Deck 2: Biochemistry

Full screen (f)
exit full mode
Question
Passage
Tumor hypoxia is a marker of resistance to chemotherapy and radiation.  The low oxygen saturation in solid tumors activates hypoxia-inducible factors (HIFs), which stimulate the expression of genes required for angiogenesis, erythropoiesis, and glucose utilization.  Under normal conditions, HIF-DNA binding is interrupted by HIF-prolyl hydroxylases (HIF-PHDs), enzymes that hydroxylate aliphatic residues such as leucine or proline on HIFs.  These hydroxylated residues serve as markers for the ubiquitin-proteasome system.  Researchers have proposed that changes in oxygen-dependent pathways such as the citric acid cycle can regulate HIF-PHD activity.Experiment 1A kinematic study was conducted to test the effect of citric acid cycle intermediates on HIF-PHDs.  Fumarate and succinate were examined with purified HIF-PHD against increasing concentrations of 2-oxoglutarate (2-OG), an HIF analog.
<strong>Passage Tumor hypoxia is a marker of resistance to chemotherapy and radiation.  The low oxygen saturation in solid tumors activates hypoxia-inducible factors (HIFs), which stimulate the expression of genes required for angiogenesis, erythropoiesis, and glucose utilization.  Under normal conditions, HIF-DNA binding is interrupted by HIF-prolyl hydroxylases (HIF-PHDs), enzymes that hydroxylate aliphatic residues such as leucine or proline on HIFs.  These hydroxylated residues serve as markers for the ubiquitin-proteasome system.  Researchers have proposed that changes in oxygen-dependent pathways such as the citric acid cycle can regulate HIF-PHD activity.Experiment 1A kinematic study was conducted to test the effect of citric acid cycle intermediates on HIF-PHDs.  Fumarate and succinate were examined with purified HIF-PHD against increasing concentrations of 2-oxoglutarate (2-OG), an HIF analog.   <strong>Figure 1</strong>  Activity of HIF-PHD exposed to succinate and fumarate in vitro based on 2-OG catalysisExperiment 2Researchers measured HIF-1a, a HIF subunit, using western blot analysis in wild-type (FH<sup>+</sup>) and fumarate-deficient (FH<sup>−</sup>) cells that were treated with fumarate under normoxic and hypoxic conditions (Figure 2).   <strong>Figure 2</strong>  HIF-1a in FH<sup>+</sup> and FH<sup>−</sup> cells grown in vitro under normoxic (N) and hypoxic (H) conditions Adapted from Koivunen P, Hirsilä M, Remes AM, Hassinen IE, Kivirikko KI, Myllyharju J. Inhibition of hypoxia-inducible factor (HIF) hydroxylases by citric acid cycle intermediates: possible links between cell metabolism and stabilization of HIF. J Biol Chem. 2007;282(7):4524-32. How is the enzymatic regulation of HIF-PHDs by fumarate and succinate best described?</strong> A)Fumarate and succinate are equally effective noncompetitive inhibitors. B)Fumarate is a competitive inhibitor, and succinate is an uncompetitive inhibitor. C)Succinate and fumarate display varying capacity for mixed inhibition. D)Succinate is a more efficient competitive inhibitor than fumarate. <div style=padding-top: 35px> Figure 1  Activity of HIF-PHD exposed to succinate and fumarate in vitro based on 2-OG catalysisExperiment 2Researchers measured HIF-1a, a HIF subunit, using western blot analysis in wild-type (FH+) and fumarate-deficient (FH) cells that were treated with fumarate under normoxic and hypoxic conditions (Figure 2).
<strong>Passage Tumor hypoxia is a marker of resistance to chemotherapy and radiation.  The low oxygen saturation in solid tumors activates hypoxia-inducible factors (HIFs), which stimulate the expression of genes required for angiogenesis, erythropoiesis, and glucose utilization.  Under normal conditions, HIF-DNA binding is interrupted by HIF-prolyl hydroxylases (HIF-PHDs), enzymes that hydroxylate aliphatic residues such as leucine or proline on HIFs.  These hydroxylated residues serve as markers for the ubiquitin-proteasome system.  Researchers have proposed that changes in oxygen-dependent pathways such as the citric acid cycle can regulate HIF-PHD activity.Experiment 1A kinematic study was conducted to test the effect of citric acid cycle intermediates on HIF-PHDs.  Fumarate and succinate were examined with purified HIF-PHD against increasing concentrations of 2-oxoglutarate (2-OG), an HIF analog.   <strong>Figure 1</strong>  Activity of HIF-PHD exposed to succinate and fumarate in vitro based on 2-OG catalysisExperiment 2Researchers measured HIF-1a, a HIF subunit, using western blot analysis in wild-type (FH<sup>+</sup>) and fumarate-deficient (FH<sup>−</sup>) cells that were treated with fumarate under normoxic and hypoxic conditions (Figure 2).   <strong>Figure 2</strong>  HIF-1a in FH<sup>+</sup> and FH<sup>−</sup> cells grown in vitro under normoxic (N) and hypoxic (H) conditions Adapted from Koivunen P, Hirsilä M, Remes AM, Hassinen IE, Kivirikko KI, Myllyharju J. Inhibition of hypoxia-inducible factor (HIF) hydroxylases by citric acid cycle intermediates: possible links between cell metabolism and stabilization of HIF. J Biol Chem. 2007;282(7):4524-32. How is the enzymatic regulation of HIF-PHDs by fumarate and succinate best described?</strong> A)Fumarate and succinate are equally effective noncompetitive inhibitors. B)Fumarate is a competitive inhibitor, and succinate is an uncompetitive inhibitor. C)Succinate and fumarate display varying capacity for mixed inhibition. D)Succinate is a more efficient competitive inhibitor than fumarate. <div style=padding-top: 35px> Figure 2  HIF-1a in FH+ and FH cells grown in vitro under normoxic (N) and hypoxic (H) conditions
Adapted from Koivunen P, Hirsilä M, Remes AM, Hassinen IE, Kivirikko KI, Myllyharju J. Inhibition of hypoxia-inducible factor (HIF) hydroxylases by citric acid cycle intermediates: possible links between cell metabolism and stabilization of HIF. J Biol Chem. 2007;282(7):4524-32.
How is the enzymatic regulation of HIF-PHDs by fumarate and succinate best described?

A)Fumarate and succinate are equally effective noncompetitive inhibitors.
B)Fumarate is a competitive inhibitor, and succinate is an uncompetitive inhibitor.
C)Succinate and fumarate display varying capacity for mixed inhibition.
D)Succinate is a more efficient competitive inhibitor than fumarate.
Use Space or
up arrow
down arrow
to flip the card.
Question
Passage
Leptin signaling is vital for maintaining adequate body mass and preventing insulin resistance.  When energy stores are abundant, adipocytes produce leptin to stimulate fatty acid oxidation and glucose utilization.  One result of leptin signaling in skeletal muscle cells is the phosphorylation and activation of adenosine monophosphate-activated protein kinase (AMPK).  AMPK facilitates the breakdown of triglycerides by decreasing the activity of acetyl-coenzyme A carboxylase (ACC); this leads to downregulation of fatty acid synthesis and upregulation of β-oxidation.Fatty acid oxidation has been studied by analyzing the effect of leptin on activation of AMPK and ACC in soleus muscles.  To identify leptin's mode of action, injections were administered to transgenic mice via the intravenous (1 mg/kg i.v.) and intrahypothalamic (1 ng i.h.p [faster drug delivery]) routes.  Phentolamine (PH), an α-adrenergic receptor ligand that binds to the same receptor as leptin, was administered concurrently in some of the mice.  Signaling to ACC from the citric acid cycle was also examined through the addition of citrate.
<strong>Passage Leptin signaling is vital for maintaining adequate body mass and preventing insulin resistance.  When energy stores are abundant, adipocytes produce leptin to stimulate fatty acid oxidation and glucose utilization.  One result of leptin signaling in skeletal muscle cells is the phosphorylation and activation of adenosine monophosphate-activated protein kinase (AMPK).  AMPK facilitates the breakdown of triglycerides by decreasing the activity of acetyl-coenzyme A carboxylase (ACC); this leads to downregulation of fatty acid synthesis and upregulation of β-oxidation.Fatty acid oxidation has been studied by analyzing the effect of leptin on activation of AMPK and ACC in soleus muscles.  To identify leptin's mode of action, injections were administered to transgenic mice via the intravenous (1 mg/kg i.v.) and intrahypothalamic (1 ng i.h.p [faster drug delivery]) routes.  Phentolamine (PH), an α-adrenergic receptor ligand that binds to the same receptor as leptin, was administered concurrently in some of the mice.  Signaling to ACC from the citric acid cycle was also examined through the addition of citrate.   <strong>Figure 1</strong>  AMPK activity measured in soleus muscle injected with leptin and PH via i.v. and i.h.p.<strong>Table 1</strong>  ACC Activity in Soleus Muscle Exposed to Leptin Delivered via i.v. and i.h.p Injections in vivo   Adapted from Minokoshi Y, Kim YB, Peroni OD, et al. Leptin stimulates fatty-acid oxidation by activating AMP-activated protein kinase. Nature. 2002;415(6869):339-43. Fatty acids must be activated prior to degradation by a ligase enzyme.  Which of the following reactions is catalyzed by a ligase?</strong> A)   B)   C)   D)   <div style=padding-top: 35px> Figure 1  AMPK activity measured in soleus muscle injected with leptin and PH via i.v. and i.h.p.Table 1  ACC Activity in Soleus Muscle Exposed to Leptin Delivered via i.v. and i.h.p Injections in vivo
<strong>Passage Leptin signaling is vital for maintaining adequate body mass and preventing insulin resistance.  When energy stores are abundant, adipocytes produce leptin to stimulate fatty acid oxidation and glucose utilization.  One result of leptin signaling in skeletal muscle cells is the phosphorylation and activation of adenosine monophosphate-activated protein kinase (AMPK).  AMPK facilitates the breakdown of triglycerides by decreasing the activity of acetyl-coenzyme A carboxylase (ACC); this leads to downregulation of fatty acid synthesis and upregulation of β-oxidation.Fatty acid oxidation has been studied by analyzing the effect of leptin on activation of AMPK and ACC in soleus muscles.  To identify leptin's mode of action, injections were administered to transgenic mice via the intravenous (1 mg/kg i.v.) and intrahypothalamic (1 ng i.h.p [faster drug delivery]) routes.  Phentolamine (PH), an α-adrenergic receptor ligand that binds to the same receptor as leptin, was administered concurrently in some of the mice.  Signaling to ACC from the citric acid cycle was also examined through the addition of citrate.   <strong>Figure 1</strong>  AMPK activity measured in soleus muscle injected with leptin and PH via i.v. and i.h.p.<strong>Table 1</strong>  ACC Activity in Soleus Muscle Exposed to Leptin Delivered via i.v. and i.h.p Injections in vivo   Adapted from Minokoshi Y, Kim YB, Peroni OD, et al. Leptin stimulates fatty-acid oxidation by activating AMP-activated protein kinase. Nature. 2002;415(6869):339-43. Fatty acids must be activated prior to degradation by a ligase enzyme.  Which of the following reactions is catalyzed by a ligase?</strong> A)   B)   C)   D)   <div style=padding-top: 35px> Adapted from Minokoshi Y, Kim YB, Peroni OD, et al. Leptin stimulates fatty-acid oxidation by activating AMP-activated protein kinase. Nature. 2002;415(6869):339-43.
Fatty acids must be activated prior to degradation by a ligase enzyme.  Which of the following reactions is catalyzed by a ligase?

A) <strong>Passage Leptin signaling is vital for maintaining adequate body mass and preventing insulin resistance.  When energy stores are abundant, adipocytes produce leptin to stimulate fatty acid oxidation and glucose utilization.  One result of leptin signaling in skeletal muscle cells is the phosphorylation and activation of adenosine monophosphate-activated protein kinase (AMPK).  AMPK facilitates the breakdown of triglycerides by decreasing the activity of acetyl-coenzyme A carboxylase (ACC); this leads to downregulation of fatty acid synthesis and upregulation of β-oxidation.Fatty acid oxidation has been studied by analyzing the effect of leptin on activation of AMPK and ACC in soleus muscles.  To identify leptin's mode of action, injections were administered to transgenic mice via the intravenous (1 mg/kg i.v.) and intrahypothalamic (1 ng i.h.p [faster drug delivery]) routes.  Phentolamine (PH), an α-adrenergic receptor ligand that binds to the same receptor as leptin, was administered concurrently in some of the mice.  Signaling to ACC from the citric acid cycle was also examined through the addition of citrate.   <strong>Figure 1</strong>  AMPK activity measured in soleus muscle injected with leptin and PH via i.v. and i.h.p.<strong>Table 1</strong>  ACC Activity in Soleus Muscle Exposed to Leptin Delivered via i.v. and i.h.p Injections in vivo   Adapted from Minokoshi Y, Kim YB, Peroni OD, et al. Leptin stimulates fatty-acid oxidation by activating AMP-activated protein kinase. Nature. 2002;415(6869):339-43. Fatty acids must be activated prior to degradation by a ligase enzyme.  Which of the following reactions is catalyzed by a ligase?</strong> A)   B)   C)   D)   <div style=padding-top: 35px>
B) <strong>Passage Leptin signaling is vital for maintaining adequate body mass and preventing insulin resistance.  When energy stores are abundant, adipocytes produce leptin to stimulate fatty acid oxidation and glucose utilization.  One result of leptin signaling in skeletal muscle cells is the phosphorylation and activation of adenosine monophosphate-activated protein kinase (AMPK).  AMPK facilitates the breakdown of triglycerides by decreasing the activity of acetyl-coenzyme A carboxylase (ACC); this leads to downregulation of fatty acid synthesis and upregulation of β-oxidation.Fatty acid oxidation has been studied by analyzing the effect of leptin on activation of AMPK and ACC in soleus muscles.  To identify leptin's mode of action, injections were administered to transgenic mice via the intravenous (1 mg/kg i.v.) and intrahypothalamic (1 ng i.h.p [faster drug delivery]) routes.  Phentolamine (PH), an α-adrenergic receptor ligand that binds to the same receptor as leptin, was administered concurrently in some of the mice.  Signaling to ACC from the citric acid cycle was also examined through the addition of citrate.   <strong>Figure 1</strong>  AMPK activity measured in soleus muscle injected with leptin and PH via i.v. and i.h.p.<strong>Table 1</strong>  ACC Activity in Soleus Muscle Exposed to Leptin Delivered via i.v. and i.h.p Injections in vivo   Adapted from Minokoshi Y, Kim YB, Peroni OD, et al. Leptin stimulates fatty-acid oxidation by activating AMP-activated protein kinase. Nature. 2002;415(6869):339-43. Fatty acids must be activated prior to degradation by a ligase enzyme.  Which of the following reactions is catalyzed by a ligase?</strong> A)   B)   C)   D)   <div style=padding-top: 35px>
C) <strong>Passage Leptin signaling is vital for maintaining adequate body mass and preventing insulin resistance.  When energy stores are abundant, adipocytes produce leptin to stimulate fatty acid oxidation and glucose utilization.  One result of leptin signaling in skeletal muscle cells is the phosphorylation and activation of adenosine monophosphate-activated protein kinase (AMPK).  AMPK facilitates the breakdown of triglycerides by decreasing the activity of acetyl-coenzyme A carboxylase (ACC); this leads to downregulation of fatty acid synthesis and upregulation of β-oxidation.Fatty acid oxidation has been studied by analyzing the effect of leptin on activation of AMPK and ACC in soleus muscles.  To identify leptin's mode of action, injections were administered to transgenic mice via the intravenous (1 mg/kg i.v.) and intrahypothalamic (1 ng i.h.p [faster drug delivery]) routes.  Phentolamine (PH), an α-adrenergic receptor ligand that binds to the same receptor as leptin, was administered concurrently in some of the mice.  Signaling to ACC from the citric acid cycle was also examined through the addition of citrate.   <strong>Figure 1</strong>  AMPK activity measured in soleus muscle injected with leptin and PH via i.v. and i.h.p.<strong>Table 1</strong>  ACC Activity in Soleus Muscle Exposed to Leptin Delivered via i.v. and i.h.p Injections in vivo   Adapted from Minokoshi Y, Kim YB, Peroni OD, et al. Leptin stimulates fatty-acid oxidation by activating AMP-activated protein kinase. Nature. 2002;415(6869):339-43. Fatty acids must be activated prior to degradation by a ligase enzyme.  Which of the following reactions is catalyzed by a ligase?</strong> A)   B)   C)   D)   <div style=padding-top: 35px>
D) <strong>Passage Leptin signaling is vital for maintaining adequate body mass and preventing insulin resistance.  When energy stores are abundant, adipocytes produce leptin to stimulate fatty acid oxidation and glucose utilization.  One result of leptin signaling in skeletal muscle cells is the phosphorylation and activation of adenosine monophosphate-activated protein kinase (AMPK).  AMPK facilitates the breakdown of triglycerides by decreasing the activity of acetyl-coenzyme A carboxylase (ACC); this leads to downregulation of fatty acid synthesis and upregulation of β-oxidation.Fatty acid oxidation has been studied by analyzing the effect of leptin on activation of AMPK and ACC in soleus muscles.  To identify leptin's mode of action, injections were administered to transgenic mice via the intravenous (1 mg/kg i.v.) and intrahypothalamic (1 ng i.h.p [faster drug delivery]) routes.  Phentolamine (PH), an α-adrenergic receptor ligand that binds to the same receptor as leptin, was administered concurrently in some of the mice.  Signaling to ACC from the citric acid cycle was also examined through the addition of citrate.   <strong>Figure 1</strong>  AMPK activity measured in soleus muscle injected with leptin and PH via i.v. and i.h.p.<strong>Table 1</strong>  ACC Activity in Soleus Muscle Exposed to Leptin Delivered via i.v. and i.h.p Injections in vivo   Adapted from Minokoshi Y, Kim YB, Peroni OD, et al. Leptin stimulates fatty-acid oxidation by activating AMP-activated protein kinase. Nature. 2002;415(6869):339-43. Fatty acids must be activated prior to degradation by a ligase enzyme.  Which of the following reactions is catalyzed by a ligase?</strong> A)   B)   C)   D)   <div style=padding-top: 35px>
Question
Passage
Tumor hypoxia is a marker of resistance to chemotherapy and radiation.  The low oxygen saturation in solid tumors activates hypoxia-inducible factors (HIFs), which stimulate the expression of genes required for angiogenesis, erythropoiesis, and glucose utilization.  Under normal conditions, HIF-DNA binding is interrupted by HIF-prolyl hydroxylases (HIF-PHDs), enzymes that hydroxylate aliphatic residues such as leucine or proline on HIFs.  These hydroxylated residues serve as markers for the ubiquitin-proteasome system.  Researchers have proposed that changes in oxygen-dependent pathways such as the citric acid cycle can regulate HIF-PHD activity.Experiment 1A kinematic study was conducted to test the effect of citric acid cycle intermediates on HIF-PHDs.  Fumarate and succinate were examined with purified HIF-PHD against increasing concentrations of 2-oxoglutarate (2-OG), an HIF analog.
<strong>Passage Tumor hypoxia is a marker of resistance to chemotherapy and radiation.  The low oxygen saturation in solid tumors activates hypoxia-inducible factors (HIFs), which stimulate the expression of genes required for angiogenesis, erythropoiesis, and glucose utilization.  Under normal conditions, HIF-DNA binding is interrupted by HIF-prolyl hydroxylases (HIF-PHDs), enzymes that hydroxylate aliphatic residues such as leucine or proline on HIFs.  These hydroxylated residues serve as markers for the ubiquitin-proteasome system.  Researchers have proposed that changes in oxygen-dependent pathways such as the citric acid cycle can regulate HIF-PHD activity.Experiment 1A kinematic study was conducted to test the effect of citric acid cycle intermediates on HIF-PHDs.  Fumarate and succinate were examined with purified HIF-PHD against increasing concentrations of 2-oxoglutarate (2-OG), an HIF analog.   <strong>Figure 1</strong>  Activity of HIF-PHD exposed to succinate and fumarate in vitro based on 2-OG catalysisExperiment 2Researchers measured HIF-1a, a HIF subunit, using western blot analysis in wild-type (FH<sup>+</sup>) and fumarate-deficient (FH<sup>−</sup>) cells that were treated with fumarate under normoxic and hypoxic conditions (Figure 2).   <strong>Figure 2</strong>  HIF-1a in FH<sup>+</sup> and FH<sup>−</sup> cells grown in vitro under normoxic (N) and hypoxic (H) conditions Adapted from Koivunen P, Hirsilä M, Remes AM, Hassinen IE, Kivirikko KI, Myllyharju J. Inhibition of hypoxia-inducible factor (HIF) hydroxylases by citric acid cycle intermediates: possible links between cell metabolism and stabilization of HIF. J Biol Chem. 2007;282(7):4524-32. Based on the passage, culturing wild-type and FH<sup>−</sup> cells in atmospheric oxygen conditions will lead to:</strong> A)overexpression of the HIF-1α protein subunit. B)reduction in activity of the HIF-PHDs. C)increased hydroxylation and ubiquitination of HIF-1α. D)decreased proteasomal activity. <div style=padding-top: 35px> Figure 1  Activity of HIF-PHD exposed to succinate and fumarate in vitro based on 2-OG catalysisExperiment 2Researchers measured HIF-1a, a HIF subunit, using western blot analysis in wild-type (FH+) and fumarate-deficient (FH) cells that were treated with fumarate under normoxic and hypoxic conditions (Figure 2).
<strong>Passage Tumor hypoxia is a marker of resistance to chemotherapy and radiation.  The low oxygen saturation in solid tumors activates hypoxia-inducible factors (HIFs), which stimulate the expression of genes required for angiogenesis, erythropoiesis, and glucose utilization.  Under normal conditions, HIF-DNA binding is interrupted by HIF-prolyl hydroxylases (HIF-PHDs), enzymes that hydroxylate aliphatic residues such as leucine or proline on HIFs.  These hydroxylated residues serve as markers for the ubiquitin-proteasome system.  Researchers have proposed that changes in oxygen-dependent pathways such as the citric acid cycle can regulate HIF-PHD activity.Experiment 1A kinematic study was conducted to test the effect of citric acid cycle intermediates on HIF-PHDs.  Fumarate and succinate were examined with purified HIF-PHD against increasing concentrations of 2-oxoglutarate (2-OG), an HIF analog.   <strong>Figure 1</strong>  Activity of HIF-PHD exposed to succinate and fumarate in vitro based on 2-OG catalysisExperiment 2Researchers measured HIF-1a, a HIF subunit, using western blot analysis in wild-type (FH<sup>+</sup>) and fumarate-deficient (FH<sup>−</sup>) cells that were treated with fumarate under normoxic and hypoxic conditions (Figure 2).   <strong>Figure 2</strong>  HIF-1a in FH<sup>+</sup> and FH<sup>−</sup> cells grown in vitro under normoxic (N) and hypoxic (H) conditions Adapted from Koivunen P, Hirsilä M, Remes AM, Hassinen IE, Kivirikko KI, Myllyharju J. Inhibition of hypoxia-inducible factor (HIF) hydroxylases by citric acid cycle intermediates: possible links between cell metabolism and stabilization of HIF. J Biol Chem. 2007;282(7):4524-32. Based on the passage, culturing wild-type and FH<sup>−</sup> cells in atmospheric oxygen conditions will lead to:</strong> A)overexpression of the HIF-1α protein subunit. B)reduction in activity of the HIF-PHDs. C)increased hydroxylation and ubiquitination of HIF-1α. D)decreased proteasomal activity. <div style=padding-top: 35px> Figure 2  HIF-1a in FH+ and FH cells grown in vitro under normoxic (N) and hypoxic (H) conditions
Adapted from Koivunen P, Hirsilä M, Remes AM, Hassinen IE, Kivirikko KI, Myllyharju J. Inhibition of hypoxia-inducible factor (HIF) hydroxylases by citric acid cycle intermediates: possible links between cell metabolism and stabilization of HIF. J Biol Chem. 2007;282(7):4524-32.
Based on the passage, culturing wild-type and FH cells in atmospheric oxygen conditions will lead to:

A)overexpression of the HIF-1α protein subunit.
B)reduction in activity of the HIF-PHDs.
C)increased hydroxylation and ubiquitination of HIF-1α.
D)decreased proteasomal activity.
Question
Passage
Leptin signaling is vital for maintaining adequate body mass and preventing insulin resistance.  When energy stores are abundant, adipocytes produce leptin to stimulate fatty acid oxidation and glucose utilization.  One result of leptin signaling in skeletal muscle cells is the phosphorylation and activation of adenosine monophosphate-activated protein kinase (AMPK).  AMPK facilitates the breakdown of triglycerides by decreasing the activity of acetyl-coenzyme A carboxylase (ACC); this leads to downregulation of fatty acid synthesis and upregulation of β-oxidation.Fatty acid oxidation has been studied by analyzing the effect of leptin on activation of AMPK and ACC in soleus muscles.  To identify leptin's mode of action, injections were administered to transgenic mice via the intravenous (1 mg/kg i.v.) and intrahypothalamic (1 ng i.h.p [faster drug delivery]) routes.  Phentolamine (PH), an α-adrenergic receptor ligand that binds to the same receptor as leptin, was administered concurrently in some of the mice.  Signaling to ACC from the citric acid cycle was also examined through the addition of citrate.
<strong>Passage Leptin signaling is vital for maintaining adequate body mass and preventing insulin resistance.  When energy stores are abundant, adipocytes produce leptin to stimulate fatty acid oxidation and glucose utilization.  One result of leptin signaling in skeletal muscle cells is the phosphorylation and activation of adenosine monophosphate-activated protein kinase (AMPK).  AMPK facilitates the breakdown of triglycerides by decreasing the activity of acetyl-coenzyme A carboxylase (ACC); this leads to downregulation of fatty acid synthesis and upregulation of β-oxidation.Fatty acid oxidation has been studied by analyzing the effect of leptin on activation of AMPK and ACC in soleus muscles.  To identify leptin's mode of action, injections were administered to transgenic mice via the intravenous (1 mg/kg i.v.) and intrahypothalamic (1 ng i.h.p [faster drug delivery]) routes.  Phentolamine (PH), an α-adrenergic receptor ligand that binds to the same receptor as leptin, was administered concurrently in some of the mice.  Signaling to ACC from the citric acid cycle was also examined through the addition of citrate.   <strong>Figure 1</strong>  AMPK activity measured in soleus muscle injected with leptin and PH via i.v. and i.h.p.<strong>Table 1</strong>  ACC Activity in Soleus Muscle Exposed to Leptin Delivered via i.v. and i.h.p Injections in vivo   Adapted from Minokoshi Y, Kim YB, Peroni OD, et al. Leptin stimulates fatty-acid oxidation by activating AMP-activated protein kinase. Nature. 2002;415(6869):339-43. In skeletal muscle cells, leptin resistance would lead to decreased concentrations of:</strong> A)glycerol. B)fatty acids. C)malonyl-CoA. D)acetyl-CoA. <div style=padding-top: 35px> Figure 1  AMPK activity measured in soleus muscle injected with leptin and PH via i.v. and i.h.p.Table 1  ACC Activity in Soleus Muscle Exposed to Leptin Delivered via i.v. and i.h.p Injections in vivo
<strong>Passage Leptin signaling is vital for maintaining adequate body mass and preventing insulin resistance.  When energy stores are abundant, adipocytes produce leptin to stimulate fatty acid oxidation and glucose utilization.  One result of leptin signaling in skeletal muscle cells is the phosphorylation and activation of adenosine monophosphate-activated protein kinase (AMPK).  AMPK facilitates the breakdown of triglycerides by decreasing the activity of acetyl-coenzyme A carboxylase (ACC); this leads to downregulation of fatty acid synthesis and upregulation of β-oxidation.Fatty acid oxidation has been studied by analyzing the effect of leptin on activation of AMPK and ACC in soleus muscles.  To identify leptin's mode of action, injections were administered to transgenic mice via the intravenous (1 mg/kg i.v.) and intrahypothalamic (1 ng i.h.p [faster drug delivery]) routes.  Phentolamine (PH), an α-adrenergic receptor ligand that binds to the same receptor as leptin, was administered concurrently in some of the mice.  Signaling to ACC from the citric acid cycle was also examined through the addition of citrate.   <strong>Figure 1</strong>  AMPK activity measured in soleus muscle injected with leptin and PH via i.v. and i.h.p.<strong>Table 1</strong>  ACC Activity in Soleus Muscle Exposed to Leptin Delivered via i.v. and i.h.p Injections in vivo   Adapted from Minokoshi Y, Kim YB, Peroni OD, et al. Leptin stimulates fatty-acid oxidation by activating AMP-activated protein kinase. Nature. 2002;415(6869):339-43. In skeletal muscle cells, leptin resistance would lead to decreased concentrations of:</strong> A)glycerol. B)fatty acids. C)malonyl-CoA. D)acetyl-CoA. <div style=padding-top: 35px> Adapted from Minokoshi Y, Kim YB, Peroni OD, et al. Leptin stimulates fatty-acid oxidation by activating AMP-activated protein kinase. Nature. 2002;415(6869):339-43.
In skeletal muscle cells, leptin resistance would lead to decreased concentrations of:

A)glycerol.
B)fatty acids.
C)malonyl-CoA.
D)acetyl-CoA.
Question
Passage
Leptin signaling is vital for maintaining adequate body mass and preventing insulin resistance.  When energy stores are abundant, adipocytes produce leptin to stimulate fatty acid oxidation and glucose utilization.  One result of leptin signaling in skeletal muscle cells is the phosphorylation and activation of adenosine monophosphate-activated protein kinase (AMPK).  AMPK facilitates the breakdown of triglycerides by decreasing the activity of acetyl-coenzyme A carboxylase (ACC); this leads to downregulation of fatty acid synthesis and upregulation of β-oxidation.Fatty acid oxidation has been studied by analyzing the effect of leptin on activation of AMPK and ACC in soleus muscles.  To identify leptin's mode of action, injections were administered to transgenic mice via the intravenous (1 mg/kg i.v.) and intrahypothalamic (1 ng i.h.p [faster drug delivery]) routes.  Phentolamine (PH), an α-adrenergic receptor ligand that binds to the same receptor as leptin, was administered concurrently in some of the mice.  Signaling to ACC from the citric acid cycle was also examined through the addition of citrate.
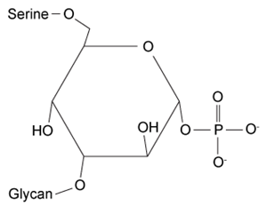
<strong>Passage Leptin signaling is vital for maintaining adequate body mass and preventing insulin resistance.  When energy stores are abundant, adipocytes produce leptin to stimulate fatty acid oxidation and glucose utilization.  One result of leptin signaling in skeletal muscle cells is the phosphorylation and activation of adenosine monophosphate-activated protein kinase (AMPK).  AMPK facilitates the breakdown of triglycerides by decreasing the activity of acetyl-coenzyme A carboxylase (ACC); this leads to downregulation of fatty acid synthesis and upregulation of β-oxidation.Fatty acid oxidation has been studied by analyzing the effect of leptin on activation of AMPK and ACC in soleus muscles.  To identify leptin's mode of action, injections were administered to transgenic mice via the intravenous (1 mg/kg i.v.) and intrahypothalamic (1 ng i.h.p [faster drug delivery]) routes.  Phentolamine (PH), an α-adrenergic receptor ligand that binds to the same receptor as leptin, was administered concurrently in some of the mice.  Signaling to ACC from the citric acid cycle was also examined through the addition of citrate.   <strong>Figure 1</strong>  AMPK activity measured in soleus muscle injected with leptin and PH via i.v. and i.h.p.<strong>Table 1</strong>  ACC Activity in Soleus Muscle Exposed to Leptin Delivered via i.v. and i.h.p Injections in vivo   Adapted from Minokoshi Y, Kim YB, Peroni OD, et al. Leptin stimulates fatty-acid oxidation by activating AMP-activated protein kinase. Nature. 2002;415(6869):339-43. The structure of Compound 1, which is found in adipocytes, is shown below.  What would be the catabolic fate of this molecule?  </strong> A)Part A enters glycolysis and part B enters β-oxidation. B)Part A enters gluconeogenesis and part B enters fatty acid synthesis. C)Part B enters fatty acid synthesis and part A enters β-oxidation. D)Part B enters glycogenolysis and part A enters glycolysis. <div style=padding-top: 35px> Figure 1  AMPK activity measured in soleus muscle injected with leptin and PH via i.v. and i.h.p.Table 1  ACC Activity in Soleus Muscle Exposed to Leptin Delivered via i.v. and i.h.p Injections in vivo
<strong>Passage Leptin signaling is vital for maintaining adequate body mass and preventing insulin resistance.  When energy stores are abundant, adipocytes produce leptin to stimulate fatty acid oxidation and glucose utilization.  One result of leptin signaling in skeletal muscle cells is the phosphorylation and activation of adenosine monophosphate-activated protein kinase (AMPK).  AMPK facilitates the breakdown of triglycerides by decreasing the activity of acetyl-coenzyme A carboxylase (ACC); this leads to downregulation of fatty acid synthesis and upregulation of β-oxidation.Fatty acid oxidation has been studied by analyzing the effect of leptin on activation of AMPK and ACC in soleus muscles.  To identify leptin's mode of action, injections were administered to transgenic mice via the intravenous (1 mg/kg i.v.) and intrahypothalamic (1 ng i.h.p [faster drug delivery]) routes.  Phentolamine (PH), an α-adrenergic receptor ligand that binds to the same receptor as leptin, was administered concurrently in some of the mice.  Signaling to ACC from the citric acid cycle was also examined through the addition of citrate.   <strong>Figure 1</strong>  AMPK activity measured in soleus muscle injected with leptin and PH via i.v. and i.h.p.<strong>Table 1</strong>  ACC Activity in Soleus Muscle Exposed to Leptin Delivered via i.v. and i.h.p Injections in vivo   Adapted from Minokoshi Y, Kim YB, Peroni OD, et al. Leptin stimulates fatty-acid oxidation by activating AMP-activated protein kinase. Nature. 2002;415(6869):339-43. The structure of Compound 1, which is found in adipocytes, is shown below.  What would be the catabolic fate of this molecule?  </strong> A)Part A enters glycolysis and part B enters β-oxidation. B)Part A enters gluconeogenesis and part B enters fatty acid synthesis. C)Part B enters fatty acid synthesis and part A enters β-oxidation. D)Part B enters glycogenolysis and part A enters glycolysis. <div style=padding-top: 35px> Adapted from Minokoshi Y, Kim YB, Peroni OD, et al. Leptin stimulates fatty-acid oxidation by activating AMP-activated protein kinase. Nature. 2002;415(6869):339-43.
The structure of Compound 1, which is found in adipocytes, is shown below.  What would be the catabolic fate of this molecule? <strong>Passage Leptin signaling is vital for maintaining adequate body mass and preventing insulin resistance.  When energy stores are abundant, adipocytes produce leptin to stimulate fatty acid oxidation and glucose utilization.  One result of leptin signaling in skeletal muscle cells is the phosphorylation and activation of adenosine monophosphate-activated protein kinase (AMPK).  AMPK facilitates the breakdown of triglycerides by decreasing the activity of acetyl-coenzyme A carboxylase (ACC); this leads to downregulation of fatty acid synthesis and upregulation of β-oxidation.Fatty acid oxidation has been studied by analyzing the effect of leptin on activation of AMPK and ACC in soleus muscles.  To identify leptin's mode of action, injections were administered to transgenic mice via the intravenous (1 mg/kg i.v.) and intrahypothalamic (1 ng i.h.p [faster drug delivery]) routes.  Phentolamine (PH), an α-adrenergic receptor ligand that binds to the same receptor as leptin, was administered concurrently in some of the mice.  Signaling to ACC from the citric acid cycle was also examined through the addition of citrate.   <strong>Figure 1</strong>  AMPK activity measured in soleus muscle injected with leptin and PH via i.v. and i.h.p.<strong>Table 1</strong>  ACC Activity in Soleus Muscle Exposed to Leptin Delivered via i.v. and i.h.p Injections in vivo   Adapted from Minokoshi Y, Kim YB, Peroni OD, et al. Leptin stimulates fatty-acid oxidation by activating AMP-activated protein kinase. Nature. 2002;415(6869):339-43. The structure of Compound 1, which is found in adipocytes, is shown below.  What would be the catabolic fate of this molecule?  </strong> A)Part A enters glycolysis and part B enters β-oxidation. B)Part A enters gluconeogenesis and part B enters fatty acid synthesis. C)Part B enters fatty acid synthesis and part A enters β-oxidation. D)Part B enters glycogenolysis and part A enters glycolysis. <div style=padding-top: 35px>

A)Part A enters glycolysis and part B enters β-oxidation.
B)Part A enters gluconeogenesis and part B enters fatty acid synthesis.
C)Part B enters fatty acid synthesis and part A enters β-oxidation.
D)Part B enters glycogenolysis and part A enters glycolysis.
Question
Passage
Leptin signaling is vital for maintaining adequate body mass and preventing insulin resistance.  When energy stores are abundant, adipocytes produce leptin to stimulate fatty acid oxidation and glucose utilization.  One result of leptin signaling in skeletal muscle cells is the phosphorylation and activation of adenosine monophosphate-activated protein kinase (AMPK).  AMPK facilitates the breakdown of triglycerides by decreasing the activity of acetyl-coenzyme A carboxylase (ACC); this leads to downregulation of fatty acid synthesis and upregulation of β-oxidation.Fatty acid oxidation has been studied by analyzing the effect of leptin on activation of AMPK and ACC in soleus muscles.  To identify leptin's mode of action, injections were administered to transgenic mice via the intravenous (1 mg/kg i.v.) and intrahypothalamic (1 ng i.h.p [faster drug delivery]) routes.  Phentolamine (PH), an α-adrenergic receptor ligand that binds to the same receptor as leptin, was administered concurrently in some of the mice.  Signaling to ACC from the citric acid cycle was also examined through the addition of citrate.
<strong>Passage Leptin signaling is vital for maintaining adequate body mass and preventing insulin resistance.  When energy stores are abundant, adipocytes produce leptin to stimulate fatty acid oxidation and glucose utilization.  One result of leptin signaling in skeletal muscle cells is the phosphorylation and activation of adenosine monophosphate-activated protein kinase (AMPK).  AMPK facilitates the breakdown of triglycerides by decreasing the activity of acetyl-coenzyme A carboxylase (ACC); this leads to downregulation of fatty acid synthesis and upregulation of β-oxidation.Fatty acid oxidation has been studied by analyzing the effect of leptin on activation of AMPK and ACC in soleus muscles.  To identify leptin's mode of action, injections were administered to transgenic mice via the intravenous (1 mg/kg i.v.) and intrahypothalamic (1 ng i.h.p [faster drug delivery]) routes.  Phentolamine (PH), an α-adrenergic receptor ligand that binds to the same receptor as leptin, was administered concurrently in some of the mice.  Signaling to ACC from the citric acid cycle was also examined through the addition of citrate.   <strong>Figure 1</strong>  AMPK activity measured in soleus muscle injected with leptin and PH via i.v. and i.h.p.<strong>Table 1</strong>  ACC Activity in Soleus Muscle Exposed to Leptin Delivered via i.v. and i.h.p Injections in vivo   Adapted from Minokoshi Y, Kim YB, Peroni OD, et al. Leptin stimulates fatty-acid oxidation by activating AMP-activated protein kinase. Nature. 2002;415(6869):339-43. What best describes the action of PH on AMPK activity?</strong> A)Long-term agonist B)Immediate antagonist C)Time-dependent antagonist D)Rapid agonist <div style=padding-top: 35px> Figure 1  AMPK activity measured in soleus muscle injected with leptin and PH via i.v. and i.h.p.Table 1  ACC Activity in Soleus Muscle Exposed to Leptin Delivered via i.v. and i.h.p Injections in vivo
<strong>Passage Leptin signaling is vital for maintaining adequate body mass and preventing insulin resistance.  When energy stores are abundant, adipocytes produce leptin to stimulate fatty acid oxidation and glucose utilization.  One result of leptin signaling in skeletal muscle cells is the phosphorylation and activation of adenosine monophosphate-activated protein kinase (AMPK).  AMPK facilitates the breakdown of triglycerides by decreasing the activity of acetyl-coenzyme A carboxylase (ACC); this leads to downregulation of fatty acid synthesis and upregulation of β-oxidation.Fatty acid oxidation has been studied by analyzing the effect of leptin on activation of AMPK and ACC in soleus muscles.  To identify leptin's mode of action, injections were administered to transgenic mice via the intravenous (1 mg/kg i.v.) and intrahypothalamic (1 ng i.h.p [faster drug delivery]) routes.  Phentolamine (PH), an α-adrenergic receptor ligand that binds to the same receptor as leptin, was administered concurrently in some of the mice.  Signaling to ACC from the citric acid cycle was also examined through the addition of citrate.   <strong>Figure 1</strong>  AMPK activity measured in soleus muscle injected with leptin and PH via i.v. and i.h.p.<strong>Table 1</strong>  ACC Activity in Soleus Muscle Exposed to Leptin Delivered via i.v. and i.h.p Injections in vivo   Adapted from Minokoshi Y, Kim YB, Peroni OD, et al. Leptin stimulates fatty-acid oxidation by activating AMP-activated protein kinase. Nature. 2002;415(6869):339-43. What best describes the action of PH on AMPK activity?</strong> A)Long-term agonist B)Immediate antagonist C)Time-dependent antagonist D)Rapid agonist <div style=padding-top: 35px> Adapted from Minokoshi Y, Kim YB, Peroni OD, et al. Leptin stimulates fatty-acid oxidation by activating AMP-activated protein kinase. Nature. 2002;415(6869):339-43.
What best describes the action of PH on AMPK activity?

A)Long-term agonist
B)Immediate antagonist
C)Time-dependent antagonist
D)Rapid agonist
Question
Passage
The innate immune system relies heavily on the phagocytic action of neutrophils, mobile white blood cells that engulf and degrade bacteria and viruses as the first line of host defense against invading pathogens.  One mechanism for eliminating viruses engulfed in the phagosome involves the degradation of viral proteins by neutrophil serine proteases (NSPs).NSPs, which form part of the chymotrypsin family of serine proteases, cleave viral proteins using a catalytic triad relay system.  Originally discovered in granules released by neutrophils, NSP4 is a novel monomeric serine protease that has been studied to elucidate the catalytic mechanism of NSPs.  Prior experimental data suggest that NSP4 alters its tertiary structure upon substrate binding and cleaves viral proteins using the acylation reaction shown in Figure 1.
<strong>Passage The innate immune system relies heavily on the phagocytic action of neutrophils, mobile white blood cells that engulf and degrade bacteria and viruses as the first line of host defense against invading pathogens.  One mechanism for eliminating viruses engulfed in the phagosome involves the degradation of viral proteins by neutrophil serine proteases (NSPs).NSPs, which form part of the chymotrypsin family of serine proteases, cleave viral proteins using a catalytic triad relay system.  Originally discovered in granules released by neutrophils, NSP4 is a novel monomeric serine protease that has been studied to elucidate the catalytic mechanism of NSPs.  Prior experimental data suggest that NSP4 alters its tertiary structure upon substrate binding and cleaves viral proteins using the acylation reaction shown in Figure 1.   <strong>Figure 1</strong>  Degradation of viral proteins by acylation of NSP4Computational methods were used to identify the energetic parameters of reactions between NSP4 and synthetic viral proteins.  To ensure that simulated reactions resembled physiological conditions, algorithms were adjusted to account for the enzyme being in an aqueous environment.  The rate-determining step in the acylation reaction was determined by calculating the changes in free energy in both the enzyme and substrate (Figure 2).   <strong>Figure 2</strong>  Free energy profiles of synthetic viral protein cleavageKnowledge of amino acid frequency distribution at an enzymatic active site may facilitate the design of novel active sites and enzyme-specific inhibitors.  Researchers analyzed the composition of amino acids that form the NSP4 active site during protein folding to study the characteristics of residues involved in active site formation (Figure 3).   <strong>Figure 3</strong>  Frequency distribution of amino acid residues at the NSP4 active site Adapted from Stapels DA, Geisbrecht BV, Rooijakkers SH. Neutrophil serine proteases in antibacterial defense. Curr Opin Microbiol. 2015;23:42-8. The figure below shows the active site of NSP4 with three residues that are essential for catalysis.   If site-directed mutagenesis was used to create a missense mutation at His<sup>57</sup>, this would likely result in which of the following changes regarding the enzyme-catalyzed degradation of the viral peptide depicted in the active site?The time required for the reaction to achieve equilibrium would increase.The equilibrium constant K<sub>eq</sub> of the reaction would decrease.The enzyme-substrate dissociation constant K<sub>d</sub> would increase.</strong> A)I only B)III only C)I and II only D)I and III only <div style=padding-top: 35px> Figure 1  Degradation of viral proteins by acylation of NSP4Computational methods were used to identify the energetic parameters of reactions between NSP4 and synthetic viral proteins.  To ensure that simulated reactions resembled physiological conditions, algorithms were adjusted to account for the enzyme being in an aqueous environment.  The rate-determining step in the acylation reaction was determined by calculating the changes in free energy in both the enzyme and substrate (Figure 2).
<strong>Passage The innate immune system relies heavily on the phagocytic action of neutrophils, mobile white blood cells that engulf and degrade bacteria and viruses as the first line of host defense against invading pathogens.  One mechanism for eliminating viruses engulfed in the phagosome involves the degradation of viral proteins by neutrophil serine proteases (NSPs).NSPs, which form part of the chymotrypsin family of serine proteases, cleave viral proteins using a catalytic triad relay system.  Originally discovered in granules released by neutrophils, NSP4 is a novel monomeric serine protease that has been studied to elucidate the catalytic mechanism of NSPs.  Prior experimental data suggest that NSP4 alters its tertiary structure upon substrate binding and cleaves viral proteins using the acylation reaction shown in Figure 1.   <strong>Figure 1</strong>  Degradation of viral proteins by acylation of NSP4Computational methods were used to identify the energetic parameters of reactions between NSP4 and synthetic viral proteins.  To ensure that simulated reactions resembled physiological conditions, algorithms were adjusted to account for the enzyme being in an aqueous environment.  The rate-determining step in the acylation reaction was determined by calculating the changes in free energy in both the enzyme and substrate (Figure 2).   <strong>Figure 2</strong>  Free energy profiles of synthetic viral protein cleavageKnowledge of amino acid frequency distribution at an enzymatic active site may facilitate the design of novel active sites and enzyme-specific inhibitors.  Researchers analyzed the composition of amino acids that form the NSP4 active site during protein folding to study the characteristics of residues involved in active site formation (Figure 3).   <strong>Figure 3</strong>  Frequency distribution of amino acid residues at the NSP4 active site Adapted from Stapels DA, Geisbrecht BV, Rooijakkers SH. Neutrophil serine proteases in antibacterial defense. Curr Opin Microbiol. 2015;23:42-8. The figure below shows the active site of NSP4 with three residues that are essential for catalysis.   If site-directed mutagenesis was used to create a missense mutation at His<sup>57</sup>, this would likely result in which of the following changes regarding the enzyme-catalyzed degradation of the viral peptide depicted in the active site?The time required for the reaction to achieve equilibrium would increase.The equilibrium constant K<sub>eq</sub> of the reaction would decrease.The enzyme-substrate dissociation constant K<sub>d</sub> would increase.</strong> A)I only B)III only C)I and II only D)I and III only <div style=padding-top: 35px> Figure 2  Free energy profiles of synthetic viral protein cleavageKnowledge of amino acid frequency distribution at an enzymatic active site may facilitate the design of novel active sites and enzyme-specific inhibitors.  Researchers analyzed the composition of amino acids that form the NSP4 active site during protein folding to study the characteristics of residues involved in active site formation (Figure 3).
<strong>Passage The innate immune system relies heavily on the phagocytic action of neutrophils, mobile white blood cells that engulf and degrade bacteria and viruses as the first line of host defense against invading pathogens.  One mechanism for eliminating viruses engulfed in the phagosome involves the degradation of viral proteins by neutrophil serine proteases (NSPs).NSPs, which form part of the chymotrypsin family of serine proteases, cleave viral proteins using a catalytic triad relay system.  Originally discovered in granules released by neutrophils, NSP4 is a novel monomeric serine protease that has been studied to elucidate the catalytic mechanism of NSPs.  Prior experimental data suggest that NSP4 alters its tertiary structure upon substrate binding and cleaves viral proteins using the acylation reaction shown in Figure 1.   <strong>Figure 1</strong>  Degradation of viral proteins by acylation of NSP4Computational methods were used to identify the energetic parameters of reactions between NSP4 and synthetic viral proteins.  To ensure that simulated reactions resembled physiological conditions, algorithms were adjusted to account for the enzyme being in an aqueous environment.  The rate-determining step in the acylation reaction was determined by calculating the changes in free energy in both the enzyme and substrate (Figure 2).   <strong>Figure 2</strong>  Free energy profiles of synthetic viral protein cleavageKnowledge of amino acid frequency distribution at an enzymatic active site may facilitate the design of novel active sites and enzyme-specific inhibitors.  Researchers analyzed the composition of amino acids that form the NSP4 active site during protein folding to study the characteristics of residues involved in active site formation (Figure 3).   <strong>Figure 3</strong>  Frequency distribution of amino acid residues at the NSP4 active site Adapted from Stapels DA, Geisbrecht BV, Rooijakkers SH. Neutrophil serine proteases in antibacterial defense. Curr Opin Microbiol. 2015;23:42-8. The figure below shows the active site of NSP4 with three residues that are essential for catalysis.   If site-directed mutagenesis was used to create a missense mutation at His<sup>57</sup>, this would likely result in which of the following changes regarding the enzyme-catalyzed degradation of the viral peptide depicted in the active site?The time required for the reaction to achieve equilibrium would increase.The equilibrium constant K<sub>eq</sub> of the reaction would decrease.The enzyme-substrate dissociation constant K<sub>d</sub> would increase.</strong> A)I only B)III only C)I and II only D)I and III only <div style=padding-top: 35px> Figure 3  Frequency distribution of amino acid residues at the NSP4 active site
Adapted from Stapels DA, Geisbrecht BV, Rooijakkers SH. Neutrophil serine proteases in antibacterial defense. Curr Opin Microbiol. 2015;23:42-8.
The figure below shows the active site of NSP4 with three residues that are essential for catalysis. <strong>Passage The innate immune system relies heavily on the phagocytic action of neutrophils, mobile white blood cells that engulf and degrade bacteria and viruses as the first line of host defense against invading pathogens.  One mechanism for eliminating viruses engulfed in the phagosome involves the degradation of viral proteins by neutrophil serine proteases (NSPs).NSPs, which form part of the chymotrypsin family of serine proteases, cleave viral proteins using a catalytic triad relay system.  Originally discovered in granules released by neutrophils, NSP4 is a novel monomeric serine protease that has been studied to elucidate the catalytic mechanism of NSPs.  Prior experimental data suggest that NSP4 alters its tertiary structure upon substrate binding and cleaves viral proteins using the acylation reaction shown in Figure 1.   <strong>Figure 1</strong>  Degradation of viral proteins by acylation of NSP4Computational methods were used to identify the energetic parameters of reactions between NSP4 and synthetic viral proteins.  To ensure that simulated reactions resembled physiological conditions, algorithms were adjusted to account for the enzyme being in an aqueous environment.  The rate-determining step in the acylation reaction was determined by calculating the changes in free energy in both the enzyme and substrate (Figure 2).   <strong>Figure 2</strong>  Free energy profiles of synthetic viral protein cleavageKnowledge of amino acid frequency distribution at an enzymatic active site may facilitate the design of novel active sites and enzyme-specific inhibitors.  Researchers analyzed the composition of amino acids that form the NSP4 active site during protein folding to study the characteristics of residues involved in active site formation (Figure 3).   <strong>Figure 3</strong>  Frequency distribution of amino acid residues at the NSP4 active site Adapted from Stapels DA, Geisbrecht BV, Rooijakkers SH. Neutrophil serine proteases in antibacterial defense. Curr Opin Microbiol. 2015;23:42-8. The figure below shows the active site of NSP4 with three residues that are essential for catalysis.   If site-directed mutagenesis was used to create a missense mutation at His<sup>57</sup>, this would likely result in which of the following changes regarding the enzyme-catalyzed degradation of the viral peptide depicted in the active site?The time required for the reaction to achieve equilibrium would increase.The equilibrium constant K<sub>eq</sub> of the reaction would decrease.The enzyme-substrate dissociation constant K<sub>d</sub> would increase.</strong> A)I only B)III only C)I and II only D)I and III only <div style=padding-top: 35px> If site-directed mutagenesis was used to create a missense mutation at His57, this would likely result in which of the following changes regarding the enzyme-catalyzed degradation of the viral peptide depicted in the active site?The time required for the reaction to achieve equilibrium would increase.The equilibrium constant Keq of the reaction would decrease.The enzyme-substrate dissociation constant Kd would increase.

A)I only
B)III only
C)I and II only
D)I and III only
Question
Passage
Leptin signaling is vital for maintaining adequate body mass and preventing insulin resistance.  When energy stores are abundant, adipocytes produce leptin to stimulate fatty acid oxidation and glucose utilization.  One result of leptin signaling in skeletal muscle cells is the phosphorylation and activation of adenosine monophosphate-activated protein kinase (AMPK).  AMPK facilitates the breakdown of triglycerides by decreasing the activity of acetyl-coenzyme A carboxylase (ACC); this leads to downregulation of fatty acid synthesis and upregulation of β-oxidation.Fatty acid oxidation has been studied by analyzing the effect of leptin on activation of AMPK and ACC in soleus muscles.  To identify leptin's mode of action, injections were administered to transgenic mice via the intravenous (1 mg/kg i.v.) and intrahypothalamic (1 ng i.h.p [faster drug delivery]) routes.  Phentolamine (PH), an α-adrenergic receptor ligand that binds to the same receptor as leptin, was administered concurrently in some of the mice.  Signaling to ACC from the citric acid cycle was also examined through the addition of citrate.
<strong>Passage Leptin signaling is vital for maintaining adequate body mass and preventing insulin resistance.  When energy stores are abundant, adipocytes produce leptin to stimulate fatty acid oxidation and glucose utilization.  One result of leptin signaling in skeletal muscle cells is the phosphorylation and activation of adenosine monophosphate-activated protein kinase (AMPK).  AMPK facilitates the breakdown of triglycerides by decreasing the activity of acetyl-coenzyme A carboxylase (ACC); this leads to downregulation of fatty acid synthesis and upregulation of β-oxidation.Fatty acid oxidation has been studied by analyzing the effect of leptin on activation of AMPK and ACC in soleus muscles.  To identify leptin's mode of action, injections were administered to transgenic mice via the intravenous (1 mg/kg i.v.) and intrahypothalamic (1 ng i.h.p [faster drug delivery]) routes.  Phentolamine (PH), an α-adrenergic receptor ligand that binds to the same receptor as leptin, was administered concurrently in some of the mice.  Signaling to ACC from the citric acid cycle was also examined through the addition of citrate.   <strong>Figure 1</strong>  AMPK activity measured in soleus muscle injected with leptin and PH via i.v. and i.h.p.<strong>Table 1</strong>  ACC Activity in Soleus Muscle Exposed to Leptin Delivered via i.v. and i.h.p Injections in vivo   Adapted from Minokoshi Y, Kim YB, Peroni OD, et al. Leptin stimulates fatty-acid oxidation by activating AMP-activated protein kinase. Nature. 2002;415(6869):339-43. The addition of AMPK phosphatases to skeletal muscles exposed to leptin would result in which of the following?</strong> A)Increased shuttling of fatty acids from the cytosol into mitochondria B)Increased funneling of electrons to carriers NAD<sup>+</sup> and FAD C)Upregulated activity of the acyl carrier protein in fatty acid synthase D)Upregulated phosphorylation of acetyl-coenzyme A carboxylase <div style=padding-top: 35px> Figure 1  AMPK activity measured in soleus muscle injected with leptin and PH via i.v. and i.h.p.Table 1  ACC Activity in Soleus Muscle Exposed to Leptin Delivered via i.v. and i.h.p Injections in vivo
<strong>Passage Leptin signaling is vital for maintaining adequate body mass and preventing insulin resistance.  When energy stores are abundant, adipocytes produce leptin to stimulate fatty acid oxidation and glucose utilization.  One result of leptin signaling in skeletal muscle cells is the phosphorylation and activation of adenosine monophosphate-activated protein kinase (AMPK).  AMPK facilitates the breakdown of triglycerides by decreasing the activity of acetyl-coenzyme A carboxylase (ACC); this leads to downregulation of fatty acid synthesis and upregulation of β-oxidation.Fatty acid oxidation has been studied by analyzing the effect of leptin on activation of AMPK and ACC in soleus muscles.  To identify leptin's mode of action, injections were administered to transgenic mice via the intravenous (1 mg/kg i.v.) and intrahypothalamic (1 ng i.h.p [faster drug delivery]) routes.  Phentolamine (PH), an α-adrenergic receptor ligand that binds to the same receptor as leptin, was administered concurrently in some of the mice.  Signaling to ACC from the citric acid cycle was also examined through the addition of citrate.   <strong>Figure 1</strong>  AMPK activity measured in soleus muscle injected with leptin and PH via i.v. and i.h.p.<strong>Table 1</strong>  ACC Activity in Soleus Muscle Exposed to Leptin Delivered via i.v. and i.h.p Injections in vivo   Adapted from Minokoshi Y, Kim YB, Peroni OD, et al. Leptin stimulates fatty-acid oxidation by activating AMP-activated protein kinase. Nature. 2002;415(6869):339-43. The addition of AMPK phosphatases to skeletal muscles exposed to leptin would result in which of the following?</strong> A)Increased shuttling of fatty acids from the cytosol into mitochondria B)Increased funneling of electrons to carriers NAD<sup>+</sup> and FAD C)Upregulated activity of the acyl carrier protein in fatty acid synthase D)Upregulated phosphorylation of acetyl-coenzyme A carboxylase <div style=padding-top: 35px> Adapted from Minokoshi Y, Kim YB, Peroni OD, et al. Leptin stimulates fatty-acid oxidation by activating AMP-activated protein kinase. Nature. 2002;415(6869):339-43.
The addition of AMPK phosphatases to skeletal muscles exposed to leptin would result in which of the following?

A)Increased shuttling of fatty acids from the cytosol into mitochondria
B)Increased funneling of electrons to carriers NAD+ and FAD
C)Upregulated activity of the acyl carrier protein in fatty acid synthase
D)Upregulated phosphorylation of acetyl-coenzyme A carboxylase
Question
Passage
Presynaptic nerve terminals release neurotransmitters via synaptic vesicle exocytosis.  This action is mediated by the membrane-bound target-SNARE (t-SNARE) proteins syntaxin and SNAP-25, and the vesicle-associated SNARE (v-SNARE) protein synaptobrevin.  Membrane fusion is initiated when the t-SNAREs and v-SNAREs form an α-helix bundle known as the core-trans-complex, achieved by zipping SNARE proteins together to form a more stable cis-complex (Figure 1).
<strong>Passage Presynaptic nerve terminals release neurotransmitters via synaptic vesicle exocytosis.  This action is mediated by the membrane-bound target-SNARE (t-SNARE) proteins syntaxin and SNAP-25, and the vesicle-associated SNARE (v-SNARE) protein synaptobrevin.  Membrane fusion is initiated when the t-SNAREs and v-SNAREs form an α-helix bundle known as the core-trans-complex, achieved by zipping SNARE proteins together to form a more stable cis-complex (Figure 1).   <strong>Figure 1</strong>  Formation of the core-trans-complex and subsequent membrane fusionThe cis-complex contains the zero ionic layer, the main site of interaction between complexed proteins.  Within the zero ionic layer, arginine on synaptobrevin coordinates with carbonyl groups present on the other residues shown in Table 1.  The zero ionic layer is buried within leucine zipper domains, which act as a shield to solvent molecules.<strong>Table 1</strong>  Composition of cis-Complex Zero Ionic Layer   An early step in cis-complex disassembly is destabilization by the ATPase N-ethylmaleimide-sensitive factor (NSF), which initiates unzipping by breaking flanking leucine zipper regions, leading to vesicle reuptake.  Movement of NSF to the cell membrane is mediated by the cytoplasmic protein α-SNAP, which must first bind the N-terminal domain of syntaxin.To determine the effect of vesicle-bound synaptobrevin on the binding of α-SNAP to syntaxin, increasing amounts of recombinant His-tagged α-SNAP were added to a constant amount of syntaxin affixed to glutathione-agarose beads with or without synaptobrevin.  After incubation, bound proteins were recovered and quantitatively analyzed by immunoblotting.  Results are shown in Figure 2.   <strong>Figure 2</strong>  α-SNAP binding to syntaxin in the absence (square) or presence (circle) of synaptobrevin Adapted from Mcmahon HT, Südhof TC. Synaptic core complex of synaptobrevin, syntaxin, and SNAP25 forms high affinity alpha-SNAP binding site. J Biol Chem. 1995;270(5):2213-7. During cis-complex disassembly, what consequence of NSF function is most likely responsible for destabilization of the cis-complex?</strong> A)Exposure of the zero ionic layer's charged amino acids to solvent molecules B)Increased repulsive interactions among charged residues in the zero ionic layer C)Increased amphipathic qualities of the leucine zipper dimer D)Release of v-SNARE proteins from synaptic vesicles <div style=padding-top: 35px> Figure 1  Formation of the core-trans-complex and subsequent membrane fusionThe cis-complex contains the zero ionic layer, the main site of interaction between complexed proteins.  Within the zero ionic layer, arginine on synaptobrevin coordinates with carbonyl groups present on the other residues shown in Table 1.  The zero ionic layer is buried within leucine zipper domains, which act as a shield to solvent molecules.Table 1  Composition of cis-Complex Zero Ionic Layer
<strong>Passage Presynaptic nerve terminals release neurotransmitters via synaptic vesicle exocytosis.  This action is mediated by the membrane-bound target-SNARE (t-SNARE) proteins syntaxin and SNAP-25, and the vesicle-associated SNARE (v-SNARE) protein synaptobrevin.  Membrane fusion is initiated when the t-SNAREs and v-SNAREs form an α-helix bundle known as the core-trans-complex, achieved by zipping SNARE proteins together to form a more stable cis-complex (Figure 1).   <strong>Figure 1</strong>  Formation of the core-trans-complex and subsequent membrane fusionThe cis-complex contains the zero ionic layer, the main site of interaction between complexed proteins.  Within the zero ionic layer, arginine on synaptobrevin coordinates with carbonyl groups present on the other residues shown in Table 1.  The zero ionic layer is buried within leucine zipper domains, which act as a shield to solvent molecules.<strong>Table 1</strong>  Composition of cis-Complex Zero Ionic Layer   An early step in cis-complex disassembly is destabilization by the ATPase N-ethylmaleimide-sensitive factor (NSF), which initiates unzipping by breaking flanking leucine zipper regions, leading to vesicle reuptake.  Movement of NSF to the cell membrane is mediated by the cytoplasmic protein α-SNAP, which must first bind the N-terminal domain of syntaxin.To determine the effect of vesicle-bound synaptobrevin on the binding of α-SNAP to syntaxin, increasing amounts of recombinant His-tagged α-SNAP were added to a constant amount of syntaxin affixed to glutathione-agarose beads with or without synaptobrevin.  After incubation, bound proteins were recovered and quantitatively analyzed by immunoblotting.  Results are shown in Figure 2.   <strong>Figure 2</strong>  α-SNAP binding to syntaxin in the absence (square) or presence (circle) of synaptobrevin Adapted from Mcmahon HT, Südhof TC. Synaptic core complex of synaptobrevin, syntaxin, and SNAP25 forms high affinity alpha-SNAP binding site. J Biol Chem. 1995;270(5):2213-7. During cis-complex disassembly, what consequence of NSF function is most likely responsible for destabilization of the cis-complex?</strong> A)Exposure of the zero ionic layer's charged amino acids to solvent molecules B)Increased repulsive interactions among charged residues in the zero ionic layer C)Increased amphipathic qualities of the leucine zipper dimer D)Release of v-SNARE proteins from synaptic vesicles <div style=padding-top: 35px> An early step in cis-complex disassembly is destabilization by the ATPase N-ethylmaleimide-sensitive factor (NSF), which initiates unzipping by breaking flanking leucine zipper regions, leading to vesicle reuptake.  Movement of NSF to the cell membrane is mediated by the cytoplasmic protein α-SNAP, which must first bind the N-terminal domain of syntaxin.To determine the effect of vesicle-bound synaptobrevin on the binding of α-SNAP to syntaxin, increasing amounts of recombinant His-tagged α-SNAP were added to a constant amount of syntaxin affixed to glutathione-agarose beads with or without synaptobrevin.  After incubation, bound proteins were recovered and quantitatively analyzed by immunoblotting.  Results are shown in Figure 2.
<strong>Passage Presynaptic nerve terminals release neurotransmitters via synaptic vesicle exocytosis.  This action is mediated by the membrane-bound target-SNARE (t-SNARE) proteins syntaxin and SNAP-25, and the vesicle-associated SNARE (v-SNARE) protein synaptobrevin.  Membrane fusion is initiated when the t-SNAREs and v-SNAREs form an α-helix bundle known as the core-trans-complex, achieved by zipping SNARE proteins together to form a more stable cis-complex (Figure 1).   <strong>Figure 1</strong>  Formation of the core-trans-complex and subsequent membrane fusionThe cis-complex contains the zero ionic layer, the main site of interaction between complexed proteins.  Within the zero ionic layer, arginine on synaptobrevin coordinates with carbonyl groups present on the other residues shown in Table 1.  The zero ionic layer is buried within leucine zipper domains, which act as a shield to solvent molecules.<strong>Table 1</strong>  Composition of cis-Complex Zero Ionic Layer   An early step in cis-complex disassembly is destabilization by the ATPase N-ethylmaleimide-sensitive factor (NSF), which initiates unzipping by breaking flanking leucine zipper regions, leading to vesicle reuptake.  Movement of NSF to the cell membrane is mediated by the cytoplasmic protein α-SNAP, which must first bind the N-terminal domain of syntaxin.To determine the effect of vesicle-bound synaptobrevin on the binding of α-SNAP to syntaxin, increasing amounts of recombinant His-tagged α-SNAP were added to a constant amount of syntaxin affixed to glutathione-agarose beads with or without synaptobrevin.  After incubation, bound proteins were recovered and quantitatively analyzed by immunoblotting.  Results are shown in Figure 2.   <strong>Figure 2</strong>  α-SNAP binding to syntaxin in the absence (square) or presence (circle) of synaptobrevin Adapted from Mcmahon HT, Südhof TC. Synaptic core complex of synaptobrevin, syntaxin, and SNAP25 forms high affinity alpha-SNAP binding site. J Biol Chem. 1995;270(5):2213-7. During cis-complex disassembly, what consequence of NSF function is most likely responsible for destabilization of the cis-complex?</strong> A)Exposure of the zero ionic layer's charged amino acids to solvent molecules B)Increased repulsive interactions among charged residues in the zero ionic layer C)Increased amphipathic qualities of the leucine zipper dimer D)Release of v-SNARE proteins from synaptic vesicles <div style=padding-top: 35px> Figure 2  α-SNAP binding to syntaxin in the absence (square) or presence (circle) of synaptobrevin
Adapted from Mcmahon HT, Südhof TC. Synaptic core complex of synaptobrevin, syntaxin, and SNAP25 forms high affinity alpha-SNAP binding site. J Biol Chem. 1995;270(5):2213-7.
During cis-complex disassembly, what consequence of NSF function is most likely responsible for destabilization of the cis-complex?

A)Exposure of the zero ionic layer's charged amino acids to solvent molecules
B)Increased repulsive interactions among charged residues in the zero ionic layer
C)Increased amphipathic qualities of the leucine zipper dimer
D)Release of v-SNARE proteins from synaptic vesicles
Question
Passage
Tumor hypoxia is a marker of resistance to chemotherapy and radiation.  The low oxygen saturation in solid tumors activates hypoxia-inducible factors (HIFs), which stimulate the expression of genes required for angiogenesis, erythropoiesis, and glucose utilization.  Under normal conditions, HIF-DNA binding is interrupted by HIF-prolyl hydroxylases (HIF-PHDs), enzymes that hydroxylate aliphatic residues such as leucine or proline on HIFs.  These hydroxylated residues serve as markers for the ubiquitin-proteasome system.  Researchers have proposed that changes in oxygen-dependent pathways such as the citric acid cycle can regulate HIF-PHD activity.Experiment 1A kinematic study was conducted to test the effect of citric acid cycle intermediates on HIF-PHDs.  Fumarate and succinate were examined with purified HIF-PHD against increasing concentrations of 2-oxoglutarate (2-OG), an HIF analog.
<strong>Passage Tumor hypoxia is a marker of resistance to chemotherapy and radiation.  The low oxygen saturation in solid tumors activates hypoxia-inducible factors (HIFs), which stimulate the expression of genes required for angiogenesis, erythropoiesis, and glucose utilization.  Under normal conditions, HIF-DNA binding is interrupted by HIF-prolyl hydroxylases (HIF-PHDs), enzymes that hydroxylate aliphatic residues such as leucine or proline on HIFs.  These hydroxylated residues serve as markers for the ubiquitin-proteasome system.  Researchers have proposed that changes in oxygen-dependent pathways such as the citric acid cycle can regulate HIF-PHD activity.Experiment 1A kinematic study was conducted to test the effect of citric acid cycle intermediates on HIF-PHDs.  Fumarate and succinate were examined with purified HIF-PHD against increasing concentrations of 2-oxoglutarate (2-OG), an HIF analog.   <strong>Figure 1</strong>  Activity of HIF-PHD exposed to succinate and fumarate in vitro based on 2-OG catalysisExperiment 2Researchers measured HIF-1a, a HIF subunit, using western blot analysis in wild-type (FH<sup>+</sup>) and fumarate-deficient (FH<sup>−</sup>) cells that were treated with fumarate under normoxic and hypoxic conditions (Figure 2).   <strong>Figure 2</strong>  HIF-1a in FH<sup>+</sup> and FH<sup>−</sup> cells grown in vitro under normoxic (N) and hypoxic (H) conditions Adapted from Koivunen P, Hirsilä M, Remes AM, Hassinen IE, Kivirikko KI, Myllyharju J. Inhibition of hypoxia-inducible factor (HIF) hydroxylases by citric acid cycle intermediates: possible links between cell metabolism and stabilization of HIF. J Biol Chem. 2007;282(7):4524-32. During hypoxia, skeletal muscles have been shown to accumulate succinate and ADP molecules.  Which of the following explains this result?</strong> A)Anaerobic conditions prevent mitochondrial regeneration of NAD<sup>+</sup> and FAD. B)Succinate dehydrogenase k<sub>cat</sub> is decreased after prolonged hypoxia. C)Excess fumarate is converted back into succinate in ATP-rich conditions. D)Overabundance of NADH stimulates succinyl-CoA production. <div style=padding-top: 35px> Figure 1  Activity of HIF-PHD exposed to succinate and fumarate in vitro based on 2-OG catalysisExperiment 2Researchers measured HIF-1a, a HIF subunit, using western blot analysis in wild-type (FH+) and fumarate-deficient (FH) cells that were treated with fumarate under normoxic and hypoxic conditions (Figure 2).
<strong>Passage Tumor hypoxia is a marker of resistance to chemotherapy and radiation.  The low oxygen saturation in solid tumors activates hypoxia-inducible factors (HIFs), which stimulate the expression of genes required for angiogenesis, erythropoiesis, and glucose utilization.  Under normal conditions, HIF-DNA binding is interrupted by HIF-prolyl hydroxylases (HIF-PHDs), enzymes that hydroxylate aliphatic residues such as leucine or proline on HIFs.  These hydroxylated residues serve as markers for the ubiquitin-proteasome system.  Researchers have proposed that changes in oxygen-dependent pathways such as the citric acid cycle can regulate HIF-PHD activity.Experiment 1A kinematic study was conducted to test the effect of citric acid cycle intermediates on HIF-PHDs.  Fumarate and succinate were examined with purified HIF-PHD against increasing concentrations of 2-oxoglutarate (2-OG), an HIF analog.   <strong>Figure 1</strong>  Activity of HIF-PHD exposed to succinate and fumarate in vitro based on 2-OG catalysisExperiment 2Researchers measured HIF-1a, a HIF subunit, using western blot analysis in wild-type (FH<sup>+</sup>) and fumarate-deficient (FH<sup>−</sup>) cells that were treated with fumarate under normoxic and hypoxic conditions (Figure 2).   <strong>Figure 2</strong>  HIF-1a in FH<sup>+</sup> and FH<sup>−</sup> cells grown in vitro under normoxic (N) and hypoxic (H) conditions Adapted from Koivunen P, Hirsilä M, Remes AM, Hassinen IE, Kivirikko KI, Myllyharju J. Inhibition of hypoxia-inducible factor (HIF) hydroxylases by citric acid cycle intermediates: possible links between cell metabolism and stabilization of HIF. J Biol Chem. 2007;282(7):4524-32. During hypoxia, skeletal muscles have been shown to accumulate succinate and ADP molecules.  Which of the following explains this result?</strong> A)Anaerobic conditions prevent mitochondrial regeneration of NAD<sup>+</sup> and FAD. B)Succinate dehydrogenase k<sub>cat</sub> is decreased after prolonged hypoxia. C)Excess fumarate is converted back into succinate in ATP-rich conditions. D)Overabundance of NADH stimulates succinyl-CoA production. <div style=padding-top: 35px> Figure 2  HIF-1a in FH+ and FH cells grown in vitro under normoxic (N) and hypoxic (H) conditions
Adapted from Koivunen P, Hirsilä M, Remes AM, Hassinen IE, Kivirikko KI, Myllyharju J. Inhibition of hypoxia-inducible factor (HIF) hydroxylases by citric acid cycle intermediates: possible links between cell metabolism and stabilization of HIF. J Biol Chem. 2007;282(7):4524-32.
During hypoxia, skeletal muscles have been shown to accumulate succinate and ADP molecules.  Which of the following explains this result?

A)Anaerobic conditions prevent mitochondrial regeneration of NAD+ and FAD.
B)Succinate dehydrogenase kcat is decreased after prolonged hypoxia.
C)Excess fumarate is converted back into succinate in ATP-rich conditions.
D)Overabundance of NADH stimulates succinyl-CoA production.
Question
Passage
Tumor hypoxia is a marker of resistance to chemotherapy and radiation.  The low oxygen saturation in solid tumors activates hypoxia-inducible factors (HIFs), which stimulate the expression of genes required for angiogenesis, erythropoiesis, and glucose utilization.  Under normal conditions, HIF-DNA binding is interrupted by HIF-prolyl hydroxylases (HIF-PHDs), enzymes that hydroxylate aliphatic residues such as leucine or proline on HIFs.  These hydroxylated residues serve as markers for the ubiquitin-proteasome system.  Researchers have proposed that changes in oxygen-dependent pathways such as the citric acid cycle can regulate HIF-PHD activity.Experiment 1A kinematic study was conducted to test the effect of citric acid cycle intermediates on HIF-PHDs.  Fumarate and succinate were examined with purified HIF-PHD against increasing concentrations of 2-oxoglutarate (2-OG), an HIF analog.
<strong>Passage Tumor hypoxia is a marker of resistance to chemotherapy and radiation.  The low oxygen saturation in solid tumors activates hypoxia-inducible factors (HIFs), which stimulate the expression of genes required for angiogenesis, erythropoiesis, and glucose utilization.  Under normal conditions, HIF-DNA binding is interrupted by HIF-prolyl hydroxylases (HIF-PHDs), enzymes that hydroxylate aliphatic residues such as leucine or proline on HIFs.  These hydroxylated residues serve as markers for the ubiquitin-proteasome system.  Researchers have proposed that changes in oxygen-dependent pathways such as the citric acid cycle can regulate HIF-PHD activity.Experiment 1A kinematic study was conducted to test the effect of citric acid cycle intermediates on HIF-PHDs.  Fumarate and succinate were examined with purified HIF-PHD against increasing concentrations of 2-oxoglutarate (2-OG), an HIF analog.   <strong>Figure 1</strong>  Activity of HIF-PHD exposed to succinate and fumarate in vitro based on 2-OG catalysisExperiment 2Researchers measured HIF-1a, a HIF subunit, using western blot analysis in wild-type (FH<sup>+</sup>) and fumarate-deficient (FH<sup>−</sup>) cells that were treated with fumarate under normoxic and hypoxic conditions (Figure 2).   <strong>Figure 2</strong>  HIF-1a in FH<sup>+</sup> and FH<sup>−</sup> cells grown in vitro under normoxic (N) and hypoxic (H) conditions Adapted from Koivunen P, Hirsilä M, Remes AM, Hassinen IE, Kivirikko KI, Myllyharju J. Inhibition of hypoxia-inducible factor (HIF) hydroxylases by citric acid cycle intermediates: possible links between cell metabolism and stabilization of HIF. J Biol Chem. 2007;282(7):4524-32. Which amino acid structure would most likely be hydroxylated by HIF-PHDs?</strong> A)   B)   C)   D)   <div style=padding-top: 35px> Figure 1  Activity of HIF-PHD exposed to succinate and fumarate in vitro based on 2-OG catalysisExperiment 2Researchers measured HIF-1a, a HIF subunit, using western blot analysis in wild-type (FH+) and fumarate-deficient (FH) cells that were treated with fumarate under normoxic and hypoxic conditions (Figure 2).
<strong>Passage Tumor hypoxia is a marker of resistance to chemotherapy and radiation.  The low oxygen saturation in solid tumors activates hypoxia-inducible factors (HIFs), which stimulate the expression of genes required for angiogenesis, erythropoiesis, and glucose utilization.  Under normal conditions, HIF-DNA binding is interrupted by HIF-prolyl hydroxylases (HIF-PHDs), enzymes that hydroxylate aliphatic residues such as leucine or proline on HIFs.  These hydroxylated residues serve as markers for the ubiquitin-proteasome system.  Researchers have proposed that changes in oxygen-dependent pathways such as the citric acid cycle can regulate HIF-PHD activity.Experiment 1A kinematic study was conducted to test the effect of citric acid cycle intermediates on HIF-PHDs.  Fumarate and succinate were examined with purified HIF-PHD against increasing concentrations of 2-oxoglutarate (2-OG), an HIF analog.   <strong>Figure 1</strong>  Activity of HIF-PHD exposed to succinate and fumarate in vitro based on 2-OG catalysisExperiment 2Researchers measured HIF-1a, a HIF subunit, using western blot analysis in wild-type (FH<sup>+</sup>) and fumarate-deficient (FH<sup>−</sup>) cells that were treated with fumarate under normoxic and hypoxic conditions (Figure 2).   <strong>Figure 2</strong>  HIF-1a in FH<sup>+</sup> and FH<sup>−</sup> cells grown in vitro under normoxic (N) and hypoxic (H) conditions Adapted from Koivunen P, Hirsilä M, Remes AM, Hassinen IE, Kivirikko KI, Myllyharju J. Inhibition of hypoxia-inducible factor (HIF) hydroxylases by citric acid cycle intermediates: possible links between cell metabolism and stabilization of HIF. J Biol Chem. 2007;282(7):4524-32. Which amino acid structure would most likely be hydroxylated by HIF-PHDs?</strong> A)   B)   C)   D)   <div style=padding-top: 35px> Figure 2  HIF-1a in FH+ and FH cells grown in vitro under normoxic (N) and hypoxic (H) conditions
Adapted from Koivunen P, Hirsilä M, Remes AM, Hassinen IE, Kivirikko KI, Myllyharju J. Inhibition of hypoxia-inducible factor (HIF) hydroxylases by citric acid cycle intermediates: possible links between cell metabolism and stabilization of HIF. J Biol Chem. 2007;282(7):4524-32.
Which amino acid structure would most likely be hydroxylated by HIF-PHDs?

A) <strong>Passage Tumor hypoxia is a marker of resistance to chemotherapy and radiation.  The low oxygen saturation in solid tumors activates hypoxia-inducible factors (HIFs), which stimulate the expression of genes required for angiogenesis, erythropoiesis, and glucose utilization.  Under normal conditions, HIF-DNA binding is interrupted by HIF-prolyl hydroxylases (HIF-PHDs), enzymes that hydroxylate aliphatic residues such as leucine or proline on HIFs.  These hydroxylated residues serve as markers for the ubiquitin-proteasome system.  Researchers have proposed that changes in oxygen-dependent pathways such as the citric acid cycle can regulate HIF-PHD activity.Experiment 1A kinematic study was conducted to test the effect of citric acid cycle intermediates on HIF-PHDs.  Fumarate and succinate were examined with purified HIF-PHD against increasing concentrations of 2-oxoglutarate (2-OG), an HIF analog.   <strong>Figure 1</strong>  Activity of HIF-PHD exposed to succinate and fumarate in vitro based on 2-OG catalysisExperiment 2Researchers measured HIF-1a, a HIF subunit, using western blot analysis in wild-type (FH<sup>+</sup>) and fumarate-deficient (FH<sup>−</sup>) cells that were treated with fumarate under normoxic and hypoxic conditions (Figure 2).   <strong>Figure 2</strong>  HIF-1a in FH<sup>+</sup> and FH<sup>−</sup> cells grown in vitro under normoxic (N) and hypoxic (H) conditions Adapted from Koivunen P, Hirsilä M, Remes AM, Hassinen IE, Kivirikko KI, Myllyharju J. Inhibition of hypoxia-inducible factor (HIF) hydroxylases by citric acid cycle intermediates: possible links between cell metabolism and stabilization of HIF. J Biol Chem. 2007;282(7):4524-32. Which amino acid structure would most likely be hydroxylated by HIF-PHDs?</strong> A)   B)   C)   D)   <div style=padding-top: 35px>
B) <strong>Passage Tumor hypoxia is a marker of resistance to chemotherapy and radiation.  The low oxygen saturation in solid tumors activates hypoxia-inducible factors (HIFs), which stimulate the expression of genes required for angiogenesis, erythropoiesis, and glucose utilization.  Under normal conditions, HIF-DNA binding is interrupted by HIF-prolyl hydroxylases (HIF-PHDs), enzymes that hydroxylate aliphatic residues such as leucine or proline on HIFs.  These hydroxylated residues serve as markers for the ubiquitin-proteasome system.  Researchers have proposed that changes in oxygen-dependent pathways such as the citric acid cycle can regulate HIF-PHD activity.Experiment 1A kinematic study was conducted to test the effect of citric acid cycle intermediates on HIF-PHDs.  Fumarate and succinate were examined with purified HIF-PHD against increasing concentrations of 2-oxoglutarate (2-OG), an HIF analog.   <strong>Figure 1</strong>  Activity of HIF-PHD exposed to succinate and fumarate in vitro based on 2-OG catalysisExperiment 2Researchers measured HIF-1a, a HIF subunit, using western blot analysis in wild-type (FH<sup>+</sup>) and fumarate-deficient (FH<sup>−</sup>) cells that were treated with fumarate under normoxic and hypoxic conditions (Figure 2).   <strong>Figure 2</strong>  HIF-1a in FH<sup>+</sup> and FH<sup>−</sup> cells grown in vitro under normoxic (N) and hypoxic (H) conditions Adapted from Koivunen P, Hirsilä M, Remes AM, Hassinen IE, Kivirikko KI, Myllyharju J. Inhibition of hypoxia-inducible factor (HIF) hydroxylases by citric acid cycle intermediates: possible links between cell metabolism and stabilization of HIF. J Biol Chem. 2007;282(7):4524-32. Which amino acid structure would most likely be hydroxylated by HIF-PHDs?</strong> A)   B)   C)   D)   <div style=padding-top: 35px>
C) <strong>Passage Tumor hypoxia is a marker of resistance to chemotherapy and radiation.  The low oxygen saturation in solid tumors activates hypoxia-inducible factors (HIFs), which stimulate the expression of genes required for angiogenesis, erythropoiesis, and glucose utilization.  Under normal conditions, HIF-DNA binding is interrupted by HIF-prolyl hydroxylases (HIF-PHDs), enzymes that hydroxylate aliphatic residues such as leucine or proline on HIFs.  These hydroxylated residues serve as markers for the ubiquitin-proteasome system.  Researchers have proposed that changes in oxygen-dependent pathways such as the citric acid cycle can regulate HIF-PHD activity.Experiment 1A kinematic study was conducted to test the effect of citric acid cycle intermediates on HIF-PHDs.  Fumarate and succinate were examined with purified HIF-PHD against increasing concentrations of 2-oxoglutarate (2-OG), an HIF analog.   <strong>Figure 1</strong>  Activity of HIF-PHD exposed to succinate and fumarate in vitro based on 2-OG catalysisExperiment 2Researchers measured HIF-1a, a HIF subunit, using western blot analysis in wild-type (FH<sup>+</sup>) and fumarate-deficient (FH<sup>−</sup>) cells that were treated with fumarate under normoxic and hypoxic conditions (Figure 2).   <strong>Figure 2</strong>  HIF-1a in FH<sup>+</sup> and FH<sup>−</sup> cells grown in vitro under normoxic (N) and hypoxic (H) conditions Adapted from Koivunen P, Hirsilä M, Remes AM, Hassinen IE, Kivirikko KI, Myllyharju J. Inhibition of hypoxia-inducible factor (HIF) hydroxylases by citric acid cycle intermediates: possible links between cell metabolism and stabilization of HIF. J Biol Chem. 2007;282(7):4524-32. Which amino acid structure would most likely be hydroxylated by HIF-PHDs?</strong> A)   B)   C)   D)   <div style=padding-top: 35px>
D) <strong>Passage Tumor hypoxia is a marker of resistance to chemotherapy and radiation.  The low oxygen saturation in solid tumors activates hypoxia-inducible factors (HIFs), which stimulate the expression of genes required for angiogenesis, erythropoiesis, and glucose utilization.  Under normal conditions, HIF-DNA binding is interrupted by HIF-prolyl hydroxylases (HIF-PHDs), enzymes that hydroxylate aliphatic residues such as leucine or proline on HIFs.  These hydroxylated residues serve as markers for the ubiquitin-proteasome system.  Researchers have proposed that changes in oxygen-dependent pathways such as the citric acid cycle can regulate HIF-PHD activity.Experiment 1A kinematic study was conducted to test the effect of citric acid cycle intermediates on HIF-PHDs.  Fumarate and succinate were examined with purified HIF-PHD against increasing concentrations of 2-oxoglutarate (2-OG), an HIF analog.   <strong>Figure 1</strong>  Activity of HIF-PHD exposed to succinate and fumarate in vitro based on 2-OG catalysisExperiment 2Researchers measured HIF-1a, a HIF subunit, using western blot analysis in wild-type (FH<sup>+</sup>) and fumarate-deficient (FH<sup>−</sup>) cells that were treated with fumarate under normoxic and hypoxic conditions (Figure 2).   <strong>Figure 2</strong>  HIF-1a in FH<sup>+</sup> and FH<sup>−</sup> cells grown in vitro under normoxic (N) and hypoxic (H) conditions Adapted from Koivunen P, Hirsilä M, Remes AM, Hassinen IE, Kivirikko KI, Myllyharju J. Inhibition of hypoxia-inducible factor (HIF) hydroxylases by citric acid cycle intermediates: possible links between cell metabolism and stabilization of HIF. J Biol Chem. 2007;282(7):4524-32. Which amino acid structure would most likely be hydroxylated by HIF-PHDs?</strong> A)   B)   C)   D)   <div style=padding-top: 35px>
Question
Passage
Leptin signaling is vital for maintaining adequate body mass and preventing insulin resistance.  When energy stores are abundant, adipocytes produce leptin to stimulate fatty acid oxidation and glucose utilization.  One result of leptin signaling in skeletal muscle cells is the phosphorylation and activation of adenosine monophosphate-activated protein kinase (AMPK).  AMPK facilitates the breakdown of triglycerides by decreasing the activity of acetyl-coenzyme A carboxylase (ACC); this leads to downregulation of fatty acid synthesis and upregulation of β-oxidation.Fatty acid oxidation has been studied by analyzing the effect of leptin on activation of AMPK and ACC in soleus muscles.  To identify leptin's mode of action, injections were administered to transgenic mice via the intravenous (1 mg/kg i.v.) and intrahypothalamic (1 ng i.h.p [faster drug delivery]) routes.  Phentolamine (PH), an α-adrenergic receptor ligand that binds to the same receptor as leptin, was administered concurrently in some of the mice.  Signaling to ACC from the citric acid cycle was also examined through the addition of citrate.
<strong>Passage Leptin signaling is vital for maintaining adequate body mass and preventing insulin resistance.  When energy stores are abundant, adipocytes produce leptin to stimulate fatty acid oxidation and glucose utilization.  One result of leptin signaling in skeletal muscle cells is the phosphorylation and activation of adenosine monophosphate-activated protein kinase (AMPK).  AMPK facilitates the breakdown of triglycerides by decreasing the activity of acetyl-coenzyme A carboxylase (ACC); this leads to downregulation of fatty acid synthesis and upregulation of β-oxidation.Fatty acid oxidation has been studied by analyzing the effect of leptin on activation of AMPK and ACC in soleus muscles.  To identify leptin's mode of action, injections were administered to transgenic mice via the intravenous (1 mg/kg i.v.) and intrahypothalamic (1 ng i.h.p [faster drug delivery]) routes.  Phentolamine (PH), an α-adrenergic receptor ligand that binds to the same receptor as leptin, was administered concurrently in some of the mice.  Signaling to ACC from the citric acid cycle was also examined through the addition of citrate.   <strong>Figure 1</strong>  AMPK activity measured in soleus muscle injected with leptin and PH via i.v. and i.h.p.<strong>Table 1</strong>  ACC Activity in Soleus Muscle Exposed to Leptin Delivered via i.v. and i.h.p Injections in vivo   Adapted from Minokoshi Y, Kim YB, Peroni OD, et al. Leptin stimulates fatty-acid oxidation by activating AMP-activated protein kinase. Nature. 2002;415(6869):339-43. What are the most likely role and effect of citrate on ACC activity?</strong> A)A cofactor that activates ACC B)A coenzyme that activates ACC C)An allosteric effector that activates ACC D)An inhibitor that inactivates ACC <div style=padding-top: 35px> Figure 1  AMPK activity measured in soleus muscle injected with leptin and PH via i.v. and i.h.p.Table 1  ACC Activity in Soleus Muscle Exposed to Leptin Delivered via i.v. and i.h.p Injections in vivo
<strong>Passage Leptin signaling is vital for maintaining adequate body mass and preventing insulin resistance.  When energy stores are abundant, adipocytes produce leptin to stimulate fatty acid oxidation and glucose utilization.  One result of leptin signaling in skeletal muscle cells is the phosphorylation and activation of adenosine monophosphate-activated protein kinase (AMPK).  AMPK facilitates the breakdown of triglycerides by decreasing the activity of acetyl-coenzyme A carboxylase (ACC); this leads to downregulation of fatty acid synthesis and upregulation of β-oxidation.Fatty acid oxidation has been studied by analyzing the effect of leptin on activation of AMPK and ACC in soleus muscles.  To identify leptin's mode of action, injections were administered to transgenic mice via the intravenous (1 mg/kg i.v.) and intrahypothalamic (1 ng i.h.p [faster drug delivery]) routes.  Phentolamine (PH), an α-adrenergic receptor ligand that binds to the same receptor as leptin, was administered concurrently in some of the mice.  Signaling to ACC from the citric acid cycle was also examined through the addition of citrate.   <strong>Figure 1</strong>  AMPK activity measured in soleus muscle injected with leptin and PH via i.v. and i.h.p.<strong>Table 1</strong>  ACC Activity in Soleus Muscle Exposed to Leptin Delivered via i.v. and i.h.p Injections in vivo   Adapted from Minokoshi Y, Kim YB, Peroni OD, et al. Leptin stimulates fatty-acid oxidation by activating AMP-activated protein kinase. Nature. 2002;415(6869):339-43. What are the most likely role and effect of citrate on ACC activity?</strong> A)A cofactor that activates ACC B)A coenzyme that activates ACC C)An allosteric effector that activates ACC D)An inhibitor that inactivates ACC <div style=padding-top: 35px> Adapted from Minokoshi Y, Kim YB, Peroni OD, et al. Leptin stimulates fatty-acid oxidation by activating AMP-activated protein kinase. Nature. 2002;415(6869):339-43.
What are the most likely role and effect of citrate on ACC activity?

A)A cofactor that activates ACC
B)A coenzyme that activates ACC
C)An allosteric effector that activates ACC
D)An inhibitor that inactivates ACC
Question
Passage
Tumor hypoxia is a marker of resistance to chemotherapy and radiation.  The low oxygen saturation in solid tumors activates hypoxia-inducible factors (HIFs), which stimulate the expression of genes required for angiogenesis, erythropoiesis, and glucose utilization.  Under normal conditions, HIF-DNA binding is interrupted by HIF-prolyl hydroxylases (HIF-PHDs), enzymes that hydroxylate aliphatic residues such as leucine or proline on HIFs.  These hydroxylated residues serve as markers for the ubiquitin-proteasome system.  Researchers have proposed that changes in oxygen-dependent pathways such as the citric acid cycle can regulate HIF-PHD activity.Experiment 1A kinematic study was conducted to test the effect of citric acid cycle intermediates on HIF-PHDs.  Fumarate and succinate were examined with purified HIF-PHD against increasing concentrations of 2-oxoglutarate (2-OG), an HIF analog.
<strong>Passage Tumor hypoxia is a marker of resistance to chemotherapy and radiation.  The low oxygen saturation in solid tumors activates hypoxia-inducible factors (HIFs), which stimulate the expression of genes required for angiogenesis, erythropoiesis, and glucose utilization.  Under normal conditions, HIF-DNA binding is interrupted by HIF-prolyl hydroxylases (HIF-PHDs), enzymes that hydroxylate aliphatic residues such as leucine or proline on HIFs.  These hydroxylated residues serve as markers for the ubiquitin-proteasome system.  Researchers have proposed that changes in oxygen-dependent pathways such as the citric acid cycle can regulate HIF-PHD activity.Experiment 1A kinematic study was conducted to test the effect of citric acid cycle intermediates on HIF-PHDs.  Fumarate and succinate were examined with purified HIF-PHD against increasing concentrations of 2-oxoglutarate (2-OG), an HIF analog.   <strong>Figure 1</strong>  Activity of HIF-PHD exposed to succinate and fumarate in vitro based on 2-OG catalysisExperiment 2Researchers measured HIF-1a, a HIF subunit, using western blot analysis in wild-type (FH<sup>+</sup>) and fumarate-deficient (FH<sup>−</sup>) cells that were treated with fumarate under normoxic and hypoxic conditions (Figure 2).   <strong>Figure 2</strong>  HIF-1a in FH<sup>+</sup> and FH<sup>−</sup> cells grown in vitro under normoxic (N) and hypoxic (H) conditions Adapted from Koivunen P, Hirsilä M, Remes AM, Hassinen IE, Kivirikko KI, Myllyharju J. Inhibition of hypoxia-inducible factor (HIF) hydroxylases by citric acid cycle intermediates: possible links between cell metabolism and stabilization of HIF. J Biol Chem. 2007;282(7):4524-32. The peptide substrate (PS) binds HIF-PHDs outside of the active site.  PS binds to both HIF-PHD and HIF-PHD-2-OG complexes with equal affinity.  According to the passage, which graph would represent the effect of PS on HIF-PHD activity?</strong> A)   B)   C)   D)   <div style=padding-top: 35px> Figure 1  Activity of HIF-PHD exposed to succinate and fumarate in vitro based on 2-OG catalysisExperiment 2Researchers measured HIF-1a, a HIF subunit, using western blot analysis in wild-type (FH+) and fumarate-deficient (FH) cells that were treated with fumarate under normoxic and hypoxic conditions (Figure 2).
<strong>Passage Tumor hypoxia is a marker of resistance to chemotherapy and radiation.  The low oxygen saturation in solid tumors activates hypoxia-inducible factors (HIFs), which stimulate the expression of genes required for angiogenesis, erythropoiesis, and glucose utilization.  Under normal conditions, HIF-DNA binding is interrupted by HIF-prolyl hydroxylases (HIF-PHDs), enzymes that hydroxylate aliphatic residues such as leucine or proline on HIFs.  These hydroxylated residues serve as markers for the ubiquitin-proteasome system.  Researchers have proposed that changes in oxygen-dependent pathways such as the citric acid cycle can regulate HIF-PHD activity.Experiment 1A kinematic study was conducted to test the effect of citric acid cycle intermediates on HIF-PHDs.  Fumarate and succinate were examined with purified HIF-PHD against increasing concentrations of 2-oxoglutarate (2-OG), an HIF analog.   <strong>Figure 1</strong>  Activity of HIF-PHD exposed to succinate and fumarate in vitro based on 2-OG catalysisExperiment 2Researchers measured HIF-1a, a HIF subunit, using western blot analysis in wild-type (FH<sup>+</sup>) and fumarate-deficient (FH<sup>−</sup>) cells that were treated with fumarate under normoxic and hypoxic conditions (Figure 2).   <strong>Figure 2</strong>  HIF-1a in FH<sup>+</sup> and FH<sup>−</sup> cells grown in vitro under normoxic (N) and hypoxic (H) conditions Adapted from Koivunen P, Hirsilä M, Remes AM, Hassinen IE, Kivirikko KI, Myllyharju J. Inhibition of hypoxia-inducible factor (HIF) hydroxylases by citric acid cycle intermediates: possible links between cell metabolism and stabilization of HIF. J Biol Chem. 2007;282(7):4524-32. The peptide substrate (PS) binds HIF-PHDs outside of the active site.  PS binds to both HIF-PHD and HIF-PHD-2-OG complexes with equal affinity.  According to the passage, which graph would represent the effect of PS on HIF-PHD activity?</strong> A)   B)   C)   D)   <div style=padding-top: 35px> Figure 2  HIF-1a in FH+ and FH cells grown in vitro under normoxic (N) and hypoxic (H) conditions
Adapted from Koivunen P, Hirsilä M, Remes AM, Hassinen IE, Kivirikko KI, Myllyharju J. Inhibition of hypoxia-inducible factor (HIF) hydroxylases by citric acid cycle intermediates: possible links between cell metabolism and stabilization of HIF. J Biol Chem. 2007;282(7):4524-32.
The peptide substrate (PS) binds HIF-PHDs outside of the active site.  PS binds to both HIF-PHD and HIF-PHD-2-OG complexes with equal affinity.  According to the passage, which graph would represent the effect of PS on HIF-PHD activity?

A) <strong>Passage Tumor hypoxia is a marker of resistance to chemotherapy and radiation.  The low oxygen saturation in solid tumors activates hypoxia-inducible factors (HIFs), which stimulate the expression of genes required for angiogenesis, erythropoiesis, and glucose utilization.  Under normal conditions, HIF-DNA binding is interrupted by HIF-prolyl hydroxylases (HIF-PHDs), enzymes that hydroxylate aliphatic residues such as leucine or proline on HIFs.  These hydroxylated residues serve as markers for the ubiquitin-proteasome system.  Researchers have proposed that changes in oxygen-dependent pathways such as the citric acid cycle can regulate HIF-PHD activity.Experiment 1A kinematic study was conducted to test the effect of citric acid cycle intermediates on HIF-PHDs.  Fumarate and succinate were examined with purified HIF-PHD against increasing concentrations of 2-oxoglutarate (2-OG), an HIF analog.   <strong>Figure 1</strong>  Activity of HIF-PHD exposed to succinate and fumarate in vitro based on 2-OG catalysisExperiment 2Researchers measured HIF-1a, a HIF subunit, using western blot analysis in wild-type (FH<sup>+</sup>) and fumarate-deficient (FH<sup>−</sup>) cells that were treated with fumarate under normoxic and hypoxic conditions (Figure 2).   <strong>Figure 2</strong>  HIF-1a in FH<sup>+</sup> and FH<sup>−</sup> cells grown in vitro under normoxic (N) and hypoxic (H) conditions Adapted from Koivunen P, Hirsilä M, Remes AM, Hassinen IE, Kivirikko KI, Myllyharju J. Inhibition of hypoxia-inducible factor (HIF) hydroxylases by citric acid cycle intermediates: possible links between cell metabolism and stabilization of HIF. J Biol Chem. 2007;282(7):4524-32. The peptide substrate (PS) binds HIF-PHDs outside of the active site.  PS binds to both HIF-PHD and HIF-PHD-2-OG complexes with equal affinity.  According to the passage, which graph would represent the effect of PS on HIF-PHD activity?</strong> A)   B)   C)   D)   <div style=padding-top: 35px>
B) <strong>Passage Tumor hypoxia is a marker of resistance to chemotherapy and radiation.  The low oxygen saturation in solid tumors activates hypoxia-inducible factors (HIFs), which stimulate the expression of genes required for angiogenesis, erythropoiesis, and glucose utilization.  Under normal conditions, HIF-DNA binding is interrupted by HIF-prolyl hydroxylases (HIF-PHDs), enzymes that hydroxylate aliphatic residues such as leucine or proline on HIFs.  These hydroxylated residues serve as markers for the ubiquitin-proteasome system.  Researchers have proposed that changes in oxygen-dependent pathways such as the citric acid cycle can regulate HIF-PHD activity.Experiment 1A kinematic study was conducted to test the effect of citric acid cycle intermediates on HIF-PHDs.  Fumarate and succinate were examined with purified HIF-PHD against increasing concentrations of 2-oxoglutarate (2-OG), an HIF analog.   <strong>Figure 1</strong>  Activity of HIF-PHD exposed to succinate and fumarate in vitro based on 2-OG catalysisExperiment 2Researchers measured HIF-1a, a HIF subunit, using western blot analysis in wild-type (FH<sup>+</sup>) and fumarate-deficient (FH<sup>−</sup>) cells that were treated with fumarate under normoxic and hypoxic conditions (Figure 2).   <strong>Figure 2</strong>  HIF-1a in FH<sup>+</sup> and FH<sup>−</sup> cells grown in vitro under normoxic (N) and hypoxic (H) conditions Adapted from Koivunen P, Hirsilä M, Remes AM, Hassinen IE, Kivirikko KI, Myllyharju J. Inhibition of hypoxia-inducible factor (HIF) hydroxylases by citric acid cycle intermediates: possible links between cell metabolism and stabilization of HIF. J Biol Chem. 2007;282(7):4524-32. The peptide substrate (PS) binds HIF-PHDs outside of the active site.  PS binds to both HIF-PHD and HIF-PHD-2-OG complexes with equal affinity.  According to the passage, which graph would represent the effect of PS on HIF-PHD activity?</strong> A)   B)   C)   D)   <div style=padding-top: 35px>
C) <strong>Passage Tumor hypoxia is a marker of resistance to chemotherapy and radiation.  The low oxygen saturation in solid tumors activates hypoxia-inducible factors (HIFs), which stimulate the expression of genes required for angiogenesis, erythropoiesis, and glucose utilization.  Under normal conditions, HIF-DNA binding is interrupted by HIF-prolyl hydroxylases (HIF-PHDs), enzymes that hydroxylate aliphatic residues such as leucine or proline on HIFs.  These hydroxylated residues serve as markers for the ubiquitin-proteasome system.  Researchers have proposed that changes in oxygen-dependent pathways such as the citric acid cycle can regulate HIF-PHD activity.Experiment 1A kinematic study was conducted to test the effect of citric acid cycle intermediates on HIF-PHDs.  Fumarate and succinate were examined with purified HIF-PHD against increasing concentrations of 2-oxoglutarate (2-OG), an HIF analog.   <strong>Figure 1</strong>  Activity of HIF-PHD exposed to succinate and fumarate in vitro based on 2-OG catalysisExperiment 2Researchers measured HIF-1a, a HIF subunit, using western blot analysis in wild-type (FH<sup>+</sup>) and fumarate-deficient (FH<sup>−</sup>) cells that were treated with fumarate under normoxic and hypoxic conditions (Figure 2).   <strong>Figure 2</strong>  HIF-1a in FH<sup>+</sup> and FH<sup>−</sup> cells grown in vitro under normoxic (N) and hypoxic (H) conditions Adapted from Koivunen P, Hirsilä M, Remes AM, Hassinen IE, Kivirikko KI, Myllyharju J. Inhibition of hypoxia-inducible factor (HIF) hydroxylases by citric acid cycle intermediates: possible links between cell metabolism and stabilization of HIF. J Biol Chem. 2007;282(7):4524-32. The peptide substrate (PS) binds HIF-PHDs outside of the active site.  PS binds to both HIF-PHD and HIF-PHD-2-OG complexes with equal affinity.  According to the passage, which graph would represent the effect of PS on HIF-PHD activity?</strong> A)   B)   C)   D)   <div style=padding-top: 35px>
D) <strong>Passage Tumor hypoxia is a marker of resistance to chemotherapy and radiation.  The low oxygen saturation in solid tumors activates hypoxia-inducible factors (HIFs), which stimulate the expression of genes required for angiogenesis, erythropoiesis, and glucose utilization.  Under normal conditions, HIF-DNA binding is interrupted by HIF-prolyl hydroxylases (HIF-PHDs), enzymes that hydroxylate aliphatic residues such as leucine or proline on HIFs.  These hydroxylated residues serve as markers for the ubiquitin-proteasome system.  Researchers have proposed that changes in oxygen-dependent pathways such as the citric acid cycle can regulate HIF-PHD activity.Experiment 1A kinematic study was conducted to test the effect of citric acid cycle intermediates on HIF-PHDs.  Fumarate and succinate were examined with purified HIF-PHD against increasing concentrations of 2-oxoglutarate (2-OG), an HIF analog.   <strong>Figure 1</strong>  Activity of HIF-PHD exposed to succinate and fumarate in vitro based on 2-OG catalysisExperiment 2Researchers measured HIF-1a, a HIF subunit, using western blot analysis in wild-type (FH<sup>+</sup>) and fumarate-deficient (FH<sup>−</sup>) cells that were treated with fumarate under normoxic and hypoxic conditions (Figure 2).   <strong>Figure 2</strong>  HIF-1a in FH<sup>+</sup> and FH<sup>−</sup> cells grown in vitro under normoxic (N) and hypoxic (H) conditions Adapted from Koivunen P, Hirsilä M, Remes AM, Hassinen IE, Kivirikko KI, Myllyharju J. Inhibition of hypoxia-inducible factor (HIF) hydroxylases by citric acid cycle intermediates: possible links between cell metabolism and stabilization of HIF. J Biol Chem. 2007;282(7):4524-32. The peptide substrate (PS) binds HIF-PHDs outside of the active site.  PS binds to both HIF-PHD and HIF-PHD-2-OG complexes with equal affinity.  According to the passage, which graph would represent the effect of PS on HIF-PHD activity?</strong> A)   B)   C)   D)   <div style=padding-top: 35px>
Question
Passage
The innate immune system relies heavily on the phagocytic action of neutrophils, mobile white blood cells that engulf and degrade bacteria and viruses as the first line of host defense against invading pathogens.  One mechanism for eliminating viruses engulfed in the phagosome involves the degradation of viral proteins by neutrophil serine proteases (NSPs).NSPs, which form part of the chymotrypsin family of serine proteases, cleave viral proteins using a catalytic triad relay system.  Originally discovered in granules released by neutrophils, NSP4 is a novel monomeric serine protease that has been studied to elucidate the catalytic mechanism of NSPs.  Prior experimental data suggest that NSP4 alters its tertiary structure upon substrate binding and cleaves viral proteins using the acylation reaction shown in Figure 1.
<strong>Passage The innate immune system relies heavily on the phagocytic action of neutrophils, mobile white blood cells that engulf and degrade bacteria and viruses as the first line of host defense against invading pathogens.  One mechanism for eliminating viruses engulfed in the phagosome involves the degradation of viral proteins by neutrophil serine proteases (NSPs).NSPs, which form part of the chymotrypsin family of serine proteases, cleave viral proteins using a catalytic triad relay system.  Originally discovered in granules released by neutrophils, NSP4 is a novel monomeric serine protease that has been studied to elucidate the catalytic mechanism of NSPs.  Prior experimental data suggest that NSP4 alters its tertiary structure upon substrate binding and cleaves viral proteins using the acylation reaction shown in Figure 1.   <strong>Figure 1</strong>  Degradation of viral proteins by acylation of NSP4Computational methods were used to identify the energetic parameters of reactions between NSP4 and synthetic viral proteins.  To ensure that simulated reactions resembled physiological conditions, algorithms were adjusted to account for the enzyme being in an aqueous environment.  The rate-determining step in the acylation reaction was determined by calculating the changes in free energy in both the enzyme and substrate (Figure 2).   <strong>Figure 2</strong>  Free energy profiles of synthetic viral protein cleavageKnowledge of amino acid frequency distribution at an enzymatic active site may facilitate the design of novel active sites and enzyme-specific inhibitors.  Researchers analyzed the composition of amino acids that form the NSP4 active site during protein folding to study the characteristics of residues involved in active site formation (Figure 3).   <strong>Figure 3</strong>  Frequency distribution of amino acid residues at the NSP4 active site Adapted from Stapels DA, Geisbrecht BV, Rooijakkers SH. Neutrophil serine proteases in antibacterial defense. Curr Opin Microbiol. 2015;23:42-8. What is the activation energy for the uncatalyzed reaction in Figure 2?</strong> A)12 kcal/mol B)20 kcal/mol C)24 kcal/mol D)28 kcal/mol <div style=padding-top: 35px> Figure 1  Degradation of viral proteins by acylation of NSP4Computational methods were used to identify the energetic parameters of reactions between NSP4 and synthetic viral proteins.  To ensure that simulated reactions resembled physiological conditions, algorithms were adjusted to account for the enzyme being in an aqueous environment.  The rate-determining step in the acylation reaction was determined by calculating the changes in free energy in both the enzyme and substrate (Figure 2).
<strong>Passage The innate immune system relies heavily on the phagocytic action of neutrophils, mobile white blood cells that engulf and degrade bacteria and viruses as the first line of host defense against invading pathogens.  One mechanism for eliminating viruses engulfed in the phagosome involves the degradation of viral proteins by neutrophil serine proteases (NSPs).NSPs, which form part of the chymotrypsin family of serine proteases, cleave viral proteins using a catalytic triad relay system.  Originally discovered in granules released by neutrophils, NSP4 is a novel monomeric serine protease that has been studied to elucidate the catalytic mechanism of NSPs.  Prior experimental data suggest that NSP4 alters its tertiary structure upon substrate binding and cleaves viral proteins using the acylation reaction shown in Figure 1.   <strong>Figure 1</strong>  Degradation of viral proteins by acylation of NSP4Computational methods were used to identify the energetic parameters of reactions between NSP4 and synthetic viral proteins.  To ensure that simulated reactions resembled physiological conditions, algorithms were adjusted to account for the enzyme being in an aqueous environment.  The rate-determining step in the acylation reaction was determined by calculating the changes in free energy in both the enzyme and substrate (Figure 2).   <strong>Figure 2</strong>  Free energy profiles of synthetic viral protein cleavageKnowledge of amino acid frequency distribution at an enzymatic active site may facilitate the design of novel active sites and enzyme-specific inhibitors.  Researchers analyzed the composition of amino acids that form the NSP4 active site during protein folding to study the characteristics of residues involved in active site formation (Figure 3).   <strong>Figure 3</strong>  Frequency distribution of amino acid residues at the NSP4 active site Adapted from Stapels DA, Geisbrecht BV, Rooijakkers SH. Neutrophil serine proteases in antibacterial defense. Curr Opin Microbiol. 2015;23:42-8. What is the activation energy for the uncatalyzed reaction in Figure 2?</strong> A)12 kcal/mol B)20 kcal/mol C)24 kcal/mol D)28 kcal/mol <div style=padding-top: 35px> Figure 2  Free energy profiles of synthetic viral protein cleavageKnowledge of amino acid frequency distribution at an enzymatic active site may facilitate the design of novel active sites and enzyme-specific inhibitors.  Researchers analyzed the composition of amino acids that form the NSP4 active site during protein folding to study the characteristics of residues involved in active site formation (Figure 3).
<strong>Passage The innate immune system relies heavily on the phagocytic action of neutrophils, mobile white blood cells that engulf and degrade bacteria and viruses as the first line of host defense against invading pathogens.  One mechanism for eliminating viruses engulfed in the phagosome involves the degradation of viral proteins by neutrophil serine proteases (NSPs).NSPs, which form part of the chymotrypsin family of serine proteases, cleave viral proteins using a catalytic triad relay system.  Originally discovered in granules released by neutrophils, NSP4 is a novel monomeric serine protease that has been studied to elucidate the catalytic mechanism of NSPs.  Prior experimental data suggest that NSP4 alters its tertiary structure upon substrate binding and cleaves viral proteins using the acylation reaction shown in Figure 1.   <strong>Figure 1</strong>  Degradation of viral proteins by acylation of NSP4Computational methods were used to identify the energetic parameters of reactions between NSP4 and synthetic viral proteins.  To ensure that simulated reactions resembled physiological conditions, algorithms were adjusted to account for the enzyme being in an aqueous environment.  The rate-determining step in the acylation reaction was determined by calculating the changes in free energy in both the enzyme and substrate (Figure 2).   <strong>Figure 2</strong>  Free energy profiles of synthetic viral protein cleavageKnowledge of amino acid frequency distribution at an enzymatic active site may facilitate the design of novel active sites and enzyme-specific inhibitors.  Researchers analyzed the composition of amino acids that form the NSP4 active site during protein folding to study the characteristics of residues involved in active site formation (Figure 3).   <strong>Figure 3</strong>  Frequency distribution of amino acid residues at the NSP4 active site Adapted from Stapels DA, Geisbrecht BV, Rooijakkers SH. Neutrophil serine proteases in antibacterial defense. Curr Opin Microbiol. 2015;23:42-8. What is the activation energy for the uncatalyzed reaction in Figure 2?</strong> A)12 kcal/mol B)20 kcal/mol C)24 kcal/mol D)28 kcal/mol <div style=padding-top: 35px> Figure 3  Frequency distribution of amino acid residues at the NSP4 active site
Adapted from Stapels DA, Geisbrecht BV, Rooijakkers SH. Neutrophil serine proteases in antibacterial defense. Curr Opin Microbiol. 2015;23:42-8.
What is the activation energy for the uncatalyzed reaction in Figure 2?

