have more hydrogen atoms
Unlock Deck
Unlock for access to all 58 flashcards in this deck.
Unlock Deck
k this deck
14
How many electrons does one atom of carbon share to complete its valence shell?
A) 2
B) 3
C) 4
D) 8
A) 2
B) 3
C) 4
D) 8
Unlock Deck
Unlock for access to all 58 flashcards in this deck.
Unlock Deck
k this deck
15
Differences among organisms are caused by differences in the ________.
A) elemental composition from organism to organism
B) types and relative amounts of organic molecules synthesized by each organism
C) sizes of the organic molecules in each organism
D) types of inorganic compounds present in each organism
A) elemental composition from organism to organism
B) types and relative amounts of organic molecules synthesized by each organism
C) sizes of the organic molecules in each organism
D) types of inorganic compounds present in each organism
Unlock Deck
Unlock for access to all 58 flashcards in this deck.
Unlock Deck
k this deck
16
Which of the following statements correctly describes cis-trans isomers?
A) They have variations in arrangement around a double bond.
B) They have an asymmetric carbon that makes them mirror images.
C) They have the same chemical properties.
D) They have different molecular formulas.
A) They have variations in arrangement around a double bond.
B) They have an asymmetric carbon that makes them mirror images.
C) They have the same chemical properties.
D) They have different molecular formulas.
Unlock Deck
Unlock for access to all 58 flashcards in this deck.
Unlock Deck
k this deck
17
Which of the following is true of carbon?
A) It forms only polar molecules.
B) It can form a maximum of three covalent bonds with other elements.
C) It is highly electronegative.
D) It can form both polar and nonpolar bonds.
A) It forms only polar molecules.
B) It can form a maximum of three covalent bonds with other elements.
C) It is highly electronegative.
D) It can form both polar and nonpolar bonds.
Unlock Deck
Unlock for access to all 58 flashcards in this deck.
Unlock Deck
k this deck
18
Each bond in carbon dioxide represents ________.
O
C
O
A) one resonating electron
B) a pair of shared electrons
C) two pairs of shared electrons
D) a pair of protons
O
C
OA) one resonating electron
B) a pair of shared electrons
C) two pairs of shared electrons
D) a pair of protons
Unlock Deck
Unlock for access to all 58 flashcards in this deck.
Unlock Deck
k this deck
19
What determines whether a carbon atom's covalent bonds to other atoms are in a tetrahedral configuration or a planar configuration?
A) the presence or absence of bonds with oxygen atoms
B) the presence or absence of double bonds between the carbon atom and other atoms
C) the polarity of the covalent bonds between carbon and other atoms
D) the solvent in which the organic molecule is dissolved
A) the presence or absence of bonds with oxygen atoms
B) the presence or absence of double bonds between the carbon atom and other atoms
C) the polarity of the covalent bonds between carbon and other atoms
D) the solvent in which the organic molecule is dissolved
Unlock Deck
Unlock for access to all 58 flashcards in this deck.
Unlock Deck
k this deck
20
The element present in all organic molecules is ________.
A) hydrogen
B) oxygen
C) carbon
D) nitrogen
A) hydrogen
B) oxygen
C) carbon
D) nitrogen
Unlock Deck
Unlock for access to all 58 flashcards in this deck.
Unlock Deck
k this deck
21
Which of the following molecules is polar?
C₃H₇OHC₂H₅COOH
A) C₃H₇OH and C₂H₅COOH are both polar molecules.
B) Neither C₂H₅COOH or C₃H₇OH is polar.
C) C₂H₅COOH is polar, but C₃H₇OH is not polar.
D) C₂H₅COOH is not polar, but C₃H₇OH is polar.
C₃H₇OHC₂H₅COOH
A) C₃H₇OH and C₂H₅COOH are both polar molecules.
B) Neither C₂H₅COOH or C₃H₇OH is polar.
C) C₂H₅COOH is polar, but C₃H₇OH is not polar.
D) C₂H₅COOH is not polar, but C₃H₇OH is polar.
Unlock Deck
Unlock for access to all 58 flashcards in this deck.
Unlock Deck
k this deck
22
Amino acids are acids because they always possess ________ as the functional group?
A) amino
B) carbonyl
C) carboxyl
D) phosphate
A) amino
B) carbonyl
C) carboxyl
D) phosphate
Unlock Deck
Unlock for access to all 58 flashcards in this deck.
Unlock Deck
k this deck
23
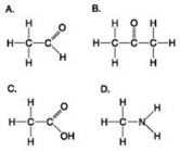
Which of the pairs of molecular structures shown depict enantiomers (enantiomeric forms)of the same molecule?
A)
B)
C)
D)
A)