A)12 kcal/mol
B)20 kcal/mol
C)24 kcal/mol
D)28 kcal/mol
Question
Passage
Tumor hypoxia is a marker of resistance to chemotherapy and radiation.  The low oxygen saturation in solid tumors activates hypoxia-inducible factors (HIFs), which stimulate the expression of genes required for angiogenesis, erythropoiesis, and glucose utilization.  Under normal conditions, HIF-DNA binding is interrupted by HIF-prolyl hydroxylases (HIF-PHDs), enzymes that hydroxylate aliphatic residues such as leucine or proline on HIFs.  These hydroxylated residues serve as markers for the ubiquitin-proteasome system.  Researchers have proposed that changes in oxygen-dependent pathways such as the citric acid cycle can regulate HIF-PHD activity.Experiment 1A kinematic study was conducted to test the effect of citric acid cycle intermediates on HIF-PHDs.  Fumarate and succinate were examined with purified HIF-PHD against increasing concentrations of 2-oxoglutarate (2-OG), an HIF analog.
<strong>Passage Tumor hypoxia is a marker of resistance to chemotherapy and radiation.  The low oxygen saturation in solid tumors activates hypoxia-inducible factors (HIFs), which stimulate the expression of genes required for angiogenesis, erythropoiesis, and glucose utilization.  Under normal conditions, HIF-DNA binding is interrupted by HIF-prolyl hydroxylases (HIF-PHDs), enzymes that hydroxylate aliphatic residues such as leucine or proline on HIFs.  These hydroxylated residues serve as markers for the ubiquitin-proteasome system.  Researchers have proposed that changes in oxygen-dependent pathways such as the citric acid cycle can regulate HIF-PHD activity.Experiment 1A kinematic study was conducted to test the effect of citric acid cycle intermediates on HIF-PHDs.  Fumarate and succinate were examined with purified HIF-PHD against increasing concentrations of 2-oxoglutarate (2-OG), an HIF analog.   <strong>Figure 1</strong>  Activity of HIF-PHD exposed to succinate and fumarate in vitro based on 2-OG catalysisExperiment 2Researchers measured HIF-1a, a HIF subunit, using western blot analysis in wild-type (FH<sup>+</sup>) and fumarate-deficient (FH<sup>−</sup>) cells that were treated with fumarate under normoxic and hypoxic conditions (Figure 2).   <strong>Figure 2</strong>  HIF-1a in FH<sup>+</sup> and FH<sup>−</sup> cells grown in vitro under normoxic (N) and hypoxic (H) conditions Adapted from Koivunen P, Hirsilä M, Remes AM, Hassinen IE, Kivirikko KI, Myllyharju J. Inhibition of hypoxia-inducible factor (HIF) hydroxylases by citric acid cycle intermediates: possible links between cell metabolism and stabilization of HIF. J Biol Chem. 2007;282(7):4524-32. Why did researchers test for the α-tubulin protein along with HIF-1α?</strong> A)α-Tubulin expression is also generally affected by an increase in fumarate. B)α-Tubulin serves as a loading control because it is expressed ubiquitously. C)α-Tubulin is a protein that serves as an experimental negative control. D)α-Tubulin serves as a positive control because it is always expressed in FH<sup>−</sup> cells. <div style=padding-top: 35px> Figure 1  Activity of HIF-PHD exposed to succinate and fumarate in vitro based on 2-OG catalysisExperiment 2Researchers measured HIF-1a, a HIF subunit, using western blot analysis in wild-type (FH+) and fumarate-deficient (FH) cells that were treated with fumarate under normoxic and hypoxic conditions (Figure 2).
<strong>Passage Tumor hypoxia is a marker of resistance to chemotherapy and radiation.  The low oxygen saturation in solid tumors activates hypoxia-inducible factors (HIFs), which stimulate the expression of genes required for angiogenesis, erythropoiesis, and glucose utilization.  Under normal conditions, HIF-DNA binding is interrupted by HIF-prolyl hydroxylases (HIF-PHDs), enzymes that hydroxylate aliphatic residues such as leucine or proline on HIFs.  These hydroxylated residues serve as markers for the ubiquitin-proteasome system.  Researchers have proposed that changes in oxygen-dependent pathways such as the citric acid cycle can regulate HIF-PHD activity.Experiment 1A kinematic study was conducted to test the effect of citric acid cycle intermediates on HIF-PHDs.  Fumarate and succinate were examined with purified HIF-PHD against increasing concentrations of 2-oxoglutarate (2-OG), an HIF analog.   <strong>Figure 1</strong>  Activity of HIF-PHD exposed to succinate and fumarate in vitro based on 2-OG catalysisExperiment 2Researchers measured HIF-1a, a HIF subunit, using western blot analysis in wild-type (FH<sup>+</sup>) and fumarate-deficient (FH<sup>−</sup>) cells that were treated with fumarate under normoxic and hypoxic conditions (Figure 2).   <strong>Figure 2</strong>  HIF-1a in FH<sup>+</sup> and FH<sup>−</sup> cells grown in vitro under normoxic (N) and hypoxic (H) conditions Adapted from Koivunen P, Hirsilä M, Remes AM, Hassinen IE, Kivirikko KI, Myllyharju J. Inhibition of hypoxia-inducible factor (HIF) hydroxylases by citric acid cycle intermediates: possible links between cell metabolism and stabilization of HIF. J Biol Chem. 2007;282(7):4524-32. Why did researchers test for the α-tubulin protein along with HIF-1α?</strong> A)α-Tubulin expression is also generally affected by an increase in fumarate. B)α-Tubulin serves as a loading control because it is expressed ubiquitously. C)α-Tubulin is a protein that serves as an experimental negative control. D)α-Tubulin serves as a positive control because it is always expressed in FH<sup>−</sup> cells. <div style=padding-top: 35px> Figure 2  HIF-1a in FH+ and FH cells grown in vitro under normoxic (N) and hypoxic (H) conditions
Adapted from Koivunen P, Hirsilä M, Remes AM, Hassinen IE, Kivirikko KI, Myllyharju J. Inhibition of hypoxia-inducible factor (HIF) hydroxylases by citric acid cycle intermediates: possible links between cell metabolism and stabilization of HIF. J Biol Chem. 2007;282(7):4524-32.
Why did researchers test for the α-tubulin protein along with HIF-1α?

A)α-Tubulin expression is also generally affected by an increase in fumarate.
B)α-Tubulin serves as a loading control because it is expressed ubiquitously.
C)α-Tubulin is a protein that serves as an experimental negative control.
D)α-Tubulin serves as a positive control because it is always expressed in FH cells.
Question
Passage
The innate immune system relies heavily on the phagocytic action of neutrophils, mobile white blood cells that engulf and degrade bacteria and viruses as the first line of host defense against invading pathogens.  One mechanism for eliminating viruses engulfed in the phagosome involves the degradation of viral proteins by neutrophil serine proteases (NSPs).NSPs, which form part of the chymotrypsin family of serine proteases, cleave viral proteins using a catalytic triad relay system.  Originally discovered in granules released by neutrophils, NSP4 is a novel monomeric serine protease that has been studied to elucidate the catalytic mechanism of NSPs.  Prior experimental data suggest that NSP4 alters its tertiary structure upon substrate binding and cleaves viral proteins using the acylation reaction shown in Figure 1.
<strong>Passage The innate immune system relies heavily on the phagocytic action of neutrophils, mobile white blood cells that engulf and degrade bacteria and viruses as the first line of host defense against invading pathogens.  One mechanism for eliminating viruses engulfed in the phagosome involves the degradation of viral proteins by neutrophil serine proteases (NSPs).NSPs, which form part of the chymotrypsin family of serine proteases, cleave viral proteins using a catalytic triad relay system.  Originally discovered in granules released by neutrophils, NSP4 is a novel monomeric serine protease that has been studied to elucidate the catalytic mechanism of NSPs.  Prior experimental data suggest that NSP4 alters its tertiary structure upon substrate binding and cleaves viral proteins using the acylation reaction shown in Figure 1.   <strong>Figure 1</strong>  Degradation of viral proteins by acylation of NSP4Computational methods were used to identify the energetic parameters of reactions between NSP4 and synthetic viral proteins.  To ensure that simulated reactions resembled physiological conditions, algorithms were adjusted to account for the enzyme being in an aqueous environment.  The rate-determining step in the acylation reaction was determined by calculating the changes in free energy in both the enzyme and substrate (Figure 2).   <strong>Figure 2</strong>  Free energy profiles of synthetic viral protein cleavageKnowledge of amino acid frequency distribution at an enzymatic active site may facilitate the design of novel active sites and enzyme-specific inhibitors.  Researchers analyzed the composition of amino acids that form the NSP4 active site during protein folding to study the characteristics of residues involved in active site formation (Figure 3).   <strong>Figure 3</strong>  Frequency distribution of amino acid residues at the NSP4 active site Adapted from Stapels DA, Geisbrecht BV, Rooijakkers SH. Neutrophil serine proteases in antibacterial defense. Curr Opin Microbiol. 2015;23:42-8. Considering that NSPs are proteases, which of the following statements best describes the reaction catalyzed by NSPs?</strong> A)Water is produced by the reaction. B)Water is consumed by the reaction. C)Water is produced and then consumed by the reaction. D)Water is consumed and then produced by the reaction. <div style=padding-top: 35px> Figure 1  Degradation of viral proteins by acylation of NSP4Computational methods were used to identify the energetic parameters of reactions between NSP4 and synthetic viral proteins.  To ensure that simulated reactions resembled physiological conditions, algorithms were adjusted to account for the enzyme being in an aqueous environment.  The rate-determining step in the acylation reaction was determined by calculating the changes in free energy in both the enzyme and substrate (Figure 2).
<strong>Passage The innate immune system relies heavily on the phagocytic action of neutrophils, mobile white blood cells that engulf and degrade bacteria and viruses as the first line of host defense against invading pathogens.  One mechanism for eliminating viruses engulfed in the phagosome involves the degradation of viral proteins by neutrophil serine proteases (NSPs).NSPs, which form part of the chymotrypsin family of serine proteases, cleave viral proteins using a catalytic triad relay system.  Originally discovered in granules released by neutrophils, NSP4 is a novel monomeric serine protease that has been studied to elucidate the catalytic mechanism of NSPs.  Prior experimental data suggest that NSP4 alters its tertiary structure upon substrate binding and cleaves viral proteins using the acylation reaction shown in Figure 1.   <strong>Figure 1</strong>  Degradation of viral proteins by acylation of NSP4Computational methods were used to identify the energetic parameters of reactions between NSP4 and synthetic viral proteins.  To ensure that simulated reactions resembled physiological conditions, algorithms were adjusted to account for the enzyme being in an aqueous environment.  The rate-determining step in the acylation reaction was determined by calculating the changes in free energy in both the enzyme and substrate (Figure 2).   <strong>Figure 2</strong>  Free energy profiles of synthetic viral protein cleavageKnowledge of amino acid frequency distribution at an enzymatic active site may facilitate the design of novel active sites and enzyme-specific inhibitors.  Researchers analyzed the composition of amino acids that form the NSP4 active site during protein folding to study the characteristics of residues involved in active site formation (Figure 3).   <strong>Figure 3</strong>  Frequency distribution of amino acid residues at the NSP4 active site Adapted from Stapels DA, Geisbrecht BV, Rooijakkers SH. Neutrophil serine proteases in antibacterial defense. Curr Opin Microbiol. 2015;23:42-8. Considering that NSPs are proteases, which of the following statements best describes the reaction catalyzed by NSPs?</strong> A)Water is produced by the reaction. B)Water is consumed by the reaction. C)Water is produced and then consumed by the reaction. D)Water is consumed and then produced by the reaction. <div style=padding-top: 35px> Figure 2  Free energy profiles of synthetic viral protein cleavageKnowledge of amino acid frequency distribution at an enzymatic active site may facilitate the design of novel active sites and enzyme-specific inhibitors.  Researchers analyzed the composition of amino acids that form the NSP4 active site during protein folding to study the characteristics of residues involved in active site formation (Figure 3).
<strong>Passage The innate immune system relies heavily on the phagocytic action of neutrophils, mobile white blood cells that engulf and degrade bacteria and viruses as the first line of host defense against invading pathogens.  One mechanism for eliminating viruses engulfed in the phagosome involves the degradation of viral proteins by neutrophil serine proteases (NSPs).NSPs, which form part of the chymotrypsin family of serine proteases, cleave viral proteins using a catalytic triad relay system.  Originally discovered in granules released by neutrophils, NSP4 is a novel monomeric serine protease that has been studied to elucidate the catalytic mechanism of NSPs.  Prior experimental data suggest that NSP4 alters its tertiary structure upon substrate binding and cleaves viral proteins using the acylation reaction shown in Figure 1.   <strong>Figure 1</strong>  Degradation of viral proteins by acylation of NSP4Computational methods were used to identify the energetic parameters of reactions between NSP4 and synthetic viral proteins.  To ensure that simulated reactions resembled physiological conditions, algorithms were adjusted to account for the enzyme being in an aqueous environment.  The rate-determining step in the acylation reaction was determined by calculating the changes in free energy in both the enzyme and substrate (Figure 2).   <strong>Figure 2</strong>  Free energy profiles of synthetic viral protein cleavageKnowledge of amino acid frequency distribution at an enzymatic active site may facilitate the design of novel active sites and enzyme-specific inhibitors.  Researchers analyzed the composition of amino acids that form the NSP4 active site during protein folding to study the characteristics of residues involved in active site formation (Figure 3).   <strong>Figure 3</strong>  Frequency distribution of amino acid residues at the NSP4 active site Adapted from Stapels DA, Geisbrecht BV, Rooijakkers SH. Neutrophil serine proteases in antibacterial defense. Curr Opin Microbiol. 2015;23:42-8. Considering that NSPs are proteases, which of the following statements best describes the reaction catalyzed by NSPs?</strong> A)Water is produced by the reaction. B)Water is consumed by the reaction. C)Water is produced and then consumed by the reaction. D)Water is consumed and then produced by the reaction. <div style=padding-top: 35px> Figure 3  Frequency distribution of amino acid residues at the NSP4 active site
Adapted from Stapels DA, Geisbrecht BV, Rooijakkers SH. Neutrophil serine proteases in antibacterial defense. Curr Opin Microbiol. 2015;23:42-8.
Considering that NSPs are proteases, which of the following statements best describes the reaction catalyzed by NSPs?

A)Water is produced by the reaction.
B)Water is consumed by the reaction.
C)Water is produced and then consumed by the reaction.
D)Water is consumed and then produced by the reaction.
Question
Passage
Presynaptic nerve terminals release neurotransmitters via synaptic vesicle exocytosis.  This action is mediated by the membrane-bound target-SNARE (t-SNARE) proteins syntaxin and SNAP-25, and the vesicle-associated SNARE (v-SNARE) protein synaptobrevin.  Membrane fusion is initiated when the t-SNAREs and v-SNAREs form an α-helix bundle known as the core-trans-complex, achieved by zipping SNARE proteins together to form a more stable cis-complex (Figure 1).
<strong>Passage Presynaptic nerve terminals release neurotransmitters via synaptic vesicle exocytosis.  This action is mediated by the membrane-bound target-SNARE (t-SNARE) proteins syntaxin and SNAP-25, and the vesicle-associated SNARE (v-SNARE) protein synaptobrevin.  Membrane fusion is initiated when the t-SNAREs and v-SNAREs form an α-helix bundle known as the core-trans-complex, achieved by zipping SNARE proteins together to form a more stable cis-complex (Figure 1).   <strong>Figure 1</strong>  Formation of the core-trans-complex and subsequent membrane fusionThe cis-complex contains the zero ionic layer, the main site of interaction between complexed proteins.  Within the zero ionic layer, arginine on synaptobrevin coordinates with carbonyl groups present on the other residues shown in Table 1.  The zero ionic layer is buried within leucine zipper domains, which act as a shield to solvent molecules.<strong>Table 1</strong>  Composition of cis-Complex Zero Ionic Layer   An early step in cis-complex disassembly is destabilization by the ATPase N-ethylmaleimide-sensitive factor (NSF), which initiates unzipping by breaking flanking leucine zipper regions, leading to vesicle reuptake.  Movement of NSF to the cell membrane is mediated by the cytoplasmic protein α-SNAP, which must first bind the N-terminal domain of syntaxin.To determine the effect of vesicle-bound synaptobrevin on the binding of α-SNAP to syntaxin, increasing amounts of recombinant His-tagged α-SNAP were added to a constant amount of syntaxin affixed to glutathione-agarose beads with or without synaptobrevin.  After incubation, bound proteins were recovered and quantitatively analyzed by immunoblotting.  Results are shown in Figure 2.   <strong>Figure 2</strong>  α-SNAP binding to syntaxin in the absence (square) or presence (circle) of synaptobrevin Adapted from Mcmahon HT, Südhof TC. Synaptic core complex of synaptobrevin, syntaxin, and SNAP25 forms high affinity alpha-SNAP binding site. J Biol Chem. 1995;270(5):2213-7. Wild-type syntaxin (Synt-WT) and mutant syntaxins containing a deletion of the N-terminal sequence (SyntΔA) or C-terminal sequence (SyntΔB) were separated and incubated with α-SNAP.  After washing away unbound molecules, which of the following is the most likely result of protein immunoblotting for α-SNAP?</strong> A)   B)   C)   D)   <div style=padding-top: 35px> Figure 1  Formation of the core-trans-complex and subsequent membrane fusionThe cis-complex contains the zero ionic layer, the main site of interaction between complexed proteins.  Within the zero ionic layer, arginine on synaptobrevin coordinates with carbonyl groups present on the other residues shown in Table 1.  The zero ionic layer is buried within leucine zipper domains, which act as a shield to solvent molecules.Table 1  Composition of cis-Complex Zero Ionic Layer
<strong>Passage Presynaptic nerve terminals release neurotransmitters via synaptic vesicle exocytosis.  This action is mediated by the membrane-bound target-SNARE (t-SNARE) proteins syntaxin and SNAP-25, and the vesicle-associated SNARE (v-SNARE) protein synaptobrevin.  Membrane fusion is initiated when the t-SNAREs and v-SNAREs form an α-helix bundle known as the core-trans-complex, achieved by zipping SNARE proteins together to form a more stable cis-complex (Figure 1).   <strong>Figure 1</strong>  Formation of the core-trans-complex and subsequent membrane fusionThe cis-complex contains the zero ionic layer, the main site of interaction between complexed proteins.  Within the zero ionic layer, arginine on synaptobrevin coordinates with carbonyl groups present on the other residues shown in Table 1.  The zero ionic layer is buried within leucine zipper domains, which act as a shield to solvent molecules.<strong>Table 1</strong>  Composition of cis-Complex Zero Ionic Layer   An early step in cis-complex disassembly is destabilization by the ATPase N-ethylmaleimide-sensitive factor (NSF), which initiates unzipping by breaking flanking leucine zipper regions, leading to vesicle reuptake.  Movement of NSF to the cell membrane is mediated by the cytoplasmic protein α-SNAP, which must first bind the N-terminal domain of syntaxin.To determine the effect of vesicle-bound synaptobrevin on the binding of α-SNAP to syntaxin, increasing amounts of recombinant His-tagged α-SNAP were added to a constant amount of syntaxin affixed to glutathione-agarose beads with or without synaptobrevin.  After incubation, bound proteins were recovered and quantitatively analyzed by immunoblotting.  Results are shown in Figure 2.   <strong>Figure 2</strong>  α-SNAP binding to syntaxin in the absence (square) or presence (circle) of synaptobrevin Adapted from Mcmahon HT, Südhof TC. Synaptic core complex of synaptobrevin, syntaxin, and SNAP25 forms high affinity alpha-SNAP binding site. J Biol Chem. 1995;270(5):2213-7. Wild-type syntaxin (Synt-WT) and mutant syntaxins containing a deletion of the N-terminal sequence (SyntΔA) or C-terminal sequence (SyntΔB) were separated and incubated with α-SNAP.  After washing away unbound molecules, which of the following is the most likely result of protein immunoblotting for α-SNAP?</strong> A)   B)   C)   D)   <div style=padding-top: 35px> An early step in cis-complex disassembly is destabilization by the ATPase N-ethylmaleimide-sensitive factor (NSF), which initiates unzipping by breaking flanking leucine zipper regions, leading to vesicle reuptake.  Movement of NSF to the cell membrane is mediated by the cytoplasmic protein α-SNAP, which must first bind the N-terminal domain of syntaxin.To determine the effect of vesicle-bound synaptobrevin on the binding of α-SNAP to syntaxin, increasing amounts of recombinant His-tagged α-SNAP were added to a constant amount of syntaxin affixed to glutathione-agarose beads with or without synaptobrevin.  After incubation, bound proteins were recovered and quantitatively analyzed by immunoblotting.  Results are shown in Figure 2.
<strong>Passage Presynaptic nerve terminals release neurotransmitters via synaptic vesicle exocytosis.  This action is mediated by the membrane-bound target-SNARE (t-SNARE) proteins syntaxin and SNAP-25, and the vesicle-associated SNARE (v-SNARE) protein synaptobrevin.  Membrane fusion is initiated when the t-SNAREs and v-SNAREs form an α-helix bundle known as the core-trans-complex, achieved by zipping SNARE proteins together to form a more stable cis-complex (Figure 1).   <strong>Figure 1</strong>  Formation of the core-trans-complex and subsequent membrane fusionThe cis-complex contains the zero ionic layer, the main site of interaction between complexed proteins.  Within the zero ionic layer, arginine on synaptobrevin coordinates with carbonyl groups present on the other residues shown in Table 1.  The zero ionic layer is buried within leucine zipper domains, which act as a shield to solvent molecules.<strong>Table 1</strong>  Composition of cis-Complex Zero Ionic Layer   An early step in cis-complex disassembly is destabilization by the ATPase N-ethylmaleimide-sensitive factor (NSF), which initiates unzipping by breaking flanking leucine zipper regions, leading to vesicle reuptake.  Movement of NSF to the cell membrane is mediated by the cytoplasmic protein α-SNAP, which must first bind the N-terminal domain of syntaxin.To determine the effect of vesicle-bound synaptobrevin on the binding of α-SNAP to syntaxin, increasing amounts of recombinant His-tagged α-SNAP were added to a constant amount of syntaxin affixed to glutathione-agarose beads with or without synaptobrevin.  After incubation, bound proteins were recovered and quantitatively analyzed by immunoblotting.  Results are shown in Figure 2.   <strong>Figure 2</strong>  α-SNAP binding to syntaxin in the absence (square) or presence (circle) of synaptobrevin Adapted from Mcmahon HT, Südhof TC. Synaptic core complex of synaptobrevin, syntaxin, and SNAP25 forms high affinity alpha-SNAP binding site. J Biol Chem. 1995;270(5):2213-7. Wild-type syntaxin (Synt-WT) and mutant syntaxins containing a deletion of the N-terminal sequence (SyntΔA) or C-terminal sequence (SyntΔB) were separated and incubated with α-SNAP.  After washing away unbound molecules, which of the following is the most likely result of protein immunoblotting for α-SNAP?</strong> A)   B)   C)   D)   <div style=padding-top: 35px> Figure 2  α-SNAP binding to syntaxin in the absence (square) or presence (circle) of synaptobrevin
Adapted from Mcmahon HT, Südhof TC. Synaptic core complex of synaptobrevin, syntaxin, and SNAP25 forms high affinity alpha-SNAP binding site. J Biol Chem. 1995;270(5):2213-7.
Wild-type syntaxin (Synt-WT) and mutant syntaxins containing a deletion of the N-terminal sequence (SyntΔA) or C-terminal sequence (SyntΔB) were separated and incubated with α-SNAP.  After washing away unbound molecules, which of the following is the most likely result of protein immunoblotting for α-SNAP?

A) <strong>Passage Presynaptic nerve terminals release neurotransmitters via synaptic vesicle exocytosis.  This action is mediated by the membrane-bound target-SNARE (t-SNARE) proteins syntaxin and SNAP-25, and the vesicle-associated SNARE (v-SNARE) protein synaptobrevin.  Membrane fusion is initiated when the t-SNAREs and v-SNAREs form an α-helix bundle known as the core-trans-complex, achieved by zipping SNARE proteins together to form a more stable cis-complex (Figure 1).   <strong>Figure 1</strong>  Formation of the core-trans-complex and subsequent membrane fusionThe cis-complex contains the zero ionic layer, the main site of interaction between complexed proteins.  Within the zero ionic layer, arginine on synaptobrevin coordinates with carbonyl groups present on the other residues shown in Table 1.  The zero ionic layer is buried within leucine zipper domains, which act as a shield to solvent molecules.<strong>Table 1</strong>  Composition of cis-Complex Zero Ionic Layer   An early step in cis-complex disassembly is destabilization by the ATPase N-ethylmaleimide-sensitive factor (NSF), which initiates unzipping by breaking flanking leucine zipper regions, leading to vesicle reuptake.  Movement of NSF to the cell membrane is mediated by the cytoplasmic protein α-SNAP, which must first bind the N-terminal domain of syntaxin.To determine the effect of vesicle-bound synaptobrevin on the binding of α-SNAP to syntaxin, increasing amounts of recombinant His-tagged α-SNAP were added to a constant amount of syntaxin affixed to glutathione-agarose beads with or without synaptobrevin.  After incubation, bound proteins were recovered and quantitatively analyzed by immunoblotting.  Results are shown in Figure 2.   <strong>Figure 2</strong>  α-SNAP binding to syntaxin in the absence (square) or presence (circle) of synaptobrevin Adapted from Mcmahon HT, Südhof TC. Synaptic core complex of synaptobrevin, syntaxin, and SNAP25 forms high affinity alpha-SNAP binding site. J Biol Chem. 1995;270(5):2213-7. Wild-type syntaxin (Synt-WT) and mutant syntaxins containing a deletion of the N-terminal sequence (SyntΔA) or C-terminal sequence (SyntΔB) were separated and incubated with α-SNAP.  After washing away unbound molecules, which of the following is the most likely result of protein immunoblotting for α-SNAP?</strong> A)   B)   C)   D)   <div style=padding-top: 35px>
B) <strong>Passage Presynaptic nerve terminals release neurotransmitters via synaptic vesicle exocytosis.  This action is mediated by the membrane-bound target-SNARE (t-SNARE) proteins syntaxin and SNAP-25, and the vesicle-associated SNARE (v-SNARE) protein synaptobrevin.  Membrane fusion is initiated when the t-SNAREs and v-SNAREs form an α-helix bundle known as the core-trans-complex, achieved by zipping SNARE proteins together to form a more stable cis-complex (Figure 1).   <strong>Figure 1</strong>  Formation of the core-trans-complex and subsequent membrane fusionThe cis-complex contains the zero ionic layer, the main site of interaction between complexed proteins.  Within the zero ionic layer, arginine on synaptobrevin coordinates with carbonyl groups present on the other residues shown in Table 1.  The zero ionic layer is buried within leucine zipper domains, which act as a shield to solvent molecules.<strong>Table 1</strong>  Composition of cis-Complex Zero Ionic Layer   An early step in cis-complex disassembly is destabilization by the ATPase N-ethylmaleimide-sensitive factor (NSF), which initiates unzipping by breaking flanking leucine zipper regions, leading to vesicle reuptake.  Movement of NSF to the cell membrane is mediated by the cytoplasmic protein α-SNAP, which must first bind the N-terminal domain of syntaxin.To determine the effect of vesicle-bound synaptobrevin on the binding of α-SNAP to syntaxin, increasing amounts of recombinant His-tagged α-SNAP were added to a constant amount of syntaxin affixed to glutathione-agarose beads with or without synaptobrevin.  After incubation, bound proteins were recovered and quantitatively analyzed by immunoblotting.  Results are shown in Figure 2.   <strong>Figure 2</strong>  α-SNAP binding to syntaxin in the absence (square) or presence (circle) of synaptobrevin Adapted from Mcmahon HT, Südhof TC. Synaptic core complex of synaptobrevin, syntaxin, and SNAP25 forms high affinity alpha-SNAP binding site. J Biol Chem. 1995;270(5):2213-7. Wild-type syntaxin (Synt-WT) and mutant syntaxins containing a deletion of the N-terminal sequence (SyntΔA) or C-terminal sequence (SyntΔB) were separated and incubated with α-SNAP.  After washing away unbound molecules, which of the following is the most likely result of protein immunoblotting for α-SNAP?</strong> A)   B)   C)   D)   <div style=padding-top: 35px>
C) <strong>Passage Presynaptic nerve terminals release neurotransmitters via synaptic vesicle exocytosis.  This action is mediated by the membrane-bound target-SNARE (t-SNARE) proteins syntaxin and SNAP-25, and the vesicle-associated SNARE (v-SNARE) protein synaptobrevin.  Membrane fusion is initiated when the t-SNAREs and v-SNAREs form an α-helix bundle known as the core-trans-complex, achieved by zipping SNARE proteins together to form a more stable cis-complex (Figure 1).   <strong>Figure 1</strong>  Formation of the core-trans-complex and subsequent membrane fusionThe cis-complex contains the zero ionic layer, the main site of interaction between complexed proteins.  Within the zero ionic layer, arginine on synaptobrevin coordinates with carbonyl groups present on the other residues shown in Table 1.  The zero ionic layer is buried within leucine zipper domains, which act as a shield to solvent molecules.<strong>Table 1</strong>  Composition of cis-Complex Zero Ionic Layer   An early step in cis-complex disassembly is destabilization by the ATPase N-ethylmaleimide-sensitive factor (NSF), which initiates unzipping by breaking flanking leucine zipper regions, leading to vesicle reuptake.  Movement of NSF to the cell membrane is mediated by the cytoplasmic protein α-SNAP, which must first bind the N-terminal domain of syntaxin.To determine the effect of vesicle-bound synaptobrevin on the binding of α-SNAP to syntaxin, increasing amounts of recombinant His-tagged α-SNAP were added to a constant amount of syntaxin affixed to glutathione-agarose beads with or without synaptobrevin.  After incubation, bound proteins were recovered and quantitatively analyzed by immunoblotting.  Results are shown in Figure 2.   <strong>Figure 2</strong>  α-SNAP binding to syntaxin in the absence (square) or presence (circle) of synaptobrevin Adapted from Mcmahon HT, Südhof TC. Synaptic core complex of synaptobrevin, syntaxin, and SNAP25 forms high affinity alpha-SNAP binding site. J Biol Chem. 1995;270(5):2213-7. Wild-type syntaxin (Synt-WT) and mutant syntaxins containing a deletion of the N-terminal sequence (SyntΔA) or C-terminal sequence (SyntΔB) were separated and incubated with α-SNAP.  After washing away unbound molecules, which of the following is the most likely result of protein immunoblotting for α-SNAP?</strong> A)   B)   C)   D)   <div style=padding-top: 35px>
D) <strong>Passage Presynaptic nerve terminals release neurotransmitters via synaptic vesicle exocytosis.  This action is mediated by the membrane-bound target-SNARE (t-SNARE) proteins syntaxin and SNAP-25, and the vesicle-associated SNARE (v-SNARE) protein synaptobrevin.  Membrane fusion is initiated when the t-SNAREs and v-SNAREs form an α-helix bundle known as the core-trans-complex, achieved by zipping SNARE proteins together to form a more stable cis-complex (Figure 1).   <strong>Figure 1</strong>  Formation of the core-trans-complex and subsequent membrane fusionThe cis-complex contains the zero ionic layer, the main site of interaction between complexed proteins.  Within the zero ionic layer, arginine on synaptobrevin coordinates with carbonyl groups present on the other residues shown in Table 1.  The zero ionic layer is buried within leucine zipper domains, which act as a shield to solvent molecules.<strong>Table 1</strong>  Composition of cis-Complex Zero Ionic Layer   An early step in cis-complex disassembly is destabilization by the ATPase N-ethylmaleimide-sensitive factor (NSF), which initiates unzipping by breaking flanking leucine zipper regions, leading to vesicle reuptake.  Movement of NSF to the cell membrane is mediated by the cytoplasmic protein α-SNAP, which must first bind the N-terminal domain of syntaxin.To determine the effect of vesicle-bound synaptobrevin on the binding of α-SNAP to syntaxin, increasing amounts of recombinant His-tagged α-SNAP were added to a constant amount of syntaxin affixed to glutathione-agarose beads with or without synaptobrevin.  After incubation, bound proteins were recovered and quantitatively analyzed by immunoblotting.  Results are shown in Figure 2.   <strong>Figure 2</strong>  α-SNAP binding to syntaxin in the absence (square) or presence (circle) of synaptobrevin Adapted from Mcmahon HT, Südhof TC. Synaptic core complex of synaptobrevin, syntaxin, and SNAP25 forms high affinity alpha-SNAP binding site. J Biol Chem. 1995;270(5):2213-7. Wild-type syntaxin (Synt-WT) and mutant syntaxins containing a deletion of the N-terminal sequence (SyntΔA) or C-terminal sequence (SyntΔB) were separated and incubated with α-SNAP.  After washing away unbound molecules, which of the following is the most likely result of protein immunoblotting for α-SNAP?</strong> A)   B)   C)   D)   <div style=padding-top: 35px>
Question
Passage
Presynaptic nerve terminals release neurotransmitters via synaptic vesicle exocytosis.  This action is mediated by the membrane-bound target-SNARE (t-SNARE) proteins syntaxin and SNAP-25, and the vesicle-associated SNARE (v-SNARE) protein synaptobrevin.  Membrane fusion is initiated when the t-SNAREs and v-SNAREs form an α-helix bundle known as the core-trans-complex, achieved by zipping SNARE proteins together to form a more stable cis-complex (Figure 1).
<strong>Passage Presynaptic nerve terminals release neurotransmitters via synaptic vesicle exocytosis.  This action is mediated by the membrane-bound target-SNARE (t-SNARE) proteins syntaxin and SNAP-25, and the vesicle-associated SNARE (v-SNARE) protein synaptobrevin.  Membrane fusion is initiated when the t-SNAREs and v-SNAREs form an α-helix bundle known as the core-trans-complex, achieved by zipping SNARE proteins together to form a more stable cis-complex (Figure 1).   <strong>Figure 1</strong>  Formation of the core-trans-complex and subsequent membrane fusionThe cis-complex contains the zero ionic layer, the main site of interaction between complexed proteins.  Within the zero ionic layer, arginine on synaptobrevin coordinates with carbonyl groups present on the other residues shown in Table 1.  The zero ionic layer is buried within leucine zipper domains, which act as a shield to solvent molecules.<strong>Table 1</strong>  Composition of cis-Complex Zero Ionic Layer   An early step in cis-complex disassembly is destabilization by the ATPase N-ethylmaleimide-sensitive factor (NSF), which initiates unzipping by breaking flanking leucine zipper regions, leading to vesicle reuptake.  Movement of NSF to the cell membrane is mediated by the cytoplasmic protein α-SNAP, which must first bind the N-terminal domain of syntaxin.To determine the effect of vesicle-bound synaptobrevin on the binding of α-SNAP to syntaxin, increasing amounts of recombinant His-tagged α-SNAP were added to a constant amount of syntaxin affixed to glutathione-agarose beads with or without synaptobrevin.  After incubation, bound proteins were recovered and quantitatively analyzed by immunoblotting.  Results are shown in Figure 2.   <strong>Figure 2</strong>  α-SNAP binding to syntaxin in the absence (square) or presence (circle) of synaptobrevin Adapted from Mcmahon HT, Südhof TC. Synaptic core complex of synaptobrevin, syntaxin, and SNAP25 forms high affinity alpha-SNAP binding site. J Biol Chem. 1995;270(5):2213-7. Which of the following amino acid substitutions is most likely to interrupt the interactions of the zero ionic layer?</strong> A)R56K on synaptobrevin B)Q53R on SNAP-25 (Sn1) C)E224D on syntaxin D)Q174N on SNAP-25 (Sn2) <div style=padding-top: 35px> Figure 1  Formation of the core-trans-complex and subsequent membrane fusionThe cis-complex contains the zero ionic layer, the main site of interaction between complexed proteins.  Within the zero ionic layer, arginine on synaptobrevin coordinates with carbonyl groups present on the other residues shown in Table 1.  The zero ionic layer is buried within leucine zipper domains, which act as a shield to solvent molecules.Table 1  Composition of cis-Complex Zero Ionic Layer
<strong>Passage Presynaptic nerve terminals release neurotransmitters via synaptic vesicle exocytosis.  This action is mediated by the membrane-bound target-SNARE (t-SNARE) proteins syntaxin and SNAP-25, and the vesicle-associated SNARE (v-SNARE) protein synaptobrevin.  Membrane fusion is initiated when the t-SNAREs and v-SNAREs form an α-helix bundle known as the core-trans-complex, achieved by zipping SNARE proteins together to form a more stable cis-complex (Figure 1).   <strong>Figure 1</strong>  Formation of the core-trans-complex and subsequent membrane fusionThe cis-complex contains the zero ionic layer, the main site of interaction between complexed proteins.  Within the zero ionic layer, arginine on synaptobrevin coordinates with carbonyl groups present on the other residues shown in Table 1.  The zero ionic layer is buried within leucine zipper domains, which act as a shield to solvent molecules.<strong>Table 1</strong>  Composition of cis-Complex Zero Ionic Layer   An early step in cis-complex disassembly is destabilization by the ATPase N-ethylmaleimide-sensitive factor (NSF), which initiates unzipping by breaking flanking leucine zipper regions, leading to vesicle reuptake.  Movement of NSF to the cell membrane is mediated by the cytoplasmic protein α-SNAP, which must first bind the N-terminal domain of syntaxin.To determine the effect of vesicle-bound synaptobrevin on the binding of α-SNAP to syntaxin, increasing amounts of recombinant His-tagged α-SNAP were added to a constant amount of syntaxin affixed to glutathione-agarose beads with or without synaptobrevin.  After incubation, bound proteins were recovered and quantitatively analyzed by immunoblotting.  Results are shown in Figure 2.   <strong>Figure 2</strong>  α-SNAP binding to syntaxin in the absence (square) or presence (circle) of synaptobrevin Adapted from Mcmahon HT, Südhof TC. Synaptic core complex of synaptobrevin, syntaxin, and SNAP25 forms high affinity alpha-SNAP binding site. J Biol Chem. 1995;270(5):2213-7. Which of the following amino acid substitutions is most likely to interrupt the interactions of the zero ionic layer?</strong> A)R56K on synaptobrevin B)Q53R on SNAP-25 (Sn1) C)E224D on syntaxin D)Q174N on SNAP-25 (Sn2) <div style=padding-top: 35px> An early step in cis-complex disassembly is destabilization by the ATPase N-ethylmaleimide-sensitive factor (NSF), which initiates unzipping by breaking flanking leucine zipper regions, leading to vesicle reuptake.  Movement of NSF to the cell membrane is mediated by the cytoplasmic protein α-SNAP, which must first bind the N-terminal domain of syntaxin.To determine the effect of vesicle-bound synaptobrevin on the binding of α-SNAP to syntaxin, increasing amounts of recombinant His-tagged α-SNAP were added to a constant amount of syntaxin affixed to glutathione-agarose beads with or without synaptobrevin.  After incubation, bound proteins were recovered and quantitatively analyzed by immunoblotting.  Results are shown in Figure 2.
<strong>Passage Presynaptic nerve terminals release neurotransmitters via synaptic vesicle exocytosis.  This action is mediated by the membrane-bound target-SNARE (t-SNARE) proteins syntaxin and SNAP-25, and the vesicle-associated SNARE (v-SNARE) protein synaptobrevin.  Membrane fusion is initiated when the t-SNAREs and v-SNAREs form an α-helix bundle known as the core-trans-complex, achieved by zipping SNARE proteins together to form a more stable cis-complex (Figure 1).   <strong>Figure 1</strong>  Formation of the core-trans-complex and subsequent membrane fusionThe cis-complex contains the zero ionic layer, the main site of interaction between complexed proteins.  Within the zero ionic layer, arginine on synaptobrevin coordinates with carbonyl groups present on the other residues shown in Table 1.  The zero ionic layer is buried within leucine zipper domains, which act as a shield to solvent molecules.<strong>Table 1</strong>  Composition of cis-Complex Zero Ionic Layer   An early step in cis-complex disassembly is destabilization by the ATPase N-ethylmaleimide-sensitive factor (NSF), which initiates unzipping by breaking flanking leucine zipper regions, leading to vesicle reuptake.  Movement of NSF to the cell membrane is mediated by the cytoplasmic protein α-SNAP, which must first bind the N-terminal domain of syntaxin.To determine the effect of vesicle-bound synaptobrevin on the binding of α-SNAP to syntaxin, increasing amounts of recombinant His-tagged α-SNAP were added to a constant amount of syntaxin affixed to glutathione-agarose beads with or without synaptobrevin.  After incubation, bound proteins were recovered and quantitatively analyzed by immunoblotting.  Results are shown in Figure 2.   <strong>Figure 2</strong>  α-SNAP binding to syntaxin in the absence (square) or presence (circle) of synaptobrevin Adapted from Mcmahon HT, Südhof TC. Synaptic core complex of synaptobrevin, syntaxin, and SNAP25 forms high affinity alpha-SNAP binding site. J Biol Chem. 1995;270(5):2213-7. Which of the following amino acid substitutions is most likely to interrupt the interactions of the zero ionic layer?</strong> A)R56K on synaptobrevin B)Q53R on SNAP-25 (Sn1) C)E224D on syntaxin D)Q174N on SNAP-25 (Sn2) <div style=padding-top: 35px> Figure 2  α-SNAP binding to syntaxin in the absence (square) or presence (circle) of synaptobrevin
Adapted from Mcmahon HT, Südhof TC. Synaptic core complex of synaptobrevin, syntaxin, and SNAP25 forms high affinity alpha-SNAP binding site. J Biol Chem. 1995;270(5):2213-7.
Which of the following amino acid substitutions is most likely to interrupt the interactions of the zero ionic layer?

A)R56K on synaptobrevin
B)Q53R on SNAP-25 (Sn1)
C)E224D on syntaxin
D)Q174N on SNAP-25 (Sn2)
Question
Passage
The innate immune system relies heavily on the phagocytic action of neutrophils, mobile white blood cells that engulf and degrade bacteria and viruses as the first line of host defense against invading pathogens.  One mechanism for eliminating viruses engulfed in the phagosome involves the degradation of viral proteins by neutrophil serine proteases (NSPs).NSPs, which form part of the chymotrypsin family of serine proteases, cleave viral proteins using a catalytic triad relay system.  Originally discovered in granules released by neutrophils, NSP4 is a novel monomeric serine protease that has been studied to elucidate the catalytic mechanism of NSPs.  Prior experimental data suggest that NSP4 alters its tertiary structure upon substrate binding and cleaves viral proteins using the acylation reaction shown in Figure 1.
<strong>Passage The innate immune system relies heavily on the phagocytic action of neutrophils, mobile white blood cells that engulf and degrade bacteria and viruses as the first line of host defense against invading pathogens.  One mechanism for eliminating viruses engulfed in the phagosome involves the degradation of viral proteins by neutrophil serine proteases (NSPs).NSPs, which form part of the chymotrypsin family of serine proteases, cleave viral proteins using a catalytic triad relay system.  Originally discovered in granules released by neutrophils, NSP4 is a novel monomeric serine protease that has been studied to elucidate the catalytic mechanism of NSPs.  Prior experimental data suggest that NSP4 alters its tertiary structure upon substrate binding and cleaves viral proteins using the acylation reaction shown in Figure 1.   <strong>Figure 1</strong>  Degradation of viral proteins by acylation of NSP4Computational methods were used to identify the energetic parameters of reactions between NSP4 and synthetic viral proteins.  To ensure that simulated reactions resembled physiological conditions, algorithms were adjusted to account for the enzyme being in an aqueous environment.  The rate-determining step in the acylation reaction was determined by calculating the changes in free energy in both the enzyme and substrate (Figure 2).   <strong>Figure 2</strong>  Free energy profiles of synthetic viral protein cleavageKnowledge of amino acid frequency distribution at an enzymatic active site may facilitate the design of novel active sites and enzyme-specific inhibitors.  Researchers analyzed the composition of amino acids that form the NSP4 active site during protein folding to study the characteristics of residues involved in active site formation (Figure 3).   <strong>Figure 3</strong>  Frequency distribution of amino acid residues at the NSP4 active site Adapted from Stapels DA, Geisbrecht BV, Rooijakkers SH. Neutrophil serine proteases in antibacterial defense. Curr Opin Microbiol. 2015;23:42-8. Which of the following is the most accurate statement regarding NSP4 binding of viral proteins?</strong> A)NSP4 undergoes an energy-requiring conformational change upon binding. B)NSP4 quaternary structure must undergo conformational changes upon binding. C)Heat is consumed when NSP4 binds its substrate. D)A NSP4 holoenzyme is formed after the release of products. <div style=padding-top: 35px> Figure 1  Degradation of viral proteins by acylation of NSP4Computational methods were used to identify the energetic parameters of reactions between NSP4 and synthetic viral proteins.  To ensure that simulated reactions resembled physiological conditions, algorithms were adjusted to account for the enzyme being in an aqueous environment.  The rate-determining step in the acylation reaction was determined by calculating the changes in free energy in both the enzyme and substrate (Figure 2).
<strong>Passage The innate immune system relies heavily on the phagocytic action of neutrophils, mobile white blood cells that engulf and degrade bacteria and viruses as the first line of host defense against invading pathogens.  One mechanism for eliminating viruses engulfed in the phagosome involves the degradation of viral proteins by neutrophil serine proteases (NSPs).NSPs, which form part of the chymotrypsin family of serine proteases, cleave viral proteins using a catalytic triad relay system.  Originally discovered in granules released by neutrophils, NSP4 is a novel monomeric serine protease that has been studied to elucidate the catalytic mechanism of NSPs.  Prior experimental data suggest that NSP4 alters its tertiary structure upon substrate binding and cleaves viral proteins using the acylation reaction shown in Figure 1.   <strong>Figure 1</strong>  Degradation of viral proteins by acylation of NSP4Computational methods were used to identify the energetic parameters of reactions between NSP4 and synthetic viral proteins.  To ensure that simulated reactions resembled physiological conditions, algorithms were adjusted to account for the enzyme being in an aqueous environment.  The rate-determining step in the acylation reaction was determined by calculating the changes in free energy in both the enzyme and substrate (Figure 2).   <strong>Figure 2</strong>  Free energy profiles of synthetic viral protein cleavageKnowledge of amino acid frequency distribution at an enzymatic active site may facilitate the design of novel active sites and enzyme-specific inhibitors.  Researchers analyzed the composition of amino acids that form the NSP4 active site during protein folding to study the characteristics of residues involved in active site formation (Figure 3).   <strong>Figure 3</strong>  Frequency distribution of amino acid residues at the NSP4 active site Adapted from Stapels DA, Geisbrecht BV, Rooijakkers SH. Neutrophil serine proteases in antibacterial defense. Curr Opin Microbiol. 2015;23:42-8. Which of the following is the most accurate statement regarding NSP4 binding of viral proteins?</strong> A)NSP4 undergoes an energy-requiring conformational change upon binding. B)NSP4 quaternary structure must undergo conformational changes upon binding. C)Heat is consumed when NSP4 binds its substrate. D)A NSP4 holoenzyme is formed after the release of products. <div style=padding-top: 35px> Figure 2  Free energy profiles of synthetic viral protein cleavageKnowledge of amino acid frequency distribution at an enzymatic active site may facilitate the design of novel active sites and enzyme-specific inhibitors.  Researchers analyzed the composition of amino acids that form the NSP4 active site during protein folding to study the characteristics of residues involved in active site formation (Figure 3).
<strong>Passage The innate immune system relies heavily on the phagocytic action of neutrophils, mobile white blood cells that engulf and degrade bacteria and viruses as the first line of host defense against invading pathogens.  One mechanism for eliminating viruses engulfed in the phagosome involves the degradation of viral proteins by neutrophil serine proteases (NSPs).NSPs, which form part of the chymotrypsin family of serine proteases, cleave viral proteins using a catalytic triad relay system.  Originally discovered in granules released by neutrophils, NSP4 is a novel monomeric serine protease that has been studied to elucidate the catalytic mechanism of NSPs.  Prior experimental data suggest that NSP4 alters its tertiary structure upon substrate binding and cleaves viral proteins using the acylation reaction shown in Figure 1.   <strong>Figure 1</strong>  Degradation of viral proteins by acylation of NSP4Computational methods were used to identify the energetic parameters of reactions between NSP4 and synthetic viral proteins.  To ensure that simulated reactions resembled physiological conditions, algorithms were adjusted to account for the enzyme being in an aqueous environment.  The rate-determining step in the acylation reaction was determined by calculating the changes in free energy in both the enzyme and substrate (Figure 2).   <strong>Figure 2</strong>  Free energy profiles of synthetic viral protein cleavageKnowledge of amino acid frequency distribution at an enzymatic active site may facilitate the design of novel active sites and enzyme-specific inhibitors.  Researchers analyzed the composition of amino acids that form the NSP4 active site during protein folding to study the characteristics of residues involved in active site formation (Figure 3).   <strong>Figure 3</strong>  Frequency distribution of amino acid residues at the NSP4 active site Adapted from Stapels DA, Geisbrecht BV, Rooijakkers SH. Neutrophil serine proteases in antibacterial defense. Curr Opin Microbiol. 2015;23:42-8. Which of the following is the most accurate statement regarding NSP4 binding of viral proteins?</strong> A)NSP4 undergoes an energy-requiring conformational change upon binding. B)NSP4 quaternary structure must undergo conformational changes upon binding. C)Heat is consumed when NSP4 binds its substrate. D)A NSP4 holoenzyme is formed after the release of products. <div style=padding-top: 35px> Figure 3  Frequency distribution of amino acid residues at the NSP4 active site
Adapted from Stapels DA, Geisbrecht BV, Rooijakkers SH. Neutrophil serine proteases in antibacterial defense. Curr Opin Microbiol. 2015;23:42-8.
Which of the following is the most accurate statement regarding NSP4 binding of viral proteins?

A)NSP4 undergoes an energy-requiring conformational change upon binding.
B)NSP4 quaternary structure must undergo conformational changes upon binding.
C)Heat is consumed when NSP4 binds its substrate.
D)A NSP4 holoenzyme is formed after the release of products.
Question
Passage
Presynaptic nerve terminals release neurotransmitters via synaptic vesicle exocytosis.  This action is mediated by the membrane-bound target-SNARE (t-SNARE) proteins syntaxin and SNAP-25, and the vesicle-associated SNARE (v-SNARE) protein synaptobrevin.  Membrane fusion is initiated when the t-SNAREs and v-SNAREs form an α-helix bundle known as the core-trans-complex, achieved by zipping SNARE proteins together to form a more stable cis-complex (Figure 1).
<strong>Passage Presynaptic nerve terminals release neurotransmitters via synaptic vesicle exocytosis.  This action is mediated by the membrane-bound target-SNARE (t-SNARE) proteins syntaxin and SNAP-25, and the vesicle-associated SNARE (v-SNARE) protein synaptobrevin.  Membrane fusion is initiated when the t-SNAREs and v-SNAREs form an α-helix bundle known as the core-trans-complex, achieved by zipping SNARE proteins together to form a more stable cis-complex (Figure 1).   <strong>Figure 1</strong>  Formation of the core-trans-complex and subsequent membrane fusionThe cis-complex contains the zero ionic layer, the main site of interaction between complexed proteins.  Within the zero ionic layer, arginine on synaptobrevin coordinates with carbonyl groups present on the other residues shown in Table 1.  The zero ionic layer is buried within leucine zipper domains, which act as a shield to solvent molecules.<strong>Table 1</strong>  Composition of cis-Complex Zero Ionic Layer   An early step in cis-complex disassembly is destabilization by the ATPase N-ethylmaleimide-sensitive factor (NSF), which initiates unzipping by breaking flanking leucine zipper regions, leading to vesicle reuptake.  Movement of NSF to the cell membrane is mediated by the cytoplasmic protein α-SNAP, which must first bind the N-terminal domain of syntaxin.To determine the effect of vesicle-bound synaptobrevin on the binding of α-SNAP to syntaxin, increasing amounts of recombinant His-tagged α-SNAP were added to a constant amount of syntaxin affixed to glutathione-agarose beads with or without synaptobrevin.  After incubation, bound proteins were recovered and quantitatively analyzed by immunoblotting.  Results are shown in Figure 2.   <strong>Figure 2</strong>  α-SNAP binding to syntaxin in the absence (square) or presence (circle) of synaptobrevin Adapted from Mcmahon HT, Südhof TC. Synaptic core complex of synaptobrevin, syntaxin, and SNAP25 forms high affinity alpha-SNAP binding site. J Biol Chem. 1995;270(5):2213-7. Which of the following statements regarding the binding of α-SNAP to syntaxin is best supported by the results shown in Figure 2?</strong> A)Binding does not occur in the presence of synaptobrevin. B)Synaptobrevin induces a conformation change in syntaxin that results in lower binding affinity. C)In the absence of synaptobrevin, binding does not saturate under the conditions of the experiment. D)Interaction of synaptobrevin and syntaxin raises the K<sub>d</sub> for the dissociation of syntaxin from α-SNAP. <div style=padding-top: 35px> Figure 1  Formation of the core-trans-complex and subsequent membrane fusionThe cis-complex contains the zero ionic layer, the main site of interaction between complexed proteins.  Within the zero ionic layer, arginine on synaptobrevin coordinates with carbonyl groups present on the other residues shown in Table 1.  The zero ionic layer is buried within leucine zipper domains, which act as a shield to solvent molecules.Table 1  Composition of cis-Complex Zero Ionic Layer
<strong>Passage Presynaptic nerve terminals release neurotransmitters via synaptic vesicle exocytosis.  This action is mediated by the membrane-bound target-SNARE (t-SNARE) proteins syntaxin and SNAP-25, and the vesicle-associated SNARE (v-SNARE) protein synaptobrevin.  Membrane fusion is initiated when the t-SNAREs and v-SNAREs form an α-helix bundle known as the core-trans-complex, achieved by zipping SNARE proteins together to form a more stable cis-complex (Figure 1).   <strong>Figure 1</strong>  Formation of the core-trans-complex and subsequent membrane fusionThe cis-complex contains the zero ionic layer, the main site of interaction between complexed proteins.  Within the zero ionic layer, arginine on synaptobrevin coordinates with carbonyl groups present on the other residues shown in Table 1.  The zero ionic layer is buried within leucine zipper domains, which act as a shield to solvent molecules.<strong>Table 1</strong>  Composition of cis-Complex Zero Ionic Layer   An early step in cis-complex disassembly is destabilization by the ATPase N-ethylmaleimide-sensitive factor (NSF), which initiates unzipping by breaking flanking leucine zipper regions, leading to vesicle reuptake.  Movement of NSF to the cell membrane is mediated by the cytoplasmic protein α-SNAP, which must first bind the N-terminal domain of syntaxin.To determine the effect of vesicle-bound synaptobrevin on the binding of α-SNAP to syntaxin, increasing amounts of recombinant His-tagged α-SNAP were added to a constant amount of syntaxin affixed to glutathione-agarose beads with or without synaptobrevin.  After incubation, bound proteins were recovered and quantitatively analyzed by immunoblotting.  Results are shown in Figure 2.   <strong>Figure 2</strong>  α-SNAP binding to syntaxin in the absence (square) or presence (circle) of synaptobrevin Adapted from Mcmahon HT, Südhof TC. Synaptic core complex of synaptobrevin, syntaxin, and SNAP25 forms high affinity alpha-SNAP binding site. J Biol Chem. 1995;270(5):2213-7. Which of the following statements regarding the binding of α-SNAP to syntaxin is best supported by the results shown in Figure 2?</strong> A)Binding does not occur in the presence of synaptobrevin. B)Synaptobrevin induces a conformation change in syntaxin that results in lower binding affinity. C)In the absence of synaptobrevin, binding does not saturate under the conditions of the experiment. D)Interaction of synaptobrevin and syntaxin raises the K<sub>d</sub> for the dissociation of syntaxin from α-SNAP. <div style=padding-top: 35px> An early step in cis-complex disassembly is destabilization by the ATPase N-ethylmaleimide-sensitive factor (NSF), which initiates unzipping by breaking flanking leucine zipper regions, leading to vesicle reuptake.  Movement of NSF to the cell membrane is mediated by the cytoplasmic protein α-SNAP, which must first bind the N-terminal domain of syntaxin.To determine the effect of vesicle-bound synaptobrevin on the binding of α-SNAP to syntaxin, increasing amounts of recombinant His-tagged α-SNAP were added to a constant amount of syntaxin affixed to glutathione-agarose beads with or without synaptobrevin.  After incubation, bound proteins were recovered and quantitatively analyzed by immunoblotting.  Results are shown in Figure 2.
<strong>Passage Presynaptic nerve terminals release neurotransmitters via synaptic vesicle exocytosis.  This action is mediated by the membrane-bound target-SNARE (t-SNARE) proteins syntaxin and SNAP-25, and the vesicle-associated SNARE (v-SNARE) protein synaptobrevin.  Membrane fusion is initiated when the t-SNAREs and v-SNAREs form an α-helix bundle known as the core-trans-complex, achieved by zipping SNARE proteins together to form a more stable cis-complex (Figure 1).   <strong>Figure 1</strong>  Formation of the core-trans-complex and subsequent membrane fusionThe cis-complex contains the zero ionic layer, the main site of interaction between complexed proteins.  Within the zero ionic layer, arginine on synaptobrevin coordinates with carbonyl groups present on the other residues shown in Table 1.  The zero ionic layer is buried within leucine zipper domains, which act as a shield to solvent molecules.<strong>Table 1</strong>  Composition of cis-Complex Zero Ionic Layer   An early step in cis-complex disassembly is destabilization by the ATPase N-ethylmaleimide-sensitive factor (NSF), which initiates unzipping by breaking flanking leucine zipper regions, leading to vesicle reuptake.  Movement of NSF to the cell membrane is mediated by the cytoplasmic protein α-SNAP, which must first bind the N-terminal domain of syntaxin.To determine the effect of vesicle-bound synaptobrevin on the binding of α-SNAP to syntaxin, increasing amounts of recombinant His-tagged α-SNAP were added to a constant amount of syntaxin affixed to glutathione-agarose beads with or without synaptobrevin.  After incubation, bound proteins were recovered and quantitatively analyzed by immunoblotting.  Results are shown in Figure 2.   <strong>Figure 2</strong>  α-SNAP binding to syntaxin in the absence (square) or presence (circle) of synaptobrevin Adapted from Mcmahon HT, Südhof TC. Synaptic core complex of synaptobrevin, syntaxin, and SNAP25 forms high affinity alpha-SNAP binding site. J Biol Chem. 1995;270(5):2213-7. Which of the following statements regarding the binding of α-SNAP to syntaxin is best supported by the results shown in Figure 2?</strong> A)Binding does not occur in the presence of synaptobrevin. B)Synaptobrevin induces a conformation change in syntaxin that results in lower binding affinity. C)In the absence of synaptobrevin, binding does not saturate under the conditions of the experiment. D)Interaction of synaptobrevin and syntaxin raises the K<sub>d</sub> for the dissociation of syntaxin from α-SNAP. <div style=padding-top: 35px> Figure 2  α-SNAP binding to syntaxin in the absence (square) or presence (circle) of synaptobrevin
Adapted from Mcmahon HT, Südhof TC. Synaptic core complex of synaptobrevin, syntaxin, and SNAP25 forms high affinity alpha-SNAP binding site. J Biol Chem. 1995;270(5):2213-7.
Which of the following statements regarding the binding of α-SNAP to syntaxin is best supported by the results shown in Figure 2?

A)Binding does not occur in the presence of synaptobrevin.
B)Synaptobrevin induces a conformation change in syntaxin that results in lower binding affinity.
C)In the absence of synaptobrevin, binding does not saturate under the conditions of the experiment.
D)Interaction of synaptobrevin and syntaxin raises the Kd for the dissociation of syntaxin from α-SNAP.
Question
Passage
The bacterium Clostridium difficile secretes protein toxins TcdA and TcdB, two homologues associated with C. difficile-related colitis.  Tcd proteins enter host intestinal cells via endocytosis induced by interactions between the Tcd C-terminal domain and cell surface receptors.  Endocytosis is followed by translocation of the N-terminal glucosyltransferase domain (GTD) across the endosomal membrane.  The GTD remains anchored to endosomes by the central region of the protein, a transmembrane domain believed to form membrane pores and facilitate translocation.  Inositol hexakisphosphate (IP6) binds Tcd proteins, an interaction that is stabilized by salt bridges in the binding pocket (Figure 1).
<strong>Passage The bacterium Clostridium difficile secretes protein toxins TcdA and TcdB, two homologues associated with C. difficile-related colitis.  Tcd proteins enter host intestinal cells via endocytosis induced by interactions between the Tcd C-terminal domain and cell surface receptors.  Endocytosis is followed by translocation of the N-terminal glucosyltransferase domain (GTD) across the endosomal membrane.  The GTD remains anchored to endosomes by the central region of the protein, a transmembrane domain believed to form membrane pores and facilitate translocation.  Inositol hexakisphosphate (IP6) binds Tcd proteins, an interaction that is stabilized by salt bridges in the binding pocket (Figure 1).   <strong>Figure 1</strong>  Salt bridges formed between IP6 and the amino acids in the binding pocketThis interaction induces a conformational change that causes a molecular flap to move away from the catalytic site.  The catalytic site then mediates intramolecular cleavage in a reaction known as autoprocessing.  This reaction results in the release of GTD into the cytosol, where it becomes active.To better understand the relationship between IP6 binding and catalytic activity, autoprocessing assays were performed.  Researchers mutated histidine to alanine at positions 759 and 757 in the flap regions of TcdA and TcdB, respectively.  They then compared the autoprocessing activities of H759A and H757A mutants to those of wild-type TcdA and TcdB at varying concentrations of IP6 (Figure 2).   <strong>Figure 2</strong>  Percent cleavage of wild-type and mutant Tcd by autoprocessing Adapted from Chumbler NM, Rutherford SA, Zhang Z, et al. Crystal structure of Clostridium difficile toxin A. Nat Microbiol. 2016;1:15002. The first step of the autoprocessing reaction mechanism described in the passage involves modification of a thiol in the active site by an amino acid functioning as a general base.  This action is likely to enhance protease activity by:</strong> A)the deprotonation of cysteine, which results in an anionic sulfur with increased nucleophilicity. B)the protonation of serine, which results in a structure with improved capacity to act as a leaving group. C)the deprotonation of serine, which results in an anionic oxygen with increased nucleophilicity. D)the protonation of cysteine, which results in a structure with improved capacity to act as a leaving group. <div style=padding-top: 35px> Figure 1  Salt bridges formed between IP6 and the amino acids in the binding pocketThis interaction induces a conformational change that causes a molecular flap to move away from the catalytic site.  The catalytic site then mediates intramolecular cleavage in a reaction known as autoprocessing.  This reaction results in the release of GTD into the cytosol, where it becomes active.To better understand the relationship between IP6 binding and catalytic activity, autoprocessing assays were performed.  Researchers mutated histidine to alanine at positions 759 and 757 in the flap regions of TcdA and TcdB, respectively.  They then compared the autoprocessing activities of H759A and H757A mutants to those of wild-type TcdA and TcdB at varying concentrations of IP6 (Figure 2).
<strong>Passage The bacterium Clostridium difficile secretes protein toxins TcdA and TcdB, two homologues associated with C. difficile-related colitis.  Tcd proteins enter host intestinal cells via endocytosis induced by interactions between the Tcd C-terminal domain and cell surface receptors.  Endocytosis is followed by translocation of the N-terminal glucosyltransferase domain (GTD) across the endosomal membrane.  The GTD remains anchored to endosomes by the central region of the protein, a transmembrane domain believed to form membrane pores and facilitate translocation.  Inositol hexakisphosphate (IP6) binds Tcd proteins, an interaction that is stabilized by salt bridges in the binding pocket (Figure 1).   <strong>Figure 1</strong>  Salt bridges formed between IP6 and the amino acids in the binding pocketThis interaction induces a conformational change that causes a molecular flap to move away from the catalytic site.  The catalytic site then mediates intramolecular cleavage in a reaction known as autoprocessing.  This reaction results in the release of GTD into the cytosol, where it becomes active.To better understand the relationship between IP6 binding and catalytic activity, autoprocessing assays were performed.  Researchers mutated histidine to alanine at positions 759 and 757 in the flap regions of TcdA and TcdB, respectively.  They then compared the autoprocessing activities of H759A and H757A mutants to those of wild-type TcdA and TcdB at varying concentrations of IP6 (Figure 2).   <strong>Figure 2</strong>  Percent cleavage of wild-type and mutant Tcd by autoprocessing Adapted from Chumbler NM, Rutherford SA, Zhang Z, et al. Crystal structure of Clostridium difficile toxin A. Nat Microbiol. 2016;1:15002. The first step of the autoprocessing reaction mechanism described in the passage involves modification of a thiol in the active site by an amino acid functioning as a general base.  This action is likely to enhance protease activity by:</strong> A)the deprotonation of cysteine, which results in an anionic sulfur with increased nucleophilicity. B)the protonation of serine, which results in a structure with improved capacity to act as a leaving group. C)the deprotonation of serine, which results in an anionic oxygen with increased nucleophilicity. D)the protonation of cysteine, which results in a structure with improved capacity to act as a leaving group. <div style=padding-top: 35px> Figure 2  Percent cleavage of wild-type and mutant Tcd by autoprocessing
Adapted from Chumbler NM, Rutherford SA, Zhang Z, et al. Crystal structure of Clostridium difficile toxin A. Nat Microbiol. 2016;1:15002.
The first step of the autoprocessing reaction mechanism described in the passage involves modification of a thiol in the active site by an amino acid functioning as a general base.  This action is likely to enhance protease activity by:

A)the deprotonation of cysteine, which results in an anionic sulfur with increased nucleophilicity.
B)the protonation of serine, which results in a structure with improved capacity to act as a leaving group.
C)the deprotonation of serine, which results in an anionic oxygen with increased nucleophilicity.
D)the protonation of cysteine, which results in a structure with improved capacity to act as a leaving group.
Question
Passage
Spinocerebellar ataxia 3 (SCA3) is a neurodegenerative disease that manifests as a progressive decrease in coordination of limbs and frequently results in impaired speech and eye coordination.  It is associated with extension of the polyglutamine (polyQ) region of the ataxin-3 protein.  The polyQ region is encoded by a series of consecutive CAG codons known as poly-CAG repeats.  These regions vary in length from one person to another, ranging from as few as 10 to as many as 80 repeats.  SCA3 has been reported in patients with polyQ regions exceeding ~55 repeats, and increased polyQ length correlates with earlier onset of the disease and greater clinical severity.Circular dichroism (CD) is a method of assessing protein secondary structure.  It measures a molecule's ability to absorb left- and right-handed circularly polarized light of varying wavelengths.  The absorption difference is known as "ellipticity," denoted by Δε.  Alpha-helices have a maximum Δε at 190 nm, and beta-sheets have a maximum Δε at 200 nm.CD results show that as the length of the ataxin-3 polyQ region increases, alpha-helical nature is lost and the protein aggregates, ultimately precipitating out of solution and depositing in brain and other tissues.  Furthermore, as proteins aggregate, they form beta-sheets.  These beta-sheets are in the parallel orientation, and each sheet can interact with sheets in other proteins to form long, insoluble structures known as amyloid fibers (Figure 1).
<strong>Passage Spinocerebellar ataxia 3 (SCA3) is a neurodegenerative disease that manifests as a progressive decrease in coordination of limbs and frequently results in impaired speech and eye coordination.  It is associated with extension of the polyglutamine (polyQ) region of the ataxin-3 protein.  The polyQ region is encoded by a series of consecutive CAG codons known as poly-CAG repeats.  These regions vary in length from one person to another, ranging from as few as 10 to as many as 80 repeats.  SCA3 has been reported in patients with polyQ regions exceeding ~55 repeats, and increased polyQ length correlates with earlier onset of the disease and greater clinical severity.Circular dichroism (CD) is a method of assessing protein secondary structure.  It measures a molecule's ability to absorb left- and right-handed circularly polarized light of varying wavelengths.  The absorption difference is known as ellipticity, denoted by Δε.  Alpha-helices have a maximum Δε at 190 nm, and beta-sheets have a maximum Δε at 200 nm.CD results show that as the length of the ataxin-3 polyQ region increases, alpha-helical nature is lost and the protein aggregates, ultimately precipitating out of solution and depositing in brain and other tissues.  Furthermore, as proteins aggregate, they form beta-sheets.  These beta-sheets are in the parallel orientation, and each sheet can interact with sheets in other proteins to form long, insoluble structures known as amyloid fibers (Figure 1).   <strong>Figure 1</strong>  Depiction of the ataxin-3 polyQ region shifting from alpha-helical (cylinders) to beta-sheet (arrows) structure and aggregatingGlutamine can be encoded by both CAG and CAA codons.  Researchers investigated survival rates in fruit flies expressing ataxin-3 with polyQ regions of equal length encoded by either CAG-CAG or CAA-CAG repeats (Table 1).  The protein products had identical amino acid sequences.<strong>Table 1</strong>  Fruit Fly Survival Rates Relative to Ataxin-3 Expression   Adapted from Bevivino AE, Loll PJ. An expanded glutamine repeat destabilizes native ataxin-3 structure and mediates formation of parallel beta -fibrils. Proc Natl Acad Sci USA. 2001;98(21):11955-60. Which of the following could increase the stability of the beta-conformation of long polyglutamine regions?</strong> A)Stacking interactions between glutamine side chains B)Frequent beta-turns induced by glutamine flexibility C)Rigidity of glutamine residues that induces tight turns D)Hydrogen bonding between glutamine side chains <div style=padding-top: 35px> Figure 1  Depiction of the ataxin-3 polyQ region shifting from alpha-helical (cylinders) to beta-sheet (arrows) structure and aggregatingGlutamine can be encoded by both CAG and CAA codons.  Researchers investigated survival rates in fruit flies expressing ataxin-3 with polyQ regions of equal length encoded by either CAG-CAG or CAA-CAG repeats (Table 1).  The protein products had identical amino acid sequences.Table 1  Fruit Fly Survival Rates Relative to Ataxin-3 Expression
<strong>Passage Spinocerebellar ataxia 3 (SCA3) is a neurodegenerative disease that manifests as a progressive decrease in coordination of limbs and frequently results in impaired speech and eye coordination.  It is associated with extension of the polyglutamine (polyQ) region of the ataxin-3 protein.  The polyQ region is encoded by a series of consecutive CAG codons known as poly-CAG repeats.  These regions vary in length from one person to another, ranging from as few as 10 to as many as 80 repeats.  SCA3 has been reported in patients with polyQ regions exceeding ~55 repeats, and increased polyQ length correlates with earlier onset of the disease and greater clinical severity.Circular dichroism (CD) is a method of assessing protein secondary structure.  It measures a molecule's ability to absorb left- and right-handed circularly polarized light of varying wavelengths.  The absorption difference is known as ellipticity, denoted by Δε.  Alpha-helices have a maximum Δε at 190 nm, and beta-sheets have a maximum Δε at 200 nm.CD results show that as the length of the ataxin-3 polyQ region increases, alpha-helical nature is lost and the protein aggregates, ultimately precipitating out of solution and depositing in brain and other tissues.  Furthermore, as proteins aggregate, they form beta-sheets.  These beta-sheets are in the parallel orientation, and each sheet can interact with sheets in other proteins to form long, insoluble structures known as amyloid fibers (Figure 1).   <strong>Figure 1</strong>  Depiction of the ataxin-3 polyQ region shifting from alpha-helical (cylinders) to beta-sheet (arrows) structure and aggregatingGlutamine can be encoded by both CAG and CAA codons.  Researchers investigated survival rates in fruit flies expressing ataxin-3 with polyQ regions of equal length encoded by either CAG-CAG or CAA-CAG repeats (Table 1).  The protein products had identical amino acid sequences.<strong>Table 1</strong>  Fruit Fly Survival Rates Relative to Ataxin-3 Expression   Adapted from Bevivino AE, Loll PJ. An expanded glutamine repeat destabilizes native ataxin-3 structure and mediates formation of parallel beta -fibrils. Proc Natl Acad Sci USA. 2001;98(21):11955-60. Which of the following could increase the stability of the beta-conformation of long polyglutamine regions?</strong> A)Stacking interactions between glutamine side chains B)Frequent beta-turns induced by glutamine flexibility C)Rigidity of glutamine residues that induces tight turns D)Hydrogen bonding between glutamine side chains <div style=padding-top: 35px> Adapted from Bevivino AE, Loll PJ. An expanded glutamine repeat destabilizes native ataxin-3 structure and mediates formation of parallel beta -fibrils. Proc Natl Acad Sci USA. 2001;98(21):11955-60.
Which of the following could increase the stability of the beta-conformation of long polyglutamine regions?

A)Stacking interactions between glutamine side chains
B)Frequent beta-turns induced by glutamine flexibility
C)Rigidity of glutamine residues that induces tight turns
D)Hydrogen bonding between glutamine side chains
Question
Passage
Spinocerebellar ataxia 3 (SCA3) is a neurodegenerative disease that manifests as a progressive decrease in coordination of limbs and frequently results in impaired speech and eye coordination.  It is associated with extension of the polyglutamine (polyQ) region of the ataxin-3 protein.  The polyQ region is encoded by a series of consecutive CAG codons known as poly-CAG repeats.  These regions vary in length from one person to another, ranging from as few as 10 to as many as 80 repeats.  SCA3 has been reported in patients with polyQ regions exceeding ~55 repeats, and increased polyQ length correlates with earlier onset of the disease and greater clinical severity.Circular dichroism (CD) is a method of assessing protein secondary structure.  It measures a molecule's ability to absorb left- and right-handed circularly polarized light of varying wavelengths.  The absorption difference is known as "ellipticity," denoted by Δε.  Alpha-helices have a maximum Δε at 190 nm, and beta-sheets have a maximum Δε at 200 nm.CD results show that as the length of the ataxin-3 polyQ region increases, alpha-helical nature is lost and the protein aggregates, ultimately precipitating out of solution and depositing in brain and other tissues.  Furthermore, as proteins aggregate, they form beta-sheets.  These beta-sheets are in the parallel orientation, and each sheet can interact with sheets in other proteins to form long, insoluble structures known as amyloid fibers (Figure 1).
<strong>Passage Spinocerebellar ataxia 3 (SCA3) is a neurodegenerative disease that manifests as a progressive decrease in coordination of limbs and frequently results in impaired speech and eye coordination.  It is associated with extension of the polyglutamine (polyQ) region of the ataxin-3 protein.  The polyQ region is encoded by a series of consecutive CAG codons known as poly-CAG repeats.  These regions vary in length from one person to another, ranging from as few as 10 to as many as 80 repeats.  SCA3 has been reported in patients with polyQ regions exceeding ~55 repeats, and increased polyQ length correlates with earlier onset of the disease and greater clinical severity.Circular dichroism (CD) is a method of assessing protein secondary structure.  It measures a molecule's ability to absorb left- and right-handed circularly polarized light of varying wavelengths.  The absorption difference is known as ellipticity, denoted by Δε.  Alpha-helices have a maximum Δε at 190 nm, and beta-sheets have a maximum Δε at 200 nm.CD results show that as the length of the ataxin-3 polyQ region increases, alpha-helical nature is lost and the protein aggregates, ultimately precipitating out of solution and depositing in brain and other tissues.  Furthermore, as proteins aggregate, they form beta-sheets.  These beta-sheets are in the parallel orientation, and each sheet can interact with sheets in other proteins to form long, insoluble structures known as amyloid fibers (Figure 1).   <strong>Figure 1</strong>  Depiction of the ataxin-3 polyQ region shifting from alpha-helical (cylinders) to beta-sheet (arrows) structure and aggregatingGlutamine can be encoded by both CAG and CAA codons.  Researchers investigated survival rates in fruit flies expressing ataxin-3 with polyQ regions of equal length encoded by either CAG-CAG or CAA-CAG repeats (Table 1).  The protein products had identical amino acid sequences.<strong>Table 1</strong>  Fruit Fly Survival Rates Relative to Ataxin-3 Expression   Adapted from Bevivino AE, Loll PJ. An expanded glutamine repeat destabilizes native ataxin-3 structure and mediates formation of parallel beta -fibrils. Proc Natl Acad Sci USA. 2001;98(21):11955-60. As the polyQ region increases in length, the resulting modification of ataxin-3 secondary structure would be observed as what change in the CD spectrum?</strong> A)An increase in the height of the peak at 190 nm B)Appearance of a peak at 190 nm and disappearance of a peak at 200 nm C)Disappearance of a peak at 190 nm and appearance of a peak at 200 nm D)A decrease in the height of the peak at 200 nm <div style=padding-top: 35px> Figure 1  Depiction of the ataxin-3 polyQ region shifting from alpha-helical (cylinders) to beta-sheet (arrows) structure and aggregatingGlutamine can be encoded by both CAG and CAA codons.  Researchers investigated survival rates in fruit flies expressing ataxin-3 with polyQ regions of equal length encoded by either CAG-CAG or CAA-CAG repeats (Table 1).  The protein products had identical amino acid sequences.Table 1  Fruit Fly Survival Rates Relative to Ataxin-3 Expression
<strong>Passage Spinocerebellar ataxia 3 (SCA3) is a neurodegenerative disease that manifests as a progressive decrease in coordination of limbs and frequently results in impaired speech and eye coordination.  It is associated with extension of the polyglutamine (polyQ) region of the ataxin-3 protein.  The polyQ region is encoded by a series of consecutive CAG codons known as poly-CAG repeats.  These regions vary in length from one person to another, ranging from as few as 10 to as many as 80 repeats.  SCA3 has been reported in patients with polyQ regions exceeding ~55 repeats, and increased polyQ length correlates with earlier onset of the disease and greater clinical severity.Circular dichroism (CD) is a method of assessing protein secondary structure.  It measures a molecule's ability to absorb left- and right-handed circularly polarized light of varying wavelengths.  The absorption difference is known as ellipticity, denoted by Δε.  Alpha-helices have a maximum Δε at 190 nm, and beta-sheets have a maximum Δε at 200 nm.CD results show that as the length of the ataxin-3 polyQ region increases, alpha-helical nature is lost and the protein aggregates, ultimately precipitating out of solution and depositing in brain and other tissues.  Furthermore, as proteins aggregate, they form beta-sheets.  These beta-sheets are in the parallel orientation, and each sheet can interact with sheets in other proteins to form long, insoluble structures known as amyloid fibers (Figure 1).   <strong>Figure 1</strong>  Depiction of the ataxin-3 polyQ region shifting from alpha-helical (cylinders) to beta-sheet (arrows) structure and aggregatingGlutamine can be encoded by both CAG and CAA codons.  Researchers investigated survival rates in fruit flies expressing ataxin-3 with polyQ regions of equal length encoded by either CAG-CAG or CAA-CAG repeats (Table 1).  The protein products had identical amino acid sequences.<strong>Table 1</strong>  Fruit Fly Survival Rates Relative to Ataxin-3 Expression   Adapted from Bevivino AE, Loll PJ. An expanded glutamine repeat destabilizes native ataxin-3 structure and mediates formation of parallel beta -fibrils. Proc Natl Acad Sci USA. 2001;98(21):11955-60. As the polyQ region increases in length, the resulting modification of ataxin-3 secondary structure would be observed as what change in the CD spectrum?</strong> A)An increase in the height of the peak at 190 nm B)Appearance of a peak at 190 nm and disappearance of a peak at 200 nm C)Disappearance of a peak at 190 nm and appearance of a peak at 200 nm D)A decrease in the height of the peak at 200 nm <div style=padding-top: 35px> Adapted from Bevivino AE, Loll PJ. An expanded glutamine repeat destabilizes native ataxin-3 structure and mediates formation of parallel beta -fibrils. Proc Natl Acad Sci USA. 2001;98(21):11955-60.
As the polyQ region increases in length, the resulting modification of ataxin-3 secondary structure would be observed as what change in the CD spectrum?

A)An increase in the height of the peak at 190 nm
B)Appearance of a peak at 190 nm and disappearance of a peak at 200 nm
C)Disappearance of a peak at 190 nm and appearance of a peak at 200 nm
D)A decrease in the height of the peak at 200 nm
Question
Passage
The liver plays a central role in maintaining blood glucose homoeostasis.  It contains the highest concentration of glycogen of any organ in the body and is one of few organs that can regenerate glucose from metabolic byproducts.  The liver can replenish glucose in muscle and brain tissue during times of fasting, and it can help prevent lactate accumulation during intense physical activity.Von Gierke disease is a rare autosomal recessive disorder that arises from inactivating mutations in the liver enzyme glucose 6-phosphatase (G6Pase).  It affects roughly 1 in 100,000 individuals, and the resulting loss of both hormonal sensitivity and enzymatic activity leads to hypoglycemia (low blood sugar).  Von Gierke can also cause an increase in blood acidity concurrent with lactate build-up.  Patients typically become symptomatic shortly after birth with convulsions, hyperventilation, and tremors.  Left untreated, patients may develop gout, osteoporosis, and life-threatening complications such as kidney failure and liver tumors.In an effort to examine the biochemical consequences of this disorder, scientists generated a genetically engineered mouse model with liver G6Pase expression under the control of the Tet-Off system at both alleles.  Under this system, addition of the small molecule tetracycline in the water source of the mouse rapidly shuts off G6Pase gene expression and therefore can recapitulate von Gierke disease.  Blood glucose and pH levels were measured daily in two groups of genetically engineered mice over 20 days: group A mice received no tetracycline and group B mice were given tetracycline starting at day 10.  All mice were fed identical low-sugar diets throughout the experiment.
Adapted from Froissart R, Piraud M, Boudjemline AM, et al. Glucose-6-phosphatase deficiency. Orphanet J Rare Dis. 2011;6:27.
Inactivation of which enzyme is most likely to result in physiological effects similar to those of von Gierke disease?

A)Glucose 6-phosphate dehydrogenase
B)Pyruvate decarboxylase
C)Phosphoenolpyruvate carboxykinase
D)Acyl-CoA dehydrogenase
Question
Passage
The innate immune system relies heavily on the phagocytic action of neutrophils, mobile white blood cells that engulf and degrade bacteria and viruses as the first line of host defense against invading pathogens.  One mechanism for eliminating viruses engulfed in the phagosome involves the degradation of viral proteins by neutrophil serine proteases (NSPs).NSPs, which form part of the chymotrypsin family of serine proteases, cleave viral proteins using a catalytic triad relay system.  Originally discovered in granules released by neutrophils, NSP4 is a novel monomeric serine protease that has been studied to elucidate the catalytic mechanism of NSPs.  Prior experimental data suggest that NSP4 alters its tertiary structure upon substrate binding and cleaves viral proteins using the acylation reaction shown in Figure 1.
<strong>Passage The innate immune system relies heavily on the phagocytic action of neutrophils, mobile white blood cells that engulf and degrade bacteria and viruses as the first line of host defense against invading pathogens.  One mechanism for eliminating viruses engulfed in the phagosome involves the degradation of viral proteins by neutrophil serine proteases (NSPs).NSPs, which form part of the chymotrypsin family of serine proteases, cleave viral proteins using a catalytic triad relay system.  Originally discovered in granules released by neutrophils, NSP4 is a novel monomeric serine protease that has been studied to elucidate the catalytic mechanism of NSPs.  Prior experimental data suggest that NSP4 alters its tertiary structure upon substrate binding and cleaves viral proteins using the acylation reaction shown in Figure 1.   <strong>Figure 1</strong>  Degradation of viral proteins by acylation of NSP4Computational methods were used to identify the energetic parameters of reactions between NSP4 and synthetic viral proteins.  To ensure that simulated reactions resembled physiological conditions, algorithms were adjusted to account for the enzyme being in an aqueous environment.  The rate-determining step in the acylation reaction was determined by calculating the changes in free energy in both the enzyme and substrate (Figure 2).   <strong>Figure 2</strong>  Free energy profiles of synthetic viral protein cleavageKnowledge of amino acid frequency distribution at an enzymatic active site may facilitate the design of novel active sites and enzyme-specific inhibitors.  Researchers analyzed the composition of amino acids that form the NSP4 active site during protein folding to study the characteristics of residues involved in active site formation (Figure 3).   <strong>Figure 3</strong>  Frequency distribution of amino acid residues at the NSP4 active site Adapted from Stapels DA, Geisbrecht BV, Rooijakkers SH. Neutrophil serine proteases in antibacterial defense. Curr Opin Microbiol. 2015;23:42-8. As NSP4 folds, the water molecules surrounding it become:</strong> A)more ordered; ΔS is negative. B)more ordered; ΔS is positive. C)more disordered; ΔS is positive. D)more disordered; ΔS is negative. <div style=padding-top: 35px> Figure 1  Degradation of viral proteins by acylation of NSP4Computational methods were used to identify the energetic parameters of reactions between NSP4 and synthetic viral proteins.  To ensure that simulated reactions resembled physiological conditions, algorithms were adjusted to account for the enzyme being in an aqueous environment.  The rate-determining step in the acylation reaction was determined by calculating the changes in free energy in both the enzyme and substrate (Figure 2).
<strong>Passage The innate immune system relies heavily on the phagocytic action of neutrophils, mobile white blood cells that engulf and degrade bacteria and viruses as the first line of host defense against invading pathogens.  One mechanism for eliminating viruses engulfed in the phagosome involves the degradation of viral proteins by neutrophil serine proteases (NSPs).NSPs, which form part of the chymotrypsin family of serine proteases, cleave viral proteins using a catalytic triad relay system.  Originally discovered in granules released by neutrophils, NSP4 is a novel monomeric serine protease that has been studied to elucidate the catalytic mechanism of NSPs.  Prior experimental data suggest that NSP4 alters its tertiary structure upon substrate binding and cleaves viral proteins using the acylation reaction shown in Figure 1.   <strong>Figure 1</strong>  Degradation of viral proteins by acylation of NSP4Computational methods were used to identify the energetic parameters of reactions between NSP4 and synthetic viral proteins.  To ensure that simulated reactions resembled physiological conditions, algorithms were adjusted to account for the enzyme being in an aqueous environment.  The rate-determining step in the acylation reaction was determined by calculating the changes in free energy in both the enzyme and substrate (Figure 2).   <strong>Figure 2</strong>  Free energy profiles of synthetic viral protein cleavageKnowledge of amino acid frequency distribution at an enzymatic active site may facilitate the design of novel active sites and enzyme-specific inhibitors.  Researchers analyzed the composition of amino acids that form the NSP4 active site during protein folding to study the characteristics of residues involved in active site formation (Figure 3).   <strong>Figure 3</strong>  Frequency distribution of amino acid residues at the NSP4 active site Adapted from Stapels DA, Geisbrecht BV, Rooijakkers SH. Neutrophil serine proteases in antibacterial defense. Curr Opin Microbiol. 2015;23:42-8. As NSP4 folds, the water molecules surrounding it become:</strong> A)more ordered; ΔS is negative. B)more ordered; ΔS is positive. C)more disordered; ΔS is positive. D)more disordered; ΔS is negative. <div style=padding-top: 35px> Figure 2  Free energy profiles of synthetic viral protein cleavageKnowledge of amino acid frequency distribution at an enzymatic active site may facilitate the design of novel active sites and enzyme-specific inhibitors.  Researchers analyzed the composition of amino acids that form the NSP4 active site during protein folding to study the characteristics of residues involved in active site formation (Figure 3).
<strong>Passage The innate immune system relies heavily on the phagocytic action of neutrophils, mobile white blood cells that engulf and degrade bacteria and viruses as the first line of host defense against invading pathogens.  One mechanism for eliminating viruses engulfed in the phagosome involves the degradation of viral proteins by neutrophil serine proteases (NSPs).NSPs, which form part of the chymotrypsin family of serine proteases, cleave viral proteins using a catalytic triad relay system.  Originally discovered in granules released by neutrophils, NSP4 is a novel monomeric serine protease that has been studied to elucidate the catalytic mechanism of NSPs.  Prior experimental data suggest that NSP4 alters its tertiary structure upon substrate binding and cleaves viral proteins using the acylation reaction shown in Figure 1.   <strong>Figure 1</strong>  Degradation of viral proteins by acylation of NSP4Computational methods were used to identify the energetic parameters of reactions between NSP4 and synthetic viral proteins.  To ensure that simulated reactions resembled physiological conditions, algorithms were adjusted to account for the enzyme being in an aqueous environment.  The rate-determining step in the acylation reaction was determined by calculating the changes in free energy in both the enzyme and substrate (Figure 2).   <strong>Figure 2</strong>  Free energy profiles of synthetic viral protein cleavageKnowledge of amino acid frequency distribution at an enzymatic active site may facilitate the design of novel active sites and enzyme-specific inhibitors.  Researchers analyzed the composition of amino acids that form the NSP4 active site during protein folding to study the characteristics of residues involved in active site formation (Figure 3).   <strong>Figure 3</strong>  Frequency distribution of amino acid residues at the NSP4 active site Adapted from Stapels DA, Geisbrecht BV, Rooijakkers SH. Neutrophil serine proteases in antibacterial defense. Curr Opin Microbiol. 2015;23:42-8. As NSP4 folds, the water molecules surrounding it become:</strong> A)more ordered; ΔS is negative. B)more ordered; ΔS is positive. C)more disordered; ΔS is positive. D)more disordered; ΔS is negative. <div style=padding-top: 35px> Figure 3  Frequency distribution of amino acid residues at the NSP4 active site
Adapted from Stapels DA, Geisbrecht BV, Rooijakkers SH. Neutrophil serine proteases in antibacterial defense. Curr Opin Microbiol. 2015;23:42-8.
As NSP4 folds, the water molecules surrounding it become:

A)more ordered; ΔS is negative.
B)more ordered; ΔS is positive.
C)more disordered; ΔS is positive.
D)more disordered; ΔS is negative.
Question
Passage
The bacterium Clostridium difficile secretes protein toxins TcdA and TcdB, two homologues associated with C. difficile-related colitis.  Tcd proteins enter host intestinal cells via endocytosis induced by interactions between the Tcd C-terminal domain and cell surface receptors.  Endocytosis is followed by translocation of the N-terminal glucosyltransferase domain (GTD) across the endosomal membrane.  The GTD remains anchored to endosomes by the central region of the protein, a transmembrane domain believed to form membrane pores and facilitate translocation.  Inositol hexakisphosphate (IP6) binds Tcd proteins, an interaction that is stabilized by salt bridges in the binding pocket (Figure 1).
<strong>Passage The bacterium Clostridium difficile secretes protein toxins TcdA and TcdB, two homologues associated with C. difficile-related colitis.  Tcd proteins enter host intestinal cells via endocytosis induced by interactions between the Tcd C-terminal domain and cell surface receptors.  Endocytosis is followed by translocation of the N-terminal glucosyltransferase domain (GTD) across the endosomal membrane.  The GTD remains anchored to endosomes by the central region of the protein, a transmembrane domain believed to form membrane pores and facilitate translocation.  Inositol hexakisphosphate (IP6) binds Tcd proteins, an interaction that is stabilized by salt bridges in the binding pocket (Figure 1).   <strong>Figure 1</strong>  Salt bridges formed between IP6 and the amino acids in the binding pocketThis interaction induces a conformational change that causes a molecular flap to move away from the catalytic site.  The catalytic site then mediates intramolecular cleavage in a reaction known as autoprocessing.  This reaction results in the release of GTD into the cytosol, where it becomes active.To better understand the relationship between IP6 binding and catalytic activity, autoprocessing assays were performed.  Researchers mutated histidine to alanine at positions 759 and 757 in the flap regions of TcdA and TcdB, respectively.  They then compared the autoprocessing activities of H759A and H757A mutants to those of wild-type TcdA and TcdB at varying concentrations of IP6 (Figure 2).   <strong>Figure 2</strong>  Percent cleavage of wild-type and mutant Tcd by autoprocessing Adapted from Chumbler NM, Rutherford SA, Zhang Z, et al. Crystal structure of Clostridium difficile toxin A. Nat Microbiol. 2016;1:15002. Based on information given in the passage, stabilizing interactions are most likely to occur between phosphate groups on IP6 and which of the following amino acids lining the Tcd binding pocket?</strong> A)Lys<sup>704</sup> via electrostatic interactions B)Gly<sup>705</sup> via hydrophobic interactions C)Cys<sup>707</sup> via covalent bonding D)Asp<sup>709</sup> via ionic interactions <div style=padding-top: 35px> Figure 1  Salt bridges formed between IP6 and the amino acids in the binding pocketThis interaction induces a conformational change that causes a molecular flap to move away from the catalytic site.  The catalytic site then mediates intramolecular cleavage in a reaction known as autoprocessing.  This reaction results in the release of GTD into the cytosol, where it becomes active.To better understand the relationship between IP6 binding and catalytic activity, autoprocessing assays were performed.  Researchers mutated histidine to alanine at positions 759 and 757 in the flap regions of TcdA and TcdB, respectively.  They then compared the autoprocessing activities of H759A and H757A mutants to those of wild-type TcdA and TcdB at varying concentrations of IP6 (Figure 2).
<strong>Passage The bacterium Clostridium difficile secretes protein toxins TcdA and TcdB, two homologues associated with C. difficile-related colitis.  Tcd proteins enter host intestinal cells via endocytosis induced by interactions between the Tcd C-terminal domain and cell surface receptors.  Endocytosis is followed by translocation of the N-terminal glucosyltransferase domain (GTD) across the endosomal membrane.  The GTD remains anchored to endosomes by the central region of the protein, a transmembrane domain believed to form membrane pores and facilitate translocation.  Inositol hexakisphosphate (IP6) binds Tcd proteins, an interaction that is stabilized by salt bridges in the binding pocket (Figure 1).   <strong>Figure 1</strong>  Salt bridges formed between IP6 and the amino acids in the binding pocketThis interaction induces a conformational change that causes a molecular flap to move away from the catalytic site.  The catalytic site then mediates intramolecular cleavage in a reaction known as autoprocessing.  This reaction results in the release of GTD into the cytosol, where it becomes active.To better understand the relationship between IP6 binding and catalytic activity, autoprocessing assays were performed.  Researchers mutated histidine to alanine at positions 759 and 757 in the flap regions of TcdA and TcdB, respectively.  They then compared the autoprocessing activities of H759A and H757A mutants to those of wild-type TcdA and TcdB at varying concentrations of IP6 (Figure 2).   <strong>Figure 2</strong>  Percent cleavage of wild-type and mutant Tcd by autoprocessing Adapted from Chumbler NM, Rutherford SA, Zhang Z, et al. Crystal structure of Clostridium difficile toxin A. Nat Microbiol. 2016;1:15002. Based on information given in the passage, stabilizing interactions are most likely to occur between phosphate groups on IP6 and which of the following amino acids lining the Tcd binding pocket?</strong> A)Lys<sup>704</sup> via electrostatic interactions B)Gly<sup>705</sup> via hydrophobic interactions C)Cys<sup>707</sup> via covalent bonding D)Asp<sup>709</sup> via ionic interactions <div style=padding-top: 35px> Figure 2  Percent cleavage of wild-type and mutant Tcd by autoprocessing
Adapted from Chumbler NM, Rutherford SA, Zhang Z, et al. Crystal structure of Clostridium difficile toxin A. Nat Microbiol. 2016;1:15002.
Based on information given in the passage, stabilizing interactions are most likely to occur between phosphate groups on IP6 and which of the following amino acids lining the Tcd binding pocket?

A)Lys704 via electrostatic interactions
B)Gly705 via hydrophobic interactions
C)Cys707 via covalent bonding
D)Asp709 via ionic interactions
Question
Passage
The innate immune system relies heavily on the phagocytic action of neutrophils, mobile white blood cells that engulf and degrade bacteria and viruses as the first line of host defense against invading pathogens.  One mechanism for eliminating viruses engulfed in the phagosome involves the degradation of viral proteins by neutrophil serine proteases (NSPs).NSPs, which form part of the chymotrypsin family of serine proteases, cleave viral proteins using a catalytic triad relay system.  Originally discovered in granules released by neutrophils, NSP4 is a novel monomeric serine protease that has been studied to elucidate the catalytic mechanism of NSPs.  Prior experimental data suggest that NSP4 alters its tertiary structure upon substrate binding and cleaves viral proteins using the acylation reaction shown in Figure 1.
<strong>Passage The innate immune system relies heavily on the phagocytic action of neutrophils, mobile white blood cells that engulf and degrade bacteria and viruses as the first line of host defense against invading pathogens.  One mechanism for eliminating viruses engulfed in the phagosome involves the degradation of viral proteins by neutrophil serine proteases (NSPs).NSPs, which form part of the chymotrypsin family of serine proteases, cleave viral proteins using a catalytic triad relay system.  Originally discovered in granules released by neutrophils, NSP4 is a novel monomeric serine protease that has been studied to elucidate the catalytic mechanism of NSPs.  Prior experimental data suggest that NSP4 alters its tertiary structure upon substrate binding and cleaves viral proteins using the acylation reaction shown in Figure 1.   <strong>Figure 1</strong>  Degradation of viral proteins by acylation of NSP4Computational methods were used to identify the energetic parameters of reactions between NSP4 and synthetic viral proteins.  To ensure that simulated reactions resembled physiological conditions, algorithms were adjusted to account for the enzyme being in an aqueous environment.  The rate-determining step in the acylation reaction was determined by calculating the changes in free energy in both the enzyme and substrate (Figure 2).   <strong>Figure 2</strong>  Free energy profiles of synthetic viral protein cleavageKnowledge of amino acid frequency distribution at an enzymatic active site may facilitate the design of novel active sites and enzyme-specific inhibitors.  Researchers analyzed the composition of amino acids that form the NSP4 active site during protein folding to study the characteristics of residues involved in active site formation (Figure 3).   <strong>Figure 3</strong>  Frequency distribution of amino acid residues at the NSP4 active site Adapted from Stapels DA, Geisbrecht BV, Rooijakkers SH. Neutrophil serine proteases in antibacterial defense. Curr Opin Microbiol. 2015;23:42-8. Based on the passage, the cleavage of viral proteins by NSP4 is:</strong> A)an exergonic process moving in the reverse direction. B)an endergonic process moving in the forward direction. C)a nonspontaneous reaction requiring energy to proceed. D)a spontaneous reaction resulting in a release of energy. <div style=padding-top: 35px> Figure 1  Degradation of viral proteins by acylation of NSP4Computational methods were used to identify the energetic parameters of reactions between NSP4 and synthetic viral proteins.  To ensure that simulated reactions resembled physiological conditions, algorithms were adjusted to account for the enzyme being in an aqueous environment.  The rate-determining step in the acylation reaction was determined by calculating the changes in free energy in both the enzyme and substrate (Figure 2).
<strong>Passage The innate immune system relies heavily on the phagocytic action of neutrophils, mobile white blood cells that engulf and degrade bacteria and viruses as the first line of host defense against invading pathogens.  One mechanism for eliminating viruses engulfed in the phagosome involves the degradation of viral proteins by neutrophil serine proteases (NSPs).NSPs, which form part of the chymotrypsin family of serine proteases, cleave viral proteins using a catalytic triad relay system.  Originally discovered in granules released by neutrophils, NSP4 is a novel monomeric serine protease that has been studied to elucidate the catalytic mechanism of NSPs.  Prior experimental data suggest that NSP4 alters its tertiary structure upon substrate binding and cleaves viral proteins using the acylation reaction shown in Figure 1.   <strong>Figure 1</strong>  Degradation of viral proteins by acylation of NSP4Computational methods were used to identify the energetic parameters of reactions between NSP4 and synthetic viral proteins.  To ensure that simulated reactions resembled physiological conditions, algorithms were adjusted to account for the enzyme being in an aqueous environment.  The rate-determining step in the acylation reaction was determined by calculating the changes in free energy in both the enzyme and substrate (Figure 2).   <strong>Figure 2</strong>  Free energy profiles of synthetic viral protein cleavageKnowledge of amino acid frequency distribution at an enzymatic active site may facilitate the design of novel active sites and enzyme-specific inhibitors.  Researchers analyzed the composition of amino acids that form the NSP4 active site during protein folding to study the characteristics of residues involved in active site formation (Figure 3).   <strong>Figure 3</strong>  Frequency distribution of amino acid residues at the NSP4 active site Adapted from Stapels DA, Geisbrecht BV, Rooijakkers SH. Neutrophil serine proteases in antibacterial defense. Curr Opin Microbiol. 2015;23:42-8. Based on the passage, the cleavage of viral proteins by NSP4 is:</strong> A)an exergonic process moving in the reverse direction. B)an endergonic process moving in the forward direction. C)a nonspontaneous reaction requiring energy to proceed. D)a spontaneous reaction resulting in a release of energy. <div style=padding-top: 35px> Figure 2  Free energy profiles of synthetic viral protein cleavageKnowledge of amino acid frequency distribution at an enzymatic active site may facilitate the design of novel active sites and enzyme-specific inhibitors.  Researchers analyzed the composition of amino acids that form the NSP4 active site during protein folding to study the characteristics of residues involved in active site formation (Figure 3).
<strong>Passage The innate immune system relies heavily on the phagocytic action of neutrophils, mobile white blood cells that engulf and degrade bacteria and viruses as the first line of host defense against invading pathogens.  One mechanism for eliminating viruses engulfed in the phagosome involves the degradation of viral proteins by neutrophil serine proteases (NSPs).NSPs, which form part of the chymotrypsin family of serine proteases, cleave viral proteins using a catalytic triad relay system.  Originally discovered in granules released by neutrophils, NSP4 is a novel monomeric serine protease that has been studied to elucidate the catalytic mechanism of NSPs.  Prior experimental data suggest that NSP4 alters its tertiary structure upon substrate binding and cleaves viral proteins using the acylation reaction shown in Figure 1.   <strong>Figure 1</strong>  Degradation of viral proteins by acylation of NSP4Computational methods were used to identify the energetic parameters of reactions between NSP4 and synthetic viral proteins.  To ensure that simulated reactions resembled physiological conditions, algorithms were adjusted to account for the enzyme being in an aqueous environment.  The rate-determining step in the acylation reaction was determined by calculating the changes in free energy in both the enzyme and substrate (Figure 2).   <strong>Figure 2</strong>  Free energy profiles of synthetic viral protein cleavageKnowledge of amino acid frequency distribution at an enzymatic active site may facilitate the design of novel active sites and enzyme-specific inhibitors.  Researchers analyzed the composition of amino acids that form the NSP4 active site during protein folding to study the characteristics of residues involved in active site formation (Figure 3).   <strong>Figure 3</strong>  Frequency distribution of amino acid residues at the NSP4 active site Adapted from Stapels DA, Geisbrecht BV, Rooijakkers SH. Neutrophil serine proteases in antibacterial defense. Curr Opin Microbiol. 2015;23:42-8. Based on the passage, the cleavage of viral proteins by NSP4 is:</strong> A)an exergonic process moving in the reverse direction. B)an endergonic process moving in the forward direction. C)a nonspontaneous reaction requiring energy to proceed. D)a spontaneous reaction resulting in a release of energy. <div style=padding-top: 35px> Figure 3  Frequency distribution of amino acid residues at the NSP4 active site
Adapted from Stapels DA, Geisbrecht BV, Rooijakkers SH. Neutrophil serine proteases in antibacterial defense. Curr Opin Microbiol. 2015;23:42-8.
Based on the passage, the cleavage of viral proteins by NSP4 is:

A)an exergonic process moving in the reverse direction.
B)an endergonic process moving in the forward direction.
C)a nonspontaneous reaction requiring energy to proceed.
D)a spontaneous reaction resulting in a release of energy.
Question
Passage
The liver plays a central role in maintaining blood glucose homoeostasis.  It contains the highest concentration of glycogen of any organ in the body and is one of few organs that can regenerate glucose from metabolic byproducts.  The liver can replenish glucose in muscle and brain tissue during times of fasting, and it can help prevent lactate accumulation during intense physical activity.Von Gierke disease is a rare autosomal recessive disorder that arises from inactivating mutations in the liver enzyme glucose 6-phosphatase (G6Pase).  It affects roughly 1 in 100,000 individuals, and the resulting loss of both hormonal sensitivity and enzymatic activity leads to hypoglycemia (low blood sugar).  Von Gierke can also cause an increase in blood acidity concurrent with lactate build-up.  Patients typically become symptomatic shortly after birth with convulsions, hyperventilation, and tremors.  Left untreated, patients may develop gout, osteoporosis, and life-threatening complications such as kidney failure and liver tumors.In an effort to examine the biochemical consequences of this disorder, scientists generated a genetically engineered mouse model with liver G6Pase expression under the control of the Tet-Off system at both alleles.  Under this system, addition of the small molecule tetracycline in the water source of the mouse rapidly shuts off G6Pase gene expression and therefore can recapitulate von Gierke disease.  Blood glucose and pH levels were measured daily in two groups of genetically engineered mice over 20 days: group A mice received no tetracycline and group B mice were given tetracycline starting at day 10.  All mice were fed identical low-sugar diets throughout the experiment.
Adapted from Froissart R, Piraud M, Boudjemline AM, et al. Glucose-6-phosphatase deficiency. Orphanet J Rare Dis. 2011;6:27.
Group A mice, but not group B mice, could use which of the following dietary supplements to help maintain blood glucose levels after day 10?

A)Cholesterol
B)Alanine
C)Acetyl-CoA
D)Palmitic acid
Question
Passage
The liver plays a central role in maintaining blood glucose homoeostasis.  It contains the highest concentration of glycogen of any organ in the body and is one of few organs that can regenerate glucose from metabolic byproducts.  The liver can replenish glucose in muscle and brain tissue during times of fasting, and it can help prevent lactate accumulation during intense physical activity.Von Gierke disease is a rare autosomal recessive disorder that arises from inactivating mutations in the liver enzyme glucose 6-phosphatase (G6Pase).  It affects roughly 1 in 100,000 individuals, and the resulting loss of both hormonal sensitivity and enzymatic activity leads to hypoglycemia (low blood sugar).  Von Gierke can also cause an increase in blood acidity concurrent with lactate build-up.  Patients typically become symptomatic shortly after birth with convulsions, hyperventilation, and tremors.  Left untreated, patients may develop gout, osteoporosis, and life-threatening complications such as kidney failure and liver tumors.In an effort to examine the biochemical consequences of this disorder, scientists generated a genetically engineered mouse model with liver G6Pase expression under the control of the Tet-Off system at both alleles.  Under this system, addition of the small molecule tetracycline in the water source of the mouse rapidly shuts off G6Pase gene expression and therefore can recapitulate von Gierke disease.  Blood glucose and pH levels were measured daily in two groups of genetically engineered mice over 20 days: group A mice received no tetracycline and group B mice were given tetracycline starting at day 10.  All mice were fed identical low-sugar diets throughout the experiment.
Adapted from Froissart R, Piraud M, Boudjemline AM, et al. Glucose-6-phosphatase deficiency. Orphanet J Rare Dis. 2011;6:27.
Treatment with which of the following could help counteract hypoglycemia in patients with von Gierke disease?

A)Insulin
B)Vitamin A
C)Epinephrine
D)Starch
Question
Passage
The bacterium Clostridium difficile secretes protein toxins TcdA and TcdB, two homologues associated with C. difficile-related colitis.  Tcd proteins enter host intestinal cells via endocytosis induced by interactions between the Tcd C-terminal domain and cell surface receptors.  Endocytosis is followed by translocation of the N-terminal glucosyltransferase domain (GTD) across the endosomal membrane.  The GTD remains anchored to endosomes by the central region of the protein, a transmembrane domain believed to form membrane pores and facilitate translocation.  Inositol hexakisphosphate (IP6) binds Tcd proteins, an interaction that is stabilized by salt bridges in the binding pocket (Figure 1).
<strong>Passage The bacterium Clostridium difficile secretes protein toxins TcdA and TcdB, two homologues associated with C. difficile-related colitis.  Tcd proteins enter host intestinal cells via endocytosis induced by interactions between the Tcd C-terminal domain and cell surface receptors.  Endocytosis is followed by translocation of the N-terminal glucosyltransferase domain (GTD) across the endosomal membrane.  The GTD remains anchored to endosomes by the central region of the protein, a transmembrane domain believed to form membrane pores and facilitate translocation.  Inositol hexakisphosphate (IP6) binds Tcd proteins, an interaction that is stabilized by salt bridges in the binding pocket (Figure 1).   <strong>Figure 1</strong>  Salt bridges formed between IP6 and the amino acids in the binding pocketThis interaction induces a conformational change that causes a molecular flap to move away from the catalytic site.  The catalytic site then mediates intramolecular cleavage in a reaction known as autoprocessing.  This reaction results in the release of GTD into the cytosol, where it becomes active.To better understand the relationship between IP6 binding and catalytic activity, autoprocessing assays were performed.  Researchers mutated histidine to alanine at positions 759 and 757 in the flap regions of TcdA and TcdB, respectively.  They then compared the autoprocessing activities of H759A and H757A mutants to those of wild-type TcdA and TcdB at varying concentrations of IP6 (Figure 2).   <strong>Figure 2</strong>  Percent cleavage of wild-type and mutant Tcd by autoprocessing Adapted from Chumbler NM, Rutherford SA, Zhang Z, et al. Crystal structure of Clostridium difficile toxin A. Nat Microbiol. 2016;1:15002. Which conclusion about the effect of the H759A and H757A mutations is best supported by Figure 2?</strong> A)Mutant Tcd requires greater concentrations of IP6 to undergo autoprocessing. B)Tcd mutant protease activity is less dependent on IP6 than is wild-type activity. C)Alanine helps control the rate of autoprocessing. D)Tcd mutants have reduced affinity for IP6. <div style=padding-top: 35px> Figure 1  Salt bridges formed between IP6 and the amino acids in the binding pocketThis interaction induces a conformational change that causes a molecular flap to move away from the catalytic site.  The catalytic site then mediates intramolecular cleavage in a reaction known as autoprocessing.  This reaction results in the release of GTD into the cytosol, where it becomes active.To better understand the relationship between IP6 binding and catalytic activity, autoprocessing assays were performed.  Researchers mutated histidine to alanine at positions 759 and 757 in the flap regions of TcdA and TcdB, respectively.  They then compared the autoprocessing activities of H759A and H757A mutants to those of wild-type TcdA and TcdB at varying concentrations of IP6 (Figure 2).
<strong>Passage The bacterium Clostridium difficile secretes protein toxins TcdA and TcdB, two homologues associated with C. difficile-related colitis.  Tcd proteins enter host intestinal cells via endocytosis induced by interactions between the Tcd C-terminal domain and cell surface receptors.  Endocytosis is followed by translocation of the N-terminal glucosyltransferase domain (GTD) across the endosomal membrane.  The GTD remains anchored to endosomes by the central region of the protein, a transmembrane domain believed to form membrane pores and facilitate translocation.  Inositol hexakisphosphate (IP6) binds Tcd proteins, an interaction that is stabilized by salt bridges in the binding pocket (Figure 1).   <strong>Figure 1</strong>  Salt bridges formed between IP6 and the amino acids in the binding pocketThis interaction induces a conformational change that causes a molecular flap to move away from the catalytic site.  The catalytic site then mediates intramolecular cleavage in a reaction known as autoprocessing.  This reaction results in the release of GTD into the cytosol, where it becomes active.To better understand the relationship between IP6 binding and catalytic activity, autoprocessing assays were performed.  Researchers mutated histidine to alanine at positions 759 and 757 in the flap regions of TcdA and TcdB, respectively.  They then compared the autoprocessing activities of H759A and H757A mutants to those of wild-type TcdA and TcdB at varying concentrations of IP6 (Figure 2).   <strong>Figure 2</strong>  Percent cleavage of wild-type and mutant Tcd by autoprocessing Adapted from Chumbler NM, Rutherford SA, Zhang Z, et al. Crystal structure of Clostridium difficile toxin A. Nat Microbiol. 2016;1:15002. Which conclusion about the effect of the H759A and H757A mutations is best supported by Figure 2?</strong> A)Mutant Tcd requires greater concentrations of IP6 to undergo autoprocessing. B)Tcd mutant protease activity is less dependent on IP6 than is wild-type activity. C)Alanine helps control the rate of autoprocessing. D)Tcd mutants have reduced affinity for IP6. <div style=padding-top: 35px> Figure 2  Percent cleavage of wild-type and mutant Tcd by autoprocessing
Adapted from Chumbler NM, Rutherford SA, Zhang Z, et al. Crystal structure of Clostridium difficile toxin A. Nat Microbiol. 2016;1:15002.
Which conclusion about the effect of the H759A and H757A mutations is best supported by Figure 2?

A)Mutant Tcd requires greater concentrations of IP6 to undergo autoprocessing.
B)Tcd mutant protease activity is less dependent on IP6 than is wild-type activity.
C)Alanine helps control the rate of autoprocessing.
D)Tcd mutants have reduced affinity for IP6.
Question
Passage
Spinocerebellar ataxia 3 (SCA3) is a neurodegenerative disease that manifests as a progressive decrease in coordination of limbs and frequently results in impaired speech and eye coordination.  It is associated with extension of the polyglutamine (polyQ) region of the ataxin-3 protein.  The polyQ region is encoded by a series of consecutive CAG codons known as poly-CAG repeats.  These regions vary in length from one person to another, ranging from as few as 10 to as many as 80 repeats.  SCA3 has been reported in patients with polyQ regions exceeding ~55 repeats, and increased polyQ length correlates with earlier onset of the disease and greater clinical severity.Circular dichroism (CD) is a method of assessing protein secondary structure.  It measures a molecule's ability to absorb left- and right-handed circularly polarized light of varying wavelengths.  The absorption difference is known as "ellipticity," denoted by Δε.  Alpha-helices have a maximum Δε at 190 nm, and beta-sheets have a maximum Δε at 200 nm.CD results show that as the length of the ataxin-3 polyQ region increases, alpha-helical nature is lost and the protein aggregates, ultimately precipitating out of solution and depositing in brain and other tissues.  Furthermore, as proteins aggregate, they form beta-sheets.  These beta-sheets are in the parallel orientation, and each sheet can interact with sheets in other proteins to form long, insoluble structures known as amyloid fibers (Figure 1).
<strong>Passage Spinocerebellar ataxia 3 (SCA3) is a neurodegenerative disease that manifests as a progressive decrease in coordination of limbs and frequently results in impaired speech and eye coordination.  It is associated with extension of the polyglutamine (polyQ) region of the ataxin-3 protein.  The polyQ region is encoded by a series of consecutive CAG codons known as poly-CAG repeats.  These regions vary in length from one person to another, ranging from as few as 10 to as many as 80 repeats.  SCA3 has been reported in patients with polyQ regions exceeding ~55 repeats, and increased polyQ length correlates with earlier onset of the disease and greater clinical severity.Circular dichroism (CD) is a method of assessing protein secondary structure.  It measures a molecule's ability to absorb left- and right-handed circularly polarized light of varying wavelengths.  The absorption difference is known as ellipticity, denoted by Δε.  Alpha-helices have a maximum Δε at 190 nm, and beta-sheets have a maximum Δε at 200 nm.CD results show that as the length of the ataxin-3 polyQ region increases, alpha-helical nature is lost and the protein aggregates, ultimately precipitating out of solution and depositing in brain and other tissues.  Furthermore, as proteins aggregate, they form beta-sheets.  These beta-sheets are in the parallel orientation, and each sheet can interact with sheets in other proteins to form long, insoluble structures known as amyloid fibers (Figure 1).   <strong>Figure 1</strong>  Depiction of the ataxin-3 polyQ region shifting from alpha-helical (cylinders) to beta-sheet (arrows) structure and aggregatingGlutamine can be encoded by both CAG and CAA codons.  Researchers investigated survival rates in fruit flies expressing ataxin-3 with polyQ regions of equal length encoded by either CAG-CAG or CAA-CAG repeats (Table 1).  The protein products had identical amino acid sequences.<strong>Table 1</strong>  Fruit Fly Survival Rates Relative to Ataxin-3 Expression   Adapted from Bevivino AE, Loll PJ. An expanded glutamine repeat destabilizes native ataxin-3 structure and mediates formation of parallel beta -fibrils. Proc Natl Acad Sci USA. 2001;98(21):11955-60. Researchers hypothesized that overexpression of the chaperone protein HSP70 could reduce toxicity associated with ataxin-3 containing long polyQ regions.  Which line of reasoning might have led them to this hypothesis?</strong> A)HSP70 may downregulate transcription of additional ataxin-3. B)HSP70 may facilitate proper folding and solubility of ataxin-3. C)HSP70 may degrade amyloid fibers, removing them from the system. D)HSP70 may disrupt hydrogen bonds between beta-sheets of adjacent proteins. <div style=padding-top: 35px> Figure 1  Depiction of the ataxin-3 polyQ region shifting from alpha-helical (cylinders) to beta-sheet (arrows) structure and aggregatingGlutamine can be encoded by both CAG and CAA codons.  Researchers investigated survival rates in fruit flies expressing ataxin-3 with polyQ regions of equal length encoded by either CAG-CAG or CAA-CAG repeats (Table 1).  The protein products had identical amino acid sequences.Table 1  Fruit Fly Survival Rates Relative to Ataxin-3 Expression
<strong>Passage Spinocerebellar ataxia 3 (SCA3) is a neurodegenerative disease that manifests as a progressive decrease in coordination of limbs and frequently results in impaired speech and eye coordination.  It is associated with extension of the polyglutamine (polyQ) region of the ataxin-3 protein.  The polyQ region is encoded by a series of consecutive CAG codons known as poly-CAG repeats.  These regions vary in length from one person to another, ranging from as few as 10 to as many as 80 repeats.  SCA3 has been reported in patients with polyQ regions exceeding ~55 repeats, and increased polyQ length correlates with earlier onset of the disease and greater clinical severity.Circular dichroism (CD) is a method of assessing protein secondary structure.  It measures a molecule's ability to absorb left- and right-handed circularly polarized light of varying wavelengths.  The absorption difference is known as ellipticity, denoted by Δε.  Alpha-helices have a maximum Δε at 190 nm, and beta-sheets have a maximum Δε at 200 nm.CD results show that as the length of the ataxin-3 polyQ region increases, alpha-helical nature is lost and the protein aggregates, ultimately precipitating out of solution and depositing in brain and other tissues.  Furthermore, as proteins aggregate, they form beta-sheets.  These beta-sheets are in the parallel orientation, and each sheet can interact with sheets in other proteins to form long, insoluble structures known as amyloid fibers (Figure 1).   <strong>Figure 1</strong>  Depiction of the ataxin-3 polyQ region shifting from alpha-helical (cylinders) to beta-sheet (arrows) structure and aggregatingGlutamine can be encoded by both CAG and CAA codons.  Researchers investigated survival rates in fruit flies expressing ataxin-3 with polyQ regions of equal length encoded by either CAG-CAG or CAA-CAG repeats (Table 1).  The protein products had identical amino acid sequences.<strong>Table 1</strong>  Fruit Fly Survival Rates Relative to Ataxin-3 Expression   Adapted from Bevivino AE, Loll PJ. An expanded glutamine repeat destabilizes native ataxin-3 structure and mediates formation of parallel beta -fibrils. Proc Natl Acad Sci USA. 2001;98(21):11955-60. Researchers hypothesized that overexpression of the chaperone protein HSP70 could reduce toxicity associated with ataxin-3 containing long polyQ regions.  Which line of reasoning might have led them to this hypothesis?</strong> A)HSP70 may downregulate transcription of additional ataxin-3. B)HSP70 may facilitate proper folding and solubility of ataxin-3. C)HSP70 may degrade amyloid fibers, removing them from the system. D)HSP70 may disrupt hydrogen bonds between beta-sheets of adjacent proteins. <div style=padding-top: 35px> Adapted from Bevivino AE, Loll PJ. An expanded glutamine repeat destabilizes native ataxin-3 structure and mediates formation of parallel beta -fibrils. Proc Natl Acad Sci USA. 2001;98(21):11955-60.
Researchers hypothesized that overexpression of the chaperone protein HSP70 could reduce toxicity associated with ataxin-3 containing long polyQ regions.  Which line of reasoning might have led them to this hypothesis?

A)HSP70 may downregulate transcription of additional ataxin-3.
B)HSP70 may facilitate proper folding and solubility of ataxin-3.
C)HSP70 may degrade amyloid fibers, removing them from the system.
D)HSP70 may disrupt hydrogen bonds between beta-sheets of adjacent proteins.
Question
Passage
Spinocerebellar ataxia 3 (SCA3) is a neurodegenerative disease that manifests as a progressive decrease in coordination of limbs and frequently results in impaired speech and eye coordination.  It is associated with extension of the polyglutamine (polyQ) region of the ataxin-3 protein.  The polyQ region is encoded by a series of consecutive CAG codons known as poly-CAG repeats.  These regions vary in length from one person to another, ranging from as few as 10 to as many as 80 repeats.  SCA3 has been reported in patients with polyQ regions exceeding ~55 repeats, and increased polyQ length correlates with earlier onset of the disease and greater clinical severity.Circular dichroism (CD) is a method of assessing protein secondary structure.  It measures a molecule's ability to absorb left- and right-handed circularly polarized light of varying wavelengths.  The absorption difference is known as "ellipticity," denoted by Δε.  Alpha-helices have a maximum Δε at 190 nm, and beta-sheets have a maximum Δε at 200 nm.CD results show that as the length of the ataxin-3 polyQ region increases, alpha-helical nature is lost and the protein aggregates, ultimately precipitating out of solution and depositing in brain and other tissues.  Furthermore, as proteins aggregate, they form beta-sheets.  These beta-sheets are in the parallel orientation, and each sheet can interact with sheets in other proteins to form long, insoluble structures known as amyloid fibers (Figure 1).
<strong>Passage Spinocerebellar ataxia 3 (SCA3) is a neurodegenerative disease that manifests as a progressive decrease in coordination of limbs and frequently results in impaired speech and eye coordination.  It is associated with extension of the polyglutamine (polyQ) region of the ataxin-3 protein.  The polyQ region is encoded by a series of consecutive CAG codons known as poly-CAG repeats.  These regions vary in length from one person to another, ranging from as few as 10 to as many as 80 repeats.  SCA3 has been reported in patients with polyQ regions exceeding ~55 repeats, and increased polyQ length correlates with earlier onset of the disease and greater clinical severity.Circular dichroism (CD) is a method of assessing protein secondary structure.  It measures a molecule's ability to absorb left- and right-handed circularly polarized light of varying wavelengths.  The absorption difference is known as ellipticity, denoted by Δε.  Alpha-helices have a maximum Δε at 190 nm, and beta-sheets have a maximum Δε at 200 nm.CD results show that as the length of the ataxin-3 polyQ region increases, alpha-helical nature is lost and the protein aggregates, ultimately precipitating out of solution and depositing in brain and other tissues.  Furthermore, as proteins aggregate, they form beta-sheets.  These beta-sheets are in the parallel orientation, and each sheet can interact with sheets in other proteins to form long, insoluble structures known as amyloid fibers (Figure 1).   <strong>Figure 1</strong>  Depiction of the ataxin-3 polyQ region shifting from alpha-helical (cylinders) to beta-sheet (arrows) structure and aggregatingGlutamine can be encoded by both CAG and CAA codons.  Researchers investigated survival rates in fruit flies expressing ataxin-3 with polyQ regions of equal length encoded by either CAG-CAG or CAA-CAG repeats (Table 1).  The protein products had identical amino acid sequences.<strong>Table 1</strong>  Fruit Fly Survival Rates Relative to Ataxin-3 Expression   Adapted from Bevivino AE, Loll PJ. An expanded glutamine repeat destabilizes native ataxin-3 structure and mediates formation of parallel beta -fibrils. Proc Natl Acad Sci USA. 2001;98(21):11955-60. Scientists concluded that ataxin-3 folding is not the only factor that contributes to SCA3.  Is this conclusion supported by the data?</strong> A)Yes; flies with identical ataxin-3 proteins but distinct ataxin-3 mRNA had different survival rates. B)Yes; flies with different ataxin-3 expression and aggregation levels had the same survival rates. C)No; flies with more ataxin-3 expression had a lower survival rate. D)No; flies with less ataxin-3 aggregation had a higher survival rate. <div style=padding-top: 35px> Figure 1  Depiction of the ataxin-3 polyQ region shifting from alpha-helical (cylinders) to beta-sheet (arrows) structure and aggregatingGlutamine can be encoded by both CAG and CAA codons.  Researchers investigated survival rates in fruit flies expressing ataxin-3 with polyQ regions of equal length encoded by either CAG-CAG or CAA-CAG repeats (Table 1).  The protein products had identical amino acid sequences.Table 1  Fruit Fly Survival Rates Relative to Ataxin-3 Expression
<strong>Passage Spinocerebellar ataxia 3 (SCA3) is a neurodegenerative disease that manifests as a progressive decrease in coordination of limbs and frequently results in impaired speech and eye coordination.  It is associated with extension of the polyglutamine (polyQ) region of the ataxin-3 protein.  The polyQ region is encoded by a series of consecutive CAG codons known as poly-CAG repeats.  These regions vary in length from one person to another, ranging from as few as 10 to as many as 80 repeats.  SCA3 has been reported in patients with polyQ regions exceeding ~55 repeats, and increased polyQ length correlates with earlier onset of the disease and greater clinical severity.Circular dichroism (CD) is a method of assessing protein secondary structure.  It measures a molecule's ability to absorb left- and right-handed circularly polarized light of varying wavelengths.  The absorption difference is known as ellipticity, denoted by Δε.  Alpha-helices have a maximum Δε at 190 nm, and beta-sheets have a maximum Δε at 200 nm.CD results show that as the length of the ataxin-3 polyQ region increases, alpha-helical nature is lost and the protein aggregates, ultimately precipitating out of solution and depositing in brain and other tissues.  Furthermore, as proteins aggregate, they form beta-sheets.  These beta-sheets are in the parallel orientation, and each sheet can interact with sheets in other proteins to form long, insoluble structures known as amyloid fibers (Figure 1).   <strong>Figure 1</strong>  Depiction of the ataxin-3 polyQ region shifting from alpha-helical (cylinders) to beta-sheet (arrows) structure and aggregatingGlutamine can be encoded by both CAG and CAA codons.  Researchers investigated survival rates in fruit flies expressing ataxin-3 with polyQ regions of equal length encoded by either CAG-CAG or CAA-CAG repeats (Table 1).  The protein products had identical amino acid sequences.<strong>Table 1</strong>  Fruit Fly Survival Rates Relative to Ataxin-3 Expression   Adapted from Bevivino AE, Loll PJ. An expanded glutamine repeat destabilizes native ataxin-3 structure and mediates formation of parallel beta -fibrils. Proc Natl Acad Sci USA. 2001;98(21):11955-60. Scientists concluded that ataxin-3 folding is not the only factor that contributes to SCA3.  Is this conclusion supported by the data?</strong> A)Yes; flies with identical ataxin-3 proteins but distinct ataxin-3 mRNA had different survival rates. B)Yes; flies with different ataxin-3 expression and aggregation levels had the same survival rates. C)No; flies with more ataxin-3 expression had a lower survival rate. D)No; flies with less ataxin-3 aggregation had a higher survival rate. <div style=padding-top: 35px> Adapted from Bevivino AE, Loll PJ. An expanded glutamine repeat destabilizes native ataxin-3 structure and mediates formation of parallel beta -fibrils. Proc Natl Acad Sci USA. 2001;98(21):11955-60.
Scientists concluded that ataxin-3 folding is not the only factor that contributes to SCA3.  Is this conclusion supported by the data?

A)Yes; flies with identical ataxin-3 proteins but distinct ataxin-3 mRNA had different survival rates.
B)Yes; flies with different ataxin-3 expression and aggregation levels had the same survival rates.
C)No; flies with more ataxin-3 expression had a lower survival rate.
D)No; flies with less ataxin-3 aggregation had a higher survival rate.
Question
Passage
The bacterium Clostridium difficile secretes protein toxins TcdA and TcdB, two homologues associated with C. difficile-related colitis.  Tcd proteins enter host intestinal cells via endocytosis induced by interactions between the Tcd C-terminal domain and cell surface receptors.  Endocytosis is followed by translocation of the N-terminal glucosyltransferase domain (GTD) across the endosomal membrane.  The GTD remains anchored to endosomes by the central region of the protein, a transmembrane domain believed to form membrane pores and facilitate translocation.  Inositol hexakisphosphate (IP6) binds Tcd proteins, an interaction that is stabilized by salt bridges in the binding pocket (Figure 1).
<strong>Passage The bacterium Clostridium difficile secretes protein toxins TcdA and TcdB, two homologues associated with C. difficile-related colitis.  Tcd proteins enter host intestinal cells via endocytosis induced by interactions between the Tcd C-terminal domain and cell surface receptors.  Endocytosis is followed by translocation of the N-terminal glucosyltransferase domain (GTD) across the endosomal membrane.  The GTD remains anchored to endosomes by the central region of the protein, a transmembrane domain believed to form membrane pores and facilitate translocation.  Inositol hexakisphosphate (IP6) binds Tcd proteins, an interaction that is stabilized by salt bridges in the binding pocket (Figure 1).   <strong>Figure 1</strong>  Salt bridges formed between IP6 and the amino acids in the binding pocketThis interaction induces a conformational change that causes a molecular flap to move away from the catalytic site.  The catalytic site then mediates intramolecular cleavage in a reaction known as autoprocessing.  This reaction results in the release of GTD into the cytosol, where it becomes active.To better understand the relationship between IP6 binding and catalytic activity, autoprocessing assays were performed.  Researchers mutated histidine to alanine at positions 759 and 757 in the flap regions of TcdA and TcdB, respectively.  They then compared the autoprocessing activities of H759A and H757A mutants to those of wild-type TcdA and TcdB at varying concentrations of IP6 (Figure 2).   <strong>Figure 2</strong>  Percent cleavage of wild-type and mutant Tcd by autoprocessing Adapted from Chumbler NM, Rutherford SA, Zhang Z, et al. Crystal structure of Clostridium difficile toxin A. Nat Microbiol. 2016;1:15002. Based on Figure 2, residues H757 and H759 of wild-type TcdA and TcdB, respectively, may function to:</strong> A)interact with IP6, stabilizing its interaction in the binding pocket. B)act as a general base in the IP6-dependent Tcd protease reaction mechanism. C)mediate an interaction in the flap region necessary to obstruct the active site. D)create charge repulsion, opposing interaction between the flap region and active site. <div style=padding-top: 35px> Figure 1  Salt bridges formed between IP6 and the amino acids in the binding pocketThis interaction induces a conformational change that causes a molecular flap to move away from the catalytic site.  The catalytic site then mediates intramolecular cleavage in a reaction known as autoprocessing.  This reaction results in the release of GTD into the cytosol, where it becomes active.To better understand the relationship between IP6 binding and catalytic activity, autoprocessing assays were performed.  Researchers mutated histidine to alanine at positions 759 and 757 in the flap regions of TcdA and TcdB, respectively.  They then compared the autoprocessing activities of H759A and H757A mutants to those of wild-type TcdA and TcdB at varying concentrations of IP6 (Figure 2).
<strong>Passage The bacterium Clostridium difficile secretes protein toxins TcdA and TcdB, two homologues associated with C. difficile-related colitis.  Tcd proteins enter host intestinal cells via endocytosis induced by interactions between the Tcd C-terminal domain and cell surface receptors.  Endocytosis is followed by translocation of the N-terminal glucosyltransferase domain (GTD) across the endosomal membrane.  The GTD remains anchored to endosomes by the central region of the protein, a transmembrane domain believed to form membrane pores and facilitate translocation.  Inositol hexakisphosphate (IP6) binds Tcd proteins, an interaction that is stabilized by salt bridges in the binding pocket (Figure 1).   <strong>Figure 1</strong>  Salt bridges formed between IP6 and the amino acids in the binding pocketThis interaction induces a conformational change that causes a molecular flap to move away from the catalytic site.  The catalytic site then mediates intramolecular cleavage in a reaction known as autoprocessing.  This reaction results in the release of GTD into the cytosol, where it becomes active.To better understand the relationship between IP6 binding and catalytic activity, autoprocessing assays were performed.  Researchers mutated histidine to alanine at positions 759 and 757 in the flap regions of TcdA and TcdB, respectively.  They then compared the autoprocessing activities of H759A and H757A mutants to those of wild-type TcdA and TcdB at varying concentrations of IP6 (Figure 2).   <strong>Figure 2</strong>  Percent cleavage of wild-type and mutant Tcd by autoprocessing Adapted from Chumbler NM, Rutherford SA, Zhang Z, et al. Crystal structure of Clostridium difficile toxin A. Nat Microbiol. 2016;1:15002. Based on Figure 2, residues H757 and H759 of wild-type TcdA and TcdB, respectively, may function to:</strong> A)interact with IP6, stabilizing its interaction in the binding pocket. B)act as a general base in the IP6-dependent Tcd protease reaction mechanism. C)mediate an interaction in the flap region necessary to obstruct the active site. D)create charge repulsion, opposing interaction between the flap region and active site. <div style=padding-top: 35px> Figure 2  Percent cleavage of wild-type and mutant Tcd by autoprocessing
Adapted from Chumbler NM, Rutherford SA, Zhang Z, et al. Crystal structure of Clostridium difficile toxin A. Nat Microbiol. 2016;1:15002.
Based on Figure 2, residues H757 and H759 of wild-type TcdA and TcdB, respectively, may function to:

A)interact with IP6, stabilizing its interaction in the binding pocket.
B)act as a general base in the IP6-dependent Tcd protease reaction mechanism.
C)mediate an interaction in the flap region necessary to obstruct the active site.
D)create charge repulsion, opposing interaction between the flap region and active site.
Question
Passage
The liver plays a central role in maintaining blood glucose homoeostasis.  It contains the highest concentration of glycogen of any organ in the body and is one of few organs that can regenerate glucose from metabolic byproducts.  The liver can replenish glucose in muscle and brain tissue during times of fasting, and it can help prevent lactate accumulation during intense physical activity.Von Gierke disease is a rare autosomal recessive disorder that arises from inactivating mutations in the liver enzyme glucose 6-phosphatase (G6Pase).  It affects roughly 1 in 100,000 individuals, and the resulting loss of both hormonal sensitivity and enzymatic activity leads to hypoglycemia (low blood sugar).  Von Gierke can also cause an increase in blood acidity concurrent with lactate build-up.  Patients typically become symptomatic shortly after birth with convulsions, hyperventilation, and tremors.  Left untreated, patients may develop gout, osteoporosis, and life-threatening complications such as kidney failure and liver tumors.In an effort to examine the biochemical consequences of this disorder, scientists generated a genetically engineered mouse model with liver G6Pase expression under the control of the Tet-Off system at both alleles.  Under this system, addition of the small molecule tetracycline in the water source of the mouse rapidly shuts off G6Pase gene expression and therefore can recapitulate von Gierke disease.  Blood glucose and pH levels were measured daily in two groups of genetically engineered mice over 20 days: group A mice received no tetracycline and group B mice were given tetracycline starting at day 10.  All mice were fed identical low-sugar diets throughout the experiment.
Adapted from Froissart R, Piraud M, Boudjemline AM, et al. Glucose-6-phosphatase deficiency. Orphanet J Rare Dis. 2011;6:27.
Which of the following graphs best reflects the expected average blood glucose and pH levels over time for group B mice?

A) <strong>Passage The liver plays a central role in maintaining blood glucose homoeostasis.  It contains the highest concentration of glycogen of any organ in the body and is one of few organs that can regenerate glucose from metabolic byproducts.  The liver can replenish glucose in muscle and brain tissue during times of fasting, and it can help prevent lactate accumulation during intense physical activity.Von Gierke disease is a rare autosomal recessive disorder that arises from inactivating mutations in the liver enzyme glucose 6-phosphatase (G6Pase).  It affects roughly 1 in 100,000 individuals, and the resulting loss of both hormonal sensitivity and enzymatic activity leads to hypoglycemia (low blood sugar).  Von Gierke can also cause an increase in blood acidity concurrent with lactate build-up.  Patients typically become symptomatic shortly after birth with convulsions, hyperventilation, and tremors.  Left untreated, patients may develop gout, osteoporosis, and life-threatening complications such as kidney failure and liver tumors.In an effort to examine the biochemical consequences of this disorder, scientists generated a genetically engineered mouse model with liver G6Pase expression under the control of the Tet-Off system at both alleles.  Under this system, addition of the small molecule tetracycline in the water source of the mouse rapidly shuts off G6Pase gene expression and therefore can recapitulate von Gierke disease.  Blood glucose and pH levels were measured daily in two groups of genetically engineered mice over 20 days: group A mice received no tetracycline and group B mice were given tetracycline starting at day 10.  All mice were fed identical low-sugar diets throughout the experiment. Adapted from Froissart R, Piraud M, Boudjemline AM, et al. Glucose-6-phosphatase deficiency. Orphanet J Rare Dis. 2011;6:27. Which of the following graphs best reflects the expected average blood glucose and pH levels over time for group B mice?</strong> A)   B)   C)   D)   <div style=padding-top: 35px>
B) <strong>Passage The liver plays a central role in maintaining blood glucose homoeostasis.  It contains the highest concentration of glycogen of any organ in the body and is one of few organs that can regenerate glucose from metabolic byproducts.  The liver can replenish glucose in muscle and brain tissue during times of fasting, and it can help prevent lactate accumulation during intense physical activity.Von Gierke disease is a rare autosomal recessive disorder that arises from inactivating mutations in the liver enzyme glucose 6-phosphatase (G6Pase).  It affects roughly 1 in 100,000 individuals, and the resulting loss of both hormonal sensitivity and enzymatic activity leads to hypoglycemia (low blood sugar).  Von Gierke can also cause an increase in blood acidity concurrent with lactate build-up.  Patients typically become symptomatic shortly after birth with convulsions, hyperventilation, and tremors.  Left untreated, patients may develop gout, osteoporosis, and life-threatening complications such as kidney failure and liver tumors.In an effort to examine the biochemical consequences of this disorder, scientists generated a genetically engineered mouse model with liver G6Pase expression under the control of the Tet-Off system at both alleles.  Under this system, addition of the small molecule tetracycline in the water source of the mouse rapidly shuts off G6Pase gene expression and therefore can recapitulate von Gierke disease.  Blood glucose and pH levels were measured daily in two groups of genetically engineered mice over 20 days: group A mice received no tetracycline and group B mice were given tetracycline starting at day 10.  All mice were fed identical low-sugar diets throughout the experiment. Adapted from Froissart R, Piraud M, Boudjemline AM, et al. Glucose-6-phosphatase deficiency. Orphanet J Rare Dis. 2011;6:27. Which of the following graphs best reflects the expected average blood glucose and pH levels over time for group B mice?</strong> A)   B)   C)   D)   <div style=padding-top: 35px>
C) <strong>Passage The liver plays a central role in maintaining blood glucose homoeostasis.  It contains the highest concentration of glycogen of any organ in the body and is one of few organs that can regenerate glucose from metabolic byproducts.  The liver can replenish glucose in muscle and brain tissue during times of fasting, and it can help prevent lactate accumulation during intense physical activity.Von Gierke disease is a rare autosomal recessive disorder that arises from inactivating mutations in the liver enzyme glucose 6-phosphatase (G6Pase).  It affects roughly 1 in 100,000 individuals, and the resulting loss of both hormonal sensitivity and enzymatic activity leads to hypoglycemia (low blood sugar).  Von Gierke can also cause an increase in blood acidity concurrent with lactate build-up.  Patients typically become symptomatic shortly after birth with convulsions, hyperventilation, and tremors.  Left untreated, patients may develop gout, osteoporosis, and life-threatening complications such as kidney failure and liver tumors.In an effort to examine the biochemical consequences of this disorder, scientists generated a genetically engineered mouse model with liver G6Pase expression under the control of the Tet-Off system at both alleles.  Under this system, addition of the small molecule tetracycline in the water source of the mouse rapidly shuts off G6Pase gene expression and therefore can recapitulate von Gierke disease.  Blood glucose and pH levels were measured daily in two groups of genetically engineered mice over 20 days: group A mice received no tetracycline and group B mice were given tetracycline starting at day 10.  All mice were fed identical low-sugar diets throughout the experiment. Adapted from Froissart R, Piraud M, Boudjemline AM, et al. Glucose-6-phosphatase deficiency. Orphanet J Rare Dis. 2011;6:27. Which of the following graphs best reflects the expected average blood glucose and pH levels over time for group B mice?</strong> A)   B)   C)   D)   <div style=padding-top: 35px>
D) <strong>Passage The liver plays a central role in maintaining blood glucose homoeostasis.  It contains the highest concentration of glycogen of any organ in the body and is one of few organs that can regenerate glucose from metabolic byproducts.  The liver can replenish glucose in muscle and brain tissue during times of fasting, and it can help prevent lactate accumulation during intense physical activity.Von Gierke disease is a rare autosomal recessive disorder that arises from inactivating mutations in the liver enzyme glucose 6-phosphatase (G6Pase).  It affects roughly 1 in 100,000 individuals, and the resulting loss of both hormonal sensitivity and enzymatic activity leads to hypoglycemia (low blood sugar).  Von Gierke can also cause an increase in blood acidity concurrent with lactate build-up.  Patients typically become symptomatic shortly after birth with convulsions, hyperventilation, and tremors.  Left untreated, patients may develop gout, osteoporosis, and life-threatening complications such as kidney failure and liver tumors.In an effort to examine the biochemical consequences of this disorder, scientists generated a genetically engineered mouse model with liver G6Pase expression under the control of the Tet-Off system at both alleles.  Under this system, addition of the small molecule tetracycline in the water source of the mouse rapidly shuts off G6Pase gene expression and therefore can recapitulate von Gierke disease.  Blood glucose and pH levels were measured daily in two groups of genetically engineered mice over 20 days: group A mice received no tetracycline and group B mice were given tetracycline starting at day 10.  All mice were fed identical low-sugar diets throughout the experiment. Adapted from Froissart R, Piraud M, Boudjemline AM, et al. Glucose-6-phosphatase deficiency. Orphanet J Rare Dis. 2011;6:27. Which of the following graphs best reflects the expected average blood glucose and pH levels over time for group B mice?</strong> A)   B)   C)   D)   <div style=padding-top: 35px>
Question
Passage
The bacterium Clostridium difficile secretes protein toxins TcdA and TcdB, two homologues associated with C. difficile-related colitis.  Tcd proteins enter host intestinal cells via endocytosis induced by interactions between the Tcd C-terminal domain and cell surface receptors.  Endocytosis is followed by translocation of the N-terminal glucosyltransferase domain (GTD) across the endosomal membrane.  The GTD remains anchored to endosomes by the central region of the protein, a transmembrane domain believed to form membrane pores and facilitate translocation.  Inositol hexakisphosphate (IP6) binds Tcd proteins, an interaction that is stabilized by salt bridges in the binding pocket (Figure 1).
<strong>Passage The bacterium Clostridium difficile secretes protein toxins TcdA and TcdB, two homologues associated with C. difficile-related colitis.  Tcd proteins enter host intestinal cells via endocytosis induced by interactions between the Tcd C-terminal domain and cell surface receptors.  Endocytosis is followed by translocation of the N-terminal glucosyltransferase domain (GTD) across the endosomal membrane.  The GTD remains anchored to endosomes by the central region of the protein, a transmembrane domain believed to form membrane pores and facilitate translocation.  Inositol hexakisphosphate (IP6) binds Tcd proteins, an interaction that is stabilized by salt bridges in the binding pocket (Figure 1).   <strong>Figure 1</strong>  Salt bridges formed between IP6 and the amino acids in the binding pocketThis interaction induces a conformational change that causes a molecular flap to move away from the catalytic site.  The catalytic site then mediates intramolecular cleavage in a reaction known as autoprocessing.  This reaction results in the release of GTD into the cytosol, where it becomes active.To better understand the relationship between IP6 binding and catalytic activity, autoprocessing assays were performed.  Researchers mutated histidine to alanine at positions 759 and 757 in the flap regions of TcdA and TcdB, respectively.  They then compared the autoprocessing activities of H759A and H757A mutants to those of wild-type TcdA and TcdB at varying concentrations of IP6 (Figure 2).   <strong>Figure 2</strong>  Percent cleavage of wild-type and mutant Tcd by autoprocessing Adapted from Chumbler NM, Rutherford SA, Zhang Z, et al. Crystal structure of Clostridium difficile toxin A. Nat Microbiol. 2016;1:15002. Which of the following statements correctly characterizes the bond that is broken during the reaction catalyzed by the IP6-dependent Tcd protease?</strong> A)The bond rapidly degrades in the absence of enzyme. B)The bond restricts molecular rotation. C)The bond is part of a tetrahedral structure. D)The nitrogen involved in the bond is negatively charged. <div style=padding-top: 35px> Figure 1  Salt bridges formed between IP6 and the amino acids in the binding pocketThis interaction induces a conformational change that causes a molecular flap to move away from the catalytic site.  The catalytic site then mediates intramolecular cleavage in a reaction known as autoprocessing.  This reaction results in the release of GTD into the cytosol, where it becomes active.To better understand the relationship between IP6 binding and catalytic activity, autoprocessing assays were performed.  Researchers mutated histidine to alanine at positions 759 and 757 in the flap regions of TcdA and TcdB, respectively.  They then compared the autoprocessing activities of H759A and H757A mutants to those of wild-type TcdA and TcdB at varying concentrations of IP6 (Figure 2).
<strong>Passage The bacterium Clostridium difficile secretes protein toxins TcdA and TcdB, two homologues associated with C. difficile-related colitis.  Tcd proteins enter host intestinal cells via endocytosis induced by interactions between the Tcd C-terminal domain and cell surface receptors.  Endocytosis is followed by translocation of the N-terminal glucosyltransferase domain (GTD) across the endosomal membrane.  The GTD remains anchored to endosomes by the central region of the protein, a transmembrane domain believed to form membrane pores and facilitate translocation.  Inositol hexakisphosphate (IP6) binds Tcd proteins, an interaction that is stabilized by salt bridges in the binding pocket (Figure 1).   <strong>Figure 1</strong>  Salt bridges formed between IP6 and the amino acids in the binding pocketThis interaction induces a conformational change that causes a molecular flap to move away from the catalytic site.  The catalytic site then mediates intramolecular cleavage in a reaction known as autoprocessing.  This reaction results in the release of GTD into the cytosol, where it becomes active.To better understand the relationship between IP6 binding and catalytic activity, autoprocessing assays were performed.  Researchers mutated histidine to alanine at positions 759 and 757 in the flap regions of TcdA and TcdB, respectively.  They then compared the autoprocessing activities of H759A and H757A mutants to those of wild-type TcdA and TcdB at varying concentrations of IP6 (Figure 2).   <strong>Figure 2</strong>  Percent cleavage of wild-type and mutant Tcd by autoprocessing Adapted from Chumbler NM, Rutherford SA, Zhang Z, et al. Crystal structure of Clostridium difficile toxin A. Nat Microbiol. 2016;1:15002. Which of the following statements correctly characterizes the bond that is broken during the reaction catalyzed by the IP6-dependent Tcd protease?</strong> A)The bond rapidly degrades in the absence of enzyme. B)The bond restricts molecular rotation. C)The bond is part of a tetrahedral structure. D)The nitrogen involved in the bond is negatively charged. <div style=padding-top: 35px> Figure 2  Percent cleavage of wild-type and mutant Tcd by autoprocessing
Adapted from Chumbler NM, Rutherford SA, Zhang Z, et al. Crystal structure of Clostridium difficile toxin A. Nat Microbiol. 2016;1:15002.
Which of the following statements correctly characterizes the bond that is broken during the reaction catalyzed by the IP6-dependent Tcd protease?

A)The bond rapidly degrades in the absence of enzyme.
B)The bond restricts molecular rotation.
C)The bond is part of a tetrahedral structure.
D)The nitrogen involved in the bond is negatively charged.
Question
Passage
The liver plays a central role in maintaining blood glucose homoeostasis.  It contains the highest concentration of glycogen of any organ in the body and is one of few organs that can regenerate glucose from metabolic byproducts.  The liver can replenish glucose in muscle and brain tissue during times of fasting, and it can help prevent lactate accumulation during intense physical activity.Von Gierke disease is a rare autosomal recessive disorder that arises from inactivating mutations in the liver enzyme glucose 6-phosphatase (G6Pase).  It affects roughly 1 in 100,000 individuals, and the resulting loss of both hormonal sensitivity and enzymatic activity leads to hypoglycemia (low blood sugar).  Von Gierke can also cause an increase in blood acidity concurrent with lactate build-up.  Patients typically become symptomatic shortly after birth with convulsions, hyperventilation, and tremors.  Left untreated, patients may develop gout, osteoporosis, and life-threatening complications such as kidney failure and liver tumors.In an effort to examine the biochemical consequences of this disorder, scientists generated a genetically engineered mouse model with liver G6Pase expression under the control of the Tet-Off system at both alleles.  Under this system, addition of the small molecule tetracycline in the water source of the mouse rapidly shuts off G6Pase gene expression and therefore can recapitulate von Gierke disease.  Blood glucose and pH levels were measured daily in two groups of genetically engineered mice over 20 days: group A mice received no tetracycline and group B mice were given tetracycline starting at day 10.  All mice were fed identical low-sugar diets throughout the experiment.
Adapted from Froissart R, Piraud M, Boudjemline AM, et al. Glucose-6-phosphatase deficiency. Orphanet J Rare Dis. 2011;6:27.
Which cofactor is regenerated by lactate synthesis?

A)NAD+
B)NADH
C)NADP+
D)NADPH
Question
Passage
The bacterium Clostridium difficile secretes protein toxins TcdA and TcdB, two homologues associated with C. difficile-related colitis.  Tcd proteins enter host intestinal cells via endocytosis induced by interactions between the Tcd C-terminal domain and cell surface receptors.  Endocytosis is followed by translocation of the N-terminal glucosyltransferase domain (GTD) across the endosomal membrane.  The GTD remains anchored to endosomes by the central region of the protein, a transmembrane domain believed to form membrane pores and facilitate translocation.  Inositol hexakisphosphate (IP6) binds Tcd proteins, an interaction that is stabilized by salt bridges in the binding pocket (Figure 1).
<strong>Passage The bacterium Clostridium difficile secretes protein toxins TcdA and TcdB, two homologues associated with C. difficile-related colitis.  Tcd proteins enter host intestinal cells via endocytosis induced by interactions between the Tcd C-terminal domain and cell surface receptors.  Endocytosis is followed by translocation of the N-terminal glucosyltransferase domain (GTD) across the endosomal membrane.  The GTD remains anchored to endosomes by the central region of the protein, a transmembrane domain believed to form membrane pores and facilitate translocation.  Inositol hexakisphosphate (IP6) binds Tcd proteins, an interaction that is stabilized by salt bridges in the binding pocket (Figure 1).   <strong>Figure 1</strong>  Salt bridges formed between IP6 and the amino acids in the binding pocketThis interaction induces a conformational change that causes a molecular flap to move away from the catalytic site.  The catalytic site then mediates intramolecular cleavage in a reaction known as autoprocessing.  This reaction results in the release of GTD into the cytosol, where it becomes active.To better understand the relationship between IP6 binding and catalytic activity, autoprocessing assays were performed.  Researchers mutated histidine to alanine at positions 759 and 757 in the flap regions of TcdA and TcdB, respectively.  They then compared the autoprocessing activities of H759A and H757A mutants to those of wild-type TcdA and TcdB at varying concentrations of IP6 (Figure 2).   <strong>Figure 2</strong>  Percent cleavage of wild-type and mutant Tcd by autoprocessing Adapted from Chumbler NM, Rutherford SA, Zhang Z, et al. Crystal structure of Clostridium difficile toxin A. Nat Microbiol. 2016;1:15002. Which of the following amino acid residues is LEAST likely to be present in the Tcd central region?</strong> A)Ala B)His C)Val D)Met <div style=padding-top: 35px> Figure 1  Salt bridges formed between IP6 and the amino acids in the binding pocketThis interaction induces a conformational change that causes a molecular flap to move away from the catalytic site.  The catalytic site then mediates intramolecular cleavage in a reaction known as autoprocessing.  This reaction results in the release of GTD into the cytosol, where it becomes active.To better understand the relationship between IP6 binding and catalytic activity, autoprocessing assays were performed.  Researchers mutated histidine to alanine at positions 759 and 757 in the flap regions of TcdA and TcdB, respectively.  They then compared the autoprocessing activities of H759A and H757A mutants to those of wild-type TcdA and TcdB at varying concentrations of IP6 (Figure 2).
<strong>Passage The bacterium Clostridium difficile secretes protein toxins TcdA and TcdB, two homologues associated with C. difficile-related colitis.  Tcd proteins enter host intestinal cells via endocytosis induced by interactions between the Tcd C-terminal domain and cell surface receptors.  Endocytosis is followed by translocation of the N-terminal glucosyltransferase domain (GTD) across the endosomal membrane.  The GTD remains anchored to endosomes by the central region of the protein, a transmembrane domain believed to form membrane pores and facilitate translocation.  Inositol hexakisphosphate (IP6) binds Tcd proteins, an interaction that is stabilized by salt bridges in the binding pocket (Figure 1).   <strong>Figure 1</strong>  Salt bridges formed between IP6 and the amino acids in the binding pocketThis interaction induces a conformational change that causes a molecular flap to move away from the catalytic site.  The catalytic site then mediates intramolecular cleavage in a reaction known as autoprocessing.  This reaction results in the release of GTD into the cytosol, where it becomes active.To better understand the relationship between IP6 binding and catalytic activity, autoprocessing assays were performed.  Researchers mutated histidine to alanine at positions 759 and 757 in the flap regions of TcdA and TcdB, respectively.  They then compared the autoprocessing activities of H759A and H757A mutants to those of wild-type TcdA and TcdB at varying concentrations of IP6 (Figure 2).   <strong>Figure 2</strong>  Percent cleavage of wild-type and mutant Tcd by autoprocessing Adapted from Chumbler NM, Rutherford SA, Zhang Z, et al. Crystal structure of Clostridium difficile toxin A. Nat Microbiol. 2016;1:15002. Which of the following amino acid residues is LEAST likely to be present in the Tcd central region?</strong> A)Ala B)His C)Val D)Met <div style=padding-top: 35px> Figure 2  Percent cleavage of wild-type and mutant Tcd by autoprocessing
Adapted from Chumbler NM, Rutherford SA, Zhang Z, et al. Crystal structure of Clostridium difficile toxin A. Nat Microbiol. 2016;1:15002.
Which of the following amino acid residues is LEAST likely to be present in the Tcd central region?

A)Ala
B)His
C)Val
D)Met
Question
Passage
Spinocerebellar ataxia 3 (SCA3) is a neurodegenerative disease that manifests as a progressive decrease in coordination of limbs and frequently results in impaired speech and eye coordination.  It is associated with extension of the polyglutamine (polyQ) region of the ataxin-3 protein.  The polyQ region is encoded by a series of consecutive CAG codons known as poly-CAG repeats.  These regions vary in length from one person to another, ranging from as few as 10 to as many as 80 repeats.  SCA3 has been reported in patients with polyQ regions exceeding ~55 repeats, and increased polyQ length correlates with earlier onset of the disease and greater clinical severity.Circular dichroism (CD) is a method of assessing protein secondary structure.  It measures a molecule's ability to absorb left- and right-handed circularly polarized light of varying wavelengths.  The absorption difference is known as "ellipticity," denoted by Δε.  Alpha-helices have a maximum Δε at 190 nm, and beta-sheets have a maximum Δε at 200 nm.CD results show that as the length of the ataxin-3 polyQ region increases, alpha-helical nature is lost and the protein aggregates, ultimately precipitating out of solution and depositing in brain and other tissues.  Furthermore, as proteins aggregate, they form beta-sheets.  These beta-sheets are in the parallel orientation, and each sheet can interact with sheets in other proteins to form long, insoluble structures known as amyloid fibers (Figure 1).
<strong>Passage Spinocerebellar ataxia 3 (SCA3) is a neurodegenerative disease that manifests as a progressive decrease in coordination of limbs and frequently results in impaired speech and eye coordination.  It is associated with extension of the polyglutamine (polyQ) region of the ataxin-3 protein.  The polyQ region is encoded by a series of consecutive CAG codons known as poly-CAG repeats.  These regions vary in length from one person to another, ranging from as few as 10 to as many as 80 repeats.  SCA3 has been reported in patients with polyQ regions exceeding ~55 repeats, and increased polyQ length correlates with earlier onset of the disease and greater clinical severity.Circular dichroism (CD) is a method of assessing protein secondary structure.  It measures a molecule's ability to absorb left- and right-handed circularly polarized light of varying wavelengths.  The absorption difference is known as ellipticity, denoted by Δε.  Alpha-helices have a maximum Δε at 190 nm, and beta-sheets have a maximum Δε at 200 nm.CD results show that as the length of the ataxin-3 polyQ region increases, alpha-helical nature is lost and the protein aggregates, ultimately precipitating out of solution and depositing in brain and other tissues.  Furthermore, as proteins aggregate, they form beta-sheets.  These beta-sheets are in the parallel orientation, and each sheet can interact with sheets in other proteins to form long, insoluble structures known as amyloid fibers (Figure 1).   <strong>Figure 1</strong>  Depiction of the ataxin-3 polyQ region shifting from alpha-helical (cylinders) to beta-sheet (arrows) structure and aggregatingGlutamine can be encoded by both CAG and CAA codons.  Researchers investigated survival rates in fruit flies expressing ataxin-3 with polyQ regions of equal length encoded by either CAG-CAG or CAA-CAG repeats (Table 1).  The protein products had identical amino acid sequences.<strong>Table 1</strong>  Fruit Fly Survival Rates Relative to Ataxin-3 Expression   Adapted from Bevivino AE, Loll PJ. An expanded glutamine repeat destabilizes native ataxin-3 structure and mediates formation of parallel beta -fibrils. Proc Natl Acad Sci USA. 2001;98(21):11955-60. Why might ataxin-3 aggregates become insoluble?</strong> A)The change in conformation from alpha-helix to beta-sheet exposes hydrophobic residues. B)The conformational change from alpha-helix to beta-sheet disrupts side-chain ionic interactions. C)Interactions between glutamine side chains exclude them from interacting with water. D)Beta-sheets expose more of the hydrophobic protein backbone than do alpha-helices. <div style=padding-top: 35px> Figure 1  Depiction of the ataxin-3 polyQ region shifting from alpha-helical (cylinders) to beta-sheet (arrows) structure and aggregatingGlutamine can be encoded by both CAG and CAA codons.  Researchers investigated survival rates in fruit flies expressing ataxin-3 with polyQ regions of equal length encoded by either CAG-CAG or CAA-CAG repeats (Table 1).  The protein products had identical amino acid sequences.Table 1  Fruit Fly Survival Rates Relative to Ataxin-3 Expression
<strong>Passage Spinocerebellar ataxia 3 (SCA3) is a neurodegenerative disease that manifests as a progressive decrease in coordination of limbs and frequently results in impaired speech and eye coordination.  It is associated with extension of the polyglutamine (polyQ) region of the ataxin-3 protein.  The polyQ region is encoded by a series of consecutive CAG codons known as poly-CAG repeats.  These regions vary in length from one person to another, ranging from as few as 10 to as many as 80 repeats.  SCA3 has been reported in patients with polyQ regions exceeding ~55 repeats, and increased polyQ length correlates with earlier onset of the disease and greater clinical severity.Circular dichroism (CD) is a method of assessing protein secondary structure.  It measures a molecule's ability to absorb left- and right-handed circularly polarized light of varying wavelengths.  The absorption difference is known as ellipticity, denoted by Δε.  Alpha-helices have a maximum Δε at 190 nm, and beta-sheets have a maximum Δε at 200 nm.CD results show that as the length of the ataxin-3 polyQ region increases, alpha-helical nature is lost and the protein aggregates, ultimately precipitating out of solution and depositing in brain and other tissues.  Furthermore, as proteins aggregate, they form beta-sheets.  These beta-sheets are in the parallel orientation, and each sheet can interact with sheets in other proteins to form long, insoluble structures known as amyloid fibers (Figure 1).   <strong>Figure 1</strong>  Depiction of the ataxin-3 polyQ region shifting from alpha-helical (cylinders) to beta-sheet (arrows) structure and aggregatingGlutamine can be encoded by both CAG and CAA codons.  Researchers investigated survival rates in fruit flies expressing ataxin-3 with polyQ regions of equal length encoded by either CAG-CAG or CAA-CAG repeats (Table 1).  The protein products had identical amino acid sequences.<strong>Table 1</strong>  Fruit Fly Survival Rates Relative to Ataxin-3 Expression   Adapted from Bevivino AE, Loll PJ. An expanded glutamine repeat destabilizes native ataxin-3 structure and mediates formation of parallel beta -fibrils. Proc Natl Acad Sci USA. 2001;98(21):11955-60. Why might ataxin-3 aggregates become insoluble?</strong> A)The change in conformation from alpha-helix to beta-sheet exposes hydrophobic residues. B)The conformational change from alpha-helix to beta-sheet disrupts side-chain ionic interactions. C)Interactions between glutamine side chains exclude them from interacting with water. D)Beta-sheets expose more of the hydrophobic protein backbone than do alpha-helices. <div style=padding-top: 35px> Adapted from Bevivino AE, Loll PJ. An expanded glutamine repeat destabilizes native ataxin-3 structure and mediates formation of parallel beta -fibrils. Proc Natl Acad Sci USA. 2001;98(21):11955-60.
Why might ataxin-3 aggregates become insoluble?

A)The change in conformation from alpha-helix to beta-sheet exposes hydrophobic residues.
B)The conformational change from alpha-helix to beta-sheet disrupts side-chain ionic interactions.
C)Interactions between glutamine side chains exclude them from interacting with water.
D)Beta-sheets expose more of the hydrophobic protein backbone than do alpha-helices.
Question
Passage
The liver plays a central role in maintaining blood glucose homoeostasis.  It contains the highest concentration of glycogen of any organ in the body and is one of few organs that can regenerate glucose from metabolic byproducts.  The liver can replenish glucose in muscle and brain tissue during times of fasting, and it can help prevent lactate accumulation during intense physical activity.Von Gierke disease is a rare autosomal recessive disorder that arises from inactivating mutations in the liver enzyme glucose 6-phosphatase (G6Pase).  It affects roughly 1 in 100,000 individuals, and the resulting loss of both hormonal sensitivity and enzymatic activity leads to hypoglycemia (low blood sugar).  Von Gierke can also cause an increase in blood acidity concurrent with lactate build-up.  Patients typically become symptomatic shortly after birth with convulsions, hyperventilation, and tremors.  Left untreated, patients may develop gout, osteoporosis, and life-threatening complications such as kidney failure and liver tumors.In an effort to examine the biochemical consequences of this disorder, scientists generated a genetically engineered mouse model with liver G6Pase expression under the control of the Tet-Off system at both alleles.  Under this system, addition of the small molecule tetracycline in the water source of the mouse rapidly shuts off G6Pase gene expression and therefore can recapitulate von Gierke disease.  Blood glucose and pH levels were measured daily in two groups of genetically engineered mice over 20 days: group A mice received no tetracycline and group B mice were given tetracycline starting at day 10.  All mice were fed identical low-sugar diets throughout the experiment.
Adapted from Froissart R, Piraud M, Boudjemline AM, et al. Glucose-6-phosphatase deficiency. Orphanet J Rare Dis. 2011;6:27.
Which of the following processes would be directly impaired in von Gierke disease?GlycogenolysisGluconeogenesisPentose phosphate pathway

A)I and II only
B)I and III only
C)II and III only
D)I, II, and III
Question
Passage
Presynaptic nerve terminals release neurotransmitters via synaptic vesicle exocytosis.  This action is mediated by the membrane-bound target-SNARE (t-SNARE) proteins syntaxin and SNAP-25, and the vesicle-associated SNARE (v-SNARE) protein synaptobrevin.  Membrane fusion is initiated when the t-SNAREs and v-SNAREs form an α-helix bundle known as the core-trans-complex, achieved by zipping SNARE proteins together to form a more stable cis-complex (Figure 1).
<strong>Passage Presynaptic nerve terminals release neurotransmitters via synaptic vesicle exocytosis.  This action is mediated by the membrane-bound target-SNARE (t-SNARE) proteins syntaxin and SNAP-25, and the vesicle-associated SNARE (v-SNARE) protein synaptobrevin.  Membrane fusion is initiated when the t-SNAREs and v-SNAREs form an α-helix bundle known as the core-trans-complex, achieved by zipping SNARE proteins together to form a more stable cis-complex (Figure 1).   <strong>Figure 1</strong>  Formation of the core-trans-complex and subsequent membrane fusionThe cis-complex contains the zero ionic layer, the main site of interaction between complexed proteins.  Within the zero ionic layer, arginine on synaptobrevin coordinates with carbonyl groups present on the other residues shown in Table 1.  The zero ionic layer is buried within leucine zipper domains, which act as a shield to solvent molecules.<strong>Table 1</strong>  Composition of cis-Complex Zero Ionic Layer   An early step in cis-complex disassembly is destabilization by the ATPase N-ethylmaleimide-sensitive factor (NSF), which initiates unzipping by breaking flanking leucine zipper regions, leading to vesicle reuptake.  Movement of NSF to the cell membrane is mediated by the cytoplasmic protein α-SNAP, which must first bind the N-terminal domain of syntaxin.To determine the effect of vesicle-bound synaptobrevin on the binding of α-SNAP to syntaxin, increasing amounts of recombinant His-tagged α-SNAP were added to a constant amount of syntaxin affixed to glutathione-agarose beads with or without synaptobrevin.  After incubation, bound proteins were recovered and quantitatively analyzed by immunoblotting.  Results are shown in Figure 2.   <strong>Figure 2</strong>  α-SNAP binding to syntaxin in the absence (square) or presence (circle) of synaptobrevin Adapted from Mcmahon HT, Südhof TC. Synaptic core complex of synaptobrevin, syntaxin, and SNAP25 forms high affinity alpha-SNAP binding site. J Biol Chem. 1995;270(5):2213-7. Which amino acid is LEAST likely to be found in normally functioning binding domains of t-SNARE and v-SNARE proteins?</strong> A)Asparagine B)Tryptophan C)Threonine D)Proline <div style=padding-top: 35px> Figure 1  Formation of the core-trans-complex and subsequent membrane fusionThe cis-complex contains the zero ionic layer, the main site of interaction between complexed proteins.  Within the zero ionic layer, arginine on synaptobrevin coordinates with carbonyl groups present on the other residues shown in Table 1.  The zero ionic layer is buried within leucine zipper domains, which act as a shield to solvent molecules.Table 1  Composition of cis-Complex Zero Ionic Layer
<strong>Passage Presynaptic nerve terminals release neurotransmitters via synaptic vesicle exocytosis.  This action is mediated by the membrane-bound target-SNARE (t-SNARE) proteins syntaxin and SNAP-25, and the vesicle-associated SNARE (v-SNARE) protein synaptobrevin.  Membrane fusion is initiated when the t-SNAREs and v-SNAREs form an α-helix bundle known as the core-trans-complex, achieved by zipping SNARE proteins together to form a more stable cis-complex (Figure 1).   <strong>Figure 1</strong>  Formation of the core-trans-complex and subsequent membrane fusionThe cis-complex contains the zero ionic layer, the main site of interaction between complexed proteins.  Within the zero ionic layer, arginine on synaptobrevin coordinates with carbonyl groups present on the other residues shown in Table 1.  The zero ionic layer is buried within leucine zipper domains, which act as a shield to solvent molecules.<strong>Table 1</strong>  Composition of cis-Complex Zero Ionic Layer   An early step in cis-complex disassembly is destabilization by the ATPase N-ethylmaleimide-sensitive factor (NSF), which initiates unzipping by breaking flanking leucine zipper regions, leading to vesicle reuptake.  Movement of NSF to the cell membrane is mediated by the cytoplasmic protein α-SNAP, which must first bind the N-terminal domain of syntaxin.To determine the effect of vesicle-bound synaptobrevin on the binding of α-SNAP to syntaxin, increasing amounts of recombinant His-tagged α-SNAP were added to a constant amount of syntaxin affixed to glutathione-agarose beads with or without synaptobrevin.  After incubation, bound proteins were recovered and quantitatively analyzed by immunoblotting.  Results are shown in Figure 2.   <strong>Figure 2</strong>  α-SNAP binding to syntaxin in the absence (square) or presence (circle) of synaptobrevin Adapted from Mcmahon HT, Südhof TC. Synaptic core complex of synaptobrevin, syntaxin, and SNAP25 forms high affinity alpha-SNAP binding site. J Biol Chem. 1995;270(5):2213-7. Which amino acid is LEAST likely to be found in normally functioning binding domains of t-SNARE and v-SNARE proteins?</strong> A)Asparagine B)Tryptophan C)Threonine D)Proline <div style=padding-top: 35px> An early step in cis-complex disassembly is destabilization by the ATPase N-ethylmaleimide-sensitive factor (NSF), which initiates unzipping by breaking flanking leucine zipper regions, leading to vesicle reuptake.  Movement of NSF to the cell membrane is mediated by the cytoplasmic protein α-SNAP, which must first bind the N-terminal domain of syntaxin.To determine the effect of vesicle-bound synaptobrevin on the binding of α-SNAP to syntaxin, increasing amounts of recombinant His-tagged α-SNAP were added to a constant amount of syntaxin affixed to glutathione-agarose beads with or without synaptobrevin.  After incubation, bound proteins were recovered and quantitatively analyzed by immunoblotting.  Results are shown in Figure 2.
<strong>Passage Presynaptic nerve terminals release neurotransmitters via synaptic vesicle exocytosis.  This action is mediated by the membrane-bound target-SNARE (t-SNARE) proteins syntaxin and SNAP-25, and the vesicle-associated SNARE (v-SNARE) protein synaptobrevin.  Membrane fusion is initiated when the t-SNAREs and v-SNAREs form an α-helix bundle known as the core-trans-complex, achieved by zipping SNARE proteins together to form a more stable cis-complex (Figure 1).   <strong>Figure 1</strong>  Formation of the core-trans-complex and subsequent membrane fusionThe cis-complex contains the zero ionic layer, the main site of interaction between complexed proteins.  Within the zero ionic layer, arginine on synaptobrevin coordinates with carbonyl groups present on the other residues shown in Table 1.  The zero ionic layer is buried within leucine zipper domains, which act as a shield to solvent molecules.<strong>Table 1</strong>  Composition of cis-Complex Zero Ionic Layer   An early step in cis-complex disassembly is destabilization by the ATPase N-ethylmaleimide-sensitive factor (NSF), which initiates unzipping by breaking flanking leucine zipper regions, leading to vesicle reuptake.  Movement of NSF to the cell membrane is mediated by the cytoplasmic protein α-SNAP, which must first bind the N-terminal domain of syntaxin.To determine the effect of vesicle-bound synaptobrevin on the binding of α-SNAP to syntaxin, increasing amounts of recombinant His-tagged α-SNAP were added to a constant amount of syntaxin affixed to glutathione-agarose beads with or without synaptobrevin.  After incubation, bound proteins were recovered and quantitatively analyzed by immunoblotting.  Results are shown in Figure 2.   <strong>Figure 2</strong>  α-SNAP binding to syntaxin in the absence (square) or presence (circle) of synaptobrevin Adapted from Mcmahon HT, Südhof TC. Synaptic core complex of synaptobrevin, syntaxin, and SNAP25 forms high affinity alpha-SNAP binding site. J Biol Chem. 1995;270(5):2213-7. Which amino acid is LEAST likely to be found in normally functioning binding domains of t-SNARE and v-SNARE proteins?</strong> A)Asparagine B)Tryptophan C)Threonine D)Proline <div style=padding-top: 35px> Figure 2  α-SNAP binding to syntaxin in the absence (square) or presence (circle) of synaptobrevin
Adapted from Mcmahon HT, Südhof TC. Synaptic core complex of synaptobrevin, syntaxin, and SNAP25 forms high affinity alpha-SNAP binding site. J Biol Chem. 1995;270(5):2213-7.
Which amino acid is LEAST likely to be found in normally functioning binding domains of t-SNARE and v-SNARE proteins?

A)Asparagine
B)Tryptophan
C)Threonine
D)Proline
Question
Passage
The tumor suppressor p53 is a homotetrameric protein with an N-terminal transactivation domain (TAD), a proline-rich domain, a DNA-binding domain (DBD), a tetramerization domain (TD), and a C-terminal regulatory domain (REG) on each subunit (Figure 1).
<strong>Passage The tumor suppressor p53 is a homotetrameric protein with an N-terminal transactivation domain (TAD), a proline-rich domain, a DNA-binding domain (DBD), a tetramerization domain (TD), and a C-terminal regulatory domain (REG) on each subunit (Figure 1).   <strong>Figure 1</strong>  Organization of the p53 domains (1-393 amino acids)Human double minute 2 (Hdm2) is a lysine-specific ubiquitin protein ligase that can change the half-life of some proteins, including p53, by signaling for their proteolytic cleavage.  Under normal circumstances, Hdm2 binds p53 at the AD1 region within the TAD and attaches ubiquitin to a lysine residue.  However, errors in DNA replication induce the phosphorylation of residue T18 on p53, which inhibits p53's association with Hdm2.  The overexpression of Hdm2 has been correlated with the downregulation of tumor suppressor p53 in certain types of cancers.  Changes in the NMR chemical shift (ppm) of amino acids in the AD1 region shown in Figure 2 provide evidence for the formation of a p53-Hdm2 complex.   <strong>Figure 2</strong>  <sup>1</sup>H NMR spectrum of the AD1 region in <sup>15</sup>N-labeled p53 during G<sub>0</sub> and G<sub>2</sub> phases of the cell cycleHdm2 also binds to Nedd8 ultimate buster 1 (NUB1), which enhances signaling for the degradation of Nedd8 proteins.  Preliminary data suggest that Hdm2 interacts differently with wild-type NUB1 (WTNUB1) than with mutant K159RNUB1.  To assess the effect of Hdm2 on NUB1 and p53, the half-lives of p53 and Nedd8 protein variants were compared in cells that overexpress Hdm2 (Figure 3).   <strong>Figure 3</strong>  Half-lives of p53, phosphorylated p53 (p53-PO<sub>4</sub>), and Nedd-8 proteins in cells with wild-type or mutant NUB1 over time Adapted from Ferreon JC, Lee CW, Arai M, Martinez-yamout MA, Dyson HJ, Wright PE. Cooperative regulation of p53 by modulation of ternary complex formation with CBP/p300 and HDM2. Proc Natl Acad Sci USA. 2009;106(16):6591-6. Based on the data in Figure 2, which statement best supports the formation of a p53-Hdm2 complex in the absence of DNA errors?</strong> A)Protons on hydrophilic amino acids of p53 are more shielded during G<sub>0</sub>. B)Protons on hydrophilic amino acids of p53 are deshielded during G<sub>2</sub>. C)Protons on hydrophobic amino acids of p53 are more shielded during G<sub>0</sub>. D)Protons on hydrophobic amino acids of p53 are more shielded during G<sub>2</sub>. <div style=padding-top: 35px> Figure 1  Organization of the p53 domains (1-393 amino acids)Human double minute 2 (Hdm2) is a lysine-specific ubiquitin protein ligase that can change the half-life of some proteins, including p53, by signaling for their proteolytic cleavage.  Under normal circumstances, Hdm2 binds p53 at the AD1 region within the TAD and attaches ubiquitin to a lysine residue.  However, errors in DNA replication induce the phosphorylation of residue T18 on p53, which inhibits p53's association with Hdm2.  The overexpression of Hdm2 has been correlated with the downregulation of tumor suppressor p53 in certain types of cancers.  Changes in the NMR chemical shift (ppm) of amino acids in the AD1 region shown in Figure 2 provide evidence for the formation of a p53-Hdm2 complex.
<strong>Passage The tumor suppressor p53 is a homotetrameric protein with an N-terminal transactivation domain (TAD), a proline-rich domain, a DNA-binding domain (DBD), a tetramerization domain (TD), and a C-terminal regulatory domain (REG) on each subunit (Figure 1).   <strong>Figure 1</strong>  Organization of the p53 domains (1-393 amino acids)Human double minute 2 (Hdm2) is a lysine-specific ubiquitin protein ligase that can change the half-life of some proteins, including p53, by signaling for their proteolytic cleavage.  Under normal circumstances, Hdm2 binds p53 at the AD1 region within the TAD and attaches ubiquitin to a lysine residue.  However, errors in DNA replication induce the phosphorylation of residue T18 on p53, which inhibits p53's association with Hdm2.  The overexpression of Hdm2 has been correlated with the downregulation of tumor suppressor p53 in certain types of cancers.  Changes in the NMR chemical shift (ppm) of amino acids in the AD1 region shown in Figure 2 provide evidence for the formation of a p53-Hdm2 complex.   <strong>Figure 2</strong>  <sup>1</sup>H NMR spectrum of the AD1 region in <sup>15</sup>N-labeled p53 during G<sub>0</sub> and G<sub>2</sub> phases of the cell cycleHdm2 also binds to Nedd8 ultimate buster 1 (NUB1), which enhances signaling for the degradation of Nedd8 proteins.  Preliminary data suggest that Hdm2 interacts differently with wild-type NUB1 (WTNUB1) than with mutant K159RNUB1.  To assess the effect of Hdm2 on NUB1 and p53, the half-lives of p53 and Nedd8 protein variants were compared in cells that overexpress Hdm2 (Figure 3).   <strong>Figure 3</strong>  Half-lives of p53, phosphorylated p53 (p53-PO<sub>4</sub>), and Nedd-8 proteins in cells with wild-type or mutant NUB1 over time Adapted from Ferreon JC, Lee CW, Arai M, Martinez-yamout MA, Dyson HJ, Wright PE. Cooperative regulation of p53 by modulation of ternary complex formation with CBP/p300 and HDM2. Proc Natl Acad Sci USA. 2009;106(16):6591-6. Based on the data in Figure 2, which statement best supports the formation of a p53-Hdm2 complex in the absence of DNA errors?</strong> A)Protons on hydrophilic amino acids of p53 are more shielded during G<sub>0</sub>. B)Protons on hydrophilic amino acids of p53 are deshielded during G<sub>2</sub>. C)Protons on hydrophobic amino acids of p53 are more shielded during G<sub>0</sub>. D)Protons on hydrophobic amino acids of p53 are more shielded during G<sub>2</sub>. <div style=padding-top: 35px> Figure 2  1H NMR spectrum of the AD1 region in 15N-labeled p53 during G0 and G2 phases of the cell cycleHdm2 also binds to Nedd8 ultimate buster 1 (NUB1), which enhances signaling for the degradation of Nedd8 proteins.  Preliminary data suggest that Hdm2 interacts differently with wild-type NUB1 (WTNUB1) than with mutant K159RNUB1.  To assess the effect of Hdm2 on NUB1 and p53, the half-lives of p53 and Nedd8 protein variants were compared in cells that overexpress Hdm2 (Figure 3).
<strong>Passage The tumor suppressor p53 is a homotetrameric protein with an N-terminal transactivation domain (TAD), a proline-rich domain, a DNA-binding domain (DBD), a tetramerization domain (TD), and a C-terminal regulatory domain (REG) on each subunit (Figure 1).   <strong>Figure 1</strong>  Organization of the p53 domains (1-393 amino acids)Human double minute 2 (Hdm2) is a lysine-specific ubiquitin protein ligase that can change the half-life of some proteins, including p53, by signaling for their proteolytic cleavage.  Under normal circumstances, Hdm2 binds p53 at the AD1 region within the TAD and attaches ubiquitin to a lysine residue.  However, errors in DNA replication induce the phosphorylation of residue T18 on p53, which inhibits p53's association with Hdm2.  The overexpression of Hdm2 has been correlated with the downregulation of tumor suppressor p53 in certain types of cancers.  Changes in the NMR chemical shift (ppm) of amino acids in the AD1 region shown in Figure 2 provide evidence for the formation of a p53-Hdm2 complex.   <strong>Figure 2</strong>  <sup>1</sup>H NMR spectrum of the AD1 region in <sup>15</sup>N-labeled p53 during G<sub>0</sub> and G<sub>2</sub> phases of the cell cycleHdm2 also binds to Nedd8 ultimate buster 1 (NUB1), which enhances signaling for the degradation of Nedd8 proteins.  Preliminary data suggest that Hdm2 interacts differently with wild-type NUB1 (WTNUB1) than with mutant K159RNUB1.  To assess the effect of Hdm2 on NUB1 and p53, the half-lives of p53 and Nedd8 protein variants were compared in cells that overexpress Hdm2 (Figure 3).   <strong>Figure 3</strong>  Half-lives of p53, phosphorylated p53 (p53-PO<sub>4</sub>), and Nedd-8 proteins in cells with wild-type or mutant NUB1 over time Adapted from Ferreon JC, Lee CW, Arai M, Martinez-yamout MA, Dyson HJ, Wright PE. Cooperative regulation of p53 by modulation of ternary complex formation with CBP/p300 and HDM2. Proc Natl Acad Sci USA. 2009;106(16):6591-6. Based on the data in Figure 2, which statement best supports the formation of a p53-Hdm2 complex in the absence of DNA errors?</strong> A)Protons on hydrophilic amino acids of p53 are more shielded during G<sub>0</sub>. B)Protons on hydrophilic amino acids of p53 are deshielded during G<sub>2</sub>. C)Protons on hydrophobic amino acids of p53 are more shielded during G<sub>0</sub>. D)Protons on hydrophobic amino acids of p53 are more shielded during G<sub>2</sub>. <div style=padding-top: 35px> Figure 3  Half-lives of p53, phosphorylated p53 (p53-PO4), and Nedd-8 proteins in cells with wild-type or mutant NUB1 over time
Adapted from Ferreon JC, Lee CW, Arai M, Martinez-yamout MA, Dyson HJ, Wright PE. Cooperative regulation of p53 by modulation of ternary complex formation with CBP/p300 and HDM2. Proc Natl Acad Sci USA. 2009;106(16):6591-6.
Based on the data in Figure 2, which statement best supports the formation of a p53-Hdm2 complex in the absence of DNA errors?

A)Protons on hydrophilic amino acids of p53 are more shielded during G0.
B)Protons on hydrophilic amino acids of p53 are deshielded during G2.
C)Protons on hydrophobic amino acids of p53 are more shielded during G0.
D)Protons on hydrophobic amino acids of p53 are more shielded during G2.
Question
Passage
Antimicrobial peptides are an important component of innate immunity.  Since their discovery in 1939, over 5,000 peptides with antimicrobial properties have been isolated from organisms in every domain of life.  They have demonstrated activity against enveloped viruses, bacteria, fungi, and even tumor cells and have recently gained interest for their potential in fighting antibiotic-resistant bacteria.  Most known antimicrobial peptides are positively charged, but some with negative charges have also been discovered.Frogs are known to secrete a variety of antimicrobial peptides as a major source of immunity.  Secretions from a new species of frog were collected and the peptides were separated by cation exchange chromatography.  Four of the isolated peptides demonstrated strong antibacterial activity and were characterized by isoelectric focusing and sequencing:
<strong>Passage Antimicrobial peptides are an important component of innate immunity.  Since their discovery in 1939, over 5,000 peptides with antimicrobial properties have been isolated from organisms in every domain of life.  They have demonstrated activity against enveloped viruses, bacteria, fungi, and even tumor cells and have recently gained interest for their potential in fighting antibiotic-resistant bacteria.  Most known antimicrobial peptides are positively charged, but some with negative charges have also been discovered.Frogs are known to secrete a variety of antimicrobial peptides as a major source of immunity.  Secretions from a new species of frog were collected and the peptides were separated by cation exchange chromatography.  Four of the isolated peptides demonstrated strong antibacterial activity and were characterized by isoelectric focusing and sequencing:   <strong>Figure 1</strong>  Results of isoelectric focusing of four antimicrobial peptides<strong>Table 1</strong>  Amino Acid Compositions of Four Antimicrobial Peptides   Adapted from Wang Z, Wang G. APD: the Antimicrobial Peptide Database. Nucleic Acids Res. 2004;32(Database issue):D590-2. One of the challenges of antimicrobial peptides is their short physiological half-life.  To solve this problem, some researchers have begun investigating synthetic antimicrobial peptides composed of D-amino acids.  Why might these peptides have an increased half-life in the body relative to natural antimicrobial peptides?</strong> A)Proteases cannot act on peptides made of D-amino acids. B)D-amino acids are more soluble at physiological pH. C)Peptide bonds between D-amino acids require more energy to break. D)Hydrolysis of D-peptides is catalyzed by acids instead of bases. <div style=padding-top: 35px> Figure 1  Results of isoelectric focusing of four antimicrobial peptidesTable 1  Amino Acid Compositions of Four Antimicrobial Peptides
<strong>Passage Antimicrobial peptides are an important component of innate immunity.  Since their discovery in 1939, over 5,000 peptides with antimicrobial properties have been isolated from organisms in every domain of life.  They have demonstrated activity against enveloped viruses, bacteria, fungi, and even tumor cells and have recently gained interest for their potential in fighting antibiotic-resistant bacteria.  Most known antimicrobial peptides are positively charged, but some with negative charges have also been discovered.Frogs are known to secrete a variety of antimicrobial peptides as a major source of immunity.  Secretions from a new species of frog were collected and the peptides were separated by cation exchange chromatography.  Four of the isolated peptides demonstrated strong antibacterial activity and were characterized by isoelectric focusing and sequencing:   <strong>Figure 1</strong>  Results of isoelectric focusing of four antimicrobial peptides<strong>Table 1</strong>  Amino Acid Compositions of Four Antimicrobial Peptides   Adapted from Wang Z, Wang G. APD: the Antimicrobial Peptide Database. Nucleic Acids Res. 2004;32(Database issue):D590-2. One of the challenges of antimicrobial peptides is their short physiological half-life.  To solve this problem, some researchers have begun investigating synthetic antimicrobial peptides composed of D-amino acids.  Why might these peptides have an increased half-life in the body relative to natural antimicrobial peptides?</strong> A)Proteases cannot act on peptides made of D-amino acids. B)D-amino acids are more soluble at physiological pH. C)Peptide bonds between D-amino acids require more energy to break. D)Hydrolysis of D-peptides is catalyzed by acids instead of bases. <div style=padding-top: 35px> Adapted from Wang Z, Wang G. APD: the Antimicrobial Peptide Database. Nucleic Acids Res. 2004;32(Database issue):D590-2.
One of the challenges of antimicrobial peptides is their short physiological half-life.  To solve this problem, some researchers have begun investigating synthetic antimicrobial peptides composed of D-amino acids.  Why might these peptides have an increased half-life in the body relative to natural antimicrobial peptides?

A)Proteases cannot act on peptides made of D-amino acids.
B)D-amino acids are more soluble at physiological pH.
C)Peptide bonds between D-amino acids require more energy to break.
D)Hydrolysis of D-peptides is catalyzed by acids instead of bases.
Question
Passage
Aldehyde dehydrogenase 2 (ALDH2) is essential for the oxidation of toxic aldehydes, and uses NAD+ as the oxidizing agent.  Mitochondrial ALDH2 exists as a 220-kD homotetrameric protein containing a catalytic, nucleotide-binding, and coenzyme-binding domain.  The most prevalent ALDH2 mutation (ALDH2*2) involves an E to K (E478K) substitution in the catalytic domain that leads to decreased enzymatic activity.Scientists hypothesize that Asian populations have higher rates of ALDH2*2 incidence.  The properties of ALDH2 variants in Caucasian and Japanese populations were analyzed in the following experiments.Experiment 1Mitochondrial extracts from both populations were combined in a single mixture and separated by native gel electrophoresis.  Proteins 210-230 kD in size were removed from the agarose gel and further isolated using affinity columns with antibodies designed to separate wild-type ALDH2 from ALDH2*2 by binding the catalytic domain of the wild-type but not the mutant protein.  Concentrated eluates E1 and E2 were produced by washing the affinity columns with buffers that remove unbound proteins and dislodge bound proteins from antibodies, respectively (Figure 1).
<strong>Passage Aldehyde dehydrogenase 2 (ALDH2) is essential for the oxidation of toxic aldehydes, and uses NAD<sup>+</sup> as the oxidizing agent.  Mitochondrial ALDH2 exists as a 220-kD homotetrameric protein containing a catalytic, nucleotide-binding, and coenzyme-binding domain.  The most prevalent ALDH2 mutation (ALDH2*2) involves an E to K (E478K) substitution in the catalytic domain that leads to decreased enzymatic activity.Scientists hypothesize that Asian populations have higher rates of ALDH2*2 incidence.  The properties of ALDH2 variants in Caucasian and Japanese populations were analyzed in the following experiments.Experiment 1Mitochondrial extracts from both populations were combined in a single mixture and separated by native gel electrophoresis.  Proteins 210-230 kD in size were removed from the agarose gel and further isolated using affinity columns with antibodies designed to separate wild-type ALDH2 from ALDH2*2 by binding the catalytic domain of the wild-type but not the mutant protein.  Concentrated eluates E1 and E2 were produced by washing the affinity columns with buffers that remove unbound proteins and dislodge bound proteins from antibodies, respectively (Figure 1).   <strong>Figure 1</strong>  Purification of ALDH2 proteinsALDH2 activity in each eluate was quantified by adding acetaldehyde and NAD<sup>+</sup>, and then monitoring the rate of NADH production.  The results are shown in Figure 2.   <strong>Figure 2</strong>  Enzymatic activity of E1 and E2 eluatesExperiment 2Researchers predict that mutations at conserved amino acid sites containing S or T may prevent ALDH2 from being phosphorylated by protein kinase C epsilon (εPKC).  The activity of wild-type ALDH2 (WT) and ALDH2 mutants with substitutions at positions T185 and S279 in the presence or absence of εPKC are summarized in Table 1.<strong>Table 1</strong>  Effect of εPKC on ALDH2 Variants   Adapted from Chen CH, Ferreira JC, Gross ER, Mochly-rosen D. Targeting aldehyde dehydrogenase 2: new therapeutic opportunities. Physiol Rev. 2014;94(1):1-34. Replacing native gel electrophoresis with nonreducing sodium dodecyl sulfate (SDS) polyacrylamide gel electrophoresis (PAGE) during the purification step results in eluates with no enzymatic activity.  The best explanation of this observation would be:</strong> A)ALDH2 must retain its quaternary structure to catalyze reactions. B)the SDS-PAGE breaks disulfide bonds between ALDH2 subunits. C)ALDH2 has the mobility of a 55-kD protein in native PAGE. D)the primary structure of the ALDH2 active site has been modified. <div style=padding-top: 35px> Figure 1  Purification of ALDH2 proteinsALDH2 activity in each eluate was quantified by adding acetaldehyde and NAD+, and then monitoring the rate of NADH production.  The results are shown in Figure 2.
<strong>Passage Aldehyde dehydrogenase 2 (ALDH2) is essential for the oxidation of toxic aldehydes, and uses NAD<sup>+</sup> as the oxidizing agent.  Mitochondrial ALDH2 exists as a 220-kD homotetrameric protein containing a catalytic, nucleotide-binding, and coenzyme-binding domain.  The most prevalent ALDH2 mutation (ALDH2*2) involves an E to K (E478K) substitution in the catalytic domain that leads to decreased enzymatic activity.Scientists hypothesize that Asian populations have higher rates of ALDH2*2 incidence.  The properties of ALDH2 variants in Caucasian and Japanese populations were analyzed in the following experiments.Experiment 1Mitochondrial extracts from both populations were combined in a single mixture and separated by native gel electrophoresis.  Proteins 210-230 kD in size were removed from the agarose gel and further isolated using affinity columns with antibodies designed to separate wild-type ALDH2 from ALDH2*2 by binding the catalytic domain of the wild-type but not the mutant protein.  Concentrated eluates E1 and E2 were produced by washing the affinity columns with buffers that remove unbound proteins and dislodge bound proteins from antibodies, respectively (Figure 1).   <strong>Figure 1</strong>  Purification of ALDH2 proteinsALDH2 activity in each eluate was quantified by adding acetaldehyde and NAD<sup>+</sup>, and then monitoring the rate of NADH production.  The results are shown in Figure 2.   <strong>Figure 2</strong>  Enzymatic activity of E1 and E2 eluatesExperiment 2Researchers predict that mutations at conserved amino acid sites containing S or T may prevent ALDH2 from being phosphorylated by protein kinase C epsilon (εPKC).  The activity of wild-type ALDH2 (WT) and ALDH2 mutants with substitutions at positions T185 and S279 in the presence or absence of εPKC are summarized in Table 1.<strong>Table 1</strong>  Effect of εPKC on ALDH2 Variants   Adapted from Chen CH, Ferreira JC, Gross ER, Mochly-rosen D. Targeting aldehyde dehydrogenase 2: new therapeutic opportunities. Physiol Rev. 2014;94(1):1-34. Replacing native gel electrophoresis with nonreducing sodium dodecyl sulfate (SDS) polyacrylamide gel electrophoresis (PAGE) during the purification step results in eluates with no enzymatic activity.  The best explanation of this observation would be:</strong> A)ALDH2 must retain its quaternary structure to catalyze reactions. B)the SDS-PAGE breaks disulfide bonds between ALDH2 subunits. C)ALDH2 has the mobility of a 55-kD protein in native PAGE. D)the primary structure of the ALDH2 active site has been modified. <div style=padding-top: 35px> Figure 2  Enzymatic activity of E1 and E2 eluatesExperiment 2Researchers predict that mutations at conserved amino acid sites containing S or T may prevent ALDH2 from being phosphorylated by protein kinase C epsilon (εPKC).  The activity of wild-type ALDH2 (WT) and ALDH2 mutants with substitutions at positions T185 and S279 in the presence or absence of εPKC are summarized in Table 1.Table 1  Effect of εPKC on ALDH2 Variants
<strong>Passage Aldehyde dehydrogenase 2 (ALDH2) is essential for the oxidation of toxic aldehydes, and uses NAD<sup>+</sup> as the oxidizing agent.  Mitochondrial ALDH2 exists as a 220-kD homotetrameric protein containing a catalytic, nucleotide-binding, and coenzyme-binding domain.  The most prevalent ALDH2 mutation (ALDH2*2) involves an E to K (E478K) substitution in the catalytic domain that leads to decreased enzymatic activity.Scientists hypothesize that Asian populations have higher rates of ALDH2*2 incidence.  The properties of ALDH2 variants in Caucasian and Japanese populations were analyzed in the following experiments.Experiment 1Mitochondrial extracts from both populations were combined in a single mixture and separated by native gel electrophoresis.  Proteins 210-230 kD in size were removed from the agarose gel and further isolated using affinity columns with antibodies designed to separate wild-type ALDH2 from ALDH2*2 by binding the catalytic domain of the wild-type but not the mutant protein.  Concentrated eluates E1 and E2 were produced by washing the affinity columns with buffers that remove unbound proteins and dislodge bound proteins from antibodies, respectively (Figure 1).   <strong>Figure 1</strong>  Purification of ALDH2 proteinsALDH2 activity in each eluate was quantified by adding acetaldehyde and NAD<sup>+</sup>, and then monitoring the rate of NADH production.  The results are shown in Figure 2.   <strong>Figure 2</strong>  Enzymatic activity of E1 and E2 eluatesExperiment 2Researchers predict that mutations at conserved amino acid sites containing S or T may prevent ALDH2 from being phosphorylated by protein kinase C epsilon (εPKC).  The activity of wild-type ALDH2 (WT) and ALDH2 mutants with substitutions at positions T185 and S279 in the presence or absence of εPKC are summarized in Table 1.<strong>Table 1</strong>  Effect of εPKC on ALDH2 Variants   Adapted from Chen CH, Ferreira JC, Gross ER, Mochly-rosen D. Targeting aldehyde dehydrogenase 2: new therapeutic opportunities. Physiol Rev. 2014;94(1):1-34. Replacing native gel electrophoresis with nonreducing sodium dodecyl sulfate (SDS) polyacrylamide gel electrophoresis (PAGE) during the purification step results in eluates with no enzymatic activity.  The best explanation of this observation would be:</strong> A)ALDH2 must retain its quaternary structure to catalyze reactions. B)the SDS-PAGE breaks disulfide bonds between ALDH2 subunits. C)ALDH2 has the mobility of a 55-kD protein in native PAGE. D)the primary structure of the ALDH2 active site has been modified. <div style=padding-top: 35px> Adapted from Chen CH, Ferreira JC, Gross ER, Mochly-rosen D. Targeting aldehyde dehydrogenase 2: new therapeutic opportunities. Physiol Rev. 2014;94(1):1-34.
Replacing native gel electrophoresis with nonreducing sodium dodecyl sulfate (SDS) polyacrylamide gel electrophoresis (PAGE) during the purification step results in eluates with no enzymatic activity.  The best explanation of this observation would be:

A)ALDH2 must retain its quaternary structure to catalyze reactions.
B)the SDS-PAGE breaks disulfide bonds between ALDH2 subunits.
C)ALDH2 has the mobility of a 55-kD protein in native PAGE.
D)the primary structure of the ALDH2 active site has been modified.
Question
Passage
The tumor suppressor p53 is a homotetrameric protein with an N-terminal transactivation domain (TAD), a proline-rich domain, a DNA-binding domain (DBD), a tetramerization domain (TD), and a C-terminal regulatory domain (REG) on each subunit (Figure 1).
<strong>Passage The tumor suppressor p53 is a homotetrameric protein with an N-terminal transactivation domain (TAD), a proline-rich domain, a DNA-binding domain (DBD), a tetramerization domain (TD), and a C-terminal regulatory domain (REG) on each subunit (Figure 1).   <strong>Figure 1</strong>  Organization of the p53 domains (1-393 amino acids)Human double minute 2 (Hdm2) is a lysine-specific ubiquitin protein ligase that can change the half-life of some proteins, including p53, by signaling for their proteolytic cleavage.  Under normal circumstances, Hdm2 binds p53 at the AD1 region within the TAD and attaches ubiquitin to a lysine residue.  However, errors in DNA replication induce the phosphorylation of residue T18 on p53, which inhibits p53's association with Hdm2.  The overexpression of Hdm2 has been correlated with the downregulation of tumor suppressor p53 in certain types of cancers.  Changes in the NMR chemical shift (ppm) of amino acids in the AD1 region shown in Figure 2 provide evidence for the formation of a p53-Hdm2 complex.   <strong>Figure 2</strong>  <sup>1</sup>H NMR spectrum of the AD1 region in <sup>15</sup>N-labeled p53 during G<sub>0</sub> and G<sub>2</sub> phases of the cell cycleHdm2 also binds to Nedd8 ultimate buster 1 (NUB1), which enhances signaling for the degradation of Nedd8 proteins.  Preliminary data suggest that Hdm2 interacts differently with wild-type NUB1 (WTNUB1) than with mutant K159RNUB1.  To assess the effect of Hdm2 on NUB1 and p53, the half-lives of p53 and Nedd8 protein variants were compared in cells that overexpress Hdm2 (Figure 3).   <strong>Figure 3</strong>  Half-lives of p53, phosphorylated p53 (p53-PO<sub>4</sub>), and Nedd-8 proteins in cells with wild-type or mutant NUB1 over time Adapted from Ferreon JC, Lee CW, Arai M, Martinez-yamout MA, Dyson HJ, Wright PE. Cooperative regulation of p53 by modulation of ternary complex formation with CBP/p300 and HDM2. Proc Natl Acad Sci USA. 2009;106(16):6591-6. In Figure 3, why was protein concentration measured only in human embryonic kidney cells that overexpressed Hdm2?</strong> A)Overexpression of Hdm2 is required for p53 and NUB1 degradation. B)Protein concentration is dependent on the half-life of Hdm2. C)It provides a baseline for the comparison of Nedd8 and p53 levels. D)It ensures Hdm2 concentration was not a limiting factor for degradation. <div style=padding-top: 35px> Figure 1  Organization of the p53 domains (1-393 amino acids)Human double minute 2 (Hdm2) is a lysine-specific ubiquitin protein ligase that can change the half-life of some proteins, including p53, by signaling for their proteolytic cleavage.  Under normal circumstances, Hdm2 binds p53 at the AD1 region within the TAD and attaches ubiquitin to a lysine residue.  However, errors in DNA replication induce the phosphorylation of residue T18 on p53, which inhibits p53's association with Hdm2.  The overexpression of Hdm2 has been correlated with the downregulation of tumor suppressor p53 in certain types of cancers.  Changes in the NMR chemical shift (ppm) of amino acids in the AD1 region shown in Figure 2 provide evidence for the formation of a p53-Hdm2 complex.
<strong>Passage The tumor suppressor p53 is a homotetrameric protein with an N-terminal transactivation domain (TAD), a proline-rich domain, a DNA-binding domain (DBD), a tetramerization domain (TD), and a C-terminal regulatory domain (REG) on each subunit (Figure 1).   <strong>Figure 1</strong>  Organization of the p53 domains (1-393 amino acids)Human double minute 2 (Hdm2) is a lysine-specific ubiquitin protein ligase that can change the half-life of some proteins, including p53, by signaling for their proteolytic cleavage.  Under normal circumstances, Hdm2 binds p53 at the AD1 region within the TAD and attaches ubiquitin to a lysine residue.  However, errors in DNA replication induce the phosphorylation of residue T18 on p53, which inhibits p53's association with Hdm2.  The overexpression of Hdm2 has been correlated with the downregulation of tumor suppressor p53 in certain types of cancers.  Changes in the NMR chemical shift (ppm) of amino acids in the AD1 region shown in Figure 2 provide evidence for the formation of a p53-Hdm2 complex.   <strong>Figure 2</strong>  <sup>1</sup>H NMR spectrum of the AD1 region in <sup>15</sup>N-labeled p53 during G<sub>0</sub> and G<sub>2</sub> phases of the cell cycleHdm2 also binds to Nedd8 ultimate buster 1 (NUB1), which enhances signaling for the degradation of Nedd8 proteins.  Preliminary data suggest that Hdm2 interacts differently with wild-type NUB1 (WTNUB1) than with mutant K159RNUB1.  To assess the effect of Hdm2 on NUB1 and p53, the half-lives of p53 and Nedd8 protein variants were compared in cells that overexpress Hdm2 (Figure 3).   <strong>Figure 3</strong>  Half-lives of p53, phosphorylated p53 (p53-PO<sub>4</sub>), and Nedd-8 proteins in cells with wild-type or mutant NUB1 over time Adapted from Ferreon JC, Lee CW, Arai M, Martinez-yamout MA, Dyson HJ, Wright PE. Cooperative regulation of p53 by modulation of ternary complex formation with CBP/p300 and HDM2. Proc Natl Acad Sci USA. 2009;106(16):6591-6. In Figure 3, why was protein concentration measured only in human embryonic kidney cells that overexpressed Hdm2?</strong> A)Overexpression of Hdm2 is required for p53 and NUB1 degradation. B)Protein concentration is dependent on the half-life of Hdm2. C)It provides a baseline for the comparison of Nedd8 and p53 levels. D)It ensures Hdm2 concentration was not a limiting factor for degradation. <div style=padding-top: 35px> Figure 2  1H NMR spectrum of the AD1 region in 15N-labeled p53 during G0 and G2 phases of the cell cycleHdm2 also binds to Nedd8 ultimate buster 1 (NUB1), which enhances signaling for the degradation of Nedd8 proteins.  Preliminary data suggest that Hdm2 interacts differently with wild-type NUB1 (WTNUB1) than with mutant K159RNUB1.  To assess the effect of Hdm2 on NUB1 and p53, the half-lives of p53 and Nedd8 protein variants were compared in cells that overexpress Hdm2 (Figure 3).
<strong>Passage The tumor suppressor p53 is a homotetrameric protein with an N-terminal transactivation domain (TAD), a proline-rich domain, a DNA-binding domain (DBD), a tetramerization domain (TD), and a C-terminal regulatory domain (REG) on each subunit (Figure 1).   <strong>Figure 1</strong>  Organization of the p53 domains (1-393 amino acids)Human double minute 2 (Hdm2) is a lysine-specific ubiquitin protein ligase that can change the half-life of some proteins, including p53, by signaling for their proteolytic cleavage.  Under normal circumstances, Hdm2 binds p53 at the AD1 region within the TAD and attaches ubiquitin to a lysine residue.  However, errors in DNA replication induce the phosphorylation of residue T18 on p53, which inhibits p53's association with Hdm2.  The overexpression of Hdm2 has been correlated with the downregulation of tumor suppressor p53 in certain types of cancers.  Changes in the NMR chemical shift (ppm) of amino acids in the AD1 region shown in Figure 2 provide evidence for the formation of a p53-Hdm2 complex.   <strong>Figure 2</strong>  <sup>1</sup>H NMR spectrum of the AD1 region in <sup>15</sup>N-labeled p53 during G<sub>0</sub> and G<sub>2</sub> phases of the cell cycleHdm2 also binds to Nedd8 ultimate buster 1 (NUB1), which enhances signaling for the degradation of Nedd8 proteins.  Preliminary data suggest that Hdm2 interacts differently with wild-type NUB1 (WTNUB1) than with mutant K159RNUB1.  To assess the effect of Hdm2 on NUB1 and p53, the half-lives of p53 and Nedd8 protein variants were compared in cells that overexpress Hdm2 (Figure 3).   <strong>Figure 3</strong>  Half-lives of p53, phosphorylated p53 (p53-PO<sub>4</sub>), and Nedd-8 proteins in cells with wild-type or mutant NUB1 over time Adapted from Ferreon JC, Lee CW, Arai M, Martinez-yamout MA, Dyson HJ, Wright PE. Cooperative regulation of p53 by modulation of ternary complex formation with CBP/p300 and HDM2. Proc Natl Acad Sci USA. 2009;106(16):6591-6. In Figure 3, why was protein concentration measured only in human embryonic kidney cells that overexpressed Hdm2?</strong> A)Overexpression of Hdm2 is required for p53 and NUB1 degradation. B)Protein concentration is dependent on the half-life of Hdm2. C)It provides a baseline for the comparison of Nedd8 and p53 levels. D)It ensures Hdm2 concentration was not a limiting factor for degradation. <div style=padding-top: 35px> Figure 3  Half-lives of p53, phosphorylated p53 (p53-PO4), and Nedd-8 proteins in cells with wild-type or mutant NUB1 over time
Adapted from Ferreon JC, Lee CW, Arai M, Martinez-yamout MA, Dyson HJ, Wright PE. Cooperative regulation of p53 by modulation of ternary complex formation with CBP/p300 and HDM2. Proc Natl Acad Sci USA. 2009;106(16):6591-6.
In Figure 3, why was protein concentration measured only in human embryonic kidney cells that overexpressed Hdm2?

A)Overexpression of Hdm2 is required for p53 and NUB1 degradation.
B)Protein concentration is dependent on the half-life of Hdm2.
C)It provides a baseline for the comparison of Nedd8 and p53 levels.
D)It ensures Hdm2 concentration was not a limiting factor for degradation.
Question
Passage
Antimicrobial peptides are an important component of innate immunity.  Since their discovery in 1939, over 5,000 peptides with antimicrobial properties have been isolated from organisms in every domain of life.  They have demonstrated activity against enveloped viruses, bacteria, fungi, and even tumor cells and have recently gained interest for their potential in fighting antibiotic-resistant bacteria.  Most known antimicrobial peptides are positively charged, but some with negative charges have also been discovered.Frogs are known to secrete a variety of antimicrobial peptides as a major source of immunity.  Secretions from a new species of frog were collected and the peptides were separated by cation exchange chromatography.  Four of the isolated peptides demonstrated strong antibacterial activity and were characterized by isoelectric focusing and sequencing:
<strong>Passage Antimicrobial peptides are an important component of innate immunity.  Since their discovery in 1939, over 5,000 peptides with antimicrobial properties have been isolated from organisms in every domain of life.  They have demonstrated activity against enveloped viruses, bacteria, fungi, and even tumor cells and have recently gained interest for their potential in fighting antibiotic-resistant bacteria.  Most known antimicrobial peptides are positively charged, but some with negative charges have also been discovered.Frogs are known to secrete a variety of antimicrobial peptides as a major source of immunity.  Secretions from a new species of frog were collected and the peptides were separated by cation exchange chromatography.  Four of the isolated peptides demonstrated strong antibacterial activity and were characterized by isoelectric focusing and sequencing:   <strong>Figure 1</strong>  Results of isoelectric focusing of four antimicrobial peptides<strong>Table 1</strong>  Amino Acid Compositions of Four Antimicrobial Peptides   Adapted from Wang Z, Wang G. APD: the Antimicrobial Peptide Database. Nucleic Acids Res. 2004;32(Database issue):D590-2. Antimicrobial peptides can be taken into cells by endocytosis.  They are subsequently transported to the lysosome, where the pH decreases to ~5 and peptides are degraded.  After lysosomal degradation, researchers found a tripeptide consisting of the last three amino acids of Peptide 2.  What is the net charge of this tripeptide at lysosomal pH?</strong> A)−1 B)0 C)+1 D)+2 <div style=padding-top: 35px> Figure 1  Results of isoelectric focusing of four antimicrobial peptidesTable 1  Amino Acid Compositions of Four Antimicrobial Peptides
<strong>Passage Antimicrobial peptides are an important component of innate immunity.  Since their discovery in 1939, over 5,000 peptides with antimicrobial properties have been isolated from organisms in every domain of life.  They have demonstrated activity against enveloped viruses, bacteria, fungi, and even tumor cells and have recently gained interest for their potential in fighting antibiotic-resistant bacteria.  Most known antimicrobial peptides are positively charged, but some with negative charges have also been discovered.Frogs are known to secrete a variety of antimicrobial peptides as a major source of immunity.  Secretions from a new species of frog were collected and the peptides were separated by cation exchange chromatography.  Four of the isolated peptides demonstrated strong antibacterial activity and were characterized by isoelectric focusing and sequencing:   <strong>Figure 1</strong>  Results of isoelectric focusing of four antimicrobial peptides<strong>Table 1</strong>  Amino Acid Compositions of Four Antimicrobial Peptides   Adapted from Wang Z, Wang G. APD: the Antimicrobial Peptide Database. Nucleic Acids Res. 2004;32(Database issue):D590-2. Antimicrobial peptides can be taken into cells by endocytosis.  They are subsequently transported to the lysosome, where the pH decreases to ~5 and peptides are degraded.  After lysosomal degradation, researchers found a tripeptide consisting of the last three amino acids of Peptide 2.  What is the net charge of this tripeptide at lysosomal pH?</strong> A)−1 B)0 C)+1 D)+2 <div style=padding-top: 35px> Adapted from Wang Z, Wang G. APD: the Antimicrobial Peptide Database. Nucleic Acids Res. 2004;32(Database issue):D590-2.
Antimicrobial peptides can be taken into cells by endocytosis.  They are subsequently transported to the lysosome, where the pH decreases to ~5 and peptides are degraded.  After lysosomal degradation, researchers found a tripeptide consisting of the last three amino acids of Peptide 2.  What is the net charge of this tripeptide at lysosomal pH?