B)

C)

D)

Unlock Deck
Unlock for access to all 58 flashcards in this deck.
Unlock Deck
k this deck
24
Testosterone and estradiol are male and female sex hormones, respectively, in many vertebrates. In what way(s)do these molecules differ from each other? Testosterone and estradiol ________.
A) are structural isomers but have the same molecular formula
B) are cis-trans isomers but have the same molecular formula
C) have different functional groups attached to the same carbon skeleton
D) are enantiomers of the same organic molecule
A) are structural isomers but have the same molecular formula
B) are cis-trans isomers but have the same molecular formula
C) have different functional groups attached to the same carbon skeleton
D) are enantiomers of the same organic molecule
Unlock Deck
Unlock for access to all 58 flashcards in this deck.
Unlock Deck
k this deck
25
Which two functional groups are always found in amino acids?
A) carbonyl and amino groups
B) carboxyl and amino groups
C) amino and sulfhydryl groups
D) hydroxyl and carboxyl groups
A) carbonyl and amino groups
B) carboxyl and amino groups
C) amino and sulfhydryl groups
D) hydroxyl and carboxyl groups
Unlock Deck
Unlock for access to all 58 flashcards in this deck.
Unlock Deck
k this deck
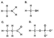
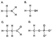
26
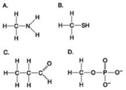
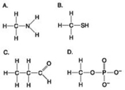
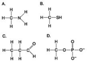
Use the figures to answer the question.

Which of the functional groups shown helps stabilize proteins by forming covalent cross-links within or between protein molecules?
A) A
B) B
C) C
D) D

Which of the functional groups shown helps stabilize proteins by forming covalent cross-links within or between protein molecules?
A) A
B) B
C) C
D) D
Unlock Deck
Unlock for access to all 58 flashcards in this deck.
Unlock Deck
k this deck
27
Organic molecules with only hydrogens and five carbon atoms cannot ________.
A) have a branching carbon skeleton
B) have different combinations of double bonds between carbon atoms
C) have different positions of double bonds between carbon atoms
D) form enantiomers
A) have a branching carbon skeleton
B) have different combinations of double bonds between carbon atoms
C) have different positions of double bonds between carbon atoms
D) form enantiomers
Unlock Deck
Unlock for access to all 58 flashcards in this deck.
Unlock Deck
k this deck
28
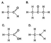
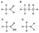
Use the following figure to answer the question.

The two molecules shown in the figure are best described as ________.
A) enantiomers
B) radioactive isotopes
C) structural isomers
D) cis-trans isomers

The two molecules shown in the figure are best described as ________.
A) enantiomers
B) radioactive isotopes
C) structural isomers
D) cis-trans isomers
Unlock Deck
Unlock for access to all 58 flashcards in this deck.
Unlock Deck
k this deck
29
Use the following figure to answer the question.