A)−1
B)0
C)+1
D)+2
Question
Passage
The tumor suppressor p53 is a homotetrameric protein with an N-terminal transactivation domain (TAD), a proline-rich domain, a DNA-binding domain (DBD), a tetramerization domain (TD), and a C-terminal regulatory domain (REG) on each subunit (Figure 1).
<strong>Passage The tumor suppressor p53 is a homotetrameric protein with an N-terminal transactivation domain (TAD), a proline-rich domain, a DNA-binding domain (DBD), a tetramerization domain (TD), and a C-terminal regulatory domain (REG) on each subunit (Figure 1).   <strong>Figure 1</strong>  Organization of the p53 domains (1-393 amino acids)Human double minute 2 (Hdm2) is a lysine-specific ubiquitin protein ligase that can change the half-life of some proteins, including p53, by signaling for their proteolytic cleavage.  Under normal circumstances, Hdm2 binds p53 at the AD1 region within the TAD and attaches ubiquitin to a lysine residue.  However, errors in DNA replication induce the phosphorylation of residue T18 on p53, which inhibits p53's association with Hdm2.  The overexpression of Hdm2 has been correlated with the downregulation of tumor suppressor p53 in certain types of cancers.  Changes in the NMR chemical shift (ppm) of amino acids in the AD1 region shown in Figure 2 provide evidence for the formation of a p53-Hdm2 complex.   <strong>Figure 2</strong>  <sup>1</sup>H NMR spectrum of the AD1 region in <sup>15</sup>N-labeled p53 during G<sub>0</sub> and G<sub>2</sub> phases of the cell cycleHdm2 also binds to Nedd8 ultimate buster 1 (NUB1), which enhances signaling for the degradation of Nedd8 proteins.  Preliminary data suggest that Hdm2 interacts differently with wild-type NUB1 (WTNUB1) than with mutant K159RNUB1.  To assess the effect of Hdm2 on NUB1 and p53, the half-lives of p53 and Nedd8 protein variants were compared in cells that overexpress Hdm2 (Figure 3).   <strong>Figure 3</strong>  Half-lives of p53, phosphorylated p53 (p53-PO<sub>4</sub>), and Nedd-8 proteins in cells with wild-type or mutant NUB1 over time Adapted from Ferreon JC, Lee CW, Arai M, Martinez-yamout MA, Dyson HJ, Wright PE. Cooperative regulation of p53 by modulation of ternary complex formation with CBP/p300 and HDM2. Proc Natl Acad Sci USA. 2009;106(16):6591-6. Which statement best explains the relationship between Hdm2 and Nedd8 protein concentration?</strong> A)Nedd8 protein concentration is directly proportional to Hdm2 activity. B)Degradation of Nedd8 proteins is more efficient when Hdm2 associates with NUB1. C)NUB1-mediated Nedd8 protein degradation is independent of Hdm2 activity. D)Nedd8 protein levels are only dependent on the ability of Hdm2 to degrade NUB1. <div style=padding-top: 35px> Figure 1  Organization of the p53 domains (1-393 amino acids)Human double minute 2 (Hdm2) is a lysine-specific ubiquitin protein ligase that can change the half-life of some proteins, including p53, by signaling for their proteolytic cleavage.  Under normal circumstances, Hdm2 binds p53 at the AD1 region within the TAD and attaches ubiquitin to a lysine residue.  However, errors in DNA replication induce the phosphorylation of residue T18 on p53, which inhibits p53's association with Hdm2.  The overexpression of Hdm2 has been correlated with the downregulation of tumor suppressor p53 in certain types of cancers.  Changes in the NMR chemical shift (ppm) of amino acids in the AD1 region shown in Figure 2 provide evidence for the formation of a p53-Hdm2 complex.
<strong>Passage The tumor suppressor p53 is a homotetrameric protein with an N-terminal transactivation domain (TAD), a proline-rich domain, a DNA-binding domain (DBD), a tetramerization domain (TD), and a C-terminal regulatory domain (REG) on each subunit (Figure 1).   <strong>Figure 1</strong>  Organization of the p53 domains (1-393 amino acids)Human double minute 2 (Hdm2) is a lysine-specific ubiquitin protein ligase that can change the half-life of some proteins, including p53, by signaling for their proteolytic cleavage.  Under normal circumstances, Hdm2 binds p53 at the AD1 region within the TAD and attaches ubiquitin to a lysine residue.  However, errors in DNA replication induce the phosphorylation of residue T18 on p53, which inhibits p53's association with Hdm2.  The overexpression of Hdm2 has been correlated with the downregulation of tumor suppressor p53 in certain types of cancers.  Changes in the NMR chemical shift (ppm) of amino acids in the AD1 region shown in Figure 2 provide evidence for the formation of a p53-Hdm2 complex.   <strong>Figure 2</strong>  <sup>1</sup>H NMR spectrum of the AD1 region in <sup>15</sup>N-labeled p53 during G<sub>0</sub> and G<sub>2</sub> phases of the cell cycleHdm2 also binds to Nedd8 ultimate buster 1 (NUB1), which enhances signaling for the degradation of Nedd8 proteins.  Preliminary data suggest that Hdm2 interacts differently with wild-type NUB1 (WTNUB1) than with mutant K159RNUB1.  To assess the effect of Hdm2 on NUB1 and p53, the half-lives of p53 and Nedd8 protein variants were compared in cells that overexpress Hdm2 (Figure 3).   <strong>Figure 3</strong>  Half-lives of p53, phosphorylated p53 (p53-PO<sub>4</sub>), and Nedd-8 proteins in cells with wild-type or mutant NUB1 over time Adapted from Ferreon JC, Lee CW, Arai M, Martinez-yamout MA, Dyson HJ, Wright PE. Cooperative regulation of p53 by modulation of ternary complex formation with CBP/p300 and HDM2. Proc Natl Acad Sci USA. 2009;106(16):6591-6. Which statement best explains the relationship between Hdm2 and Nedd8 protein concentration?</strong> A)Nedd8 protein concentration is directly proportional to Hdm2 activity. B)Degradation of Nedd8 proteins is more efficient when Hdm2 associates with NUB1. C)NUB1-mediated Nedd8 protein degradation is independent of Hdm2 activity. D)Nedd8 protein levels are only dependent on the ability of Hdm2 to degrade NUB1. <div style=padding-top: 35px> Figure 2  1H NMR spectrum of the AD1 region in 15N-labeled p53 during G0 and G2 phases of the cell cycleHdm2 also binds to Nedd8 ultimate buster 1 (NUB1), which enhances signaling for the degradation of Nedd8 proteins.  Preliminary data suggest that Hdm2 interacts differently with wild-type NUB1 (WTNUB1) than with mutant K159RNUB1.  To assess the effect of Hdm2 on NUB1 and p53, the half-lives of p53 and Nedd8 protein variants were compared in cells that overexpress Hdm2 (Figure 3).
<strong>Passage The tumor suppressor p53 is a homotetrameric protein with an N-terminal transactivation domain (TAD), a proline-rich domain, a DNA-binding domain (DBD), a tetramerization domain (TD), and a C-terminal regulatory domain (REG) on each subunit (Figure 1).   <strong>Figure 1</strong>  Organization of the p53 domains (1-393 amino acids)Human double minute 2 (Hdm2) is a lysine-specific ubiquitin protein ligase that can change the half-life of some proteins, including p53, by signaling for their proteolytic cleavage.  Under normal circumstances, Hdm2 binds p53 at the AD1 region within the TAD and attaches ubiquitin to a lysine residue.  However, errors in DNA replication induce the phosphorylation of residue T18 on p53, which inhibits p53's association with Hdm2.  The overexpression of Hdm2 has been correlated with the downregulation of tumor suppressor p53 in certain types of cancers.  Changes in the NMR chemical shift (ppm) of amino acids in the AD1 region shown in Figure 2 provide evidence for the formation of a p53-Hdm2 complex.   <strong>Figure 2</strong>  <sup>1</sup>H NMR spectrum of the AD1 region in <sup>15</sup>N-labeled p53 during G<sub>0</sub> and G<sub>2</sub> phases of the cell cycleHdm2 also binds to Nedd8 ultimate buster 1 (NUB1), which enhances signaling for the degradation of Nedd8 proteins.  Preliminary data suggest that Hdm2 interacts differently with wild-type NUB1 (WTNUB1) than with mutant K159RNUB1.  To assess the effect of Hdm2 on NUB1 and p53, the half-lives of p53 and Nedd8 protein variants were compared in cells that overexpress Hdm2 (Figure 3).   <strong>Figure 3</strong>  Half-lives of p53, phosphorylated p53 (p53-PO<sub>4</sub>), and Nedd-8 proteins in cells with wild-type or mutant NUB1 over time Adapted from Ferreon JC, Lee CW, Arai M, Martinez-yamout MA, Dyson HJ, Wright PE. Cooperative regulation of p53 by modulation of ternary complex formation with CBP/p300 and HDM2. Proc Natl Acad Sci USA. 2009;106(16):6591-6. Which statement best explains the relationship between Hdm2 and Nedd8 protein concentration?</strong> A)Nedd8 protein concentration is directly proportional to Hdm2 activity. B)Degradation of Nedd8 proteins is more efficient when Hdm2 associates with NUB1. C)NUB1-mediated Nedd8 protein degradation is independent of Hdm2 activity. D)Nedd8 protein levels are only dependent on the ability of Hdm2 to degrade NUB1. <div style=padding-top: 35px> Figure 3  Half-lives of p53, phosphorylated p53 (p53-PO4), and Nedd-8 proteins in cells with wild-type or mutant NUB1 over time
Adapted from Ferreon JC, Lee CW, Arai M, Martinez-yamout MA, Dyson HJ, Wright PE. Cooperative regulation of p53 by modulation of ternary complex formation with CBP/p300 and HDM2. Proc Natl Acad Sci USA. 2009;106(16):6591-6.
Which statement best explains the relationship between Hdm2 and Nedd8 protein concentration?

A)Nedd8 protein concentration is directly proportional to Hdm2 activity.
B)Degradation of Nedd8 proteins is more efficient when Hdm2 associates with NUB1.
C)NUB1-mediated Nedd8 protein degradation is independent of Hdm2 activity.
D)Nedd8 protein levels are only dependent on the ability of Hdm2 to degrade NUB1.
Question
Passage
The tumor suppressor p53 is a homotetrameric protein with an N-terminal transactivation domain (TAD), a proline-rich domain, a DNA-binding domain (DBD), a tetramerization domain (TD), and a C-terminal regulatory domain (REG) on each subunit (Figure 1).
<strong>Passage The tumor suppressor p53 is a homotetrameric protein with an N-terminal transactivation domain (TAD), a proline-rich domain, a DNA-binding domain (DBD), a tetramerization domain (TD), and a C-terminal regulatory domain (REG) on each subunit (Figure 1).   <strong>Figure 1</strong>  Organization of the p53 domains (1-393 amino acids)Human double minute 2 (Hdm2) is a lysine-specific ubiquitin protein ligase that can change the half-life of some proteins, including p53, by signaling for their proteolytic cleavage.  Under normal circumstances, Hdm2 binds p53 at the AD1 region within the TAD and attaches ubiquitin to a lysine residue.  However, errors in DNA replication induce the phosphorylation of residue T18 on p53, which inhibits p53's association with Hdm2.  The overexpression of Hdm2 has been correlated with the downregulation of tumor suppressor p53 in certain types of cancers.  Changes in the NMR chemical shift (ppm) of amino acids in the AD1 region shown in Figure 2 provide evidence for the formation of a p53-Hdm2 complex.   <strong>Figure 2</strong>  <sup>1</sup>H NMR spectrum of the AD1 region in <sup>15</sup>N-labeled p53 during G<sub>0</sub> and G<sub>2</sub> phases of the cell cycleHdm2 also binds to Nedd8 ultimate buster 1 (NUB1), which enhances signaling for the degradation of Nedd8 proteins.  Preliminary data suggest that Hdm2 interacts differently with wild-type NUB1 (WTNUB1) than with mutant K159RNUB1.  To assess the effect of Hdm2 on NUB1 and p53, the half-lives of p53 and Nedd8 protein variants were compared in cells that overexpress Hdm2 (Figure 3).   <strong>Figure 3</strong>  Half-lives of p53, phosphorylated p53 (p53-PO<sub>4</sub>), and Nedd-8 proteins in cells with wild-type or mutant NUB1 over time Adapted from Ferreon JC, Lee CW, Arai M, Martinez-yamout MA, Dyson HJ, Wright PE. Cooperative regulation of p53 by modulation of ternary complex formation with CBP/p300 and HDM2. Proc Natl Acad Sci USA. 2009;106(16):6591-6. The data in Figure 3 support which of the following conclusions?</strong> A)The high K<sub>d</sub> of the Hdm2-p53-PO<sub>4</sub> complex causes p53-PO<sub>4</sub> concentrations to remain steady. B)Unphosphorylated p53 is degraded slowly because it has a low affinity for Hdm2. C)Dephosphorylation reduces the p53 degradation rate by increasing the K<sub>d</sub> of Hdm2-p53-PO<sub>4</sub>. D)Phosphorylated p53 is prone to cleavage due to its higher affinity for Hdm2. <div style=padding-top: 35px> Figure 1  Organization of the p53 domains (1-393 amino acids)Human double minute 2 (Hdm2) is a lysine-specific ubiquitin protein ligase that can change the half-life of some proteins, including p53, by signaling for their proteolytic cleavage.  Under normal circumstances, Hdm2 binds p53 at the AD1 region within the TAD and attaches ubiquitin to a lysine residue.  However, errors in DNA replication induce the phosphorylation of residue T18 on p53, which inhibits p53's association with Hdm2.  The overexpression of Hdm2 has been correlated with the downregulation of tumor suppressor p53 in certain types of cancers.  Changes in the NMR chemical shift (ppm) of amino acids in the AD1 region shown in Figure 2 provide evidence for the formation of a p53-Hdm2 complex.
<strong>Passage The tumor suppressor p53 is a homotetrameric protein with an N-terminal transactivation domain (TAD), a proline-rich domain, a DNA-binding domain (DBD), a tetramerization domain (TD), and a C-terminal regulatory domain (REG) on each subunit (Figure 1).   <strong>Figure 1</strong>  Organization of the p53 domains (1-393 amino acids)Human double minute 2 (Hdm2) is a lysine-specific ubiquitin protein ligase that can change the half-life of some proteins, including p53, by signaling for their proteolytic cleavage.  Under normal circumstances, Hdm2 binds p53 at the AD1 region within the TAD and attaches ubiquitin to a lysine residue.  However, errors in DNA replication induce the phosphorylation of residue T18 on p53, which inhibits p53's association with Hdm2.  The overexpression of Hdm2 has been correlated with the downregulation of tumor suppressor p53 in certain types of cancers.  Changes in the NMR chemical shift (ppm) of amino acids in the AD1 region shown in Figure 2 provide evidence for the formation of a p53-Hdm2 complex.   <strong>Figure 2</strong>  <sup>1</sup>H NMR spectrum of the AD1 region in <sup>15</sup>N-labeled p53 during G<sub>0</sub> and G<sub>2</sub> phases of the cell cycleHdm2 also binds to Nedd8 ultimate buster 1 (NUB1), which enhances signaling for the degradation of Nedd8 proteins.  Preliminary data suggest that Hdm2 interacts differently with wild-type NUB1 (WTNUB1) than with mutant K159RNUB1.  To assess the effect of Hdm2 on NUB1 and p53, the half-lives of p53 and Nedd8 protein variants were compared in cells that overexpress Hdm2 (Figure 3).   <strong>Figure 3</strong>  Half-lives of p53, phosphorylated p53 (p53-PO<sub>4</sub>), and Nedd-8 proteins in cells with wild-type or mutant NUB1 over time Adapted from Ferreon JC, Lee CW, Arai M, Martinez-yamout MA, Dyson HJ, Wright PE. Cooperative regulation of p53 by modulation of ternary complex formation with CBP/p300 and HDM2. Proc Natl Acad Sci USA. 2009;106(16):6591-6. The data in Figure 3 support which of the following conclusions?</strong> A)The high K<sub>d</sub> of the Hdm2-p53-PO<sub>4</sub> complex causes p53-PO<sub>4</sub> concentrations to remain steady. B)Unphosphorylated p53 is degraded slowly because it has a low affinity for Hdm2. C)Dephosphorylation reduces the p53 degradation rate by increasing the K<sub>d</sub> of Hdm2-p53-PO<sub>4</sub>. D)Phosphorylated p53 is prone to cleavage due to its higher affinity for Hdm2. <div style=padding-top: 35px> Figure 2  1H NMR spectrum of the AD1 region in 15N-labeled p53 during G0 and G2 phases of the cell cycleHdm2 also binds to Nedd8 ultimate buster 1 (NUB1), which enhances signaling for the degradation of Nedd8 proteins.  Preliminary data suggest that Hdm2 interacts differently with wild-type NUB1 (WTNUB1) than with mutant K159RNUB1.  To assess the effect of Hdm2 on NUB1 and p53, the half-lives of p53 and Nedd8 protein variants were compared in cells that overexpress Hdm2 (Figure 3).
<strong>Passage The tumor suppressor p53 is a homotetrameric protein with an N-terminal transactivation domain (TAD), a proline-rich domain, a DNA-binding domain (DBD), a tetramerization domain (TD), and a C-terminal regulatory domain (REG) on each subunit (Figure 1).   <strong>Figure 1</strong>  Organization of the p53 domains (1-393 amino acids)Human double minute 2 (Hdm2) is a lysine-specific ubiquitin protein ligase that can change the half-life of some proteins, including p53, by signaling for their proteolytic cleavage.  Under normal circumstances, Hdm2 binds p53 at the AD1 region within the TAD and attaches ubiquitin to a lysine residue.  However, errors in DNA replication induce the phosphorylation of residue T18 on p53, which inhibits p53's association with Hdm2.  The overexpression of Hdm2 has been correlated with the downregulation of tumor suppressor p53 in certain types of cancers.  Changes in the NMR chemical shift (ppm) of amino acids in the AD1 region shown in Figure 2 provide evidence for the formation of a p53-Hdm2 complex.   <strong>Figure 2</strong>  <sup>1</sup>H NMR spectrum of the AD1 region in <sup>15</sup>N-labeled p53 during G<sub>0</sub> and G<sub>2</sub> phases of the cell cycleHdm2 also binds to Nedd8 ultimate buster 1 (NUB1), which enhances signaling for the degradation of Nedd8 proteins.  Preliminary data suggest that Hdm2 interacts differently with wild-type NUB1 (WTNUB1) than with mutant K159RNUB1.  To assess the effect of Hdm2 on NUB1 and p53, the half-lives of p53 and Nedd8 protein variants were compared in cells that overexpress Hdm2 (Figure 3).   <strong>Figure 3</strong>  Half-lives of p53, phosphorylated p53 (p53-PO<sub>4</sub>), and Nedd-8 proteins in cells with wild-type or mutant NUB1 over time Adapted from Ferreon JC, Lee CW, Arai M, Martinez-yamout MA, Dyson HJ, Wright PE. Cooperative regulation of p53 by modulation of ternary complex formation with CBP/p300 and HDM2. Proc Natl Acad Sci USA. 2009;106(16):6591-6. The data in Figure 3 support which of the following conclusions?</strong> A)The high K<sub>d</sub> of the Hdm2-p53-PO<sub>4</sub> complex causes p53-PO<sub>4</sub> concentrations to remain steady. B)Unphosphorylated p53 is degraded slowly because it has a low affinity for Hdm2. C)Dephosphorylation reduces the p53 degradation rate by increasing the K<sub>d</sub> of Hdm2-p53-PO<sub>4</sub>. D)Phosphorylated p53 is prone to cleavage due to its higher affinity for Hdm2. <div style=padding-top: 35px> Figure 3  Half-lives of p53, phosphorylated p53 (p53-PO4), and Nedd-8 proteins in cells with wild-type or mutant NUB1 over time
Adapted from Ferreon JC, Lee CW, Arai M, Martinez-yamout MA, Dyson HJ, Wright PE. Cooperative regulation of p53 by modulation of ternary complex formation with CBP/p300 and HDM2. Proc Natl Acad Sci USA. 2009;106(16):6591-6.
The data in Figure 3 support which of the following conclusions?

A)The high Kd of the Hdm2-p53-PO4 complex causes p53-PO4 concentrations to remain steady.
B)Unphosphorylated p53 is degraded slowly because it has a low affinity for Hdm2.
C)Dephosphorylation reduces the p53 degradation rate by increasing the Kd of Hdm2-p53-PO4.
D)Phosphorylated p53 is prone to cleavage due to its higher affinity for Hdm2.
Question
Passage
Aldehyde dehydrogenase 2 (ALDH2) is essential for the oxidation of toxic aldehydes, and uses NAD+ as the oxidizing agent.  Mitochondrial ALDH2 exists as a 220-kD homotetrameric protein containing a catalytic, nucleotide-binding, and coenzyme-binding domain.  The most prevalent ALDH2 mutation (ALDH2*2) involves an E to K (E478K) substitution in the catalytic domain that leads to decreased enzymatic activity.Scientists hypothesize that Asian populations have higher rates of ALDH2*2 incidence.  The properties of ALDH2 variants in Caucasian and Japanese populations were analyzed in the following experiments.Experiment 1Mitochondrial extracts from both populations were combined in a single mixture and separated by native gel electrophoresis.  Proteins 210-230 kD in size were removed from the agarose gel and further isolated using affinity columns with antibodies designed to separate wild-type ALDH2 from ALDH2*2 by binding the catalytic domain of the wild-type but not the mutant protein.  Concentrated eluates E1 and E2 were produced by washing the affinity columns with buffers that remove unbound proteins and dislodge bound proteins from antibodies, respectively (Figure 1).
<strong>Passage Aldehyde dehydrogenase 2 (ALDH2) is essential for the oxidation of toxic aldehydes, and uses NAD<sup>+</sup> as the oxidizing agent.  Mitochondrial ALDH2 exists as a 220-kD homotetrameric protein containing a catalytic, nucleotide-binding, and coenzyme-binding domain.  The most prevalent ALDH2 mutation (ALDH2*2) involves an E to K (E478K) substitution in the catalytic domain that leads to decreased enzymatic activity.Scientists hypothesize that Asian populations have higher rates of ALDH2*2 incidence.  The properties of ALDH2 variants in Caucasian and Japanese populations were analyzed in the following experiments.Experiment 1Mitochondrial extracts from both populations were combined in a single mixture and separated by native gel electrophoresis.  Proteins 210-230 kD in size were removed from the agarose gel and further isolated using affinity columns with antibodies designed to separate wild-type ALDH2 from ALDH2*2 by binding the catalytic domain of the wild-type but not the mutant protein.  Concentrated eluates E1 and E2 were produced by washing the affinity columns with buffers that remove unbound proteins and dislodge bound proteins from antibodies, respectively (Figure 1).   <strong>Figure 1</strong>  Purification of ALDH2 proteinsALDH2 activity in each eluate was quantified by adding acetaldehyde and NAD<sup>+</sup>, and then monitoring the rate of NADH production.  The results are shown in Figure 2.   <strong>Figure 2</strong>  Enzymatic activity of E1 and E2 eluatesExperiment 2Researchers predict that mutations at conserved amino acid sites containing S or T may prevent ALDH2 from being phosphorylated by protein kinase C epsilon (εPKC).  The activity of wild-type ALDH2 (WT) and ALDH2 mutants with substitutions at positions T185 and S279 in the presence or absence of εPKC are summarized in Table 1.<strong>Table 1</strong>  Effect of εPKC on ALDH2 Variants   Adapted from Chen CH, Ferreira JC, Gross ER, Mochly-rosen D. Targeting aldehyde dehydrogenase 2: new therapeutic opportunities. Physiol Rev. 2014;94(1):1-34. Based on Table 1, which pair of amino acid substitutions in ALDH2 would most likely result in the highest NADH production in the absence of εPKC?</strong> A)T185N and S279Q B)T185D and S279N C)T185E and S279D D)T185Q and S279E <div style=padding-top: 35px> Figure 1  Purification of ALDH2 proteinsALDH2 activity in each eluate was quantified by adding acetaldehyde and NAD+, and then monitoring the rate of NADH production.  The results are shown in Figure 2.
<strong>Passage Aldehyde dehydrogenase 2 (ALDH2) is essential for the oxidation of toxic aldehydes, and uses NAD<sup>+</sup> as the oxidizing agent.  Mitochondrial ALDH2 exists as a 220-kD homotetrameric protein containing a catalytic, nucleotide-binding, and coenzyme-binding domain.  The most prevalent ALDH2 mutation (ALDH2*2) involves an E to K (E478K) substitution in the catalytic domain that leads to decreased enzymatic activity.Scientists hypothesize that Asian populations have higher rates of ALDH2*2 incidence.  The properties of ALDH2 variants in Caucasian and Japanese populations were analyzed in the following experiments.Experiment 1Mitochondrial extracts from both populations were combined in a single mixture and separated by native gel electrophoresis.  Proteins 210-230 kD in size were removed from the agarose gel and further isolated using affinity columns with antibodies designed to separate wild-type ALDH2 from ALDH2*2 by binding the catalytic domain of the wild-type but not the mutant protein.  Concentrated eluates E1 and E2 were produced by washing the affinity columns with buffers that remove unbound proteins and dislodge bound proteins from antibodies, respectively (Figure 1).   <strong>Figure 1</strong>  Purification of ALDH2 proteinsALDH2 activity in each eluate was quantified by adding acetaldehyde and NAD<sup>+</sup>, and then monitoring the rate of NADH production.  The results are shown in Figure 2.   <strong>Figure 2</strong>  Enzymatic activity of E1 and E2 eluatesExperiment 2Researchers predict that mutations at conserved amino acid sites containing S or T may prevent ALDH2 from being phosphorylated by protein kinase C epsilon (εPKC).  The activity of wild-type ALDH2 (WT) and ALDH2 mutants with substitutions at positions T185 and S279 in the presence or absence of εPKC are summarized in Table 1.<strong>Table 1</strong>  Effect of εPKC on ALDH2 Variants   Adapted from Chen CH, Ferreira JC, Gross ER, Mochly-rosen D. Targeting aldehyde dehydrogenase 2: new therapeutic opportunities. Physiol Rev. 2014;94(1):1-34. Based on Table 1, which pair of amino acid substitutions in ALDH2 would most likely result in the highest NADH production in the absence of εPKC?</strong> A)T185N and S279Q B)T185D and S279N C)T185E and S279D D)T185Q and S279E <div style=padding-top: 35px> Figure 2  Enzymatic activity of E1 and E2 eluatesExperiment 2Researchers predict that mutations at conserved amino acid sites containing S or T may prevent ALDH2 from being phosphorylated by protein kinase C epsilon (εPKC).  The activity of wild-type ALDH2 (WT) and ALDH2 mutants with substitutions at positions T185 and S279 in the presence or absence of εPKC are summarized in Table 1.Table 1  Effect of εPKC on ALDH2 Variants
<strong>Passage Aldehyde dehydrogenase 2 (ALDH2) is essential for the oxidation of toxic aldehydes, and uses NAD<sup>+</sup> as the oxidizing agent.  Mitochondrial ALDH2 exists as a 220-kD homotetrameric protein containing a catalytic, nucleotide-binding, and coenzyme-binding domain.  The most prevalent ALDH2 mutation (ALDH2*2) involves an E to K (E478K) substitution in the catalytic domain that leads to decreased enzymatic activity.Scientists hypothesize that Asian populations have higher rates of ALDH2*2 incidence.  The properties of ALDH2 variants in Caucasian and Japanese populations were analyzed in the following experiments.Experiment 1Mitochondrial extracts from both populations were combined in a single mixture and separated by native gel electrophoresis.  Proteins 210-230 kD in size were removed from the agarose gel and further isolated using affinity columns with antibodies designed to separate wild-type ALDH2 from ALDH2*2 by binding the catalytic domain of the wild-type but not the mutant protein.  Concentrated eluates E1 and E2 were produced by washing the affinity columns with buffers that remove unbound proteins and dislodge bound proteins from antibodies, respectively (Figure 1).   <strong>Figure 1</strong>  Purification of ALDH2 proteinsALDH2 activity in each eluate was quantified by adding acetaldehyde and NAD<sup>+</sup>, and then monitoring the rate of NADH production.  The results are shown in Figure 2.   <strong>Figure 2</strong>  Enzymatic activity of E1 and E2 eluatesExperiment 2Researchers predict that mutations at conserved amino acid sites containing S or T may prevent ALDH2 from being phosphorylated by protein kinase C epsilon (εPKC).  The activity of wild-type ALDH2 (WT) and ALDH2 mutants with substitutions at positions T185 and S279 in the presence or absence of εPKC are summarized in Table 1.<strong>Table 1</strong>  Effect of εPKC on ALDH2 Variants   Adapted from Chen CH, Ferreira JC, Gross ER, Mochly-rosen D. Targeting aldehyde dehydrogenase 2: new therapeutic opportunities. Physiol Rev. 2014;94(1):1-34. Based on Table 1, which pair of amino acid substitutions in ALDH2 would most likely result in the highest NADH production in the absence of εPKC?</strong> A)T185N and S279Q B)T185D and S279N C)T185E and S279D D)T185Q and S279E <div style=padding-top: 35px> Adapted from Chen CH, Ferreira JC, Gross ER, Mochly-rosen D. Targeting aldehyde dehydrogenase 2: new therapeutic opportunities. Physiol Rev. 2014;94(1):1-34.
Based on Table 1, which pair of amino acid substitutions in ALDH2 would most likely result in the highest NADH production in the absence of εPKC?

A)T185N and S279Q
B)T185D and S279N
C)T185E and S279D
D)T185Q and S279E
Question
Interleukin-1β is a cytokine that upregulates the synthesis of PGE1, the final enzyme in the arachidonic acid pathway that generates prostaglandin E.  Which of the following plots most likely represents the change in the kinetics of prostaglandin E production in the absence (solid line) and presence (dashed line) of interleukin-1β?

A) <strong>Interleukin-1β is a cytokine that upregulates the synthesis of PGE1, the final enzyme in the arachidonic acid pathway that generates prostaglandin E.  Which of the following plots most likely represents the change in the kinetics of prostaglandin E production in the absence (solid line) and presence (dashed line) of interleukin-1β?</strong> A)   B)   C)   D)   <div style=padding-top: 35px>
B) <strong>Interleukin-1β is a cytokine that upregulates the synthesis of PGE1, the final enzyme in the arachidonic acid pathway that generates prostaglandin E.  Which of the following plots most likely represents the change in the kinetics of prostaglandin E production in the absence (solid line) and presence (dashed line) of interleukin-1β?</strong> A)   B)   C)   D)   <div style=padding-top: 35px>
C) <strong>Interleukin-1β is a cytokine that upregulates the synthesis of PGE1, the final enzyme in the arachidonic acid pathway that generates prostaglandin E.  Which of the following plots most likely represents the change in the kinetics of prostaglandin E production in the absence (solid line) and presence (dashed line) of interleukin-1β?</strong> A)   B)   C)   D)   <div style=padding-top: 35px>
D) <strong>Interleukin-1β is a cytokine that upregulates the synthesis of PGE1, the final enzyme in the arachidonic acid pathway that generates prostaglandin E.  Which of the following plots most likely represents the change in the kinetics of prostaglandin E production in the absence (solid line) and presence (dashed line) of interleukin-1β?</strong> A)   B)   C)   D)   <div style=padding-top: 35px>
Question
Passage
Antimicrobial peptides are an important component of innate immunity.  Since their discovery in 1939, over 5,000 peptides with antimicrobial properties have been isolated from organisms in every domain of life.  They have demonstrated activity against enveloped viruses, bacteria, fungi, and even tumor cells and have recently gained interest for their potential in fighting antibiotic-resistant bacteria.  Most known antimicrobial peptides are positively charged, but some with negative charges have also been discovered.Frogs are known to secrete a variety of antimicrobial peptides as a major source of immunity.  Secretions from a new species of frog were collected and the peptides were separated by cation exchange chromatography.  Four of the isolated peptides demonstrated strong antibacterial activity and were characterized by isoelectric focusing and sequencing:
<strong>Passage Antimicrobial peptides are an important component of innate immunity.  Since their discovery in 1939, over 5,000 peptides with antimicrobial properties have been isolated from organisms in every domain of life.  They have demonstrated activity against enveloped viruses, bacteria, fungi, and even tumor cells and have recently gained interest for their potential in fighting antibiotic-resistant bacteria.  Most known antimicrobial peptides are positively charged, but some with negative charges have also been discovered.Frogs are known to secrete a variety of antimicrobial peptides as a major source of immunity.  Secretions from a new species of frog were collected and the peptides were separated by cation exchange chromatography.  Four of the isolated peptides demonstrated strong antibacterial activity and were characterized by isoelectric focusing and sequencing:   <strong>Figure 1</strong>  Results of isoelectric focusing of four antimicrobial peptides<strong>Table 1</strong>  Amino Acid Compositions of Four Antimicrobial Peptides   Adapted from Wang Z, Wang G. APD: the Antimicrobial Peptide Database. Nucleic Acids Res. 2004;32(Database issue):D590-2. Which amino acid residue is most likely responsible for the decreased isoelectric point of Peptide 2 relative to Peptide 3?</strong> A)Threonine B)Histidine C)Aspartate D)Glutamate <div style=padding-top: 35px> Figure 1  Results of isoelectric focusing of four antimicrobial peptidesTable 1  Amino Acid Compositions of Four Antimicrobial Peptides
<strong>Passage Antimicrobial peptides are an important component of innate immunity.  Since their discovery in 1939, over 5,000 peptides with antimicrobial properties have been isolated from organisms in every domain of life.  They have demonstrated activity against enveloped viruses, bacteria, fungi, and even tumor cells and have recently gained interest for their potential in fighting antibiotic-resistant bacteria.  Most known antimicrobial peptides are positively charged, but some with negative charges have also been discovered.Frogs are known to secrete a variety of antimicrobial peptides as a major source of immunity.  Secretions from a new species of frog were collected and the peptides were separated by cation exchange chromatography.  Four of the isolated peptides demonstrated strong antibacterial activity and were characterized by isoelectric focusing and sequencing:   <strong>Figure 1</strong>  Results of isoelectric focusing of four antimicrobial peptides<strong>Table 1</strong>  Amino Acid Compositions of Four Antimicrobial Peptides   Adapted from Wang Z, Wang G. APD: the Antimicrobial Peptide Database. Nucleic Acids Res. 2004;32(Database issue):D590-2. Which amino acid residue is most likely responsible for the decreased isoelectric point of Peptide 2 relative to Peptide 3?</strong> A)Threonine B)Histidine C)Aspartate D)Glutamate <div style=padding-top: 35px> Adapted from Wang Z, Wang G. APD: the Antimicrobial Peptide Database. Nucleic Acids Res. 2004;32(Database issue):D590-2.
Which amino acid residue is most likely responsible for the decreased isoelectric point of Peptide 2 relative to Peptide 3?

A)Threonine
B)Histidine
C)Aspartate
D)Glutamate
Question
Passage
Aldehyde dehydrogenase 2 (ALDH2) is essential for the oxidation of toxic aldehydes, and uses NAD+ as the oxidizing agent.  Mitochondrial ALDH2 exists as a 220-kD homotetrameric protein containing a catalytic, nucleotide-binding, and coenzyme-binding domain.  The most prevalent ALDH2 mutation (ALDH2*2) involves an E to K (E478K) substitution in the catalytic domain that leads to decreased enzymatic activity.Scientists hypothesize that Asian populations have higher rates of ALDH2*2 incidence.  The properties of ALDH2 variants in Caucasian and Japanese populations were analyzed in the following experiments.Experiment 1Mitochondrial extracts from both populations were combined in a single mixture and separated by native gel electrophoresis.  Proteins 210-230 kD in size were removed from the agarose gel and further isolated using affinity columns with antibodies designed to separate wild-type ALDH2 from ALDH2*2 by binding the catalytic domain of the wild-type but not the mutant protein.  Concentrated eluates E1 and E2 were produced by washing the affinity columns with buffers that remove unbound proteins and dislodge bound proteins from antibodies, respectively (Figure 1).
<strong>Passage Aldehyde dehydrogenase 2 (ALDH2) is essential for the oxidation of toxic aldehydes, and uses NAD<sup>+</sup> as the oxidizing agent.  Mitochondrial ALDH2 exists as a 220-kD homotetrameric protein containing a catalytic, nucleotide-binding, and coenzyme-binding domain.  The most prevalent ALDH2 mutation (ALDH2*2) involves an E to K (E478K) substitution in the catalytic domain that leads to decreased enzymatic activity.Scientists hypothesize that Asian populations have higher rates of ALDH2*2 incidence.  The properties of ALDH2 variants in Caucasian and Japanese populations were analyzed in the following experiments.Experiment 1Mitochondrial extracts from both populations were combined in a single mixture and separated by native gel electrophoresis.  Proteins 210-230 kD in size were removed from the agarose gel and further isolated using affinity columns with antibodies designed to separate wild-type ALDH2 from ALDH2*2 by binding the catalytic domain of the wild-type but not the mutant protein.  Concentrated eluates E1 and E2 were produced by washing the affinity columns with buffers that remove unbound proteins and dislodge bound proteins from antibodies, respectively (Figure 1).   <strong>Figure 1</strong>  Purification of ALDH2 proteinsALDH2 activity in each eluate was quantified by adding acetaldehyde and NAD<sup>+</sup>, and then monitoring the rate of NADH production.  The results are shown in Figure 2.   <strong>Figure 2</strong>  Enzymatic activity of E1 and E2 eluatesExperiment 2Researchers predict that mutations at conserved amino acid sites containing S or T may prevent ALDH2 from being phosphorylated by protein kinase C epsilon (εPKC).  The activity of wild-type ALDH2 (WT) and ALDH2 mutants with substitutions at positions T185 and S279 in the presence or absence of εPKC are summarized in Table 1.<strong>Table 1</strong>  Effect of εPKC on ALDH2 Variants   Adapted from Chen CH, Ferreira JC, Gross ER, Mochly-rosen D. Targeting aldehyde dehydrogenase 2: new therapeutic opportunities. Physiol Rev. 2014;94(1):1-34. The method used to phosphorylate ALDH2 in Experiment 2 must include εPKC and which other component?</strong> A)Inorganic phosphate B)ATP C)Phosphoprotein D)Glucose-6-phosphate <div style=padding-top: 35px> Figure 1  Purification of ALDH2 proteinsALDH2 activity in each eluate was quantified by adding acetaldehyde and NAD+, and then monitoring the rate of NADH production.  The results are shown in Figure 2.
<strong>Passage Aldehyde dehydrogenase 2 (ALDH2) is essential for the oxidation of toxic aldehydes, and uses NAD<sup>+</sup> as the oxidizing agent.  Mitochondrial ALDH2 exists as a 220-kD homotetrameric protein containing a catalytic, nucleotide-binding, and coenzyme-binding domain.  The most prevalent ALDH2 mutation (ALDH2*2) involves an E to K (E478K) substitution in the catalytic domain that leads to decreased enzymatic activity.Scientists hypothesize that Asian populations have higher rates of ALDH2*2 incidence.  The properties of ALDH2 variants in Caucasian and Japanese populations were analyzed in the following experiments.Experiment 1Mitochondrial extracts from both populations were combined in a single mixture and separated by native gel electrophoresis.  Proteins 210-230 kD in size were removed from the agarose gel and further isolated using affinity columns with antibodies designed to separate wild-type ALDH2 from ALDH2*2 by binding the catalytic domain of the wild-type but not the mutant protein.  Concentrated eluates E1 and E2 were produced by washing the affinity columns with buffers that remove unbound proteins and dislodge bound proteins from antibodies, respectively (Figure 1).   <strong>Figure 1</strong>  Purification of ALDH2 proteinsALDH2 activity in each eluate was quantified by adding acetaldehyde and NAD<sup>+</sup>, and then monitoring the rate of NADH production.  The results are shown in Figure 2.   <strong>Figure 2</strong>  Enzymatic activity of E1 and E2 eluatesExperiment 2Researchers predict that mutations at conserved amino acid sites containing S or T may prevent ALDH2 from being phosphorylated by protein kinase C epsilon (εPKC).  The activity of wild-type ALDH2 (WT) and ALDH2 mutants with substitutions at positions T185 and S279 in the presence or absence of εPKC are summarized in Table 1.<strong>Table 1</strong>  Effect of εPKC on ALDH2 Variants   Adapted from Chen CH, Ferreira JC, Gross ER, Mochly-rosen D. Targeting aldehyde dehydrogenase 2: new therapeutic opportunities. Physiol Rev. 2014;94(1):1-34. The method used to phosphorylate ALDH2 in Experiment 2 must include εPKC and which other component?</strong> A)Inorganic phosphate B)ATP C)Phosphoprotein D)Glucose-6-phosphate <div style=padding-top: 35px> Figure 2  Enzymatic activity of E1 and E2 eluatesExperiment 2Researchers predict that mutations at conserved amino acid sites containing S or T may prevent ALDH2 from being phosphorylated by protein kinase C epsilon (εPKC).  The activity of wild-type ALDH2 (WT) and ALDH2 mutants with substitutions at positions T185 and S279 in the presence or absence of εPKC are summarized in Table 1.Table 1  Effect of εPKC on ALDH2 Variants
<strong>Passage Aldehyde dehydrogenase 2 (ALDH2) is essential for the oxidation of toxic aldehydes, and uses NAD<sup>+</sup> as the oxidizing agent.  Mitochondrial ALDH2 exists as a 220-kD homotetrameric protein containing a catalytic, nucleotide-binding, and coenzyme-binding domain.  The most prevalent ALDH2 mutation (ALDH2*2) involves an E to K (E478K) substitution in the catalytic domain that leads to decreased enzymatic activity.Scientists hypothesize that Asian populations have higher rates of ALDH2*2 incidence.  The properties of ALDH2 variants in Caucasian and Japanese populations were analyzed in the following experiments.Experiment 1Mitochondrial extracts from both populations were combined in a single mixture and separated by native gel electrophoresis.  Proteins 210-230 kD in size were removed from the agarose gel and further isolated using affinity columns with antibodies designed to separate wild-type ALDH2 from ALDH2*2 by binding the catalytic domain of the wild-type but not the mutant protein.  Concentrated eluates E1 and E2 were produced by washing the affinity columns with buffers that remove unbound proteins and dislodge bound proteins from antibodies, respectively (Figure 1).   <strong>Figure 1</strong>  Purification of ALDH2 proteinsALDH2 activity in each eluate was quantified by adding acetaldehyde and NAD<sup>+</sup>, and then monitoring the rate of NADH production.  The results are shown in Figure 2.   <strong>Figure 2</strong>  Enzymatic activity of E1 and E2 eluatesExperiment 2Researchers predict that mutations at conserved amino acid sites containing S or T may prevent ALDH2 from being phosphorylated by protein kinase C epsilon (εPKC).  The activity of wild-type ALDH2 (WT) and ALDH2 mutants with substitutions at positions T185 and S279 in the presence or absence of εPKC are summarized in Table 1.<strong>Table 1</strong>  Effect of εPKC on ALDH2 Variants   Adapted from Chen CH, Ferreira JC, Gross ER, Mochly-rosen D. Targeting aldehyde dehydrogenase 2: new therapeutic opportunities. Physiol Rev. 2014;94(1):1-34. The method used to phosphorylate ALDH2 in Experiment 2 must include εPKC and which other component?</strong> A)Inorganic phosphate B)ATP C)Phosphoprotein D)Glucose-6-phosphate <div style=padding-top: 35px> Adapted from Chen CH, Ferreira JC, Gross ER, Mochly-rosen D. Targeting aldehyde dehydrogenase 2: new therapeutic opportunities. Physiol Rev. 2014;94(1):1-34.
The method used to phosphorylate ALDH2 in Experiment 2 must include εPKC and which other component?

A)Inorganic phosphate
B)ATP
C)Phosphoprotein
D)Glucose-6-phosphate
Question
Passage
Aldehyde dehydrogenase 2 (ALDH2) is essential for the oxidation of toxic aldehydes, and uses NAD+ as the oxidizing agent.  Mitochondrial ALDH2 exists as a 220-kD homotetrameric protein containing a catalytic, nucleotide-binding, and coenzyme-binding domain.  The most prevalent ALDH2 mutation (ALDH2*2) involves an E to K (E478K) substitution in the catalytic domain that leads to decreased enzymatic activity.Scientists hypothesize that Asian populations have higher rates of ALDH2*2 incidence.  The properties of ALDH2 variants in Caucasian and Japanese populations were analyzed in the following experiments.Experiment 1Mitochondrial extracts from both populations were combined in a single mixture and separated by native gel electrophoresis.  Proteins 210-230 kD in size were removed from the agarose gel and further isolated using affinity columns with antibodies designed to separate wild-type ALDH2 from ALDH2*2 by binding the catalytic domain of the wild-type but not the mutant protein.  Concentrated eluates E1 and E2 were produced by washing the affinity columns with buffers that remove unbound proteins and dislodge bound proteins from antibodies, respectively (Figure 1).
<strong>Passage Aldehyde dehydrogenase 2 (ALDH2) is essential for the oxidation of toxic aldehydes, and uses NAD<sup>+</sup> as the oxidizing agent.  Mitochondrial ALDH2 exists as a 220-kD homotetrameric protein containing a catalytic, nucleotide-binding, and coenzyme-binding domain.  The most prevalent ALDH2 mutation (ALDH2*2) involves an E to K (E478K) substitution in the catalytic domain that leads to decreased enzymatic activity.Scientists hypothesize that Asian populations have higher rates of ALDH2*2 incidence.  The properties of ALDH2 variants in Caucasian and Japanese populations were analyzed in the following experiments.Experiment 1Mitochondrial extracts from both populations were combined in a single mixture and separated by native gel electrophoresis.  Proteins 210-230 kD in size were removed from the agarose gel and further isolated using affinity columns with antibodies designed to separate wild-type ALDH2 from ALDH2*2 by binding the catalytic domain of the wild-type but not the mutant protein.  Concentrated eluates E1 and E2 were produced by washing the affinity columns with buffers that remove unbound proteins and dislodge bound proteins from antibodies, respectively (Figure 1).   <strong>Figure 1</strong>  Purification of ALDH2 proteinsALDH2 activity in each eluate was quantified by adding acetaldehyde and NAD<sup>+</sup>, and then monitoring the rate of NADH production.  The results are shown in Figure 2.   <strong>Figure 2</strong>  Enzymatic activity of E1 and E2 eluatesExperiment 2Researchers predict that mutations at conserved amino acid sites containing S or T may prevent ALDH2 from being phosphorylated by protein kinase C epsilon (εPKC).  The activity of wild-type ALDH2 (WT) and ALDH2 mutants with substitutions at positions T185 and S279 in the presence or absence of εPKC are summarized in Table 1.<strong>Table 1</strong>  Effect of εPKC on ALDH2 Variants   Adapted from Chen CH, Ferreira JC, Gross ER, Mochly-rosen D. Targeting aldehyde dehydrogenase 2: new therapeutic opportunities. Physiol Rev. 2014;94(1):1-34. Scientists could confirm that Asian populations have higher rates of ALDH2*2 mutations if they discovered which of the following?</strong> A)The proteins in E2 were exclusively from Asian samples. B)None of the proteins in E1 were from Caucasian samples. C)Only WT-ALDH2 proteins were eluted from the affinity column. D)ALDH2*2 proteins were eluted first from the affinity column. <div style=padding-top: 35px> Figure 1  Purification of ALDH2 proteinsALDH2 activity in each eluate was quantified by adding acetaldehyde and NAD+, and then monitoring the rate of NADH production.  The results are shown in Figure 2.
<strong>Passage Aldehyde dehydrogenase 2 (ALDH2) is essential for the oxidation of toxic aldehydes, and uses NAD<sup>+</sup> as the oxidizing agent.  Mitochondrial ALDH2 exists as a 220-kD homotetrameric protein containing a catalytic, nucleotide-binding, and coenzyme-binding domain.  The most prevalent ALDH2 mutation (ALDH2*2) involves an E to K (E478K) substitution in the catalytic domain that leads to decreased enzymatic activity.Scientists hypothesize that Asian populations have higher rates of ALDH2*2 incidence.  The properties of ALDH2 variants in Caucasian and Japanese populations were analyzed in the following experiments.Experiment 1Mitochondrial extracts from both populations were combined in a single mixture and separated by native gel electrophoresis.  Proteins 210-230 kD in size were removed from the agarose gel and further isolated using affinity columns with antibodies designed to separate wild-type ALDH2 from ALDH2*2 by binding the catalytic domain of the wild-type but not the mutant protein.  Concentrated eluates E1 and E2 were produced by washing the affinity columns with buffers that remove unbound proteins and dislodge bound proteins from antibodies, respectively (Figure 1).   <strong>Figure 1</strong>  Purification of ALDH2 proteinsALDH2 activity in each eluate was quantified by adding acetaldehyde and NAD<sup>+</sup>, and then monitoring the rate of NADH production.  The results are shown in Figure 2.   <strong>Figure 2</strong>  Enzymatic activity of E1 and E2 eluatesExperiment 2Researchers predict that mutations at conserved amino acid sites containing S or T may prevent ALDH2 from being phosphorylated by protein kinase C epsilon (εPKC).  The activity of wild-type ALDH2 (WT) and ALDH2 mutants with substitutions at positions T185 and S279 in the presence or absence of εPKC are summarized in Table 1.<strong>Table 1</strong>  Effect of εPKC on ALDH2 Variants   Adapted from Chen CH, Ferreira JC, Gross ER, Mochly-rosen D. Targeting aldehyde dehydrogenase 2: new therapeutic opportunities. Physiol Rev. 2014;94(1):1-34. Scientists could confirm that Asian populations have higher rates of ALDH2*2 mutations if they discovered which of the following?</strong> A)The proteins in E2 were exclusively from Asian samples. B)None of the proteins in E1 were from Caucasian samples. C)Only WT-ALDH2 proteins were eluted from the affinity column. D)ALDH2*2 proteins were eluted first from the affinity column. <div style=padding-top: 35px> Figure 2  Enzymatic activity of E1 and E2 eluatesExperiment 2Researchers predict that mutations at conserved amino acid sites containing S or T may prevent ALDH2 from being phosphorylated by protein kinase C epsilon (εPKC).  The activity of wild-type ALDH2 (WT) and ALDH2 mutants with substitutions at positions T185 and S279 in the presence or absence of εPKC are summarized in Table 1.Table 1  Effect of εPKC on ALDH2 Variants
<strong>Passage Aldehyde dehydrogenase 2 (ALDH2) is essential for the oxidation of toxic aldehydes, and uses NAD<sup>+</sup> as the oxidizing agent.  Mitochondrial ALDH2 exists as a 220-kD homotetrameric protein containing a catalytic, nucleotide-binding, and coenzyme-binding domain.  The most prevalent ALDH2 mutation (ALDH2*2) involves an E to K (E478K) substitution in the catalytic domain that leads to decreased enzymatic activity.Scientists hypothesize that Asian populations have higher rates of ALDH2*2 incidence.  The properties of ALDH2 variants in Caucasian and Japanese populations were analyzed in the following experiments.Experiment 1Mitochondrial extracts from both populations were combined in a single mixture and separated by native gel electrophoresis.  Proteins 210-230 kD in size were removed from the agarose gel and further isolated using affinity columns with antibodies designed to separate wild-type ALDH2 from ALDH2*2 by binding the catalytic domain of the wild-type but not the mutant protein.  Concentrated eluates E1 and E2 were produced by washing the affinity columns with buffers that remove unbound proteins and dislodge bound proteins from antibodies, respectively (Figure 1).   <strong>Figure 1</strong>  Purification of ALDH2 proteinsALDH2 activity in each eluate was quantified by adding acetaldehyde and NAD<sup>+</sup>, and then monitoring the rate of NADH production.  The results are shown in Figure 2.   <strong>Figure 2</strong>  Enzymatic activity of E1 and E2 eluatesExperiment 2Researchers predict that mutations at conserved amino acid sites containing S or T may prevent ALDH2 from being phosphorylated by protein kinase C epsilon (εPKC).  The activity of wild-type ALDH2 (WT) and ALDH2 mutants with substitutions at positions T185 and S279 in the presence or absence of εPKC are summarized in Table 1.<strong>Table 1</strong>  Effect of εPKC on ALDH2 Variants   Adapted from Chen CH, Ferreira JC, Gross ER, Mochly-rosen D. Targeting aldehyde dehydrogenase 2: new therapeutic opportunities. Physiol Rev. 2014;94(1):1-34. Scientists could confirm that Asian populations have higher rates of ALDH2*2 mutations if they discovered which of the following?</strong> A)The proteins in E2 were exclusively from Asian samples. B)None of the proteins in E1 were from Caucasian samples. C)Only WT-ALDH2 proteins were eluted from the affinity column. D)ALDH2*2 proteins were eluted first from the affinity column. <div style=padding-top: 35px> Adapted from Chen CH, Ferreira JC, Gross ER, Mochly-rosen D. Targeting aldehyde dehydrogenase 2: new therapeutic opportunities. Physiol Rev. 2014;94(1):1-34.
Scientists could confirm that Asian populations have higher rates of ALDH2*2 mutations if they discovered which of the following?

A)The proteins in E2 were exclusively from Asian samples.
B)None of the proteins in E1 were from Caucasian samples.
C)Only WT-ALDH2 proteins were eluted from the affinity column.
D)ALDH2*2 proteins were eluted first from the affinity column.
Question
Passage
Antimicrobial peptides are an important component of innate immunity.  Since their discovery in 1939, over 5,000 peptides with antimicrobial properties have been isolated from organisms in every domain of life.  They have demonstrated activity against enveloped viruses, bacteria, fungi, and even tumor cells and have recently gained interest for their potential in fighting antibiotic-resistant bacteria.  Most known antimicrobial peptides are positively charged, but some with negative charges have also been discovered.Frogs are known to secrete a variety of antimicrobial peptides as a major source of immunity.  Secretions from a new species of frog were collected and the peptides were separated by cation exchange chromatography.  Four of the isolated peptides demonstrated strong antibacterial activity and were characterized by isoelectric focusing and sequencing:
<strong>Passage Antimicrobial peptides are an important component of innate immunity.  Since their discovery in 1939, over 5,000 peptides with antimicrobial properties have been isolated from organisms in every domain of life.  They have demonstrated activity against enveloped viruses, bacteria, fungi, and even tumor cells and have recently gained interest for their potential in fighting antibiotic-resistant bacteria.  Most known antimicrobial peptides are positively charged, but some with negative charges have also been discovered.Frogs are known to secrete a variety of antimicrobial peptides as a major source of immunity.  Secretions from a new species of frog were collected and the peptides were separated by cation exchange chromatography.  Four of the isolated peptides demonstrated strong antibacterial activity and were characterized by isoelectric focusing and sequencing:   <strong>Figure 1</strong>  Results of isoelectric focusing of four antimicrobial peptides<strong>Table 1</strong>  Amino Acid Compositions of Four Antimicrobial Peptides   Adapted from Wang Z, Wang G. APD: the Antimicrobial Peptide Database. Nucleic Acids Res. 2004;32(Database issue):D590-2. Some strains of Staphylococcus aureus modify their membranes by attaching lysine to phospholipids on the extracellular side.  Given this information, which of the peptides tested is likely to be most effective against these strains?</strong> A)Peptide 1 B)Peptide 2 C)Peptide 3 D)Peptide 4 <div style=padding-top: 35px> Figure 1  Results of isoelectric focusing of four antimicrobial peptidesTable 1  Amino Acid Compositions of Four Antimicrobial Peptides
<strong>Passage Antimicrobial peptides are an important component of innate immunity.  Since their discovery in 1939, over 5,000 peptides with antimicrobial properties have been isolated from organisms in every domain of life.  They have demonstrated activity against enveloped viruses, bacteria, fungi, and even tumor cells and have recently gained interest for their potential in fighting antibiotic-resistant bacteria.  Most known antimicrobial peptides are positively charged, but some with negative charges have also been discovered.Frogs are known to secrete a variety of antimicrobial peptides as a major source of immunity.  Secretions from a new species of frog were collected and the peptides were separated by cation exchange chromatography.  Four of the isolated peptides demonstrated strong antibacterial activity and were characterized by isoelectric focusing and sequencing:   <strong>Figure 1</strong>  Results of isoelectric focusing of four antimicrobial peptides<strong>Table 1</strong>  Amino Acid Compositions of Four Antimicrobial Peptides   Adapted from Wang Z, Wang G. APD: the Antimicrobial Peptide Database. Nucleic Acids Res. 2004;32(Database issue):D590-2. Some strains of Staphylococcus aureus modify their membranes by attaching lysine to phospholipids on the extracellular side.  Given this information, which of the peptides tested is likely to be most effective against these strains?</strong> A)Peptide 1 B)Peptide 2 C)Peptide 3 D)Peptide 4 <div style=padding-top: 35px> Adapted from Wang Z, Wang G. APD: the Antimicrobial Peptide Database. Nucleic Acids Res. 2004;32(Database issue):D590-2.
Some strains of Staphylococcus aureus modify their membranes by attaching lysine to phospholipids on the extracellular side.  Given this information, which of the peptides tested is likely to be most effective against these strains?

A)Peptide 1
B)Peptide 2
C)Peptide 3
D)Peptide 4
Question
Passage
The tumor suppressor p53 is a homotetrameric protein with an N-terminal transactivation domain (TAD), a proline-rich domain, a DNA-binding domain (DBD), a tetramerization domain (TD), and a C-terminal regulatory domain (REG) on each subunit (Figure 1).
<strong>Passage The tumor suppressor p53 is a homotetrameric protein with an N-terminal transactivation domain (TAD), a proline-rich domain, a DNA-binding domain (DBD), a tetramerization domain (TD), and a C-terminal regulatory domain (REG) on each subunit (Figure 1).   <strong>Figure 1</strong>  Organization of the p53 domains (1-393 amino acids)Human double minute 2 (Hdm2) is a lysine-specific ubiquitin protein ligase that can change the half-life of some proteins, including p53, by signaling for their proteolytic cleavage.  Under normal circumstances, Hdm2 binds p53 at the AD1 region within the TAD and attaches ubiquitin to a lysine residue.  However, errors in DNA replication induce the phosphorylation of residue T18 on p53, which inhibits p53's association with Hdm2.  The overexpression of Hdm2 has been correlated with the downregulation of tumor suppressor p53 in certain types of cancers.  Changes in the NMR chemical shift (ppm) of amino acids in the AD1 region shown in Figure 2 provide evidence for the formation of a p53-Hdm2 complex.   <strong>Figure 2</strong>  <sup>1</sup>H NMR spectrum of the AD1 region in <sup>15</sup>N-labeled p53 during G<sub>0</sub> and G<sub>2</sub> phases of the cell cycleHdm2 also binds to Nedd8 ultimate buster 1 (NUB1), which enhances signaling for the degradation of Nedd8 proteins.  Preliminary data suggest that Hdm2 interacts differently with wild-type NUB1 (WTNUB1) than with mutant K159RNUB1.  To assess the effect of Hdm2 on NUB1 and p53, the half-lives of p53 and Nedd8 protein variants were compared in cells that overexpress Hdm2 (Figure 3).   <strong>Figure 3</strong>  Half-lives of p53, phosphorylated p53 (p53-PO<sub>4</sub>), and Nedd-8 proteins in cells with wild-type or mutant NUB1 over time Adapted from Ferreon JC, Lee CW, Arai M, Martinez-yamout MA, Dyson HJ, Wright PE. Cooperative regulation of p53 by modulation of ternary complex formation with CBP/p300 and HDM2. Proc Natl Acad Sci USA. 2009;106(16):6591-6. P53 displays positive cooperativity when it binds to promoters on DNA.  Which statement regarding p53 structure and function accurately explains this observation?</strong> A)The DBD subunits bind individually to DNA and have independent binding affinities. B)Phosphorylation of the REG increases the affinity of the DBD for DNA. C)The affinity of one DBD subunit for DNA increases as adjacent subunits bind to the DNA. D)Once the first promoter is bound, the binding affinity of the DBD decreases. <div style=padding-top: 35px> Figure 1  Organization of the p53 domains (1-393 amino acids)Human double minute 2 (Hdm2) is a lysine-specific ubiquitin protein ligase that can change the half-life of some proteins, including p53, by signaling for their proteolytic cleavage.  Under normal circumstances, Hdm2 binds p53 at the AD1 region within the TAD and attaches ubiquitin to a lysine residue.  However, errors in DNA replication induce the phosphorylation of residue T18 on p53, which inhibits p53's association with Hdm2.  The overexpression of Hdm2 has been correlated with the downregulation of tumor suppressor p53 in certain types of cancers.  Changes in the NMR chemical shift (ppm) of amino acids in the AD1 region shown in Figure 2 provide evidence for the formation of a p53-Hdm2 complex.
<strong>Passage The tumor suppressor p53 is a homotetrameric protein with an N-terminal transactivation domain (TAD), a proline-rich domain, a DNA-binding domain (DBD), a tetramerization domain (TD), and a C-terminal regulatory domain (REG) on each subunit (Figure 1).   <strong>Figure 1</strong>  Organization of the p53 domains (1-393 amino acids)Human double minute 2 (Hdm2) is a lysine-specific ubiquitin protein ligase that can change the half-life of some proteins, including p53, by signaling for their proteolytic cleavage.  Under normal circumstances, Hdm2 binds p53 at the AD1 region within the TAD and attaches ubiquitin to a lysine residue.  However, errors in DNA replication induce the phosphorylation of residue T18 on p53, which inhibits p53's association with Hdm2.  The overexpression of Hdm2 has been correlated with the downregulation of tumor suppressor p53 in certain types of cancers.  Changes in the NMR chemical shift (ppm) of amino acids in the AD1 region shown in Figure 2 provide evidence for the formation of a p53-Hdm2 complex.   <strong>Figure 2</strong>  <sup>1</sup>H NMR spectrum of the AD1 region in <sup>15</sup>N-labeled p53 during G<sub>0</sub> and G<sub>2</sub> phases of the cell cycleHdm2 also binds to Nedd8 ultimate buster 1 (NUB1), which enhances signaling for the degradation of Nedd8 proteins.  Preliminary data suggest that Hdm2 interacts differently with wild-type NUB1 (WTNUB1) than with mutant K159RNUB1.  To assess the effect of Hdm2 on NUB1 and p53, the half-lives of p53 and Nedd8 protein variants were compared in cells that overexpress Hdm2 (Figure 3).   <strong>Figure 3</strong>  Half-lives of p53, phosphorylated p53 (p53-PO<sub>4</sub>), and Nedd-8 proteins in cells with wild-type or mutant NUB1 over time Adapted from Ferreon JC, Lee CW, Arai M, Martinez-yamout MA, Dyson HJ, Wright PE. Cooperative regulation of p53 by modulation of ternary complex formation with CBP/p300 and HDM2. Proc Natl Acad Sci USA. 2009;106(16):6591-6. P53 displays positive cooperativity when it binds to promoters on DNA.  Which statement regarding p53 structure and function accurately explains this observation?</strong> A)The DBD subunits bind individually to DNA and have independent binding affinities. B)Phosphorylation of the REG increases the affinity of the DBD for DNA. C)The affinity of one DBD subunit for DNA increases as adjacent subunits bind to the DNA. D)Once the first promoter is bound, the binding affinity of the DBD decreases. <div style=padding-top: 35px> Figure 2  1H NMR spectrum of the AD1 region in 15N-labeled p53 during G0 and G2 phases of the cell cycleHdm2 also binds to Nedd8 ultimate buster 1 (NUB1), which enhances signaling for the degradation of Nedd8 proteins.  Preliminary data suggest that Hdm2 interacts differently with wild-type NUB1 (WTNUB1) than with mutant K159RNUB1.  To assess the effect of Hdm2 on NUB1 and p53, the half-lives of p53 and Nedd8 protein variants were compared in cells that overexpress Hdm2 (Figure 3).
<strong>Passage The tumor suppressor p53 is a homotetrameric protein with an N-terminal transactivation domain (TAD), a proline-rich domain, a DNA-binding domain (DBD), a tetramerization domain (TD), and a C-terminal regulatory domain (REG) on each subunit (Figure 1).   <strong>Figure 1</strong>  Organization of the p53 domains (1-393 amino acids)Human double minute 2 (Hdm2) is a lysine-specific ubiquitin protein ligase that can change the half-life of some proteins, including p53, by signaling for their proteolytic cleavage.  Under normal circumstances, Hdm2 binds p53 at the AD1 region within the TAD and attaches ubiquitin to a lysine residue.  However, errors in DNA replication induce the phosphorylation of residue T18 on p53, which inhibits p53's association with Hdm2.  The overexpression of Hdm2 has been correlated with the downregulation of tumor suppressor p53 in certain types of cancers.  Changes in the NMR chemical shift (ppm) of amino acids in the AD1 region shown in Figure 2 provide evidence for the formation of a p53-Hdm2 complex.   <strong>Figure 2</strong>  <sup>1</sup>H NMR spectrum of the AD1 region in <sup>15</sup>N-labeled p53 during G<sub>0</sub> and G<sub>2</sub> phases of the cell cycleHdm2 also binds to Nedd8 ultimate buster 1 (NUB1), which enhances signaling for the degradation of Nedd8 proteins.  Preliminary data suggest that Hdm2 interacts differently with wild-type NUB1 (WTNUB1) than with mutant K159RNUB1.  To assess the effect of Hdm2 on NUB1 and p53, the half-lives of p53 and Nedd8 protein variants were compared in cells that overexpress Hdm2 (Figure 3).   <strong>Figure 3</strong>  Half-lives of p53, phosphorylated p53 (p53-PO<sub>4</sub>), and Nedd-8 proteins in cells with wild-type or mutant NUB1 over time Adapted from Ferreon JC, Lee CW, Arai M, Martinez-yamout MA, Dyson HJ, Wright PE. Cooperative regulation of p53 by modulation of ternary complex formation with CBP/p300 and HDM2. Proc Natl Acad Sci USA. 2009;106(16):6591-6. P53 displays positive cooperativity when it binds to promoters on DNA.  Which statement regarding p53 structure and function accurately explains this observation?</strong> A)The DBD subunits bind individually to DNA and have independent binding affinities. B)Phosphorylation of the REG increases the affinity of the DBD for DNA. C)The affinity of one DBD subunit for DNA increases as adjacent subunits bind to the DNA. D)Once the first promoter is bound, the binding affinity of the DBD decreases. <div style=padding-top: 35px> Figure 3  Half-lives of p53, phosphorylated p53 (p53-PO4), and Nedd-8 proteins in cells with wild-type or mutant NUB1 over time
Adapted from Ferreon JC, Lee CW, Arai M, Martinez-yamout MA, Dyson HJ, Wright PE. Cooperative regulation of p53 by modulation of ternary complex formation with CBP/p300 and HDM2. Proc Natl Acad Sci USA. 2009;106(16):6591-6.
P53 displays positive cooperativity when it binds to promoters on DNA.  Which statement regarding p53 structure and function accurately explains this observation?

A)The DBD subunits bind individually to DNA and have independent binding affinities.
B)Phosphorylation of the REG increases the affinity of the DBD for DNA.
C)The affinity of one DBD subunit for DNA increases as adjacent subunits bind to the DNA.
D)Once the first promoter is bound, the binding affinity of the DBD decreases.
Question
Passage
Antimicrobial peptides are an important component of innate immunity.  Since their discovery in 1939, over 5,000 peptides with antimicrobial properties have been isolated from organisms in every domain of life.  They have demonstrated activity against enveloped viruses, bacteria, fungi, and even tumor cells and have recently gained interest for their potential in fighting antibiotic-resistant bacteria.  Most known antimicrobial peptides are positively charged, but some with negative charges have also been discovered.Frogs are known to secrete a variety of antimicrobial peptides as a major source of immunity.  Secretions from a new species of frog were collected and the peptides were separated by cation exchange chromatography.  Four of the isolated peptides demonstrated strong antibacterial activity and were characterized by isoelectric focusing and sequencing:
<strong>Passage Antimicrobial peptides are an important component of innate immunity.  Since their discovery in 1939, over 5,000 peptides with antimicrobial properties have been isolated from organisms in every domain of life.  They have demonstrated activity against enveloped viruses, bacteria, fungi, and even tumor cells and have recently gained interest for their potential in fighting antibiotic-resistant bacteria.  Most known antimicrobial peptides are positively charged, but some with negative charges have also been discovered.Frogs are known to secrete a variety of antimicrobial peptides as a major source of immunity.  Secretions from a new species of frog were collected and the peptides were separated by cation exchange chromatography.  Four of the isolated peptides demonstrated strong antibacterial activity and were characterized by isoelectric focusing and sequencing:   <strong>Figure 1</strong>  Results of isoelectric focusing of four antimicrobial peptides<strong>Table 1</strong>  Amino Acid Compositions of Four Antimicrobial Peptides   Adapted from Wang Z, Wang G. APD: the Antimicrobial Peptide Database. Nucleic Acids Res. 2004;32(Database issue):D590-2. Suppose the peptides had been purified by size exclusion chromatography instead of cation exchange.  Which peptide would elute last?</strong> A)Peptide 1 B)Peptide 2 C)Peptide 3 D)Peptide 4 <div style=padding-top: 35px> Figure 1  Results of isoelectric focusing of four antimicrobial peptidesTable 1  Amino Acid Compositions of Four Antimicrobial Peptides
<strong>Passage Antimicrobial peptides are an important component of innate immunity.  Since their discovery in 1939, over 5,000 peptides with antimicrobial properties have been isolated from organisms in every domain of life.  They have demonstrated activity against enveloped viruses, bacteria, fungi, and even tumor cells and have recently gained interest for their potential in fighting antibiotic-resistant bacteria.  Most known antimicrobial peptides are positively charged, but some with negative charges have also been discovered.Frogs are known to secrete a variety of antimicrobial peptides as a major source of immunity.  Secretions from a new species of frog were collected and the peptides were separated by cation exchange chromatography.  Four of the isolated peptides demonstrated strong antibacterial activity and were characterized by isoelectric focusing and sequencing:   <strong>Figure 1</strong>  Results of isoelectric focusing of four antimicrobial peptides<strong>Table 1</strong>  Amino Acid Compositions of Four Antimicrobial Peptides   Adapted from Wang Z, Wang G. APD: the Antimicrobial Peptide Database. Nucleic Acids Res. 2004;32(Database issue):D590-2. Suppose the peptides had been purified by size exclusion chromatography instead of cation exchange.  Which peptide would elute last?</strong> A)Peptide 1 B)Peptide 2 C)Peptide 3 D)Peptide 4 <div style=padding-top: 35px> Adapted from Wang Z, Wang G. APD: the Antimicrobial Peptide Database. Nucleic Acids Res. 2004;32(Database issue):D590-2.
Suppose the peptides had been purified by size exclusion chromatography instead of cation exchange.  Which peptide would elute last?

A)Peptide 1
B)Peptide 2
C)Peptide 3
D)Peptide 4
Question
Passage
Aldehyde dehydrogenase 2 (ALDH2) is essential for the oxidation of toxic aldehydes, and uses NAD+ as the oxidizing agent.  Mitochondrial ALDH2 exists as a 220-kD homotetrameric protein containing a catalytic, nucleotide-binding, and coenzyme-binding domain.  The most prevalent ALDH2 mutation (ALDH2*2) involves an E to K (E478K) substitution in the catalytic domain that leads to decreased enzymatic activity.Scientists hypothesize that Asian populations have higher rates of ALDH2*2 incidence.  The properties of ALDH2 variants in Caucasian and Japanese populations were analyzed in the following experiments.Experiment 1Mitochondrial extracts from both populations were combined in a single mixture and separated by native gel electrophoresis.  Proteins 210-230 kD in size were removed from the agarose gel and further isolated using affinity columns with antibodies designed to separate wild-type ALDH2 from ALDH2*2 by binding the catalytic domain of the wild-type but not the mutant protein.  Concentrated eluates E1 and E2 were produced by washing the affinity columns with buffers that remove unbound proteins and dislodge bound proteins from antibodies, respectively (Figure 1).
<strong>Passage Aldehyde dehydrogenase 2 (ALDH2) is essential for the oxidation of toxic aldehydes, and uses NAD<sup>+</sup> as the oxidizing agent.  Mitochondrial ALDH2 exists as a 220-kD homotetrameric protein containing a catalytic, nucleotide-binding, and coenzyme-binding domain.  The most prevalent ALDH2 mutation (ALDH2*2) involves an E to K (E478K) substitution in the catalytic domain that leads to decreased enzymatic activity.Scientists hypothesize that Asian populations have higher rates of ALDH2*2 incidence.  The properties of ALDH2 variants in Caucasian and Japanese populations were analyzed in the following experiments.Experiment 1Mitochondrial extracts from both populations were combined in a single mixture and separated by native gel electrophoresis.  Proteins 210-230 kD in size were removed from the agarose gel and further isolated using affinity columns with antibodies designed to separate wild-type ALDH2 from ALDH2*2 by binding the catalytic domain of the wild-type but not the mutant protein.  Concentrated eluates E1 and E2 were produced by washing the affinity columns with buffers that remove unbound proteins and dislodge bound proteins from antibodies, respectively (Figure 1).   <strong>Figure 1</strong>  Purification of ALDH2 proteinsALDH2 activity in each eluate was quantified by adding acetaldehyde and NAD<sup>+</sup>, and then monitoring the rate of NADH production.  The results are shown in Figure 2.   <strong>Figure 2</strong>  Enzymatic activity of E1 and E2 eluatesExperiment 2Researchers predict that mutations at conserved amino acid sites containing S or T may prevent ALDH2 from being phosphorylated by protein kinase C epsilon (εPKC).  The activity of wild-type ALDH2 (WT) and ALDH2 mutants with substitutions at positions T185 and S279 in the presence or absence of εPKC are summarized in Table 1.<strong>Table 1</strong>  Effect of εPKC on ALDH2 Variants   Adapted from Chen CH, Ferreira JC, Gross ER, Mochly-rosen D. Targeting aldehyde dehydrogenase 2: new therapeutic opportunities. Physiol Rev. 2014;94(1):1-34. The active site of wild-type ALDH2 most likely interacts with which of the following amino acid residues on the antibodies shown in Figure 1?</strong> A)Aspartate B)Phenylalanine C)Isoleucine D)Arginine <div style=padding-top: 35px> Figure 1  Purification of ALDH2 proteinsALDH2 activity in each eluate was quantified by adding acetaldehyde and NAD+, and then monitoring the rate of NADH production.  The results are shown in Figure 2.
<strong>Passage Aldehyde dehydrogenase 2 (ALDH2) is essential for the oxidation of toxic aldehydes, and uses NAD<sup>+</sup> as the oxidizing agent.  Mitochondrial ALDH2 exists as a 220-kD homotetrameric protein containing a catalytic, nucleotide-binding, and coenzyme-binding domain.  The most prevalent ALDH2 mutation (ALDH2*2) involves an E to K (E478K) substitution in the catalytic domain that leads to decreased enzymatic activity.Scientists hypothesize that Asian populations have higher rates of ALDH2*2 incidence.  The properties of ALDH2 variants in Caucasian and Japanese populations were analyzed in the following experiments.Experiment 1Mitochondrial extracts from both populations were combined in a single mixture and separated by native gel electrophoresis.  Proteins 210-230 kD in size were removed from the agarose gel and further isolated using affinity columns with antibodies designed to separate wild-type ALDH2 from ALDH2*2 by binding the catalytic domain of the wild-type but not the mutant protein.  Concentrated eluates E1 and E2 were produced by washing the affinity columns with buffers that remove unbound proteins and dislodge bound proteins from antibodies, respectively (Figure 1).   <strong>Figure 1</strong>  Purification of ALDH2 proteinsALDH2 activity in each eluate was quantified by adding acetaldehyde and NAD<sup>+</sup>, and then monitoring the rate of NADH production.  The results are shown in Figure 2.   <strong>Figure 2</strong>  Enzymatic activity of E1 and E2 eluatesExperiment 2Researchers predict that mutations at conserved amino acid sites containing S or T may prevent ALDH2 from being phosphorylated by protein kinase C epsilon (εPKC).  The activity of wild-type ALDH2 (WT) and ALDH2 mutants with substitutions at positions T185 and S279 in the presence or absence of εPKC are summarized in Table 1.<strong>Table 1</strong>  Effect of εPKC on ALDH2 Variants   Adapted from Chen CH, Ferreira JC, Gross ER, Mochly-rosen D. Targeting aldehyde dehydrogenase 2: new therapeutic opportunities. Physiol Rev. 2014;94(1):1-34. The active site of wild-type ALDH2 most likely interacts with which of the following amino acid residues on the antibodies shown in Figure 1?</strong> A)Aspartate B)Phenylalanine C)Isoleucine D)Arginine <div style=padding-top: 35px> Figure 2  Enzymatic activity of E1 and E2 eluatesExperiment 2Researchers predict that mutations at conserved amino acid sites containing S or T may prevent ALDH2 from being phosphorylated by protein kinase C epsilon (εPKC).  The activity of wild-type ALDH2 (WT) and ALDH2 mutants with substitutions at positions T185 and S279 in the presence or absence of εPKC are summarized in Table 1.Table 1  Effect of εPKC on ALDH2 Variants
<strong>Passage Aldehyde dehydrogenase 2 (ALDH2) is essential for the oxidation of toxic aldehydes, and uses NAD<sup>+</sup> as the oxidizing agent.  Mitochondrial ALDH2 exists as a 220-kD homotetrameric protein containing a catalytic, nucleotide-binding, and coenzyme-binding domain.  The most prevalent ALDH2 mutation (ALDH2*2) involves an E to K (E478K) substitution in the catalytic domain that leads to decreased enzymatic activity.Scientists hypothesize that Asian populations have higher rates of ALDH2*2 incidence.  The properties of ALDH2 variants in Caucasian and Japanese populations were analyzed in the following experiments.Experiment 1Mitochondrial extracts from both populations were combined in a single mixture and separated by native gel electrophoresis.  Proteins 210-230 kD in size were removed from the agarose gel and further isolated using affinity columns with antibodies designed to separate wild-type ALDH2 from ALDH2*2 by binding the catalytic domain of the wild-type but not the mutant protein.  Concentrated eluates E1 and E2 were produced by washing the affinity columns with buffers that remove unbound proteins and dislodge bound proteins from antibodies, respectively (Figure 1).   <strong>Figure 1</strong>  Purification of ALDH2 proteinsALDH2 activity in each eluate was quantified by adding acetaldehyde and NAD<sup>+</sup>, and then monitoring the rate of NADH production.  The results are shown in Figure 2.   <strong>Figure 2</strong>  Enzymatic activity of E1 and E2 eluatesExperiment 2Researchers predict that mutations at conserved amino acid sites containing S or T may prevent ALDH2 from being phosphorylated by protein kinase C epsilon (εPKC).  The activity of wild-type ALDH2 (WT) and ALDH2 mutants with substitutions at positions T185 and S279 in the presence or absence of εPKC are summarized in Table 1.<strong>Table 1</strong>  Effect of εPKC on ALDH2 Variants   Adapted from Chen CH, Ferreira JC, Gross ER, Mochly-rosen D. Targeting aldehyde dehydrogenase 2: new therapeutic opportunities. Physiol Rev. 2014;94(1):1-34. The active site of wild-type ALDH2 most likely interacts with which of the following amino acid residues on the antibodies shown in Figure 1?</strong> A)Aspartate B)Phenylalanine C)Isoleucine D)Arginine <div style=padding-top: 35px> Adapted from Chen CH, Ferreira JC, Gross ER, Mochly-rosen D. Targeting aldehyde dehydrogenase 2: new therapeutic opportunities. Physiol Rev. 2014;94(1):1-34.
The active site of wild-type ALDH2 most likely interacts with which of the following amino acid residues on the antibodies shown in Figure 1?

A)Aspartate
B)Phenylalanine
C)Isoleucine
D)Arginine
Question
Passage
The tumor suppressor p53 is a homotetrameric protein with an N-terminal transactivation domain (TAD), a proline-rich domain, a DNA-binding domain (DBD), a tetramerization domain (TD), and a C-terminal regulatory domain (REG) on each subunit (Figure 1).
<strong>Passage The tumor suppressor p53 is a homotetrameric protein with an N-terminal transactivation domain (TAD), a proline-rich domain, a DNA-binding domain (DBD), a tetramerization domain (TD), and a C-terminal regulatory domain (REG) on each subunit (Figure 1).   <strong>Figure 1</strong>  Organization of the p53 domains (1-393 amino acids)Human double minute 2 (Hdm2) is a lysine-specific ubiquitin protein ligase that can change the half-life of some proteins, including p53, by signaling for their proteolytic cleavage.  Under normal circumstances, Hdm2 binds p53 at the AD1 region within the TAD and attaches ubiquitin to a lysine residue.  However, errors in DNA replication induce the phosphorylation of residue T18 on p53, which inhibits p53's association with Hdm2.  The overexpression of Hdm2 has been correlated with the downregulation of tumor suppressor p53 in certain types of cancers.  Changes in the NMR chemical shift (ppm) of amino acids in the AD1 region shown in Figure 2 provide evidence for the formation of a p53-Hdm2 complex.   <strong>Figure 2</strong>  <sup>1</sup>H NMR spectrum of the AD1 region in <sup>15</sup>N-labeled p53 during G<sub>0</sub> and G<sub>2</sub> phases of the cell cycleHdm2 also binds to Nedd8 ultimate buster 1 (NUB1), which enhances signaling for the degradation of Nedd8 proteins.  Preliminary data suggest that Hdm2 interacts differently with wild-type NUB1 (WTNUB1) than with mutant K159RNUB1.  To assess the effect of Hdm2 on NUB1 and p53, the half-lives of p53 and Nedd8 protein variants were compared in cells that overexpress Hdm2 (Figure 3).   <strong>Figure 3</strong>  Half-lives of p53, phosphorylated p53 (p53-PO<sub>4</sub>), and Nedd-8 proteins in cells with wild-type or mutant NUB1 over time Adapted from Ferreon JC, Lee CW, Arai M, Martinez-yamout MA, Dyson HJ, Wright PE. Cooperative regulation of p53 by modulation of ternary complex formation with CBP/p300 and HDM2. Proc Natl Acad Sci USA. 2009;106(16):6591-6. Which of the following mutations would most likely decrease the degradation of p53?</strong> A)V → L in the DBD B)K → H in the TAD C)T → S in the N-terminal domain D)P → G in the P-rich domain <div style=padding-top: 35px> Figure 1  Organization of the p53 domains (1-393 amino acids)Human double minute 2 (Hdm2) is a lysine-specific ubiquitin protein ligase that can change the half-life of some proteins, including p53, by signaling for their proteolytic cleavage.  Under normal circumstances, Hdm2 binds p53 at the AD1 region within the TAD and attaches ubiquitin to a lysine residue.  However, errors in DNA replication induce the phosphorylation of residue T18 on p53, which inhibits p53's association with Hdm2.  The overexpression of Hdm2 has been correlated with the downregulation of tumor suppressor p53 in certain types of cancers.  Changes in the NMR chemical shift (ppm) of amino acids in the AD1 region shown in Figure 2 provide evidence for the formation of a p53-Hdm2 complex.
<strong>Passage The tumor suppressor p53 is a homotetrameric protein with an N-terminal transactivation domain (TAD), a proline-rich domain, a DNA-binding domain (DBD), a tetramerization domain (TD), and a C-terminal regulatory domain (REG) on each subunit (Figure 1).   <strong>Figure 1</strong>  Organization of the p53 domains (1-393 amino acids)Human double minute 2 (Hdm2) is a lysine-specific ubiquitin protein ligase that can change the half-life of some proteins, including p53, by signaling for their proteolytic cleavage.  Under normal circumstances, Hdm2 binds p53 at the AD1 region within the TAD and attaches ubiquitin to a lysine residue.  However, errors in DNA replication induce the phosphorylation of residue T18 on p53, which inhibits p53's association with Hdm2.  The overexpression of Hdm2 has been correlated with the downregulation of tumor suppressor p53 in certain types of cancers.  Changes in the NMR chemical shift (ppm) of amino acids in the AD1 region shown in Figure 2 provide evidence for the formation of a p53-Hdm2 complex.   <strong>Figure 2</strong>  <sup>1</sup>H NMR spectrum of the AD1 region in <sup>15</sup>N-labeled p53 during G<sub>0</sub> and G<sub>2</sub> phases of the cell cycleHdm2 also binds to Nedd8 ultimate buster 1 (NUB1), which enhances signaling for the degradation of Nedd8 proteins.  Preliminary data suggest that Hdm2 interacts differently with wild-type NUB1 (WTNUB1) than with mutant K159RNUB1.  To assess the effect of Hdm2 on NUB1 and p53, the half-lives of p53 and Nedd8 protein variants were compared in cells that overexpress Hdm2 (Figure 3).   <strong>Figure 3</strong>  Half-lives of p53, phosphorylated p53 (p53-PO<sub>4</sub>), and Nedd-8 proteins in cells with wild-type or mutant NUB1 over time Adapted from Ferreon JC, Lee CW, Arai M, Martinez-yamout MA, Dyson HJ, Wright PE. Cooperative regulation of p53 by modulation of ternary complex formation with CBP/p300 and HDM2. Proc Natl Acad Sci USA. 2009;106(16):6591-6. Which of the following mutations would most likely decrease the degradation of p53?</strong> A)V → L in the DBD B)K → H in the TAD C)T → S in the N-terminal domain D)P → G in the P-rich domain <div style=padding-top: 35px> Figure 2  1H NMR spectrum of the AD1 region in 15N-labeled p53 during G0 and G2 phases of the cell cycleHdm2 also binds to Nedd8 ultimate buster 1 (NUB1), which enhances signaling for the degradation of Nedd8 proteins.  Preliminary data suggest that Hdm2 interacts differently with wild-type NUB1 (WTNUB1) than with mutant K159RNUB1.  To assess the effect of Hdm2 on NUB1 and p53, the half-lives of p53 and Nedd8 protein variants were compared in cells that overexpress Hdm2 (Figure 3).
<strong>Passage The tumor suppressor p53 is a homotetrameric protein with an N-terminal transactivation domain (TAD), a proline-rich domain, a DNA-binding domain (DBD), a tetramerization domain (TD), and a C-terminal regulatory domain (REG) on each subunit (Figure 1).   <strong>Figure 1</strong>  Organization of the p53 domains (1-393 amino acids)Human double minute 2 (Hdm2) is a lysine-specific ubiquitin protein ligase that can change the half-life of some proteins, including p53, by signaling for their proteolytic cleavage.  Under normal circumstances, Hdm2 binds p53 at the AD1 region within the TAD and attaches ubiquitin to a lysine residue.  However, errors in DNA replication induce the phosphorylation of residue T18 on p53, which inhibits p53's association with Hdm2.  The overexpression of Hdm2 has been correlated with the downregulation of tumor suppressor p53 in certain types of cancers.  Changes in the NMR chemical shift (ppm) of amino acids in the AD1 region shown in Figure 2 provide evidence for the formation of a p53-Hdm2 complex.   <strong>Figure 2</strong>  <sup>1</sup>H NMR spectrum of the AD1 region in <sup>15</sup>N-labeled p53 during G<sub>0</sub> and G<sub>2</sub> phases of the cell cycleHdm2 also binds to Nedd8 ultimate buster 1 (NUB1), which enhances signaling for the degradation of Nedd8 proteins.  Preliminary data suggest that Hdm2 interacts differently with wild-type NUB1 (WTNUB1) than with mutant K159RNUB1.  To assess the effect of Hdm2 on NUB1 and p53, the half-lives of p53 and Nedd8 protein variants were compared in cells that overexpress Hdm2 (Figure 3).   <strong>Figure 3</strong>  Half-lives of p53, phosphorylated p53 (p53-PO<sub>4</sub>), and Nedd-8 proteins in cells with wild-type or mutant NUB1 over time Adapted from Ferreon JC, Lee CW, Arai M, Martinez-yamout MA, Dyson HJ, Wright PE. Cooperative regulation of p53 by modulation of ternary complex formation with CBP/p300 and HDM2. Proc Natl Acad Sci USA. 2009;106(16):6591-6. Which of the following mutations would most likely decrease the degradation of p53?</strong> A)V → L in the DBD B)K → H in the TAD C)T → S in the N-terminal domain D)P → G in the P-rich domain <div style=padding-top: 35px> Figure 3  Half-lives of p53, phosphorylated p53 (p53-PO4), and Nedd-8 proteins in cells with wild-type or mutant NUB1 over time
Adapted from Ferreon JC, Lee CW, Arai M, Martinez-yamout MA, Dyson HJ, Wright PE. Cooperative regulation of p53 by modulation of ternary complex formation with CBP/p300 and HDM2. Proc Natl Acad Sci USA. 2009;106(16):6591-6.
Which of the following mutations would most likely decrease the degradation of p53?

A)V → L in the DBD
B)K → H in the TAD
C)T → S in the N-terminal domain
D)P → G in the P-rich domain
Question
Passage
Aldehyde dehydrogenase 2 (ALDH2) is essential for the oxidation of toxic aldehydes, and uses NAD+ as the oxidizing agent.  Mitochondrial ALDH2 exists as a 220-kD homotetrameric protein containing a catalytic, nucleotide-binding, and coenzyme-binding domain.  The most prevalent ALDH2 mutation (ALDH2*2) involves an E to K (E478K) substitution in the catalytic domain that leads to decreased enzymatic activity.Scientists hypothesize that Asian populations have higher rates of ALDH2*2 incidence.  The properties of ALDH2 variants in Caucasian and Japanese populations were analyzed in the following experiments.Experiment 1Mitochondrial extracts from both populations were combined in a single mixture and separated by native gel electrophoresis.  Proteins 210-230 kD in size were removed from the agarose gel and further isolated using affinity columns with antibodies designed to separate wild-type ALDH2 from ALDH2*2 by binding the catalytic domain of the wild-type but not the mutant protein.  Concentrated eluates E1 and E2 were produced by washing the affinity columns with buffers that remove unbound proteins and dislodge bound proteins from antibodies, respectively (Figure 1).
<strong>Passage Aldehyde dehydrogenase 2 (ALDH2) is essential for the oxidation of toxic aldehydes, and uses NAD<sup>+</sup> as the oxidizing agent.  Mitochondrial ALDH2 exists as a 220-kD homotetrameric protein containing a catalytic, nucleotide-binding, and coenzyme-binding domain.  The most prevalent ALDH2 mutation (ALDH2*2) involves an E to K (E478K) substitution in the catalytic domain that leads to decreased enzymatic activity.Scientists hypothesize that Asian populations have higher rates of ALDH2*2 incidence.  The properties of ALDH2 variants in Caucasian and Japanese populations were analyzed in the following experiments.Experiment 1Mitochondrial extracts from both populations were combined in a single mixture and separated by native gel electrophoresis.  Proteins 210-230 kD in size were removed from the agarose gel and further isolated using affinity columns with antibodies designed to separate wild-type ALDH2 from ALDH2*2 by binding the catalytic domain of the wild-type but not the mutant protein.  Concentrated eluates E1 and E2 were produced by washing the affinity columns with buffers that remove unbound proteins and dislodge bound proteins from antibodies, respectively (Figure 1).   <strong>Figure 1</strong>  Purification of ALDH2 proteinsALDH2 activity in each eluate was quantified by adding acetaldehyde and NAD<sup>+</sup>, and then monitoring the rate of NADH production.  The results are shown in Figure 2.   <strong>Figure 2</strong>  Enzymatic activity of E1 and E2 eluatesExperiment 2Researchers predict that mutations at conserved amino acid sites containing S or T may prevent ALDH2 from being phosphorylated by protein kinase C epsilon (εPKC).  The activity of wild-type ALDH2 (WT) and ALDH2 mutants with substitutions at positions T185 and S279 in the presence or absence of εPKC are summarized in Table 1.<strong>Table 1</strong>  Effect of εPKC on ALDH2 Variants   Adapted from Chen CH, Ferreira JC, Gross ER, Mochly-rosen D. Targeting aldehyde dehydrogenase 2: new therapeutic opportunities. Physiol Rev. 2014;94(1):1-34. Increasing the concentration of sodium chloride (NaCl) in the E2 eluate could affect the rate of NADH production in what way?</strong> A)Increased NADH production by enhancing hydrogen bonding B)Decreased NADH production by reducing hydrophobicity C)Increased NADH production by increasing basicity D)Decreased NADH production by disrupting ionic bonding <div style=padding-top: 35px> Figure 1  Purification of ALDH2 proteinsALDH2 activity in each eluate was quantified by adding acetaldehyde and NAD+, and then monitoring the rate of NADH production.  The results are shown in Figure 2.
<strong>Passage Aldehyde dehydrogenase 2 (ALDH2) is essential for the oxidation of toxic aldehydes, and uses NAD<sup>+</sup> as the oxidizing agent.  Mitochondrial ALDH2 exists as a 220-kD homotetrameric protein containing a catalytic, nucleotide-binding, and coenzyme-binding domain.  The most prevalent ALDH2 mutation (ALDH2*2) involves an E to K (E478K) substitution in the catalytic domain that leads to decreased enzymatic activity.Scientists hypothesize that Asian populations have higher rates of ALDH2*2 incidence.  The properties of ALDH2 variants in Caucasian and Japanese populations were analyzed in the following experiments.Experiment 1Mitochondrial extracts from both populations were combined in a single mixture and separated by native gel electrophoresis.  Proteins 210-230 kD in size were removed from the agarose gel and further isolated using affinity columns with antibodies designed to separate wild-type ALDH2 from ALDH2*2 by binding the catalytic domain of the wild-type but not the mutant protein.  Concentrated eluates E1 and E2 were produced by washing the affinity columns with buffers that remove unbound proteins and dislodge bound proteins from antibodies, respectively (Figure 1).   <strong>Figure 1</strong>  Purification of ALDH2 proteinsALDH2 activity in each eluate was quantified by adding acetaldehyde and NAD<sup>+</sup>, and then monitoring the rate of NADH production.  The results are shown in Figure 2.   <strong>Figure 2</strong>  Enzymatic activity of E1 and E2 eluatesExperiment 2Researchers predict that mutations at conserved amino acid sites containing S or T may prevent ALDH2 from being phosphorylated by protein kinase C epsilon (εPKC).  The activity of wild-type ALDH2 (WT) and ALDH2 mutants with substitutions at positions T185 and S279 in the presence or absence of εPKC are summarized in Table 1.<strong>Table 1</strong>  Effect of εPKC on ALDH2 Variants   Adapted from Chen CH, Ferreira JC, Gross ER, Mochly-rosen D. Targeting aldehyde dehydrogenase 2: new therapeutic opportunities. Physiol Rev. 2014;94(1):1-34. Increasing the concentration of sodium chloride (NaCl) in the E2 eluate could affect the rate of NADH production in what way?</strong> A)Increased NADH production by enhancing hydrogen bonding B)Decreased NADH production by reducing hydrophobicity C)Increased NADH production by increasing basicity D)Decreased NADH production by disrupting ionic bonding <div style=padding-top: 35px> Figure 2  Enzymatic activity of E1 and E2 eluatesExperiment 2Researchers predict that mutations at conserved amino acid sites containing S or T may prevent ALDH2 from being phosphorylated by protein kinase C epsilon (εPKC).  The activity of wild-type ALDH2 (WT) and ALDH2 mutants with substitutions at positions T185 and S279 in the presence or absence of εPKC are summarized in Table 1.Table 1  Effect of εPKC on ALDH2 Variants
<strong>Passage Aldehyde dehydrogenase 2 (ALDH2) is essential for the oxidation of toxic aldehydes, and uses NAD<sup>+</sup> as the oxidizing agent.  Mitochondrial ALDH2 exists as a 220-kD homotetrameric protein containing a catalytic, nucleotide-binding, and coenzyme-binding domain.  The most prevalent ALDH2 mutation (ALDH2*2) involves an E to K (E478K) substitution in the catalytic domain that leads to decreased enzymatic activity.Scientists hypothesize that Asian populations have higher rates of ALDH2*2 incidence.  The properties of ALDH2 variants in Caucasian and Japanese populations were analyzed in the following experiments.Experiment 1Mitochondrial extracts from both populations were combined in a single mixture and separated by native gel electrophoresis.  Proteins 210-230 kD in size were removed from the agarose gel and further isolated using affinity columns with antibodies designed to separate wild-type ALDH2 from ALDH2*2 by binding the catalytic domain of the wild-type but not the mutant protein.  Concentrated eluates E1 and E2 were produced by washing the affinity columns with buffers that remove unbound proteins and dislodge bound proteins from antibodies, respectively (Figure 1).   <strong>Figure 1</strong>  Purification of ALDH2 proteinsALDH2 activity in each eluate was quantified by adding acetaldehyde and NAD<sup>+</sup>, and then monitoring the rate of NADH production.  The results are shown in Figure 2.   <strong>Figure 2</strong>  Enzymatic activity of E1 and E2 eluatesExperiment 2Researchers predict that mutations at conserved amino acid sites containing S or T may prevent ALDH2 from being phosphorylated by protein kinase C epsilon (εPKC).  The activity of wild-type ALDH2 (WT) and ALDH2 mutants with substitutions at positions T185 and S279 in the presence or absence of εPKC are summarized in Table 1.<strong>Table 1</strong>  Effect of εPKC on ALDH2 Variants   Adapted from Chen CH, Ferreira JC, Gross ER, Mochly-rosen D. Targeting aldehyde dehydrogenase 2: new therapeutic opportunities. Physiol Rev. 2014;94(1):1-34. Increasing the concentration of sodium chloride (NaCl) in the E2 eluate could affect the rate of NADH production in what way?</strong> A)Increased NADH production by enhancing hydrogen bonding B)Decreased NADH production by reducing hydrophobicity C)Increased NADH production by increasing basicity D)Decreased NADH production by disrupting ionic bonding <div style=padding-top: 35px> Adapted from Chen CH, Ferreira JC, Gross ER, Mochly-rosen D. Targeting aldehyde dehydrogenase 2: new therapeutic opportunities. Physiol Rev. 2014;94(1):1-34.
Increasing the concentration of sodium chloride (NaCl) in the E2 eluate could affect the rate of NADH production in what way?

A)Increased NADH production by enhancing hydrogen bonding
B)Decreased NADH production by reducing hydrophobicity
C)Increased NADH production by increasing basicity
D)Decreased NADH production by disrupting ionic bonding
Question
Passage
Antimicrobial peptides are an important component of innate immunity.  Since their discovery in 1939, over 5,000 peptides with antimicrobial properties have been isolated from organisms in every domain of life.  They have demonstrated activity against enveloped viruses, bacteria, fungi, and even tumor cells and have recently gained interest for their potential in fighting antibiotic-resistant bacteria.  Most known antimicrobial peptides are positively charged, but some with negative charges have also been discovered.Frogs are known to secrete a variety of antimicrobial peptides as a major source of immunity.  Secretions from a new species of frog were collected and the peptides were separated by cation exchange chromatography.  Four of the isolated peptides demonstrated strong antibacterial activity and were characterized by isoelectric focusing and sequencing:
<strong>Passage Antimicrobial peptides are an important component of innate immunity.  Since their discovery in 1939, over 5,000 peptides with antimicrobial properties have been isolated from organisms in every domain of life.  They have demonstrated activity against enveloped viruses, bacteria, fungi, and even tumor cells and have recently gained interest for their potential in fighting antibiotic-resistant bacteria.  Most known antimicrobial peptides are positively charged, but some with negative charges have also been discovered.Frogs are known to secrete a variety of antimicrobial peptides as a major source of immunity.  Secretions from a new species of frog were collected and the peptides were separated by cation exchange chromatography.  Four of the isolated peptides demonstrated strong antibacterial activity and were characterized by isoelectric focusing and sequencing:   <strong>Figure 1</strong>  Results of isoelectric focusing of four antimicrobial peptides<strong>Table 1</strong>  Amino Acid Compositions of Four Antimicrobial Peptides   Adapted from Wang Z, Wang G. APD: the Antimicrobial Peptide Database. Nucleic Acids Res. 2004;32(Database issue):D590-2. In which order will the four peptides elute from the cation exchange column as pH is increased from 7 to 12?</strong> A)Peptide 4, Peptide 3, Peptide 2, Peptide 1 B)Peptide 4, Peptide 2, Peptide 3, Peptide 1 C)Peptide 1, Peptide 2, Peptide 3, Peptide 4 D)Peptide 1, Peptide 3, Peptide 2, Peptide 4 <div style=padding-top: 35px> Figure 1  Results of isoelectric focusing of four antimicrobial peptidesTable 1  Amino Acid Compositions of Four Antimicrobial Peptides
<strong>Passage Antimicrobial peptides are an important component of innate immunity.  Since their discovery in 1939, over 5,000 peptides with antimicrobial properties have been isolated from organisms in every domain of life.  They have demonstrated activity against enveloped viruses, bacteria, fungi, and even tumor cells and have recently gained interest for their potential in fighting antibiotic-resistant bacteria.  Most known antimicrobial peptides are positively charged, but some with negative charges have also been discovered.Frogs are known to secrete a variety of antimicrobial peptides as a major source of immunity.  Secretions from a new species of frog were collected and the peptides were separated by cation exchange chromatography.  Four of the isolated peptides demonstrated strong antibacterial activity and were characterized by isoelectric focusing and sequencing:   <strong>Figure 1</strong>  Results of isoelectric focusing of four antimicrobial peptides<strong>Table 1</strong>  Amino Acid Compositions of Four Antimicrobial Peptides   Adapted from Wang Z, Wang G. APD: the Antimicrobial Peptide Database. Nucleic Acids Res. 2004;32(Database issue):D590-2. In which order will the four peptides elute from the cation exchange column as pH is increased from 7 to 12?</strong> A)Peptide 4, Peptide 3, Peptide 2, Peptide 1 B)Peptide 4, Peptide 2, Peptide 3, Peptide 1 C)Peptide 1, Peptide 2, Peptide 3, Peptide 4 D)Peptide 1, Peptide 3, Peptide 2, Peptide 4 <div style=padding-top: 35px> Adapted from Wang Z, Wang G. APD: the Antimicrobial Peptide Database. Nucleic Acids Res. 2004;32(Database issue):D590-2.
In which order will the four peptides elute from the cation exchange column as pH is increased from 7 to 12?

A)Peptide 4, Peptide 3, Peptide 2, Peptide 1
B)Peptide 4, Peptide 2, Peptide 3, Peptide 1
C)Peptide 1, Peptide 2, Peptide 3, Peptide 4
D)Peptide 1, Peptide 3, Peptide 2, Peptide 4
Question
Passage
Upon entering muscle cells, glucose is immediately phosphorylated by hexokinase to produce glucose 6-phosphate (G6P).  This phosphorylation event prevents glucose from exiting the cell.  G6P may then enter one of three metabolic pathways, depending on the needs of the cell (Figure 1).
<strong>Passage Upon entering muscle cells, glucose is immediately phosphorylated by hexokinase to produce glucose 6-phosphate (G6P).  This phosphorylation event prevents glucose from exiting the cell.  G6P may then enter one of three metabolic pathways, depending on the needs of the cell (Figure 1).   <strong>Figure 1</strong>  Three potential fates of G6P, determined by the needs of the cellUnder low ATP conditions, G6P enters glycolysis, where it is converted to two pyruvate molecules.  The energy released in this process produces a net total of two ATP molecules per glucose molecule consumed.  The resulting pyruvate molecules can then enter the mitochondria, where they participate in additional metabolic reactions that produce more ATP.When the cell experiences oxidative stress, G6P enters the pentose phosphate pathway (PPP) and produces NADPH, a reducing agent.  During this process, G6P loses one carbon atom in the form of CO<sub>2</sub> and is converted to ribose 5-phosphate (R5P), which is required for nucleotide synthesis.  In addition to low NADPH conditions, G6P may also enter the PPP during replication, when nucleotides are needed for DNA synthesis.  If nucleotides are not needed but energy is, R5P can be converted back to glycolytic intermediates and reenter glycolysis.  Each glucose molecule that is converted to R5P prior to glycolysis yields an average of 1.67 ATP molecules.When all the cell's metabolic requirements are met, additional G6P can enter glycogenesis and produce glycogen, which stores glucose for later use; this process consumes ATP.  When signal molecules bind G protein-coupled receptors on muscle cells, glycogenolysis is activated to release individual monomers from glycogen, allowing them to enter the appropriate pathway. Which glycolysis intermediate could serve as the sole starting material for the synthesis of R5P in muscle tissue?</strong> A)Fructose 6-phosphate B)Fructose 1,6-bisphosphate C)Glyceraldehyde 3-phosphate D)Dihydroxyacetone phosphate <div style=padding-top: 35px> Figure 1  Three potential fates of G6P, determined by the needs of the cellUnder low ATP conditions, G6P enters glycolysis, where it is converted to two pyruvate molecules.  The energy released in this process produces a net total of two ATP molecules per glucose molecule consumed.  The resulting pyruvate molecules can then enter the mitochondria, where they participate in additional metabolic reactions that produce more ATP.When the cell experiences oxidative stress, G6P enters the pentose phosphate pathway (PPP) and produces NADPH, a reducing agent.  During this process, G6P loses one carbon atom in the form of CO2 and is converted to ribose 5-phosphate (R5P), which is required for nucleotide synthesis.  In addition to low NADPH conditions, G6P may also enter the PPP during replication, when nucleotides are needed for DNA synthesis.  If nucleotides are not needed but energy is, R5P can be converted back to glycolytic intermediates and reenter glycolysis.  Each glucose molecule that is converted to R5P prior to glycolysis yields an average of 1.67 ATP molecules.When all the cell's metabolic requirements are met, additional G6P can enter glycogenesis and produce glycogen, which stores glucose for later use; this process consumes ATP.  When signal molecules bind G protein-coupled receptors on muscle cells, glycogenolysis is activated to release individual monomers from glycogen, allowing them to enter the appropriate pathway.
Which glycolysis intermediate could serve as the sole starting material for the synthesis of R5P in muscle tissue?

A)Fructose 6-phosphate
B)Fructose 1,6-bisphosphate
C)Glyceraldehyde 3-phosphate
D)Dihydroxyacetone phosphate
Question
Passage
Ribulose-1,5-bisphosphate carboxylase/oxygenase (rubisco) is one of the most abundant enzymes on Earth.  In carbon-fixing organisms, it consumes CO2 to carboxylate the sugar ribulose-1,5-bisphosphate (Ru1,5BP), and forms two molecules of 3-phosphoglycerate (3PG) as a product.  The functional form of rubisco from the bacterium Rhodospirillum rubrum is a noncovalent homodimer composed of two 51 kDa monomers.  Each subunit requires a magnesium ion as a prosthetic group in the active site.Rubisco is often used as a model for protein folding studies.  On their own, rubisco monomers typically cannot fold to completion and instead are trapped in a form known as a "kinetic intermediate."  These kinetically trapped monomers cannot dimerize correctly and are prone to aggregation.Scientists interested in studying protein folding dynamics labeled the rubisco kinetic intermediate with a set of fluorophores known as a FRET (fluorescence resonance energy transfer) pair, with one fluorophore at the N-terminus and the other at the C-terminus.  A FRET signal occurs when the emission spectrum of one fluorophore (the donor) overlaps with the excitation spectrum of the other (the acceptor).  When the two fluorophores are sufficiently close to each other, the donor can transfer energy from the light it absorbs directly to the acceptor, causing the acceptor to emit light when the donor absorbs light.The GroEL/ES complex is a chaperone protein that binds and releases misfolded proteins, hydrolyzing ATP each time the protein is released.  A misfolded protein may undergo multiple rounds of binding and release before adopting its correct conformation, or it may never fold correctly and instead be targeted for destruction (Figure 1).
<strong>Passage Ribulose-1,5-bisphosphate carboxylase/oxygenase (rubisco) is one of the most abundant enzymes on Earth.  In carbon-fixing organisms, it consumes CO<sub>2</sub> to carboxylate the sugar ribulose-1,5-bisphosphate (Ru1,5BP), and forms two molecules of 3-phosphoglycerate (3PG) as a product.  The functional form of rubisco from the bacterium Rhodospirillum rubrum is a noncovalent homodimer composed of two 51 kDa monomers.  Each subunit requires a magnesium ion as a prosthetic group in the active site.Rubisco is often used as a model for protein folding studies.  On their own, rubisco monomers typically cannot fold to completion and instead are trapped in a form known as a kinetic intermediate.  These kinetically trapped monomers cannot dimerize correctly and are prone to aggregation.Scientists interested in studying protein folding dynamics labeled the rubisco kinetic intermediate with a set of fluorophores known as a FRET (fluorescence resonance energy transfer) pair, with one fluorophore at the N-terminus and the other at the C-terminus.  A FRET signal occurs when the emission spectrum of one fluorophore (the donor) overlaps with the excitation spectrum of the other (the acceptor).  When the two fluorophores are sufficiently close to each other, the donor can transfer energy from the light it absorbs directly to the acceptor, causing the acceptor to emit light when the donor absorbs light.The GroEL/ES complex is a chaperone protein that binds and releases misfolded proteins, hydrolyzing ATP each time the protein is released.  A misfolded protein may undergo multiple rounds of binding and release before adopting its correct conformation, or it may never fold correctly and instead be targeted for destruction (Figure 1).   <strong>Figure 1</strong>  Representation of GroEL/ES-mediated protein foldingResearchers diluted the labeled kinetic intermediate into a refolding buffer in the presence or absence of 200 nM GroEL/ES and then monitored the FRET signal over time.  The results are shown in Figure 2.   <strong>Figure 2</strong>  FRET signal of labeled rubisco with and without GroEL Lin Z, Rye HS. Expansion and compression of a protein folding intermediate by GroEL. Mol Cell. 2004;16(1):23-34. Which of the following conclusions can be drawn based on the data from Figure 2?</strong> A)GroEL/ES absorbs light and transfers energy to the FRET donor. B)GroEL/ES separates the termini of the kinetic intermediate. C)GroEL/ES and rubisco have overlapping emission and excitation spectra, respectively. D)GroEL/ES decreases the distance between the termini of rubisco. <div style=padding-top: 35px> Figure 1  Representation of GroEL/ES-mediated protein foldingResearchers diluted the labeled kinetic intermediate into a refolding buffer in the presence or absence of 200 nM GroEL/ES and then monitored the FRET signal over time.  The results are shown in Figure 2.
<strong>Passage Ribulose-1,5-bisphosphate carboxylase/oxygenase (rubisco) is one of the most abundant enzymes on Earth.  In carbon-fixing organisms, it consumes CO<sub>2</sub> to carboxylate the sugar ribulose-1,5-bisphosphate (Ru1,5BP), and forms two molecules of 3-phosphoglycerate (3PG) as a product.  The functional form of rubisco from the bacterium Rhodospirillum rubrum is a noncovalent homodimer composed of two 51 kDa monomers.  Each subunit requires a magnesium ion as a prosthetic group in the active site.Rubisco is often used as a model for protein folding studies.  On their own, rubisco monomers typically cannot fold to completion and instead are trapped in a form known as a kinetic intermediate.  These kinetically trapped monomers cannot dimerize correctly and are prone to aggregation.Scientists interested in studying protein folding dynamics labeled the rubisco kinetic intermediate with a set of fluorophores known as a FRET (fluorescence resonance energy transfer) pair, with one fluorophore at the N-terminus and the other at the C-terminus.  A FRET signal occurs when the emission spectrum of one fluorophore (the donor) overlaps with the excitation spectrum of the other (the acceptor).  When the two fluorophores are sufficiently close to each other, the donor can transfer energy from the light it absorbs directly to the acceptor, causing the acceptor to emit light when the donor absorbs light.The GroEL/ES complex is a chaperone protein that binds and releases misfolded proteins, hydrolyzing ATP each time the protein is released.  A misfolded protein may undergo multiple rounds of binding and release before adopting its correct conformation, or it may never fold correctly and instead be targeted for destruction (Figure 1).   <strong>Figure 1</strong>  Representation of GroEL/ES-mediated protein foldingResearchers diluted the labeled kinetic intermediate into a refolding buffer in the presence or absence of 200 nM GroEL/ES and then monitored the FRET signal over time.  The results are shown in Figure 2.   <strong>Figure 2</strong>  FRET signal of labeled rubisco with and without GroEL Lin Z, Rye HS. Expansion and compression of a protein folding intermediate by GroEL. Mol Cell. 2004;16(1):23-34. Which of the following conclusions can be drawn based on the data from Figure 2?</strong> A)GroEL/ES absorbs light and transfers energy to the FRET donor. B)GroEL/ES separates the termini of the kinetic intermediate. C)GroEL/ES and rubisco have overlapping emission and excitation spectra, respectively. D)GroEL/ES decreases the distance between the termini of rubisco. <div style=padding-top: 35px> Figure 2  FRET signal of labeled rubisco with and without GroEL
Lin Z, Rye HS. Expansion and compression of a protein folding intermediate by GroEL. Mol Cell. 2004;16(1):23-34.
Which of the following conclusions can be drawn based on the data from Figure 2?

A)GroEL/ES absorbs light and transfers energy to the FRET donor.
B)GroEL/ES separates the termini of the kinetic intermediate.
C)GroEL/ES and rubisco have overlapping emission and excitation spectra, respectively.
D)GroEL/ES decreases the distance between the termini of rubisco.
Question
Passage
Spinocerebellar ataxia 3 (SCA3) is a neurodegenerative disease that manifests as a progressive decrease in coordination of limbs and frequently results in impaired speech and eye coordination.  It is associated with extension of the polyglutamine (polyQ) region of the ataxin-3 protein.  The polyQ region is encoded by a series of consecutive CAG codons known as poly-CAG repeats.  These regions vary in length from one person to another, ranging from as few as 10 to as many as 80 repeats.  SCA3 has been reported in patients with polyQ regions exceeding ~55 repeats, and increased polyQ length correlates with earlier onset of the disease and greater clinical severity.Circular dichroism (CD) is a method of assessing protein secondary structure.  It measures a molecule's ability to absorb left- and right-handed circularly polarized light of varying wavelengths.  The absorption difference is known as "ellipticity," denoted by Δε.  Alpha-helices have a maximum Δε at 190 nm, and beta-sheets have a maximum Δε at 200 nm.CD results show that as the length of the ataxin-3 polyQ region increases, alpha-helical nature is lost and the protein aggregates, ultimately precipitating out of solution and depositing in brain and other tissues.  Furthermore, as proteins aggregate, they form beta-sheets.  These beta-sheets are in the parallel orientation, and each sheet can interact with sheets in other proteins to form long, insoluble structures known as amyloid fibers (Figure 1).
<strong>Passage Spinocerebellar ataxia 3 (SCA3) is a neurodegenerative disease that manifests as a progressive decrease in coordination of limbs and frequently results in impaired speech and eye coordination.  It is associated with extension of the polyglutamine (polyQ) region of the ataxin-3 protein.  The polyQ region is encoded by a series of consecutive CAG codons known as poly-CAG repeats.  These regions vary in length from one person to another, ranging from as few as 10 to as many as 80 repeats.  SCA3 has been reported in patients with polyQ regions exceeding ~55 repeats, and increased polyQ length correlates with earlier onset of the disease and greater clinical severity.Circular dichroism (CD) is a method of assessing protein secondary structure.  It measures a molecule's ability to absorb left- and right-handed circularly polarized light of varying wavelengths.  The absorption difference is known as ellipticity, denoted by Δε.  Alpha-helices have a maximum Δε at 190 nm, and beta-sheets have a maximum Δε at 200 nm.CD results show that as the length of the ataxin-3 polyQ region increases, alpha-helical nature is lost and the protein aggregates, ultimately precipitating out of solution and depositing in brain and other tissues.  Furthermore, as proteins aggregate, they form beta-sheets.  These beta-sheets are in the parallel orientation, and each sheet can interact with sheets in other proteins to form long, insoluble structures known as amyloid fibers (Figure 1).   <strong>Figure 1</strong>  Depiction of the ataxin-3 polyQ region shifting from alpha-helical (cylinders) to beta-sheet (arrows) structure and aggregatingGlutamine can be encoded by both CAG and CAA codons.  Researchers investigated survival rates in fruit flies expressing ataxin-3 with polyQ regions of equal length encoded by either CAG-CAG or CAA-CAG repeats (Table 1).  The protein products had identical amino acid sequences.<strong>Table 1</strong>  Fruit Fly Survival Rates Relative to Ataxin-3 Expression   Adapted from Bevivino AE, Loll PJ. An expanded glutamine repeat destabilizes native ataxin-3 structure and mediates formation of parallel beta -fibrils. Proc Natl Acad Sci USA. 2001;98(21):11955-60. Which statements regarding ataxin-3 parallel beta-sheets are true?Short sequences called beta-turns link one strand to the next.The N-termini of each strand are aligned.The adjacent backbones hydrogen bond with each other.</strong> A)I only B)I and II only C)II and III only D)I and III only <div style=padding-top: 35px> Figure 1  Depiction of the ataxin-3 polyQ region shifting from alpha-helical (cylinders) to beta-sheet (arrows) structure and aggregatingGlutamine can be encoded by both CAG and CAA codons.  Researchers investigated survival rates in fruit flies expressing ataxin-3 with polyQ regions of equal length encoded by either CAG-CAG or CAA-CAG repeats (Table 1).  The protein products had identical amino acid sequences.Table 1  Fruit Fly Survival Rates Relative to Ataxin-3 Expression
<strong>Passage Spinocerebellar ataxia 3 (SCA3) is a neurodegenerative disease that manifests as a progressive decrease in coordination of limbs and frequently results in impaired speech and eye coordination.  It is associated with extension of the polyglutamine (polyQ) region of the ataxin-3 protein.  The polyQ region is encoded by a series of consecutive CAG codons known as poly-CAG repeats.  These regions vary in length from one person to another, ranging from as few as 10 to as many as 80 repeats.  SCA3 has been reported in patients with polyQ regions exceeding ~55 repeats, and increased polyQ length correlates with earlier onset of the disease and greater clinical severity.Circular dichroism (CD) is a method of assessing protein secondary structure.  It measures a molecule's ability to absorb left- and right-handed circularly polarized light of varying wavelengths.  The absorption difference is known as ellipticity, denoted by Δε.  Alpha-helices have a maximum Δε at 190 nm, and beta-sheets have a maximum Δε at 200 nm.CD results show that as the length of the ataxin-3 polyQ region increases, alpha-helical nature is lost and the protein aggregates, ultimately precipitating out of solution and depositing in brain and other tissues.  Furthermore, as proteins aggregate, they form beta-sheets.  These beta-sheets are in the parallel orientation, and each sheet can interact with sheets in other proteins to form long, insoluble structures known as amyloid fibers (Figure 1).   <strong>Figure 1</strong>  Depiction of the ataxin-3 polyQ region shifting from alpha-helical (cylinders) to beta-sheet (arrows) structure and aggregatingGlutamine can be encoded by both CAG and CAA codons.  Researchers investigated survival rates in fruit flies expressing ataxin-3 with polyQ regions of equal length encoded by either CAG-CAG or CAA-CAG repeats (Table 1).  The protein products had identical amino acid sequences.<strong>Table 1</strong>  Fruit Fly Survival Rates Relative to Ataxin-3 Expression   Adapted from Bevivino AE, Loll PJ. An expanded glutamine repeat destabilizes native ataxin-3 structure and mediates formation of parallel beta -fibrils. Proc Natl Acad Sci USA. 2001;98(21):11955-60. Which statements regarding ataxin-3 parallel beta-sheets are true?Short sequences called beta-turns link one strand to the next.The N-termini of each strand are aligned.The adjacent backbones hydrogen bond with each other.</strong> A)I only B)I and II only C)II and III only D)I and III only <div style=padding-top: 35px> Adapted from Bevivino AE, Loll PJ. An expanded glutamine repeat destabilizes native ataxin-3 structure and mediates formation of parallel beta -fibrils. Proc Natl Acad Sci USA. 2001;98(21):11955-60.
Which statements regarding ataxin-3 parallel beta-sheets are true?Short sequences called beta-turns link one strand to the next.The N-termini of each strand are aligned.The adjacent backbones hydrogen bond with each other.

A)I only
B)I and II only
C)II and III only
D)I and III only
Question
Passage
Ribulose-1,5-bisphosphate carboxylase/oxygenase (rubisco) is one of the most abundant enzymes on Earth.  In carbon-fixing organisms, it consumes CO2 to carboxylate the sugar ribulose-1,5-bisphosphate (Ru1,5BP), and forms two molecules of 3-phosphoglycerate (3PG) as a product.  The functional form of rubisco from the bacterium Rhodospirillum rubrum is a noncovalent homodimer composed of two 51 kDa monomers.  Each subunit requires a magnesium ion as a prosthetic group in the active site.Rubisco is often used as a model for protein folding studies.  On their own, rubisco monomers typically cannot fold to completion and instead are trapped in a form known as a "kinetic intermediate."  These kinetically trapped monomers cannot dimerize correctly and are prone to aggregation.Scientists interested in studying protein folding dynamics labeled the rubisco kinetic intermediate with a set of fluorophores known as a FRET (fluorescence resonance energy transfer) pair, with one fluorophore at the N-terminus and the other at the C-terminus.  A FRET signal occurs when the emission spectrum of one fluorophore (the donor) overlaps with the excitation spectrum of the other (the acceptor).  When the two fluorophores are sufficiently close to each other, the donor can transfer energy from the light it absorbs directly to the acceptor, causing the acceptor to emit light when the donor absorbs light.The GroEL/ES complex is a chaperone protein that binds and releases misfolded proteins, hydrolyzing ATP each time the protein is released.  A misfolded protein may undergo multiple rounds of binding and release before adopting its correct conformation, or it may never fold correctly and instead be targeted for destruction (Figure 1).
<strong>Passage Ribulose-1,5-bisphosphate carboxylase/oxygenase (rubisco) is one of the most abundant enzymes on Earth.  In carbon-fixing organisms, it consumes CO<sub>2</sub> to carboxylate the sugar ribulose-1,5-bisphosphate (Ru1,5BP), and forms two molecules of 3-phosphoglycerate (3PG) as a product.  The functional form of rubisco from the bacterium Rhodospirillum rubrum is a noncovalent homodimer composed of two 51 kDa monomers.  Each subunit requires a magnesium ion as a prosthetic group in the active site.Rubisco is often used as a model for protein folding studies.  On their own, rubisco monomers typically cannot fold to completion and instead are trapped in a form known as a kinetic intermediate.  These kinetically trapped monomers cannot dimerize correctly and are prone to aggregation.Scientists interested in studying protein folding dynamics labeled the rubisco kinetic intermediate with a set of fluorophores known as a FRET (fluorescence resonance energy transfer) pair, with one fluorophore at the N-terminus and the other at the C-terminus.  A FRET signal occurs when the emission spectrum of one fluorophore (the donor) overlaps with the excitation spectrum of the other (the acceptor).  When the two fluorophores are sufficiently close to each other, the donor can transfer energy from the light it absorbs directly to the acceptor, causing the acceptor to emit light when the donor absorbs light.The GroEL/ES complex is a chaperone protein that binds and releases misfolded proteins, hydrolyzing ATP each time the protein is released.  A misfolded protein may undergo multiple rounds of binding and release before adopting its correct conformation, or it may never fold correctly and instead be targeted for destruction (Figure 1).   <strong>Figure 1</strong>  Representation of GroEL/ES-mediated protein foldingResearchers diluted the labeled kinetic intermediate into a refolding buffer in the presence or absence of 200 nM GroEL/ES and then monitored the FRET signal over time.  The results are shown in Figure 2.   <strong>Figure 2</strong>  FRET signal of labeled rubisco with and without GroEL Lin Z, Rye HS. Expansion and compression of a protein folding intermediate by GroEL. Mol Cell. 2004;16(1):23-34. Based on the molecular weight of a rubisco monomer, approximately how many amino acids are present in a rubisco dimer?</strong> A)460 B)690 C)920 D)5100 <div style=padding-top: 35px> Figure 1  Representation of GroEL/ES-mediated protein foldingResearchers diluted the labeled kinetic intermediate into a refolding buffer in the presence or absence of 200 nM GroEL/ES and then monitored the FRET signal over time.  The results are shown in Figure 2.
<strong>Passage Ribulose-1,5-bisphosphate carboxylase/oxygenase (rubisco) is one of the most abundant enzymes on Earth.  In carbon-fixing organisms, it consumes CO<sub>2</sub> to carboxylate the sugar ribulose-1,5-bisphosphate (Ru1,5BP), and forms two molecules of 3-phosphoglycerate (3PG) as a product.  The functional form of rubisco from the bacterium Rhodospirillum rubrum is a noncovalent homodimer composed of two 51 kDa monomers.  Each subunit requires a magnesium ion as a prosthetic group in the active site.Rubisco is often used as a model for protein folding studies.  On their own, rubisco monomers typically cannot fold to completion and instead are trapped in a form known as a kinetic intermediate.  These kinetically trapped monomers cannot dimerize correctly and are prone to aggregation.Scientists interested in studying protein folding dynamics labeled the rubisco kinetic intermediate with a set of fluorophores known as a FRET (fluorescence resonance energy transfer) pair, with one fluorophore at the N-terminus and the other at the C-terminus.  A FRET signal occurs when the emission spectrum of one fluorophore (the donor) overlaps with the excitation spectrum of the other (the acceptor).  When the two fluorophores are sufficiently close to each other, the donor can transfer energy from the light it absorbs directly to the acceptor, causing the acceptor to emit light when the donor absorbs light.The GroEL/ES complex is a chaperone protein that binds and releases misfolded proteins, hydrolyzing ATP each time the protein is released.  A misfolded protein may undergo multiple rounds of binding and release before adopting its correct conformation, or it may never fold correctly and instead be targeted for destruction (Figure 1).   <strong>Figure 1</strong>  Representation of GroEL/ES-mediated protein foldingResearchers diluted the labeled kinetic intermediate into a refolding buffer in the presence or absence of 200 nM GroEL/ES and then monitored the FRET signal over time.  The results are shown in Figure 2.   <strong>Figure 2</strong>  FRET signal of labeled rubisco with and without GroEL Lin Z, Rye HS. Expansion and compression of a protein folding intermediate by GroEL. Mol Cell. 2004;16(1):23-34. Based on the molecular weight of a rubisco monomer, approximately how many amino acids are present in a rubisco dimer?</strong> A)460 B)690 C)920 D)5100 <div style=padding-top: 35px> Figure 2  FRET signal of labeled rubisco with and without GroEL
Lin Z, Rye HS. Expansion and compression of a protein folding intermediate by GroEL. Mol Cell. 2004;16(1):23-34.
Based on the molecular weight of a rubisco monomer, approximately how many amino acids are present in a rubisco dimer?

A)460
B)690
C)920
D)5100
Question
Passage
Dystroglycan (Dg) is a transmembrane protein that mediates interactions between the cytoskeleton and the extracellular matrix (ECM).  It binds the ECM protein laminin in an interaction that is required for intercellular communication and muscle membrane structural stability.  The Dg-laminin interaction is facilitated by a long carbohydrate chain called an O-mannosyl glycan, which is covalently linked to Dg (Figure 1).
<strong>Passage Dystroglycan (Dg) is a transmembrane protein that mediates interactions between the cytoskeleton and the extracellular matrix (ECM).  It binds the ECM protein laminin in an interaction that is required for intercellular communication and muscle membrane structural stability.  The Dg-laminin interaction is facilitated by a long carbohydrate chain called an O-mannosyl glycan, which is covalently linked to Dg (Figure 1).   <strong>Figure 1</strong>  Schematic of interaction between Dg and laminin, mediated by the Dg-linked O-mannosyl glycanThe O-mannosyl glycan is added to Dg by a series of enzymes called glycosyltransferases.  The first enzyme in this series, protein O-mannosyltransferase (POMT), attaches D-mannose to the hydroxyl groups of serine and threonine residues in an α-linkage through the anomeric carbon.  The next sugar in the chain then forms a β-1,4 linkage to the mannose residue, followed by several more steps to produce the full glycan.  Genetic inactivation of any of the enzymes in the pathway results in an incomplete glycan and failure to bind laminin, and is the underlying cause of several severe forms of muscular dystrophy known as dystroglycanopathies.Researchers investigating dystroglycanopathies recently discovered the functions of two enzymes in the pathway:  protein O-mannose kinase (POMK) and fukutin.  POMK phosphorylates Dg-linked mannose at carbon 6, and fukutin adds the sugar ribitol 5-phosphate to the glycan chain.  To assess the roles of POMK and fukutin relative to each other, scientists conducted experiments in which lysates from muscle cells deficient in either POMK or fukutin were incubated with <sup>32</sup>P-labeled ATP or <sup>3</sup>H-labeled activated ribitol 5-phosphate.  Combined lysates containing both fukutin and POMK were also tested.  Dg was then purified and detected by autoradiography and western blot using an antibody against Dg, as shown in Figure 2.   <strong>Figure 2</strong>  Autoradiograms and western blots of Dg purified from lysates incubated with <sup>32</sup>P-labeled ATP or <sup>3</sup>H-labeled ribitol 5-phosphate Adapted from Kanagawa M, Kobayashi K, Tajiri M, et al. Identification of a Post-translational Modification with Ribitol-Phosphate and Its Defect in Muscular Dystrophy. Cell Rep. 2016;14(9):2209-23. Which conclusion about the functions of POMK and fukutin is supported by the autoradiogram in Figure 2?</strong> A)Fukutin activity must occur before POMK activity can occur. B)POMK activity must occur before fukutin activity can occur. C)Fukutin and POMK activities can occur in any order. D)POMK and fukutin activities must occur simultaneously. <div style=padding-top: 35px> Figure 1  Schematic of interaction between Dg and laminin, mediated by the Dg-linked O-mannosyl glycanThe O-mannosyl glycan is added to Dg by a series of enzymes called glycosyltransferases.  The first enzyme in this series, protein O-mannosyltransferase (POMT), attaches D-mannose to the hydroxyl groups of serine and threonine residues in an α-linkage through the anomeric carbon.  The next sugar in the chain then forms a β-1,4 linkage to the mannose residue, followed by several more steps to produce the full glycan.  Genetic inactivation of any of the enzymes in the pathway results in an incomplete glycan and failure to bind laminin, and is the underlying cause of several severe forms of muscular dystrophy known as dystroglycanopathies.Researchers investigating dystroglycanopathies recently discovered the functions of two enzymes in the pathway:  protein O-mannose kinase (POMK) and fukutin.  POMK phosphorylates Dg-linked mannose at carbon 6, and fukutin adds the sugar ribitol 5-phosphate to the glycan chain.  To assess the roles of POMK and fukutin relative to each other, scientists conducted experiments in which lysates from muscle cells deficient in either POMK or fukutin were incubated with 32P-labeled ATP or 3H-labeled activated ribitol 5-phosphate.  Combined lysates containing both fukutin and POMK were also tested.  Dg was then purified and detected by autoradiography and western blot using an antibody against Dg, as shown in Figure 2.
<strong>Passage Dystroglycan (Dg) is a transmembrane protein that mediates interactions between the cytoskeleton and the extracellular matrix (ECM).  It binds the ECM protein laminin in an interaction that is required for intercellular communication and muscle membrane structural stability.  The Dg-laminin interaction is facilitated by a long carbohydrate chain called an O-mannosyl glycan, which is covalently linked to Dg (Figure 1).   <strong>Figure 1</strong>  Schematic of interaction between Dg and laminin, mediated by the Dg-linked O-mannosyl glycanThe O-mannosyl glycan is added to Dg by a series of enzymes called glycosyltransferases.  The first enzyme in this series, protein O-mannosyltransferase (POMT), attaches D-mannose to the hydroxyl groups of serine and threonine residues in an α-linkage through the anomeric carbon.  The next sugar in the chain then forms a β-1,4 linkage to the mannose residue, followed by several more steps to produce the full glycan.  Genetic inactivation of any of the enzymes in the pathway results in an incomplete glycan and failure to bind laminin, and is the underlying cause of several severe forms of muscular dystrophy known as dystroglycanopathies.Researchers investigating dystroglycanopathies recently discovered the functions of two enzymes in the pathway:  protein O-mannose kinase (POMK) and fukutin.  POMK phosphorylates Dg-linked mannose at carbon 6, and fukutin adds the sugar ribitol 5-phosphate to the glycan chain.  To assess the roles of POMK and fukutin relative to each other, scientists conducted experiments in which lysates from muscle cells deficient in either POMK or fukutin were incubated with <sup>32</sup>P-labeled ATP or <sup>3</sup>H-labeled activated ribitol 5-phosphate.  Combined lysates containing both fukutin and POMK were also tested.  Dg was then purified and detected by autoradiography and western blot using an antibody against Dg, as shown in Figure 2.   <strong>Figure 2</strong>  Autoradiograms and western blots of Dg purified from lysates incubated with <sup>32</sup>P-labeled ATP or <sup>3</sup>H-labeled ribitol 5-phosphate Adapted from Kanagawa M, Kobayashi K, Tajiri M, et al. Identification of a Post-translational Modification with Ribitol-Phosphate and Its Defect in Muscular Dystrophy. Cell Rep. 2016;14(9):2209-23. Which conclusion about the functions of POMK and fukutin is supported by the autoradiogram in Figure 2?</strong> A)Fukutin activity must occur before POMK activity can occur. B)POMK activity must occur before fukutin activity can occur. C)Fukutin and POMK activities can occur in any order. D)POMK and fukutin activities must occur simultaneously. <div style=padding-top: 35px> Figure 2  Autoradiograms and western blots of Dg purified from lysates incubated with 32P-labeled ATP or 3H-labeled ribitol 5-phosphate
Adapted from Kanagawa M, Kobayashi K, Tajiri M, et al. Identification of a Post-translational Modification with Ribitol-Phosphate and Its Defect in Muscular Dystrophy. Cell Rep. 2016;14(9):2209-23.
Which conclusion about the functions of POMK and fukutin is supported by the autoradiogram in Figure 2?

A)Fukutin activity must occur before POMK activity can occur.
B)POMK activity must occur before fukutin activity can occur.
C)Fukutin and POMK activities can occur in any order.
D)POMK and fukutin activities must occur simultaneously.
Question
Passage
Upon entering muscle cells, glucose is immediately phosphorylated by hexokinase to produce glucose 6-phosphate (G6P).  This phosphorylation event prevents glucose from exiting the cell.  G6P may then enter one of three metabolic pathways, depending on the needs of the cell (Figure 1).
<strong>Passage Upon entering muscle cells, glucose is immediately phosphorylated by hexokinase to produce glucose 6-phosphate (G6P).  This phosphorylation event prevents glucose from exiting the cell.  G6P may then enter one of three metabolic pathways, depending on the needs of the cell (Figure 1).   <strong>Figure 1</strong>  Three potential fates of G6P, determined by the needs of the cellUnder low ATP conditions, G6P enters glycolysis, where it is converted to two pyruvate molecules.  The energy released in this process produces a net total of two ATP molecules per glucose molecule consumed.  The resulting pyruvate molecules can then enter the mitochondria, where they participate in additional metabolic reactions that produce more ATP.When the cell experiences oxidative stress, G6P enters the pentose phosphate pathway (PPP) and produces NADPH, a reducing agent.  During this process, G6P loses one carbon atom in the form of CO<sub>2</sub> and is converted to ribose 5-phosphate (R5P), which is required for nucleotide synthesis.  In addition to low NADPH conditions, G6P may also enter the PPP during replication, when nucleotides are needed for DNA synthesis.  If nucleotides are not needed but energy is, R5P can be converted back to glycolytic intermediates and reenter glycolysis.  Each glucose molecule that is converted to R5P prior to glycolysis yields an average of 1.67 ATP molecules.When all the cell's metabolic requirements are met, additional G6P can enter glycogenesis and produce glycogen, which stores glucose for later use; this process consumes ATP.  When signal molecules bind G protein-coupled receptors on muscle cells, glycogenolysis is activated to release individual monomers from glycogen, allowing them to enter the appropriate pathway. Based on information in the passage, if glucose enters the pentose phosphate pathway prior to glycolysis, what is the energy loss compared to glucose that enters glycolysis directly?  (Note: The free energy of ATP hydrolysis is −30 kJ/mol.)</strong> A)15 kJ/mol B)0 kJ/mol C)−10 kJ/mol D)−20 kJ/mol <div style=padding-top: 35px> Figure 1  Three potential fates of G6P, determined by the needs of the cellUnder low ATP conditions, G6P enters glycolysis, where it is converted to two pyruvate molecules.  The energy released in this process produces a net total of two ATP molecules per glucose molecule consumed.  The resulting pyruvate molecules can then enter the mitochondria, where they participate in additional metabolic reactions that produce more ATP.When the cell experiences oxidative stress, G6P enters the pentose phosphate pathway (PPP) and produces NADPH, a reducing agent.  During this process, G6P loses one carbon atom in the form of CO2 and is converted to ribose 5-phosphate (R5P), which is required for nucleotide synthesis.  In addition to low NADPH conditions, G6P may also enter the PPP during replication, when nucleotides are needed for DNA synthesis.  If nucleotides are not needed but energy is, R5P can be converted back to glycolytic intermediates and reenter glycolysis.  Each glucose molecule that is converted to R5P prior to glycolysis yields an average of 1.67 ATP molecules.When all the cell's metabolic requirements are met, additional G6P can enter glycogenesis and produce glycogen, which stores glucose for later use; this process consumes ATP.  When signal molecules bind G protein-coupled receptors on muscle cells, glycogenolysis is activated to release individual monomers from glycogen, allowing them to enter the appropriate pathway.
Based on information in the passage, if glucose enters the pentose phosphate pathway prior to glycolysis, what is the energy loss compared to glucose that enters glycolysis directly?  (Note: The free energy of ATP hydrolysis is −30 kJ/mol.)

A)15 kJ/mol
B)0 kJ/mol
C)−10 kJ/mol
D)−20 kJ/mol
Question
Passage
Upon entering muscle cells, glucose is immediately phosphorylated by hexokinase to produce glucose 6-phosphate (G6P).  This phosphorylation event prevents glucose from exiting the cell.  G6P may then enter one of three metabolic pathways, depending on the needs of the cell (Figure 1).
<strong>Passage Upon entering muscle cells, glucose is immediately phosphorylated by hexokinase to produce glucose 6-phosphate (G6P).  This phosphorylation event prevents glucose from exiting the cell.  G6P may then enter one of three metabolic pathways, depending on the needs of the cell (Figure 1).   <strong>Figure 1</strong>  Three potential fates of G6P, determined by the needs of the cellUnder low ATP conditions, G6P enters glycolysis, where it is converted to two pyruvate molecules.  The energy released in this process produces a net total of two ATP molecules per glucose molecule consumed.  The resulting pyruvate molecules can then enter the mitochondria, where they participate in additional metabolic reactions that produce more ATP.When the cell experiences oxidative stress, G6P enters the pentose phosphate pathway (PPP) and produces NADPH, a reducing agent.  During this process, G6P loses one carbon atom in the form of CO<sub>2</sub> and is converted to ribose 5-phosphate (R5P), which is required for nucleotide synthesis.  In addition to low NADPH conditions, G6P may also enter the PPP during replication, when nucleotides are needed for DNA synthesis.  If nucleotides are not needed but energy is, R5P can be converted back to glycolytic intermediates and reenter glycolysis.  Each glucose molecule that is converted to R5P prior to glycolysis yields an average of 1.67 ATP molecules.When all the cell's metabolic requirements are met, additional G6P can enter glycogenesis and produce glycogen, which stores glucose for later use; this process consumes ATP.  When signal molecules bind G protein-coupled receptors on muscle cells, glycogenolysis is activated to release individual monomers from glycogen, allowing them to enter the appropriate pathway. The glycogen branching enzyme forms a glycosidic bond between carbon 1 on the incoming glucose monomer and which of the following?</strong> A)Carbon 3 on a glucose unit of the growing chain B)Carbon 4 on a glucose unit of the growing chain C)Carbon 5 on a glucose unit of the growing chain D)Carbon 6 on a glucose unit of the growing chain <div style=padding-top: 35px> Figure 1  Three potential fates of G6P, determined by the needs of the cellUnder low ATP conditions, G6P enters glycolysis, where it is converted to two pyruvate molecules.  The energy released in this process produces a net total of two ATP molecules per glucose molecule consumed.  The resulting pyruvate molecules can then enter the mitochondria, where they participate in additional metabolic reactions that produce more ATP.When the cell experiences oxidative stress, G6P enters the pentose phosphate pathway (PPP) and produces NADPH, a reducing agent.  During this process, G6P loses one carbon atom in the form of CO2 and is converted to ribose 5-phosphate (R5P), which is required for nucleotide synthesis.  In addition to low NADPH conditions, G6P may also enter the PPP during replication, when nucleotides are needed for DNA synthesis.  If nucleotides are not needed but energy is, R5P can be converted back to glycolytic intermediates and reenter glycolysis.  Each glucose molecule that is converted to R5P prior to glycolysis yields an average of 1.67 ATP molecules.When all the cell's metabolic requirements are met, additional G6P can enter glycogenesis and produce glycogen, which stores glucose for later use; this process consumes ATP.  When signal molecules bind G protein-coupled receptors on muscle cells, glycogenolysis is activated to release individual monomers from glycogen, allowing them to enter the appropriate pathway.
The glycogen branching enzyme forms a glycosidic bond between carbon 1 on the incoming glucose monomer and which of the following?

A)Carbon 3 on a glucose unit of the growing chain
B)Carbon 4 on a glucose unit of the growing chain
C)Carbon 5 on a glucose unit of the growing chain
D)Carbon 6 on a glucose unit of the growing chain
Question
Passage
Although the structure of the cell membrane has been investigated repeatedly, few studies examine the contribution of its lipid components.  Lipid composition influences the fluidity and permeability of cell membranes in the human body.  Chronic diseases such as atherosclerosis and psoriasis arise from alterations to the lipid composition.Atherosclerosis is caused by the accumulation of cholesterol in the endothelial cells lining the arterial wall.  Cholesterol carried by low-density lipoprotein (LDL) is deposited into cell membranes, where it forms cholesterol crystalline domains (CCDs).  In damaged cells, these CCDs increase membrane permeability and contribute to the formation of cholesterol plaques that can potentially block the artery itself.Omega-3 fatty acids (O3FAs) derived from marine animals may be used to slow the development of atherosclerosis.  Formulations of O3FA contain varying concentrations of eicosapentaenoic acid (EPA) and docosahexaenoic acid (DHA) (Figure 1).  Present research suggests that formulations of O3FA should contain EPA exclusively because it prevents cholesterol from organizing into CCDs.  Nonetheless, atherosclerosis is generally treated by administering drugs referred to as statins, which decrease the free cholesterol in blood plasma by inhibiting the production of a cholesterol precursor.  Statin therapy combined with O3FAs may be used to reduce atherosclerosis in patients with persistent hypertriglyceridemia (high triglyceride plasma levels).
<strong>Passage Although the structure of the cell membrane has been investigated repeatedly, few studies examine the contribution of its lipid components.  Lipid composition influences the fluidity and permeability of cell membranes in the human body.  Chronic diseases such as atherosclerosis and psoriasis arise from alterations to the lipid composition.Atherosclerosis is caused by the accumulation of cholesterol in the endothelial cells lining the arterial wall.  Cholesterol carried by low-density lipoprotein (LDL) is deposited into cell membranes, where it forms cholesterol crystalline domains (CCDs).  In damaged cells, these CCDs increase membrane permeability and contribute to the formation of cholesterol plaques that can potentially block the artery itself.Omega-3 fatty acids (O3FAs) derived from marine animals may be used to slow the development of atherosclerosis.  Formulations of O3FA contain varying concentrations of eicosapentaenoic acid (EPA) and docosahexaenoic acid (DHA) (Figure 1).  Present research suggests that formulations of O3FA should contain EPA exclusively because it prevents cholesterol from organizing into CCDs.  Nonetheless, atherosclerosis is generally treated by administering drugs referred to as statins, which decrease the free cholesterol in blood plasma by inhibiting the production of a cholesterol precursor.  Statin therapy combined with O3FAs may be used to reduce atherosclerosis in patients with persistent hypertriglyceridemia (high triglyceride plasma levels).   <strong>Figure 1</strong>  Organization of membranes in endothelial and epidermal cellsWater loss from the uppermost layer of the epidermis, the stratum corneum (SC), is prevented by specialized lipids called ceramides (cer).  Psoriasis is a skin disease in which the permeability of the SC is compromised due to a significant decrease in the level of ceramides.  The scarcity of ceramides impedes the formation of a lipid matrix called the long periodicity phase (LPP) in the cell membrane.  Increasing the concentration of ceramides such as esterified omega-hydroxyacyl-sphingosine (cer-EOS) has been shown to reduce the permeability of SC cell membranes and may be used to treat psoriasis scabs (Figure 1). Adapted from Mason RP, Jacob RF, Shrivastava S, Sherratt SC, Chattopadhyay A. Eicosapentaenoic acid reduces membrane fluidity, inhibits cholesterol domain formation, and normalizes bilayer width in atherosclerotic-like model membranes. Biochim Biophys Acta. 2016;1858(12):3131-3140. What structural feature in the molecules shown in Figure 1 would result in the greatest increase in cell membrane fluidity?</strong> A)cis bond in EPA B)trans bond in cer-EOS C)Carboxyl group of DHA D)Phosphate groups of phospholipids <div style=padding-top: 35px> Figure 1  Organization of membranes in endothelial and epidermal cellsWater loss from the uppermost layer of the epidermis, the stratum corneum (SC), is prevented by specialized lipids called ceramides (cer).  Psoriasis is a skin disease in which the permeability of the SC is compromised due to a significant decrease in the level of ceramides.  The scarcity of ceramides impedes the formation of a lipid matrix called the long periodicity phase (LPP) in the cell membrane.  Increasing the concentration of ceramides such as esterified omega-hydroxyacyl-sphingosine (cer-EOS) has been shown to reduce the permeability of SC cell membranes and may be used to treat psoriasis scabs (Figure 1).
Adapted from Mason RP, Jacob RF, Shrivastava S, Sherratt SC, Chattopadhyay A. Eicosapentaenoic acid reduces membrane fluidity, inhibits cholesterol domain formation, and normalizes bilayer width in atherosclerotic-like model membranes. Biochim Biophys Acta. 2016;1858(12):3131-3140.
What structural feature in the molecules shown in Figure 1 would result in the greatest increase in cell membrane fluidity?

A)cis bond in EPA
B)trans bond in cer-EOS
C)Carboxyl group of DHA
D)Phosphate groups of phospholipids
Question
Passage
Dystroglycan (Dg) is a transmembrane protein that mediates interactions between the cytoskeleton and the extracellular matrix (ECM).  It binds the ECM protein laminin in an interaction that is required for intercellular communication and muscle membrane structural stability.  The Dg-laminin interaction is facilitated by a long carbohydrate chain called an O-mannosyl glycan, which is covalently linked to Dg (Figure 1).
<strong>Passage Dystroglycan (Dg) is a transmembrane protein that mediates interactions between the cytoskeleton and the extracellular matrix (ECM).  It binds the ECM protein laminin in an interaction that is required for intercellular communication and muscle membrane structural stability.  The Dg-laminin interaction is facilitated by a long carbohydrate chain called an O-mannosyl glycan, which is covalently linked to Dg (Figure 1).   <strong>Figure 1</strong>  Schematic of interaction between Dg and laminin, mediated by the Dg-linked O-mannosyl glycanThe O-mannosyl glycan is added to Dg by a series of enzymes called glycosyltransferases.  The first enzyme in this series, protein O-mannosyltransferase (POMT), attaches D-mannose to the hydroxyl groups of serine and threonine residues in an α-linkage through the anomeric carbon.  The next sugar in the chain then forms a β-1,4 linkage to the mannose residue, followed by several more steps to produce the full glycan.  Genetic inactivation of any of the enzymes in the pathway results in an incomplete glycan and failure to bind laminin, and is the underlying cause of several severe forms of muscular dystrophy known as dystroglycanopathies.Researchers investigating dystroglycanopathies recently discovered the functions of two enzymes in the pathway:  protein O-mannose kinase (POMK) and fukutin.  POMK phosphorylates Dg-linked mannose at carbon 6, and fukutin adds the sugar ribitol 5-phosphate to the glycan chain.  To assess the roles of POMK and fukutin relative to each other, scientists conducted experiments in which lysates from muscle cells deficient in either POMK or fukutin were incubated with <sup>32</sup>P-labeled ATP or <sup>3</sup>H-labeled activated ribitol 5-phosphate.  Combined lysates containing both fukutin and POMK were also tested.  Dg was then purified and detected by autoradiography and western blot using an antibody against Dg, as shown in Figure 2.   <strong>Figure 2</strong>  Autoradiograms and western blots of Dg purified from lysates incubated with <sup>32</sup>P-labeled ATP or <sup>3</sup>H-labeled ribitol 5-phosphate Adapted from Kanagawa M, Kobayashi K, Tajiri M, et al. Identification of a Post-translational Modification with Ribitol-Phosphate and Its Defect in Muscular Dystrophy. Cell Rep. 2016;14(9):2209-23. Alpha mannosidase cleaves the link between D-mannose and the hydroxyl group of serine or threonine.  If researchers treated the radiolabeled Dg from each autoradiogram with alpha mannosidase, where would the radiolabels be found?</strong> A)Both <sup>32</sup>P and <sup>3</sup>H-ribitol would be attached to the Dg protein. B)The <sup>32</sup>P would be attached to Dg and the <sup>3</sup>H-ribitol to the cleaved polysaccharide. C)The <sup>3</sup>H-ribitol would be attached to Dg and the <sup>32</sup>P label to the cleaved polysaccharide. D)Both <sup>32</sup>P and <sup>3</sup>H-ribitol would be found in the cleaved polysaccharide. <div style=padding-top: 35px> Figure 1  Schematic of interaction between Dg and laminin, mediated by the Dg-linked O-mannosyl glycanThe O-mannosyl glycan is added to Dg by a series of enzymes called glycosyltransferases.  The first enzyme in this series, protein O-mannosyltransferase (POMT), attaches D-mannose to the hydroxyl groups of serine and threonine residues in an α-linkage through the anomeric carbon.  The next sugar in the chain then forms a β-1,4 linkage to the mannose residue, followed by several more steps to produce the full glycan.  Genetic inactivation of any of the enzymes in the pathway results in an incomplete glycan and failure to bind laminin, and is the underlying cause of several severe forms of muscular dystrophy known as dystroglycanopathies.Researchers investigating dystroglycanopathies recently discovered the functions of two enzymes in the pathway:  protein O-mannose kinase (POMK) and fukutin.  POMK phosphorylates Dg-linked mannose at carbon 6, and fukutin adds the sugar ribitol 5-phosphate to the glycan chain.  To assess the roles of POMK and fukutin relative to each other, scientists conducted experiments in which lysates from muscle cells deficient in either POMK or fukutin were incubated with 32P-labeled ATP or 3H-labeled activated ribitol 5-phosphate.  Combined lysates containing both fukutin and POMK were also tested.  Dg was then purified and detected by autoradiography and western blot using an antibody against Dg, as shown in Figure 2.
<strong>Passage Dystroglycan (Dg) is a transmembrane protein that mediates interactions between the cytoskeleton and the extracellular matrix (ECM).  It binds the ECM protein laminin in an interaction that is required for intercellular communication and muscle membrane structural stability.  The Dg-laminin interaction is facilitated by a long carbohydrate chain called an O-mannosyl glycan, which is covalently linked to Dg (Figure 1).   <strong>Figure 1</strong>  Schematic of interaction between Dg and laminin, mediated by the Dg-linked O-mannosyl glycanThe O-mannosyl glycan is added to Dg by a series of enzymes called glycosyltransferases.  The first enzyme in this series, protein O-mannosyltransferase (POMT), attaches D-mannose to the hydroxyl groups of serine and threonine residues in an α-linkage through the anomeric carbon.  The next sugar in the chain then forms a β-1,4 linkage to the mannose residue, followed by several more steps to produce the full glycan.  Genetic inactivation of any of the enzymes in the pathway results in an incomplete glycan and failure to bind laminin, and is the underlying cause of several severe forms of muscular dystrophy known as dystroglycanopathies.Researchers investigating dystroglycanopathies recently discovered the functions of two enzymes in the pathway:  protein O-mannose kinase (POMK) and fukutin.  POMK phosphorylates Dg-linked mannose at carbon 6, and fukutin adds the sugar ribitol 5-phosphate to the glycan chain.  To assess the roles of POMK and fukutin relative to each other, scientists conducted experiments in which lysates from muscle cells deficient in either POMK or fukutin were incubated with <sup>32</sup>P-labeled ATP or <sup>3</sup>H-labeled activated ribitol 5-phosphate.  Combined lysates containing both fukutin and POMK were also tested.  Dg was then purified and detected by autoradiography and western blot using an antibody against Dg, as shown in Figure 2.   <strong>Figure 2</strong>  Autoradiograms and western blots of Dg purified from lysates incubated with <sup>32</sup>P-labeled ATP or <sup>3</sup>H-labeled ribitol 5-phosphate Adapted from Kanagawa M, Kobayashi K, Tajiri M, et al. Identification of a Post-translational Modification with Ribitol-Phosphate and Its Defect in Muscular Dystrophy. Cell Rep. 2016;14(9):2209-23. Alpha mannosidase cleaves the link between D-mannose and the hydroxyl group of serine or threonine.  If researchers treated the radiolabeled Dg from each autoradiogram with alpha mannosidase, where would the radiolabels be found?</strong> A)Both <sup>32</sup>P and <sup>3</sup>H-ribitol would be attached to the Dg protein. B)The <sup>32</sup>P would be attached to Dg and the <sup>3</sup>H-ribitol to the cleaved polysaccharide. C)The <sup>3</sup>H-ribitol would be attached to Dg and the <sup>32</sup>P label to the cleaved polysaccharide. D)Both <sup>32</sup>P and <sup>3</sup>H-ribitol would be found in the cleaved polysaccharide. <div style=padding-top: 35px> Figure 2  Autoradiograms and western blots of Dg purified from lysates incubated with 32P-labeled ATP or 3H-labeled ribitol 5-phosphate
Adapted from Kanagawa M, Kobayashi K, Tajiri M, et al. Identification of a Post-translational Modification with Ribitol-Phosphate and Its Defect in Muscular Dystrophy. Cell Rep. 2016;14(9):2209-23.
Alpha mannosidase cleaves the link between D-mannose and the hydroxyl group of serine or threonine.  If researchers treated the radiolabeled Dg from each autoradiogram with alpha mannosidase, where would the radiolabels be found?

A)Both 32P and 3H-ribitol would be attached to the Dg protein.
B)The 32P would be attached to Dg and the 3H-ribitol to the cleaved polysaccharide.
C)The 3H-ribitol would be attached to Dg and the 32P label to the cleaved polysaccharide.
D)Both 32P and 3H-ribitol would be found in the cleaved polysaccharide.
Question
Passage
Although the structure of the cell membrane has been investigated repeatedly, few studies examine the contribution of its lipid components.  Lipid composition influences the fluidity and permeability of cell membranes in the human body.  Chronic diseases such as atherosclerosis and psoriasis arise from alterations to the lipid composition.Atherosclerosis is caused by the accumulation of cholesterol in the endothelial cells lining the arterial wall.  Cholesterol carried by low-density lipoprotein (LDL) is deposited into cell membranes, where it forms cholesterol crystalline domains (CCDs).  In damaged cells, these CCDs increase membrane permeability and contribute to the formation of cholesterol plaques that can potentially block the artery itself.Omega-3 fatty acids (O3FAs) derived from marine animals may be used to slow the development of atherosclerosis.  Formulations of O3FA contain varying concentrations of eicosapentaenoic acid (EPA) and docosahexaenoic acid (DHA) (Figure 1).  Present research suggests that formulations of O3FA should contain EPA exclusively because it prevents cholesterol from organizing into CCDs.  Nonetheless, atherosclerosis is generally treated by administering drugs referred to as statins, which decrease the free cholesterol in blood plasma by inhibiting the production of a cholesterol precursor.  Statin therapy combined with O3FAs may be used to reduce atherosclerosis in patients with persistent hypertriglyceridemia (high triglyceride plasma levels).
<strong>Passage Although the structure of the cell membrane has been investigated repeatedly, few studies examine the contribution of its lipid components.  Lipid composition influences the fluidity and permeability of cell membranes in the human body.  Chronic diseases such as atherosclerosis and psoriasis arise from alterations to the lipid composition.Atherosclerosis is caused by the accumulation of cholesterol in the endothelial cells lining the arterial wall.  Cholesterol carried by low-density lipoprotein (LDL) is deposited into cell membranes, where it forms cholesterol crystalline domains (CCDs).  In damaged cells, these CCDs increase membrane permeability and contribute to the formation of cholesterol plaques that can potentially block the artery itself.Omega-3 fatty acids (O3FAs) derived from marine animals may be used to slow the development of atherosclerosis.  Formulations of O3FA contain varying concentrations of eicosapentaenoic acid (EPA) and docosahexaenoic acid (DHA) (Figure 1).  Present research suggests that formulations of O3FA should contain EPA exclusively because it prevents cholesterol from organizing into CCDs.  Nonetheless, atherosclerosis is generally treated by administering drugs referred to as statins, which decrease the free cholesterol in blood plasma by inhibiting the production of a cholesterol precursor.  Statin therapy combined with O3FAs may be used to reduce atherosclerosis in patients with persistent hypertriglyceridemia (high triglyceride plasma levels).   <strong>Figure 1</strong>  Organization of membranes in endothelial and epidermal cellsWater loss from the uppermost layer of the epidermis, the stratum corneum (SC), is prevented by specialized lipids called ceramides (cer).  Psoriasis is a skin disease in which the permeability of the SC is compromised due to a significant decrease in the level of ceramides.  The scarcity of ceramides impedes the formation of a lipid matrix called the long periodicity phase (LPP) in the cell membrane.  Increasing the concentration of ceramides such as esterified omega-hydroxyacyl-sphingosine (cer-EOS) has been shown to reduce the permeability of SC cell membranes and may be used to treat psoriasis scabs (Figure 1). Adapted from Mason RP, Jacob RF, Shrivastava S, Sherratt SC, Chattopadhyay A. Eicosapentaenoic acid reduces membrane fluidity, inhibits cholesterol domain formation, and normalizes bilayer width in atherosclerotic-like model membranes. Biochim Biophys Acta. 2016;1858(12):3131-3140. Phospholipids in the cell membrane could be separated experimentally according to their differences in:charge.mass.solubility.</strong> A)I only B)III only C)I and II only D)I, II, and III <div style=padding-top: 35px> Figure 1  Organization of membranes in endothelial and epidermal cellsWater loss from the uppermost layer of the epidermis, the stratum corneum (SC), is prevented by specialized lipids called ceramides (cer).  Psoriasis is a skin disease in which the permeability of the SC is compromised due to a significant decrease in the level of ceramides.  The scarcity of ceramides impedes the formation of a lipid matrix called the long periodicity phase (LPP) in the cell membrane.  Increasing the concentration of ceramides such as esterified omega-hydroxyacyl-sphingosine (cer-EOS) has been shown to reduce the permeability of SC cell membranes and may be used to treat psoriasis scabs (Figure 1).
Adapted from Mason RP, Jacob RF, Shrivastava S, Sherratt SC, Chattopadhyay A. Eicosapentaenoic acid reduces membrane fluidity, inhibits cholesterol domain formation, and normalizes bilayer width in atherosclerotic-like model membranes. Biochim Biophys Acta. 2016;1858(12):3131-3140.
Phospholipids in the cell membrane could be separated experimentally according to their differences in:charge.mass.solubility.

A)I only
B)III only
C)I and II only
D)I, II, and III
Question
Passage
Dystroglycan (Dg) is a transmembrane protein that mediates interactions between the cytoskeleton and the extracellular matrix (ECM).  It binds the ECM protein laminin in an interaction that is required for intercellular communication and muscle membrane structural stability.  The Dg-laminin interaction is facilitated by a long carbohydrate chain called an O-mannosyl glycan, which is covalently linked to Dg (Figure 1).
<strong>Passage Dystroglycan (Dg) is a transmembrane protein that mediates interactions between the cytoskeleton and the extracellular matrix (ECM).  It binds the ECM protein laminin in an interaction that is required for intercellular communication and muscle membrane structural stability.  The Dg-laminin interaction is facilitated by a long carbohydrate chain called an O-mannosyl glycan, which is covalently linked to Dg (Figure 1).   <strong>Figure 1</strong>  Schematic of interaction between Dg and laminin, mediated by the Dg-linked O-mannosyl glycanThe O-mannosyl glycan is added to Dg by a series of enzymes called glycosyltransferases.  The first enzyme in this series, protein O-mannosyltransferase (POMT), attaches D-mannose to the hydroxyl groups of serine and threonine residues in an α-linkage through the anomeric carbon.  The next sugar in the chain then forms a β-1,4 linkage to the mannose residue, followed by several more steps to produce the full glycan.  Genetic inactivation of any of the enzymes in the pathway results in an incomplete glycan and failure to bind laminin, and is the underlying cause of several severe forms of muscular dystrophy known as dystroglycanopathies.Researchers investigating dystroglycanopathies recently discovered the functions of two enzymes in the pathway:  protein O-mannose kinase (POMK) and fukutin.  POMK phosphorylates Dg-linked mannose at carbon 6, and fukutin adds the sugar ribitol 5-phosphate to the glycan chain.  To assess the roles of POMK and fukutin relative to each other, scientists conducted experiments in which lysates from muscle cells deficient in either POMK or fukutin were incubated with <sup>32</sup>P-labeled ATP or <sup>3</sup>H-labeled activated ribitol 5-phosphate.  Combined lysates containing both fukutin and POMK were also tested.  Dg was then purified and detected by autoradiography and western blot using an antibody against Dg, as shown in Figure 2.   <strong>Figure 2</strong>  Autoradiograms and western blots of Dg purified from lysates incubated with <sup>32</sup>P-labeled ATP or <sup>3</sup>H-labeled ribitol 5-phosphate Adapted from Kanagawa M, Kobayashi K, Tajiri M, et al. Identification of a Post-translational Modification with Ribitol-Phosphate and Its Defect in Muscular Dystrophy. Cell Rep. 2016;14(9):2209-23. POMT can use activated D-mannose, but not D-glucose, as a substrate.  D-glucose and D-mannose are:</strong> A)constitutional isomers. B)enantiomers. C)epimers. D)anomers. <div style=padding-top: 35px> Figure 1  Schematic of interaction between Dg and laminin, mediated by the Dg-linked O-mannosyl glycanThe O-mannosyl glycan is added to Dg by a series of enzymes called glycosyltransferases.  The first enzyme in this series, protein O-mannosyltransferase (POMT), attaches D-mannose to the hydroxyl groups of serine and threonine residues in an α-linkage through the anomeric carbon.  The next sugar in the chain then forms a β-1,4 linkage to the mannose residue, followed by several more steps to produce the full glycan.  Genetic inactivation of any of the enzymes in the pathway results in an incomplete glycan and failure to bind laminin, and is the underlying cause of several severe forms of muscular dystrophy known as dystroglycanopathies.Researchers investigating dystroglycanopathies recently discovered the functions of two enzymes in the pathway:  protein O-mannose kinase (POMK) and fukutin.  POMK phosphorylates Dg-linked mannose at carbon 6, and fukutin adds the sugar ribitol 5-phosphate to the glycan chain.  To assess the roles of POMK and fukutin relative to each other, scientists conducted experiments in which lysates from muscle cells deficient in either POMK or fukutin were incubated with 32P-labeled ATP or 3H-labeled activated ribitol 5-phosphate.  Combined lysates containing both fukutin and POMK were also tested.  Dg was then purified and detected by autoradiography and western blot using an antibody against Dg, as shown in Figure 2.
<strong>Passage Dystroglycan (Dg) is a transmembrane protein that mediates interactions between the cytoskeleton and the extracellular matrix (ECM).  It binds the ECM protein laminin in an interaction that is required for intercellular communication and muscle membrane structural stability.  The Dg-laminin interaction is facilitated by a long carbohydrate chain called an O-mannosyl glycan, which is covalently linked to Dg (Figure 1).   <strong>Figure 1</strong>  Schematic of interaction between Dg and laminin, mediated by the Dg-linked O-mannosyl glycanThe O-mannosyl glycan is added to Dg by a series of enzymes called glycosyltransferases.  The first enzyme in this series, protein O-mannosyltransferase (POMT), attaches D-mannose to the hydroxyl groups of serine and threonine residues in an α-linkage through the anomeric carbon.  The next sugar in the chain then forms a β-1,4 linkage to the mannose residue, followed by several more steps to produce the full glycan.  Genetic inactivation of any of the enzymes in the pathway results in an incomplete glycan and failure to bind laminin, and is the underlying cause of several severe forms of muscular dystrophy known as dystroglycanopathies.Researchers investigating dystroglycanopathies recently discovered the functions of two enzymes in the pathway:  protein O-mannose kinase (POMK) and fukutin.  POMK phosphorylates Dg-linked mannose at carbon 6, and fukutin adds the sugar ribitol 5-phosphate to the glycan chain.  To assess the roles of POMK and fukutin relative to each other, scientists conducted experiments in which lysates from muscle cells deficient in either POMK or fukutin were incubated with <sup>32</sup>P-labeled ATP or <sup>3</sup>H-labeled activated ribitol 5-phosphate.  Combined lysates containing both fukutin and POMK were also tested.  Dg was then purified and detected by autoradiography and western blot using an antibody against Dg, as shown in Figure 2.   <strong>Figure 2</strong>  Autoradiograms and western blots of Dg purified from lysates incubated with <sup>32</sup>P-labeled ATP or <sup>3</sup>H-labeled ribitol 5-phosphate Adapted from Kanagawa M, Kobayashi K, Tajiri M, et al. Identification of a Post-translational Modification with Ribitol-Phosphate and Its Defect in Muscular Dystrophy. Cell Rep. 2016;14(9):2209-23. POMT can use activated D-mannose, but not D-glucose, as a substrate.  D-glucose and D-mannose are:</strong> A)constitutional isomers. B)enantiomers. C)epimers. D)anomers. <div style=padding-top: 35px> Figure 2  Autoradiograms and western blots of Dg purified from lysates incubated with 32P-labeled ATP or 3H-labeled ribitol 5-phosphate
Adapted from Kanagawa M, Kobayashi K, Tajiri M, et al. Identification of a Post-translational Modification with Ribitol-Phosphate and Its Defect in Muscular Dystrophy. Cell Rep. 2016;14(9):2209-23.
POMT can use activated D-mannose, but not D-glucose, as a substrate.  D-glucose and D-mannose are:

A)constitutional isomers.
B)enantiomers.
C)epimers.
D)anomers.
Question
Passage
Upon entering muscle cells, glucose is immediately phosphorylated by hexokinase to produce glucose 6-phosphate (G6P).  This phosphorylation event prevents glucose from exiting the cell.  G6P may then enter one of three metabolic pathways, depending on the needs of the cell (Figure 1).
<strong>Passage Upon entering muscle cells, glucose is immediately phosphorylated by hexokinase to produce glucose 6-phosphate (G6P).  This phosphorylation event prevents glucose from exiting the cell.  G6P may then enter one of three metabolic pathways, depending on the needs of the cell (Figure 1).   <strong>Figure 1</strong>  Three potential fates of G6P, determined by the needs of the cellUnder low ATP conditions, G6P enters glycolysis, where it is converted to two pyruvate molecules.  The energy released in this process produces a net total of two ATP molecules per glucose molecule consumed.  The resulting pyruvate molecules can then enter the mitochondria, where they participate in additional metabolic reactions that produce more ATP.When the cell experiences oxidative stress, G6P enters the pentose phosphate pathway (PPP) and produces NADPH, a reducing agent.  During this process, G6P loses one carbon atom in the form of CO<sub>2</sub> and is converted to ribose 5-phosphate (R5P), which is required for nucleotide synthesis.  In addition to low NADPH conditions, G6P may also enter the PPP during replication, when nucleotides are needed for DNA synthesis.  If nucleotides are not needed but energy is, R5P can be converted back to glycolytic intermediates and reenter glycolysis.  Each glucose molecule that is converted to R5P prior to glycolysis yields an average of 1.67 ATP molecules.When all the cell's metabolic requirements are met, additional G6P can enter glycogenesis and produce glycogen, which stores glucose for later use; this process consumes ATP.  When signal molecules bind G protein-coupled receptors on muscle cells, glycogenolysis is activated to release individual monomers from glycogen, allowing them to enter the appropriate pathway. The fact that glycogenolysis in muscle cells is activated by signal molecules binding to G protein-coupled receptors suggests that glycogenolysis can be induced by which of the following?</strong> A)Activation of adenylate cyclase B)Inhibition of glycogen phosphorylase C)Increased blood glucose concentration D)Depletion of cytosolic cAMP <div style=padding-top: 35px> Figure 1  Three potential fates of G6P, determined by the needs of the cellUnder low ATP conditions, G6P enters glycolysis, where it is converted to two pyruvate molecules.  The energy released in this process produces a net total of two ATP molecules per glucose molecule consumed.  The resulting pyruvate molecules can then enter the mitochondria, where they participate in additional metabolic reactions that produce more ATP.When the cell experiences oxidative stress, G6P enters the pentose phosphate pathway (PPP) and produces NADPH, a reducing agent.  During this process, G6P loses one carbon atom in the form of CO2 and is converted to ribose 5-phosphate (R5P), which is required for nucleotide synthesis.  In addition to low NADPH conditions, G6P may also enter the PPP during replication, when nucleotides are needed for DNA synthesis.  If nucleotides are not needed but energy is, R5P can be converted back to glycolytic intermediates and reenter glycolysis.  Each glucose molecule that is converted to R5P prior to glycolysis yields an average of 1.67 ATP molecules.When all the cell's metabolic requirements are met, additional G6P can enter glycogenesis and produce glycogen, which stores glucose for later use; this process consumes ATP.  When signal molecules bind G protein-coupled receptors on muscle cells, glycogenolysis is activated to release individual monomers from glycogen, allowing them to enter the appropriate pathway.
The fact that glycogenolysis in muscle cells is activated by signal molecules binding to G protein-coupled receptors suggests that glycogenolysis can be induced by which of the following?

A)Activation of adenylate cyclase
B)Inhibition of glycogen phosphorylase
C)Increased blood glucose concentration
D)Depletion of cytosolic cAMP
Question
Passage
Dystroglycan (Dg) is a transmembrane protein that mediates interactions between the cytoskeleton and the extracellular matrix (ECM).  It binds the ECM protein laminin in an interaction that is required for intercellular communication and muscle membrane structural stability.  The Dg-laminin interaction is facilitated by a long carbohydrate chain called an O-mannosyl glycan, which is covalently linked to Dg (Figure 1).
<strong>Passage Dystroglycan (Dg) is a transmembrane protein that mediates interactions between the cytoskeleton and the extracellular matrix (ECM).  It binds the ECM protein laminin in an interaction that is required for intercellular communication and muscle membrane structural stability.  The Dg-laminin interaction is facilitated by a long carbohydrate chain called an O-mannosyl glycan, which is covalently linked to Dg (Figure 1).   <strong>Figure 1</strong>  Schematic of interaction between Dg and laminin, mediated by the Dg-linked O-mannosyl glycanThe O-mannosyl glycan is added to Dg by a series of enzymes called glycosyltransferases.  The first enzyme in this series, protein O-mannosyltransferase (POMT), attaches D-mannose to the hydroxyl groups of serine and threonine residues in an α-linkage through the anomeric carbon.  The next sugar in the chain then forms a β-1,4 linkage to the mannose residue, followed by several more steps to produce the full glycan.  Genetic inactivation of any of the enzymes in the pathway results in an incomplete glycan and failure to bind laminin, and is the underlying cause of several severe forms of muscular dystrophy known as dystroglycanopathies.Researchers investigating dystroglycanopathies recently discovered the functions of two enzymes in the pathway:  protein O-mannose kinase (POMK) and fukutin.  POMK phosphorylates Dg-linked mannose at carbon 6, and fukutin adds the sugar ribitol 5-phosphate to the glycan chain.  To assess the roles of POMK and fukutin relative to each other, scientists conducted experiments in which lysates from muscle cells deficient in either POMK or fukutin were incubated with <sup>32</sup>P-labeled ATP or <sup>3</sup>H-labeled activated ribitol 5-phosphate.  Combined lysates containing both fukutin and POMK were also tested.  Dg was then purified and detected by autoradiography and western blot using an antibody against Dg, as shown in Figure 2.   <strong>Figure 2</strong>  Autoradiograms and western blots of Dg purified from lysates incubated with <sup>32</sup>P-labeled ATP or <sup>3</sup>H-labeled ribitol 5-phosphate Adapted from Kanagawa M, Kobayashi K, Tajiri M, et al. Identification of a Post-translational Modification with Ribitol-Phosphate and Its Defect in Muscular Dystrophy. Cell Rep. 2016;14(9):2209-23. O-linked D-mannose can form a glycosidic bond with any sugar that has a free anomeric carbon. Therefore it could theoretically form a glycosidic bond with all of the following sugars EXCEPT:</strong> A)galactose. B)ribose. C)lactose. D)sucrose. <div style=padding-top: 35px> Figure 1  Schematic of interaction between Dg and laminin, mediated by the Dg-linked O-mannosyl glycanThe O-mannosyl glycan is added to Dg by a series of enzymes called glycosyltransferases.  The first enzyme in this series, protein O-mannosyltransferase (POMT), attaches D-mannose to the hydroxyl groups of serine and threonine residues in an α-linkage through the anomeric carbon.  The next sugar in the chain then forms a β-1,4 linkage to the mannose residue, followed by several more steps to produce the full glycan.  Genetic inactivation of any of the enzymes in the pathway results in an incomplete glycan and failure to bind laminin, and is the underlying cause of several severe forms of muscular dystrophy known as dystroglycanopathies.Researchers investigating dystroglycanopathies recently discovered the functions of two enzymes in the pathway:  protein O-mannose kinase (POMK) and fukutin.  POMK phosphorylates Dg-linked mannose at carbon 6, and fukutin adds the sugar ribitol 5-phosphate to the glycan chain.  To assess the roles of POMK and fukutin relative to each other, scientists conducted experiments in which lysates from muscle cells deficient in either POMK or fukutin were incubated with 32P-labeled ATP or 3H-labeled activated ribitol 5-phosphate.  Combined lysates containing both fukutin and POMK were also tested.  Dg was then purified and detected by autoradiography and western blot using an antibody against Dg, as shown in Figure 2.
<strong>Passage Dystroglycan (Dg) is a transmembrane protein that mediates interactions between the cytoskeleton and the extracellular matrix (ECM).  It binds the ECM protein laminin in an interaction that is required for intercellular communication and muscle membrane structural stability.  The Dg-laminin interaction is facilitated by a long carbohydrate chain called an O-mannosyl glycan, which is covalently linked to Dg (Figure 1).   <strong>Figure 1</strong>  Schematic of interaction between Dg and laminin, mediated by the Dg-linked O-mannosyl glycanThe O-mannosyl glycan is added to Dg by a series of enzymes called glycosyltransferases.  The first enzyme in this series, protein O-mannosyltransferase (POMT), attaches D-mannose to the hydroxyl groups of serine and threonine residues in an α-linkage through the anomeric carbon.  The next sugar in the chain then forms a β-1,4 linkage to the mannose residue, followed by several more steps to produce the full glycan.  Genetic inactivation of any of the enzymes in the pathway results in an incomplete glycan and failure to bind laminin, and is the underlying cause of several severe forms of muscular dystrophy known as dystroglycanopathies.Researchers investigating dystroglycanopathies recently discovered the functions of two enzymes in the pathway:  protein O-mannose kinase (POMK) and fukutin.  POMK phosphorylates Dg-linked mannose at carbon 6, and fukutin adds the sugar ribitol 5-phosphate to the glycan chain.  To assess the roles of POMK and fukutin relative to each other, scientists conducted experiments in which lysates from muscle cells deficient in either POMK or fukutin were incubated with <sup>32</sup>P-labeled ATP or <sup>3</sup>H-labeled activated ribitol 5-phosphate.  Combined lysates containing both fukutin and POMK were also tested.  Dg was then purified and detected by autoradiography and western blot using an antibody against Dg, as shown in Figure 2.   <strong>Figure 2</strong>  Autoradiograms and western blots of Dg purified from lysates incubated with <sup>32</sup>P-labeled ATP or <sup>3</sup>H-labeled ribitol 5-phosphate Adapted from Kanagawa M, Kobayashi K, Tajiri M, et al. Identification of a Post-translational Modification with Ribitol-Phosphate and Its Defect in Muscular Dystrophy. Cell Rep. 2016;14(9):2209-23. O-linked D-mannose can form a glycosidic bond with any sugar that has a free anomeric carbon. Therefore it could theoretically form a glycosidic bond with all of the following sugars EXCEPT:</strong> A)galactose. B)ribose. C)lactose. D)sucrose. <div style=padding-top: 35px> Figure 2  Autoradiograms and western blots of Dg purified from lysates incubated with 32P-labeled ATP or 3H-labeled ribitol 5-phosphate
Adapted from Kanagawa M, Kobayashi K, Tajiri M, et al. Identification of a Post-translational Modification with Ribitol-Phosphate and Its Defect in Muscular Dystrophy. Cell Rep. 2016;14(9):2209-23.
O-linked D-mannose can form a glycosidic bond with any sugar that has a free anomeric carbon. Therefore it could theoretically form a glycosidic bond with all of the following sugars EXCEPT:

A)galactose.
B)ribose.
C)lactose.
D)sucrose.
Question
Passage
Although the structure of the cell membrane has been investigated repeatedly, few studies examine the contribution of its lipid components.  Lipid composition influences the fluidity and permeability of cell membranes in the human body.  Chronic diseases such as atherosclerosis and psoriasis arise from alterations to the lipid composition.Atherosclerosis is caused by the accumulation of cholesterol in the endothelial cells lining the arterial wall.  Cholesterol carried by low-density lipoprotein (LDL) is deposited into cell membranes, where it forms cholesterol crystalline domains (CCDs).  In damaged cells, these CCDs increase membrane permeability and contribute to the formation of cholesterol plaques that can potentially block the artery itself.Omega-3 fatty acids (O3FAs) derived from marine animals may be used to slow the development of atherosclerosis.  Formulations of O3FA contain varying concentrations of eicosapentaenoic acid (EPA) and docosahexaenoic acid (DHA) (Figure 1).  Present research suggests that formulations of O3FA should contain EPA exclusively because it prevents cholesterol from organizing into CCDs.  Nonetheless, atherosclerosis is generally treated by administering drugs referred to as statins, which decrease the free cholesterol in blood plasma by inhibiting the production of a cholesterol precursor.  Statin therapy combined with O3FAs may be used to reduce atherosclerosis in patients with persistent hypertriglyceridemia (high triglyceride plasma levels).
<strong>Passage Although the structure of the cell membrane has been investigated repeatedly, few studies examine the contribution of its lipid components.  Lipid composition influences the fluidity and permeability of cell membranes in the human body.  Chronic diseases such as atherosclerosis and psoriasis arise from alterations to the lipid composition.Atherosclerosis is caused by the accumulation of cholesterol in the endothelial cells lining the arterial wall.  Cholesterol carried by low-density lipoprotein (LDL) is deposited into cell membranes, where it forms cholesterol crystalline domains (CCDs).  In damaged cells, these CCDs increase membrane permeability and contribute to the formation of cholesterol plaques that can potentially block the artery itself.Omega-3 fatty acids (O3FAs) derived from marine animals may be used to slow the development of atherosclerosis.  Formulations of O3FA contain varying concentrations of eicosapentaenoic acid (EPA) and docosahexaenoic acid (DHA) (Figure 1).  Present research suggests that formulations of O3FA should contain EPA exclusively because it prevents cholesterol from organizing into CCDs.  Nonetheless, atherosclerosis is generally treated by administering drugs referred to as statins, which decrease the free cholesterol in blood plasma by inhibiting the production of a cholesterol precursor.  Statin therapy combined with O3FAs may be used to reduce atherosclerosis in patients with persistent hypertriglyceridemia (high triglyceride plasma levels).   <strong>Figure 1</strong>  Organization of membranes in endothelial and epidermal cellsWater loss from the uppermost layer of the epidermis, the stratum corneum (SC), is prevented by specialized lipids called ceramides (cer).  Psoriasis is a skin disease in which the permeability of the SC is compromised due to a significant decrease in the level of ceramides.  The scarcity of ceramides impedes the formation of a lipid matrix called the long periodicity phase (LPP) in the cell membrane.  Increasing the concentration of ceramides such as esterified omega-hydroxyacyl-sphingosine (cer-EOS) has been shown to reduce the permeability of SC cell membranes and may be used to treat psoriasis scabs (Figure 1). Adapted from Mason RP, Jacob RF, Shrivastava S, Sherratt SC, Chattopadhyay A. Eicosapentaenoic acid reduces membrane fluidity, inhibits cholesterol domain formation, and normalizes bilayer width in atherosclerotic-like model membranes. Biochim Biophys Acta. 2016;1858(12):3131-3140. Structural lipids in the cell membrane can be derived directly from dietary sources or from lipase-mediated catabolism.  Which statement correctly describes lipid processing during digestion?</strong> A)All lipids are emulsified, but waxes cannot be hydrolyzed. B)Phospholipids can be hydrolyzed, but only steroids and vitamins are emulsified. C)Triglycerides are hydrolyzed, but only prostaglandins can be emulsified. D)All lipids can be emulsified, and triglycerides and phospholipids are hydrolyzed. <div style=padding-top: 35px> Figure 1  Organization of membranes in endothelial and epidermal cellsWater loss from the uppermost layer of the epidermis, the stratum corneum (SC), is prevented by specialized lipids called ceramides (cer).  Psoriasis is a skin disease in which the permeability of the SC is compromised due to a significant decrease in the level of ceramides.  The scarcity of ceramides impedes the formation of a lipid matrix called the long periodicity phase (LPP) in the cell membrane.  Increasing the concentration of ceramides such as esterified omega-hydroxyacyl-sphingosine (cer-EOS) has been shown to reduce the permeability of SC cell membranes and may be used to treat psoriasis scabs (Figure 1).
Adapted from Mason RP, Jacob RF, Shrivastava S, Sherratt SC, Chattopadhyay A. Eicosapentaenoic acid reduces membrane fluidity, inhibits cholesterol domain formation, and normalizes bilayer width in atherosclerotic-like model membranes. Biochim Biophys Acta. 2016;1858(12):3131-3140.
Structural lipids in the cell membrane can be derived directly from dietary sources or from lipase-mediated catabolism.  Which statement correctly describes lipid processing during digestion?

A)All lipids are emulsified, but waxes cannot be hydrolyzed.
B)Phospholipids can be hydrolyzed, but only steroids and vitamins are emulsified.
C)Triglycerides are hydrolyzed, but only prostaglandins can be emulsified.
D)All lipids can be emulsified, and triglycerides and phospholipids are hydrolyzed.
Question
Passage
Dystroglycan (Dg) is a transmembrane protein that mediates interactions between the cytoskeleton and the extracellular matrix (ECM).  It binds the ECM protein laminin in an interaction that is required for intercellular communication and muscle membrane structural stability.  The Dg-laminin interaction is facilitated by a long carbohydrate chain called an O-mannosyl glycan, which is covalently linked to Dg (Figure 1).
<strong>Passage Dystroglycan (Dg) is a transmembrane protein that mediates interactions between the cytoskeleton and the extracellular matrix (ECM).  It binds the ECM protein laminin in an interaction that is required for intercellular communication and muscle membrane structural stability.  The Dg-laminin interaction is facilitated by a long carbohydrate chain called an O-mannosyl glycan, which is covalently linked to Dg (Figure 1).   <strong>Figure 1</strong>  Schematic of interaction between Dg and laminin, mediated by the Dg-linked O-mannosyl glycanThe O-mannosyl glycan is added to Dg by a series of enzymes called glycosyltransferases.  The first enzyme in this series, protein O-mannosyltransferase (POMT), attaches D-mannose to the hydroxyl groups of serine and threonine residues in an α-linkage through the anomeric carbon.  The next sugar in the chain then forms a β-1,4 linkage to the mannose residue, followed by several more steps to produce the full glycan.  Genetic inactivation of any of the enzymes in the pathway results in an incomplete glycan and failure to bind laminin, and is the underlying cause of several severe forms of muscular dystrophy known as dystroglycanopathies.Researchers investigating dystroglycanopathies recently discovered the functions of two enzymes in the pathway:  protein O-mannose kinase (POMK) and fukutin.  POMK phosphorylates Dg-linked mannose at carbon 6, and fukutin adds the sugar ribitol 5-phosphate to the glycan chain.  To assess the roles of POMK and fukutin relative to each other, scientists conducted experiments in which lysates from muscle cells deficient in either POMK or fukutin were incubated with <sup>32</sup>P-labeled ATP or <sup>3</sup>H-labeled activated ribitol 5-phosphate.  Combined lysates containing both fukutin and POMK were also tested.  Dg was then purified and detected by autoradiography and western blot using an antibody against Dg, as shown in Figure 2.   <strong>Figure 2</strong>  Autoradiograms and western blots of Dg purified from lysates incubated with <sup>32</sup>P-labeled ATP or <sup>3</sup>H-labeled ribitol 5-phosphate Adapted from Kanagawa M, Kobayashi K, Tajiri M, et al. Identification of a Post-translational Modification with Ribitol-Phosphate and Its Defect in Muscular Dystrophy. Cell Rep. 2016;14(9):2209-23. What was the purpose of the western blot in Figure 2?</strong> A)It confirmed the presence of Dg in all lanes (positive control). B)It showed that the molecular weight of Dg increases when enzymes are absent (dependent variable). C)It demonstrated experimental conditions for each lane (independent variable). D)It showed unmodified Dg (negative control). <div style=padding-top: 35px> Figure 1  Schematic of interaction between Dg and laminin, mediated by the Dg-linked O-mannosyl glycanThe O-mannosyl glycan is added to Dg by a series of enzymes called glycosyltransferases.  The first enzyme in this series, protein O-mannosyltransferase (POMT), attaches D-mannose to the hydroxyl groups of serine and threonine residues in an α-linkage through the anomeric carbon.  The next sugar in the chain then forms a β-1,4 linkage to the mannose residue, followed by several more steps to produce the full glycan.  Genetic inactivation of any of the enzymes in the pathway results in an incomplete glycan and failure to bind laminin, and is the underlying cause of several severe forms of muscular dystrophy known as dystroglycanopathies.Researchers investigating dystroglycanopathies recently discovered the functions of two enzymes in the pathway:  protein O-mannose kinase (POMK) and fukutin.  POMK phosphorylates Dg-linked mannose at carbon 6, and fukutin adds the sugar ribitol 5-phosphate to the glycan chain.  To assess the roles of POMK and fukutin relative to each other, scientists conducted experiments in which lysates from muscle cells deficient in either POMK or fukutin were incubated with 32P-labeled ATP or 3H-labeled activated ribitol 5-phosphate.  Combined lysates containing both fukutin and POMK were also tested.  Dg was then purified and detected by autoradiography and western blot using an antibody against Dg, as shown in Figure 2.
<strong>Passage Dystroglycan (Dg) is a transmembrane protein that mediates interactions between the cytoskeleton and the extracellular matrix (ECM).  It binds the ECM protein laminin in an interaction that is required for intercellular communication and muscle membrane structural stability.  The Dg-laminin interaction is facilitated by a long carbohydrate chain called an O-mannosyl glycan, which is covalently linked to Dg (Figure 1).   <strong>Figure 1</strong>  Schematic of interaction between Dg and laminin, mediated by the Dg-linked O-mannosyl glycanThe O-mannosyl glycan is added to Dg by a series of enzymes called glycosyltransferases.  The first enzyme in this series, protein O-mannosyltransferase (POMT), attaches D-mannose to the hydroxyl groups of serine and threonine residues in an α-linkage through the anomeric carbon.  The next sugar in the chain then forms a β-1,4 linkage to the mannose residue, followed by several more steps to produce the full glycan.  Genetic inactivation of any of the enzymes in the pathway results in an incomplete glycan and failure to bind laminin, and is the underlying cause of several severe forms of muscular dystrophy known as dystroglycanopathies.Researchers investigating dystroglycanopathies recently discovered the functions of two enzymes in the pathway:  protein O-mannose kinase (POMK) and fukutin.  POMK phosphorylates Dg-linked mannose at carbon 6, and fukutin adds the sugar ribitol 5-phosphate to the glycan chain.  To assess the roles of POMK and fukutin relative to each other, scientists conducted experiments in which lysates from muscle cells deficient in either POMK or fukutin were incubated with <sup>32</sup>P-labeled ATP or <sup>3</sup>H-labeled activated ribitol 5-phosphate.  Combined lysates containing both fukutin and POMK were also tested.  Dg was then purified and detected by autoradiography and western blot using an antibody against Dg, as shown in Figure 2.   <strong>Figure 2</strong>  Autoradiograms and western blots of Dg purified from lysates incubated with <sup>32</sup>P-labeled ATP or <sup>3</sup>H-labeled ribitol 5-phosphate Adapted from Kanagawa M, Kobayashi K, Tajiri M, et al. Identification of a Post-translational Modification with Ribitol-Phosphate and Its Defect in Muscular Dystrophy. Cell Rep. 2016;14(9):2209-23. What was the purpose of the western blot in Figure 2?</strong> A)It confirmed the presence of Dg in all lanes (positive control). B)It showed that the molecular weight of Dg increases when enzymes are absent (dependent variable). C)It demonstrated experimental conditions for each lane (independent variable). D)It showed unmodified Dg (negative control). <div style=padding-top: 35px> Figure 2  Autoradiograms and western blots of Dg purified from lysates incubated with 32P-labeled ATP or 3H-labeled ribitol 5-phosphate
Adapted from Kanagawa M, Kobayashi K, Tajiri M, et al. Identification of a Post-translational Modification with Ribitol-Phosphate and Its Defect in Muscular Dystrophy. Cell Rep. 2016;14(9):2209-23.
What was the purpose of the western blot in Figure 2?

A)It confirmed the presence of Dg in all lanes (positive control).
B)It showed that the molecular weight of Dg increases when enzymes are absent (dependent variable).
C)It demonstrated experimental conditions for each lane (independent variable).
D)It showed unmodified Dg (negative control).
Question
Passage
Although the structure of the cell membrane has been investigated repeatedly, few studies examine the contribution of its lipid components.  Lipid composition influences the fluidity and permeability of cell membranes in the human body.  Chronic diseases such as atherosclerosis and psoriasis arise from alterations to the lipid composition.Atherosclerosis is caused by the accumulation of cholesterol in the endothelial cells lining the arterial wall.  Cholesterol carried by low-density lipoprotein (LDL) is deposited into cell membranes, where it forms cholesterol crystalline domains (CCDs).  In damaged cells, these CCDs increase membrane permeability and contribute to the formation of cholesterol plaques that can potentially block the artery itself.Omega-3 fatty acids (O3FAs) derived from marine animals may be used to slow the development of atherosclerosis.  Formulations of O3FA contain varying concentrations of eicosapentaenoic acid (EPA) and docosahexaenoic acid (DHA) (Figure 1).  Present research suggests that formulations of O3FA should contain EPA exclusively because it prevents cholesterol from organizing into CCDs.  Nonetheless, atherosclerosis is generally treated by administering drugs referred to as statins, which decrease the free cholesterol in blood plasma by inhibiting the production of a cholesterol precursor.  Statin therapy combined with O3FAs may be used to reduce atherosclerosis in patients with persistent hypertriglyceridemia (high triglyceride plasma levels).
<strong>Passage Although the structure of the cell membrane has been investigated repeatedly, few studies examine the contribution of its lipid components.  Lipid composition influences the fluidity and permeability of cell membranes in the human body.  Chronic diseases such as atherosclerosis and psoriasis arise from alterations to the lipid composition.Atherosclerosis is caused by the accumulation of cholesterol in the endothelial cells lining the arterial wall.  Cholesterol carried by low-density lipoprotein (LDL) is deposited into cell membranes, where it forms cholesterol crystalline domains (CCDs).  In damaged cells, these CCDs increase membrane permeability and contribute to the formation of cholesterol plaques that can potentially block the artery itself.Omega-3 fatty acids (O3FAs) derived from marine animals may be used to slow the development of atherosclerosis.  Formulations of O3FA contain varying concentrations of eicosapentaenoic acid (EPA) and docosahexaenoic acid (DHA) (Figure 1).  Present research suggests that formulations of O3FA should contain EPA exclusively because it prevents cholesterol from organizing into CCDs.  Nonetheless, atherosclerosis is generally treated by administering drugs referred to as statins, which decrease the free cholesterol in blood plasma by inhibiting the production of a cholesterol precursor.  Statin therapy combined with O3FAs may be used to reduce atherosclerosis in patients with persistent hypertriglyceridemia (high triglyceride plasma levels).   <strong>Figure 1</strong>  Organization of membranes in endothelial and epidermal cellsWater loss from the uppermost layer of the epidermis, the stratum corneum (SC), is prevented by specialized lipids called ceramides (cer).  Psoriasis is a skin disease in which the permeability of the SC is compromised due to a significant decrease in the level of ceramides.  The scarcity of ceramides impedes the formation of a lipid matrix called the long periodicity phase (LPP) in the cell membrane.  Increasing the concentration of ceramides such as esterified omega-hydroxyacyl-sphingosine (cer-EOS) has been shown to reduce the permeability of SC cell membranes and may be used to treat psoriasis scabs (Figure 1). Adapted from Mason RP, Jacob RF, Shrivastava S, Sherratt SC, Chattopadhyay A. Eicosapentaenoic acid reduces membrane fluidity, inhibits cholesterol domain formation, and normalizes bilayer width in atherosclerotic-like model membranes. Biochim Biophys Acta. 2016;1858(12):3131-3140. Individuals undergoing statin therapy would most likely exhibit:</strong> A)high levels of leptin. B)low levels of testosterone. C)low levels of insulin. D)high levels of cortisol. <div style=padding-top: 35px> Figure 1  Organization of membranes in endothelial and epidermal cellsWater loss from the uppermost layer of the epidermis, the stratum corneum (SC), is prevented by specialized lipids called ceramides (cer).  Psoriasis is a skin disease in which the permeability of the SC is compromised due to a significant decrease in the level of ceramides.  The scarcity of ceramides impedes the formation of a lipid matrix called the long periodicity phase (LPP) in the cell membrane.  Increasing the concentration of ceramides such as esterified omega-hydroxyacyl-sphingosine (cer-EOS) has been shown to reduce the permeability of SC cell membranes and may be used to treat psoriasis scabs (Figure 1).
Adapted from Mason RP, Jacob RF, Shrivastava S, Sherratt SC, Chattopadhyay A. Eicosapentaenoic acid reduces membrane fluidity, inhibits cholesterol domain formation, and normalizes bilayer width in atherosclerotic-like model membranes. Biochim Biophys Acta. 2016;1858(12):3131-3140.
Individuals undergoing statin therapy would most likely exhibit:

A)high levels of leptin.
B)low levels of testosterone.
C)low levels of insulin.
D)high levels of cortisol.
Question
Passage
Although the structure of the cell membrane has been investigated repeatedly, few studies examine the contribution of its lipid components.  Lipid composition influences the fluidity and permeability of cell membranes in the human body.  Chronic diseases such as atherosclerosis and psoriasis arise from alterations to the lipid composition.Atherosclerosis is caused by the accumulation of cholesterol in the endothelial cells lining the arterial wall.  Cholesterol carried by low-density lipoprotein (LDL) is deposited into cell membranes, where it forms cholesterol crystalline domains (CCDs).  In damaged cells, these CCDs increase membrane permeability and contribute to the formation of cholesterol plaques that can potentially block the artery itself.Omega-3 fatty acids (O3FAs) derived from marine animals may be used to slow the development of atherosclerosis.  Formulations of O3FA contain varying concentrations of eicosapentaenoic acid (EPA) and docosahexaenoic acid (DHA) (Figure 1).  Present research suggests that formulations of O3FA should contain EPA exclusively because it prevents cholesterol from organizing into CCDs.  Nonetheless, atherosclerosis is generally treated by administering drugs referred to as statins, which decrease the free cholesterol in blood plasma by inhibiting the production of a cholesterol precursor.  Statin therapy combined with O3FAs may be used to reduce atherosclerosis in patients with persistent hypertriglyceridemia (high triglyceride plasma levels).
<strong>Passage Although the structure of the cell membrane has been investigated repeatedly, few studies examine the contribution of its lipid components.  Lipid composition influences the fluidity and permeability of cell membranes in the human body.  Chronic diseases such as atherosclerosis and psoriasis arise from alterations to the lipid composition.Atherosclerosis is caused by the accumulation of cholesterol in the endothelial cells lining the arterial wall.  Cholesterol carried by low-density lipoprotein (LDL) is deposited into cell membranes, where it forms cholesterol crystalline domains (CCDs).  In damaged cells, these CCDs increase membrane permeability and contribute to the formation of cholesterol plaques that can potentially block the artery itself.Omega-3 fatty acids (O3FAs) derived from marine animals may be used to slow the development of atherosclerosis.  Formulations of O3FA contain varying concentrations of eicosapentaenoic acid (EPA) and docosahexaenoic acid (DHA) (Figure 1).  Present research suggests that formulations of O3FA should contain EPA exclusively because it prevents cholesterol from organizing into CCDs.  Nonetheless, atherosclerosis is generally treated by administering drugs referred to as statins, which decrease the free cholesterol in blood plasma by inhibiting the production of a cholesterol precursor.  Statin therapy combined with O3FAs may be used to reduce atherosclerosis in patients with persistent hypertriglyceridemia (high triglyceride plasma levels).   <strong>Figure 1</strong>  Organization of membranes in endothelial and epidermal cellsWater loss from the uppermost layer of the epidermis, the stratum corneum (SC), is prevented by specialized lipids called ceramides (cer).  Psoriasis is a skin disease in which the permeability of the SC is compromised due to a significant decrease in the level of ceramides.  The scarcity of ceramides impedes the formation of a lipid matrix called the long periodicity phase (LPP) in the cell membrane.  Increasing the concentration of ceramides such as esterified omega-hydroxyacyl-sphingosine (cer-EOS) has been shown to reduce the permeability of SC cell membranes and may be used to treat psoriasis scabs (Figure 1). Adapted from Mason RP, Jacob RF, Shrivastava S, Sherratt SC, Chattopadhyay A. Eicosapentaenoic acid reduces membrane fluidity, inhibits cholesterol domain formation, and normalizes bilayer width in atherosclerotic-like model membranes. Biochim Biophys Acta. 2016;1858(12):3131-3140. Prolonged starvation in patients diagnosed with hypertriglyceridemia would most likely promote:</strong> A)the accumulation of glycerol in the bloodstream. B)the utilization of ketone bodies by the brain. C)the production of glycogen stores in the liver. D)the synthesis of amino acids in the liver. <div style=padding-top: 35px> Figure 1  Organization of membranes in endothelial and epidermal cellsWater loss from the uppermost layer of the epidermis, the stratum corneum (SC), is prevented by specialized lipids called ceramides (cer).  Psoriasis is a skin disease in which the permeability of the SC is compromised due to a significant decrease in the level of ceramides.  The scarcity of ceramides impedes the formation of a lipid matrix called the long periodicity phase (LPP) in the cell membrane.  Increasing the concentration of ceramides such as esterified omega-hydroxyacyl-sphingosine (cer-EOS) has been shown to reduce the permeability of SC cell membranes and may be used to treat psoriasis scabs (Figure 1).
Adapted from Mason RP, Jacob RF, Shrivastava S, Sherratt SC, Chattopadhyay A. Eicosapentaenoic acid reduces membrane fluidity, inhibits cholesterol domain formation, and normalizes bilayer width in atherosclerotic-like model membranes. Biochim Biophys Acta. 2016;1858(12):3131-3140.
Prolonged starvation in patients diagnosed with hypertriglyceridemia would most likely promote:

A)the accumulation of glycerol in the bloodstream.
B)the utilization of ketone bodies by the brain.
C)the production of glycogen stores in the liver.
D)the synthesis of amino acids in the liver.
Question
Passage
Upon entering muscle cells, glucose is immediately phosphorylated by hexokinase to produce glucose 6-phosphate (G6P).  This phosphorylation event prevents glucose from exiting the cell.  G6P may then enter one of three metabolic pathways, depending on the needs of the cell (Figure 1).
<strong>Passage Upon entering muscle cells, glucose is immediately phosphorylated by hexokinase to produce glucose 6-phosphate (G6P).  This phosphorylation event prevents glucose from exiting the cell.  G6P may then enter one of three metabolic pathways, depending on the needs of the cell (Figure 1).   <strong>Figure 1</strong>  Three potential fates of G6P, determined by the needs of the cellUnder low ATP conditions, G6P enters glycolysis, where it is converted to two pyruvate molecules.  The energy released in this process produces a net total of two ATP molecules per glucose molecule consumed.  The resulting pyruvate molecules can then enter the mitochondria, where they participate in additional metabolic reactions that produce more ATP.When the cell experiences oxidative stress, G6P enters the pentose phosphate pathway (PPP) and produces NADPH, a reducing agent.  During this process, G6P loses one carbon atom in the form of CO<sub>2</sub> and is converted to ribose 5-phosphate (R5P), which is required for nucleotide synthesis.  In addition to low NADPH conditions, G6P may also enter the PPP during replication, when nucleotides are needed for DNA synthesis.  If nucleotides are not needed but energy is, R5P can be converted back to glycolytic intermediates and reenter glycolysis.  Each glucose molecule that is converted to R5P prior to glycolysis yields an average of 1.67 ATP molecules.When all the cell's metabolic requirements are met, additional G6P can enter glycogenesis and produce glycogen, which stores glucose for later use; this process consumes ATP.  When signal molecules bind G protein-coupled receptors on muscle cells, glycogenolysis is activated to release individual monomers from glycogen, allowing them to enter the appropriate pathway. When the cell is in need of glucose, glycogenolysis is upregulated, beginning with the activation of glycogen phosphorylase.  Glycogen phosphorylase catalyzes the production of which of the following molecules?</strong> A)UDP-glucose B)UDP-galactose C)Glucose 1-phosphate D)Glucose 6-phosphate <div style=padding-top: 35px> Figure 1  Three potential fates of G6P, determined by the needs of the cellUnder low ATP conditions, G6P enters glycolysis, where it is converted to two pyruvate molecules.  The energy released in this process produces a net total of two ATP molecules per glucose molecule consumed.  The resulting pyruvate molecules can then enter the mitochondria, where they participate in additional metabolic reactions that produce more ATP.When the cell experiences oxidative stress, G6P enters the pentose phosphate pathway (PPP) and produces NADPH, a reducing agent.  During this process, G6P loses one carbon atom in the form of CO2 and is converted to ribose 5-phosphate (R5P), which is required for nucleotide synthesis.  In addition to low NADPH conditions, G6P may also enter the PPP during replication, when nucleotides are needed for DNA synthesis.  If nucleotides are not needed but energy is, R5P can be converted back to glycolytic intermediates and reenter glycolysis.  Each glucose molecule that is converted to R5P prior to glycolysis yields an average of 1.67 ATP molecules.When all the cell's metabolic requirements are met, additional G6P can enter glycogenesis and produce glycogen, which stores glucose for later use; this process consumes ATP.  When signal molecules bind G protein-coupled receptors on muscle cells, glycogenolysis is activated to release individual monomers from glycogen, allowing them to enter the appropriate pathway.
When the cell is in need of glucose, glycogenolysis is upregulated, beginning with the activation of glycogen phosphorylase.  Glycogen phosphorylase catalyzes the production of which of the following molecules?

A)UDP-glucose
B)UDP-galactose
C)Glucose 1-phosphate
D)Glucose 6-phosphate
Question
Passage
Although the structure of the cell membrane has been investigated repeatedly, few studies examine the contribution of its lipid components.  Lipid composition influences the fluidity and permeability of cell membranes in the human body.  Chronic diseases such as atherosclerosis and psoriasis arise from alterations to the lipid composition.Atherosclerosis is caused by the accumulation of cholesterol in the endothelial cells lining the arterial wall.  Cholesterol carried by low-density lipoprotein (LDL) is deposited into cell membranes, where it forms cholesterol crystalline domains (CCDs).  In damaged cells, these CCDs increase membrane permeability and contribute to the formation of cholesterol plaques that can potentially block the artery itself.Omega-3 fatty acids (O3FAs) derived from marine animals may be used to slow the development of atherosclerosis.  Formulations of O3FA contain varying concentrations of eicosapentaenoic acid (EPA) and docosahexaenoic acid (DHA) (Figure 1).  Present research suggests that formulations of O3FA should contain EPA exclusively because it prevents cholesterol from organizing into CCDs.  Nonetheless, atherosclerosis is generally treated by administering drugs referred to as statins, which decrease the free cholesterol in blood plasma by inhibiting the production of a cholesterol precursor.  Statin therapy combined with O3FAs may be used to reduce atherosclerosis in patients with persistent hypertriglyceridemia (high triglyceride plasma levels).
<strong>Passage Although the structure of the cell membrane has been investigated repeatedly, few studies examine the contribution of its lipid components.  Lipid composition influences the fluidity and permeability of cell membranes in the human body.  Chronic diseases such as atherosclerosis and psoriasis arise from alterations to the lipid composition.Atherosclerosis is caused by the accumulation of cholesterol in the endothelial cells lining the arterial wall.  Cholesterol carried by low-density lipoprotein (LDL) is deposited into cell membranes, where it forms cholesterol crystalline domains (CCDs).  In damaged cells, these CCDs increase membrane permeability and contribute to the formation of cholesterol plaques that can potentially block the artery itself.Omega-3 fatty acids (O3FAs) derived from marine animals may be used to slow the development of atherosclerosis.  Formulations of O3FA contain varying concentrations of eicosapentaenoic acid (EPA) and docosahexaenoic acid (DHA) (Figure 1).  Present research suggests that formulations of O3FA should contain EPA exclusively because it prevents cholesterol from organizing into CCDs.  Nonetheless, atherosclerosis is generally treated by administering drugs referred to as statins, which decrease the free cholesterol in blood plasma by inhibiting the production of a cholesterol precursor.  Statin therapy combined with O3FAs may be used to reduce atherosclerosis in patients with persistent hypertriglyceridemia (high triglyceride plasma levels).   <strong>Figure 1</strong>  Organization of membranes in endothelial and epidermal cellsWater loss from the uppermost layer of the epidermis, the stratum corneum (SC), is prevented by specialized lipids called ceramides (cer).  Psoriasis is a skin disease in which the permeability of the SC is compromised due to a significant decrease in the level of ceramides.  The scarcity of ceramides impedes the formation of a lipid matrix called the long periodicity phase (LPP) in the cell membrane.  Increasing the concentration of ceramides such as esterified omega-hydroxyacyl-sphingosine (cer-EOS) has been shown to reduce the permeability of SC cell membranes and may be used to treat psoriasis scabs (Figure 1). Adapted from Mason RP, Jacob RF, Shrivastava S, Sherratt SC, Chattopadhyay A. Eicosapentaenoic acid reduces membrane fluidity, inhibits cholesterol domain formation, and normalizes bilayer width in atherosclerotic-like model membranes. Biochim Biophys Acta. 2016;1858(12):3131-3140. Based on the passage, individuals with atherosclerosis or psoriasis would benefit from therapies that result in which of the following changes, respectively?</strong> A)A decrease in LDL or a decrease in ceramides B)A decrease in glycolipids or an increase in cholesterol C)An increase in free fatty acids or an increase in sphingolipids D)An increase in terpenes or a decrease in saturated lipids <div style=padding-top: 35px> Figure 1  Organization of membranes in endothelial and epidermal cellsWater loss from the uppermost layer of the epidermis, the stratum corneum (SC), is prevented by specialized lipids called ceramides (cer).  Psoriasis is a skin disease in which the permeability of the SC is compromised due to a significant decrease in the level of ceramides.  The scarcity of ceramides impedes the formation of a lipid matrix called the long periodicity phase (LPP) in the cell membrane.  Increasing the concentration of ceramides such as esterified omega-hydroxyacyl-sphingosine (cer-EOS) has been shown to reduce the permeability of SC cell membranes and may be used to treat psoriasis scabs (Figure 1).
Adapted from Mason RP, Jacob RF, Shrivastava S, Sherratt SC, Chattopadhyay A. Eicosapentaenoic acid reduces membrane fluidity, inhibits cholesterol domain formation, and normalizes bilayer width in atherosclerotic-like model membranes. Biochim Biophys Acta. 2016;1858(12):3131-3140.
Based on the passage, individuals with atherosclerosis or psoriasis would benefit from therapies that result in which of the following changes, respectively?

A)A decrease in LDL or a decrease in ceramides
B)A decrease in glycolipids or an increase in cholesterol
C)An increase in free fatty acids or an increase in sphingolipids
D)An increase in terpenes or a decrease in saturated lipids
Question
Passage
Dystroglycan (Dg) is a transmembrane protein that mediates interactions between the cytoskeleton and the extracellular matrix (ECM).  It binds the ECM protein laminin in an interaction that is required for intercellular communication and muscle membrane structural stability.  The Dg-laminin interaction is facilitated by a long carbohydrate chain called an O-mannosyl glycan, which is covalently linked to Dg (Figure 1).
<strong>Passage Dystroglycan (Dg) is a transmembrane protein that mediates interactions between the cytoskeleton and the extracellular matrix (ECM).  It binds the ECM protein laminin in an interaction that is required for intercellular communication and muscle membrane structural stability.  The Dg-laminin interaction is facilitated by a long carbohydrate chain called an O-mannosyl glycan, which is covalently linked to Dg (Figure 1).   <strong>Figure 1</strong>  Schematic of interaction between Dg and laminin, mediated by the Dg-linked O-mannosyl glycanThe O-mannosyl glycan is added to Dg by a series of enzymes called glycosyltransferases.  The first enzyme in this series, protein O-mannosyltransferase (POMT), attaches D-mannose to the hydroxyl groups of serine and threonine residues in an α-linkage through the anomeric carbon.  The next sugar in the chain then forms a β-1,4 linkage to the mannose residue, followed by several more steps to produce the full glycan.  Genetic inactivation of any of the enzymes in the pathway results in an incomplete glycan and failure to bind laminin, and is the underlying cause of several severe forms of muscular dystrophy known as dystroglycanopathies.Researchers investigating dystroglycanopathies recently discovered the functions of two enzymes in the pathway:  protein O-mannose kinase (POMK) and fukutin.  POMK phosphorylates Dg-linked mannose at carbon 6, and fukutin adds the sugar ribitol 5-phosphate to the glycan chain.  To assess the roles of POMK and fukutin relative to each other, scientists conducted experiments in which lysates from muscle cells deficient in either POMK or fukutin were incubated with <sup>32</sup>P-labeled ATP or <sup>3</sup>H-labeled activated ribitol 5-phosphate.  Combined lysates containing both fukutin and POMK were also tested.  Dg was then purified and detected by autoradiography and western blot using an antibody against Dg, as shown in Figure 2.   <strong>Figure 2</strong>  Autoradiograms and western blots of Dg purified from lysates incubated with <sup>32</sup>P-labeled ATP or <sup>3</sup>H-labeled ribitol 5-phosphate Adapted from Kanagawa M, Kobayashi K, Tajiri M, et al. Identification of a Post-translational Modification with Ribitol-Phosphate and Its Defect in Muscular Dystrophy. Cell Rep. 2016;14(9):2209-23. Which of the following structures could represent the completed O-mannosyl glycan?</strong> A)   B)   C)   D)   <div style=padding-top: 35px> Figure 1  Schematic of interaction between Dg and laminin, mediated by the Dg-linked O-mannosyl glycanThe O-mannosyl glycan is added to Dg by a series of enzymes called glycosyltransferases.  The first enzyme in this series, protein O-mannosyltransferase (POMT), attaches D-mannose to the hydroxyl groups of serine and threonine residues in an α-linkage through the anomeric carbon.  The next sugar in the chain then forms a β-1,4 linkage to the mannose residue, followed by several more steps to produce the full glycan.  Genetic inactivation of any of the enzymes in the pathway results in an incomplete glycan and failure to bind laminin, and is the underlying cause of several severe forms of muscular dystrophy known as dystroglycanopathies.Researchers investigating dystroglycanopathies recently discovered the functions of two enzymes in the pathway:  protein O-mannose kinase (POMK) and fukutin.  POMK phosphorylates Dg-linked mannose at carbon 6, and fukutin adds the sugar ribitol 5-phosphate to the glycan chain.  To assess the roles of POMK and fukutin relative to each other, scientists conducted experiments in which lysates from muscle cells deficient in either POMK or fukutin were incubated with 32P-labeled ATP or 3H-labeled activated ribitol 5-phosphate.  Combined lysates containing both fukutin and POMK were also tested.  Dg was then purified and detected by autoradiography and western blot using an antibody against Dg, as shown in Figure 2.
<strong>Passage Dystroglycan (Dg) is a transmembrane protein that mediates interactions between the cytoskeleton and the extracellular matrix (ECM).  It binds the ECM protein laminin in an interaction that is required for intercellular communication and muscle membrane structural stability.  The Dg-laminin interaction is facilitated by a long carbohydrate chain called an O-mannosyl glycan, which is covalently linked to Dg (Figure 1).   <strong>Figure 1</strong>  Schematic of interaction between Dg and laminin, mediated by the Dg-linked O-mannosyl glycanThe O-mannosyl glycan is added to Dg by a series of enzymes called glycosyltransferases.  The first enzyme in this series, protein O-mannosyltransferase (POMT), attaches D-mannose to the hydroxyl groups of serine and threonine residues in an α-linkage through the anomeric carbon.  The next sugar in the chain then forms a β-1,4 linkage to the mannose residue, followed by several more steps to produce the full glycan.  Genetic inactivation of any of the enzymes in the pathway results in an incomplete glycan and failure to bind laminin, and is the underlying cause of several severe forms of muscular dystrophy known as dystroglycanopathies.Researchers investigating dystroglycanopathies recently discovered the functions of two enzymes in the pathway:  protein O-mannose kinase (POMK) and fukutin.  POMK phosphorylates Dg-linked mannose at carbon 6, and fukutin adds the sugar ribitol 5-phosphate to the glycan chain.  To assess the roles of POMK and fukutin relative to each other, scientists conducted experiments in which lysates from muscle cells deficient in either POMK or fukutin were incubated with <sup>32</sup>P-labeled ATP or <sup>3</sup>H-labeled activated ribitol 5-phosphate.  Combined lysates containing both fukutin and POMK were also tested.  Dg was then purified and detected by autoradiography and western blot using an antibody against Dg, as shown in Figure 2.   <strong>Figure 2</strong>  Autoradiograms and western blots of Dg purified from lysates incubated with <sup>32</sup>P-labeled ATP or <sup>3</sup>H-labeled ribitol 5-phosphate Adapted from Kanagawa M, Kobayashi K, Tajiri M, et al. Identification of a Post-translational Modification with Ribitol-Phosphate and Its Defect in Muscular Dystrophy. Cell Rep. 2016;14(9):2209-23. Which of the following structures could represent the completed O-mannosyl glycan?</strong> A)   B)   C)   D)   <div style=padding-top: 35px> Figure 2  Autoradiograms and western blots of Dg purified from lysates incubated with 32P-labeled ATP or 3H-labeled ribitol 5-phosphate
Adapted from Kanagawa M, Kobayashi K, Tajiri M, et al. Identification of a Post-translational Modification with Ribitol-Phosphate and Its Defect in Muscular Dystrophy. Cell Rep. 2016;14(9):2209-23.
Which of the following structures could represent the completed O-mannosyl glycan?