The figure shows the structures of glucose and fructose. These two molecules differ in the ________.
A) number of carbon, hydrogen, and oxygen atoms
B) types of carbon, hydrogen, and oxygen atoms
C) arrangement of carbon, hydrogen, and oxygen atoms
D) number of oxygen atoms joined to carbon atoms by double covalent bonds

The figure shows the structures of glucose and fructose. These two molecules differ in the ________.
A) number of carbon, hydrogen, and oxygen atoms
B) types of carbon, hydrogen, and oxygen atoms
C) arrangement of carbon, hydrogen, and oxygen atoms
D) number of oxygen atoms joined to carbon atoms by double covalent bonds
Unlock Deck
Unlock for access to all 58 flashcards in this deck.
Unlock Deck
k this deck
30
Which of the functional groups is not reactive but serves as a recognizable tag on the DNA molecule and alter the expression of genes in the cells.
A) amino
B) methyl
C) carboxyl
D) hydroxyl
A) amino
B) methyl
C) carboxyl
D) hydroxyl
Unlock Deck
Unlock for access to all 58 flashcards in this deck.
Unlock Deck
k this deck
31
Use the figures to answer the question.

Which of the groups is an acidic functional group that can dissociate and release H⁺ into a solution?
A) A
B) B
C) C
D) D

Which of the groups is an acidic functional group that can dissociate and release H⁺ into a solution?
A) A
B) B
C) C
D) D
Unlock Deck
Unlock for access to all 58 flashcards in this deck.
Unlock Deck
k this deck
32
Which of the following illustrations is not a structural isomer of an organic compound with the molecular formula C₆H₁₄? For clarity, only the carbon skeletons are shown; hydrogen atoms that would be attached to the carbons have been omitted.
A)
B)
C)
D)
A)

B)

C)

D)

Unlock Deck
Unlock for access to all 58 flashcards in this deck.
Unlock Deck
k this deck
33
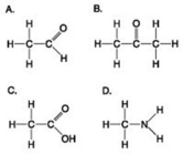
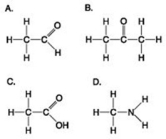
Use the figures to answer the question.

Which functional group shown can pick up protons and raise the pH of the surrounding solution?
A) A
B) B
C) C
D) D

Which functional group shown can pick up protons and raise the pH of the surrounding solution?
A) A
B) B
C) C
D) D
Unlock Deck
Unlock for access to all 58 flashcards in this deck.
Unlock Deck
k this deck
34
Use the following figure to answer the question.

The two molecules shown in the figures are best described as ________.
A) enantiomers
B) structural isomers
C) cis-trans isomers
D) chain length isomers

The two molecules shown in the figures are best described as ________.
A) enantiomers
B) structural isomers
C) cis-trans isomers
D) chain length isomers
Unlock Deck
Unlock for access to all 58 flashcards in this deck.
Unlock Deck
k this deck
35
Use the figures to answer the question.

Which of the functional groups shown is present in ethanol but not in ethane?
A) A
B) B
C) C
D) D

Which of the functional groups shown is present in ethanol but not in ethane?
A) A
B) B
C) C
D) D
Unlock Deck
Unlock for access to all 58 flashcards in this deck.
Unlock Deck
k this deck
36
Use the figure to answer the question.

What is the name of the functional group shown in the figure?
A) carbonyl
B) ketone
C) aldehyde
D) carboxyl

What is the name of the functional group shown in the figure?
A) carbonyl
B) ketone
C) aldehyde
D) carboxyl
Unlock Deck
Unlock for access to all 58 flashcards in this deck.
Unlock Deck
k this deck
37
Some carbon skeletons have different numbers and locations of double bonds to ________.
A) add molecular complexity and diversity that characterize living matter
B) be more flexible that makes the molecule stronger
C) stay in its liquid state
D) increase its solubility in water
A) add molecular complexity and diversity that characterize living matter
B) be more flexible that makes the molecule stronger
C) stay in its liquid state
D) increase its solubility in water
Unlock Deck
Unlock for access to all 58 flashcards in this deck.
Unlock Deck
k this deck
38
Use the following figure to answer the question.

The figure shows the structures of glucose and fructose. These two molecules are ________.
A) isotopes
B) enantiomers
C) cis-trans isomers
D) structural isomers

The figure shows the structures of glucose and fructose. These two molecules are ________.
A) isotopes
B) enantiomers
C) cis-trans isomers
D) structural isomers
Unlock Deck
Unlock for access to all 58 flashcards in this deck.
Unlock Deck
k this deck
39
Use the figure to answer the question.