A) <strong>Passage Dystroglycan (Dg) is a transmembrane protein that mediates interactions between the cytoskeleton and the extracellular matrix (ECM).  It binds the ECM protein laminin in an interaction that is required for intercellular communication and muscle membrane structural stability.  The Dg-laminin interaction is facilitated by a long carbohydrate chain called an O-mannosyl glycan, which is covalently linked to Dg (Figure 1).   <strong>Figure 1</strong>  Schematic of interaction between Dg and laminin, mediated by the Dg-linked O-mannosyl glycanThe O-mannosyl glycan is added to Dg by a series of enzymes called glycosyltransferases.  The first enzyme in this series, protein O-mannosyltransferase (POMT), attaches D-mannose to the hydroxyl groups of serine and threonine residues in an α-linkage through the anomeric carbon.  The next sugar in the chain then forms a β-1,4 linkage to the mannose residue, followed by several more steps to produce the full glycan.  Genetic inactivation of any of the enzymes in the pathway results in an incomplete glycan and failure to bind laminin, and is the underlying cause of several severe forms of muscular dystrophy known as dystroglycanopathies.Researchers investigating dystroglycanopathies recently discovered the functions of two enzymes in the pathway:  protein O-mannose kinase (POMK) and fukutin.  POMK phosphorylates Dg-linked mannose at carbon 6, and fukutin adds the sugar ribitol 5-phosphate to the glycan chain.  To assess the roles of POMK and fukutin relative to each other, scientists conducted experiments in which lysates from muscle cells deficient in either POMK or fukutin were incubated with <sup>32</sup>P-labeled ATP or <sup>3</sup>H-labeled activated ribitol 5-phosphate.  Combined lysates containing both fukutin and POMK were also tested.  Dg was then purified and detected by autoradiography and western blot using an antibody against Dg, as shown in Figure 2.   <strong>Figure 2</strong>  Autoradiograms and western blots of Dg purified from lysates incubated with <sup>32</sup>P-labeled ATP or <sup>3</sup>H-labeled ribitol 5-phosphate Adapted from Kanagawa M, Kobayashi K, Tajiri M, et al. Identification of a Post-translational Modification with Ribitol-Phosphate and Its Defect in Muscular Dystrophy. Cell Rep. 2016;14(9):2209-23. Which of the following structures could represent the completed O-mannosyl glycan?</strong> A)   B)   C)   D)   <div style=padding-top: 35px>
B) <strong>Passage Dystroglycan (Dg) is a transmembrane protein that mediates interactions between the cytoskeleton and the extracellular matrix (ECM).  It binds the ECM protein laminin in an interaction that is required for intercellular communication and muscle membrane structural stability.  The Dg-laminin interaction is facilitated by a long carbohydrate chain called an O-mannosyl glycan, which is covalently linked to Dg (Figure 1).   <strong>Figure 1</strong>  Schematic of interaction between Dg and laminin, mediated by the Dg-linked O-mannosyl glycanThe O-mannosyl glycan is added to Dg by a series of enzymes called glycosyltransferases.  The first enzyme in this series, protein O-mannosyltransferase (POMT), attaches D-mannose to the hydroxyl groups of serine and threonine residues in an α-linkage through the anomeric carbon.  The next sugar in the chain then forms a β-1,4 linkage to the mannose residue, followed by several more steps to produce the full glycan.  Genetic inactivation of any of the enzymes in the pathway results in an incomplete glycan and failure to bind laminin, and is the underlying cause of several severe forms of muscular dystrophy known as dystroglycanopathies.Researchers investigating dystroglycanopathies recently discovered the functions of two enzymes in the pathway:  protein O-mannose kinase (POMK) and fukutin.  POMK phosphorylates Dg-linked mannose at carbon 6, and fukutin adds the sugar ribitol 5-phosphate to the glycan chain.  To assess the roles of POMK and fukutin relative to each other, scientists conducted experiments in which lysates from muscle cells deficient in either POMK or fukutin were incubated with <sup>32</sup>P-labeled ATP or <sup>3</sup>H-labeled activated ribitol 5-phosphate.  Combined lysates containing both fukutin and POMK were also tested.  Dg was then purified and detected by autoradiography and western blot using an antibody against Dg, as shown in Figure 2.   <strong>Figure 2</strong>  Autoradiograms and western blots of Dg purified from lysates incubated with <sup>32</sup>P-labeled ATP or <sup>3</sup>H-labeled ribitol 5-phosphate Adapted from Kanagawa M, Kobayashi K, Tajiri M, et al. Identification of a Post-translational Modification with Ribitol-Phosphate and Its Defect in Muscular Dystrophy. Cell Rep. 2016;14(9):2209-23. Which of the following structures could represent the completed O-mannosyl glycan?</strong> A)   B)   C)   D)   <div style=padding-top: 35px>
C) <strong>Passage Dystroglycan (Dg) is a transmembrane protein that mediates interactions between the cytoskeleton and the extracellular matrix (ECM).  It binds the ECM protein laminin in an interaction that is required for intercellular communication and muscle membrane structural stability.  The Dg-laminin interaction is facilitated by a long carbohydrate chain called an O-mannosyl glycan, which is covalently linked to Dg (Figure 1).   <strong>Figure 1</strong>  Schematic of interaction between Dg and laminin, mediated by the Dg-linked O-mannosyl glycanThe O-mannosyl glycan is added to Dg by a series of enzymes called glycosyltransferases.  The first enzyme in this series, protein O-mannosyltransferase (POMT), attaches D-mannose to the hydroxyl groups of serine and threonine residues in an α-linkage through the anomeric carbon.  The next sugar in the chain then forms a β-1,4 linkage to the mannose residue, followed by several more steps to produce the full glycan.  Genetic inactivation of any of the enzymes in the pathway results in an incomplete glycan and failure to bind laminin, and is the underlying cause of several severe forms of muscular dystrophy known as dystroglycanopathies.Researchers investigating dystroglycanopathies recently discovered the functions of two enzymes in the pathway:  protein O-mannose kinase (POMK) and fukutin.  POMK phosphorylates Dg-linked mannose at carbon 6, and fukutin adds the sugar ribitol 5-phosphate to the glycan chain.  To assess the roles of POMK and fukutin relative to each other, scientists conducted experiments in which lysates from muscle cells deficient in either POMK or fukutin were incubated with <sup>32</sup>P-labeled ATP or <sup>3</sup>H-labeled activated ribitol 5-phosphate.  Combined lysates containing both fukutin and POMK were also tested.  Dg was then purified and detected by autoradiography and western blot using an antibody against Dg, as shown in Figure 2.   <strong>Figure 2</strong>  Autoradiograms and western blots of Dg purified from lysates incubated with <sup>32</sup>P-labeled ATP or <sup>3</sup>H-labeled ribitol 5-phosphate Adapted from Kanagawa M, Kobayashi K, Tajiri M, et al. Identification of a Post-translational Modification with Ribitol-Phosphate and Its Defect in Muscular Dystrophy. Cell Rep. 2016;14(9):2209-23. Which of the following structures could represent the completed O-mannosyl glycan?</strong> A)   B)   C)   D)   <div style=padding-top: 35px>
D) <strong>Passage Dystroglycan (Dg) is a transmembrane protein that mediates interactions between the cytoskeleton and the extracellular matrix (ECM).  It binds the ECM protein laminin in an interaction that is required for intercellular communication and muscle membrane structural stability.  The Dg-laminin interaction is facilitated by a long carbohydrate chain called an O-mannosyl glycan, which is covalently linked to Dg (Figure 1).   <strong>Figure 1</strong>  Schematic of interaction between Dg and laminin, mediated by the Dg-linked O-mannosyl glycanThe O-mannosyl glycan is added to Dg by a series of enzymes called glycosyltransferases.  The first enzyme in this series, protein O-mannosyltransferase (POMT), attaches D-mannose to the hydroxyl groups of serine and threonine residues in an α-linkage through the anomeric carbon.  The next sugar in the chain then forms a β-1,4 linkage to the mannose residue, followed by several more steps to produce the full glycan.  Genetic inactivation of any of the enzymes in the pathway results in an incomplete glycan and failure to bind laminin, and is the underlying cause of several severe forms of muscular dystrophy known as dystroglycanopathies.Researchers investigating dystroglycanopathies recently discovered the functions of two enzymes in the pathway:  protein O-mannose kinase (POMK) and fukutin.  POMK phosphorylates Dg-linked mannose at carbon 6, and fukutin adds the sugar ribitol 5-phosphate to the glycan chain.  To assess the roles of POMK and fukutin relative to each other, scientists conducted experiments in which lysates from muscle cells deficient in either POMK or fukutin were incubated with <sup>32</sup>P-labeled ATP or <sup>3</sup>H-labeled activated ribitol 5-phosphate.  Combined lysates containing both fukutin and POMK were also tested.  Dg was then purified and detected by autoradiography and western blot using an antibody against Dg, as shown in Figure 2.   <strong>Figure 2</strong>  Autoradiograms and western blots of Dg purified from lysates incubated with <sup>32</sup>P-labeled ATP or <sup>3</sup>H-labeled ribitol 5-phosphate Adapted from Kanagawa M, Kobayashi K, Tajiri M, et al. Identification of a Post-translational Modification with Ribitol-Phosphate and Its Defect in Muscular Dystrophy. Cell Rep. 2016;14(9):2209-23. Which of the following structures could represent the completed O-mannosyl glycan?</strong> A)   B)   C)   D)   <div style=padding-top: 35px>
Question
Passage
Upon entering muscle cells, glucose is immediately phosphorylated by hexokinase to produce glucose 6-phosphate (G6P).  This phosphorylation event prevents glucose from exiting the cell.  G6P may then enter one of three metabolic pathways, depending on the needs of the cell (Figure 1).
<strong>Passage Upon entering muscle cells, glucose is immediately phosphorylated by hexokinase to produce glucose 6-phosphate (G6P).  This phosphorylation event prevents glucose from exiting the cell.  G6P may then enter one of three metabolic pathways, depending on the needs of the cell (Figure 1).   <strong>Figure 1</strong>  Three potential fates of G6P, determined by the needs of the cellUnder low ATP conditions, G6P enters glycolysis, where it is converted to two pyruvate molecules.  The energy released in this process produces a net total of two ATP molecules per glucose molecule consumed.  The resulting pyruvate molecules can then enter the mitochondria, where they participate in additional metabolic reactions that produce more ATP.When the cell experiences oxidative stress, G6P enters the pentose phosphate pathway (PPP) and produces NADPH, a reducing agent.  During this process, G6P loses one carbon atom in the form of CO<sub>2</sub> and is converted to ribose 5-phosphate (R5P), which is required for nucleotide synthesis.  In addition to low NADPH conditions, G6P may also enter the PPP during replication, when nucleotides are needed for DNA synthesis.  If nucleotides are not needed but energy is, R5P can be converted back to glycolytic intermediates and reenter glycolysis.  Each glucose molecule that is converted to R5P prior to glycolysis yields an average of 1.67 ATP molecules.When all the cell's metabolic requirements are met, additional G6P can enter glycogenesis and produce glycogen, which stores glucose for later use; this process consumes ATP.  When signal molecules bind G protein-coupled receptors on muscle cells, glycogenolysis is activated to release individual monomers from glycogen, allowing them to enter the appropriate pathway. Under low ATP conditions, which of the following enzymes would be LEAST beneficial to the cell?</strong> A)Aldolase B)Enolase C)Glyceraldehyde 3-phosphate dehydrogenase D)6-Phosphogluconate dehydrogenase <div style=padding-top: 35px> Figure 1  Three potential fates of G6P, determined by the needs of the cellUnder low ATP conditions, G6P enters glycolysis, where it is converted to two pyruvate molecules.  The energy released in this process produces a net total of two ATP molecules per glucose molecule consumed.  The resulting pyruvate molecules can then enter the mitochondria, where they participate in additional metabolic reactions that produce more ATP.When the cell experiences oxidative stress, G6P enters the pentose phosphate pathway (PPP) and produces NADPH, a reducing agent.  During this process, G6P loses one carbon atom in the form of CO2 and is converted to ribose 5-phosphate (R5P), which is required for nucleotide synthesis.  In addition to low NADPH conditions, G6P may also enter the PPP during replication, when nucleotides are needed for DNA synthesis.  If nucleotides are not needed but energy is, R5P can be converted back to glycolytic intermediates and reenter glycolysis.  Each glucose molecule that is converted to R5P prior to glycolysis yields an average of 1.67 ATP molecules.When all the cell's metabolic requirements are met, additional G6P can enter glycogenesis and produce glycogen, which stores glucose for later use; this process consumes ATP.  When signal molecules bind G protein-coupled receptors on muscle cells, glycogenolysis is activated to release individual monomers from glycogen, allowing them to enter the appropriate pathway.
Under low ATP conditions, which of the following enzymes would be LEAST beneficial to the cell?

A)Aldolase
B)Enolase
C)Glyceraldehyde 3-phosphate dehydrogenase
D)6-Phosphogluconate dehydrogenase
Unlock Deck
Sign up to unlock the cards in this deck!
Unlock Deck
Unlock Deck
1/307
auto play flashcards
Play
simple tutorial
Full screen (f)
exit full mode
Deck 2: Biochemistry
1
Passage
Tumor hypoxia is a marker of resistance to chemotherapy and radiation.  The low oxygen saturation in solid tumors activates hypoxia-inducible factors (HIFs), which stimulate the expression of genes required for angiogenesis, erythropoiesis, and glucose utilization.  Under normal conditions, HIF-DNA binding is interrupted by HIF-prolyl hydroxylases (HIF-PHDs), enzymes that hydroxylate aliphatic residues such as leucine or proline on HIFs.  These hydroxylated residues serve as markers for the ubiquitin-proteasome system.  Researchers have proposed that changes in oxygen-dependent pathways such as the citric acid cycle can regulate HIF-PHD activity.Experiment 1A kinematic study was conducted to test the effect of citric acid cycle intermediates on HIF-PHDs.  Fumarate and succinate were examined with purified HIF-PHD against increasing concentrations of 2-oxoglutarate (2-OG), an HIF analog.
<strong>Passage Tumor hypoxia is a marker of resistance to chemotherapy and radiation.  The low oxygen saturation in solid tumors activates hypoxia-inducible factors (HIFs), which stimulate the expression of genes required for angiogenesis, erythropoiesis, and glucose utilization.  Under normal conditions, HIF-DNA binding is interrupted by HIF-prolyl hydroxylases (HIF-PHDs), enzymes that hydroxylate aliphatic residues such as leucine or proline on HIFs.  These hydroxylated residues serve as markers for the ubiquitin-proteasome system.  Researchers have proposed that changes in oxygen-dependent pathways such as the citric acid cycle can regulate HIF-PHD activity.Experiment 1A kinematic study was conducted to test the effect of citric acid cycle intermediates on HIF-PHDs.  Fumarate and succinate were examined with purified HIF-PHD against increasing concentrations of 2-oxoglutarate (2-OG), an HIF analog.   <strong>Figure 1</strong>  Activity of HIF-PHD exposed to succinate and fumarate in vitro based on 2-OG catalysisExperiment 2Researchers measured HIF-1a, a HIF subunit, using western blot analysis in wild-type (FH<sup>+</sup>) and fumarate-deficient (FH<sup>−</sup>) cells that were treated with fumarate under normoxic and hypoxic conditions (Figure 2).   <strong>Figure 2</strong>  HIF-1a in FH<sup>+</sup> and FH<sup>−</sup> cells grown in vitro under normoxic (N) and hypoxic (H) conditions Adapted from Koivunen P, Hirsilä M, Remes AM, Hassinen IE, Kivirikko KI, Myllyharju J. Inhibition of hypoxia-inducible factor (HIF) hydroxylases by citric acid cycle intermediates: possible links between cell metabolism and stabilization of HIF. J Biol Chem. 2007;282(7):4524-32. How is the enzymatic regulation of HIF-PHDs by fumarate and succinate best described?</strong> A)Fumarate and succinate are equally effective noncompetitive inhibitors. B)Fumarate is a competitive inhibitor, and succinate is an uncompetitive inhibitor. C)Succinate and fumarate display varying capacity for mixed inhibition. D)Succinate is a more efficient competitive inhibitor than fumarate. Figure 1  Activity of HIF-PHD exposed to succinate and fumarate in vitro based on 2-OG catalysisExperiment 2Researchers measured HIF-1a, a HIF subunit, using western blot analysis in wild-type (FH+) and fumarate-deficient (FH) cells that were treated with fumarate under normoxic and hypoxic conditions (Figure 2).
<strong>Passage Tumor hypoxia is a marker of resistance to chemotherapy and radiation.  The low oxygen saturation in solid tumors activates hypoxia-inducible factors (HIFs), which stimulate the expression of genes required for angiogenesis, erythropoiesis, and glucose utilization.  Under normal conditions, HIF-DNA binding is interrupted by HIF-prolyl hydroxylases (HIF-PHDs), enzymes that hydroxylate aliphatic residues such as leucine or proline on HIFs.  These hydroxylated residues serve as markers for the ubiquitin-proteasome system.  Researchers have proposed that changes in oxygen-dependent pathways such as the citric acid cycle can regulate HIF-PHD activity.Experiment 1A kinematic study was conducted to test the effect of citric acid cycle intermediates on HIF-PHDs.  Fumarate and succinate were examined with purified HIF-PHD against increasing concentrations of 2-oxoglutarate (2-OG), an HIF analog.   <strong>Figure 1</strong>  Activity of HIF-PHD exposed to succinate and fumarate in vitro based on 2-OG catalysisExperiment 2Researchers measured HIF-1a, a HIF subunit, using western blot analysis in wild-type (FH<sup>+</sup>) and fumarate-deficient (FH<sup>−</sup>) cells that were treated with fumarate under normoxic and hypoxic conditions (Figure 2).   <strong>Figure 2</strong>  HIF-1a in FH<sup>+</sup> and FH<sup>−</sup> cells grown in vitro under normoxic (N) and hypoxic (H) conditions Adapted from Koivunen P, Hirsilä M, Remes AM, Hassinen IE, Kivirikko KI, Myllyharju J. Inhibition of hypoxia-inducible factor (HIF) hydroxylases by citric acid cycle intermediates: possible links between cell metabolism and stabilization of HIF. J Biol Chem. 2007;282(7):4524-32. How is the enzymatic regulation of HIF-PHDs by fumarate and succinate best described?</strong> A)Fumarate and succinate are equally effective noncompetitive inhibitors. B)Fumarate is a competitive inhibitor, and succinate is an uncompetitive inhibitor. C)Succinate and fumarate display varying capacity for mixed inhibition. D)Succinate is a more efficient competitive inhibitor than fumarate. Figure 2  HIF-1a in FH+ and FH cells grown in vitro under normoxic (N) and hypoxic (H) conditions
Adapted from Koivunen P, Hirsilä M, Remes AM, Hassinen IE, Kivirikko KI, Myllyharju J. Inhibition of hypoxia-inducible factor (HIF) hydroxylases by citric acid cycle intermediates: possible links between cell metabolism and stabilization of HIF. J Biol Chem. 2007;282(7):4524-32.
How is the enzymatic regulation of HIF-PHDs by fumarate and succinate best described?

A)Fumarate and succinate are equally effective noncompetitive inhibitors.
B)Fumarate is a competitive inhibitor, and succinate is an uncompetitive inhibitor.
C)Succinate and fumarate display varying capacity for mixed inhibition.
D)Succinate is a more efficient competitive inhibitor than fumarate.
Succinate is a more efficient competitive inhibitor than fumarate.
2
Passage
Leptin signaling is vital for maintaining adequate body mass and preventing insulin resistance.  When energy stores are abundant, adipocytes produce leptin to stimulate fatty acid oxidation and glucose utilization.  One result of leptin signaling in skeletal muscle cells is the phosphorylation and activation of adenosine monophosphate-activated protein kinase (AMPK).  AMPK facilitates the breakdown of triglycerides by decreasing the activity of acetyl-coenzyme A carboxylase (ACC); this leads to downregulation of fatty acid synthesis and upregulation of β-oxidation.Fatty acid oxidation has been studied by analyzing the effect of leptin on activation of AMPK and ACC in soleus muscles.  To identify leptin's mode of action, injections were administered to transgenic mice via the intravenous (1 mg/kg i.v.) and intrahypothalamic (1 ng i.h.p [faster drug delivery]) routes.  Phentolamine (PH), an α-adrenergic receptor ligand that binds to the same receptor as leptin, was administered concurrently in some of the mice.  Signaling to ACC from the citric acid cycle was also examined through the addition of citrate.
<strong>Passage Leptin signaling is vital for maintaining adequate body mass and preventing insulin resistance.  When energy stores are abundant, adipocytes produce leptin to stimulate fatty acid oxidation and glucose utilization.  One result of leptin signaling in skeletal muscle cells is the phosphorylation and activation of adenosine monophosphate-activated protein kinase (AMPK).  AMPK facilitates the breakdown of triglycerides by decreasing the activity of acetyl-coenzyme A carboxylase (ACC); this leads to downregulation of fatty acid synthesis and upregulation of β-oxidation.Fatty acid oxidation has been studied by analyzing the effect of leptin on activation of AMPK and ACC in soleus muscles.  To identify leptin's mode of action, injections were administered to transgenic mice via the intravenous (1 mg/kg i.v.) and intrahypothalamic (1 ng i.h.p [faster drug delivery]) routes.  Phentolamine (PH), an α-adrenergic receptor ligand that binds to the same receptor as leptin, was administered concurrently in some of the mice.  Signaling to ACC from the citric acid cycle was also examined through the addition of citrate.   <strong>Figure 1</strong>  AMPK activity measured in soleus muscle injected with leptin and PH via i.v. and i.h.p.<strong>Table 1</strong>  ACC Activity in Soleus Muscle Exposed to Leptin Delivered via i.v. and i.h.p Injections in vivo   Adapted from Minokoshi Y, Kim YB, Peroni OD, et al. Leptin stimulates fatty-acid oxidation by activating AMP-activated protein kinase. Nature. 2002;415(6869):339-43. Fatty acids must be activated prior to degradation by a ligase enzyme.  Which of the following reactions is catalyzed by a ligase?</strong> A)   B)   C)   D)   Figure 1  AMPK activity measured in soleus muscle injected with leptin and PH via i.v. and i.h.p.Table 1  ACC Activity in Soleus Muscle Exposed to Leptin Delivered via i.v. and i.h.p Injections in vivo
<strong>Passage Leptin signaling is vital for maintaining adequate body mass and preventing insulin resistance.  When energy stores are abundant, adipocytes produce leptin to stimulate fatty acid oxidation and glucose utilization.  One result of leptin signaling in skeletal muscle cells is the phosphorylation and activation of adenosine monophosphate-activated protein kinase (AMPK).  AMPK facilitates the breakdown of triglycerides by decreasing the activity of acetyl-coenzyme A carboxylase (ACC); this leads to downregulation of fatty acid synthesis and upregulation of β-oxidation.Fatty acid oxidation has been studied by analyzing the effect of leptin on activation of AMPK and ACC in soleus muscles.  To identify leptin's mode of action, injections were administered to transgenic mice via the intravenous (1 mg/kg i.v.) and intrahypothalamic (1 ng i.h.p [faster drug delivery]) routes.  Phentolamine (PH), an α-adrenergic receptor ligand that binds to the same receptor as leptin, was administered concurrently in some of the mice.  Signaling to ACC from the citric acid cycle was also examined through the addition of citrate.   <strong>Figure 1</strong>  AMPK activity measured in soleus muscle injected with leptin and PH via i.v. and i.h.p.<strong>Table 1</strong>  ACC Activity in Soleus Muscle Exposed to Leptin Delivered via i.v. and i.h.p Injections in vivo   Adapted from Minokoshi Y, Kim YB, Peroni OD, et al. Leptin stimulates fatty-acid oxidation by activating AMP-activated protein kinase. Nature. 2002;415(6869):339-43. Fatty acids must be activated prior to degradation by a ligase enzyme.  Which of the following reactions is catalyzed by a ligase?</strong> A)   B)   C)   D)   Adapted from Minokoshi Y, Kim YB, Peroni OD, et al. Leptin stimulates fatty-acid oxidation by activating AMP-activated protein kinase. Nature. 2002;415(6869):339-43.
Fatty acids must be activated prior to degradation by a ligase enzyme.  Which of the following reactions is catalyzed by a ligase?

A) <strong>Passage Leptin signaling is vital for maintaining adequate body mass and preventing insulin resistance.  When energy stores are abundant, adipocytes produce leptin to stimulate fatty acid oxidation and glucose utilization.  One result of leptin signaling in skeletal muscle cells is the phosphorylation and activation of adenosine monophosphate-activated protein kinase (AMPK).  AMPK facilitates the breakdown of triglycerides by decreasing the activity of acetyl-coenzyme A carboxylase (ACC); this leads to downregulation of fatty acid synthesis and upregulation of β-oxidation.Fatty acid oxidation has been studied by analyzing the effect of leptin on activation of AMPK and ACC in soleus muscles.  To identify leptin's mode of action, injections were administered to transgenic mice via the intravenous (1 mg/kg i.v.) and intrahypothalamic (1 ng i.h.p [faster drug delivery]) routes.  Phentolamine (PH), an α-adrenergic receptor ligand that binds to the same receptor as leptin, was administered concurrently in some of the mice.  Signaling to ACC from the citric acid cycle was also examined through the addition of citrate.   <strong>Figure 1</strong>  AMPK activity measured in soleus muscle injected with leptin and PH via i.v. and i.h.p.<strong>Table 1</strong>  ACC Activity in Soleus Muscle Exposed to Leptin Delivered via i.v. and i.h.p Injections in vivo   Adapted from Minokoshi Y, Kim YB, Peroni OD, et al. Leptin stimulates fatty-acid oxidation by activating AMP-activated protein kinase. Nature. 2002;415(6869):339-43. Fatty acids must be activated prior to degradation by a ligase enzyme.  Which of the following reactions is catalyzed by a ligase?</strong> A)   B)   C)   D)
B) <strong>Passage Leptin signaling is vital for maintaining adequate body mass and preventing insulin resistance.  When energy stores are abundant, adipocytes produce leptin to stimulate fatty acid oxidation and glucose utilization.  One result of leptin signaling in skeletal muscle cells is the phosphorylation and activation of adenosine monophosphate-activated protein kinase (AMPK).  AMPK facilitates the breakdown of triglycerides by decreasing the activity of acetyl-coenzyme A carboxylase (ACC); this leads to downregulation of fatty acid synthesis and upregulation of β-oxidation.Fatty acid oxidation has been studied by analyzing the effect of leptin on activation of AMPK and ACC in soleus muscles.  To identify leptin's mode of action, injections were administered to transgenic mice via the intravenous (1 mg/kg i.v.) and intrahypothalamic (1 ng i.h.p [faster drug delivery]) routes.  Phentolamine (PH), an α-adrenergic receptor ligand that binds to the same receptor as leptin, was administered concurrently in some of the mice.  Signaling to ACC from the citric acid cycle was also examined through the addition of citrate.   <strong>Figure 1</strong>  AMPK activity measured in soleus muscle injected with leptin and PH via i.v. and i.h.p.<strong>Table 1</strong>  ACC Activity in Soleus Muscle Exposed to Leptin Delivered via i.v. and i.h.p Injections in vivo   Adapted from Minokoshi Y, Kim YB, Peroni OD, et al. Leptin stimulates fatty-acid oxidation by activating AMP-activated protein kinase. Nature. 2002;415(6869):339-43. Fatty acids must be activated prior to degradation by a ligase enzyme.  Which of the following reactions is catalyzed by a ligase?</strong> A)   B)   C)   D)
C) <strong>Passage Leptin signaling is vital for maintaining adequate body mass and preventing insulin resistance.  When energy stores are abundant, adipocytes produce leptin to stimulate fatty acid oxidation and glucose utilization.  One result of leptin signaling in skeletal muscle cells is the phosphorylation and activation of adenosine monophosphate-activated protein kinase (AMPK).  AMPK facilitates the breakdown of triglycerides by decreasing the activity of acetyl-coenzyme A carboxylase (ACC); this leads to downregulation of fatty acid synthesis and upregulation of β-oxidation.Fatty acid oxidation has been studied by analyzing the effect of leptin on activation of AMPK and ACC in soleus muscles.  To identify leptin's mode of action, injections were administered to transgenic mice via the intravenous (1 mg/kg i.v.) and intrahypothalamic (1 ng i.h.p [faster drug delivery]) routes.  Phentolamine (PH), an α-adrenergic receptor ligand that binds to the same receptor as leptin, was administered concurrently in some of the mice.  Signaling to ACC from the citric acid cycle was also examined through the addition of citrate.   <strong>Figure 1</strong>  AMPK activity measured in soleus muscle injected with leptin and PH via i.v. and i.h.p.<strong>Table 1</strong>  ACC Activity in Soleus Muscle Exposed to Leptin Delivered via i.v. and i.h.p Injections in vivo   Adapted from Minokoshi Y, Kim YB, Peroni OD, et al. Leptin stimulates fatty-acid oxidation by activating AMP-activated protein kinase. Nature. 2002;415(6869):339-43. Fatty acids must be activated prior to degradation by a ligase enzyme.  Which of the following reactions is catalyzed by a ligase?</strong> A)   B)   C)   D)
D) <strong>Passage Leptin signaling is vital for maintaining adequate body mass and preventing insulin resistance.  When energy stores are abundant, adipocytes produce leptin to stimulate fatty acid oxidation and glucose utilization.  One result of leptin signaling in skeletal muscle cells is the phosphorylation and activation of adenosine monophosphate-activated protein kinase (AMPK).  AMPK facilitates the breakdown of triglycerides by decreasing the activity of acetyl-coenzyme A carboxylase (ACC); this leads to downregulation of fatty acid synthesis and upregulation of β-oxidation.Fatty acid oxidation has been studied by analyzing the effect of leptin on activation of AMPK and ACC in soleus muscles.  To identify leptin's mode of action, injections were administered to transgenic mice via the intravenous (1 mg/kg i.v.) and intrahypothalamic (1 ng i.h.p [faster drug delivery]) routes.  Phentolamine (PH), an α-adrenergic receptor ligand that binds to the same receptor as leptin, was administered concurrently in some of the mice.  Signaling to ACC from the citric acid cycle was also examined through the addition of citrate.   <strong>Figure 1</strong>  AMPK activity measured in soleus muscle injected with leptin and PH via i.v. and i.h.p.<strong>Table 1</strong>  ACC Activity in Soleus Muscle Exposed to Leptin Delivered via i.v. and i.h.p Injections in vivo   Adapted from Minokoshi Y, Kim YB, Peroni OD, et al. Leptin stimulates fatty-acid oxidation by activating AMP-activated protein kinase. Nature. 2002;415(6869):339-43. Fatty acids must be activated prior to degradation by a ligase enzyme.  Which of the following reactions is catalyzed by a ligase?</strong> A)   B)   C)   D)
3
Passage
Tumor hypoxia is a marker of resistance to chemotherapy and radiation.  The low oxygen saturation in solid tumors activates hypoxia-inducible factors (HIFs), which stimulate the expression of genes required for angiogenesis, erythropoiesis, and glucose utilization.  Under normal conditions, HIF-DNA binding is interrupted by HIF-prolyl hydroxylases (HIF-PHDs), enzymes that hydroxylate aliphatic residues such as leucine or proline on HIFs.  These hydroxylated residues serve as markers for the ubiquitin-proteasome system.  Researchers have proposed that changes in oxygen-dependent pathways such as the citric acid cycle can regulate HIF-PHD activity.Experiment 1A kinematic study was conducted to test the effect of citric acid cycle intermediates on HIF-PHDs.  Fumarate and succinate were examined with purified HIF-PHD against increasing concentrations of 2-oxoglutarate (2-OG), an HIF analog.
<strong>Passage Tumor hypoxia is a marker of resistance to chemotherapy and radiation.  The low oxygen saturation in solid tumors activates hypoxia-inducible factors (HIFs), which stimulate the expression of genes required for angiogenesis, erythropoiesis, and glucose utilization.  Under normal conditions, HIF-DNA binding is interrupted by HIF-prolyl hydroxylases (HIF-PHDs), enzymes that hydroxylate aliphatic residues such as leucine or proline on HIFs.  These hydroxylated residues serve as markers for the ubiquitin-proteasome system.  Researchers have proposed that changes in oxygen-dependent pathways such as the citric acid cycle can regulate HIF-PHD activity.Experiment 1A kinematic study was conducted to test the effect of citric acid cycle intermediates on HIF-PHDs.  Fumarate and succinate were examined with purified HIF-PHD against increasing concentrations of 2-oxoglutarate (2-OG), an HIF analog.   <strong>Figure 1</strong>  Activity of HIF-PHD exposed to succinate and fumarate in vitro based on 2-OG catalysisExperiment 2Researchers measured HIF-1a, a HIF subunit, using western blot analysis in wild-type (FH<sup>+</sup>) and fumarate-deficient (FH<sup>−</sup>) cells that were treated with fumarate under normoxic and hypoxic conditions (Figure 2).   <strong>Figure 2</strong>  HIF-1a in FH<sup>+</sup> and FH<sup>−</sup> cells grown in vitro under normoxic (N) and hypoxic (H) conditions Adapted from Koivunen P, Hirsilä M, Remes AM, Hassinen IE, Kivirikko KI, Myllyharju J. Inhibition of hypoxia-inducible factor (HIF) hydroxylases by citric acid cycle intermediates: possible links between cell metabolism and stabilization of HIF. J Biol Chem. 2007;282(7):4524-32. Based on the passage, culturing wild-type and FH<sup>−</sup> cells in atmospheric oxygen conditions will lead to:</strong> A)overexpression of the HIF-1α protein subunit. B)reduction in activity of the HIF-PHDs. C)increased hydroxylation and ubiquitination of HIF-1α. D)decreased proteasomal activity. Figure 1  Activity of HIF-PHD exposed to succinate and fumarate in vitro based on 2-OG catalysisExperiment 2Researchers measured HIF-1a, a HIF subunit, using western blot analysis in wild-type (FH+) and fumarate-deficient (FH) cells that were treated with fumarate under normoxic and hypoxic conditions (Figure 2).
<strong>Passage Tumor hypoxia is a marker of resistance to chemotherapy and radiation.  The low oxygen saturation in solid tumors activates hypoxia-inducible factors (HIFs), which stimulate the expression of genes required for angiogenesis, erythropoiesis, and glucose utilization.  Under normal conditions, HIF-DNA binding is interrupted by HIF-prolyl hydroxylases (HIF-PHDs), enzymes that hydroxylate aliphatic residues such as leucine or proline on HIFs.  These hydroxylated residues serve as markers for the ubiquitin-proteasome system.  Researchers have proposed that changes in oxygen-dependent pathways such as the citric acid cycle can regulate HIF-PHD activity.Experiment 1A kinematic study was conducted to test the effect of citric acid cycle intermediates on HIF-PHDs.  Fumarate and succinate were examined with purified HIF-PHD against increasing concentrations of 2-oxoglutarate (2-OG), an HIF analog.   <strong>Figure 1</strong>  Activity of HIF-PHD exposed to succinate and fumarate in vitro based on 2-OG catalysisExperiment 2Researchers measured HIF-1a, a HIF subunit, using western blot analysis in wild-type (FH<sup>+</sup>) and fumarate-deficient (FH<sup>−</sup>) cells that were treated with fumarate under normoxic and hypoxic conditions (Figure 2).   <strong>Figure 2</strong>  HIF-1a in FH<sup>+</sup> and FH<sup>−</sup> cells grown in vitro under normoxic (N) and hypoxic (H) conditions Adapted from Koivunen P, Hirsilä M, Remes AM, Hassinen IE, Kivirikko KI, Myllyharju J. Inhibition of hypoxia-inducible factor (HIF) hydroxylases by citric acid cycle intermediates: possible links between cell metabolism and stabilization of HIF. J Biol Chem. 2007;282(7):4524-32. Based on the passage, culturing wild-type and FH<sup>−</sup> cells in atmospheric oxygen conditions will lead to:</strong> A)overexpression of the HIF-1α protein subunit. B)reduction in activity of the HIF-PHDs. C)increased hydroxylation and ubiquitination of HIF-1α. D)decreased proteasomal activity. Figure 2  HIF-1a in FH+ and FH cells grown in vitro under normoxic (N) and hypoxic (H) conditions
Adapted from Koivunen P, Hirsilä M, Remes AM, Hassinen IE, Kivirikko KI, Myllyharju J. Inhibition of hypoxia-inducible factor (HIF) hydroxylases by citric acid cycle intermediates: possible links between cell metabolism and stabilization of HIF. J Biol Chem. 2007;282(7):4524-32.
Based on the passage, culturing wild-type and FH cells in atmospheric oxygen conditions will lead to:

A)overexpression of the HIF-1α protein subunit.
B)reduction in activity of the HIF-PHDs.
C)increased hydroxylation and ubiquitination of HIF-1α.
D)decreased proteasomal activity.
increased hydroxylation and ubiquitination of HIF-1α.
4
Passage
Leptin signaling is vital for maintaining adequate body mass and preventing insulin resistance.  When energy stores are abundant, adipocytes produce leptin to stimulate fatty acid oxidation and glucose utilization.  One result of leptin signaling in skeletal muscle cells is the phosphorylation and activation of adenosine monophosphate-activated protein kinase (AMPK).  AMPK facilitates the breakdown of triglycerides by decreasing the activity of acetyl-coenzyme A carboxylase (ACC); this leads to downregulation of fatty acid synthesis and upregulation of β-oxidation.Fatty acid oxidation has been studied by analyzing the effect of leptin on activation of AMPK and ACC in soleus muscles.  To identify leptin's mode of action, injections were administered to transgenic mice via the intravenous (1 mg/kg i.v.) and intrahypothalamic (1 ng i.h.p [faster drug delivery]) routes.  Phentolamine (PH), an α-adrenergic receptor ligand that binds to the same receptor as leptin, was administered concurrently in some of the mice.  Signaling to ACC from the citric acid cycle was also examined through the addition of citrate.
<strong>Passage Leptin signaling is vital for maintaining adequate body mass and preventing insulin resistance.  When energy stores are abundant, adipocytes produce leptin to stimulate fatty acid oxidation and glucose utilization.  One result of leptin signaling in skeletal muscle cells is the phosphorylation and activation of adenosine monophosphate-activated protein kinase (AMPK).  AMPK facilitates the breakdown of triglycerides by decreasing the activity of acetyl-coenzyme A carboxylase (ACC); this leads to downregulation of fatty acid synthesis and upregulation of β-oxidation.Fatty acid oxidation has been studied by analyzing the effect of leptin on activation of AMPK and ACC in soleus muscles.  To identify leptin's mode of action, injections were administered to transgenic mice via the intravenous (1 mg/kg i.v.) and intrahypothalamic (1 ng i.h.p [faster drug delivery]) routes.  Phentolamine (PH), an α-adrenergic receptor ligand that binds to the same receptor as leptin, was administered concurrently in some of the mice.  Signaling to ACC from the citric acid cycle was also examined through the addition of citrate.   <strong>Figure 1</strong>  AMPK activity measured in soleus muscle injected with leptin and PH via i.v. and i.h.p.<strong>Table 1</strong>  ACC Activity in Soleus Muscle Exposed to Leptin Delivered via i.v. and i.h.p Injections in vivo   Adapted from Minokoshi Y, Kim YB, Peroni OD, et al. Leptin stimulates fatty-acid oxidation by activating AMP-activated protein kinase. Nature. 2002;415(6869):339-43. In skeletal muscle cells, leptin resistance would lead to decreased concentrations of:</strong> A)glycerol. B)fatty acids. C)malonyl-CoA. D)acetyl-CoA. Figure 1  AMPK activity measured in soleus muscle injected with leptin and PH via i.v. and i.h.p.Table 1  ACC Activity in Soleus Muscle Exposed to Leptin Delivered via i.v. and i.h.p Injections in vivo
<strong>Passage Leptin signaling is vital for maintaining adequate body mass and preventing insulin resistance.  When energy stores are abundant, adipocytes produce leptin to stimulate fatty acid oxidation and glucose utilization.  One result of leptin signaling in skeletal muscle cells is the phosphorylation and activation of adenosine monophosphate-activated protein kinase (AMPK).  AMPK facilitates the breakdown of triglycerides by decreasing the activity of acetyl-coenzyme A carboxylase (ACC); this leads to downregulation of fatty acid synthesis and upregulation of β-oxidation.Fatty acid oxidation has been studied by analyzing the effect of leptin on activation of AMPK and ACC in soleus muscles.  To identify leptin's mode of action, injections were administered to transgenic mice via the intravenous (1 mg/kg i.v.) and intrahypothalamic (1 ng i.h.p [faster drug delivery]) routes.  Phentolamine (PH), an α-adrenergic receptor ligand that binds to the same receptor as leptin, was administered concurrently in some of the mice.  Signaling to ACC from the citric acid cycle was also examined through the addition of citrate.   <strong>Figure 1</strong>  AMPK activity measured in soleus muscle injected with leptin and PH via i.v. and i.h.p.<strong>Table 1</strong>  ACC Activity in Soleus Muscle Exposed to Leptin Delivered via i.v. and i.h.p Injections in vivo   Adapted from Minokoshi Y, Kim YB, Peroni OD, et al. Leptin stimulates fatty-acid oxidation by activating AMP-activated protein kinase. Nature. 2002;415(6869):339-43. In skeletal muscle cells, leptin resistance would lead to decreased concentrations of:</strong> A)glycerol. B)fatty acids. C)malonyl-CoA. D)acetyl-CoA. Adapted from Minokoshi Y, Kim YB, Peroni OD, et al. Leptin stimulates fatty-acid oxidation by activating AMP-activated protein kinase. Nature. 2002;415(6869):339-43.
In skeletal muscle cells, leptin resistance would lead to decreased concentrations of:

A)glycerol.
B)fatty acids.
C)malonyl-CoA.
D)acetyl-CoA.
Unlock Deck
Unlock for access to all 307 flashcards in this deck.
Unlock Deck
k this deck
5
Passage
Leptin signaling is vital for maintaining adequate body mass and preventing insulin resistance.  When energy stores are abundant, adipocytes produce leptin to stimulate fatty acid oxidation and glucose utilization.  One result of leptin signaling in skeletal muscle cells is the phosphorylation and activation of adenosine monophosphate-activated protein kinase (AMPK).  AMPK facilitates the breakdown of triglycerides by decreasing the activity of acetyl-coenzyme A carboxylase (ACC); this leads to downregulation of fatty acid synthesis and upregulation of β-oxidation.Fatty acid oxidation has been studied by analyzing the effect of leptin on activation of AMPK and ACC in soleus muscles.  To identify leptin's mode of action, injections were administered to transgenic mice via the intravenous (1 mg/kg i.v.) and intrahypothalamic (1 ng i.h.p [faster drug delivery]) routes.  Phentolamine (PH), an α-adrenergic receptor ligand that binds to the same receptor as leptin, was administered concurrently in some of the mice.  Signaling to ACC from the citric acid cycle was also examined through the addition of citrate.
<strong>Passage Leptin signaling is vital for maintaining adequate body mass and preventing insulin resistance.  When energy stores are abundant, adipocytes produce leptin to stimulate fatty acid oxidation and glucose utilization.  One result of leptin signaling in skeletal muscle cells is the phosphorylation and activation of adenosine monophosphate-activated protein kinase (AMPK).  AMPK facilitates the breakdown of triglycerides by decreasing the activity of acetyl-coenzyme A carboxylase (ACC); this leads to downregulation of fatty acid synthesis and upregulation of β-oxidation.Fatty acid oxidation has been studied by analyzing the effect of leptin on activation of AMPK and ACC in soleus muscles.  To identify leptin's mode of action, injections were administered to transgenic mice via the intravenous (1 mg/kg i.v.) and intrahypothalamic (1 ng i.h.p [faster drug delivery]) routes.  Phentolamine (PH), an α-adrenergic receptor ligand that binds to the same receptor as leptin, was administered concurrently in some of the mice.  Signaling to ACC from the citric acid cycle was also examined through the addition of citrate.   <strong>Figure 1</strong>  AMPK activity measured in soleus muscle injected with leptin and PH via i.v. and i.h.p.<strong>Table 1</strong>  ACC Activity in Soleus Muscle Exposed to Leptin Delivered via i.v. and i.h.p Injections in vivo   Adapted from Minokoshi Y, Kim YB, Peroni OD, et al. Leptin stimulates fatty-acid oxidation by activating AMP-activated protein kinase. Nature. 2002;415(6869):339-43. The structure of Compound 1, which is found in adipocytes, is shown below.  What would be the catabolic fate of this molecule?  </strong> A)Part A enters glycolysis and part B enters β-oxidation. B)Part A enters gluconeogenesis and part B enters fatty acid synthesis. C)Part B enters fatty acid synthesis and part A enters β-oxidation. D)Part B enters glycogenolysis and part A enters glycolysis. Figure 1  AMPK activity measured in soleus muscle injected with leptin and PH via i.v. and i.h.p.Table 1  ACC Activity in Soleus Muscle Exposed to Leptin Delivered via i.v. and i.h.p Injections in vivo
<strong>Passage Leptin signaling is vital for maintaining adequate body mass and preventing insulin resistance.  When energy stores are abundant, adipocytes produce leptin to stimulate fatty acid oxidation and glucose utilization.  One result of leptin signaling in skeletal muscle cells is the phosphorylation and activation of adenosine monophosphate-activated protein kinase (AMPK).  AMPK facilitates the breakdown of triglycerides by decreasing the activity of acetyl-coenzyme A carboxylase (ACC); this leads to downregulation of fatty acid synthesis and upregulation of β-oxidation.Fatty acid oxidation has been studied by analyzing the effect of leptin on activation of AMPK and ACC in soleus muscles.  To identify leptin's mode of action, injections were administered to transgenic mice via the intravenous (1 mg/kg i.v.) and intrahypothalamic (1 ng i.h.p [faster drug delivery]) routes.  Phentolamine (PH), an α-adrenergic receptor ligand that binds to the same receptor as leptin, was administered concurrently in some of the mice.  Signaling to ACC from the citric acid cycle was also examined through the addition of citrate.   <strong>Figure 1</strong>  AMPK activity measured in soleus muscle injected with leptin and PH via i.v. and i.h.p.<strong>Table 1</strong>  ACC Activity in Soleus Muscle Exposed to Leptin Delivered via i.v. and i.h.p Injections in vivo   Adapted from Minokoshi Y, Kim YB, Peroni OD, et al. Leptin stimulates fatty-acid oxidation by activating AMP-activated protein kinase. Nature. 2002;415(6869):339-43. The structure of Compound 1, which is found in adipocytes, is shown below.  What would be the catabolic fate of this molecule?  </strong> A)Part A enters glycolysis and part B enters β-oxidation. B)Part A enters gluconeogenesis and part B enters fatty acid synthesis. C)Part B enters fatty acid synthesis and part A enters β-oxidation. D)Part B enters glycogenolysis and part A enters glycolysis. Adapted from Minokoshi Y, Kim YB, Peroni OD, et al. Leptin stimulates fatty-acid oxidation by activating AMP-activated protein kinase. Nature. 2002;415(6869):339-43.
The structure of Compound 1, which is found in adipocytes, is shown below.  What would be the catabolic fate of this molecule? <strong>Passage Leptin signaling is vital for maintaining adequate body mass and preventing insulin resistance.  When energy stores are abundant, adipocytes produce leptin to stimulate fatty acid oxidation and glucose utilization.  One result of leptin signaling in skeletal muscle cells is the phosphorylation and activation of adenosine monophosphate-activated protein kinase (AMPK).  AMPK facilitates the breakdown of triglycerides by decreasing the activity of acetyl-coenzyme A carboxylase (ACC); this leads to downregulation of fatty acid synthesis and upregulation of β-oxidation.Fatty acid oxidation has been studied by analyzing the effect of leptin on activation of AMPK and ACC in soleus muscles.  To identify leptin's mode of action, injections were administered to transgenic mice via the intravenous (1 mg/kg i.v.) and intrahypothalamic (1 ng i.h.p [faster drug delivery]) routes.  Phentolamine (PH), an α-adrenergic receptor ligand that binds to the same receptor as leptin, was administered concurrently in some of the mice.  Signaling to ACC from the citric acid cycle was also examined through the addition of citrate.   <strong>Figure 1</strong>  AMPK activity measured in soleus muscle injected with leptin and PH via i.v. and i.h.p.<strong>Table 1</strong>  ACC Activity in Soleus Muscle Exposed to Leptin Delivered via i.v. and i.h.p Injections in vivo   Adapted from Minokoshi Y, Kim YB, Peroni OD, et al. Leptin stimulates fatty-acid oxidation by activating AMP-activated protein kinase. Nature. 2002;415(6869):339-43. The structure of Compound 1, which is found in adipocytes, is shown below.  What would be the catabolic fate of this molecule?  </strong> A)Part A enters glycolysis and part B enters β-oxidation. B)Part A enters gluconeogenesis and part B enters fatty acid synthesis. C)Part B enters fatty acid synthesis and part A enters β-oxidation. D)Part B enters glycogenolysis and part A enters glycolysis.

A)Part A enters glycolysis and part B enters β-oxidation.
B)Part A enters gluconeogenesis and part B enters fatty acid synthesis.
C)Part B enters fatty acid synthesis and part A enters β-oxidation.
D)Part B enters glycogenolysis and part A enters glycolysis.
Unlock Deck
Unlock for access to all 307 flashcards in this deck.
Unlock Deck
k this deck
6
Passage
Leptin signaling is vital for maintaining adequate body mass and preventing insulin resistance.  When energy stores are abundant, adipocytes produce leptin to stimulate fatty acid oxidation and glucose utilization.  One result of leptin signaling in skeletal muscle cells is the phosphorylation and activation of adenosine monophosphate-activated protein kinase (AMPK).  AMPK facilitates the breakdown of triglycerides by decreasing the activity of acetyl-coenzyme A carboxylase (ACC); this leads to downregulation of fatty acid synthesis and upregulation of β-oxidation.Fatty acid oxidation has been studied by analyzing the effect of leptin on activation of AMPK and ACC in soleus muscles.  To identify leptin's mode of action, injections were administered to transgenic mice via the intravenous (1 mg/kg i.v.) and intrahypothalamic (1 ng i.h.p [faster drug delivery]) routes.  Phentolamine (PH), an α-adrenergic receptor ligand that binds to the same receptor as leptin, was administered concurrently in some of the mice.  Signaling to ACC from the citric acid cycle was also examined through the addition of citrate.
<strong>Passage Leptin signaling is vital for maintaining adequate body mass and preventing insulin resistance.  When energy stores are abundant, adipocytes produce leptin to stimulate fatty acid oxidation and glucose utilization.  One result of leptin signaling in skeletal muscle cells is the phosphorylation and activation of adenosine monophosphate-activated protein kinase (AMPK).  AMPK facilitates the breakdown of triglycerides by decreasing the activity of acetyl-coenzyme A carboxylase (ACC); this leads to downregulation of fatty acid synthesis and upregulation of β-oxidation.Fatty acid oxidation has been studied by analyzing the effect of leptin on activation of AMPK and ACC in soleus muscles.  To identify leptin's mode of action, injections were administered to transgenic mice via the intravenous (1 mg/kg i.v.) and intrahypothalamic (1 ng i.h.p [faster drug delivery]) routes.  Phentolamine (PH), an α-adrenergic receptor ligand that binds to the same receptor as leptin, was administered concurrently in some of the mice.  Signaling to ACC from the citric acid cycle was also examined through the addition of citrate.   <strong>Figure 1</strong>  AMPK activity measured in soleus muscle injected with leptin and PH via i.v. and i.h.p.<strong>Table 1</strong>  ACC Activity in Soleus Muscle Exposed to Leptin Delivered via i.v. and i.h.p Injections in vivo   Adapted from Minokoshi Y, Kim YB, Peroni OD, et al. Leptin stimulates fatty-acid oxidation by activating AMP-activated protein kinase. Nature. 2002;415(6869):339-43. What best describes the action of PH on AMPK activity?</strong> A)Long-term agonist B)Immediate antagonist C)Time-dependent antagonist D)Rapid agonist Figure 1  AMPK activity measured in soleus muscle injected with leptin and PH via i.v. and i.h.p.Table 1  ACC Activity in Soleus Muscle Exposed to Leptin Delivered via i.v. and i.h.p Injections in vivo
<strong>Passage Leptin signaling is vital for maintaining adequate body mass and preventing insulin resistance.  When energy stores are abundant, adipocytes produce leptin to stimulate fatty acid oxidation and glucose utilization.  One result of leptin signaling in skeletal muscle cells is the phosphorylation and activation of adenosine monophosphate-activated protein kinase (AMPK).  AMPK facilitates the breakdown of triglycerides by decreasing the activity of acetyl-coenzyme A carboxylase (ACC); this leads to downregulation of fatty acid synthesis and upregulation of β-oxidation.Fatty acid oxidation has been studied by analyzing the effect of leptin on activation of AMPK and ACC in soleus muscles.  To identify leptin's mode of action, injections were administered to transgenic mice via the intravenous (1 mg/kg i.v.) and intrahypothalamic (1 ng i.h.p [faster drug delivery]) routes.  Phentolamine (PH), an α-adrenergic receptor ligand that binds to the same receptor as leptin, was administered concurrently in some of the mice.  Signaling to ACC from the citric acid cycle was also examined through the addition of citrate.   <strong>Figure 1</strong>  AMPK activity measured in soleus muscle injected with leptin and PH via i.v. and i.h.p.<strong>Table 1</strong>  ACC Activity in Soleus Muscle Exposed to Leptin Delivered via i.v. and i.h.p Injections in vivo   Adapted from Minokoshi Y, Kim YB, Peroni OD, et al. Leptin stimulates fatty-acid oxidation by activating AMP-activated protein kinase. Nature. 2002;415(6869):339-43. What best describes the action of PH on AMPK activity?</strong> A)Long-term agonist B)Immediate antagonist C)Time-dependent antagonist D)Rapid agonist Adapted from Minokoshi Y, Kim YB, Peroni OD, et al. Leptin stimulates fatty-acid oxidation by activating AMP-activated protein kinase. Nature. 2002;415(6869):339-43.
What best describes the action of PH on AMPK activity?

A)Long-term agonist
B)Immediate antagonist
C)Time-dependent antagonist
D)Rapid agonist
Unlock Deck
Unlock for access to all 307 flashcards in this deck.
Unlock Deck
k this deck
7
Passage
The innate immune system relies heavily on the phagocytic action of neutrophils, mobile white blood cells that engulf and degrade bacteria and viruses as the first line of host defense against invading pathogens.  One mechanism for eliminating viruses engulfed in the phagosome involves the degradation of viral proteins by neutrophil serine proteases (NSPs).NSPs, which form part of the chymotrypsin family of serine proteases, cleave viral proteins using a catalytic triad relay system.  Originally discovered in granules released by neutrophils, NSP4 is a novel monomeric serine protease that has been studied to elucidate the catalytic mechanism of NSPs.  Prior experimental data suggest that NSP4 alters its tertiary structure upon substrate binding and cleaves viral proteins using the acylation reaction shown in Figure 1.
<strong>Passage The innate immune system relies heavily on the phagocytic action of neutrophils, mobile white blood cells that engulf and degrade bacteria and viruses as the first line of host defense against invading pathogens.  One mechanism for eliminating viruses engulfed in the phagosome involves the degradation of viral proteins by neutrophil serine proteases (NSPs).NSPs, which form part of the chymotrypsin family of serine proteases, cleave viral proteins using a catalytic triad relay system.  Originally discovered in granules released by neutrophils, NSP4 is a novel monomeric serine protease that has been studied to elucidate the catalytic mechanism of NSPs.  Prior experimental data suggest that NSP4 alters its tertiary structure upon substrate binding and cleaves viral proteins using the acylation reaction shown in Figure 1.   <strong>Figure 1</strong>  Degradation of viral proteins by acylation of NSP4Computational methods were used to identify the energetic parameters of reactions between NSP4 and synthetic viral proteins.  To ensure that simulated reactions resembled physiological conditions, algorithms were adjusted to account for the enzyme being in an aqueous environment.  The rate-determining step in the acylation reaction was determined by calculating the changes in free energy in both the enzyme and substrate (Figure 2).   <strong>Figure 2</strong>  Free energy profiles of synthetic viral protein cleavageKnowledge of amino acid frequency distribution at an enzymatic active site may facilitate the design of novel active sites and enzyme-specific inhibitors.  Researchers analyzed the composition of amino acids that form the NSP4 active site during protein folding to study the characteristics of residues involved in active site formation (Figure 3).   <strong>Figure 3</strong>  Frequency distribution of amino acid residues at the NSP4 active site Adapted from Stapels DA, Geisbrecht BV, Rooijakkers SH. Neutrophil serine proteases in antibacterial defense. Curr Opin Microbiol. 2015;23:42-8. The figure below shows the active site of NSP4 with three residues that are essential for catalysis.   If site-directed mutagenesis was used to create a missense mutation at His<sup>57</sup>, this would likely result in which of the following changes regarding the enzyme-catalyzed degradation of the viral peptide depicted in the active site?The time required for the reaction to achieve equilibrium would increase.The equilibrium constant K<sub>eq</sub> of the reaction would decrease.The enzyme-substrate dissociation constant K<sub>d</sub> would increase.</strong> A)I only B)III only C)I and II only D)I and III only Figure 1  Degradation of viral proteins by acylation of NSP4Computational methods were used to identify the energetic parameters of reactions between NSP4 and synthetic viral proteins.  To ensure that simulated reactions resembled physiological conditions, algorithms were adjusted to account for the enzyme being in an aqueous environment.  The rate-determining step in the acylation reaction was determined by calculating the changes in free energy in both the enzyme and substrate (Figure 2).
<strong>Passage The innate immune system relies heavily on the phagocytic action of neutrophils, mobile white blood cells that engulf and degrade bacteria and viruses as the first line of host defense against invading pathogens.  One mechanism for eliminating viruses engulfed in the phagosome involves the degradation of viral proteins by neutrophil serine proteases (NSPs).NSPs, which form part of the chymotrypsin family of serine proteases, cleave viral proteins using a catalytic triad relay system.  Originally discovered in granules released by neutrophils, NSP4 is a novel monomeric serine protease that has been studied to elucidate the catalytic mechanism of NSPs.  Prior experimental data suggest that NSP4 alters its tertiary structure upon substrate binding and cleaves viral proteins using the acylation reaction shown in Figure 1.   <strong>Figure 1</strong>  Degradation of viral proteins by acylation of NSP4Computational methods were used to identify the energetic parameters of reactions between NSP4 and synthetic viral proteins.  To ensure that simulated reactions resembled physiological conditions, algorithms were adjusted to account for the enzyme being in an aqueous environment.  The rate-determining step in the acylation reaction was determined by calculating the changes in free energy in both the enzyme and substrate (Figure 2).   <strong>Figure 2</strong>  Free energy profiles of synthetic viral protein cleavageKnowledge of amino acid frequency distribution at an enzymatic active site may facilitate the design of novel active sites and enzyme-specific inhibitors.  Researchers analyzed the composition of amino acids that form the NSP4 active site during protein folding to study the characteristics of residues involved in active site formation (Figure 3).   <strong>Figure 3</strong>  Frequency distribution of amino acid residues at the NSP4 active site Adapted from Stapels DA, Geisbrecht BV, Rooijakkers SH. Neutrophil serine proteases in antibacterial defense. Curr Opin Microbiol. 2015;23:42-8. The figure below shows the active site of NSP4 with three residues that are essential for catalysis.   If site-directed mutagenesis was used to create a missense mutation at His<sup>57</sup>, this would likely result in which of the following changes regarding the enzyme-catalyzed degradation of the viral peptide depicted in the active site?The time required for the reaction to achieve equilibrium would increase.The equilibrium constant K<sub>eq</sub> of the reaction would decrease.The enzyme-substrate dissociation constant K<sub>d</sub> would increase.</strong> A)I only B)III only C)I and II only D)I and III only Figure 2  Free energy profiles of synthetic viral protein cleavageKnowledge of amino acid frequency distribution at an enzymatic active site may facilitate the design of novel active sites and enzyme-specific inhibitors.  Researchers analyzed the composition of amino acids that form the NSP4 active site during protein folding to study the characteristics of residues involved in active site formation (Figure 3).
<strong>Passage The innate immune system relies heavily on the phagocytic action of neutrophils, mobile white blood cells that engulf and degrade bacteria and viruses as the first line of host defense against invading pathogens.  One mechanism for eliminating viruses engulfed in the phagosome involves the degradation of viral proteins by neutrophil serine proteases (NSPs).NSPs, which form part of the chymotrypsin family of serine proteases, cleave viral proteins using a catalytic triad relay system.  Originally discovered in granules released by neutrophils, NSP4 is a novel monomeric serine protease that has been studied to elucidate the catalytic mechanism of NSPs.  Prior experimental data suggest that NSP4 alters its tertiary structure upon substrate binding and cleaves viral proteins using the acylation reaction shown in Figure 1.   <strong>Figure 1</strong>  Degradation of viral proteins by acylation of NSP4Computational methods were used to identify the energetic parameters of reactions between NSP4 and synthetic viral proteins.  To ensure that simulated reactions resembled physiological conditions, algorithms were adjusted to account for the enzyme being in an aqueous environment.  The rate-determining step in the acylation reaction was determined by calculating the changes in free energy in both the enzyme and substrate (Figure 2).   <strong>Figure 2</strong>  Free energy profiles of synthetic viral protein cleavageKnowledge of amino acid frequency distribution at an enzymatic active site may facilitate the design of novel active sites and enzyme-specific inhibitors.  Researchers analyzed the composition of amino acids that form the NSP4 active site during protein folding to study the characteristics of residues involved in active site formation (Figure 3).   <strong>Figure 3</strong>  Frequency distribution of amino acid residues at the NSP4 active site Adapted from Stapels DA, Geisbrecht BV, Rooijakkers SH. Neutrophil serine proteases in antibacterial defense. Curr Opin Microbiol. 2015;23:42-8. The figure below shows the active site of NSP4 with three residues that are essential for catalysis.   If site-directed mutagenesis was used to create a missense mutation at His<sup>57</sup>, this would likely result in which of the following changes regarding the enzyme-catalyzed degradation of the viral peptide depicted in the active site?The time required for the reaction to achieve equilibrium would increase.The equilibrium constant K<sub>eq</sub> of the reaction would decrease.The enzyme-substrate dissociation constant K<sub>d</sub> would increase.</strong> A)I only B)III only C)I and II only D)I and III only Figure 3  Frequency distribution of amino acid residues at the NSP4 active site
Adapted from Stapels DA, Geisbrecht BV, Rooijakkers SH. Neutrophil serine proteases in antibacterial defense. Curr Opin Microbiol. 2015;23:42-8.
The figure below shows the active site of NSP4 with three residues that are essential for catalysis. <strong>Passage The innate immune system relies heavily on the phagocytic action of neutrophils, mobile white blood cells that engulf and degrade bacteria and viruses as the first line of host defense against invading pathogens.  One mechanism for eliminating viruses engulfed in the phagosome involves the degradation of viral proteins by neutrophil serine proteases (NSPs).NSPs, which form part of the chymotrypsin family of serine proteases, cleave viral proteins using a catalytic triad relay system.  Originally discovered in granules released by neutrophils, NSP4 is a novel monomeric serine protease that has been studied to elucidate the catalytic mechanism of NSPs.  Prior experimental data suggest that NSP4 alters its tertiary structure upon substrate binding and cleaves viral proteins using the acylation reaction shown in Figure 1.   <strong>Figure 1</strong>  Degradation of viral proteins by acylation of NSP4Computational methods were used to identify the energetic parameters of reactions between NSP4 and synthetic viral proteins.  To ensure that simulated reactions resembled physiological conditions, algorithms were adjusted to account for the enzyme being in an aqueous environment.  The rate-determining step in the acylation reaction was determined by calculating the changes in free energy in both the enzyme and substrate (Figure 2).   <strong>Figure 2</strong>  Free energy profiles of synthetic viral protein cleavageKnowledge of amino acid frequency distribution at an enzymatic active site may facilitate the design of novel active sites and enzyme-specific inhibitors.  Researchers analyzed the composition of amino acids that form the NSP4 active site during protein folding to study the characteristics of residues involved in active site formation (Figure 3).   <strong>Figure 3</strong>  Frequency distribution of amino acid residues at the NSP4 active site Adapted from Stapels DA, Geisbrecht BV, Rooijakkers SH. Neutrophil serine proteases in antibacterial defense. Curr Opin Microbiol. 2015;23:42-8. The figure below shows the active site of NSP4 with three residues that are essential for catalysis.   If site-directed mutagenesis was used to create a missense mutation at His<sup>57</sup>, this would likely result in which of the following changes regarding the enzyme-catalyzed degradation of the viral peptide depicted in the active site?The time required for the reaction to achieve equilibrium would increase.The equilibrium constant K<sub>eq</sub> of the reaction would decrease.The enzyme-substrate dissociation constant K<sub>d</sub> would increase.</strong> A)I only B)III only C)I and II only D)I and III only If site-directed mutagenesis was used to create a missense mutation at His57, this would likely result in which of the following changes regarding the enzyme-catalyzed degradation of the viral peptide depicted in the active site?The time required for the reaction to achieve equilibrium would increase.The equilibrium constant Keq of the reaction would decrease.The enzyme-substrate dissociation constant Kd would increase.

A)I only
B)III only
C)I and II only
D)I and III only
Unlock Deck
Unlock for access to all 307 flashcards in this deck.
Unlock Deck
k this deck
8
Passage
Leptin signaling is vital for maintaining adequate body mass and preventing insulin resistance.  When energy stores are abundant, adipocytes produce leptin to stimulate fatty acid oxidation and glucose utilization.  One result of leptin signaling in skeletal muscle cells is the phosphorylation and activation of adenosine monophosphate-activated protein kinase (AMPK).  AMPK facilitates the breakdown of triglycerides by decreasing the activity of acetyl-coenzyme A carboxylase (ACC); this leads to downregulation of fatty acid synthesis and upregulation of β-oxidation.Fatty acid oxidation has been studied by analyzing the effect of leptin on activation of AMPK and ACC in soleus muscles.  To identify leptin's mode of action, injections were administered to transgenic mice via the intravenous (1 mg/kg i.v.) and intrahypothalamic (1 ng i.h.p [faster drug delivery]) routes.  Phentolamine (PH), an α-adrenergic receptor ligand that binds to the same receptor as leptin, was administered concurrently in some of the mice.  Signaling to ACC from the citric acid cycle was also examined through the addition of citrate.
<strong>Passage Leptin signaling is vital for maintaining adequate body mass and preventing insulin resistance.  When energy stores are abundant, adipocytes produce leptin to stimulate fatty acid oxidation and glucose utilization.  One result of leptin signaling in skeletal muscle cells is the phosphorylation and activation of adenosine monophosphate-activated protein kinase (AMPK).  AMPK facilitates the breakdown of triglycerides by decreasing the activity of acetyl-coenzyme A carboxylase (ACC); this leads to downregulation of fatty acid synthesis and upregulation of β-oxidation.Fatty acid oxidation has been studied by analyzing the effect of leptin on activation of AMPK and ACC in soleus muscles.  To identify leptin's mode of action, injections were administered to transgenic mice via the intravenous (1 mg/kg i.v.) and intrahypothalamic (1 ng i.h.p [faster drug delivery]) routes.  Phentolamine (PH), an α-adrenergic receptor ligand that binds to the same receptor as leptin, was administered concurrently in some of the mice.  Signaling to ACC from the citric acid cycle was also examined through the addition of citrate.   <strong>Figure 1</strong>  AMPK activity measured in soleus muscle injected with leptin and PH via i.v. and i.h.p.<strong>Table 1</strong>  ACC Activity in Soleus Muscle Exposed to Leptin Delivered via i.v. and i.h.p Injections in vivo   Adapted from Minokoshi Y, Kim YB, Peroni OD, et al. Leptin stimulates fatty-acid oxidation by activating AMP-activated protein kinase. Nature. 2002;415(6869):339-43. The addition of AMPK phosphatases to skeletal muscles exposed to leptin would result in which of the following?</strong> A)Increased shuttling of fatty acids from the cytosol into mitochondria B)Increased funneling of electrons to carriers NAD<sup>+</sup> and FAD C)Upregulated activity of the acyl carrier protein in fatty acid synthase D)Upregulated phosphorylation of acetyl-coenzyme A carboxylase Figure 1  AMPK activity measured in soleus muscle injected with leptin and PH via i.v. and i.h.p.Table 1  ACC Activity in Soleus Muscle Exposed to Leptin Delivered via i.v. and i.h.p Injections in vivo
<strong>Passage Leptin signaling is vital for maintaining adequate body mass and preventing insulin resistance.  When energy stores are abundant, adipocytes produce leptin to stimulate fatty acid oxidation and glucose utilization.  One result of leptin signaling in skeletal muscle cells is the phosphorylation and activation of adenosine monophosphate-activated protein kinase (AMPK).  AMPK facilitates the breakdown of triglycerides by decreasing the activity of acetyl-coenzyme A carboxylase (ACC); this leads to downregulation of fatty acid synthesis and upregulation of β-oxidation.Fatty acid oxidation has been studied by analyzing the effect of leptin on activation of AMPK and ACC in soleus muscles.  To identify leptin's mode of action, injections were administered to transgenic mice via the intravenous (1 mg/kg i.v.) and intrahypothalamic (1 ng i.h.p [faster drug delivery]) routes.  Phentolamine (PH), an α-adrenergic receptor ligand that binds to the same receptor as leptin, was administered concurrently in some of the mice.  Signaling to ACC from the citric acid cycle was also examined through the addition of citrate.   <strong>Figure 1</strong>  AMPK activity measured in soleus muscle injected with leptin and PH via i.v. and i.h.p.<strong>Table 1</strong>  ACC Activity in Soleus Muscle Exposed to Leptin Delivered via i.v. and i.h.p Injections in vivo   Adapted from Minokoshi Y, Kim YB, Peroni OD, et al. Leptin stimulates fatty-acid oxidation by activating AMP-activated protein kinase. Nature. 2002;415(6869):339-43. The addition of AMPK phosphatases to skeletal muscles exposed to leptin would result in which of the following?</strong> A)Increased shuttling of fatty acids from the cytosol into mitochondria B)Increased funneling of electrons to carriers NAD<sup>+</sup> and FAD C)Upregulated activity of the acyl carrier protein in fatty acid synthase D)Upregulated phosphorylation of acetyl-coenzyme A carboxylase Adapted from Minokoshi Y, Kim YB, Peroni OD, et al. Leptin stimulates fatty-acid oxidation by activating AMP-activated protein kinase. Nature. 2002;415(6869):339-43.
The addition of AMPK phosphatases to skeletal muscles exposed to leptin would result in which of the following?

A)Increased shuttling of fatty acids from the cytosol into mitochondria
B)Increased funneling of electrons to carriers NAD+ and FAD
C)Upregulated activity of the acyl carrier protein in fatty acid synthase
D)Upregulated phosphorylation of acetyl-coenzyme A carboxylase
Unlock Deck
Unlock for access to all 307 flashcards in this deck.
Unlock Deck
k this deck
9
Passage
Presynaptic nerve terminals release neurotransmitters via synaptic vesicle exocytosis.  This action is mediated by the membrane-bound target-SNARE (t-SNARE) proteins syntaxin and SNAP-25, and the vesicle-associated SNARE (v-SNARE) protein synaptobrevin.  Membrane fusion is initiated when the t-SNAREs and v-SNAREs form an α-helix bundle known as the core-trans-complex, achieved by zipping SNARE proteins together to form a more stable cis-complex (Figure 1).
<strong>Passage Presynaptic nerve terminals release neurotransmitters via synaptic vesicle exocytosis.  This action is mediated by the membrane-bound target-SNARE (t-SNARE) proteins syntaxin and SNAP-25, and the vesicle-associated SNARE (v-SNARE) protein synaptobrevin.  Membrane fusion is initiated when the t-SNAREs and v-SNAREs form an α-helix bundle known as the core-trans-complex, achieved by zipping SNARE proteins together to form a more stable cis-complex (Figure 1).   <strong>Figure 1</strong>  Formation of the core-trans-complex and subsequent membrane fusionThe cis-complex contains the zero ionic layer, the main site of interaction between complexed proteins.  Within the zero ionic layer, arginine on synaptobrevin coordinates with carbonyl groups present on the other residues shown in Table 1.  The zero ionic layer is buried within leucine zipper domains, which act as a shield to solvent molecules.<strong>Table 1</strong>  Composition of cis-Complex Zero Ionic Layer   An early step in cis-complex disassembly is destabilization by the ATPase N-ethylmaleimide-sensitive factor (NSF), which initiates unzipping by breaking flanking leucine zipper regions, leading to vesicle reuptake.  Movement of NSF to the cell membrane is mediated by the cytoplasmic protein α-SNAP, which must first bind the N-terminal domain of syntaxin.To determine the effect of vesicle-bound synaptobrevin on the binding of α-SNAP to syntaxin, increasing amounts of recombinant His-tagged α-SNAP were added to a constant amount of syntaxin affixed to glutathione-agarose beads with or without synaptobrevin.  After incubation, bound proteins were recovered and quantitatively analyzed by immunoblotting.  Results are shown in Figure 2.   <strong>Figure 2</strong>  α-SNAP binding to syntaxin in the absence (square) or presence (circle) of synaptobrevin Adapted from Mcmahon HT, Südhof TC. Synaptic core complex of synaptobrevin, syntaxin, and SNAP25 forms high affinity alpha-SNAP binding site. J Biol Chem. 1995;270(5):2213-7. During cis-complex disassembly, what consequence of NSF function is most likely responsible for destabilization of the cis-complex?</strong> A)Exposure of the zero ionic layer's charged amino acids to solvent molecules B)Increased repulsive interactions among charged residues in the zero ionic layer C)Increased amphipathic qualities of the leucine zipper dimer D)Release of v-SNARE proteins from synaptic vesicles Figure 1  Formation of the core-trans-complex and subsequent membrane fusionThe cis-complex contains the zero ionic layer, the main site of interaction between complexed proteins.  Within the zero ionic layer, arginine on synaptobrevin coordinates with carbonyl groups present on the other residues shown in Table 1.  The zero ionic layer is buried within leucine zipper domains, which act as a shield to solvent molecules.Table 1  Composition of cis-Complex Zero Ionic Layer
<strong>Passage Presynaptic nerve terminals release neurotransmitters via synaptic vesicle exocytosis.  This action is mediated by the membrane-bound target-SNARE (t-SNARE) proteins syntaxin and SNAP-25, and the vesicle-associated SNARE (v-SNARE) protein synaptobrevin.  Membrane fusion is initiated when the t-SNAREs and v-SNAREs form an α-helix bundle known as the core-trans-complex, achieved by zipping SNARE proteins together to form a more stable cis-complex (Figure 1).   <strong>Figure 1</strong>  Formation of the core-trans-complex and subsequent membrane fusionThe cis-complex contains the zero ionic layer, the main site of interaction between complexed proteins.  Within the zero ionic layer, arginine on synaptobrevin coordinates with carbonyl groups present on the other residues shown in Table 1.  The zero ionic layer is buried within leucine zipper domains, which act as a shield to solvent molecules.<strong>Table 1</strong>  Composition of cis-Complex Zero Ionic Layer   An early step in cis-complex disassembly is destabilization by the ATPase N-ethylmaleimide-sensitive factor (NSF), which initiates unzipping by breaking flanking leucine zipper regions, leading to vesicle reuptake.  Movement of NSF to the cell membrane is mediated by the cytoplasmic protein α-SNAP, which must first bind the N-terminal domain of syntaxin.To determine the effect of vesicle-bound synaptobrevin on the binding of α-SNAP to syntaxin, increasing amounts of recombinant His-tagged α-SNAP were added to a constant amount of syntaxin affixed to glutathione-agarose beads with or without synaptobrevin.  After incubation, bound proteins were recovered and quantitatively analyzed by immunoblotting.  Results are shown in Figure 2.   <strong>Figure 2</strong>  α-SNAP binding to syntaxin in the absence (square) or presence (circle) of synaptobrevin Adapted from Mcmahon HT, Südhof TC. Synaptic core complex of synaptobrevin, syntaxin, and SNAP25 forms high affinity alpha-SNAP binding site. J Biol Chem. 1995;270(5):2213-7. During cis-complex disassembly, what consequence of NSF function is most likely responsible for destabilization of the cis-complex?</strong> A)Exposure of the zero ionic layer's charged amino acids to solvent molecules B)Increased repulsive interactions among charged residues in the zero ionic layer C)Increased amphipathic qualities of the leucine zipper dimer D)Release of v-SNARE proteins from synaptic vesicles An early step in cis-complex disassembly is destabilization by the ATPase N-ethylmaleimide-sensitive factor (NSF), which initiates unzipping by breaking flanking leucine zipper regions, leading to vesicle reuptake.  Movement of NSF to the cell membrane is mediated by the cytoplasmic protein α-SNAP, which must first bind the N-terminal domain of syntaxin.To determine the effect of vesicle-bound synaptobrevin on the binding of α-SNAP to syntaxin, increasing amounts of recombinant His-tagged α-SNAP were added to a constant amount of syntaxin affixed to glutathione-agarose beads with or without synaptobrevin.  After incubation, bound proteins were recovered and quantitatively analyzed by immunoblotting.  Results are shown in Figure 2.
<strong>Passage Presynaptic nerve terminals release neurotransmitters via synaptic vesicle exocytosis.  This action is mediated by the membrane-bound target-SNARE (t-SNARE) proteins syntaxin and SNAP-25, and the vesicle-associated SNARE (v-SNARE) protein synaptobrevin.  Membrane fusion is initiated when the t-SNAREs and v-SNAREs form an α-helix bundle known as the core-trans-complex, achieved by zipping SNARE proteins together to form a more stable cis-complex (Figure 1).   <strong>Figure 1</strong>  Formation of the core-trans-complex and subsequent membrane fusionThe cis-complex contains the zero ionic layer, the main site of interaction between complexed proteins.  Within the zero ionic layer, arginine on synaptobrevin coordinates with carbonyl groups present on the other residues shown in Table 1.  The zero ionic layer is buried within leucine zipper domains, which act as a shield to solvent molecules.<strong>Table 1</strong>  Composition of cis-Complex Zero Ionic Layer   An early step in cis-complex disassembly is destabilization by the ATPase N-ethylmaleimide-sensitive factor (NSF), which initiates unzipping by breaking flanking leucine zipper regions, leading to vesicle reuptake.  Movement of NSF to the cell membrane is mediated by the cytoplasmic protein α-SNAP, which must first bind the N-terminal domain of syntaxin.To determine the effect of vesicle-bound synaptobrevin on the binding of α-SNAP to syntaxin, increasing amounts of recombinant His-tagged α-SNAP were added to a constant amount of syntaxin affixed to glutathione-agarose beads with or without synaptobrevin.  After incubation, bound proteins were recovered and quantitatively analyzed by immunoblotting.  Results are shown in Figure 2.   <strong>Figure 2</strong>  α-SNAP binding to syntaxin in the absence (square) or presence (circle) of synaptobrevin Adapted from Mcmahon HT, Südhof TC. Synaptic core complex of synaptobrevin, syntaxin, and SNAP25 forms high affinity alpha-SNAP binding site. J Biol Chem. 1995;270(5):2213-7. During cis-complex disassembly, what consequence of NSF function is most likely responsible for destabilization of the cis-complex?</strong> A)Exposure of the zero ionic layer's charged amino acids to solvent molecules B)Increased repulsive interactions among charged residues in the zero ionic layer C)Increased amphipathic qualities of the leucine zipper dimer D)Release of v-SNARE proteins from synaptic vesicles Figure 2  α-SNAP binding to syntaxin in the absence (square) or presence (circle) of synaptobrevin
Adapted from Mcmahon HT, Südhof TC. Synaptic core complex of synaptobrevin, syntaxin, and SNAP25 forms high affinity alpha-SNAP binding site. J Biol Chem. 1995;270(5):2213-7.
During cis-complex disassembly, what consequence of NSF function is most likely responsible for destabilization of the cis-complex?

A)Exposure of the zero ionic layer's charged amino acids to solvent molecules
B)Increased repulsive interactions among charged residues in the zero ionic layer
C)Increased amphipathic qualities of the leucine zipper dimer
D)Release of v-SNARE proteins from synaptic vesicles
Unlock Deck
Unlock for access to all 307 flashcards in this deck.
Unlock Deck
k this deck
10
Passage
Tumor hypoxia is a marker of resistance to chemotherapy and radiation.  The low oxygen saturation in solid tumors activates hypoxia-inducible factors (HIFs), which stimulate the expression of genes required for angiogenesis, erythropoiesis, and glucose utilization.  Under normal conditions, HIF-DNA binding is interrupted by HIF-prolyl hydroxylases (HIF-PHDs), enzymes that hydroxylate aliphatic residues such as leucine or proline on HIFs.  These hydroxylated residues serve as markers for the ubiquitin-proteasome system.  Researchers have proposed that changes in oxygen-dependent pathways such as the citric acid cycle can regulate HIF-PHD activity.Experiment 1A kinematic study was conducted to test the effect of citric acid cycle intermediates on HIF-PHDs.  Fumarate and succinate were examined with purified HIF-PHD against increasing concentrations of 2-oxoglutarate (2-OG), an HIF analog.
<strong>Passage Tumor hypoxia is a marker of resistance to chemotherapy and radiation.  The low oxygen saturation in solid tumors activates hypoxia-inducible factors (HIFs), which stimulate the expression of genes required for angiogenesis, erythropoiesis, and glucose utilization.  Under normal conditions, HIF-DNA binding is interrupted by HIF-prolyl hydroxylases (HIF-PHDs), enzymes that hydroxylate aliphatic residues such as leucine or proline on HIFs.  These hydroxylated residues serve as markers for the ubiquitin-proteasome system.  Researchers have proposed that changes in oxygen-dependent pathways such as the citric acid cycle can regulate HIF-PHD activity.Experiment 1A kinematic study was conducted to test the effect of citric acid cycle intermediates on HIF-PHDs.  Fumarate and succinate were examined with purified HIF-PHD against increasing concentrations of 2-oxoglutarate (2-OG), an HIF analog.   <strong>Figure 1</strong>  Activity of HIF-PHD exposed to succinate and fumarate in vitro based on 2-OG catalysisExperiment 2Researchers measured HIF-1a, a HIF subunit, using western blot analysis in wild-type (FH<sup>+</sup>) and fumarate-deficient (FH<sup>−</sup>) cells that were treated with fumarate under normoxic and hypoxic conditions (Figure 2).   <strong>Figure 2</strong>  HIF-1a in FH<sup>+</sup> and FH<sup>−</sup> cells grown in vitro under normoxic (N) and hypoxic (H) conditions Adapted from Koivunen P, Hirsilä M, Remes AM, Hassinen IE, Kivirikko KI, Myllyharju J. Inhibition of hypoxia-inducible factor (HIF) hydroxylases by citric acid cycle intermediates: possible links between cell metabolism and stabilization of HIF. J Biol Chem. 2007;282(7):4524-32. During hypoxia, skeletal muscles have been shown to accumulate succinate and ADP molecules.  Which of the following explains this result?</strong> A)Anaerobic conditions prevent mitochondrial regeneration of NAD<sup>+</sup> and FAD. B)Succinate dehydrogenase k<sub>cat</sub> is decreased after prolonged hypoxia. C)Excess fumarate is converted back into succinate in ATP-rich conditions. D)Overabundance of NADH stimulates succinyl-CoA production. Figure 1  Activity of HIF-PHD exposed to succinate and fumarate in vitro based on 2-OG catalysisExperiment 2Researchers measured HIF-1a, a HIF subunit, using western blot analysis in wild-type (FH+) and fumarate-deficient (FH) cells that were treated with fumarate under normoxic and hypoxic conditions (Figure 2).
<strong>Passage Tumor hypoxia is a marker of resistance to chemotherapy and radiation.  The low oxygen saturation in solid tumors activates hypoxia-inducible factors (HIFs), which stimulate the expression of genes required for angiogenesis, erythropoiesis, and glucose utilization.  Under normal conditions, HIF-DNA binding is interrupted by HIF-prolyl hydroxylases (HIF-PHDs), enzymes that hydroxylate aliphatic residues such as leucine or proline on HIFs.  These hydroxylated residues serve as markers for the ubiquitin-proteasome system.  Researchers have proposed that changes in oxygen-dependent pathways such as the citric acid cycle can regulate HIF-PHD activity.Experiment 1A kinematic study was conducted to test the effect of citric acid cycle intermediates on HIF-PHDs.  Fumarate and succinate were examined with purified HIF-PHD against increasing concentrations of 2-oxoglutarate (2-OG), an HIF analog.   <strong>Figure 1</strong>  Activity of HIF-PHD exposed to succinate and fumarate in vitro based on 2-OG catalysisExperiment 2Researchers measured HIF-1a, a HIF subunit, using western blot analysis in wild-type (FH<sup>+</sup>) and fumarate-deficient (FH<sup>−</sup>) cells that were treated with fumarate under normoxic and hypoxic conditions (Figure 2).   <strong>Figure 2</strong>  HIF-1a in FH<sup>+</sup> and FH<sup>−</sup> cells grown in vitro under normoxic (N) and hypoxic (H) conditions Adapted from Koivunen P, Hirsilä M, Remes AM, Hassinen IE, Kivirikko KI, Myllyharju J. Inhibition of hypoxia-inducible factor (HIF) hydroxylases by citric acid cycle intermediates: possible links between cell metabolism and stabilization of HIF. J Biol Chem. 2007;282(7):4524-32. During hypoxia, skeletal muscles have been shown to accumulate succinate and ADP molecules.  Which of the following explains this result?</strong> A)Anaerobic conditions prevent mitochondrial regeneration of NAD<sup>+</sup> and FAD. B)Succinate dehydrogenase k<sub>cat</sub> is decreased after prolonged hypoxia. C)Excess fumarate is converted back into succinate in ATP-rich conditions. D)Overabundance of NADH stimulates succinyl-CoA production. Figure 2  HIF-1a in FH+ and FH cells grown in vitro under normoxic (N) and hypoxic (H) conditions
Adapted from Koivunen P, Hirsilä M, Remes AM, Hassinen IE, Kivirikko KI, Myllyharju J. Inhibition of hypoxia-inducible factor (HIF) hydroxylases by citric acid cycle intermediates: possible links between cell metabolism and stabilization of HIF. J Biol Chem. 2007;282(7):4524-32.
During hypoxia, skeletal muscles have been shown to accumulate succinate and ADP molecules.  Which of the following explains this result?

A)Anaerobic conditions prevent mitochondrial regeneration of NAD+ and FAD.
B)Succinate dehydrogenase kcat is decreased after prolonged hypoxia.
C)Excess fumarate is converted back into succinate in ATP-rich conditions.
D)Overabundance of NADH stimulates succinyl-CoA production.
Unlock Deck
Unlock for access to all 307 flashcards in this deck.
Unlock Deck
k this deck
11
Passage
Tumor hypoxia is a marker of resistance to chemotherapy and radiation.  The low oxygen saturation in solid tumors activates hypoxia-inducible factors (HIFs), which stimulate the expression of genes required for angiogenesis, erythropoiesis, and glucose utilization.  Under normal conditions, HIF-DNA binding is interrupted by HIF-prolyl hydroxylases (HIF-PHDs), enzymes that hydroxylate aliphatic residues such as leucine or proline on HIFs.  These hydroxylated residues serve as markers for the ubiquitin-proteasome system.  Researchers have proposed that changes in oxygen-dependent pathways such as the citric acid cycle can regulate HIF-PHD activity.Experiment 1A kinematic study was conducted to test the effect of citric acid cycle intermediates on HIF-PHDs.  Fumarate and succinate were examined with purified HIF-PHD against increasing concentrations of 2-oxoglutarate (2-OG), an HIF analog.
<strong>Passage Tumor hypoxia is a marker of resistance to chemotherapy and radiation.  The low oxygen saturation in solid tumors activates hypoxia-inducible factors (HIFs), which stimulate the expression of genes required for angiogenesis, erythropoiesis, and glucose utilization.  Under normal conditions, HIF-DNA binding is interrupted by HIF-prolyl hydroxylases (HIF-PHDs), enzymes that hydroxylate aliphatic residues such as leucine or proline on HIFs.  These hydroxylated residues serve as markers for the ubiquitin-proteasome system.  Researchers have proposed that changes in oxygen-dependent pathways such as the citric acid cycle can regulate HIF-PHD activity.Experiment 1A kinematic study was conducted to test the effect of citric acid cycle intermediates on HIF-PHDs.  Fumarate and succinate were examined with purified HIF-PHD against increasing concentrations of 2-oxoglutarate (2-OG), an HIF analog.   <strong>Figure 1</strong>  Activity of HIF-PHD exposed to succinate and fumarate in vitro based on 2-OG catalysisExperiment 2Researchers measured HIF-1a, a HIF subunit, using western blot analysis in wild-type (FH<sup>+</sup>) and fumarate-deficient (FH<sup>−</sup>) cells that were treated with fumarate under normoxic and hypoxic conditions (Figure 2).   <strong>Figure 2</strong>  HIF-1a in FH<sup>+</sup> and FH<sup>−</sup> cells grown in vitro under normoxic (N) and hypoxic (H) conditions Adapted from Koivunen P, Hirsilä M, Remes AM, Hassinen IE, Kivirikko KI, Myllyharju J. Inhibition of hypoxia-inducible factor (HIF) hydroxylases by citric acid cycle intermediates: possible links between cell metabolism and stabilization of HIF. J Biol Chem. 2007;282(7):4524-32. Which amino acid structure would most likely be hydroxylated by HIF-PHDs?</strong> A)   B)   C)   D)   Figure 1  Activity of HIF-PHD exposed to succinate and fumarate in vitro based on 2-OG catalysisExperiment 2Researchers measured HIF-1a, a HIF subunit, using western blot analysis in wild-type (FH+) and fumarate-deficient (FH) cells that were treated with fumarate under normoxic and hypoxic conditions (Figure 2).
<strong>Passage Tumor hypoxia is a marker of resistance to chemotherapy and radiation.  The low oxygen saturation in solid tumors activates hypoxia-inducible factors (HIFs), which stimulate the expression of genes required for angiogenesis, erythropoiesis, and glucose utilization.  Under normal conditions, HIF-DNA binding is interrupted by HIF-prolyl hydroxylases (HIF-PHDs), enzymes that hydroxylate aliphatic residues such as leucine or proline on HIFs.  These hydroxylated residues serve as markers for the ubiquitin-proteasome system.  Researchers have proposed that changes in oxygen-dependent pathways such as the citric acid cycle can regulate HIF-PHD activity.Experiment 1A kinematic study was conducted to test the effect of citric acid cycle intermediates on HIF-PHDs.  Fumarate and succinate were examined with purified HIF-PHD against increasing concentrations of 2-oxoglutarate (2-OG), an HIF analog.   <strong>Figure 1</strong>  Activity of HIF-PHD exposed to succinate and fumarate in vitro based on 2-OG catalysisExperiment 2Researchers measured HIF-1a, a HIF subunit, using western blot analysis in wild-type (FH<sup>+</sup>) and fumarate-deficient (FH<sup>−</sup>) cells that were treated with fumarate under normoxic and hypoxic conditions (Figure 2).   <strong>Figure 2</strong>  HIF-1a in FH<sup>+</sup> and FH<sup>−</sup> cells grown in vitro under normoxic (N) and hypoxic (H) conditions Adapted from Koivunen P, Hirsilä M, Remes AM, Hassinen IE, Kivirikko KI, Myllyharju J. Inhibition of hypoxia-inducible factor (HIF) hydroxylases by citric acid cycle intermediates: possible links between cell metabolism and stabilization of HIF. J Biol Chem. 2007;282(7):4524-32. Which amino acid structure would most likely be hydroxylated by HIF-PHDs?</strong> A)   B)   C)   D)   Figure 2  HIF-1a in FH+ and FH cells grown in vitro under normoxic (N) and hypoxic (H) conditions
Adapted from Koivunen P, Hirsilä M, Remes AM, Hassinen IE, Kivirikko KI, Myllyharju J. Inhibition of hypoxia-inducible factor (HIF) hydroxylases by citric acid cycle intermediates: possible links between cell metabolism and stabilization of HIF. J Biol Chem. 2007;282(7):4524-32.
Which amino acid structure would most likely be hydroxylated by HIF-PHDs?

A) <strong>Passage Tumor hypoxia is a marker of resistance to chemotherapy and radiation.  The low oxygen saturation in solid tumors activates hypoxia-inducible factors (HIFs), which stimulate the expression of genes required for angiogenesis, erythropoiesis, and glucose utilization.  Under normal conditions, HIF-DNA binding is interrupted by HIF-prolyl hydroxylases (HIF-PHDs), enzymes that hydroxylate aliphatic residues such as leucine or proline on HIFs.  These hydroxylated residues serve as markers for the ubiquitin-proteasome system.  Researchers have proposed that changes in oxygen-dependent pathways such as the citric acid cycle can regulate HIF-PHD activity.Experiment 1A kinematic study was conducted to test the effect of citric acid cycle intermediates on HIF-PHDs.  Fumarate and succinate were examined with purified HIF-PHD against increasing concentrations of 2-oxoglutarate (2-OG), an HIF analog.   <strong>Figure 1</strong>  Activity of HIF-PHD exposed to succinate and fumarate in vitro based on 2-OG catalysisExperiment 2Researchers measured HIF-1a, a HIF subunit, using western blot analysis in wild-type (FH<sup>+</sup>) and fumarate-deficient (FH<sup>−</sup>) cells that were treated with fumarate under normoxic and hypoxic conditions (Figure 2).   <strong>Figure 2</strong>  HIF-1a in FH<sup>+</sup> and FH<sup>−</sup> cells grown in vitro under normoxic (N) and hypoxic (H) conditions Adapted from Koivunen P, Hirsilä M, Remes AM, Hassinen IE, Kivirikko KI, Myllyharju J. Inhibition of hypoxia-inducible factor (HIF) hydroxylases by citric acid cycle intermediates: possible links between cell metabolism and stabilization of HIF. J Biol Chem. 2007;282(7):4524-32. Which amino acid structure would most likely be hydroxylated by HIF-PHDs?</strong> A)   B)   C)   D)
B) <strong>Passage Tumor hypoxia is a marker of resistance to chemotherapy and radiation.  The low oxygen saturation in solid tumors activates hypoxia-inducible factors (HIFs), which stimulate the expression of genes required for angiogenesis, erythropoiesis, and glucose utilization.  Under normal conditions, HIF-DNA binding is interrupted by HIF-prolyl hydroxylases (HIF-PHDs), enzymes that hydroxylate aliphatic residues such as leucine or proline on HIFs.  These hydroxylated residues serve as markers for the ubiquitin-proteasome system.  Researchers have proposed that changes in oxygen-dependent pathways such as the citric acid cycle can regulate HIF-PHD activity.Experiment 1A kinematic study was conducted to test the effect of citric acid cycle intermediates on HIF-PHDs.  Fumarate and succinate were examined with purified HIF-PHD against increasing concentrations of 2-oxoglutarate (2-OG), an HIF analog.   <strong>Figure 1</strong>  Activity of HIF-PHD exposed to succinate and fumarate in vitro based on 2-OG catalysisExperiment 2Researchers measured HIF-1a, a HIF subunit, using western blot analysis in wild-type (FH<sup>+</sup>) and fumarate-deficient (FH<sup>−</sup>) cells that were treated with fumarate under normoxic and hypoxic conditions (Figure 2).   <strong>Figure 2</strong>  HIF-1a in FH<sup>+</sup> and FH<sup>−</sup> cells grown in vitro under normoxic (N) and hypoxic (H) conditions Adapted from Koivunen P, Hirsilä M, Remes AM, Hassinen IE, Kivirikko KI, Myllyharju J. Inhibition of hypoxia-inducible factor (HIF) hydroxylases by citric acid cycle intermediates: possible links between cell metabolism and stabilization of HIF. J Biol Chem. 2007;282(7):4524-32. Which amino acid structure would most likely be hydroxylated by HIF-PHDs?</strong> A)   B)   C)   D)
C) <strong>Passage Tumor hypoxia is a marker of resistance to chemotherapy and radiation.  The low oxygen saturation in solid tumors activates hypoxia-inducible factors (HIFs), which stimulate the expression of genes required for angiogenesis, erythropoiesis, and glucose utilization.  Under normal conditions, HIF-DNA binding is interrupted by HIF-prolyl hydroxylases (HIF-PHDs), enzymes that hydroxylate aliphatic residues such as leucine or proline on HIFs.  These hydroxylated residues serve as markers for the ubiquitin-proteasome system.  Researchers have proposed that changes in oxygen-dependent pathways such as the citric acid cycle can regulate HIF-PHD activity.Experiment 1A kinematic study was conducted to test the effect of citric acid cycle intermediates on HIF-PHDs.  Fumarate and succinate were examined with purified HIF-PHD against increasing concentrations of 2-oxoglutarate (2-OG), an HIF analog.   <strong>Figure 1</strong>  Activity of HIF-PHD exposed to succinate and fumarate in vitro based on 2-OG catalysisExperiment 2Researchers measured HIF-1a, a HIF subunit, using western blot analysis in wild-type (FH<sup>+</sup>) and fumarate-deficient (FH<sup>−</sup>) cells that were treated with fumarate under normoxic and hypoxic conditions (Figure 2).   <strong>Figure 2</strong>  HIF-1a in FH<sup>+</sup> and FH<sup>−</sup> cells grown in vitro under normoxic (N) and hypoxic (H) conditions Adapted from Koivunen P, Hirsilä M, Remes AM, Hassinen IE, Kivirikko KI, Myllyharju J. Inhibition of hypoxia-inducible factor (HIF) hydroxylases by citric acid cycle intermediates: possible links between cell metabolism and stabilization of HIF. J Biol Chem. 2007;282(7):4524-32. Which amino acid structure would most likely be hydroxylated by HIF-PHDs?</strong> A)   B)   C)   D)
D) <strong>Passage Tumor hypoxia is a marker of resistance to chemotherapy and radiation.  The low oxygen saturation in solid tumors activates hypoxia-inducible factors (HIFs), which stimulate the expression of genes required for angiogenesis, erythropoiesis, and glucose utilization.  Under normal conditions, HIF-DNA binding is interrupted by HIF-prolyl hydroxylases (HIF-PHDs), enzymes that hydroxylate aliphatic residues such as leucine or proline on HIFs.  These hydroxylated residues serve as markers for the ubiquitin-proteasome system.  Researchers have proposed that changes in oxygen-dependent pathways such as the citric acid cycle can regulate HIF-PHD activity.Experiment 1A kinematic study was conducted to test the effect of citric acid cycle intermediates on HIF-PHDs.  Fumarate and succinate were examined with purified HIF-PHD against increasing concentrations of 2-oxoglutarate (2-OG), an HIF analog.   <strong>Figure 1</strong>  Activity of HIF-PHD exposed to succinate and fumarate in vitro based on 2-OG catalysisExperiment 2Researchers measured HIF-1a, a HIF subunit, using western blot analysis in wild-type (FH<sup>+</sup>) and fumarate-deficient (FH<sup>−</sup>) cells that were treated with fumarate under normoxic and hypoxic conditions (Figure 2).   <strong>Figure 2</strong>  HIF-1a in FH<sup>+</sup> and FH<sup>−</sup> cells grown in vitro under normoxic (N) and hypoxic (H) conditions Adapted from Koivunen P, Hirsilä M, Remes AM, Hassinen IE, Kivirikko KI, Myllyharju J. Inhibition of hypoxia-inducible factor (HIF) hydroxylases by citric acid cycle intermediates: possible links between cell metabolism and stabilization of HIF. J Biol Chem. 2007;282(7):4524-32. Which amino acid structure would most likely be hydroxylated by HIF-PHDs?</strong> A)   B)   C)   D)
Unlock Deck
Unlock for access to all 307 flashcards in this deck.
Unlock Deck
k this deck
12
Passage
Leptin signaling is vital for maintaining adequate body mass and preventing insulin resistance.  When energy stores are abundant, adipocytes produce leptin to stimulate fatty acid oxidation and glucose utilization.  One result of leptin signaling in skeletal muscle cells is the phosphorylation and activation of adenosine monophosphate-activated protein kinase (AMPK).  AMPK facilitates the breakdown of triglycerides by decreasing the activity of acetyl-coenzyme A carboxylase (ACC); this leads to downregulation of fatty acid synthesis and upregulation of β-oxidation.Fatty acid oxidation has been studied by analyzing the effect of leptin on activation of AMPK and ACC in soleus muscles.  To identify leptin's mode of action, injections were administered to transgenic mice via the intravenous (1 mg/kg i.v.) and intrahypothalamic (1 ng i.h.p [faster drug delivery]) routes.  Phentolamine (PH), an α-adrenergic receptor ligand that binds to the same receptor as leptin, was administered concurrently in some of the mice.  Signaling to ACC from the citric acid cycle was also examined through the addition of citrate.
<strong>Passage Leptin signaling is vital for maintaining adequate body mass and preventing insulin resistance.  When energy stores are abundant, adipocytes produce leptin to stimulate fatty acid oxidation and glucose utilization.  One result of leptin signaling in skeletal muscle cells is the phosphorylation and activation of adenosine monophosphate-activated protein kinase (AMPK).  AMPK facilitates the breakdown of triglycerides by decreasing the activity of acetyl-coenzyme A carboxylase (ACC); this leads to downregulation of fatty acid synthesis and upregulation of β-oxidation.Fatty acid oxidation has been studied by analyzing the effect of leptin on activation of AMPK and ACC in soleus muscles.  To identify leptin's mode of action, injections were administered to transgenic mice via the intravenous (1 mg/kg i.v.) and intrahypothalamic (1 ng i.h.p [faster drug delivery]) routes.  Phentolamine (PH), an α-adrenergic receptor ligand that binds to the same receptor as leptin, was administered concurrently in some of the mice.  Signaling to ACC from the citric acid cycle was also examined through the addition of citrate.   <strong>Figure 1</strong>  AMPK activity measured in soleus muscle injected with leptin and PH via i.v. and i.h.p.<strong>Table 1</strong>  ACC Activity in Soleus Muscle Exposed to Leptin Delivered via i.v. and i.h.p Injections in vivo   Adapted from Minokoshi Y, Kim YB, Peroni OD, et al. Leptin stimulates fatty-acid oxidation by activating AMP-activated protein kinase. Nature. 2002;415(6869):339-43. What are the most likely role and effect of citrate on ACC activity?</strong> A)A cofactor that activates ACC B)A coenzyme that activates ACC C)An allosteric effector that activates ACC D)An inhibitor that inactivates ACC Figure 1  AMPK activity measured in soleus muscle injected with leptin and PH via i.v. and i.h.p.Table 1  ACC Activity in Soleus Muscle Exposed to Leptin Delivered via i.v. and i.h.p Injections in vivo
<strong>Passage Leptin signaling is vital for maintaining adequate body mass and preventing insulin resistance.  When energy stores are abundant, adipocytes produce leptin to stimulate fatty acid oxidation and glucose utilization.  One result of leptin signaling in skeletal muscle cells is the phosphorylation and activation of adenosine monophosphate-activated protein kinase (AMPK).  AMPK facilitates the breakdown of triglycerides by decreasing the activity of acetyl-coenzyme A carboxylase (ACC); this leads to downregulation of fatty acid synthesis and upregulation of β-oxidation.Fatty acid oxidation has been studied by analyzing the effect of leptin on activation of AMPK and ACC in soleus muscles.  To identify leptin's mode of action, injections were administered to transgenic mice via the intravenous (1 mg/kg i.v.) and intrahypothalamic (1 ng i.h.p [faster drug delivery]) routes.  Phentolamine (PH), an α-adrenergic receptor ligand that binds to the same receptor as leptin, was administered concurrently in some of the mice.  Signaling to ACC from the citric acid cycle was also examined through the addition of citrate.   <strong>Figure 1</strong>  AMPK activity measured in soleus muscle injected with leptin and PH via i.v. and i.h.p.<strong>Table 1</strong>  ACC Activity in Soleus Muscle Exposed to Leptin Delivered via i.v. and i.h.p Injections in vivo   Adapted from Minokoshi Y, Kim YB, Peroni OD, et al. Leptin stimulates fatty-acid oxidation by activating AMP-activated protein kinase. Nature. 2002;415(6869):339-43. What are the most likely role and effect of citrate on ACC activity?</strong> A)A cofactor that activates ACC B)A coenzyme that activates ACC C)An allosteric effector that activates ACC D)An inhibitor that inactivates ACC Adapted from Minokoshi Y, Kim YB, Peroni OD, et al. Leptin stimulates fatty-acid oxidation by activating AMP-activated protein kinase. Nature. 2002;415(6869):339-43.
What are the most likely role and effect of citrate on ACC activity?

A)A cofactor that activates ACC
B)A coenzyme that activates ACC
C)An allosteric effector that activates ACC
D)An inhibitor that inactivates ACC
Unlock Deck
Unlock for access to all 307 flashcards in this deck.
Unlock Deck
k this deck
13
Passage
Tumor hypoxia is a marker of resistance to chemotherapy and radiation.  The low oxygen saturation in solid tumors activates hypoxia-inducible factors (HIFs), which stimulate the expression of genes required for angiogenesis, erythropoiesis, and glucose utilization.  Under normal conditions, HIF-DNA binding is interrupted by HIF-prolyl hydroxylases (HIF-PHDs), enzymes that hydroxylate aliphatic residues such as leucine or proline on HIFs.  These hydroxylated residues serve as markers for the ubiquitin-proteasome system.  Researchers have proposed that changes in oxygen-dependent pathways such as the citric acid cycle can regulate HIF-PHD activity.Experiment 1A kinematic study was conducted to test the effect of citric acid cycle intermediates on HIF-PHDs.  Fumarate and succinate were examined with purified HIF-PHD against increasing concentrations of 2-oxoglutarate (2-OG), an HIF analog.
<strong>Passage Tumor hypoxia is a marker of resistance to chemotherapy and radiation.  The low oxygen saturation in solid tumors activates hypoxia-inducible factors (HIFs), which stimulate the expression of genes required for angiogenesis, erythropoiesis, and glucose utilization.  Under normal conditions, HIF-DNA binding is interrupted by HIF-prolyl hydroxylases (HIF-PHDs), enzymes that hydroxylate aliphatic residues such as leucine or proline on HIFs.  These hydroxylated residues serve as markers for the ubiquitin-proteasome system.  Researchers have proposed that changes in oxygen-dependent pathways such as the citric acid cycle can regulate HIF-PHD activity.Experiment 1A kinematic study was conducted to test the effect of citric acid cycle intermediates on HIF-PHDs.  Fumarate and succinate were examined with purified HIF-PHD against increasing concentrations of 2-oxoglutarate (2-OG), an HIF analog.   <strong>Figure 1</strong>  Activity of HIF-PHD exposed to succinate and fumarate in vitro based on 2-OG catalysisExperiment 2Researchers measured HIF-1a, a HIF subunit, using western blot analysis in wild-type (FH<sup>+</sup>) and fumarate-deficient (FH<sup>−</sup>) cells that were treated with fumarate under normoxic and hypoxic conditions (Figure 2).   <strong>Figure 2</strong>  HIF-1a in FH<sup>+</sup> and FH<sup>−</sup> cells grown in vitro under normoxic (N) and hypoxic (H) conditions Adapted from Koivunen P, Hirsilä M, Remes AM, Hassinen IE, Kivirikko KI, Myllyharju J. Inhibition of hypoxia-inducible factor (HIF) hydroxylases by citric acid cycle intermediates: possible links between cell metabolism and stabilization of HIF. J Biol Chem. 2007;282(7):4524-32. The peptide substrate (PS) binds HIF-PHDs outside of the active site.  PS binds to both HIF-PHD and HIF-PHD-2-OG complexes with equal affinity.  According to the passage, which graph would represent the effect of PS on HIF-PHD activity?</strong> A)   B)   C)   D)   Figure 1  Activity of HIF-PHD exposed to succinate and fumarate in vitro based on 2-OG catalysisExperiment 2Researchers measured HIF-1a, a HIF subunit, using western blot analysis in wild-type (FH+) and fumarate-deficient (FH) cells that were treated with fumarate under normoxic and hypoxic conditions (Figure 2).
<strong>Passage Tumor hypoxia is a marker of resistance to chemotherapy and radiation.  The low oxygen saturation in solid tumors activates hypoxia-inducible factors (HIFs), which stimulate the expression of genes required for angiogenesis, erythropoiesis, and glucose utilization.  Under normal conditions, HIF-DNA binding is interrupted by HIF-prolyl hydroxylases (HIF-PHDs), enzymes that hydroxylate aliphatic residues such as leucine or proline on HIFs.  These hydroxylated residues serve as markers for the ubiquitin-proteasome system.  Researchers have proposed that changes in oxygen-dependent pathways such as the citric acid cycle can regulate HIF-PHD activity.Experiment 1A kinematic study was conducted to test the effect of citric acid cycle intermediates on HIF-PHDs.  Fumarate and succinate were examined with purified HIF-PHD against increasing concentrations of 2-oxoglutarate (2-OG), an HIF analog.   <strong>Figure 1</strong>  Activity of HIF-PHD exposed to succinate and fumarate in vitro based on 2-OG catalysisExperiment 2Researchers measured HIF-1a, a HIF subunit, using western blot analysis in wild-type (FH<sup>+</sup>) and fumarate-deficient (FH<sup>−</sup>) cells that were treated with fumarate under normoxic and hypoxic conditions (Figure 2).   <strong>Figure 2</strong>  HIF-1a in FH<sup>+</sup> and FH<sup>−</sup> cells grown in vitro under normoxic (N) and hypoxic (H) conditions Adapted from Koivunen P, Hirsilä M, Remes AM, Hassinen IE, Kivirikko KI, Myllyharju J. Inhibition of hypoxia-inducible factor (HIF) hydroxylases by citric acid cycle intermediates: possible links between cell metabolism and stabilization of HIF. J Biol Chem. 2007;282(7):4524-32. The peptide substrate (PS) binds HIF-PHDs outside of the active site.  PS binds to both HIF-PHD and HIF-PHD-2-OG complexes with equal affinity.  According to the passage, which graph would represent the effect of PS on HIF-PHD activity?</strong> A)   B)   C)   D)   Figure 2  HIF-1a in FH+ and FH cells grown in vitro under normoxic (N) and hypoxic (H) conditions
Adapted from Koivunen P, Hirsilä M, Remes AM, Hassinen IE, Kivirikko KI, Myllyharju J. Inhibition of hypoxia-inducible factor (HIF) hydroxylases by citric acid cycle intermediates: possible links between cell metabolism and stabilization of HIF. J Biol Chem. 2007;282(7):4524-32.
The peptide substrate (PS) binds HIF-PHDs outside of the active site.  PS binds to both HIF-PHD and HIF-PHD-2-OG complexes with equal affinity.  According to the passage, which graph would represent the effect of PS on HIF-PHD activity?