Thalidomide and L-dopa (see figure)are examples of pharmaceutical drugs that occur as enantiomers, or molecules that ________.
A) have identical three-dimensional shapes
B) are mirror images of one another
C) are mirror images of one another and have the same biological activity
D) are cis-trans isomers

Thalidomide and L-dopa (see figure)are examples of pharmaceutical drugs that occur as enantiomers, or molecules that ________.
A) have identical three-dimensional shapes
B) are mirror images of one another
C) are mirror images of one another and have the same biological activity
D) are cis-trans isomers
Unlock Deck
Unlock for access to all 58 flashcards in this deck.
Unlock Deck
k this deck
40
A compound contains hydroxyl groups as its predominant functional group. Therefore, this compound ________.
A) lacks an asymmetric carbon and is probably a fat or lipid
B) should dissolve in water
C) should dissolve in a nonpolar solvent
D) will not form hydrogen bonds with water
A) lacks an asymmetric carbon and is probably a fat or lipid
B) should dissolve in water
C) should dissolve in a nonpolar solvent
D) will not form hydrogen bonds with water
Unlock Deck
Unlock for access to all 58 flashcards in this deck.
Unlock Deck
k this deck
41
Use the figures to answer the question.

Which molecule shown above contains a functional group that is a part of the molecule known as the "energy currency of living organisms"?
A) A
B) B
C) C
D) D

Which molecule shown above contains a functional group that is a part of the molecule known as the "energy currency of living organisms"?
A) A
B) B
C) C
D) D
Unlock Deck
Unlock for access to all 58 flashcards in this deck.
Unlock Deck
k this deck
42
Use the figures to answer the question.

Which molecule shown contains a carboxyl group?
A) A
B) B
C) C
D) D

Which molecule shown contains a carboxyl group?
A) A
B) B
C) C
D) D
Unlock Deck
Unlock for access to all 58 flashcards in this deck.
Unlock Deck
k this deck
43
Which chemical group is most likely to be responsible for an organic molecule behaving as a base?
A) hydroxyl
B) carbonyl
C) amino
D) phosphate
A) hydroxyl
B) carbonyl
C) amino
D) phosphate
Unlock Deck
Unlock for access to all 58 flashcards in this deck.
Unlock Deck
k this deck
44
Which action could produce a carbonyl group?
A) the replacement of the -OH of a carboxyl group with hydrogen
B) the addition of a thiol to a hydroxyl
C) the addition of a hydroxyl to a phosphate
D) the replacement of the nitrogen of an amine with oxygen
A) the replacement of the -OH of a carboxyl group with hydrogen
B) the addition of a thiol to a hydroxyl
C) the addition of a hydroxyl to a phosphate
D) the replacement of the nitrogen of an amine with oxygen
Unlock Deck
Unlock for access to all 58 flashcards in this deck.
Unlock Deck
k this deck
45
Use the figures to answer the question.

Which molecule can be a result of mercaptoethanol reduction of a disulfide bridge?
A) A
B) B
C) C
D) D

Which molecule can be a result of mercaptoethanol reduction of a disulfide bridge?
A) A
B) B
C) C
D) D
Unlock Deck
Unlock for access to all 58 flashcards in this deck.
Unlock Deck
k this deck
46
Use the figures to answer the question.

Which molecule has at least one carbon atom attached to three different chemical groups?
A) A
B) B
C) D
D) A and B

Which molecule has at least one carbon atom attached to three different chemical groups?
A) A
B) B
C) D
D) A and B
Unlock Deck
Unlock for access to all 58 flashcards in this deck.
Unlock Deck
k this deck
47
Which of the following molecules is a part of ATP?
A) adenosine
B) cytosine
C) guanine
D) uracil
A) adenosine
B) cytosine
C) guanine
D) uracil
Unlock Deck
Unlock for access to all 58 flashcards in this deck.
Unlock Deck
k this deck
48
Use the figures to answer the question.