A) <strong>Passage Tumor hypoxia is a marker of resistance to chemotherapy and radiation.  The low oxygen saturation in solid tumors activates hypoxia-inducible factors (HIFs), which stimulate the expression of genes required for angiogenesis, erythropoiesis, and glucose utilization.  Under normal conditions, HIF-DNA binding is interrupted by HIF-prolyl hydroxylases (HIF-PHDs), enzymes that hydroxylate aliphatic residues such as leucine or proline on HIFs.  These hydroxylated residues serve as markers for the ubiquitin-proteasome system.  Researchers have proposed that changes in oxygen-dependent pathways such as the citric acid cycle can regulate HIF-PHD activity.Experiment 1A kinematic study was conducted to test the effect of citric acid cycle intermediates on HIF-PHDs.  Fumarate and succinate were examined with purified HIF-PHD against increasing concentrations of 2-oxoglutarate (2-OG), an HIF analog.   <strong>Figure 1</strong>  Activity of HIF-PHD exposed to succinate and fumarate in vitro based on 2-OG catalysisExperiment 2Researchers measured HIF-1a, a HIF subunit, using western blot analysis in wild-type (FH<sup>+</sup>) and fumarate-deficient (FH<sup>−</sup>) cells that were treated with fumarate under normoxic and hypoxic conditions (Figure 2).   <strong>Figure 2</strong>  HIF-1a in FH<sup>+</sup> and FH<sup>−</sup> cells grown in vitro under normoxic (N) and hypoxic (H) conditions Adapted from Koivunen P, Hirsilä M, Remes AM, Hassinen IE, Kivirikko KI, Myllyharju J. Inhibition of hypoxia-inducible factor (HIF) hydroxylases by citric acid cycle intermediates: possible links between cell metabolism and stabilization of HIF. J Biol Chem. 2007;282(7):4524-32. The peptide substrate (PS) binds HIF-PHDs outside of the active site.  PS binds to both HIF-PHD and HIF-PHD-2-OG complexes with equal affinity.  According to the passage, which graph would represent the effect of PS on HIF-PHD activity?</strong> A)   B)   C)   D)
B) <strong>Passage Tumor hypoxia is a marker of resistance to chemotherapy and radiation.  The low oxygen saturation in solid tumors activates hypoxia-inducible factors (HIFs), which stimulate the expression of genes required for angiogenesis, erythropoiesis, and glucose utilization.  Under normal conditions, HIF-DNA binding is interrupted by HIF-prolyl hydroxylases (HIF-PHDs), enzymes that hydroxylate aliphatic residues such as leucine or proline on HIFs.  These hydroxylated residues serve as markers for the ubiquitin-proteasome system.  Researchers have proposed that changes in oxygen-dependent pathways such as the citric acid cycle can regulate HIF-PHD activity.Experiment 1A kinematic study was conducted to test the effect of citric acid cycle intermediates on HIF-PHDs.  Fumarate and succinate were examined with purified HIF-PHD against increasing concentrations of 2-oxoglutarate (2-OG), an HIF analog.   <strong>Figure 1</strong>  Activity of HIF-PHD exposed to succinate and fumarate in vitro based on 2-OG catalysisExperiment 2Researchers measured HIF-1a, a HIF subunit, using western blot analysis in wild-type (FH<sup>+</sup>) and fumarate-deficient (FH<sup>−</sup>) cells that were treated with fumarate under normoxic and hypoxic conditions (Figure 2).   <strong>Figure 2</strong>  HIF-1a in FH<sup>+</sup> and FH<sup>−</sup> cells grown in vitro under normoxic (N) and hypoxic (H) conditions Adapted from Koivunen P, Hirsilä M, Remes AM, Hassinen IE, Kivirikko KI, Myllyharju J. Inhibition of hypoxia-inducible factor (HIF) hydroxylases by citric acid cycle intermediates: possible links between cell metabolism and stabilization of HIF. J Biol Chem. 2007;282(7):4524-32. The peptide substrate (PS) binds HIF-PHDs outside of the active site.  PS binds to both HIF-PHD and HIF-PHD-2-OG complexes with equal affinity.  According to the passage, which graph would represent the effect of PS on HIF-PHD activity?</strong> A)   B)   C)   D)
C) <strong>Passage Tumor hypoxia is a marker of resistance to chemotherapy and radiation.  The low oxygen saturation in solid tumors activates hypoxia-inducible factors (HIFs), which stimulate the expression of genes required for angiogenesis, erythropoiesis, and glucose utilization.  Under normal conditions, HIF-DNA binding is interrupted by HIF-prolyl hydroxylases (HIF-PHDs), enzymes that hydroxylate aliphatic residues such as leucine or proline on HIFs.  These hydroxylated residues serve as markers for the ubiquitin-proteasome system.  Researchers have proposed that changes in oxygen-dependent pathways such as the citric acid cycle can regulate HIF-PHD activity.Experiment 1A kinematic study was conducted to test the effect of citric acid cycle intermediates on HIF-PHDs.  Fumarate and succinate were examined with purified HIF-PHD against increasing concentrations of 2-oxoglutarate (2-OG), an HIF analog.   <strong>Figure 1</strong>  Activity of HIF-PHD exposed to succinate and fumarate in vitro based on 2-OG catalysisExperiment 2Researchers measured HIF-1a, a HIF subunit, using western blot analysis in wild-type (FH<sup>+</sup>) and fumarate-deficient (FH<sup>−</sup>) cells that were treated with fumarate under normoxic and hypoxic conditions (Figure 2).   <strong>Figure 2</strong>  HIF-1a in FH<sup>+</sup> and FH<sup>−</sup> cells grown in vitro under normoxic (N) and hypoxic (H) conditions Adapted from Koivunen P, Hirsilä M, Remes AM, Hassinen IE, Kivirikko KI, Myllyharju J. Inhibition of hypoxia-inducible factor (HIF) hydroxylases by citric acid cycle intermediates: possible links between cell metabolism and stabilization of HIF. J Biol Chem. 2007;282(7):4524-32. The peptide substrate (PS) binds HIF-PHDs outside of the active site.  PS binds to both HIF-PHD and HIF-PHD-2-OG complexes with equal affinity.  According to the passage, which graph would represent the effect of PS on HIF-PHD activity?</strong> A)   B)   C)   D)
D) <strong>Passage Tumor hypoxia is a marker of resistance to chemotherapy and radiation.  The low oxygen saturation in solid tumors activates hypoxia-inducible factors (HIFs), which stimulate the expression of genes required for angiogenesis, erythropoiesis, and glucose utilization.  Under normal conditions, HIF-DNA binding is interrupted by HIF-prolyl hydroxylases (HIF-PHDs), enzymes that hydroxylate aliphatic residues such as leucine or proline on HIFs.  These hydroxylated residues serve as markers for the ubiquitin-proteasome system.  Researchers have proposed that changes in oxygen-dependent pathways such as the citric acid cycle can regulate HIF-PHD activity.Experiment 1A kinematic study was conducted to test the effect of citric acid cycle intermediates on HIF-PHDs.  Fumarate and succinate were examined with purified HIF-PHD against increasing concentrations of 2-oxoglutarate (2-OG), an HIF analog.   <strong>Figure 1</strong>  Activity of HIF-PHD exposed to succinate and fumarate in vitro based on 2-OG catalysisExperiment 2Researchers measured HIF-1a, a HIF subunit, using western blot analysis in wild-type (FH<sup>+</sup>) and fumarate-deficient (FH<sup>−</sup>) cells that were treated with fumarate under normoxic and hypoxic conditions (Figure 2).   <strong>Figure 2</strong>  HIF-1a in FH<sup>+</sup> and FH<sup>−</sup> cells grown in vitro under normoxic (N) and hypoxic (H) conditions Adapted from Koivunen P, Hirsilä M, Remes AM, Hassinen IE, Kivirikko KI, Myllyharju J. Inhibition of hypoxia-inducible factor (HIF) hydroxylases by citric acid cycle intermediates: possible links between cell metabolism and stabilization of HIF. J Biol Chem. 2007;282(7):4524-32. The peptide substrate (PS) binds HIF-PHDs outside of the active site.  PS binds to both HIF-PHD and HIF-PHD-2-OG complexes with equal affinity.  According to the passage, which graph would represent the effect of PS on HIF-PHD activity?</strong> A)   B)   C)   D)
Unlock Deck
Unlock for access to all 307 flashcards in this deck.
Unlock Deck
k this deck
14
Passage
The innate immune system relies heavily on the phagocytic action of neutrophils, mobile white blood cells that engulf and degrade bacteria and viruses as the first line of host defense against invading pathogens.  One mechanism for eliminating viruses engulfed in the phagosome involves the degradation of viral proteins by neutrophil serine proteases (NSPs).NSPs, which form part of the chymotrypsin family of serine proteases, cleave viral proteins using a catalytic triad relay system.  Originally discovered in granules released by neutrophils, NSP4 is a novel monomeric serine protease that has been studied to elucidate the catalytic mechanism of NSPs.  Prior experimental data suggest that NSP4 alters its tertiary structure upon substrate binding and cleaves viral proteins using the acylation reaction shown in Figure 1.
<strong>Passage The innate immune system relies heavily on the phagocytic action of neutrophils, mobile white blood cells that engulf and degrade bacteria and viruses as the first line of host defense against invading pathogens.  One mechanism for eliminating viruses engulfed in the phagosome involves the degradation of viral proteins by neutrophil serine proteases (NSPs).NSPs, which form part of the chymotrypsin family of serine proteases, cleave viral proteins using a catalytic triad relay system.  Originally discovered in granules released by neutrophils, NSP4 is a novel monomeric serine protease that has been studied to elucidate the catalytic mechanism of NSPs.  Prior experimental data suggest that NSP4 alters its tertiary structure upon substrate binding and cleaves viral proteins using the acylation reaction shown in Figure 1.   <strong>Figure 1</strong>  Degradation of viral proteins by acylation of NSP4Computational methods were used to identify the energetic parameters of reactions between NSP4 and synthetic viral proteins.  To ensure that simulated reactions resembled physiological conditions, algorithms were adjusted to account for the enzyme being in an aqueous environment.  The rate-determining step in the acylation reaction was determined by calculating the changes in free energy in both the enzyme and substrate (Figure 2).   <strong>Figure 2</strong>  Free energy profiles of synthetic viral protein cleavageKnowledge of amino acid frequency distribution at an enzymatic active site may facilitate the design of novel active sites and enzyme-specific inhibitors.  Researchers analyzed the composition of amino acids that form the NSP4 active site during protein folding to study the characteristics of residues involved in active site formation (Figure 3).   <strong>Figure 3</strong>  Frequency distribution of amino acid residues at the NSP4 active site Adapted from Stapels DA, Geisbrecht BV, Rooijakkers SH. Neutrophil serine proteases in antibacterial defense. Curr Opin Microbiol. 2015;23:42-8. What is the activation energy for the uncatalyzed reaction in Figure 2?</strong> A)12 kcal/mol B)20 kcal/mol C)24 kcal/mol D)28 kcal/mol Figure 1  Degradation of viral proteins by acylation of NSP4Computational methods were used to identify the energetic parameters of reactions between NSP4 and synthetic viral proteins.  To ensure that simulated reactions resembled physiological conditions, algorithms were adjusted to account for the enzyme being in an aqueous environment.  The rate-determining step in the acylation reaction was determined by calculating the changes in free energy in both the enzyme and substrate (Figure 2).
<strong>Passage The innate immune system relies heavily on the phagocytic action of neutrophils, mobile white blood cells that engulf and degrade bacteria and viruses as the first line of host defense against invading pathogens.  One mechanism for eliminating viruses engulfed in the phagosome involves the degradation of viral proteins by neutrophil serine proteases (NSPs).NSPs, which form part of the chymotrypsin family of serine proteases, cleave viral proteins using a catalytic triad relay system.  Originally discovered in granules released by neutrophils, NSP4 is a novel monomeric serine protease that has been studied to elucidate the catalytic mechanism of NSPs.  Prior experimental data suggest that NSP4 alters its tertiary structure upon substrate binding and cleaves viral proteins using the acylation reaction shown in Figure 1.   <strong>Figure 1</strong>  Degradation of viral proteins by acylation of NSP4Computational methods were used to identify the energetic parameters of reactions between NSP4 and synthetic viral proteins.  To ensure that simulated reactions resembled physiological conditions, algorithms were adjusted to account for the enzyme being in an aqueous environment.  The rate-determining step in the acylation reaction was determined by calculating the changes in free energy in both the enzyme and substrate (Figure 2).   <strong>Figure 2</strong>  Free energy profiles of synthetic viral protein cleavageKnowledge of amino acid frequency distribution at an enzymatic active site may facilitate the design of novel active sites and enzyme-specific inhibitors.  Researchers analyzed the composition of amino acids that form the NSP4 active site during protein folding to study the characteristics of residues involved in active site formation (Figure 3).   <strong>Figure 3</strong>  Frequency distribution of amino acid residues at the NSP4 active site Adapted from Stapels DA, Geisbrecht BV, Rooijakkers SH. Neutrophil serine proteases in antibacterial defense. Curr Opin Microbiol. 2015;23:42-8. What is the activation energy for the uncatalyzed reaction in Figure 2?</strong> A)12 kcal/mol B)20 kcal/mol C)24 kcal/mol D)28 kcal/mol Figure 2  Free energy profiles of synthetic viral protein cleavageKnowledge of amino acid frequency distribution at an enzymatic active site may facilitate the design of novel active sites and enzyme-specific inhibitors.  Researchers analyzed the composition of amino acids that form the NSP4 active site during protein folding to study the characteristics of residues involved in active site formation (Figure 3).
<strong>Passage The innate immune system relies heavily on the phagocytic action of neutrophils, mobile white blood cells that engulf and degrade bacteria and viruses as the first line of host defense against invading pathogens.  One mechanism for eliminating viruses engulfed in the phagosome involves the degradation of viral proteins by neutrophil serine proteases (NSPs).NSPs, which form part of the chymotrypsin family of serine proteases, cleave viral proteins using a catalytic triad relay system.  Originally discovered in granules released by neutrophils, NSP4 is a novel monomeric serine protease that has been studied to elucidate the catalytic mechanism of NSPs.  Prior experimental data suggest that NSP4 alters its tertiary structure upon substrate binding and cleaves viral proteins using the acylation reaction shown in Figure 1.   <strong>Figure 1</strong>  Degradation of viral proteins by acylation of NSP4Computational methods were used to identify the energetic parameters of reactions between NSP4 and synthetic viral proteins.  To ensure that simulated reactions resembled physiological conditions, algorithms were adjusted to account for the enzyme being in an aqueous environment.  The rate-determining step in the acylation reaction was determined by calculating the changes in free energy in both the enzyme and substrate (Figure 2).   <strong>Figure 2</strong>  Free energy profiles of synthetic viral protein cleavageKnowledge of amino acid frequency distribution at an enzymatic active site may facilitate the design of novel active sites and enzyme-specific inhibitors.  Researchers analyzed the composition of amino acids that form the NSP4 active site during protein folding to study the characteristics of residues involved in active site formation (Figure 3).   <strong>Figure 3</strong>  Frequency distribution of amino acid residues at the NSP4 active site Adapted from Stapels DA, Geisbrecht BV, Rooijakkers SH. Neutrophil serine proteases in antibacterial defense. Curr Opin Microbiol. 2015;23:42-8. What is the activation energy for the uncatalyzed reaction in Figure 2?</strong> A)12 kcal/mol B)20 kcal/mol C)24 kcal/mol D)28 kcal/mol Figure 3  Frequency distribution of amino acid residues at the NSP4 active site
Adapted from Stapels DA, Geisbrecht BV, Rooijakkers SH. Neutrophil serine proteases in antibacterial defense. Curr Opin Microbiol. 2015;23:42-8.
What is the activation energy for the uncatalyzed reaction in Figure 2?

A)12 kcal/mol
B)20 kcal/mol
C)24 kcal/mol
D)28 kcal/mol
Unlock Deck
Unlock for access to all 307 flashcards in this deck.
Unlock Deck
k this deck
15
Passage
Tumor hypoxia is a marker of resistance to chemotherapy and radiation.  The low oxygen saturation in solid tumors activates hypoxia-inducible factors (HIFs), which stimulate the expression of genes required for angiogenesis, erythropoiesis, and glucose utilization.  Under normal conditions, HIF-DNA binding is interrupted by HIF-prolyl hydroxylases (HIF-PHDs), enzymes that hydroxylate aliphatic residues such as leucine or proline on HIFs.  These hydroxylated residues serve as markers for the ubiquitin-proteasome system.  Researchers have proposed that changes in oxygen-dependent pathways such as the citric acid cycle can regulate HIF-PHD activity.Experiment 1A kinematic study was conducted to test the effect of citric acid cycle intermediates on HIF-PHDs.  Fumarate and succinate were examined with purified HIF-PHD against increasing concentrations of 2-oxoglutarate (2-OG), an HIF analog.
<strong>Passage Tumor hypoxia is a marker of resistance to chemotherapy and radiation.  The low oxygen saturation in solid tumors activates hypoxia-inducible factors (HIFs), which stimulate the expression of genes required for angiogenesis, erythropoiesis, and glucose utilization.  Under normal conditions, HIF-DNA binding is interrupted by HIF-prolyl hydroxylases (HIF-PHDs), enzymes that hydroxylate aliphatic residues such as leucine or proline on HIFs.  These hydroxylated residues serve as markers for the ubiquitin-proteasome system.  Researchers have proposed that changes in oxygen-dependent pathways such as the citric acid cycle can regulate HIF-PHD activity.Experiment 1A kinematic study was conducted to test the effect of citric acid cycle intermediates on HIF-PHDs.  Fumarate and succinate were examined with purified HIF-PHD against increasing concentrations of 2-oxoglutarate (2-OG), an HIF analog.   <strong>Figure 1</strong>  Activity of HIF-PHD exposed to succinate and fumarate in vitro based on 2-OG catalysisExperiment 2Researchers measured HIF-1a, a HIF subunit, using western blot analysis in wild-type (FH<sup>+</sup>) and fumarate-deficient (FH<sup>−</sup>) cells that were treated with fumarate under normoxic and hypoxic conditions (Figure 2).   <strong>Figure 2</strong>  HIF-1a in FH<sup>+</sup> and FH<sup>−</sup> cells grown in vitro under normoxic (N) and hypoxic (H) conditions Adapted from Koivunen P, Hirsilä M, Remes AM, Hassinen IE, Kivirikko KI, Myllyharju J. Inhibition of hypoxia-inducible factor (HIF) hydroxylases by citric acid cycle intermediates: possible links between cell metabolism and stabilization of HIF. J Biol Chem. 2007;282(7):4524-32. Why did researchers test for the α-tubulin protein along with HIF-1α?</strong> A)α-Tubulin expression is also generally affected by an increase in fumarate. B)α-Tubulin serves as a loading control because it is expressed ubiquitously. C)α-Tubulin is a protein that serves as an experimental negative control. D)α-Tubulin serves as a positive control because it is always expressed in FH<sup>−</sup> cells. Figure 1  Activity of HIF-PHD exposed to succinate and fumarate in vitro based on 2-OG catalysisExperiment 2Researchers measured HIF-1a, a HIF subunit, using western blot analysis in wild-type (FH+) and fumarate-deficient (FH) cells that were treated with fumarate under normoxic and hypoxic conditions (Figure 2).
<strong>Passage Tumor hypoxia is a marker of resistance to chemotherapy and radiation.  The low oxygen saturation in solid tumors activates hypoxia-inducible factors (HIFs), which stimulate the expression of genes required for angiogenesis, erythropoiesis, and glucose utilization.  Under normal conditions, HIF-DNA binding is interrupted by HIF-prolyl hydroxylases (HIF-PHDs), enzymes that hydroxylate aliphatic residues such as leucine or proline on HIFs.  These hydroxylated residues serve as markers for the ubiquitin-proteasome system.  Researchers have proposed that changes in oxygen-dependent pathways such as the citric acid cycle can regulate HIF-PHD activity.Experiment 1A kinematic study was conducted to test the effect of citric acid cycle intermediates on HIF-PHDs.  Fumarate and succinate were examined with purified HIF-PHD against increasing concentrations of 2-oxoglutarate (2-OG), an HIF analog.   <strong>Figure 1</strong>  Activity of HIF-PHD exposed to succinate and fumarate in vitro based on 2-OG catalysisExperiment 2Researchers measured HIF-1a, a HIF subunit, using western blot analysis in wild-type (FH<sup>+</sup>) and fumarate-deficient (FH<sup>−</sup>) cells that were treated with fumarate under normoxic and hypoxic conditions (Figure 2).   <strong>Figure 2</strong>  HIF-1a in FH<sup>+</sup> and FH<sup>−</sup> cells grown in vitro under normoxic (N) and hypoxic (H) conditions Adapted from Koivunen P, Hirsilä M, Remes AM, Hassinen IE, Kivirikko KI, Myllyharju J. Inhibition of hypoxia-inducible factor (HIF) hydroxylases by citric acid cycle intermediates: possible links between cell metabolism and stabilization of HIF. J Biol Chem. 2007;282(7):4524-32. Why did researchers test for the α-tubulin protein along with HIF-1α?</strong> A)α-Tubulin expression is also generally affected by an increase in fumarate. B)α-Tubulin serves as a loading control because it is expressed ubiquitously. C)α-Tubulin is a protein that serves as an experimental negative control. D)α-Tubulin serves as a positive control because it is always expressed in FH<sup>−</sup> cells. Figure 2  HIF-1a in FH+ and FH cells grown in vitro under normoxic (N) and hypoxic (H) conditions
Adapted from Koivunen P, Hirsilä M, Remes AM, Hassinen IE, Kivirikko KI, Myllyharju J. Inhibition of hypoxia-inducible factor (HIF) hydroxylases by citric acid cycle intermediates: possible links between cell metabolism and stabilization of HIF. J Biol Chem. 2007;282(7):4524-32.
Why did researchers test for the α-tubulin protein along with HIF-1α?

A)α-Tubulin expression is also generally affected by an increase in fumarate.
B)α-Tubulin serves as a loading control because it is expressed ubiquitously.
C)α-Tubulin is a protein that serves as an experimental negative control.
D)α-Tubulin serves as a positive control because it is always expressed in FH cells.
Unlock Deck
Unlock for access to all 307 flashcards in this deck.
Unlock Deck
k this deck
16
Passage
The innate immune system relies heavily on the phagocytic action of neutrophils, mobile white blood cells that engulf and degrade bacteria and viruses as the first line of host defense against invading pathogens.  One mechanism for eliminating viruses engulfed in the phagosome involves the degradation of viral proteins by neutrophil serine proteases (NSPs).NSPs, which form part of the chymotrypsin family of serine proteases, cleave viral proteins using a catalytic triad relay system.  Originally discovered in granules released by neutrophils, NSP4 is a novel monomeric serine protease that has been studied to elucidate the catalytic mechanism of NSPs.  Prior experimental data suggest that NSP4 alters its tertiary structure upon substrate binding and cleaves viral proteins using the acylation reaction shown in Figure 1.
<strong>Passage The innate immune system relies heavily on the phagocytic action of neutrophils, mobile white blood cells that engulf and degrade bacteria and viruses as the first line of host defense against invading pathogens.  One mechanism for eliminating viruses engulfed in the phagosome involves the degradation of viral proteins by neutrophil serine proteases (NSPs).NSPs, which form part of the chymotrypsin family of serine proteases, cleave viral proteins using a catalytic triad relay system.  Originally discovered in granules released by neutrophils, NSP4 is a novel monomeric serine protease that has been studied to elucidate the catalytic mechanism of NSPs.  Prior experimental data suggest that NSP4 alters its tertiary structure upon substrate binding and cleaves viral proteins using the acylation reaction shown in Figure 1.   <strong>Figure 1</strong>  Degradation of viral proteins by acylation of NSP4Computational methods were used to identify the energetic parameters of reactions between NSP4 and synthetic viral proteins.  To ensure that simulated reactions resembled physiological conditions, algorithms were adjusted to account for the enzyme being in an aqueous environment.  The rate-determining step in the acylation reaction was determined by calculating the changes in free energy in both the enzyme and substrate (Figure 2).   <strong>Figure 2</strong>  Free energy profiles of synthetic viral protein cleavageKnowledge of amino acid frequency distribution at an enzymatic active site may facilitate the design of novel active sites and enzyme-specific inhibitors.  Researchers analyzed the composition of amino acids that form the NSP4 active site during protein folding to study the characteristics of residues involved in active site formation (Figure 3).   <strong>Figure 3</strong>  Frequency distribution of amino acid residues at the NSP4 active site Adapted from Stapels DA, Geisbrecht BV, Rooijakkers SH. Neutrophil serine proteases in antibacterial defense. Curr Opin Microbiol. 2015;23:42-8. Considering that NSPs are proteases, which of the following statements best describes the reaction catalyzed by NSPs?</strong> A)Water is produced by the reaction. B)Water is consumed by the reaction. C)Water is produced and then consumed by the reaction. D)Water is consumed and then produced by the reaction. Figure 1  Degradation of viral proteins by acylation of NSP4Computational methods were used to identify the energetic parameters of reactions between NSP4 and synthetic viral proteins.  To ensure that simulated reactions resembled physiological conditions, algorithms were adjusted to account for the enzyme being in an aqueous environment.  The rate-determining step in the acylation reaction was determined by calculating the changes in free energy in both the enzyme and substrate (Figure 2).
<strong>Passage The innate immune system relies heavily on the phagocytic action of neutrophils, mobile white blood cells that engulf and degrade bacteria and viruses as the first line of host defense against invading pathogens.  One mechanism for eliminating viruses engulfed in the phagosome involves the degradation of viral proteins by neutrophil serine proteases (NSPs).NSPs, which form part of the chymotrypsin family of serine proteases, cleave viral proteins using a catalytic triad relay system.  Originally discovered in granules released by neutrophils, NSP4 is a novel monomeric serine protease that has been studied to elucidate the catalytic mechanism of NSPs.  Prior experimental data suggest that NSP4 alters its tertiary structure upon substrate binding and cleaves viral proteins using the acylation reaction shown in Figure 1.   <strong>Figure 1</strong>  Degradation of viral proteins by acylation of NSP4Computational methods were used to identify the energetic parameters of reactions between NSP4 and synthetic viral proteins.  To ensure that simulated reactions resembled physiological conditions, algorithms were adjusted to account for the enzyme being in an aqueous environment.  The rate-determining step in the acylation reaction was determined by calculating the changes in free energy in both the enzyme and substrate (Figure 2).   <strong>Figure 2</strong>  Free energy profiles of synthetic viral protein cleavageKnowledge of amino acid frequency distribution at an enzymatic active site may facilitate the design of novel active sites and enzyme-specific inhibitors.  Researchers analyzed the composition of amino acids that form the NSP4 active site during protein folding to study the characteristics of residues involved in active site formation (Figure 3).   <strong>Figure 3</strong>  Frequency distribution of amino acid residues at the NSP4 active site Adapted from Stapels DA, Geisbrecht BV, Rooijakkers SH. Neutrophil serine proteases in antibacterial defense. Curr Opin Microbiol. 2015;23:42-8. Considering that NSPs are proteases, which of the following statements best describes the reaction catalyzed by NSPs?</strong> A)Water is produced by the reaction. B)Water is consumed by the reaction. C)Water is produced and then consumed by the reaction. D)Water is consumed and then produced by the reaction. Figure 2  Free energy profiles of synthetic viral protein cleavageKnowledge of amino acid frequency distribution at an enzymatic active site may facilitate the design of novel active sites and enzyme-specific inhibitors.  Researchers analyzed the composition of amino acids that form the NSP4 active site during protein folding to study the characteristics of residues involved in active site formation (Figure 3).
<strong>Passage The innate immune system relies heavily on the phagocytic action of neutrophils, mobile white blood cells that engulf and degrade bacteria and viruses as the first line of host defense against invading pathogens.  One mechanism for eliminating viruses engulfed in the phagosome involves the degradation of viral proteins by neutrophil serine proteases (NSPs).NSPs, which form part of the chymotrypsin family of serine proteases, cleave viral proteins using a catalytic triad relay system.  Originally discovered in granules released by neutrophils, NSP4 is a novel monomeric serine protease that has been studied to elucidate the catalytic mechanism of NSPs.  Prior experimental data suggest that NSP4 alters its tertiary structure upon substrate binding and cleaves viral proteins using the acylation reaction shown in Figure 1.   <strong>Figure 1</strong>  Degradation of viral proteins by acylation of NSP4Computational methods were used to identify the energetic parameters of reactions between NSP4 and synthetic viral proteins.  To ensure that simulated reactions resembled physiological conditions, algorithms were adjusted to account for the enzyme being in an aqueous environment.  The rate-determining step in the acylation reaction was determined by calculating the changes in free energy in both the enzyme and substrate (Figure 2).   <strong>Figure 2</strong>  Free energy profiles of synthetic viral protein cleavageKnowledge of amino acid frequency distribution at an enzymatic active site may facilitate the design of novel active sites and enzyme-specific inhibitors.  Researchers analyzed the composition of amino acids that form the NSP4 active site during protein folding to study the characteristics of residues involved in active site formation (Figure 3).   <strong>Figure 3</strong>  Frequency distribution of amino acid residues at the NSP4 active site Adapted from Stapels DA, Geisbrecht BV, Rooijakkers SH. Neutrophil serine proteases in antibacterial defense. Curr Opin Microbiol. 2015;23:42-8. Considering that NSPs are proteases, which of the following statements best describes the reaction catalyzed by NSPs?</strong> A)Water is produced by the reaction. B)Water is consumed by the reaction. C)Water is produced and then consumed by the reaction. D)Water is consumed and then produced by the reaction. Figure 3  Frequency distribution of amino acid residues at the NSP4 active site
Adapted from Stapels DA, Geisbrecht BV, Rooijakkers SH. Neutrophil serine proteases in antibacterial defense. Curr Opin Microbiol. 2015;23:42-8.
Considering that NSPs are proteases, which of the following statements best describes the reaction catalyzed by NSPs?

A)Water is produced by the reaction.
B)Water is consumed by the reaction.
C)Water is produced and then consumed by the reaction.
D)Water is consumed and then produced by the reaction.
Unlock Deck
Unlock for access to all 307 flashcards in this deck.
Unlock Deck
k this deck
17
Passage
Presynaptic nerve terminals release neurotransmitters via synaptic vesicle exocytosis.  This action is mediated by the membrane-bound target-SNARE (t-SNARE) proteins syntaxin and SNAP-25, and the vesicle-associated SNARE (v-SNARE) protein synaptobrevin.  Membrane fusion is initiated when the t-SNAREs and v-SNAREs form an α-helix bundle known as the core-trans-complex, achieved by zipping SNARE proteins together to form a more stable cis-complex (Figure 1).
<strong>Passage Presynaptic nerve terminals release neurotransmitters via synaptic vesicle exocytosis.  This action is mediated by the membrane-bound target-SNARE (t-SNARE) proteins syntaxin and SNAP-25, and the vesicle-associated SNARE (v-SNARE) protein synaptobrevin.  Membrane fusion is initiated when the t-SNAREs and v-SNAREs form an α-helix bundle known as the core-trans-complex, achieved by zipping SNARE proteins together to form a more stable cis-complex (Figure 1).   <strong>Figure 1</strong>  Formation of the core-trans-complex and subsequent membrane fusionThe cis-complex contains the zero ionic layer, the main site of interaction between complexed proteins.  Within the zero ionic layer, arginine on synaptobrevin coordinates with carbonyl groups present on the other residues shown in Table 1.  The zero ionic layer is buried within leucine zipper domains, which act as a shield to solvent molecules.<strong>Table 1</strong>  Composition of cis-Complex Zero Ionic Layer   An early step in cis-complex disassembly is destabilization by the ATPase N-ethylmaleimide-sensitive factor (NSF), which initiates unzipping by breaking flanking leucine zipper regions, leading to vesicle reuptake.  Movement of NSF to the cell membrane is mediated by the cytoplasmic protein α-SNAP, which must first bind the N-terminal domain of syntaxin.To determine the effect of vesicle-bound synaptobrevin on the binding of α-SNAP to syntaxin, increasing amounts of recombinant His-tagged α-SNAP were added to a constant amount of syntaxin affixed to glutathione-agarose beads with or without synaptobrevin.  After incubation, bound proteins were recovered and quantitatively analyzed by immunoblotting.  Results are shown in Figure 2.   <strong>Figure 2</strong>  α-SNAP binding to syntaxin in the absence (square) or presence (circle) of synaptobrevin Adapted from Mcmahon HT, Südhof TC. Synaptic core complex of synaptobrevin, syntaxin, and SNAP25 forms high affinity alpha-SNAP binding site. J Biol Chem. 1995;270(5):2213-7. Wild-type syntaxin (Synt-WT) and mutant syntaxins containing a deletion of the N-terminal sequence (SyntΔA) or C-terminal sequence (SyntΔB) were separated and incubated with α-SNAP.  After washing away unbound molecules, which of the following is the most likely result of protein immunoblotting for α-SNAP?</strong> A)   B)   C)   D)   Figure 1  Formation of the core-trans-complex and subsequent membrane fusionThe cis-complex contains the zero ionic layer, the main site of interaction between complexed proteins.  Within the zero ionic layer, arginine on synaptobrevin coordinates with carbonyl groups present on the other residues shown in Table 1.  The zero ionic layer is buried within leucine zipper domains, which act as a shield to solvent molecules.Table 1  Composition of cis-Complex Zero Ionic Layer
<strong>Passage Presynaptic nerve terminals release neurotransmitters via synaptic vesicle exocytosis.  This action is mediated by the membrane-bound target-SNARE (t-SNARE) proteins syntaxin and SNAP-25, and the vesicle-associated SNARE (v-SNARE) protein synaptobrevin.  Membrane fusion is initiated when the t-SNAREs and v-SNAREs form an α-helix bundle known as the core-trans-complex, achieved by zipping SNARE proteins together to form a more stable cis-complex (Figure 1).   <strong>Figure 1</strong>  Formation of the core-trans-complex and subsequent membrane fusionThe cis-complex contains the zero ionic layer, the main site of interaction between complexed proteins.  Within the zero ionic layer, arginine on synaptobrevin coordinates with carbonyl groups present on the other residues shown in Table 1.  The zero ionic layer is buried within leucine zipper domains, which act as a shield to solvent molecules.<strong>Table 1</strong>  Composition of cis-Complex Zero Ionic Layer   An early step in cis-complex disassembly is destabilization by the ATPase N-ethylmaleimide-sensitive factor (NSF), which initiates unzipping by breaking flanking leucine zipper regions, leading to vesicle reuptake.  Movement of NSF to the cell membrane is mediated by the cytoplasmic protein α-SNAP, which must first bind the N-terminal domain of syntaxin.To determine the effect of vesicle-bound synaptobrevin on the binding of α-SNAP to syntaxin, increasing amounts of recombinant His-tagged α-SNAP were added to a constant amount of syntaxin affixed to glutathione-agarose beads with or without synaptobrevin.  After incubation, bound proteins were recovered and quantitatively analyzed by immunoblotting.  Results are shown in Figure 2.   <strong>Figure 2</strong>  α-SNAP binding to syntaxin in the absence (square) or presence (circle) of synaptobrevin Adapted from Mcmahon HT, Südhof TC. Synaptic core complex of synaptobrevin, syntaxin, and SNAP25 forms high affinity alpha-SNAP binding site. J Biol Chem. 1995;270(5):2213-7. Wild-type syntaxin (Synt-WT) and mutant syntaxins containing a deletion of the N-terminal sequence (SyntΔA) or C-terminal sequence (SyntΔB) were separated and incubated with α-SNAP.  After washing away unbound molecules, which of the following is the most likely result of protein immunoblotting for α-SNAP?</strong> A)   B)   C)   D)   An early step in cis-complex disassembly is destabilization by the ATPase N-ethylmaleimide-sensitive factor (NSF), which initiates unzipping by breaking flanking leucine zipper regions, leading to vesicle reuptake.  Movement of NSF to the cell membrane is mediated by the cytoplasmic protein α-SNAP, which must first bind the N-terminal domain of syntaxin.To determine the effect of vesicle-bound synaptobrevin on the binding of α-SNAP to syntaxin, increasing amounts of recombinant His-tagged α-SNAP were added to a constant amount of syntaxin affixed to glutathione-agarose beads with or without synaptobrevin.  After incubation, bound proteins were recovered and quantitatively analyzed by immunoblotting.  Results are shown in Figure 2.
<strong>Passage Presynaptic nerve terminals release neurotransmitters via synaptic vesicle exocytosis.  This action is mediated by the membrane-bound target-SNARE (t-SNARE) proteins syntaxin and SNAP-25, and the vesicle-associated SNARE (v-SNARE) protein synaptobrevin.  Membrane fusion is initiated when the t-SNAREs and v-SNAREs form an α-helix bundle known as the core-trans-complex, achieved by zipping SNARE proteins together to form a more stable cis-complex (Figure 1).   <strong>Figure 1</strong>  Formation of the core-trans-complex and subsequent membrane fusionThe cis-complex contains the zero ionic layer, the main site of interaction between complexed proteins.  Within the zero ionic layer, arginine on synaptobrevin coordinates with carbonyl groups present on the other residues shown in Table 1.  The zero ionic layer is buried within leucine zipper domains, which act as a shield to solvent molecules.<strong>Table 1</strong>  Composition of cis-Complex Zero Ionic Layer   An early step in cis-complex disassembly is destabilization by the ATPase N-ethylmaleimide-sensitive factor (NSF), which initiates unzipping by breaking flanking leucine zipper regions, leading to vesicle reuptake.  Movement of NSF to the cell membrane is mediated by the cytoplasmic protein α-SNAP, which must first bind the N-terminal domain of syntaxin.To determine the effect of vesicle-bound synaptobrevin on the binding of α-SNAP to syntaxin, increasing amounts of recombinant His-tagged α-SNAP were added to a constant amount of syntaxin affixed to glutathione-agarose beads with or without synaptobrevin.  After incubation, bound proteins were recovered and quantitatively analyzed by immunoblotting.  Results are shown in Figure 2.   <strong>Figure 2</strong>  α-SNAP binding to syntaxin in the absence (square) or presence (circle) of synaptobrevin Adapted from Mcmahon HT, Südhof TC. Synaptic core complex of synaptobrevin, syntaxin, and SNAP25 forms high affinity alpha-SNAP binding site. J Biol Chem. 1995;270(5):2213-7. Wild-type syntaxin (Synt-WT) and mutant syntaxins containing a deletion of the N-terminal sequence (SyntΔA) or C-terminal sequence (SyntΔB) were separated and incubated with α-SNAP.  After washing away unbound molecules, which of the following is the most likely result of protein immunoblotting for α-SNAP?</strong> A)   B)   C)   D)   Figure 2  α-SNAP binding to syntaxin in the absence (square) or presence (circle) of synaptobrevin
Adapted from Mcmahon HT, Südhof TC. Synaptic core complex of synaptobrevin, syntaxin, and SNAP25 forms high affinity alpha-SNAP binding site. J Biol Chem. 1995;270(5):2213-7.
Wild-type syntaxin (Synt-WT) and mutant syntaxins containing a deletion of the N-terminal sequence (SyntΔA) or C-terminal sequence (SyntΔB) were separated and incubated with α-SNAP.  After washing away unbound molecules, which of the following is the most likely result of protein immunoblotting for α-SNAP?

A) <strong>Passage Presynaptic nerve terminals release neurotransmitters via synaptic vesicle exocytosis.  This action is mediated by the membrane-bound target-SNARE (t-SNARE) proteins syntaxin and SNAP-25, and the vesicle-associated SNARE (v-SNARE) protein synaptobrevin.  Membrane fusion is initiated when the t-SNAREs and v-SNAREs form an α-helix bundle known as the core-trans-complex, achieved by zipping SNARE proteins together to form a more stable cis-complex (Figure 1).   <strong>Figure 1</strong>  Formation of the core-trans-complex and subsequent membrane fusionThe cis-complex contains the zero ionic layer, the main site of interaction between complexed proteins.  Within the zero ionic layer, arginine on synaptobrevin coordinates with carbonyl groups present on the other residues shown in Table 1.  The zero ionic layer is buried within leucine zipper domains, which act as a shield to solvent molecules.<strong>Table 1</strong>  Composition of cis-Complex Zero Ionic Layer   An early step in cis-complex disassembly is destabilization by the ATPase N-ethylmaleimide-sensitive factor (NSF), which initiates unzipping by breaking flanking leucine zipper regions, leading to vesicle reuptake.  Movement of NSF to the cell membrane is mediated by the cytoplasmic protein α-SNAP, which must first bind the N-terminal domain of syntaxin.To determine the effect of vesicle-bound synaptobrevin on the binding of α-SNAP to syntaxin, increasing amounts of recombinant His-tagged α-SNAP were added to a constant amount of syntaxin affixed to glutathione-agarose beads with or without synaptobrevin.  After incubation, bound proteins were recovered and quantitatively analyzed by immunoblotting.  Results are shown in Figure 2.   <strong>Figure 2</strong>  α-SNAP binding to syntaxin in the absence (square) or presence (circle) of synaptobrevin Adapted from Mcmahon HT, Südhof TC. Synaptic core complex of synaptobrevin, syntaxin, and SNAP25 forms high affinity alpha-SNAP binding site. J Biol Chem. 1995;270(5):2213-7. Wild-type syntaxin (Synt-WT) and mutant syntaxins containing a deletion of the N-terminal sequence (SyntΔA) or C-terminal sequence (SyntΔB) were separated and incubated with α-SNAP.  After washing away unbound molecules, which of the following is the most likely result of protein immunoblotting for α-SNAP?</strong> A)   B)   C)   D)
B) <strong>Passage Presynaptic nerve terminals release neurotransmitters via synaptic vesicle exocytosis.  This action is mediated by the membrane-bound target-SNARE (t-SNARE) proteins syntaxin and SNAP-25, and the vesicle-associated SNARE (v-SNARE) protein synaptobrevin.  Membrane fusion is initiated when the t-SNAREs and v-SNAREs form an α-helix bundle known as the core-trans-complex, achieved by zipping SNARE proteins together to form a more stable cis-complex (Figure 1).   <strong>Figure 1</strong>  Formation of the core-trans-complex and subsequent membrane fusionThe cis-complex contains the zero ionic layer, the main site of interaction between complexed proteins.  Within the zero ionic layer, arginine on synaptobrevin coordinates with carbonyl groups present on the other residues shown in Table 1.  The zero ionic layer is buried within leucine zipper domains, which act as a shield to solvent molecules.<strong>Table 1</strong>  Composition of cis-Complex Zero Ionic Layer   An early step in cis-complex disassembly is destabilization by the ATPase N-ethylmaleimide-sensitive factor (NSF), which initiates unzipping by breaking flanking leucine zipper regions, leading to vesicle reuptake.  Movement of NSF to the cell membrane is mediated by the cytoplasmic protein α-SNAP, which must first bind the N-terminal domain of syntaxin.To determine the effect of vesicle-bound synaptobrevin on the binding of α-SNAP to syntaxin, increasing amounts of recombinant His-tagged α-SNAP were added to a constant amount of syntaxin affixed to glutathione-agarose beads with or without synaptobrevin.  After incubation, bound proteins were recovered and quantitatively analyzed by immunoblotting.  Results are shown in Figure 2.   <strong>Figure 2</strong>  α-SNAP binding to syntaxin in the absence (square) or presence (circle) of synaptobrevin Adapted from Mcmahon HT, Südhof TC. Synaptic core complex of synaptobrevin, syntaxin, and SNAP25 forms high affinity alpha-SNAP binding site. J Biol Chem. 1995;270(5):2213-7. Wild-type syntaxin (Synt-WT) and mutant syntaxins containing a deletion of the N-terminal sequence (SyntΔA) or C-terminal sequence (SyntΔB) were separated and incubated with α-SNAP.  After washing away unbound molecules, which of the following is the most likely result of protein immunoblotting for α-SNAP?</strong> A)   B)   C)   D)
C) <strong>Passage Presynaptic nerve terminals release neurotransmitters via synaptic vesicle exocytosis.  This action is mediated by the membrane-bound target-SNARE (t-SNARE) proteins syntaxin and SNAP-25, and the vesicle-associated SNARE (v-SNARE) protein synaptobrevin.  Membrane fusion is initiated when the t-SNAREs and v-SNAREs form an α-helix bundle known as the core-trans-complex, achieved by zipping SNARE proteins together to form a more stable cis-complex (Figure 1).   <strong>Figure 1</strong>  Formation of the core-trans-complex and subsequent membrane fusionThe cis-complex contains the zero ionic layer, the main site of interaction between complexed proteins.  Within the zero ionic layer, arginine on synaptobrevin coordinates with carbonyl groups present on the other residues shown in Table 1.  The zero ionic layer is buried within leucine zipper domains, which act as a shield to solvent molecules.<strong>Table 1</strong>  Composition of cis-Complex Zero Ionic Layer   An early step in cis-complex disassembly is destabilization by the ATPase N-ethylmaleimide-sensitive factor (NSF), which initiates unzipping by breaking flanking leucine zipper regions, leading to vesicle reuptake.  Movement of NSF to the cell membrane is mediated by the cytoplasmic protein α-SNAP, which must first bind the N-terminal domain of syntaxin.To determine the effect of vesicle-bound synaptobrevin on the binding of α-SNAP to syntaxin, increasing amounts of recombinant His-tagged α-SNAP were added to a constant amount of syntaxin affixed to glutathione-agarose beads with or without synaptobrevin.  After incubation, bound proteins were recovered and quantitatively analyzed by immunoblotting.  Results are shown in Figure 2.   <strong>Figure 2</strong>  α-SNAP binding to syntaxin in the absence (square) or presence (circle) of synaptobrevin Adapted from Mcmahon HT, Südhof TC. Synaptic core complex of synaptobrevin, syntaxin, and SNAP25 forms high affinity alpha-SNAP binding site. J Biol Chem. 1995;270(5):2213-7. Wild-type syntaxin (Synt-WT) and mutant syntaxins containing a deletion of the N-terminal sequence (SyntΔA) or C-terminal sequence (SyntΔB) were separated and incubated with α-SNAP.  After washing away unbound molecules, which of the following is the most likely result of protein immunoblotting for α-SNAP?</strong> A)   B)   C)   D)
D) <strong>Passage Presynaptic nerve terminals release neurotransmitters via synaptic vesicle exocytosis.  This action is mediated by the membrane-bound target-SNARE (t-SNARE) proteins syntaxin and SNAP-25, and the vesicle-associated SNARE (v-SNARE) protein synaptobrevin.  Membrane fusion is initiated when the t-SNAREs and v-SNAREs form an α-helix bundle known as the core-trans-complex, achieved by zipping SNARE proteins together to form a more stable cis-complex (Figure 1).   <strong>Figure 1</strong>  Formation of the core-trans-complex and subsequent membrane fusionThe cis-complex contains the zero ionic layer, the main site of interaction between complexed proteins.  Within the zero ionic layer, arginine on synaptobrevin coordinates with carbonyl groups present on the other residues shown in Table 1.  The zero ionic layer is buried within leucine zipper domains, which act as a shield to solvent molecules.<strong>Table 1</strong>  Composition of cis-Complex Zero Ionic Layer   An early step in cis-complex disassembly is destabilization by the ATPase N-ethylmaleimide-sensitive factor (NSF), which initiates unzipping by breaking flanking leucine zipper regions, leading to vesicle reuptake.  Movement of NSF to the cell membrane is mediated by the cytoplasmic protein α-SNAP, which must first bind the N-terminal domain of syntaxin.To determine the effect of vesicle-bound synaptobrevin on the binding of α-SNAP to syntaxin, increasing amounts of recombinant His-tagged α-SNAP were added to a constant amount of syntaxin affixed to glutathione-agarose beads with or without synaptobrevin.  After incubation, bound proteins were recovered and quantitatively analyzed by immunoblotting.  Results are shown in Figure 2.   <strong>Figure 2</strong>  α-SNAP binding to syntaxin in the absence (square) or presence (circle) of synaptobrevin Adapted from Mcmahon HT, Südhof TC. Synaptic core complex of synaptobrevin, syntaxin, and SNAP25 forms high affinity alpha-SNAP binding site. J Biol Chem. 1995;270(5):2213-7. Wild-type syntaxin (Synt-WT) and mutant syntaxins containing a deletion of the N-terminal sequence (SyntΔA) or C-terminal sequence (SyntΔB) were separated and incubated with α-SNAP.  After washing away unbound molecules, which of the following is the most likely result of protein immunoblotting for α-SNAP?</strong> A)   B)   C)   D)
Unlock Deck
Unlock for access to all 307 flashcards in this deck.
Unlock Deck
k this deck
18
Passage
Presynaptic nerve terminals release neurotransmitters via synaptic vesicle exocytosis.  This action is mediated by the membrane-bound target-SNARE (t-SNARE) proteins syntaxin and SNAP-25, and the vesicle-associated SNARE (v-SNARE) protein synaptobrevin.  Membrane fusion is initiated when the t-SNAREs and v-SNAREs form an α-helix bundle known as the core-trans-complex, achieved by zipping SNARE proteins together to form a more stable cis-complex (Figure 1).
<strong>Passage Presynaptic nerve terminals release neurotransmitters via synaptic vesicle exocytosis.  This action is mediated by the membrane-bound target-SNARE (t-SNARE) proteins syntaxin and SNAP-25, and the vesicle-associated SNARE (v-SNARE) protein synaptobrevin.  Membrane fusion is initiated when the t-SNAREs and v-SNAREs form an α-helix bundle known as the core-trans-complex, achieved by zipping SNARE proteins together to form a more stable cis-complex (Figure 1).   <strong>Figure 1</strong>  Formation of the core-trans-complex and subsequent membrane fusionThe cis-complex contains the zero ionic layer, the main site of interaction between complexed proteins.  Within the zero ionic layer, arginine on synaptobrevin coordinates with carbonyl groups present on the other residues shown in Table 1.  The zero ionic layer is buried within leucine zipper domains, which act as a shield to solvent molecules.<strong>Table 1</strong>  Composition of cis-Complex Zero Ionic Layer   An early step in cis-complex disassembly is destabilization by the ATPase N-ethylmaleimide-sensitive factor (NSF), which initiates unzipping by breaking flanking leucine zipper regions, leading to vesicle reuptake.  Movement of NSF to the cell membrane is mediated by the cytoplasmic protein α-SNAP, which must first bind the N-terminal domain of syntaxin.To determine the effect of vesicle-bound synaptobrevin on the binding of α-SNAP to syntaxin, increasing amounts of recombinant His-tagged α-SNAP were added to a constant amount of syntaxin affixed to glutathione-agarose beads with or without synaptobrevin.  After incubation, bound proteins were recovered and quantitatively analyzed by immunoblotting.  Results are shown in Figure 2.   <strong>Figure 2</strong>  α-SNAP binding to syntaxin in the absence (square) or presence (circle) of synaptobrevin Adapted from Mcmahon HT, Südhof TC. Synaptic core complex of synaptobrevin, syntaxin, and SNAP25 forms high affinity alpha-SNAP binding site. J Biol Chem. 1995;270(5):2213-7. Which of the following amino acid substitutions is most likely to interrupt the interactions of the zero ionic layer?</strong> A)R56K on synaptobrevin B)Q53R on SNAP-25 (Sn1) C)E224D on syntaxin D)Q174N on SNAP-25 (Sn2) Figure 1  Formation of the core-trans-complex and subsequent membrane fusionThe cis-complex contains the zero ionic layer, the main site of interaction between complexed proteins.  Within the zero ionic layer, arginine on synaptobrevin coordinates with carbonyl groups present on the other residues shown in Table 1.  The zero ionic layer is buried within leucine zipper domains, which act as a shield to solvent molecules.Table 1  Composition of cis-Complex Zero Ionic Layer
<strong>Passage Presynaptic nerve terminals release neurotransmitters via synaptic vesicle exocytosis.  This action is mediated by the membrane-bound target-SNARE (t-SNARE) proteins syntaxin and SNAP-25, and the vesicle-associated SNARE (v-SNARE) protein synaptobrevin.  Membrane fusion is initiated when the t-SNAREs and v-SNAREs form an α-helix bundle known as the core-trans-complex, achieved by zipping SNARE proteins together to form a more stable cis-complex (Figure 1).   <strong>Figure 1</strong>  Formation of the core-trans-complex and subsequent membrane fusionThe cis-complex contains the zero ionic layer, the main site of interaction between complexed proteins.  Within the zero ionic layer, arginine on synaptobrevin coordinates with carbonyl groups present on the other residues shown in Table 1.  The zero ionic layer is buried within leucine zipper domains, which act as a shield to solvent molecules.<strong>Table 1</strong>  Composition of cis-Complex Zero Ionic Layer   An early step in cis-complex disassembly is destabilization by the ATPase N-ethylmaleimide-sensitive factor (NSF), which initiates unzipping by breaking flanking leucine zipper regions, leading to vesicle reuptake.  Movement of NSF to the cell membrane is mediated by the cytoplasmic protein α-SNAP, which must first bind the N-terminal domain of syntaxin.To determine the effect of vesicle-bound synaptobrevin on the binding of α-SNAP to syntaxin, increasing amounts of recombinant His-tagged α-SNAP were added to a constant amount of syntaxin affixed to glutathione-agarose beads with or without synaptobrevin.  After incubation, bound proteins were recovered and quantitatively analyzed by immunoblotting.  Results are shown in Figure 2.   <strong>Figure 2</strong>  α-SNAP binding to syntaxin in the absence (square) or presence (circle) of synaptobrevin Adapted from Mcmahon HT, Südhof TC. Synaptic core complex of synaptobrevin, syntaxin, and SNAP25 forms high affinity alpha-SNAP binding site. J Biol Chem. 1995;270(5):2213-7. Which of the following amino acid substitutions is most likely to interrupt the interactions of the zero ionic layer?</strong> A)R56K on synaptobrevin B)Q53R on SNAP-25 (Sn1) C)E224D on syntaxin D)Q174N on SNAP-25 (Sn2) An early step in cis-complex disassembly is destabilization by the ATPase N-ethylmaleimide-sensitive factor (NSF), which initiates unzipping by breaking flanking leucine zipper regions, leading to vesicle reuptake.  Movement of NSF to the cell membrane is mediated by the cytoplasmic protein α-SNAP, which must first bind the N-terminal domain of syntaxin.To determine the effect of vesicle-bound synaptobrevin on the binding of α-SNAP to syntaxin, increasing amounts of recombinant His-tagged α-SNAP were added to a constant amount of syntaxin affixed to glutathione-agarose beads with or without synaptobrevin.  After incubation, bound proteins were recovered and quantitatively analyzed by immunoblotting.  Results are shown in Figure 2.
<strong>Passage Presynaptic nerve terminals release neurotransmitters via synaptic vesicle exocytosis.  This action is mediated by the membrane-bound target-SNARE (t-SNARE) proteins syntaxin and SNAP-25, and the vesicle-associated SNARE (v-SNARE) protein synaptobrevin.  Membrane fusion is initiated when the t-SNAREs and v-SNAREs form an α-helix bundle known as the core-trans-complex, achieved by zipping SNARE proteins together to form a more stable cis-complex (Figure 1).   <strong>Figure 1</strong>  Formation of the core-trans-complex and subsequent membrane fusionThe cis-complex contains the zero ionic layer, the main site of interaction between complexed proteins.  Within the zero ionic layer, arginine on synaptobrevin coordinates with carbonyl groups present on the other residues shown in Table 1.  The zero ionic layer is buried within leucine zipper domains, which act as a shield to solvent molecules.<strong>Table 1</strong>  Composition of cis-Complex Zero Ionic Layer   An early step in cis-complex disassembly is destabilization by the ATPase N-ethylmaleimide-sensitive factor (NSF), which initiates unzipping by breaking flanking leucine zipper regions, leading to vesicle reuptake.  Movement of NSF to the cell membrane is mediated by the cytoplasmic protein α-SNAP, which must first bind the N-terminal domain of syntaxin.To determine the effect of vesicle-bound synaptobrevin on the binding of α-SNAP to syntaxin, increasing amounts of recombinant His-tagged α-SNAP were added to a constant amount of syntaxin affixed to glutathione-agarose beads with or without synaptobrevin.  After incubation, bound proteins were recovered and quantitatively analyzed by immunoblotting.  Results are shown in Figure 2.   <strong>Figure 2</strong>  α-SNAP binding to syntaxin in the absence (square) or presence (circle) of synaptobrevin Adapted from Mcmahon HT, Südhof TC. Synaptic core complex of synaptobrevin, syntaxin, and SNAP25 forms high affinity alpha-SNAP binding site. J Biol Chem. 1995;270(5):2213-7. Which of the following amino acid substitutions is most likely to interrupt the interactions of the zero ionic layer?</strong> A)R56K on synaptobrevin B)Q53R on SNAP-25 (Sn1) C)E224D on syntaxin D)Q174N on SNAP-25 (Sn2) Figure 2  α-SNAP binding to syntaxin in the absence (square) or presence (circle) of synaptobrevin
Adapted from Mcmahon HT, Südhof TC. Synaptic core complex of synaptobrevin, syntaxin, and SNAP25 forms high affinity alpha-SNAP binding site. J Biol Chem. 1995;270(5):2213-7.
Which of the following amino acid substitutions is most likely to interrupt the interactions of the zero ionic layer?

A)R56K on synaptobrevin
B)Q53R on SNAP-25 (Sn1)
C)E224D on syntaxin
D)Q174N on SNAP-25 (Sn2)
Unlock Deck
Unlock for access to all 307 flashcards in this deck.
Unlock Deck
k this deck
19
Passage
The innate immune system relies heavily on the phagocytic action of neutrophils, mobile white blood cells that engulf and degrade bacteria and viruses as the first line of host defense against invading pathogens.  One mechanism for eliminating viruses engulfed in the phagosome involves the degradation of viral proteins by neutrophil serine proteases (NSPs).NSPs, which form part of the chymotrypsin family of serine proteases, cleave viral proteins using a catalytic triad relay system.  Originally discovered in granules released by neutrophils, NSP4 is a novel monomeric serine protease that has been studied to elucidate the catalytic mechanism of NSPs.  Prior experimental data suggest that NSP4 alters its tertiary structure upon substrate binding and cleaves viral proteins using the acylation reaction shown in Figure 1.
<strong>Passage The innate immune system relies heavily on the phagocytic action of neutrophils, mobile white blood cells that engulf and degrade bacteria and viruses as the first line of host defense against invading pathogens.  One mechanism for eliminating viruses engulfed in the phagosome involves the degradation of viral proteins by neutrophil serine proteases (NSPs).NSPs, which form part of the chymotrypsin family of serine proteases, cleave viral proteins using a catalytic triad relay system.  Originally discovered in granules released by neutrophils, NSP4 is a novel monomeric serine protease that has been studied to elucidate the catalytic mechanism of NSPs.  Prior experimental data suggest that NSP4 alters its tertiary structure upon substrate binding and cleaves viral proteins using the acylation reaction shown in Figure 1.   <strong>Figure 1</strong>  Degradation of viral proteins by acylation of NSP4Computational methods were used to identify the energetic parameters of reactions between NSP4 and synthetic viral proteins.  To ensure that simulated reactions resembled physiological conditions, algorithms were adjusted to account for the enzyme being in an aqueous environment.  The rate-determining step in the acylation reaction was determined by calculating the changes in free energy in both the enzyme and substrate (Figure 2).   <strong>Figure 2</strong>  Free energy profiles of synthetic viral protein cleavageKnowledge of amino acid frequency distribution at an enzymatic active site may facilitate the design of novel active sites and enzyme-specific inhibitors.  Researchers analyzed the composition of amino acids that form the NSP4 active site during protein folding to study the characteristics of residues involved in active site formation (Figure 3).   <strong>Figure 3</strong>  Frequency distribution of amino acid residues at the NSP4 active site Adapted from Stapels DA, Geisbrecht BV, Rooijakkers SH. Neutrophil serine proteases in antibacterial defense. Curr Opin Microbiol. 2015;23:42-8. Which of the following is the most accurate statement regarding NSP4 binding of viral proteins?</strong> A)NSP4 undergoes an energy-requiring conformational change upon binding. B)NSP4 quaternary structure must undergo conformational changes upon binding. C)Heat is consumed when NSP4 binds its substrate. D)A NSP4 holoenzyme is formed after the release of products. Figure 1  Degradation of viral proteins by acylation of NSP4Computational methods were used to identify the energetic parameters of reactions between NSP4 and synthetic viral proteins.  To ensure that simulated reactions resembled physiological conditions, algorithms were adjusted to account for the enzyme being in an aqueous environment.  The rate-determining step in the acylation reaction was determined by calculating the changes in free energy in both the enzyme and substrate (Figure 2).
<strong>Passage The innate immune system relies heavily on the phagocytic action of neutrophils, mobile white blood cells that engulf and degrade bacteria and viruses as the first line of host defense against invading pathogens.  One mechanism for eliminating viruses engulfed in the phagosome involves the degradation of viral proteins by neutrophil serine proteases (NSPs).NSPs, which form part of the chymotrypsin family of serine proteases, cleave viral proteins using a catalytic triad relay system.  Originally discovered in granules released by neutrophils, NSP4 is a novel monomeric serine protease that has been studied to elucidate the catalytic mechanism of NSPs.  Prior experimental data suggest that NSP4 alters its tertiary structure upon substrate binding and cleaves viral proteins using the acylation reaction shown in Figure 1.   <strong>Figure 1</strong>  Degradation of viral proteins by acylation of NSP4Computational methods were used to identify the energetic parameters of reactions between NSP4 and synthetic viral proteins.  To ensure that simulated reactions resembled physiological conditions, algorithms were adjusted to account for the enzyme being in an aqueous environment.  The rate-determining step in the acylation reaction was determined by calculating the changes in free energy in both the enzyme and substrate (Figure 2).   <strong>Figure 2</strong>  Free energy profiles of synthetic viral protein cleavageKnowledge of amino acid frequency distribution at an enzymatic active site may facilitate the design of novel active sites and enzyme-specific inhibitors.  Researchers analyzed the composition of amino acids that form the NSP4 active site during protein folding to study the characteristics of residues involved in active site formation (Figure 3).   <strong>Figure 3</strong>  Frequency distribution of amino acid residues at the NSP4 active site Adapted from Stapels DA, Geisbrecht BV, Rooijakkers SH. Neutrophil serine proteases in antibacterial defense. Curr Opin Microbiol. 2015;23:42-8. Which of the following is the most accurate statement regarding NSP4 binding of viral proteins?</strong> A)NSP4 undergoes an energy-requiring conformational change upon binding. B)NSP4 quaternary structure must undergo conformational changes upon binding. C)Heat is consumed when NSP4 binds its substrate. D)A NSP4 holoenzyme is formed after the release of products. Figure 2  Free energy profiles of synthetic viral protein cleavageKnowledge of amino acid frequency distribution at an enzymatic active site may facilitate the design of novel active sites and enzyme-specific inhibitors.  Researchers analyzed the composition of amino acids that form the NSP4 active site during protein folding to study the characteristics of residues involved in active site formation (Figure 3).
<strong>Passage The innate immune system relies heavily on the phagocytic action of neutrophils, mobile white blood cells that engulf and degrade bacteria and viruses as the first line of host defense against invading pathogens.  One mechanism for eliminating viruses engulfed in the phagosome involves the degradation of viral proteins by neutrophil serine proteases (NSPs).NSPs, which form part of the chymotrypsin family of serine proteases, cleave viral proteins using a catalytic triad relay system.  Originally discovered in granules released by neutrophils, NSP4 is a novel monomeric serine protease that has been studied to elucidate the catalytic mechanism of NSPs.  Prior experimental data suggest that NSP4 alters its tertiary structure upon substrate binding and cleaves viral proteins using the acylation reaction shown in Figure 1.   <strong>Figure 1</strong>  Degradation of viral proteins by acylation of NSP4Computational methods were used to identify the energetic parameters of reactions between NSP4 and synthetic viral proteins.  To ensure that simulated reactions resembled physiological conditions, algorithms were adjusted to account for the enzyme being in an aqueous environment.  The rate-determining step in the acylation reaction was determined by calculating the changes in free energy in both the enzyme and substrate (Figure 2).   <strong>Figure 2</strong>  Free energy profiles of synthetic viral protein cleavageKnowledge of amino acid frequency distribution at an enzymatic active site may facilitate the design of novel active sites and enzyme-specific inhibitors.  Researchers analyzed the composition of amino acids that form the NSP4 active site during protein folding to study the characteristics of residues involved in active site formation (Figure 3).   <strong>Figure 3</strong>  Frequency distribution of amino acid residues at the NSP4 active site Adapted from Stapels DA, Geisbrecht BV, Rooijakkers SH. Neutrophil serine proteases in antibacterial defense. Curr Opin Microbiol. 2015;23:42-8. Which of the following is the most accurate statement regarding NSP4 binding of viral proteins?</strong> A)NSP4 undergoes an energy-requiring conformational change upon binding. B)NSP4 quaternary structure must undergo conformational changes upon binding. C)Heat is consumed when NSP4 binds its substrate. D)A NSP4 holoenzyme is formed after the release of products. Figure 3  Frequency distribution of amino acid residues at the NSP4 active site
Adapted from Stapels DA, Geisbrecht BV, Rooijakkers SH. Neutrophil serine proteases in antibacterial defense. Curr Opin Microbiol. 2015;23:42-8.
Which of the following is the most accurate statement regarding NSP4 binding of viral proteins?

A)NSP4 undergoes an energy-requiring conformational change upon binding.
B)NSP4 quaternary structure must undergo conformational changes upon binding.
C)Heat is consumed when NSP4 binds its substrate.
D)A NSP4 holoenzyme is formed after the release of products.
Unlock Deck
Unlock for access to all 307 flashcards in this deck.
Unlock Deck
k this deck
20
Passage
Presynaptic nerve terminals release neurotransmitters via synaptic vesicle exocytosis.  This action is mediated by the membrane-bound target-SNARE (t-SNARE) proteins syntaxin and SNAP-25, and the vesicle-associated SNARE (v-SNARE) protein synaptobrevin.  Membrane fusion is initiated when the t-SNAREs and v-SNAREs form an α-helix bundle known as the core-trans-complex, achieved by zipping SNARE proteins together to form a more stable cis-complex (Figure 1).
<strong>Passage Presynaptic nerve terminals release neurotransmitters via synaptic vesicle exocytosis.  This action is mediated by the membrane-bound target-SNARE (t-SNARE) proteins syntaxin and SNAP-25, and the vesicle-associated SNARE (v-SNARE) protein synaptobrevin.  Membrane fusion is initiated when the t-SNAREs and v-SNAREs form an α-helix bundle known as the core-trans-complex, achieved by zipping SNARE proteins together to form a more stable cis-complex (Figure 1).   <strong>Figure 1</strong>  Formation of the core-trans-complex and subsequent membrane fusionThe cis-complex contains the zero ionic layer, the main site of interaction between complexed proteins.  Within the zero ionic layer, arginine on synaptobrevin coordinates with carbonyl groups present on the other residues shown in Table 1.  The zero ionic layer is buried within leucine zipper domains, which act as a shield to solvent molecules.<strong>Table 1</strong>  Composition of cis-Complex Zero Ionic Layer   An early step in cis-complex disassembly is destabilization by the ATPase N-ethylmaleimide-sensitive factor (NSF), which initiates unzipping by breaking flanking leucine zipper regions, leading to vesicle reuptake.  Movement of NSF to the cell membrane is mediated by the cytoplasmic protein α-SNAP, which must first bind the N-terminal domain of syntaxin.To determine the effect of vesicle-bound synaptobrevin on the binding of α-SNAP to syntaxin, increasing amounts of recombinant His-tagged α-SNAP were added to a constant amount of syntaxin affixed to glutathione-agarose beads with or without synaptobrevin.  After incubation, bound proteins were recovered and quantitatively analyzed by immunoblotting.  Results are shown in Figure 2.   <strong>Figure 2</strong>  α-SNAP binding to syntaxin in the absence (square) or presence (circle) of synaptobrevin Adapted from Mcmahon HT, Südhof TC. Synaptic core complex of synaptobrevin, syntaxin, and SNAP25 forms high affinity alpha-SNAP binding site. J Biol Chem. 1995;270(5):2213-7. Which of the following statements regarding the binding of α-SNAP to syntaxin is best supported by the results shown in Figure 2?</strong> A)Binding does not occur in the presence of synaptobrevin. B)Synaptobrevin induces a conformation change in syntaxin that results in lower binding affinity. C)In the absence of synaptobrevin, binding does not saturate under the conditions of the experiment. D)Interaction of synaptobrevin and syntaxin raises the K<sub>d</sub> for the dissociation of syntaxin from α-SNAP. Figure 1  Formation of the core-trans-complex and subsequent membrane fusionThe cis-complex contains the zero ionic layer, the main site of interaction between complexed proteins.  Within the zero ionic layer, arginine on synaptobrevin coordinates with carbonyl groups present on the other residues shown in Table 1.  The zero ionic layer is buried within leucine zipper domains, which act as a shield to solvent molecules.Table 1  Composition of cis-Complex Zero Ionic Layer
<strong>Passage Presynaptic nerve terminals release neurotransmitters via synaptic vesicle exocytosis.  This action is mediated by the membrane-bound target-SNARE (t-SNARE) proteins syntaxin and SNAP-25, and the vesicle-associated SNARE (v-SNARE) protein synaptobrevin.  Membrane fusion is initiated when the t-SNAREs and v-SNAREs form an α-helix bundle known as the core-trans-complex, achieved by zipping SNARE proteins together to form a more stable cis-complex (Figure 1).   <strong>Figure 1</strong>  Formation of the core-trans-complex and subsequent membrane fusionThe cis-complex contains the zero ionic layer, the main site of interaction between complexed proteins.  Within the zero ionic layer, arginine on synaptobrevin coordinates with carbonyl groups present on the other residues shown in Table 1.  The zero ionic layer is buried within leucine zipper domains, which act as a shield to solvent molecules.<strong>Table 1</strong>  Composition of cis-Complex Zero Ionic Layer   An early step in cis-complex disassembly is destabilization by the ATPase N-ethylmaleimide-sensitive factor (NSF), which initiates unzipping by breaking flanking leucine zipper regions, leading to vesicle reuptake.  Movement of NSF to the cell membrane is mediated by the cytoplasmic protein α-SNAP, which must first bind the N-terminal domain of syntaxin.To determine the effect of vesicle-bound synaptobrevin on the binding of α-SNAP to syntaxin, increasing amounts of recombinant His-tagged α-SNAP were added to a constant amount of syntaxin affixed to glutathione-agarose beads with or without synaptobrevin.  After incubation, bound proteins were recovered and quantitatively analyzed by immunoblotting.  Results are shown in Figure 2.   <strong>Figure 2</strong>  α-SNAP binding to syntaxin in the absence (square) or presence (circle) of synaptobrevin Adapted from Mcmahon HT, Südhof TC. Synaptic core complex of synaptobrevin, syntaxin, and SNAP25 forms high affinity alpha-SNAP binding site. J Biol Chem. 1995;270(5):2213-7. Which of the following statements regarding the binding of α-SNAP to syntaxin is best supported by the results shown in Figure 2?</strong> A)Binding does not occur in the presence of synaptobrevin. B)Synaptobrevin induces a conformation change in syntaxin that results in lower binding affinity. C)In the absence of synaptobrevin, binding does not saturate under the conditions of the experiment. D)Interaction of synaptobrevin and syntaxin raises the K<sub>d</sub> for the dissociation of syntaxin from α-SNAP. An early step in cis-complex disassembly is destabilization by the ATPase N-ethylmaleimide-sensitive factor (NSF), which initiates unzipping by breaking flanking leucine zipper regions, leading to vesicle reuptake.  Movement of NSF to the cell membrane is mediated by the cytoplasmic protein α-SNAP, which must first bind the N-terminal domain of syntaxin.To determine the effect of vesicle-bound synaptobrevin on the binding of α-SNAP to syntaxin, increasing amounts of recombinant His-tagged α-SNAP were added to a constant amount of syntaxin affixed to glutathione-agarose beads with or without synaptobrevin.  After incubation, bound proteins were recovered and quantitatively analyzed by immunoblotting.  Results are shown in Figure 2.
<strong>Passage Presynaptic nerve terminals release neurotransmitters via synaptic vesicle exocytosis.  This action is mediated by the membrane-bound target-SNARE (t-SNARE) proteins syntaxin and SNAP-25, and the vesicle-associated SNARE (v-SNARE) protein synaptobrevin.  Membrane fusion is initiated when the t-SNAREs and v-SNAREs form an α-helix bundle known as the core-trans-complex, achieved by zipping SNARE proteins together to form a more stable cis-complex (Figure 1).   <strong>Figure 1</strong>  Formation of the core-trans-complex and subsequent membrane fusionThe cis-complex contains the zero ionic layer, the main site of interaction between complexed proteins.  Within the zero ionic layer, arginine on synaptobrevin coordinates with carbonyl groups present on the other residues shown in Table 1.  The zero ionic layer is buried within leucine zipper domains, which act as a shield to solvent molecules.<strong>Table 1</strong>  Composition of cis-Complex Zero Ionic Layer   An early step in cis-complex disassembly is destabilization by the ATPase N-ethylmaleimide-sensitive factor (NSF), which initiates unzipping by breaking flanking leucine zipper regions, leading to vesicle reuptake.  Movement of NSF to the cell membrane is mediated by the cytoplasmic protein α-SNAP, which must first bind the N-terminal domain of syntaxin.To determine the effect of vesicle-bound synaptobrevin on the binding of α-SNAP to syntaxin, increasing amounts of recombinant His-tagged α-SNAP were added to a constant amount of syntaxin affixed to glutathione-agarose beads with or without synaptobrevin.  After incubation, bound proteins were recovered and quantitatively analyzed by immunoblotting.  Results are shown in Figure 2.   <strong>Figure 2</strong>  α-SNAP binding to syntaxin in the absence (square) or presence (circle) of synaptobrevin Adapted from Mcmahon HT, Südhof TC. Synaptic core complex of synaptobrevin, syntaxin, and SNAP25 forms high affinity alpha-SNAP binding site. J Biol Chem. 1995;270(5):2213-7. Which of the following statements regarding the binding of α-SNAP to syntaxin is best supported by the results shown in Figure 2?</strong> A)Binding does not occur in the presence of synaptobrevin. B)Synaptobrevin induces a conformation change in syntaxin that results in lower binding affinity. C)In the absence of synaptobrevin, binding does not saturate under the conditions of the experiment. D)Interaction of synaptobrevin and syntaxin raises the K<sub>d</sub> for the dissociation of syntaxin from α-SNAP. Figure 2  α-SNAP binding to syntaxin in the absence (square) or presence (circle) of synaptobrevin
Adapted from Mcmahon HT, Südhof TC. Synaptic core complex of synaptobrevin, syntaxin, and SNAP25 forms high affinity alpha-SNAP binding site. J Biol Chem. 1995;270(5):2213-7.
Which of the following statements regarding the binding of α-SNAP to syntaxin is best supported by the results shown in Figure 2?

A)Binding does not occur in the presence of synaptobrevin.
B)Synaptobrevin induces a conformation change in syntaxin that results in lower binding affinity.
C)In the absence of synaptobrevin, binding does not saturate under the conditions of the experiment.
D)Interaction of synaptobrevin and syntaxin raises the Kd for the dissociation of syntaxin from α-SNAP.
Unlock Deck
Unlock for access to all 307 flashcards in this deck.
Unlock Deck
k this deck
21
Passage
The bacterium Clostridium difficile secretes protein toxins TcdA and TcdB, two homologues associated with C. difficile-related colitis.  Tcd proteins enter host intestinal cells via endocytosis induced by interactions between the Tcd C-terminal domain and cell surface receptors.  Endocytosis is followed by translocation of the N-terminal glucosyltransferase domain (GTD) across the endosomal membrane.  The GTD remains anchored to endosomes by the central region of the protein, a transmembrane domain believed to form membrane pores and facilitate translocation.  Inositol hexakisphosphate (IP6) binds Tcd proteins, an interaction that is stabilized by salt bridges in the binding pocket (Figure 1).
<strong>Passage The bacterium Clostridium difficile secretes protein toxins TcdA and TcdB, two homologues associated with C. difficile-related colitis.  Tcd proteins enter host intestinal cells via endocytosis induced by interactions between the Tcd C-terminal domain and cell surface receptors.  Endocytosis is followed by translocation of the N-terminal glucosyltransferase domain (GTD) across the endosomal membrane.  The GTD remains anchored to endosomes by the central region of the protein, a transmembrane domain believed to form membrane pores and facilitate translocation.  Inositol hexakisphosphate (IP6) binds Tcd proteins, an interaction that is stabilized by salt bridges in the binding pocket (Figure 1).   <strong>Figure 1</strong>  Salt bridges formed between IP6 and the amino acids in the binding pocketThis interaction induces a conformational change that causes a molecular flap to move away from the catalytic site.  The catalytic site then mediates intramolecular cleavage in a reaction known as autoprocessing.  This reaction results in the release of GTD into the cytosol, where it becomes active.To better understand the relationship between IP6 binding and catalytic activity, autoprocessing assays were performed.  Researchers mutated histidine to alanine at positions 759 and 757 in the flap regions of TcdA and TcdB, respectively.  They then compared the autoprocessing activities of H759A and H757A mutants to those of wild-type TcdA and TcdB at varying concentrations of IP6 (Figure 2).   <strong>Figure 2</strong>  Percent cleavage of wild-type and mutant Tcd by autoprocessing Adapted from Chumbler NM, Rutherford SA, Zhang Z, et al. Crystal structure of Clostridium difficile toxin A. Nat Microbiol. 2016;1:15002. The first step of the autoprocessing reaction mechanism described in the passage involves modification of a thiol in the active site by an amino acid functioning as a general base.  This action is likely to enhance protease activity by:</strong> A)the deprotonation of cysteine, which results in an anionic sulfur with increased nucleophilicity. B)the protonation of serine, which results in a structure with improved capacity to act as a leaving group. C)the deprotonation of serine, which results in an anionic oxygen with increased nucleophilicity. D)the protonation of cysteine, which results in a structure with improved capacity to act as a leaving group. Figure 1  Salt bridges formed between IP6 and the amino acids in the binding pocketThis interaction induces a conformational change that causes a molecular flap to move away from the catalytic site.  The catalytic site then mediates intramolecular cleavage in a reaction known as autoprocessing.  This reaction results in the release of GTD into the cytosol, where it becomes active.To better understand the relationship between IP6 binding and catalytic activity, autoprocessing assays were performed.  Researchers mutated histidine to alanine at positions 759 and 757 in the flap regions of TcdA and TcdB, respectively.  They then compared the autoprocessing activities of H759A and H757A mutants to those of wild-type TcdA and TcdB at varying concentrations of IP6 (Figure 2).
<strong>Passage The bacterium Clostridium difficile secretes protein toxins TcdA and TcdB, two homologues associated with C. difficile-related colitis.  Tcd proteins enter host intestinal cells via endocytosis induced by interactions between the Tcd C-terminal domain and cell surface receptors.  Endocytosis is followed by translocation of the N-terminal glucosyltransferase domain (GTD) across the endosomal membrane.  The GTD remains anchored to endosomes by the central region of the protein, a transmembrane domain believed to form membrane pores and facilitate translocation.  Inositol hexakisphosphate (IP6) binds Tcd proteins, an interaction that is stabilized by salt bridges in the binding pocket (Figure 1).   <strong>Figure 1</strong>  Salt bridges formed between IP6 and the amino acids in the binding pocketThis interaction induces a conformational change that causes a molecular flap to move away from the catalytic site.  The catalytic site then mediates intramolecular cleavage in a reaction known as autoprocessing.  This reaction results in the release of GTD into the cytosol, where it becomes active.To better understand the relationship between IP6 binding and catalytic activity, autoprocessing assays were performed.  Researchers mutated histidine to alanine at positions 759 and 757 in the flap regions of TcdA and TcdB, respectively.  They then compared the autoprocessing activities of H759A and H757A mutants to those of wild-type TcdA and TcdB at varying concentrations of IP6 (Figure 2).   <strong>Figure 2</strong>  Percent cleavage of wild-type and mutant Tcd by autoprocessing Adapted from Chumbler NM, Rutherford SA, Zhang Z, et al. Crystal structure of Clostridium difficile toxin A. Nat Microbiol. 2016;1:15002. The first step of the autoprocessing reaction mechanism described in the passage involves modification of a thiol in the active site by an amino acid functioning as a general base.  This action is likely to enhance protease activity by:</strong> A)the deprotonation of cysteine, which results in an anionic sulfur with increased nucleophilicity. B)the protonation of serine, which results in a structure with improved capacity to act as a leaving group. C)the deprotonation of serine, which results in an anionic oxygen with increased nucleophilicity. D)the protonation of cysteine, which results in a structure with improved capacity to act as a leaving group. Figure 2  Percent cleavage of wild-type and mutant Tcd by autoprocessing
Adapted from Chumbler NM, Rutherford SA, Zhang Z, et al. Crystal structure of Clostridium difficile toxin A. Nat Microbiol. 2016;1:15002.
The first step of the autoprocessing reaction mechanism described in the passage involves modification of a thiol in the active site by an amino acid functioning as a general base.  This action is likely to enhance protease activity by:

A)the deprotonation of cysteine, which results in an anionic sulfur with increased nucleophilicity.
B)the protonation of serine, which results in a structure with improved capacity to act as a leaving group.
C)the deprotonation of serine, which results in an anionic oxygen with increased nucleophilicity.
D)the protonation of cysteine, which results in a structure with improved capacity to act as a leaving group.
Unlock Deck
Unlock for access to all 307 flashcards in this deck.
Unlock Deck
k this deck
22
Passage
Spinocerebellar ataxia 3 (SCA3) is a neurodegenerative disease that manifests as a progressive decrease in coordination of limbs and frequently results in impaired speech and eye coordination.  It is associated with extension of the polyglutamine (polyQ) region of the ataxin-3 protein.  The polyQ region is encoded by a series of consecutive CAG codons known as poly-CAG repeats.  These regions vary in length from one person to another, ranging from as few as 10 to as many as 80 repeats.  SCA3 has been reported in patients with polyQ regions exceeding ~55 repeats, and increased polyQ length correlates with earlier onset of the disease and greater clinical severity.Circular dichroism (CD) is a method of assessing protein secondary structure.  It measures a molecule's ability to absorb left- and right-handed circularly polarized light of varying wavelengths.  The absorption difference is known as "ellipticity," denoted by Δε.  Alpha-helices have a maximum Δε at 190 nm, and beta-sheets have a maximum Δε at 200 nm.CD results show that as the length of the ataxin-3 polyQ region increases, alpha-helical nature is lost and the protein aggregates, ultimately precipitating out of solution and depositing in brain and other tissues.  Furthermore, as proteins aggregate, they form beta-sheets.  These beta-sheets are in the parallel orientation, and each sheet can interact with sheets in other proteins to form long, insoluble structures known as amyloid fibers (Figure 1).
<strong>Passage Spinocerebellar ataxia 3 (SCA3) is a neurodegenerative disease that manifests as a progressive decrease in coordination of limbs and frequently results in impaired speech and eye coordination.  It is associated with extension of the polyglutamine (polyQ) region of the ataxin-3 protein.  The polyQ region is encoded by a series of consecutive CAG codons known as poly-CAG repeats.  These regions vary in length from one person to another, ranging from as few as 10 to as many as 80 repeats.  SCA3 has been reported in patients with polyQ regions exceeding ~55 repeats, and increased polyQ length correlates with earlier onset of the disease and greater clinical severity.Circular dichroism (CD) is a method of assessing protein secondary structure.  It measures a molecule's ability to absorb left- and right-handed circularly polarized light of varying wavelengths.  The absorption difference is known as ellipticity, denoted by Δε.  Alpha-helices have a maximum Δε at 190 nm, and beta-sheets have a maximum Δε at 200 nm.CD results show that as the length of the ataxin-3 polyQ region increases, alpha-helical nature is lost and the protein aggregates, ultimately precipitating out of solution and depositing in brain and other tissues.  Furthermore, as proteins aggregate, they form beta-sheets.  These beta-sheets are in the parallel orientation, and each sheet can interact with sheets in other proteins to form long, insoluble structures known as amyloid fibers (Figure 1).   <strong>Figure 1</strong>  Depiction of the ataxin-3 polyQ region shifting from alpha-helical (cylinders) to beta-sheet (arrows) structure and aggregatingGlutamine can be encoded by both CAG and CAA codons.  Researchers investigated survival rates in fruit flies expressing ataxin-3 with polyQ regions of equal length encoded by either CAG-CAG or CAA-CAG repeats (Table 1).  The protein products had identical amino acid sequences.<strong>Table 1</strong>  Fruit Fly Survival Rates Relative to Ataxin-3 Expression   Adapted from Bevivino AE, Loll PJ. An expanded glutamine repeat destabilizes native ataxin-3 structure and mediates formation of parallel beta -fibrils. Proc Natl Acad Sci USA. 2001;98(21):11955-60. Which of the following could increase the stability of the beta-conformation of long polyglutamine regions?</strong> A)Stacking interactions between glutamine side chains B)Frequent beta-turns induced by glutamine flexibility C)Rigidity of glutamine residues that induces tight turns D)Hydrogen bonding between glutamine side chains Figure 1  Depiction of the ataxin-3 polyQ region shifting from alpha-helical (cylinders) to beta-sheet (arrows) structure and aggregatingGlutamine can be encoded by both CAG and CAA codons.  Researchers investigated survival rates in fruit flies expressing ataxin-3 with polyQ regions of equal length encoded by either CAG-CAG or CAA-CAG repeats (Table 1).  The protein products had identical amino acid sequences.Table 1  Fruit Fly Survival Rates Relative to Ataxin-3 Expression
<strong>Passage Spinocerebellar ataxia 3 (SCA3) is a neurodegenerative disease that manifests as a progressive decrease in coordination of limbs and frequently results in impaired speech and eye coordination.  It is associated with extension of the polyglutamine (polyQ) region of the ataxin-3 protein.  The polyQ region is encoded by a series of consecutive CAG codons known as poly-CAG repeats.  These regions vary in length from one person to another, ranging from as few as 10 to as many as 80 repeats.  SCA3 has been reported in patients with polyQ regions exceeding ~55 repeats, and increased polyQ length correlates with earlier onset of the disease and greater clinical severity.Circular dichroism (CD) is a method of assessing protein secondary structure.  It measures a molecule's ability to absorb left- and right-handed circularly polarized light of varying wavelengths.  The absorption difference is known as ellipticity, denoted by Δε.  Alpha-helices have a maximum Δε at 190 nm, and beta-sheets have a maximum Δε at 200 nm.CD results show that as the length of the ataxin-3 polyQ region increases, alpha-helical nature is lost and the protein aggregates, ultimately precipitating out of solution and depositing in brain and other tissues.  Furthermore, as proteins aggregate, they form beta-sheets.  These beta-sheets are in the parallel orientation, and each sheet can interact with sheets in other proteins to form long, insoluble structures known as amyloid fibers (Figure 1).   <strong>Figure 1</strong>  Depiction of the ataxin-3 polyQ region shifting from alpha-helical (cylinders) to beta-sheet (arrows) structure and aggregatingGlutamine can be encoded by both CAG and CAA codons.  Researchers investigated survival rates in fruit flies expressing ataxin-3 with polyQ regions of equal length encoded by either CAG-CAG or CAA-CAG repeats (Table 1).  The protein products had identical amino acid sequences.<strong>Table 1</strong>  Fruit Fly Survival Rates Relative to Ataxin-3 Expression   Adapted from Bevivino AE, Loll PJ. An expanded glutamine repeat destabilizes native ataxin-3 structure and mediates formation of parallel beta -fibrils. Proc Natl Acad Sci USA. 2001;98(21):11955-60. Which of the following could increase the stability of the beta-conformation of long polyglutamine regions?</strong> A)Stacking interactions between glutamine side chains B)Frequent beta-turns induced by glutamine flexibility C)Rigidity of glutamine residues that induces tight turns D)Hydrogen bonding between glutamine side chains Adapted from Bevivino AE, Loll PJ. An expanded glutamine repeat destabilizes native ataxin-3 structure and mediates formation of parallel beta -fibrils. Proc Natl Acad Sci USA. 2001;98(21):11955-60.
Which of the following could increase the stability of the beta-conformation of long polyglutamine regions?

A)Stacking interactions between glutamine side chains
B)Frequent beta-turns induced by glutamine flexibility
C)Rigidity of glutamine residues that induces tight turns
D)Hydrogen bonding between glutamine side chains
Unlock Deck
Unlock for access to all 307 flashcards in this deck.
Unlock Deck
k this deck
23
Passage
Spinocerebellar ataxia 3 (SCA3) is a neurodegenerative disease that manifests as a progressive decrease in coordination of limbs and frequently results in impaired speech and eye coordination.  It is associated with extension of the polyglutamine (polyQ) region of the ataxin-3 protein.  The polyQ region is encoded by a series of consecutive CAG codons known as poly-CAG repeats.  These regions vary in length from one person to another, ranging from as few as 10 to as many as 80 repeats.  SCA3 has been reported in patients with polyQ regions exceeding ~55 repeats, and increased polyQ length correlates with earlier onset of the disease and greater clinical severity.Circular dichroism (CD) is a method of assessing protein secondary structure.  It measures a molecule's ability to absorb left- and right-handed circularly polarized light of varying wavelengths.  The absorption difference is known as "ellipticity," denoted by Δε.  Alpha-helices have a maximum Δε at 190 nm, and beta-sheets have a maximum Δε at 200 nm.CD results show that as the length of the ataxin-3 polyQ region increases, alpha-helical nature is lost and the protein aggregates, ultimately precipitating out of solution and depositing in brain and other tissues.  Furthermore, as proteins aggregate, they form beta-sheets.  These beta-sheets are in the parallel orientation, and each sheet can interact with sheets in other proteins to form long, insoluble structures known as amyloid fibers (Figure 1).
<strong>Passage Spinocerebellar ataxia 3 (SCA3) is a neurodegenerative disease that manifests as a progressive decrease in coordination of limbs and frequently results in impaired speech and eye coordination.  It is associated with extension of the polyglutamine (polyQ) region of the ataxin-3 protein.  The polyQ region is encoded by a series of consecutive CAG codons known as poly-CAG repeats.  These regions vary in length from one person to another, ranging from as few as 10 to as many as 80 repeats.  SCA3 has been reported in patients with polyQ regions exceeding ~55 repeats, and increased polyQ length correlates with earlier onset of the disease and greater clinical severity.Circular dichroism (CD) is a method of assessing protein secondary structure.  It measures a molecule's ability to absorb left- and right-handed circularly polarized light of varying wavelengths.  The absorption difference is known as ellipticity, denoted by Δε.  Alpha-helices have a maximum Δε at 190 nm, and beta-sheets have a maximum Δε at 200 nm.CD results show that as the length of the ataxin-3 polyQ region increases, alpha-helical nature is lost and the protein aggregates, ultimately precipitating out of solution and depositing in brain and other tissues.  Furthermore, as proteins aggregate, they form beta-sheets.  These beta-sheets are in the parallel orientation, and each sheet can interact with sheets in other proteins to form long, insoluble structures known as amyloid fibers (Figure 1).   <strong>Figure 1</strong>  Depiction of the ataxin-3 polyQ region shifting from alpha-helical (cylinders) to beta-sheet (arrows) structure and aggregatingGlutamine can be encoded by both CAG and CAA codons.  Researchers investigated survival rates in fruit flies expressing ataxin-3 with polyQ regions of equal length encoded by either CAG-CAG or CAA-CAG repeats (Table 1).  The protein products had identical amino acid sequences.<strong>Table 1</strong>  Fruit Fly Survival Rates Relative to Ataxin-3 Expression   Adapted from Bevivino AE, Loll PJ. An expanded glutamine repeat destabilizes native ataxin-3 structure and mediates formation of parallel beta -fibrils. Proc Natl Acad Sci USA. 2001;98(21):11955-60. As the polyQ region increases in length, the resulting modification of ataxin-3 secondary structure would be observed as what change in the CD spectrum?</strong> A)An increase in the height of the peak at 190 nm B)Appearance of a peak at 190 nm and disappearance of a peak at 200 nm C)Disappearance of a peak at 190 nm and appearance of a peak at 200 nm D)A decrease in the height of the peak at 200 nm Figure 1  Depiction of the ataxin-3 polyQ region shifting from alpha-helical (cylinders) to beta-sheet (arrows) structure and aggregatingGlutamine can be encoded by both CAG and CAA codons.  Researchers investigated survival rates in fruit flies expressing ataxin-3 with polyQ regions of equal length encoded by either CAG-CAG or CAA-CAG repeats (Table 1).  The protein products had identical amino acid sequences.Table 1  Fruit Fly Survival Rates Relative to Ataxin-3 Expression
<strong>Passage Spinocerebellar ataxia 3 (SCA3) is a neurodegenerative disease that manifests as a progressive decrease in coordination of limbs and frequently results in impaired speech and eye coordination.  It is associated with extension of the polyglutamine (polyQ) region of the ataxin-3 protein.  The polyQ region is encoded by a series of consecutive CAG codons known as poly-CAG repeats.  These regions vary in length from one person to another, ranging from as few as 10 to as many as 80 repeats.  SCA3 has been reported in patients with polyQ regions exceeding ~55 repeats, and increased polyQ length correlates with earlier onset of the disease and greater clinical severity.Circular dichroism (CD) is a method of assessing protein secondary structure.  It measures a molecule's ability to absorb left- and right-handed circularly polarized light of varying wavelengths.  The absorption difference is known as ellipticity, denoted by Δε.  Alpha-helices have a maximum Δε at 190 nm, and beta-sheets have a maximum Δε at 200 nm.CD results show that as the length of the ataxin-3 polyQ region increases, alpha-helical nature is lost and the protein aggregates, ultimately precipitating out of solution and depositing in brain and other tissues.  Furthermore, as proteins aggregate, they form beta-sheets.  These beta-sheets are in the parallel orientation, and each sheet can interact with sheets in other proteins to form long, insoluble structures known as amyloid fibers (Figure 1).   <strong>Figure 1</strong>  Depiction of the ataxin-3 polyQ region shifting from alpha-helical (cylinders) to beta-sheet (arrows) structure and aggregatingGlutamine can be encoded by both CAG and CAA codons.  Researchers investigated survival rates in fruit flies expressing ataxin-3 with polyQ regions of equal length encoded by either CAG-CAG or CAA-CAG repeats (Table 1).  The protein products had identical amino acid sequences.<strong>Table 1</strong>  Fruit Fly Survival Rates Relative to Ataxin-3 Expression   Adapted from Bevivino AE, Loll PJ. An expanded glutamine repeat destabilizes native ataxin-3 structure and mediates formation of parallel beta -fibrils. Proc Natl Acad Sci USA. 2001;98(21):11955-60. As the polyQ region increases in length, the resulting modification of ataxin-3 secondary structure would be observed as what change in the CD spectrum?</strong> A)An increase in the height of the peak at 190 nm B)Appearance of a peak at 190 nm and disappearance of a peak at 200 nm C)Disappearance of a peak at 190 nm and appearance of a peak at 200 nm D)A decrease in the height of the peak at 200 nm Adapted from Bevivino AE, Loll PJ. An expanded glutamine repeat destabilizes native ataxin-3 structure and mediates formation of parallel beta -fibrils. Proc Natl Acad Sci USA. 2001;98(21):11955-60.
As the polyQ region increases in length, the resulting modification of ataxin-3 secondary structure would be observed as what change in the CD spectrum?

A)An increase in the height of the peak at 190 nm
B)Appearance of a peak at 190 nm and disappearance of a peak at 200 nm
C)Disappearance of a peak at 190 nm and appearance of a peak at 200 nm
D)A decrease in the height of the peak at 200 nm
Unlock Deck
Unlock for access to all 307 flashcards in this deck.
Unlock Deck
k this deck
24
Passage
The liver plays a central role in maintaining blood glucose homoeostasis.  It contains the highest concentration of glycogen of any organ in the body and is one of few organs that can regenerate glucose from metabolic byproducts.  The liver can replenish glucose in muscle and brain tissue during times of fasting, and it can help prevent lactate accumulation during intense physical activity.Von Gierke disease is a rare autosomal recessive disorder that arises from inactivating mutations in the liver enzyme glucose 6-phosphatase (G6Pase).  It affects roughly 1 in 100,000 individuals, and the resulting loss of both hormonal sensitivity and enzymatic activity leads to hypoglycemia (low blood sugar).  Von Gierke can also cause an increase in blood acidity concurrent with lactate build-up.  Patients typically become symptomatic shortly after birth with convulsions, hyperventilation, and tremors.  Left untreated, patients may develop gout, osteoporosis, and life-threatening complications such as kidney failure and liver tumors.In an effort to examine the biochemical consequences of this disorder, scientists generated a genetically engineered mouse model with liver G6Pase expression under the control of the Tet-Off system at both alleles.  Under this system, addition of the small molecule tetracycline in the water source of the mouse rapidly shuts off G6Pase gene expression and therefore can recapitulate von Gierke disease.  Blood glucose and pH levels were measured daily in two groups of genetically engineered mice over 20 days: group A mice received no tetracycline and group B mice were given tetracycline starting at day 10.  All mice were fed identical low-sugar diets throughout the experiment.
Adapted from Froissart R, Piraud M, Boudjemline AM, et al. Glucose-6-phosphatase deficiency. Orphanet J Rare Dis. 2011;6:27.
Inactivation of which enzyme is most likely to result in physiological effects similar to those of von Gierke disease?

A)Glucose 6-phosphate dehydrogenase
B)Pyruvate decarboxylase
C)Phosphoenolpyruvate carboxykinase
D)Acyl-CoA dehydrogenase
Unlock Deck
Unlock for access to all 307 flashcards in this deck.
Unlock Deck
k this deck
25
Passage
The innate immune system relies heavily on the phagocytic action of neutrophils, mobile white blood cells that engulf and degrade bacteria and viruses as the first line of host defense against invading pathogens.  One mechanism for eliminating viruses engulfed in the phagosome involves the degradation of viral proteins by neutrophil serine proteases (NSPs).NSPs, which form part of the chymotrypsin family of serine proteases, cleave viral proteins using a catalytic triad relay system.  Originally discovered in granules released by neutrophils, NSP4 is a novel monomeric serine protease that has been studied to elucidate the catalytic mechanism of NSPs.  Prior experimental data suggest that NSP4 alters its tertiary structure upon substrate binding and cleaves viral proteins using the acylation reaction shown in Figure 1.
<strong>Passage The innate immune system relies heavily on the phagocytic action of neutrophils, mobile white blood cells that engulf and degrade bacteria and viruses as the first line of host defense against invading pathogens.  One mechanism for eliminating viruses engulfed in the phagosome involves the degradation of viral proteins by neutrophil serine proteases (NSPs).NSPs, which form part of the chymotrypsin family of serine proteases, cleave viral proteins using a catalytic triad relay system.  Originally discovered in granules released by neutrophils, NSP4 is a novel monomeric serine protease that has been studied to elucidate the catalytic mechanism of NSPs.  Prior experimental data suggest that NSP4 alters its tertiary structure upon substrate binding and cleaves viral proteins using the acylation reaction shown in Figure 1.   <strong>Figure 1</strong>  Degradation of viral proteins by acylation of NSP4Computational methods were used to identify the energetic parameters of reactions between NSP4 and synthetic viral proteins.  To ensure that simulated reactions resembled physiological conditions, algorithms were adjusted to account for the enzyme being in an aqueous environment.  The rate-determining step in the acylation reaction was determined by calculating the changes in free energy in both the enzyme and substrate (Figure 2).   <strong>Figure 2</strong>  Free energy profiles of synthetic viral protein cleavageKnowledge of amino acid frequency distribution at an enzymatic active site may facilitate the design of novel active sites and enzyme-specific inhibitors.  Researchers analyzed the composition of amino acids that form the NSP4 active site during protein folding to study the characteristics of residues involved in active site formation (Figure 3).   <strong>Figure 3</strong>  Frequency distribution of amino acid residues at the NSP4 active site Adapted from Stapels DA, Geisbrecht BV, Rooijakkers SH. Neutrophil serine proteases in antibacterial defense. Curr Opin Microbiol. 2015;23:42-8. As NSP4 folds, the water molecules surrounding it become:</strong> A)more ordered; ΔS is negative. B)more ordered; ΔS is positive. C)more disordered; ΔS is positive. D)more disordered; ΔS is negative. Figure 1  Degradation of viral proteins by acylation of NSP4Computational methods were used to identify the energetic parameters of reactions between NSP4 and synthetic viral proteins.  To ensure that simulated reactions resembled physiological conditions, algorithms were adjusted to account for the enzyme being in an aqueous environment.  The rate-determining step in the acylation reaction was determined by calculating the changes in free energy in both the enzyme and substrate (Figure 2).
<strong>Passage The innate immune system relies heavily on the phagocytic action of neutrophils, mobile white blood cells that engulf and degrade bacteria and viruses as the first line of host defense against invading pathogens.  One mechanism for eliminating viruses engulfed in the phagosome involves the degradation of viral proteins by neutrophil serine proteases (NSPs).NSPs, which form part of the chymotrypsin family of serine proteases, cleave viral proteins using a catalytic triad relay system.  Originally discovered in granules released by neutrophils, NSP4 is a novel monomeric serine protease that has been studied to elucidate the catalytic mechanism of NSPs.  Prior experimental data suggest that NSP4 alters its tertiary structure upon substrate binding and cleaves viral proteins using the acylation reaction shown in Figure 1.   <strong>Figure 1</strong>  Degradation of viral proteins by acylation of NSP4Computational methods were used to identify the energetic parameters of reactions between NSP4 and synthetic viral proteins.  To ensure that simulated reactions resembled physiological conditions, algorithms were adjusted to account for the enzyme being in an aqueous environment.  The rate-determining step in the acylation reaction was determined by calculating the changes in free energy in both the enzyme and substrate (Figure 2).   <strong>Figure 2</strong>  Free energy profiles of synthetic viral protein cleavageKnowledge of amino acid frequency distribution at an enzymatic active site may facilitate the design of novel active sites and enzyme-specific inhibitors.  Researchers analyzed the composition of amino acids that form the NSP4 active site during protein folding to study the characteristics of residues involved in active site formation (Figure 3).   <strong>Figure 3</strong>  Frequency distribution of amino acid residues at the NSP4 active site Adapted from Stapels DA, Geisbrecht BV, Rooijakkers SH. Neutrophil serine proteases in antibacterial defense. Curr Opin Microbiol. 2015;23:42-8. As NSP4 folds, the water molecules surrounding it become:</strong> A)more ordered; ΔS is negative. B)more ordered; ΔS is positive. C)more disordered; ΔS is positive. D)more disordered; ΔS is negative. Figure 2  Free energy profiles of synthetic viral protein cleavageKnowledge of amino acid frequency distribution at an enzymatic active site may facilitate the design of novel active sites and enzyme-specific inhibitors.  Researchers analyzed the composition of amino acids that form the NSP4 active site during protein folding to study the characteristics of residues involved in active site formation (Figure 3).
<strong>Passage The innate immune system relies heavily on the phagocytic action of neutrophils, mobile white blood cells that engulf and degrade bacteria and viruses as the first line of host defense against invading pathogens.  One mechanism for eliminating viruses engulfed in the phagosome involves the degradation of viral proteins by neutrophil serine proteases (NSPs).NSPs, which form part of the chymotrypsin family of serine proteases, cleave viral proteins using a catalytic triad relay system.  Originally discovered in granules released by neutrophils, NSP4 is a novel monomeric serine protease that has been studied to elucidate the catalytic mechanism of NSPs.  Prior experimental data suggest that NSP4 alters its tertiary structure upon substrate binding and cleaves viral proteins using the acylation reaction shown in Figure 1.   <strong>Figure 1</strong>  Degradation of viral proteins by acylation of NSP4Computational methods were used to identify the energetic parameters of reactions between NSP4 and synthetic viral proteins.  To ensure that simulated reactions resembled physiological conditions, algorithms were adjusted to account for the enzyme being in an aqueous environment.  The rate-determining step in the acylation reaction was determined by calculating the changes in free energy in both the enzyme and substrate (Figure 2).   <strong>Figure 2</strong>  Free energy profiles of synthetic viral protein cleavageKnowledge of amino acid frequency distribution at an enzymatic active site may facilitate the design of novel active sites and enzyme-specific inhibitors.  Researchers analyzed the composition of amino acids that form the NSP4 active site during protein folding to study the characteristics of residues involved in active site formation (Figure 3).   <strong>Figure 3</strong>  Frequency distribution of amino acid residues at the NSP4 active site Adapted from Stapels DA, Geisbrecht BV, Rooijakkers SH. Neutrophil serine proteases in antibacterial defense. Curr Opin Microbiol. 2015;23:42-8. As NSP4 folds, the water molecules surrounding it become:</strong> A)more ordered; ΔS is negative. B)more ordered; ΔS is positive. C)more disordered; ΔS is positive. D)more disordered; ΔS is negative. Figure 3  Frequency distribution of amino acid residues at the NSP4 active site
Adapted from Stapels DA, Geisbrecht BV, Rooijakkers SH. Neutrophil serine proteases in antibacterial defense. Curr Opin Microbiol. 2015;23:42-8.
As NSP4 folds, the water molecules surrounding it become:

A)more ordered; ΔS is negative.
B)more ordered; ΔS is positive.
C)more disordered; ΔS is positive.
D)more disordered; ΔS is negative.
Unlock Deck
Unlock for access to all 307 flashcards in this deck.
Unlock Deck
k this deck
26
Passage
The bacterium Clostridium difficile secretes protein toxins TcdA and TcdB, two homologues associated with C. difficile-related colitis.  Tcd proteins enter host intestinal cells via endocytosis induced by interactions between the Tcd C-terminal domain and cell surface receptors.  Endocytosis is followed by translocation of the N-terminal glucosyltransferase domain (GTD) across the endosomal membrane.  The GTD remains anchored to endosomes by the central region of the protein, a transmembrane domain believed to form membrane pores and facilitate translocation.  Inositol hexakisphosphate (IP6) binds Tcd proteins, an interaction that is stabilized by salt bridges in the binding pocket (Figure 1).
<strong>Passage The bacterium Clostridium difficile secretes protein toxins TcdA and TcdB, two homologues associated with C. difficile-related colitis.  Tcd proteins enter host intestinal cells via endocytosis induced by interactions between the Tcd C-terminal domain and cell surface receptors.  Endocytosis is followed by translocation of the N-terminal glucosyltransferase domain (GTD) across the endosomal membrane.  The GTD remains anchored to endosomes by the central region of the protein, a transmembrane domain believed to form membrane pores and facilitate translocation.  Inositol hexakisphosphate (IP6) binds Tcd proteins, an interaction that is stabilized by salt bridges in the binding pocket (Figure 1).   <strong>Figure 1</strong>  Salt bridges formed between IP6 and the amino acids in the binding pocketThis interaction induces a conformational change that causes a molecular flap to move away from the catalytic site.  The catalytic site then mediates intramolecular cleavage in a reaction known as autoprocessing.  This reaction results in the release of GTD into the cytosol, where it becomes active.To better understand the relationship between IP6 binding and catalytic activity, autoprocessing assays were performed.  Researchers mutated histidine to alanine at positions 759 and 757 in the flap regions of TcdA and TcdB, respectively.  They then compared the autoprocessing activities of H759A and H757A mutants to those of wild-type TcdA and TcdB at varying concentrations of IP6 (Figure 2).   <strong>Figure 2</strong>  Percent cleavage of wild-type and mutant Tcd by autoprocessing Adapted from Chumbler NM, Rutherford SA, Zhang Z, et al. Crystal structure of Clostridium difficile toxin A. Nat Microbiol. 2016;1:15002. Based on information given in the passage, stabilizing interactions are most likely to occur between phosphate groups on IP6 and which of the following amino acids lining the Tcd binding pocket?</strong> A)Lys<sup>704</sup> via electrostatic interactions B)Gly<sup>705</sup> via hydrophobic interactions C)Cys<sup>707</sup> via covalent bonding D)Asp<sup>709</sup> via ionic interactions Figure 1  Salt bridges formed between IP6 and the amino acids in the binding pocketThis interaction induces a conformational change that causes a molecular flap to move away from the catalytic site.  The catalytic site then mediates intramolecular cleavage in a reaction known as autoprocessing.  This reaction results in the release of GTD into the cytosol, where it becomes active.To better understand the relationship between IP6 binding and catalytic activity, autoprocessing assays were performed.  Researchers mutated histidine to alanine at positions 759 and 757 in the flap regions of TcdA and TcdB, respectively.  They then compared the autoprocessing activities of H759A and H757A mutants to those of wild-type TcdA and TcdB at varying concentrations of IP6 (Figure 2).
<strong>Passage The bacterium Clostridium difficile secretes protein toxins TcdA and TcdB, two homologues associated with C. difficile-related colitis.  Tcd proteins enter host intestinal cells via endocytosis induced by interactions between the Tcd C-terminal domain and cell surface receptors.  Endocytosis is followed by translocation of the N-terminal glucosyltransferase domain (GTD) across the endosomal membrane.  The GTD remains anchored to endosomes by the central region of the protein, a transmembrane domain believed to form membrane pores and facilitate translocation.  Inositol hexakisphosphate (IP6) binds Tcd proteins, an interaction that is stabilized by salt bridges in the binding pocket (Figure 1).   <strong>Figure 1</strong>  Salt bridges formed between IP6 and the amino acids in the binding pocketThis interaction induces a conformational change that causes a molecular flap to move away from the catalytic site.  The catalytic site then mediates intramolecular cleavage in a reaction known as autoprocessing.  This reaction results in the release of GTD into the cytosol, where it becomes active.To better understand the relationship between IP6 binding and catalytic activity, autoprocessing assays were performed.  Researchers mutated histidine to alanine at positions 759 and 757 in the flap regions of TcdA and TcdB, respectively.  They then compared the autoprocessing activities of H759A and H757A mutants to those of wild-type TcdA and TcdB at varying concentrations of IP6 (Figure 2).   <strong>Figure 2</strong>  Percent cleavage of wild-type and mutant Tcd by autoprocessing Adapted from Chumbler NM, Rutherford SA, Zhang Z, et al. Crystal structure of Clostridium difficile toxin A. Nat Microbiol. 2016;1:15002. Based on information given in the passage, stabilizing interactions are most likely to occur between phosphate groups on IP6 and which of the following amino acids lining the Tcd binding pocket?</strong> A)Lys<sup>704</sup> via electrostatic interactions B)Gly<sup>705</sup> via hydrophobic interactions C)Cys<sup>707</sup> via covalent bonding D)Asp<sup>709</sup> via ionic interactions Figure 2  Percent cleavage of wild-type and mutant Tcd by autoprocessing
Adapted from Chumbler NM, Rutherford SA, Zhang Z, et al. Crystal structure of Clostridium difficile toxin A. Nat Microbiol. 2016;1:15002.
Based on information given in the passage, stabilizing interactions are most likely to occur between phosphate groups on IP6 and which of the following amino acids lining the Tcd binding pocket?