Which molecules shown contain a carbonyl group?
A) A and B
B) B and C
C) B, C, and D
D) C and D

Which molecules shown contain a carbonyl group?
A) A and B
B) B and C
C) B, C, and D
D) C and D
Unlock Deck
Unlock for access to all 58 flashcards in this deck.
Unlock Deck
k this deck
49
Which of the following statements is true?
A) ADP contains more energy than ATP.
B) Following hydrolysis, ATP can give off one phosphate, whereas ADP cannot.
C) ADP can have two positive charges.
D) ATP can have four negative charges.
A) ADP contains more energy than ATP.
B) Following hydrolysis, ATP can give off one phosphate, whereas ADP cannot.
C) ADP can have two positive charges.
D) ATP can have four negative charges.
Unlock Deck
Unlock for access to all 58 flashcards in this deck.
Unlock Deck
k this deck
50
Choose the term that correctly describes the relationship between these two sugar molecules:

A) structural isomers
B) cis-trans isomers
C) enantiomers
D) isotopes

A) structural isomers
B) cis-trans isomers
C) enantiomers
D) isotopes
Unlock Deck
Unlock for access to all 58 flashcards in this deck.
Unlock Deck
k this deck
51
Visualize the structural formula of each of the following hydrocarbons. Which hydrocarbon has a double bond in its carbon skeleton?
A) C₃H₈
B) C₂H₆
C) C₂H₄
D) C₂H₂
A) C₃H₈
B) C₂H₆
C) C₂H₄
D) C₂H₂
Unlock Deck
Unlock for access to all 58 flashcards in this deck.
Unlock Deck
k this deck
52
Use the figures to answer the question.

Which molecule shown is a thiol?
A) A
B) B
C) C
D) D

Which molecule shown is a thiol?
A) A
B) B
C) C
D) D
Unlock Deck
Unlock for access to all 58 flashcards in this deck.
Unlock Deck
k this deck
53
Use the figures to answer the question.

Which molecule shown has a carbonyl functional group in the form of an aldehyde?
A) A
B) B
C) C
D) D

Which molecule shown has a carbonyl functional group in the form of an aldehyde?
A) A
B) B
C) C
D) D
Unlock Deck
Unlock for access to all 58 flashcards in this deck.
Unlock Deck
k this deck
54
Use the figures to answer the question.

Which molecule shown can increase the concentration of hydrogen ions in a solution and is therefore an organic acid?
A) A
B) B
C) C
D) D

Which molecule shown can increase the concentration of hydrogen ions in a solution and is therefore an organic acid?
A) A
B) B
C) C
D) D
Unlock Deck
Unlock for access to all 58 flashcards in this deck.
Unlock Deck
k this deck
55
Use the figures to answer the question.

Which molecule shown above can contribute negative charge when positioned in a chain?
A) A
B) B
C) C
D) D

Which molecule shown above can contribute negative charge when positioned in a chain?
A) A
B) B
C) C
D) D
Unlock Deck
Unlock for access to all 58 flashcards in this deck.
Unlock Deck
k this deck
56
Use the figures to answer the question.

Which molecule(s)shown is (are)ionized in a cell?
A) A
B) B and D
C) C and D
D) D

Which molecule(s)shown is (are)ionized in a cell?
A) A
B) B and D
C) C and D
D) D
Unlock Deck
Unlock for access to all 58 flashcards in this deck.
Unlock Deck
k this deck
57
Organic chemistry is currently defined as
A) the study of compounds made only by living cells.
B) the study of carbon compounds.
C) the study of natural (as opposed to synthetic) compounds.
D) the study of hydrocarbons.
A) the study of compounds made only by living cells.
B) the study of carbon compounds.
C) the study of natural (as opposed to synthetic) compounds.
D) the study of hydrocarbons.
Unlock Deck
Unlock for access to all 58 flashcards in this deck.
Unlock Deck
k this deck
58

Which functional group is not present in this molecule?
A) carboxyl
B) sulfhydryl
C) hydroxyl
D) amino
Unlock Deck
Unlock for access to all 58 flashcards in this deck.
Unlock Deck
k this deck