A)Lys704 via electrostatic interactions
B)Gly705 via hydrophobic interactions
C)Cys707 via covalent bonding
D)Asp709 via ionic interactions
Unlock Deck
Unlock for access to all 307 flashcards in this deck.
Unlock Deck
k this deck
27
Passage
The innate immune system relies heavily on the phagocytic action of neutrophils, mobile white blood cells that engulf and degrade bacteria and viruses as the first line of host defense against invading pathogens.  One mechanism for eliminating viruses engulfed in the phagosome involves the degradation of viral proteins by neutrophil serine proteases (NSPs).NSPs, which form part of the chymotrypsin family of serine proteases, cleave viral proteins using a catalytic triad relay system.  Originally discovered in granules released by neutrophils, NSP4 is a novel monomeric serine protease that has been studied to elucidate the catalytic mechanism of NSPs.  Prior experimental data suggest that NSP4 alters its tertiary structure upon substrate binding and cleaves viral proteins using the acylation reaction shown in Figure 1.
<strong>Passage The innate immune system relies heavily on the phagocytic action of neutrophils, mobile white blood cells that engulf and degrade bacteria and viruses as the first line of host defense against invading pathogens.  One mechanism for eliminating viruses engulfed in the phagosome involves the degradation of viral proteins by neutrophil serine proteases (NSPs).NSPs, which form part of the chymotrypsin family of serine proteases, cleave viral proteins using a catalytic triad relay system.  Originally discovered in granules released by neutrophils, NSP4 is a novel monomeric serine protease that has been studied to elucidate the catalytic mechanism of NSPs.  Prior experimental data suggest that NSP4 alters its tertiary structure upon substrate binding and cleaves viral proteins using the acylation reaction shown in Figure 1.   <strong>Figure 1</strong>  Degradation of viral proteins by acylation of NSP4Computational methods were used to identify the energetic parameters of reactions between NSP4 and synthetic viral proteins.  To ensure that simulated reactions resembled physiological conditions, algorithms were adjusted to account for the enzyme being in an aqueous environment.  The rate-determining step in the acylation reaction was determined by calculating the changes in free energy in both the enzyme and substrate (Figure 2).   <strong>Figure 2</strong>  Free energy profiles of synthetic viral protein cleavageKnowledge of amino acid frequency distribution at an enzymatic active site may facilitate the design of novel active sites and enzyme-specific inhibitors.  Researchers analyzed the composition of amino acids that form the NSP4 active site during protein folding to study the characteristics of residues involved in active site formation (Figure 3).   <strong>Figure 3</strong>  Frequency distribution of amino acid residues at the NSP4 active site Adapted from Stapels DA, Geisbrecht BV, Rooijakkers SH. Neutrophil serine proteases in antibacterial defense. Curr Opin Microbiol. 2015;23:42-8. Based on the passage, the cleavage of viral proteins by NSP4 is:</strong> A)an exergonic process moving in the reverse direction. B)an endergonic process moving in the forward direction. C)a nonspontaneous reaction requiring energy to proceed. D)a spontaneous reaction resulting in a release of energy. Figure 1  Degradation of viral proteins by acylation of NSP4Computational methods were used to identify the energetic parameters of reactions between NSP4 and synthetic viral proteins.  To ensure that simulated reactions resembled physiological conditions, algorithms were adjusted to account for the enzyme being in an aqueous environment.  The rate-determining step in the acylation reaction was determined by calculating the changes in free energy in both the enzyme and substrate (Figure 2).
<strong>Passage The innate immune system relies heavily on the phagocytic action of neutrophils, mobile white blood cells that engulf and degrade bacteria and viruses as the first line of host defense against invading pathogens.  One mechanism for eliminating viruses engulfed in the phagosome involves the degradation of viral proteins by neutrophil serine proteases (NSPs).NSPs, which form part of the chymotrypsin family of serine proteases, cleave viral proteins using a catalytic triad relay system.  Originally discovered in granules released by neutrophils, NSP4 is a novel monomeric serine protease that has been studied to elucidate the catalytic mechanism of NSPs.  Prior experimental data suggest that NSP4 alters its tertiary structure upon substrate binding and cleaves viral proteins using the acylation reaction shown in Figure 1.   <strong>Figure 1</strong>  Degradation of viral proteins by acylation of NSP4Computational methods were used to identify the energetic parameters of reactions between NSP4 and synthetic viral proteins.  To ensure that simulated reactions resembled physiological conditions, algorithms were adjusted to account for the enzyme being in an aqueous environment.  The rate-determining step in the acylation reaction was determined by calculating the changes in free energy in both the enzyme and substrate (Figure 2).   <strong>Figure 2</strong>  Free energy profiles of synthetic viral protein cleavageKnowledge of amino acid frequency distribution at an enzymatic active site may facilitate the design of novel active sites and enzyme-specific inhibitors.  Researchers analyzed the composition of amino acids that form the NSP4 active site during protein folding to study the characteristics of residues involved in active site formation (Figure 3).   <strong>Figure 3</strong>  Frequency distribution of amino acid residues at the NSP4 active site Adapted from Stapels DA, Geisbrecht BV, Rooijakkers SH. Neutrophil serine proteases in antibacterial defense. Curr Opin Microbiol. 2015;23:42-8. Based on the passage, the cleavage of viral proteins by NSP4 is:</strong> A)an exergonic process moving in the reverse direction. B)an endergonic process moving in the forward direction. C)a nonspontaneous reaction requiring energy to proceed. D)a spontaneous reaction resulting in a release of energy. Figure 2  Free energy profiles of synthetic viral protein cleavageKnowledge of amino acid frequency distribution at an enzymatic active site may facilitate the design of novel active sites and enzyme-specific inhibitors.  Researchers analyzed the composition of amino acids that form the NSP4 active site during protein folding to study the characteristics of residues involved in active site formation (Figure 3).
<strong>Passage The innate immune system relies heavily on the phagocytic action of neutrophils, mobile white blood cells that engulf and degrade bacteria and viruses as the first line of host defense against invading pathogens.  One mechanism for eliminating viruses engulfed in the phagosome involves the degradation of viral proteins by neutrophil serine proteases (NSPs).NSPs, which form part of the chymotrypsin family of serine proteases, cleave viral proteins using a catalytic triad relay system.  Originally discovered in granules released by neutrophils, NSP4 is a novel monomeric serine protease that has been studied to elucidate the catalytic mechanism of NSPs.  Prior experimental data suggest that NSP4 alters its tertiary structure upon substrate binding and cleaves viral proteins using the acylation reaction shown in Figure 1.   <strong>Figure 1</strong>  Degradation of viral proteins by acylation of NSP4Computational methods were used to identify the energetic parameters of reactions between NSP4 and synthetic viral proteins.  To ensure that simulated reactions resembled physiological conditions, algorithms were adjusted to account for the enzyme being in an aqueous environment.  The rate-determining step in the acylation reaction was determined by calculating the changes in free energy in both the enzyme and substrate (Figure 2).   <strong>Figure 2</strong>  Free energy profiles of synthetic viral protein cleavageKnowledge of amino acid frequency distribution at an enzymatic active site may facilitate the design of novel active sites and enzyme-specific inhibitors.  Researchers analyzed the composition of amino acids that form the NSP4 active site during protein folding to study the characteristics of residues involved in active site formation (Figure 3).   <strong>Figure 3</strong>  Frequency distribution of amino acid residues at the NSP4 active site Adapted from Stapels DA, Geisbrecht BV, Rooijakkers SH. Neutrophil serine proteases in antibacterial defense. Curr Opin Microbiol. 2015;23:42-8. Based on the passage, the cleavage of viral proteins by NSP4 is:</strong> A)an exergonic process moving in the reverse direction. B)an endergonic process moving in the forward direction. C)a nonspontaneous reaction requiring energy to proceed. D)a spontaneous reaction resulting in a release of energy. Figure 3  Frequency distribution of amino acid residues at the NSP4 active site
Adapted from Stapels DA, Geisbrecht BV, Rooijakkers SH. Neutrophil serine proteases in antibacterial defense. Curr Opin Microbiol. 2015;23:42-8.
Based on the passage, the cleavage of viral proteins by NSP4 is:

A)an exergonic process moving in the reverse direction.
B)an endergonic process moving in the forward direction.
C)a nonspontaneous reaction requiring energy to proceed.
D)a spontaneous reaction resulting in a release of energy.
Unlock Deck
Unlock for access to all 307 flashcards in this deck.
Unlock Deck
k this deck
28
Passage
The liver plays a central role in maintaining blood glucose homoeostasis.  It contains the highest concentration of glycogen of any organ in the body and is one of few organs that can regenerate glucose from metabolic byproducts.  The liver can replenish glucose in muscle and brain tissue during times of fasting, and it can help prevent lactate accumulation during intense physical activity.Von Gierke disease is a rare autosomal recessive disorder that arises from inactivating mutations in the liver enzyme glucose 6-phosphatase (G6Pase).  It affects roughly 1 in 100,000 individuals, and the resulting loss of both hormonal sensitivity and enzymatic activity leads to hypoglycemia (low blood sugar).  Von Gierke can also cause an increase in blood acidity concurrent with lactate build-up.  Patients typically become symptomatic shortly after birth with convulsions, hyperventilation, and tremors.  Left untreated, patients may develop gout, osteoporosis, and life-threatening complications such as kidney failure and liver tumors.In an effort to examine the biochemical consequences of this disorder, scientists generated a genetically engineered mouse model with liver G6Pase expression under the control of the Tet-Off system at both alleles.  Under this system, addition of the small molecule tetracycline in the water source of the mouse rapidly shuts off G6Pase gene expression and therefore can recapitulate von Gierke disease.  Blood glucose and pH levels were measured daily in two groups of genetically engineered mice over 20 days: group A mice received no tetracycline and group B mice were given tetracycline starting at day 10.  All mice were fed identical low-sugar diets throughout the experiment.
Adapted from Froissart R, Piraud M, Boudjemline AM, et al. Glucose-6-phosphatase deficiency. Orphanet J Rare Dis. 2011;6:27.
Group A mice, but not group B mice, could use which of the following dietary supplements to help maintain blood glucose levels after day 10?

A)Cholesterol
B)Alanine
C)Acetyl-CoA
D)Palmitic acid
Unlock Deck
Unlock for access to all 307 flashcards in this deck.
Unlock Deck
k this deck
29
Passage
The liver plays a central role in maintaining blood glucose homoeostasis.  It contains the highest concentration of glycogen of any organ in the body and is one of few organs that can regenerate glucose from metabolic byproducts.  The liver can replenish glucose in muscle and brain tissue during times of fasting, and it can help prevent lactate accumulation during intense physical activity.Von Gierke disease is a rare autosomal recessive disorder that arises from inactivating mutations in the liver enzyme glucose 6-phosphatase (G6Pase).  It affects roughly 1 in 100,000 individuals, and the resulting loss of both hormonal sensitivity and enzymatic activity leads to hypoglycemia (low blood sugar).  Von Gierke can also cause an increase in blood acidity concurrent with lactate build-up.  Patients typically become symptomatic shortly after birth with convulsions, hyperventilation, and tremors.  Left untreated, patients may develop gout, osteoporosis, and life-threatening complications such as kidney failure and liver tumors.In an effort to examine the biochemical consequences of this disorder, scientists generated a genetically engineered mouse model with liver G6Pase expression under the control of the Tet-Off system at both alleles.  Under this system, addition of the small molecule tetracycline in the water source of the mouse rapidly shuts off G6Pase gene expression and therefore can recapitulate von Gierke disease.  Blood glucose and pH levels were measured daily in two groups of genetically engineered mice over 20 days: group A mice received no tetracycline and group B mice were given tetracycline starting at day 10.  All mice were fed identical low-sugar diets throughout the experiment.
Adapted from Froissart R, Piraud M, Boudjemline AM, et al. Glucose-6-phosphatase deficiency. Orphanet J Rare Dis. 2011;6:27.
Treatment with which of the following could help counteract hypoglycemia in patients with von Gierke disease?

A)Insulin
B)Vitamin A
C)Epinephrine
D)Starch
Unlock Deck
Unlock for access to all 307 flashcards in this deck.
Unlock Deck
k this deck
30
Passage
The bacterium Clostridium difficile secretes protein toxins TcdA and TcdB, two homologues associated with C. difficile-related colitis.  Tcd proteins enter host intestinal cells via endocytosis induced by interactions between the Tcd C-terminal domain and cell surface receptors.  Endocytosis is followed by translocation of the N-terminal glucosyltransferase domain (GTD) across the endosomal membrane.  The GTD remains anchored to endosomes by the central region of the protein, a transmembrane domain believed to form membrane pores and facilitate translocation.  Inositol hexakisphosphate (IP6) binds Tcd proteins, an interaction that is stabilized by salt bridges in the binding pocket (Figure 1).
<strong>Passage The bacterium Clostridium difficile secretes protein toxins TcdA and TcdB, two homologues associated with C. difficile-related colitis.  Tcd proteins enter host intestinal cells via endocytosis induced by interactions between the Tcd C-terminal domain and cell surface receptors.  Endocytosis is followed by translocation of the N-terminal glucosyltransferase domain (GTD) across the endosomal membrane.  The GTD remains anchored to endosomes by the central region of the protein, a transmembrane domain believed to form membrane pores and facilitate translocation.  Inositol hexakisphosphate (IP6) binds Tcd proteins, an interaction that is stabilized by salt bridges in the binding pocket (Figure 1).   <strong>Figure 1</strong>  Salt bridges formed between IP6 and the amino acids in the binding pocketThis interaction induces a conformational change that causes a molecular flap to move away from the catalytic site.  The catalytic site then mediates intramolecular cleavage in a reaction known as autoprocessing.  This reaction results in the release of GTD into the cytosol, where it becomes active.To better understand the relationship between IP6 binding and catalytic activity, autoprocessing assays were performed.  Researchers mutated histidine to alanine at positions 759 and 757 in the flap regions of TcdA and TcdB, respectively.  They then compared the autoprocessing activities of H759A and H757A mutants to those of wild-type TcdA and TcdB at varying concentrations of IP6 (Figure 2).   <strong>Figure 2</strong>  Percent cleavage of wild-type and mutant Tcd by autoprocessing Adapted from Chumbler NM, Rutherford SA, Zhang Z, et al. Crystal structure of Clostridium difficile toxin A. Nat Microbiol. 2016;1:15002. Which conclusion about the effect of the H759A and H757A mutations is best supported by Figure 2?</strong> A)Mutant Tcd requires greater concentrations of IP6 to undergo autoprocessing. B)Tcd mutant protease activity is less dependent on IP6 than is wild-type activity. C)Alanine helps control the rate of autoprocessing. D)Tcd mutants have reduced affinity for IP6. Figure 1  Salt bridges formed between IP6 and the amino acids in the binding pocketThis interaction induces a conformational change that causes a molecular flap to move away from the catalytic site.  The catalytic site then mediates intramolecular cleavage in a reaction known as autoprocessing.  This reaction results in the release of GTD into the cytosol, where it becomes active.To better understand the relationship between IP6 binding and catalytic activity, autoprocessing assays were performed.  Researchers mutated histidine to alanine at positions 759 and 757 in the flap regions of TcdA and TcdB, respectively.  They then compared the autoprocessing activities of H759A and H757A mutants to those of wild-type TcdA and TcdB at varying concentrations of IP6 (Figure 2).
<strong>Passage The bacterium Clostridium difficile secretes protein toxins TcdA and TcdB, two homologues associated with C. difficile-related colitis.  Tcd proteins enter host intestinal cells via endocytosis induced by interactions between the Tcd C-terminal domain and cell surface receptors.  Endocytosis is followed by translocation of the N-terminal glucosyltransferase domain (GTD) across the endosomal membrane.  The GTD remains anchored to endosomes by the central region of the protein, a transmembrane domain believed to form membrane pores and facilitate translocation.  Inositol hexakisphosphate (IP6) binds Tcd proteins, an interaction that is stabilized by salt bridges in the binding pocket (Figure 1).   <strong>Figure 1</strong>  Salt bridges formed between IP6 and the amino acids in the binding pocketThis interaction induces a conformational change that causes a molecular flap to move away from the catalytic site.  The catalytic site then mediates intramolecular cleavage in a reaction known as autoprocessing.  This reaction results in the release of GTD into the cytosol, where it becomes active.To better understand the relationship between IP6 binding and catalytic activity, autoprocessing assays were performed.  Researchers mutated histidine to alanine at positions 759 and 757 in the flap regions of TcdA and TcdB, respectively.  They then compared the autoprocessing activities of H759A and H757A mutants to those of wild-type TcdA and TcdB at varying concentrations of IP6 (Figure 2).   <strong>Figure 2</strong>  Percent cleavage of wild-type and mutant Tcd by autoprocessing Adapted from Chumbler NM, Rutherford SA, Zhang Z, et al. Crystal structure of Clostridium difficile toxin A. Nat Microbiol. 2016;1:15002. Which conclusion about the effect of the H759A and H757A mutations is best supported by Figure 2?</strong> A)Mutant Tcd requires greater concentrations of IP6 to undergo autoprocessing. B)Tcd mutant protease activity is less dependent on IP6 than is wild-type activity. C)Alanine helps control the rate of autoprocessing. D)Tcd mutants have reduced affinity for IP6. Figure 2  Percent cleavage of wild-type and mutant Tcd by autoprocessing
Adapted from Chumbler NM, Rutherford SA, Zhang Z, et al. Crystal structure of Clostridium difficile toxin A. Nat Microbiol. 2016;1:15002.
Which conclusion about the effect of the H759A and H757A mutations is best supported by Figure 2?

A)Mutant Tcd requires greater concentrations of IP6 to undergo autoprocessing.
B)Tcd mutant protease activity is less dependent on IP6 than is wild-type activity.
C)Alanine helps control the rate of autoprocessing.
D)Tcd mutants have reduced affinity for IP6.
Unlock Deck
Unlock for access to all 307 flashcards in this deck.
Unlock Deck
k this deck
31
Passage
Spinocerebellar ataxia 3 (SCA3) is a neurodegenerative disease that manifests as a progressive decrease in coordination of limbs and frequently results in impaired speech and eye coordination.  It is associated with extension of the polyglutamine (polyQ) region of the ataxin-3 protein.  The polyQ region is encoded by a series of consecutive CAG codons known as poly-CAG repeats.  These regions vary in length from one person to another, ranging from as few as 10 to as many as 80 repeats.  SCA3 has been reported in patients with polyQ regions exceeding ~55 repeats, and increased polyQ length correlates with earlier onset of the disease and greater clinical severity.Circular dichroism (CD) is a method of assessing protein secondary structure.  It measures a molecule's ability to absorb left- and right-handed circularly polarized light of varying wavelengths.  The absorption difference is known as "ellipticity," denoted by Δε.  Alpha-helices have a maximum Δε at 190 nm, and beta-sheets have a maximum Δε at 200 nm.CD results show that as the length of the ataxin-3 polyQ region increases, alpha-helical nature is lost and the protein aggregates, ultimately precipitating out of solution and depositing in brain and other tissues.  Furthermore, as proteins aggregate, they form beta-sheets.  These beta-sheets are in the parallel orientation, and each sheet can interact with sheets in other proteins to form long, insoluble structures known as amyloid fibers (Figure 1).
<strong>Passage Spinocerebellar ataxia 3 (SCA3) is a neurodegenerative disease that manifests as a progressive decrease in coordination of limbs and frequently results in impaired speech and eye coordination.  It is associated with extension of the polyglutamine (polyQ) region of the ataxin-3 protein.  The polyQ region is encoded by a series of consecutive CAG codons known as poly-CAG repeats.  These regions vary in length from one person to another, ranging from as few as 10 to as many as 80 repeats.  SCA3 has been reported in patients with polyQ regions exceeding ~55 repeats, and increased polyQ length correlates with earlier onset of the disease and greater clinical severity.Circular dichroism (CD) is a method of assessing protein secondary structure.  It measures a molecule's ability to absorb left- and right-handed circularly polarized light of varying wavelengths.  The absorption difference is known as ellipticity, denoted by Δε.  Alpha-helices have a maximum Δε at 190 nm, and beta-sheets have a maximum Δε at 200 nm.CD results show that as the length of the ataxin-3 polyQ region increases, alpha-helical nature is lost and the protein aggregates, ultimately precipitating out of solution and depositing in brain and other tissues.  Furthermore, as proteins aggregate, they form beta-sheets.  These beta-sheets are in the parallel orientation, and each sheet can interact with sheets in other proteins to form long, insoluble structures known as amyloid fibers (Figure 1).   <strong>Figure 1</strong>  Depiction of the ataxin-3 polyQ region shifting from alpha-helical (cylinders) to beta-sheet (arrows) structure and aggregatingGlutamine can be encoded by both CAG and CAA codons.  Researchers investigated survival rates in fruit flies expressing ataxin-3 with polyQ regions of equal length encoded by either CAG-CAG or CAA-CAG repeats (Table 1).  The protein products had identical amino acid sequences.<strong>Table 1</strong>  Fruit Fly Survival Rates Relative to Ataxin-3 Expression   Adapted from Bevivino AE, Loll PJ. An expanded glutamine repeat destabilizes native ataxin-3 structure and mediates formation of parallel beta -fibrils. Proc Natl Acad Sci USA. 2001;98(21):11955-60. Researchers hypothesized that overexpression of the chaperone protein HSP70 could reduce toxicity associated with ataxin-3 containing long polyQ regions.  Which line of reasoning might have led them to this hypothesis?</strong> A)HSP70 may downregulate transcription of additional ataxin-3. B)HSP70 may facilitate proper folding and solubility of ataxin-3. C)HSP70 may degrade amyloid fibers, removing them from the system. D)HSP70 may disrupt hydrogen bonds between beta-sheets of adjacent proteins. Figure 1  Depiction of the ataxin-3 polyQ region shifting from alpha-helical (cylinders) to beta-sheet (arrows) structure and aggregatingGlutamine can be encoded by both CAG and CAA codons.  Researchers investigated survival rates in fruit flies expressing ataxin-3 with polyQ regions of equal length encoded by either CAG-CAG or CAA-CAG repeats (Table 1).  The protein products had identical amino acid sequences.Table 1  Fruit Fly Survival Rates Relative to Ataxin-3 Expression
<strong>Passage Spinocerebellar ataxia 3 (SCA3) is a neurodegenerative disease that manifests as a progressive decrease in coordination of limbs and frequently results in impaired speech and eye coordination.  It is associated with extension of the polyglutamine (polyQ) region of the ataxin-3 protein.  The polyQ region is encoded by a series of consecutive CAG codons known as poly-CAG repeats.  These regions vary in length from one person to another, ranging from as few as 10 to as many as 80 repeats.  SCA3 has been reported in patients with polyQ regions exceeding ~55 repeats, and increased polyQ length correlates with earlier onset of the disease and greater clinical severity.Circular dichroism (CD) is a method of assessing protein secondary structure.  It measures a molecule's ability to absorb left- and right-handed circularly polarized light of varying wavelengths.  The absorption difference is known as ellipticity, denoted by Δε.  Alpha-helices have a maximum Δε at 190 nm, and beta-sheets have a maximum Δε at 200 nm.CD results show that as the length of the ataxin-3 polyQ region increases, alpha-helical nature is lost and the protein aggregates, ultimately precipitating out of solution and depositing in brain and other tissues.  Furthermore, as proteins aggregate, they form beta-sheets.  These beta-sheets are in the parallel orientation, and each sheet can interact with sheets in other proteins to form long, insoluble structures known as amyloid fibers (Figure 1).   <strong>Figure 1</strong>  Depiction of the ataxin-3 polyQ region shifting from alpha-helical (cylinders) to beta-sheet (arrows) structure and aggregatingGlutamine can be encoded by both CAG and CAA codons.  Researchers investigated survival rates in fruit flies expressing ataxin-3 with polyQ regions of equal length encoded by either CAG-CAG or CAA-CAG repeats (Table 1).  The protein products had identical amino acid sequences.<strong>Table 1</strong>  Fruit Fly Survival Rates Relative to Ataxin-3 Expression   Adapted from Bevivino AE, Loll PJ. An expanded glutamine repeat destabilizes native ataxin-3 structure and mediates formation of parallel beta -fibrils. Proc Natl Acad Sci USA. 2001;98(21):11955-60. Researchers hypothesized that overexpression of the chaperone protein HSP70 could reduce toxicity associated with ataxin-3 containing long polyQ regions.  Which line of reasoning might have led them to this hypothesis?</strong> A)HSP70 may downregulate transcription of additional ataxin-3. B)HSP70 may facilitate proper folding and solubility of ataxin-3. C)HSP70 may degrade amyloid fibers, removing them from the system. D)HSP70 may disrupt hydrogen bonds between beta-sheets of adjacent proteins. Adapted from Bevivino AE, Loll PJ. An expanded glutamine repeat destabilizes native ataxin-3 structure and mediates formation of parallel beta -fibrils. Proc Natl Acad Sci USA. 2001;98(21):11955-60.
Researchers hypothesized that overexpression of the chaperone protein HSP70 could reduce toxicity associated with ataxin-3 containing long polyQ regions.  Which line of reasoning might have led them to this hypothesis?

A)HSP70 may downregulate transcription of additional ataxin-3.
B)HSP70 may facilitate proper folding and solubility of ataxin-3.
C)HSP70 may degrade amyloid fibers, removing them from the system.
D)HSP70 may disrupt hydrogen bonds between beta-sheets of adjacent proteins.
Unlock Deck
Unlock for access to all 307 flashcards in this deck.
Unlock Deck
k this deck
32
Passage
Spinocerebellar ataxia 3 (SCA3) is a neurodegenerative disease that manifests as a progressive decrease in coordination of limbs and frequently results in impaired speech and eye coordination.  It is associated with extension of the polyglutamine (polyQ) region of the ataxin-3 protein.  The polyQ region is encoded by a series of consecutive CAG codons known as poly-CAG repeats.  These regions vary in length from one person to another, ranging from as few as 10 to as many as 80 repeats.  SCA3 has been reported in patients with polyQ regions exceeding ~55 repeats, and increased polyQ length correlates with earlier onset of the disease and greater clinical severity.Circular dichroism (CD) is a method of assessing protein secondary structure.  It measures a molecule's ability to absorb left- and right-handed circularly polarized light of varying wavelengths.  The absorption difference is known as "ellipticity," denoted by Δε.  Alpha-helices have a maximum Δε at 190 nm, and beta-sheets have a maximum Δε at 200 nm.CD results show that as the length of the ataxin-3 polyQ region increases, alpha-helical nature is lost and the protein aggregates, ultimately precipitating out of solution and depositing in brain and other tissues.  Furthermore, as proteins aggregate, they form beta-sheets.  These beta-sheets are in the parallel orientation, and each sheet can interact with sheets in other proteins to form long, insoluble structures known as amyloid fibers (Figure 1).
<strong>Passage Spinocerebellar ataxia 3 (SCA3) is a neurodegenerative disease that manifests as a progressive decrease in coordination of limbs and frequently results in impaired speech and eye coordination.  It is associated with extension of the polyglutamine (polyQ) region of the ataxin-3 protein.  The polyQ region is encoded by a series of consecutive CAG codons known as poly-CAG repeats.  These regions vary in length from one person to another, ranging from as few as 10 to as many as 80 repeats.  SCA3 has been reported in patients with polyQ regions exceeding ~55 repeats, and increased polyQ length correlates with earlier onset of the disease and greater clinical severity.Circular dichroism (CD) is a method of assessing protein secondary structure.  It measures a molecule's ability to absorb left- and right-handed circularly polarized light of varying wavelengths.  The absorption difference is known as ellipticity, denoted by Δε.  Alpha-helices have a maximum Δε at 190 nm, and beta-sheets have a maximum Δε at 200 nm.CD results show that as the length of the ataxin-3 polyQ region increases, alpha-helical nature is lost and the protein aggregates, ultimately precipitating out of solution and depositing in brain and other tissues.  Furthermore, as proteins aggregate, they form beta-sheets.  These beta-sheets are in the parallel orientation, and each sheet can interact with sheets in other proteins to form long, insoluble structures known as amyloid fibers (Figure 1).   <strong>Figure 1</strong>  Depiction of the ataxin-3 polyQ region shifting from alpha-helical (cylinders) to beta-sheet (arrows) structure and aggregatingGlutamine can be encoded by both CAG and CAA codons.  Researchers investigated survival rates in fruit flies expressing ataxin-3 with polyQ regions of equal length encoded by either CAG-CAG or CAA-CAG repeats (Table 1).  The protein products had identical amino acid sequences.<strong>Table 1</strong>  Fruit Fly Survival Rates Relative to Ataxin-3 Expression   Adapted from Bevivino AE, Loll PJ. An expanded glutamine repeat destabilizes native ataxin-3 structure and mediates formation of parallel beta -fibrils. Proc Natl Acad Sci USA. 2001;98(21):11955-60. Scientists concluded that ataxin-3 folding is not the only factor that contributes to SCA3.  Is this conclusion supported by the data?</strong> A)Yes; flies with identical ataxin-3 proteins but distinct ataxin-3 mRNA had different survival rates. B)Yes; flies with different ataxin-3 expression and aggregation levels had the same survival rates. C)No; flies with more ataxin-3 expression had a lower survival rate. D)No; flies with less ataxin-3 aggregation had a higher survival rate. Figure 1  Depiction of the ataxin-3 polyQ region shifting from alpha-helical (cylinders) to beta-sheet (arrows) structure and aggregatingGlutamine can be encoded by both CAG and CAA codons.  Researchers investigated survival rates in fruit flies expressing ataxin-3 with polyQ regions of equal length encoded by either CAG-CAG or CAA-CAG repeats (Table 1).  The protein products had identical amino acid sequences.Table 1  Fruit Fly Survival Rates Relative to Ataxin-3 Expression
<strong>Passage Spinocerebellar ataxia 3 (SCA3) is a neurodegenerative disease that manifests as a progressive decrease in coordination of limbs and frequently results in impaired speech and eye coordination.  It is associated with extension of the polyglutamine (polyQ) region of the ataxin-3 protein.  The polyQ region is encoded by a series of consecutive CAG codons known as poly-CAG repeats.  These regions vary in length from one person to another, ranging from as few as 10 to as many as 80 repeats.  SCA3 has been reported in patients with polyQ regions exceeding ~55 repeats, and increased polyQ length correlates with earlier onset of the disease and greater clinical severity.Circular dichroism (CD) is a method of assessing protein secondary structure.  It measures a molecule's ability to absorb left- and right-handed circularly polarized light of varying wavelengths.  The absorption difference is known as ellipticity, denoted by Δε.  Alpha-helices have a maximum Δε at 190 nm, and beta-sheets have a maximum Δε at 200 nm.CD results show that as the length of the ataxin-3 polyQ region increases, alpha-helical nature is lost and the protein aggregates, ultimately precipitating out of solution and depositing in brain and other tissues.  Furthermore, as proteins aggregate, they form beta-sheets.  These beta-sheets are in the parallel orientation, and each sheet can interact with sheets in other proteins to form long, insoluble structures known as amyloid fibers (Figure 1).   <strong>Figure 1</strong>  Depiction of the ataxin-3 polyQ region shifting from alpha-helical (cylinders) to beta-sheet (arrows) structure and aggregatingGlutamine can be encoded by both CAG and CAA codons.  Researchers investigated survival rates in fruit flies expressing ataxin-3 with polyQ regions of equal length encoded by either CAG-CAG or CAA-CAG repeats (Table 1).  The protein products had identical amino acid sequences.<strong>Table 1</strong>  Fruit Fly Survival Rates Relative to Ataxin-3 Expression   Adapted from Bevivino AE, Loll PJ. An expanded glutamine repeat destabilizes native ataxin-3 structure and mediates formation of parallel beta -fibrils. Proc Natl Acad Sci USA. 2001;98(21):11955-60. Scientists concluded that ataxin-3 folding is not the only factor that contributes to SCA3.  Is this conclusion supported by the data?</strong> A)Yes; flies with identical ataxin-3 proteins but distinct ataxin-3 mRNA had different survival rates. B)Yes; flies with different ataxin-3 expression and aggregation levels had the same survival rates. C)No; flies with more ataxin-3 expression had a lower survival rate. D)No; flies with less ataxin-3 aggregation had a higher survival rate. Adapted from Bevivino AE, Loll PJ. An expanded glutamine repeat destabilizes native ataxin-3 structure and mediates formation of parallel beta -fibrils. Proc Natl Acad Sci USA. 2001;98(21):11955-60.
Scientists concluded that ataxin-3 folding is not the only factor that contributes to SCA3.  Is this conclusion supported by the data?

A)Yes; flies with identical ataxin-3 proteins but distinct ataxin-3 mRNA had different survival rates.
B)Yes; flies with different ataxin-3 expression and aggregation levels had the same survival rates.
C)No; flies with more ataxin-3 expression had a lower survival rate.
D)No; flies with less ataxin-3 aggregation had a higher survival rate.
Unlock Deck
Unlock for access to all 307 flashcards in this deck.
Unlock Deck
k this deck
33
Passage
The bacterium Clostridium difficile secretes protein toxins TcdA and TcdB, two homologues associated with C. difficile-related colitis.  Tcd proteins enter host intestinal cells via endocytosis induced by interactions between the Tcd C-terminal domain and cell surface receptors.  Endocytosis is followed by translocation of the N-terminal glucosyltransferase domain (GTD) across the endosomal membrane.  The GTD remains anchored to endosomes by the central region of the protein, a transmembrane domain believed to form membrane pores and facilitate translocation.  Inositol hexakisphosphate (IP6) binds Tcd proteins, an interaction that is stabilized by salt bridges in the binding pocket (Figure 1).
<strong>Passage The bacterium Clostridium difficile secretes protein toxins TcdA and TcdB, two homologues associated with C. difficile-related colitis.  Tcd proteins enter host intestinal cells via endocytosis induced by interactions between the Tcd C-terminal domain and cell surface receptors.  Endocytosis is followed by translocation of the N-terminal glucosyltransferase domain (GTD) across the endosomal membrane.  The GTD remains anchored to endosomes by the central region of the protein, a transmembrane domain believed to form membrane pores and facilitate translocation.  Inositol hexakisphosphate (IP6) binds Tcd proteins, an interaction that is stabilized by salt bridges in the binding pocket (Figure 1).   <strong>Figure 1</strong>  Salt bridges formed between IP6 and the amino acids in the binding pocketThis interaction induces a conformational change that causes a molecular flap to move away from the catalytic site.  The catalytic site then mediates intramolecular cleavage in a reaction known as autoprocessing.  This reaction results in the release of GTD into the cytosol, where it becomes active.To better understand the relationship between IP6 binding and catalytic activity, autoprocessing assays were performed.  Researchers mutated histidine to alanine at positions 759 and 757 in the flap regions of TcdA and TcdB, respectively.  They then compared the autoprocessing activities of H759A and H757A mutants to those of wild-type TcdA and TcdB at varying concentrations of IP6 (Figure 2).   <strong>Figure 2</strong>  Percent cleavage of wild-type and mutant Tcd by autoprocessing Adapted from Chumbler NM, Rutherford SA, Zhang Z, et al. Crystal structure of Clostridium difficile toxin A. Nat Microbiol. 2016;1:15002. Based on Figure 2, residues H757 and H759 of wild-type TcdA and TcdB, respectively, may function to:</strong> A)interact with IP6, stabilizing its interaction in the binding pocket. B)act as a general base in the IP6-dependent Tcd protease reaction mechanism. C)mediate an interaction in the flap region necessary to obstruct the active site. D)create charge repulsion, opposing interaction between the flap region and active site. Figure 1  Salt bridges formed between IP6 and the amino acids in the binding pocketThis interaction induces a conformational change that causes a molecular flap to move away from the catalytic site.  The catalytic site then mediates intramolecular cleavage in a reaction known as autoprocessing.  This reaction results in the release of GTD into the cytosol, where it becomes active.To better understand the relationship between IP6 binding and catalytic activity, autoprocessing assays were performed.  Researchers mutated histidine to alanine at positions 759 and 757 in the flap regions of TcdA and TcdB, respectively.  They then compared the autoprocessing activities of H759A and H757A mutants to those of wild-type TcdA and TcdB at varying concentrations of IP6 (Figure 2).
<strong>Passage The bacterium Clostridium difficile secretes protein toxins TcdA and TcdB, two homologues associated with C. difficile-related colitis.  Tcd proteins enter host intestinal cells via endocytosis induced by interactions between the Tcd C-terminal domain and cell surface receptors.  Endocytosis is followed by translocation of the N-terminal glucosyltransferase domain (GTD) across the endosomal membrane.  The GTD remains anchored to endosomes by the central region of the protein, a transmembrane domain believed to form membrane pores and facilitate translocation.  Inositol hexakisphosphate (IP6) binds Tcd proteins, an interaction that is stabilized by salt bridges in the binding pocket (Figure 1).   <strong>Figure 1</strong>  Salt bridges formed between IP6 and the amino acids in the binding pocketThis interaction induces a conformational change that causes a molecular flap to move away from the catalytic site.  The catalytic site then mediates intramolecular cleavage in a reaction known as autoprocessing.  This reaction results in the release of GTD into the cytosol, where it becomes active.To better understand the relationship between IP6 binding and catalytic activity, autoprocessing assays were performed.  Researchers mutated histidine to alanine at positions 759 and 757 in the flap regions of TcdA and TcdB, respectively.  They then compared the autoprocessing activities of H759A and H757A mutants to those of wild-type TcdA and TcdB at varying concentrations of IP6 (Figure 2).   <strong>Figure 2</strong>  Percent cleavage of wild-type and mutant Tcd by autoprocessing Adapted from Chumbler NM, Rutherford SA, Zhang Z, et al. Crystal structure of Clostridium difficile toxin A. Nat Microbiol. 2016;1:15002. Based on Figure 2, residues H757 and H759 of wild-type TcdA and TcdB, respectively, may function to:</strong> A)interact with IP6, stabilizing its interaction in the binding pocket. B)act as a general base in the IP6-dependent Tcd protease reaction mechanism. C)mediate an interaction in the flap region necessary to obstruct the active site. D)create charge repulsion, opposing interaction between the flap region and active site. Figure 2  Percent cleavage of wild-type and mutant Tcd by autoprocessing
Adapted from Chumbler NM, Rutherford SA, Zhang Z, et al. Crystal structure of Clostridium difficile toxin A. Nat Microbiol. 2016;1:15002.
Based on Figure 2, residues H757 and H759 of wild-type TcdA and TcdB, respectively, may function to:

A)interact with IP6, stabilizing its interaction in the binding pocket.
B)act as a general base in the IP6-dependent Tcd protease reaction mechanism.
C)mediate an interaction in the flap region necessary to obstruct the active site.
D)create charge repulsion, opposing interaction between the flap region and active site.
Unlock Deck
Unlock for access to all 307 flashcards in this deck.
Unlock Deck
k this deck
34
Passage
The liver plays a central role in maintaining blood glucose homoeostasis.  It contains the highest concentration of glycogen of any organ in the body and is one of few organs that can regenerate glucose from metabolic byproducts.  The liver can replenish glucose in muscle and brain tissue during times of fasting, and it can help prevent lactate accumulation during intense physical activity.Von Gierke disease is a rare autosomal recessive disorder that arises from inactivating mutations in the liver enzyme glucose 6-phosphatase (G6Pase).  It affects roughly 1 in 100,000 individuals, and the resulting loss of both hormonal sensitivity and enzymatic activity leads to hypoglycemia (low blood sugar).  Von Gierke can also cause an increase in blood acidity concurrent with lactate build-up.  Patients typically become symptomatic shortly after birth with convulsions, hyperventilation, and tremors.  Left untreated, patients may develop gout, osteoporosis, and life-threatening complications such as kidney failure and liver tumors.In an effort to examine the biochemical consequences of this disorder, scientists generated a genetically engineered mouse model with liver G6Pase expression under the control of the Tet-Off system at both alleles.  Under this system, addition of the small molecule tetracycline in the water source of the mouse rapidly shuts off G6Pase gene expression and therefore can recapitulate von Gierke disease.  Blood glucose and pH levels were measured daily in two groups of genetically engineered mice over 20 days: group A mice received no tetracycline and group B mice were given tetracycline starting at day 10.  All mice were fed identical low-sugar diets throughout the experiment.
Adapted from Froissart R, Piraud M, Boudjemline AM, et al. Glucose-6-phosphatase deficiency. Orphanet J Rare Dis. 2011;6:27.
Which of the following graphs best reflects the expected average blood glucose and pH levels over time for group B mice?

A) <strong>Passage The liver plays a central role in maintaining blood glucose homoeostasis.  It contains the highest concentration of glycogen of any organ in the body and is one of few organs that can regenerate glucose from metabolic byproducts.  The liver can replenish glucose in muscle and brain tissue during times of fasting, and it can help prevent lactate accumulation during intense physical activity.Von Gierke disease is a rare autosomal recessive disorder that arises from inactivating mutations in the liver enzyme glucose 6-phosphatase (G6Pase).  It affects roughly 1 in 100,000 individuals, and the resulting loss of both hormonal sensitivity and enzymatic activity leads to hypoglycemia (low blood sugar).  Von Gierke can also cause an increase in blood acidity concurrent with lactate build-up.  Patients typically become symptomatic shortly after birth with convulsions, hyperventilation, and tremors.  Left untreated, patients may develop gout, osteoporosis, and life-threatening complications such as kidney failure and liver tumors.In an effort to examine the biochemical consequences of this disorder, scientists generated a genetically engineered mouse model with liver G6Pase expression under the control of the Tet-Off system at both alleles.  Under this system, addition of the small molecule tetracycline in the water source of the mouse rapidly shuts off G6Pase gene expression and therefore can recapitulate von Gierke disease.  Blood glucose and pH levels were measured daily in two groups of genetically engineered mice over 20 days: group A mice received no tetracycline and group B mice were given tetracycline starting at day 10.  All mice were fed identical low-sugar diets throughout the experiment. Adapted from Froissart R, Piraud M, Boudjemline AM, et al. Glucose-6-phosphatase deficiency. Orphanet J Rare Dis. 2011;6:27. Which of the following graphs best reflects the expected average blood glucose and pH levels over time for group B mice?</strong> A)   B)   C)   D)
B) <strong>Passage The liver plays a central role in maintaining blood glucose homoeostasis.  It contains the highest concentration of glycogen of any organ in the body and is one of few organs that can regenerate glucose from metabolic byproducts.  The liver can replenish glucose in muscle and brain tissue during times of fasting, and it can help prevent lactate accumulation during intense physical activity.Von Gierke disease is a rare autosomal recessive disorder that arises from inactivating mutations in the liver enzyme glucose 6-phosphatase (G6Pase).  It affects roughly 1 in 100,000 individuals, and the resulting loss of both hormonal sensitivity and enzymatic activity leads to hypoglycemia (low blood sugar).  Von Gierke can also cause an increase in blood acidity concurrent with lactate build-up.  Patients typically become symptomatic shortly after birth with convulsions, hyperventilation, and tremors.  Left untreated, patients may develop gout, osteoporosis, and life-threatening complications such as kidney failure and liver tumors.In an effort to examine the biochemical consequences of this disorder, scientists generated a genetically engineered mouse model with liver G6Pase expression under the control of the Tet-Off system at both alleles.  Under this system, addition of the small molecule tetracycline in the water source of the mouse rapidly shuts off G6Pase gene expression and therefore can recapitulate von Gierke disease.  Blood glucose and pH levels were measured daily in two groups of genetically engineered mice over 20 days: group A mice received no tetracycline and group B mice were given tetracycline starting at day 10.  All mice were fed identical low-sugar diets throughout the experiment. Adapted from Froissart R, Piraud M, Boudjemline AM, et al. Glucose-6-phosphatase deficiency. Orphanet J Rare Dis. 2011;6:27. Which of the following graphs best reflects the expected average blood glucose and pH levels over time for group B mice?</strong> A)   B)   C)   D)
C) <strong>Passage The liver plays a central role in maintaining blood glucose homoeostasis.  It contains the highest concentration of glycogen of any organ in the body and is one of few organs that can regenerate glucose from metabolic byproducts.  The liver can replenish glucose in muscle and brain tissue during times of fasting, and it can help prevent lactate accumulation during intense physical activity.Von Gierke disease is a rare autosomal recessive disorder that arises from inactivating mutations in the liver enzyme glucose 6-phosphatase (G6Pase).  It affects roughly 1 in 100,000 individuals, and the resulting loss of both hormonal sensitivity and enzymatic activity leads to hypoglycemia (low blood sugar).  Von Gierke can also cause an increase in blood acidity concurrent with lactate build-up.  Patients typically become symptomatic shortly after birth with convulsions, hyperventilation, and tremors.  Left untreated, patients may develop gout, osteoporosis, and life-threatening complications such as kidney failure and liver tumors.In an effort to examine the biochemical consequences of this disorder, scientists generated a genetically engineered mouse model with liver G6Pase expression under the control of the Tet-Off system at both alleles.  Under this system, addition of the small molecule tetracycline in the water source of the mouse rapidly shuts off G6Pase gene expression and therefore can recapitulate von Gierke disease.  Blood glucose and pH levels were measured daily in two groups of genetically engineered mice over 20 days: group A mice received no tetracycline and group B mice were given tetracycline starting at day 10.  All mice were fed identical low-sugar diets throughout the experiment. Adapted from Froissart R, Piraud M, Boudjemline AM, et al. Glucose-6-phosphatase deficiency. Orphanet J Rare Dis. 2011;6:27. Which of the following graphs best reflects the expected average blood glucose and pH levels over time for group B mice?</strong> A)   B)   C)   D)
D) <strong>Passage The liver plays a central role in maintaining blood glucose homoeostasis.  It contains the highest concentration of glycogen of any organ in the body and is one of few organs that can regenerate glucose from metabolic byproducts.  The liver can replenish glucose in muscle and brain tissue during times of fasting, and it can help prevent lactate accumulation during intense physical activity.Von Gierke disease is a rare autosomal recessive disorder that arises from inactivating mutations in the liver enzyme glucose 6-phosphatase (G6Pase).  It affects roughly 1 in 100,000 individuals, and the resulting loss of both hormonal sensitivity and enzymatic activity leads to hypoglycemia (low blood sugar).  Von Gierke can also cause an increase in blood acidity concurrent with lactate build-up.  Patients typically become symptomatic shortly after birth with convulsions, hyperventilation, and tremors.  Left untreated, patients may develop gout, osteoporosis, and life-threatening complications such as kidney failure and liver tumors.In an effort to examine the biochemical consequences of this disorder, scientists generated a genetically engineered mouse model with liver G6Pase expression under the control of the Tet-Off system at both alleles.  Under this system, addition of the small molecule tetracycline in the water source of the mouse rapidly shuts off G6Pase gene expression and therefore can recapitulate von Gierke disease.  Blood glucose and pH levels were measured daily in two groups of genetically engineered mice over 20 days: group A mice received no tetracycline and group B mice were given tetracycline starting at day 10.  All mice were fed identical low-sugar diets throughout the experiment. Adapted from Froissart R, Piraud M, Boudjemline AM, et al. Glucose-6-phosphatase deficiency. Orphanet J Rare Dis. 2011;6:27. Which of the following graphs best reflects the expected average blood glucose and pH levels over time for group B mice?</strong> A)   B)   C)   D)
Unlock Deck
Unlock for access to all 307 flashcards in this deck.
Unlock Deck
k this deck
35
Passage
The bacterium Clostridium difficile secretes protein toxins TcdA and TcdB, two homologues associated with C. difficile-related colitis.  Tcd proteins enter host intestinal cells via endocytosis induced by interactions between the Tcd C-terminal domain and cell surface receptors.  Endocytosis is followed by translocation of the N-terminal glucosyltransferase domain (GTD) across the endosomal membrane.  The GTD remains anchored to endosomes by the central region of the protein, a transmembrane domain believed to form membrane pores and facilitate translocation.  Inositol hexakisphosphate (IP6) binds Tcd proteins, an interaction that is stabilized by salt bridges in the binding pocket (Figure 1).
<strong>Passage The bacterium Clostridium difficile secretes protein toxins TcdA and TcdB, two homologues associated with C. difficile-related colitis.  Tcd proteins enter host intestinal cells via endocytosis induced by interactions between the Tcd C-terminal domain and cell surface receptors.  Endocytosis is followed by translocation of the N-terminal glucosyltransferase domain (GTD) across the endosomal membrane.  The GTD remains anchored to endosomes by the central region of the protein, a transmembrane domain believed to form membrane pores and facilitate translocation.  Inositol hexakisphosphate (IP6) binds Tcd proteins, an interaction that is stabilized by salt bridges in the binding pocket (Figure 1).   <strong>Figure 1</strong>  Salt bridges formed between IP6 and the amino acids in the binding pocketThis interaction induces a conformational change that causes a molecular flap to move away from the catalytic site.  The catalytic site then mediates intramolecular cleavage in a reaction known as autoprocessing.  This reaction results in the release of GTD into the cytosol, where it becomes active.To better understand the relationship between IP6 binding and catalytic activity, autoprocessing assays were performed.  Researchers mutated histidine to alanine at positions 759 and 757 in the flap regions of TcdA and TcdB, respectively.  They then compared the autoprocessing activities of H759A and H757A mutants to those of wild-type TcdA and TcdB at varying concentrations of IP6 (Figure 2).   <strong>Figure 2</strong>  Percent cleavage of wild-type and mutant Tcd by autoprocessing Adapted from Chumbler NM, Rutherford SA, Zhang Z, et al. Crystal structure of Clostridium difficile toxin A. Nat Microbiol. 2016;1:15002. Which of the following statements correctly characterizes the bond that is broken during the reaction catalyzed by the IP6-dependent Tcd protease?</strong> A)The bond rapidly degrades in the absence of enzyme. B)The bond restricts molecular rotation. C)The bond is part of a tetrahedral structure. D)The nitrogen involved in the bond is negatively charged. Figure 1  Salt bridges formed between IP6 and the amino acids in the binding pocketThis interaction induces a conformational change that causes a molecular flap to move away from the catalytic site.  The catalytic site then mediates intramolecular cleavage in a reaction known as autoprocessing.  This reaction results in the release of GTD into the cytosol, where it becomes active.To better understand the relationship between IP6 binding and catalytic activity, autoprocessing assays were performed.  Researchers mutated histidine to alanine at positions 759 and 757 in the flap regions of TcdA and TcdB, respectively.  They then compared the autoprocessing activities of H759A and H757A mutants to those of wild-type TcdA and TcdB at varying concentrations of IP6 (Figure 2).
<strong>Passage The bacterium Clostridium difficile secretes protein toxins TcdA and TcdB, two homologues associated with C. difficile-related colitis.  Tcd proteins enter host intestinal cells via endocytosis induced by interactions between the Tcd C-terminal domain and cell surface receptors.  Endocytosis is followed by translocation of the N-terminal glucosyltransferase domain (GTD) across the endosomal membrane.  The GTD remains anchored to endosomes by the central region of the protein, a transmembrane domain believed to form membrane pores and facilitate translocation.  Inositol hexakisphosphate (IP6) binds Tcd proteins, an interaction that is stabilized by salt bridges in the binding pocket (Figure 1).   <strong>Figure 1</strong>  Salt bridges formed between IP6 and the amino acids in the binding pocketThis interaction induces a conformational change that causes a molecular flap to move away from the catalytic site.  The catalytic site then mediates intramolecular cleavage in a reaction known as autoprocessing.  This reaction results in the release of GTD into the cytosol, where it becomes active.To better understand the relationship between IP6 binding and catalytic activity, autoprocessing assays were performed.  Researchers mutated histidine to alanine at positions 759 and 757 in the flap regions of TcdA and TcdB, respectively.  They then compared the autoprocessing activities of H759A and H757A mutants to those of wild-type TcdA and TcdB at varying concentrations of IP6 (Figure 2).   <strong>Figure 2</strong>  Percent cleavage of wild-type and mutant Tcd by autoprocessing Adapted from Chumbler NM, Rutherford SA, Zhang Z, et al. Crystal structure of Clostridium difficile toxin A. Nat Microbiol. 2016;1:15002. Which of the following statements correctly characterizes the bond that is broken during the reaction catalyzed by the IP6-dependent Tcd protease?</strong> A)The bond rapidly degrades in the absence of enzyme. B)The bond restricts molecular rotation. C)The bond is part of a tetrahedral structure. D)The nitrogen involved in the bond is negatively charged. Figure 2  Percent cleavage of wild-type and mutant Tcd by autoprocessing
Adapted from Chumbler NM, Rutherford SA, Zhang Z, et al. Crystal structure of Clostridium difficile toxin A. Nat Microbiol. 2016;1:15002.
Which of the following statements correctly characterizes the bond that is broken during the reaction catalyzed by the IP6-dependent Tcd protease?

A)The bond rapidly degrades in the absence of enzyme.
B)The bond restricts molecular rotation.
C)The bond is part of a tetrahedral structure.
D)The nitrogen involved in the bond is negatively charged.
Unlock Deck
Unlock for access to all 307 flashcards in this deck.
Unlock Deck
k this deck
36
Passage
The liver plays a central role in maintaining blood glucose homoeostasis.  It contains the highest concentration of glycogen of any organ in the body and is one of few organs that can regenerate glucose from metabolic byproducts.  The liver can replenish glucose in muscle and brain tissue during times of fasting, and it can help prevent lactate accumulation during intense physical activity.Von Gierke disease is a rare autosomal recessive disorder that arises from inactivating mutations in the liver enzyme glucose 6-phosphatase (G6Pase).  It affects roughly 1 in 100,000 individuals, and the resulting loss of both hormonal sensitivity and enzymatic activity leads to hypoglycemia (low blood sugar).  Von Gierke can also cause an increase in blood acidity concurrent with lactate build-up.  Patients typically become symptomatic shortly after birth with convulsions, hyperventilation, and tremors.  Left untreated, patients may develop gout, osteoporosis, and life-threatening complications such as kidney failure and liver tumors.In an effort to examine the biochemical consequences of this disorder, scientists generated a genetically engineered mouse model with liver G6Pase expression under the control of the Tet-Off system at both alleles.  Under this system, addition of the small molecule tetracycline in the water source of the mouse rapidly shuts off G6Pase gene expression and therefore can recapitulate von Gierke disease.  Blood glucose and pH levels were measured daily in two groups of genetically engineered mice over 20 days: group A mice received no tetracycline and group B mice were given tetracycline starting at day 10.  All mice were fed identical low-sugar diets throughout the experiment.
Adapted from Froissart R, Piraud M, Boudjemline AM, et al. Glucose-6-phosphatase deficiency. Orphanet J Rare Dis. 2011;6:27.
Which cofactor is regenerated by lactate synthesis?

A)NAD+
B)NADH
C)NADP+
D)NADPH
Unlock Deck
Unlock for access to all 307 flashcards in this deck.
Unlock Deck
k this deck
37
Passage
The bacterium Clostridium difficile secretes protein toxins TcdA and TcdB, two homologues associated with C. difficile-related colitis.  Tcd proteins enter host intestinal cells via endocytosis induced by interactions between the Tcd C-terminal domain and cell surface receptors.  Endocytosis is followed by translocation of the N-terminal glucosyltransferase domain (GTD) across the endosomal membrane.  The GTD remains anchored to endosomes by the central region of the protein, a transmembrane domain believed to form membrane pores and facilitate translocation.  Inositol hexakisphosphate (IP6) binds Tcd proteins, an interaction that is stabilized by salt bridges in the binding pocket (Figure 1).
<strong>Passage The bacterium Clostridium difficile secretes protein toxins TcdA and TcdB, two homologues associated with C. difficile-related colitis.  Tcd proteins enter host intestinal cells via endocytosis induced by interactions between the Tcd C-terminal domain and cell surface receptors.  Endocytosis is followed by translocation of the N-terminal glucosyltransferase domain (GTD) across the endosomal membrane.  The GTD remains anchored to endosomes by the central region of the protein, a transmembrane domain believed to form membrane pores and facilitate translocation.  Inositol hexakisphosphate (IP6) binds Tcd proteins, an interaction that is stabilized by salt bridges in the binding pocket (Figure 1).   <strong>Figure 1</strong>  Salt bridges formed between IP6 and the amino acids in the binding pocketThis interaction induces a conformational change that causes a molecular flap to move away from the catalytic site.  The catalytic site then mediates intramolecular cleavage in a reaction known as autoprocessing.  This reaction results in the release of GTD into the cytosol, where it becomes active.To better understand the relationship between IP6 binding and catalytic activity, autoprocessing assays were performed.  Researchers mutated histidine to alanine at positions 759 and 757 in the flap regions of TcdA and TcdB, respectively.  They then compared the autoprocessing activities of H759A and H757A mutants to those of wild-type TcdA and TcdB at varying concentrations of IP6 (Figure 2).   <strong>Figure 2</strong>  Percent cleavage of wild-type and mutant Tcd by autoprocessing Adapted from Chumbler NM, Rutherford SA, Zhang Z, et al. Crystal structure of Clostridium difficile toxin A. Nat Microbiol. 2016;1:15002. Which of the following amino acid residues is LEAST likely to be present in the Tcd central region?</strong> A)Ala B)His C)Val D)Met Figure 1  Salt bridges formed between IP6 and the amino acids in the binding pocketThis interaction induces a conformational change that causes a molecular flap to move away from the catalytic site.  The catalytic site then mediates intramolecular cleavage in a reaction known as autoprocessing.  This reaction results in the release of GTD into the cytosol, where it becomes active.To better understand the relationship between IP6 binding and catalytic activity, autoprocessing assays were performed.  Researchers mutated histidine to alanine at positions 759 and 757 in the flap regions of TcdA and TcdB, respectively.  They then compared the autoprocessing activities of H759A and H757A mutants to those of wild-type TcdA and TcdB at varying concentrations of IP6 (Figure 2).
<strong>Passage The bacterium Clostridium difficile secretes protein toxins TcdA and TcdB, two homologues associated with C. difficile-related colitis.  Tcd proteins enter host intestinal cells via endocytosis induced by interactions between the Tcd C-terminal domain and cell surface receptors.  Endocytosis is followed by translocation of the N-terminal glucosyltransferase domain (GTD) across the endosomal membrane.  The GTD remains anchored to endosomes by the central region of the protein, a transmembrane domain believed to form membrane pores and facilitate translocation.  Inositol hexakisphosphate (IP6) binds Tcd proteins, an interaction that is stabilized by salt bridges in the binding pocket (Figure 1).   <strong>Figure 1</strong>  Salt bridges formed between IP6 and the amino acids in the binding pocketThis interaction induces a conformational change that causes a molecular flap to move away from the catalytic site.  The catalytic site then mediates intramolecular cleavage in a reaction known as autoprocessing.  This reaction results in the release of GTD into the cytosol, where it becomes active.To better understand the relationship between IP6 binding and catalytic activity, autoprocessing assays were performed.  Researchers mutated histidine to alanine at positions 759 and 757 in the flap regions of TcdA and TcdB, respectively.  They then compared the autoprocessing activities of H759A and H757A mutants to those of wild-type TcdA and TcdB at varying concentrations of IP6 (Figure 2).   <strong>Figure 2</strong>  Percent cleavage of wild-type and mutant Tcd by autoprocessing Adapted from Chumbler NM, Rutherford SA, Zhang Z, et al. Crystal structure of Clostridium difficile toxin A. Nat Microbiol. 2016;1:15002. Which of the following amino acid residues is LEAST likely to be present in the Tcd central region?</strong> A)Ala B)His C)Val D)Met Figure 2  Percent cleavage of wild-type and mutant Tcd by autoprocessing
Adapted from Chumbler NM, Rutherford SA, Zhang Z, et al. Crystal structure of Clostridium difficile toxin A. Nat Microbiol. 2016;1:15002.
Which of the following amino acid residues is LEAST likely to be present in the Tcd central region?

A)Ala
B)His
C)Val
D)Met
Unlock Deck
Unlock for access to all 307 flashcards in this deck.
Unlock Deck
k this deck
38
Passage
Spinocerebellar ataxia 3 (SCA3) is a neurodegenerative disease that manifests as a progressive decrease in coordination of limbs and frequently results in impaired speech and eye coordination.  It is associated with extension of the polyglutamine (polyQ) region of the ataxin-3 protein.  The polyQ region is encoded by a series of consecutive CAG codons known as poly-CAG repeats.  These regions vary in length from one person to another, ranging from as few as 10 to as many as 80 repeats.  SCA3 has been reported in patients with polyQ regions exceeding ~55 repeats, and increased polyQ length correlates with earlier onset of the disease and greater clinical severity.Circular dichroism (CD) is a method of assessing protein secondary structure.  It measures a molecule's ability to absorb left- and right-handed circularly polarized light of varying wavelengths.  The absorption difference is known as "ellipticity," denoted by Δε.  Alpha-helices have a maximum Δε at 190 nm, and beta-sheets have a maximum Δε at 200 nm.CD results show that as the length of the ataxin-3 polyQ region increases, alpha-helical nature is lost and the protein aggregates, ultimately precipitating out of solution and depositing in brain and other tissues.  Furthermore, as proteins aggregate, they form beta-sheets.  These beta-sheets are in the parallel orientation, and each sheet can interact with sheets in other proteins to form long, insoluble structures known as amyloid fibers (Figure 1).
<strong>Passage Spinocerebellar ataxia 3 (SCA3) is a neurodegenerative disease that manifests as a progressive decrease in coordination of limbs and frequently results in impaired speech and eye coordination.  It is associated with extension of the polyglutamine (polyQ) region of the ataxin-3 protein.  The polyQ region is encoded by a series of consecutive CAG codons known as poly-CAG repeats.  These regions vary in length from one person to another, ranging from as few as 10 to as many as 80 repeats.  SCA3 has been reported in patients with polyQ regions exceeding ~55 repeats, and increased polyQ length correlates with earlier onset of the disease and greater clinical severity.Circular dichroism (CD) is a method of assessing protein secondary structure.  It measures a molecule's ability to absorb left- and right-handed circularly polarized light of varying wavelengths.  The absorption difference is known as ellipticity, denoted by Δε.  Alpha-helices have a maximum Δε at 190 nm, and beta-sheets have a maximum Δε at 200 nm.CD results show that as the length of the ataxin-3 polyQ region increases, alpha-helical nature is lost and the protein aggregates, ultimately precipitating out of solution and depositing in brain and other tissues.  Furthermore, as proteins aggregate, they form beta-sheets.  These beta-sheets are in the parallel orientation, and each sheet can interact with sheets in other proteins to form long, insoluble structures known as amyloid fibers (Figure 1).   <strong>Figure 1</strong>  Depiction of the ataxin-3 polyQ region shifting from alpha-helical (cylinders) to beta-sheet (arrows) structure and aggregatingGlutamine can be encoded by both CAG and CAA codons.  Researchers investigated survival rates in fruit flies expressing ataxin-3 with polyQ regions of equal length encoded by either CAG-CAG or CAA-CAG repeats (Table 1).  The protein products had identical amino acid sequences.<strong>Table 1</strong>  Fruit Fly Survival Rates Relative to Ataxin-3 Expression   Adapted from Bevivino AE, Loll PJ. An expanded glutamine repeat destabilizes native ataxin-3 structure and mediates formation of parallel beta -fibrils. Proc Natl Acad Sci USA. 2001;98(21):11955-60. Why might ataxin-3 aggregates become insoluble?</strong> A)The change in conformation from alpha-helix to beta-sheet exposes hydrophobic residues. B)The conformational change from alpha-helix to beta-sheet disrupts side-chain ionic interactions. C)Interactions between glutamine side chains exclude them from interacting with water. D)Beta-sheets expose more of the hydrophobic protein backbone than do alpha-helices. Figure 1  Depiction of the ataxin-3 polyQ region shifting from alpha-helical (cylinders) to beta-sheet (arrows) structure and aggregatingGlutamine can be encoded by both CAG and CAA codons.  Researchers investigated survival rates in fruit flies expressing ataxin-3 with polyQ regions of equal length encoded by either CAG-CAG or CAA-CAG repeats (Table 1).  The protein products had identical amino acid sequences.Table 1  Fruit Fly Survival Rates Relative to Ataxin-3 Expression
<strong>Passage Spinocerebellar ataxia 3 (SCA3) is a neurodegenerative disease that manifests as a progressive decrease in coordination of limbs and frequently results in impaired speech and eye coordination.  It is associated with extension of the polyglutamine (polyQ) region of the ataxin-3 protein.  The polyQ region is encoded by a series of consecutive CAG codons known as poly-CAG repeats.  These regions vary in length from one person to another, ranging from as few as 10 to as many as 80 repeats.  SCA3 has been reported in patients with polyQ regions exceeding ~55 repeats, and increased polyQ length correlates with earlier onset of the disease and greater clinical severity.Circular dichroism (CD) is a method of assessing protein secondary structure.  It measures a molecule's ability to absorb left- and right-handed circularly polarized light of varying wavelengths.  The absorption difference is known as ellipticity, denoted by Δε.  Alpha-helices have a maximum Δε at 190 nm, and beta-sheets have a maximum Δε at 200 nm.CD results show that as the length of the ataxin-3 polyQ region increases, alpha-helical nature is lost and the protein aggregates, ultimately precipitating out of solution and depositing in brain and other tissues.  Furthermore, as proteins aggregate, they form beta-sheets.  These beta-sheets are in the parallel orientation, and each sheet can interact with sheets in other proteins to form long, insoluble structures known as amyloid fibers (Figure 1).   <strong>Figure 1</strong>  Depiction of the ataxin-3 polyQ region shifting from alpha-helical (cylinders) to beta-sheet (arrows) structure and aggregatingGlutamine can be encoded by both CAG and CAA codons.  Researchers investigated survival rates in fruit flies expressing ataxin-3 with polyQ regions of equal length encoded by either CAG-CAG or CAA-CAG repeats (Table 1).  The protein products had identical amino acid sequences.<strong>Table 1</strong>  Fruit Fly Survival Rates Relative to Ataxin-3 Expression   Adapted from Bevivino AE, Loll PJ. An expanded glutamine repeat destabilizes native ataxin-3 structure and mediates formation of parallel beta -fibrils. Proc Natl Acad Sci USA. 2001;98(21):11955-60. Why might ataxin-3 aggregates become insoluble?</strong> A)The change in conformation from alpha-helix to beta-sheet exposes hydrophobic residues. B)The conformational change from alpha-helix to beta-sheet disrupts side-chain ionic interactions. C)Interactions between glutamine side chains exclude them from interacting with water. D)Beta-sheets expose more of the hydrophobic protein backbone than do alpha-helices. Adapted from Bevivino AE, Loll PJ. An expanded glutamine repeat destabilizes native ataxin-3 structure and mediates formation of parallel beta -fibrils. Proc Natl Acad Sci USA. 2001;98(21):11955-60.
Why might ataxin-3 aggregates become insoluble?

A)The change in conformation from alpha-helix to beta-sheet exposes hydrophobic residues.
B)The conformational change from alpha-helix to beta-sheet disrupts side-chain ionic interactions.
C)Interactions between glutamine side chains exclude them from interacting with water.
D)Beta-sheets expose more of the hydrophobic protein backbone than do alpha-helices.
Unlock Deck
Unlock for access to all 307 flashcards in this deck.
Unlock Deck
k this deck
39
Passage
The liver plays a central role in maintaining blood glucose homoeostasis.  It contains the highest concentration of glycogen of any organ in the body and is one of few organs that can regenerate glucose from metabolic byproducts.  The liver can replenish glucose in muscle and brain tissue during times of fasting, and it can help prevent lactate accumulation during intense physical activity.Von Gierke disease is a rare autosomal recessive disorder that arises from inactivating mutations in the liver enzyme glucose 6-phosphatase (G6Pase).  It affects roughly 1 in 100,000 individuals, and the resulting loss of both hormonal sensitivity and enzymatic activity leads to hypoglycemia (low blood sugar).  Von Gierke can also cause an increase in blood acidity concurrent with lactate build-up.  Patients typically become symptomatic shortly after birth with convulsions, hyperventilation, and tremors.  Left untreated, patients may develop gout, osteoporosis, and life-threatening complications such as kidney failure and liver tumors.In an effort to examine the biochemical consequences of this disorder, scientists generated a genetically engineered mouse model with liver G6Pase expression under the control of the Tet-Off system at both alleles.  Under this system, addition of the small molecule tetracycline in the water source of the mouse rapidly shuts off G6Pase gene expression and therefore can recapitulate von Gierke disease.  Blood glucose and pH levels were measured daily in two groups of genetically engineered mice over 20 days: group A mice received no tetracycline and group B mice were given tetracycline starting at day 10.  All mice were fed identical low-sugar diets throughout the experiment.
Adapted from Froissart R, Piraud M, Boudjemline AM, et al. Glucose-6-phosphatase deficiency. Orphanet J Rare Dis. 2011;6:27.
Which of the following processes would be directly impaired in von Gierke disease?GlycogenolysisGluconeogenesisPentose phosphate pathway

A)I and II only
B)I and III only
C)II and III only
D)I, II, and III
Unlock Deck
Unlock for access to all 307 flashcards in this deck.
Unlock Deck
k this deck
40
Passage
Presynaptic nerve terminals release neurotransmitters via synaptic vesicle exocytosis.  This action is mediated by the membrane-bound target-SNARE (t-SNARE) proteins syntaxin and SNAP-25, and the vesicle-associated SNARE (v-SNARE) protein synaptobrevin.  Membrane fusion is initiated when the t-SNAREs and v-SNAREs form an α-helix bundle known as the core-trans-complex, achieved by zipping SNARE proteins together to form a more stable cis-complex (Figure 1).
<strong>Passage Presynaptic nerve terminals release neurotransmitters via synaptic vesicle exocytosis.  This action is mediated by the membrane-bound target-SNARE (t-SNARE) proteins syntaxin and SNAP-25, and the vesicle-associated SNARE (v-SNARE) protein synaptobrevin.  Membrane fusion is initiated when the t-SNAREs and v-SNAREs form an α-helix bundle known as the core-trans-complex, achieved by zipping SNARE proteins together to form a more stable cis-complex (Figure 1).   <strong>Figure 1</strong>  Formation of the core-trans-complex and subsequent membrane fusionThe cis-complex contains the zero ionic layer, the main site of interaction between complexed proteins.  Within the zero ionic layer, arginine on synaptobrevin coordinates with carbonyl groups present on the other residues shown in Table 1.  The zero ionic layer is buried within leucine zipper domains, which act as a shield to solvent molecules.<strong>Table 1</strong>  Composition of cis-Complex Zero Ionic Layer   An early step in cis-complex disassembly is destabilization by the ATPase N-ethylmaleimide-sensitive factor (NSF), which initiates unzipping by breaking flanking leucine zipper regions, leading to vesicle reuptake.  Movement of NSF to the cell membrane is mediated by the cytoplasmic protein α-SNAP, which must first bind the N-terminal domain of syntaxin.To determine the effect of vesicle-bound synaptobrevin on the binding of α-SNAP to syntaxin, increasing amounts of recombinant His-tagged α-SNAP were added to a constant amount of syntaxin affixed to glutathione-agarose beads with or without synaptobrevin.  After incubation, bound proteins were recovered and quantitatively analyzed by immunoblotting.  Results are shown in Figure 2.   <strong>Figure 2</strong>  α-SNAP binding to syntaxin in the absence (square) or presence (circle) of synaptobrevin Adapted from Mcmahon HT, Südhof TC. Synaptic core complex of synaptobrevin, syntaxin, and SNAP25 forms high affinity alpha-SNAP binding site. J Biol Chem. 1995;270(5):2213-7. Which amino acid is LEAST likely to be found in normally functioning binding domains of t-SNARE and v-SNARE proteins?</strong> A)Asparagine B)Tryptophan C)Threonine D)Proline Figure 1  Formation of the core-trans-complex and subsequent membrane fusionThe cis-complex contains the zero ionic layer, the main site of interaction between complexed proteins.  Within the zero ionic layer, arginine on synaptobrevin coordinates with carbonyl groups present on the other residues shown in Table 1.  The zero ionic layer is buried within leucine zipper domains, which act as a shield to solvent molecules.Table 1  Composition of cis-Complex Zero Ionic Layer
<strong>Passage Presynaptic nerve terminals release neurotransmitters via synaptic vesicle exocytosis.  This action is mediated by the membrane-bound target-SNARE (t-SNARE) proteins syntaxin and SNAP-25, and the vesicle-associated SNARE (v-SNARE) protein synaptobrevin.  Membrane fusion is initiated when the t-SNAREs and v-SNAREs form an α-helix bundle known as the core-trans-complex, achieved by zipping SNARE proteins together to form a more stable cis-complex (Figure 1).   <strong>Figure 1</strong>  Formation of the core-trans-complex and subsequent membrane fusionThe cis-complex contains the zero ionic layer, the main site of interaction between complexed proteins.  Within the zero ionic layer, arginine on synaptobrevin coordinates with carbonyl groups present on the other residues shown in Table 1.  The zero ionic layer is buried within leucine zipper domains, which act as a shield to solvent molecules.<strong>Table 1</strong>  Composition of cis-Complex Zero Ionic Layer   An early step in cis-complex disassembly is destabilization by the ATPase N-ethylmaleimide-sensitive factor (NSF), which initiates unzipping by breaking flanking leucine zipper regions, leading to vesicle reuptake.  Movement of NSF to the cell membrane is mediated by the cytoplasmic protein α-SNAP, which must first bind the N-terminal domain of syntaxin.To determine the effect of vesicle-bound synaptobrevin on the binding of α-SNAP to syntaxin, increasing amounts of recombinant His-tagged α-SNAP were added to a constant amount of syntaxin affixed to glutathione-agarose beads with or without synaptobrevin.  After incubation, bound proteins were recovered and quantitatively analyzed by immunoblotting.  Results are shown in Figure 2.   <strong>Figure 2</strong>  α-SNAP binding to syntaxin in the absence (square) or presence (circle) of synaptobrevin Adapted from Mcmahon HT, Südhof TC. Synaptic core complex of synaptobrevin, syntaxin, and SNAP25 forms high affinity alpha-SNAP binding site. J Biol Chem. 1995;270(5):2213-7. Which amino acid is LEAST likely to be found in normally functioning binding domains of t-SNARE and v-SNARE proteins?</strong> A)Asparagine B)Tryptophan C)Threonine D)Proline An early step in cis-complex disassembly is destabilization by the ATPase N-ethylmaleimide-sensitive factor (NSF), which initiates unzipping by breaking flanking leucine zipper regions, leading to vesicle reuptake.  Movement of NSF to the cell membrane is mediated by the cytoplasmic protein α-SNAP, which must first bind the N-terminal domain of syntaxin.To determine the effect of vesicle-bound synaptobrevin on the binding of α-SNAP to syntaxin, increasing amounts of recombinant His-tagged α-SNAP were added to a constant amount of syntaxin affixed to glutathione-agarose beads with or without synaptobrevin.  After incubation, bound proteins were recovered and quantitatively analyzed by immunoblotting.  Results are shown in Figure 2.
<strong>Passage Presynaptic nerve terminals release neurotransmitters via synaptic vesicle exocytosis.  This action is mediated by the membrane-bound target-SNARE (t-SNARE) proteins syntaxin and SNAP-25, and the vesicle-associated SNARE (v-SNARE) protein synaptobrevin.  Membrane fusion is initiated when the t-SNAREs and v-SNAREs form an α-helix bundle known as the core-trans-complex, achieved by zipping SNARE proteins together to form a more stable cis-complex (Figure 1).   <strong>Figure 1</strong>  Formation of the core-trans-complex and subsequent membrane fusionThe cis-complex contains the zero ionic layer, the main site of interaction between complexed proteins.  Within the zero ionic layer, arginine on synaptobrevin coordinates with carbonyl groups present on the other residues shown in Table 1.  The zero ionic layer is buried within leucine zipper domains, which act as a shield to solvent molecules.<strong>Table 1</strong>  Composition of cis-Complex Zero Ionic Layer   An early step in cis-complex disassembly is destabilization by the ATPase N-ethylmaleimide-sensitive factor (NSF), which initiates unzipping by breaking flanking leucine zipper regions, leading to vesicle reuptake.  Movement of NSF to the cell membrane is mediated by the cytoplasmic protein α-SNAP, which must first bind the N-terminal domain of syntaxin.To determine the effect of vesicle-bound synaptobrevin on the binding of α-SNAP to syntaxin, increasing amounts of recombinant His-tagged α-SNAP were added to a constant amount of syntaxin affixed to glutathione-agarose beads with or without synaptobrevin.  After incubation, bound proteins were recovered and quantitatively analyzed by immunoblotting.  Results are shown in Figure 2.   <strong>Figure 2</strong>  α-SNAP binding to syntaxin in the absence (square) or presence (circle) of synaptobrevin Adapted from Mcmahon HT, Südhof TC. Synaptic core complex of synaptobrevin, syntaxin, and SNAP25 forms high affinity alpha-SNAP binding site. J Biol Chem. 1995;270(5):2213-7. Which amino acid is LEAST likely to be found in normally functioning binding domains of t-SNARE and v-SNARE proteins?</strong> A)Asparagine B)Tryptophan C)Threonine D)Proline Figure 2  α-SNAP binding to syntaxin in the absence (square) or presence (circle) of synaptobrevin
Adapted from Mcmahon HT, Südhof TC. Synaptic core complex of synaptobrevin, syntaxin, and SNAP25 forms high affinity alpha-SNAP binding site. J Biol Chem. 1995;270(5):2213-7.
Which amino acid is LEAST likely to be found in normally functioning binding domains of t-SNARE and v-SNARE proteins?

A)Asparagine
B)Tryptophan
C)Threonine
D)Proline
Unlock Deck
Unlock for access to all 307 flashcards in this deck.
Unlock Deck
k this deck
41
Passage
The tumor suppressor p53 is a homotetrameric protein with an N-terminal transactivation domain (TAD), a proline-rich domain, a DNA-binding domain (DBD), a tetramerization domain (TD), and a C-terminal regulatory domain (REG) on each subunit (Figure 1).
<strong>Passage The tumor suppressor p53 is a homotetrameric protein with an N-terminal transactivation domain (TAD), a proline-rich domain, a DNA-binding domain (DBD), a tetramerization domain (TD), and a C-terminal regulatory domain (REG) on each subunit (Figure 1).   <strong>Figure 1</strong>  Organization of the p53 domains (1-393 amino acids)Human double minute 2 (Hdm2) is a lysine-specific ubiquitin protein ligase that can change the half-life of some proteins, including p53, by signaling for their proteolytic cleavage.  Under normal circumstances, Hdm2 binds p53 at the AD1 region within the TAD and attaches ubiquitin to a lysine residue.  However, errors in DNA replication induce the phosphorylation of residue T18 on p53, which inhibits p53's association with Hdm2.  The overexpression of Hdm2 has been correlated with the downregulation of tumor suppressor p53 in certain types of cancers.  Changes in the NMR chemical shift (ppm) of amino acids in the AD1 region shown in Figure 2 provide evidence for the formation of a p53-Hdm2 complex.   <strong>Figure 2</strong>  <sup>1</sup>H NMR spectrum of the AD1 region in <sup>15</sup>N-labeled p53 during G<sub>0</sub> and G<sub>2</sub> phases of the cell cycleHdm2 also binds to Nedd8 ultimate buster 1 (NUB1), which enhances signaling for the degradation of Nedd8 proteins.  Preliminary data suggest that Hdm2 interacts differently with wild-type NUB1 (WTNUB1) than with mutant K159RNUB1.  To assess the effect of Hdm2 on NUB1 and p53, the half-lives of p53 and Nedd8 protein variants were compared in cells that overexpress Hdm2 (Figure 3).   <strong>Figure 3</strong>  Half-lives of p53, phosphorylated p53 (p53-PO<sub>4</sub>), and Nedd-8 proteins in cells with wild-type or mutant NUB1 over time Adapted from Ferreon JC, Lee CW, Arai M, Martinez-yamout MA, Dyson HJ, Wright PE. Cooperative regulation of p53 by modulation of ternary complex formation with CBP/p300 and HDM2. Proc Natl Acad Sci USA. 2009;106(16):6591-6. Based on the data in Figure 2, which statement best supports the formation of a p53-Hdm2 complex in the absence of DNA errors?</strong> A)Protons on hydrophilic amino acids of p53 are more shielded during G<sub>0</sub>. B)Protons on hydrophilic amino acids of p53 are deshielded during G<sub>2</sub>. C)Protons on hydrophobic amino acids of p53 are more shielded during G<sub>0</sub>. D)Protons on hydrophobic amino acids of p53 are more shielded during G<sub>2</sub>. Figure 1  Organization of the p53 domains (1-393 amino acids)Human double minute 2 (Hdm2) is a lysine-specific ubiquitin protein ligase that can change the half-life of some proteins, including p53, by signaling for their proteolytic cleavage.  Under normal circumstances, Hdm2 binds p53 at the AD1 region within the TAD and attaches ubiquitin to a lysine residue.  However, errors in DNA replication induce the phosphorylation of residue T18 on p53, which inhibits p53's association with Hdm2.  The overexpression of Hdm2 has been correlated with the downregulation of tumor suppressor p53 in certain types of cancers.  Changes in the NMR chemical shift (ppm) of amino acids in the AD1 region shown in Figure 2 provide evidence for the formation of a p53-Hdm2 complex.
<strong>Passage The tumor suppressor p53 is a homotetrameric protein with an N-terminal transactivation domain (TAD), a proline-rich domain, a DNA-binding domain (DBD), a tetramerization domain (TD), and a C-terminal regulatory domain (REG) on each subunit (Figure 1).   <strong>Figure 1</strong>  Organization of the p53 domains (1-393 amino acids)Human double minute 2 (Hdm2) is a lysine-specific ubiquitin protein ligase that can change the half-life of some proteins, including p53, by signaling for their proteolytic cleavage.  Under normal circumstances, Hdm2 binds p53 at the AD1 region within the TAD and attaches ubiquitin to a lysine residue.  However, errors in DNA replication induce the phosphorylation of residue T18 on p53, which inhibits p53's association with Hdm2.  The overexpression of Hdm2 has been correlated with the downregulation of tumor suppressor p53 in certain types of cancers.  Changes in the NMR chemical shift (ppm) of amino acids in the AD1 region shown in Figure 2 provide evidence for the formation of a p53-Hdm2 complex.   <strong>Figure 2</strong>  <sup>1</sup>H NMR spectrum of the AD1 region in <sup>15</sup>N-labeled p53 during G<sub>0</sub> and G<sub>2</sub> phases of the cell cycleHdm2 also binds to Nedd8 ultimate buster 1 (NUB1), which enhances signaling for the degradation of Nedd8 proteins.  Preliminary data suggest that Hdm2 interacts differently with wild-type NUB1 (WTNUB1) than with mutant K159RNUB1.  To assess the effect of Hdm2 on NUB1 and p53, the half-lives of p53 and Nedd8 protein variants were compared in cells that overexpress Hdm2 (Figure 3).   <strong>Figure 3</strong>  Half-lives of p53, phosphorylated p53 (p53-PO<sub>4</sub>), and Nedd-8 proteins in cells with wild-type or mutant NUB1 over time Adapted from Ferreon JC, Lee CW, Arai M, Martinez-yamout MA, Dyson HJ, Wright PE. Cooperative regulation of p53 by modulation of ternary complex formation with CBP/p300 and HDM2. Proc Natl Acad Sci USA. 2009;106(16):6591-6. Based on the data in Figure 2, which statement best supports the formation of a p53-Hdm2 complex in the absence of DNA errors?</strong> A)Protons on hydrophilic amino acids of p53 are more shielded during G<sub>0</sub>. B)Protons on hydrophilic amino acids of p53 are deshielded during G<sub>2</sub>. C)Protons on hydrophobic amino acids of p53 are more shielded during G<sub>0</sub>. D)Protons on hydrophobic amino acids of p53 are more shielded during G<sub>2</sub>. Figure 2  1H NMR spectrum of the AD1 region in 15N-labeled p53 during G0 and G2 phases of the cell cycleHdm2 also binds to Nedd8 ultimate buster 1 (NUB1), which enhances signaling for the degradation of Nedd8 proteins.  Preliminary data suggest that Hdm2 interacts differently with wild-type NUB1 (WTNUB1) than with mutant K159RNUB1.  To assess the effect of Hdm2 on NUB1 and p53, the half-lives of p53 and Nedd8 protein variants were compared in cells that overexpress Hdm2 (Figure 3).
<strong>Passage The tumor suppressor p53 is a homotetrameric protein with an N-terminal transactivation domain (TAD), a proline-rich domain, a DNA-binding domain (DBD), a tetramerization domain (TD), and a C-terminal regulatory domain (REG) on each subunit (Figure 1).   <strong>Figure 1</strong>  Organization of the p53 domains (1-393 amino acids)Human double minute 2 (Hdm2) is a lysine-specific ubiquitin protein ligase that can change the half-life of some proteins, including p53, by signaling for their proteolytic cleavage.  Under normal circumstances, Hdm2 binds p53 at the AD1 region within the TAD and attaches ubiquitin to a lysine residue.  However, errors in DNA replication induce the phosphorylation of residue T18 on p53, which inhibits p53's association with Hdm2.  The overexpression of Hdm2 has been correlated with the downregulation of tumor suppressor p53 in certain types of cancers.  Changes in the NMR chemical shift (ppm) of amino acids in the AD1 region shown in Figure 2 provide evidence for the formation of a p53-Hdm2 complex.   <strong>Figure 2</strong>  <sup>1</sup>H NMR spectrum of the AD1 region in <sup>15</sup>N-labeled p53 during G<sub>0</sub> and G<sub>2</sub> phases of the cell cycleHdm2 also binds to Nedd8 ultimate buster 1 (NUB1), which enhances signaling for the degradation of Nedd8 proteins.  Preliminary data suggest that Hdm2 interacts differently with wild-type NUB1 (WTNUB1) than with mutant K159RNUB1.  To assess the effect of Hdm2 on NUB1 and p53, the half-lives of p53 and Nedd8 protein variants were compared in cells that overexpress Hdm2 (Figure 3).   <strong>Figure 3</strong>  Half-lives of p53, phosphorylated p53 (p53-PO<sub>4</sub>), and Nedd-8 proteins in cells with wild-type or mutant NUB1 over time Adapted from Ferreon JC, Lee CW, Arai M, Martinez-yamout MA, Dyson HJ, Wright PE. Cooperative regulation of p53 by modulation of ternary complex formation with CBP/p300 and HDM2. Proc Natl Acad Sci USA. 2009;106(16):6591-6. Based on the data in Figure 2, which statement best supports the formation of a p53-Hdm2 complex in the absence of DNA errors?</strong> A)Protons on hydrophilic amino acids of p53 are more shielded during G<sub>0</sub>. B)Protons on hydrophilic amino acids of p53 are deshielded during G<sub>2</sub>. C)Protons on hydrophobic amino acids of p53 are more shielded during G<sub>0</sub>. D)Protons on hydrophobic amino acids of p53 are more shielded during G<sub>2</sub>. Figure 3  Half-lives of p53, phosphorylated p53 (p53-PO4), and Nedd-8 proteins in cells with wild-type or mutant NUB1 over time
Adapted from Ferreon JC, Lee CW, Arai M, Martinez-yamout MA, Dyson HJ, Wright PE. Cooperative regulation of p53 by modulation of ternary complex formation with CBP/p300 and HDM2. Proc Natl Acad Sci USA. 2009;106(16):6591-6.
Based on the data in Figure 2, which statement best supports the formation of a p53-Hdm2 complex in the absence of DNA errors?

A)Protons on hydrophilic amino acids of p53 are more shielded during G0.
B)Protons on hydrophilic amino acids of p53 are deshielded during G2.
C)Protons on hydrophobic amino acids of p53 are more shielded during G0.
D)Protons on hydrophobic amino acids of p53 are more shielded during G2.
Unlock Deck
Unlock for access to all 307 flashcards in this deck.
Unlock Deck
k this deck
42
Passage
Antimicrobial peptides are an important component of innate immunity.  Since their discovery in 1939, over 5,000 peptides with antimicrobial properties have been isolated from organisms in every domain of life.  They have demonstrated activity against enveloped viruses, bacteria, fungi, and even tumor cells and have recently gained interest for their potential in fighting antibiotic-resistant bacteria.  Most known antimicrobial peptides are positively charged, but some with negative charges have also been discovered.Frogs are known to secrete a variety of antimicrobial peptides as a major source of immunity.  Secretions from a new species of frog were collected and the peptides were separated by cation exchange chromatography.  Four of the isolated peptides demonstrated strong antibacterial activity and were characterized by isoelectric focusing and sequencing:
<strong>Passage Antimicrobial peptides are an important component of innate immunity.  Since their discovery in 1939, over 5,000 peptides with antimicrobial properties have been isolated from organisms in every domain of life.  They have demonstrated activity against enveloped viruses, bacteria, fungi, and even tumor cells and have recently gained interest for their potential in fighting antibiotic-resistant bacteria.  Most known antimicrobial peptides are positively charged, but some with negative charges have also been discovered.Frogs are known to secrete a variety of antimicrobial peptides as a major source of immunity.  Secretions from a new species of frog were collected and the peptides were separated by cation exchange chromatography.  Four of the isolated peptides demonstrated strong antibacterial activity and were characterized by isoelectric focusing and sequencing:   <strong>Figure 1</strong>  Results of isoelectric focusing of four antimicrobial peptides<strong>Table 1</strong>  Amino Acid Compositions of Four Antimicrobial Peptides   Adapted from Wang Z, Wang G. APD: the Antimicrobial Peptide Database. Nucleic Acids Res. 2004;32(Database issue):D590-2. One of the challenges of antimicrobial peptides is their short physiological half-life.  To solve this problem, some researchers have begun investigating synthetic antimicrobial peptides composed of D-amino acids.  Why might these peptides have an increased half-life in the body relative to natural antimicrobial peptides?</strong> A)Proteases cannot act on peptides made of D-amino acids. B)D-amino acids are more soluble at physiological pH. C)Peptide bonds between D-amino acids require more energy to break. D)Hydrolysis of D-peptides is catalyzed by acids instead of bases. Figure 1  Results of isoelectric focusing of four antimicrobial peptidesTable 1  Amino Acid Compositions of Four Antimicrobial Peptides
<strong>Passage Antimicrobial peptides are an important component of innate immunity.  Since their discovery in 1939, over 5,000 peptides with antimicrobial properties have been isolated from organisms in every domain of life.  They have demonstrated activity against enveloped viruses, bacteria, fungi, and even tumor cells and have recently gained interest for their potential in fighting antibiotic-resistant bacteria.  Most known antimicrobial peptides are positively charged, but some with negative charges have also been discovered.Frogs are known to secrete a variety of antimicrobial peptides as a major source of immunity.  Secretions from a new species of frog were collected and the peptides were separated by cation exchange chromatography.  Four of the isolated peptides demonstrated strong antibacterial activity and were characterized by isoelectric focusing and sequencing:   <strong>Figure 1</strong>  Results of isoelectric focusing of four antimicrobial peptides<strong>Table 1</strong>  Amino Acid Compositions of Four Antimicrobial Peptides   Adapted from Wang Z, Wang G. APD: the Antimicrobial Peptide Database. Nucleic Acids Res. 2004;32(Database issue):D590-2. One of the challenges of antimicrobial peptides is their short physiological half-life.  To solve this problem, some researchers have begun investigating synthetic antimicrobial peptides composed of D-amino acids.  Why might these peptides have an increased half-life in the body relative to natural antimicrobial peptides?</strong> A)Proteases cannot act on peptides made of D-amino acids. B)D-amino acids are more soluble at physiological pH. C)Peptide bonds between D-amino acids require more energy to break. D)Hydrolysis of D-peptides is catalyzed by acids instead of bases. Adapted from Wang Z, Wang G. APD: the Antimicrobial Peptide Database. Nucleic Acids Res. 2004;32(Database issue):D590-2.
One of the challenges of antimicrobial peptides is their short physiological half-life.  To solve this problem, some researchers have begun investigating synthetic antimicrobial peptides composed of D-amino acids.  Why might these peptides have an increased half-life in the body relative to natural antimicrobial peptides?

A)Proteases cannot act on peptides made of D-amino acids.
B)D-amino acids are more soluble at physiological pH.
C)Peptide bonds between D-amino acids require more energy to break.
D)Hydrolysis of D-peptides is catalyzed by acids instead of bases.
Unlock Deck
Unlock for access to all 307 flashcards in this deck.
Unlock Deck
k this deck
43
Passage
Aldehyde dehydrogenase 2 (ALDH2) is essential for the oxidation of toxic aldehydes, and uses NAD+ as the oxidizing agent.  Mitochondrial ALDH2 exists as a 220-kD homotetrameric protein containing a catalytic, nucleotide-binding, and coenzyme-binding domain.  The most prevalent ALDH2 mutation (ALDH2*2) involves an E to K (E478K) substitution in the catalytic domain that leads to decreased enzymatic activity.Scientists hypothesize that Asian populations have higher rates of ALDH2*2 incidence.  The properties of ALDH2 variants in Caucasian and Japanese populations were analyzed in the following experiments.Experiment 1Mitochondrial extracts from both populations were combined in a single mixture and separated by native gel electrophoresis.  Proteins 210-230 kD in size were removed from the agarose gel and further isolated using affinity columns with antibodies designed to separate wild-type ALDH2 from ALDH2*2 by binding the catalytic domain of the wild-type but not the mutant protein.  Concentrated eluates E1 and E2 were produced by washing the affinity columns with buffers that remove unbound proteins and dislodge bound proteins from antibodies, respectively (Figure 1).
<strong>Passage Aldehyde dehydrogenase 2 (ALDH2) is essential for the oxidation of toxic aldehydes, and uses NAD<sup>+</sup> as the oxidizing agent.  Mitochondrial ALDH2 exists as a 220-kD homotetrameric protein containing a catalytic, nucleotide-binding, and coenzyme-binding domain.  The most prevalent ALDH2 mutation (ALDH2*2) involves an E to K (E478K) substitution in the catalytic domain that leads to decreased enzymatic activity.Scientists hypothesize that Asian populations have higher rates of ALDH2*2 incidence.  The properties of ALDH2 variants in Caucasian and Japanese populations were analyzed in the following experiments.Experiment 1Mitochondrial extracts from both populations were combined in a single mixture and separated by native gel electrophoresis.  Proteins 210-230 kD in size were removed from the agarose gel and further isolated using affinity columns with antibodies designed to separate wild-type ALDH2 from ALDH2*2 by binding the catalytic domain of the wild-type but not the mutant protein.  Concentrated eluates E1 and E2 were produced by washing the affinity columns with buffers that remove unbound proteins and dislodge bound proteins from antibodies, respectively (Figure 1).   <strong>Figure 1</strong>  Purification of ALDH2 proteinsALDH2 activity in each eluate was quantified by adding acetaldehyde and NAD<sup>+</sup>, and then monitoring the rate of NADH production.  The results are shown in Figure 2.   <strong>Figure 2</strong>  Enzymatic activity of E1 and E2 eluatesExperiment 2Researchers predict that mutations at conserved amino acid sites containing S or T may prevent ALDH2 from being phosphorylated by protein kinase C epsilon (εPKC).  The activity of wild-type ALDH2 (WT) and ALDH2 mutants with substitutions at positions T185 and S279 in the presence or absence of εPKC are summarized in Table 1.<strong>Table 1</strong>  Effect of εPKC on ALDH2 Variants   Adapted from Chen CH, Ferreira JC, Gross ER, Mochly-rosen D. Targeting aldehyde dehydrogenase 2: new therapeutic opportunities. Physiol Rev. 2014;94(1):1-34. Replacing native gel electrophoresis with nonreducing sodium dodecyl sulfate (SDS) polyacrylamide gel electrophoresis (PAGE) during the purification step results in eluates with no enzymatic activity.  The best explanation of this observation would be:</strong> A)ALDH2 must retain its quaternary structure to catalyze reactions. B)the SDS-PAGE breaks disulfide bonds between ALDH2 subunits. C)ALDH2 has the mobility of a 55-kD protein in native PAGE. D)the primary structure of the ALDH2 active site has been modified. Figure 1  Purification of ALDH2 proteinsALDH2 activity in each eluate was quantified by adding acetaldehyde and NAD+, and then monitoring the rate of NADH production.  The results are shown in Figure 2.
<strong>Passage Aldehyde dehydrogenase 2 (ALDH2) is essential for the oxidation of toxic aldehydes, and uses NAD<sup>+</sup> as the oxidizing agent.  Mitochondrial ALDH2 exists as a 220-kD homotetrameric protein containing a catalytic, nucleotide-binding, and coenzyme-binding domain.  The most prevalent ALDH2 mutation (ALDH2*2) involves an E to K (E478K) substitution in the catalytic domain that leads to decreased enzymatic activity.Scientists hypothesize that Asian populations have higher rates of ALDH2*2 incidence.  The properties of ALDH2 variants in Caucasian and Japanese populations were analyzed in the following experiments.Experiment 1Mitochondrial extracts from both populations were combined in a single mixture and separated by native gel electrophoresis.  Proteins 210-230 kD in size were removed from the agarose gel and further isolated using affinity columns with antibodies designed to separate wild-type ALDH2 from ALDH2*2 by binding the catalytic domain of the wild-type but not the mutant protein.  Concentrated eluates E1 and E2 were produced by washing the affinity columns with buffers that remove unbound proteins and dislodge bound proteins from antibodies, respectively (Figure 1).   <strong>Figure 1</strong>  Purification of ALDH2 proteinsALDH2 activity in each eluate was quantified by adding acetaldehyde and NAD<sup>+</sup>, and then monitoring the rate of NADH production.  The results are shown in Figure 2.   <strong>Figure 2</strong>  Enzymatic activity of E1 and E2 eluatesExperiment 2Researchers predict that mutations at conserved amino acid sites containing S or T may prevent ALDH2 from being phosphorylated by protein kinase C epsilon (εPKC).  The activity of wild-type ALDH2 (WT) and ALDH2 mutants with substitutions at positions T185 and S279 in the presence or absence of εPKC are summarized in Table 1.<strong>Table 1</strong>  Effect of εPKC on ALDH2 Variants   Adapted from Chen CH, Ferreira JC, Gross ER, Mochly-rosen D. Targeting aldehyde dehydrogenase 2: new therapeutic opportunities. Physiol Rev. 2014;94(1):1-34. Replacing native gel electrophoresis with nonreducing sodium dodecyl sulfate (SDS) polyacrylamide gel electrophoresis (PAGE) during the purification step results in eluates with no enzymatic activity.  The best explanation of this observation would be:</strong> A)ALDH2 must retain its quaternary structure to catalyze reactions. B)the SDS-PAGE breaks disulfide bonds between ALDH2 subunits. C)ALDH2 has the mobility of a 55-kD protein in native PAGE. D)the primary structure of the ALDH2 active site has been modified. Figure 2  Enzymatic activity of E1 and E2 eluatesExperiment 2Researchers predict that mutations at conserved amino acid sites containing S or T may prevent ALDH2 from being phosphorylated by protein kinase C epsilon (εPKC).  The activity of wild-type ALDH2 (WT) and ALDH2 mutants with substitutions at positions T185 and S279 in the presence or absence of εPKC are summarized in Table 1.Table 1  Effect of εPKC on ALDH2 Variants
<strong>Passage Aldehyde dehydrogenase 2 (ALDH2) is essential for the oxidation of toxic aldehydes, and uses NAD<sup>+</sup> as the oxidizing agent.  Mitochondrial ALDH2 exists as a 220-kD homotetrameric protein containing a catalytic, nucleotide-binding, and coenzyme-binding domain.  The most prevalent ALDH2 mutation (ALDH2*2) involves an E to K (E478K) substitution in the catalytic domain that leads to decreased enzymatic activity.Scientists hypothesize that Asian populations have higher rates of ALDH2*2 incidence.  The properties of ALDH2 variants in Caucasian and Japanese populations were analyzed in the following experiments.Experiment 1Mitochondrial extracts from both populations were combined in a single mixture and separated by native gel electrophoresis.  Proteins 210-230 kD in size were removed from the agarose gel and further isolated using affinity columns with antibodies designed to separate wild-type ALDH2 from ALDH2*2 by binding the catalytic domain of the wild-type but not the mutant protein.  Concentrated eluates E1 and E2 were produced by washing the affinity columns with buffers that remove unbound proteins and dislodge bound proteins from antibodies, respectively (Figure 1).   <strong>Figure 1</strong>  Purification of ALDH2 proteinsALDH2 activity in each eluate was quantified by adding acetaldehyde and NAD<sup>+</sup>, and then monitoring the rate of NADH production.  The results are shown in Figure 2.   <strong>Figure 2</strong>  Enzymatic activity of E1 and E2 eluatesExperiment 2Researchers predict that mutations at conserved amino acid sites containing S or T may prevent ALDH2 from being phosphorylated by protein kinase C epsilon (εPKC).  The activity of wild-type ALDH2 (WT) and ALDH2 mutants with substitutions at positions T185 and S279 in the presence or absence of εPKC are summarized in Table 1.<strong>Table 1</strong>  Effect of εPKC on ALDH2 Variants   Adapted from Chen CH, Ferreira JC, Gross ER, Mochly-rosen D. Targeting aldehyde dehydrogenase 2: new therapeutic opportunities. Physiol Rev. 2014;94(1):1-34. Replacing native gel electrophoresis with nonreducing sodium dodecyl sulfate (SDS) polyacrylamide gel electrophoresis (PAGE) during the purification step results in eluates with no enzymatic activity.  The best explanation of this observation would be:</strong> A)ALDH2 must retain its quaternary structure to catalyze reactions. B)the SDS-PAGE breaks disulfide bonds between ALDH2 subunits. C)ALDH2 has the mobility of a 55-kD protein in native PAGE. D)the primary structure of the ALDH2 active site has been modified. Adapted from Chen CH, Ferreira JC, Gross ER, Mochly-rosen D. Targeting aldehyde dehydrogenase 2: new therapeutic opportunities. Physiol Rev. 2014;94(1):1-34.
Replacing native gel electrophoresis with nonreducing sodium dodecyl sulfate (SDS) polyacrylamide gel electrophoresis (PAGE) during the purification step results in eluates with no enzymatic activity.  The best explanation of this observation would be:

A)ALDH2 must retain its quaternary structure to catalyze reactions.
B)the SDS-PAGE breaks disulfide bonds between ALDH2 subunits.
C)ALDH2 has the mobility of a 55-kD protein in native PAGE.
D)the primary structure of the ALDH2 active site has been modified.
Unlock Deck
Unlock for access to all 307 flashcards in this deck.
Unlock Deck
k this deck
44
Passage
The tumor suppressor p53 is a homotetrameric protein with an N-terminal transactivation domain (TAD), a proline-rich domain, a DNA-binding domain (DBD), a tetramerization domain (TD), and a C-terminal regulatory domain (REG) on each subunit (Figure 1).
<strong>Passage The tumor suppressor p53 is a homotetrameric protein with an N-terminal transactivation domain (TAD), a proline-rich domain, a DNA-binding domain (DBD), a tetramerization domain (TD), and a C-terminal regulatory domain (REG) on each subunit (Figure 1).   <strong>Figure 1</strong>  Organization of the p53 domains (1-393 amino acids)Human double minute 2 (Hdm2) is a lysine-specific ubiquitin protein ligase that can change the half-life of some proteins, including p53, by signaling for their proteolytic cleavage.  Under normal circumstances, Hdm2 binds p53 at the AD1 region within the TAD and attaches ubiquitin to a lysine residue.  However, errors in DNA replication induce the phosphorylation of residue T18 on p53, which inhibits p53's association with Hdm2.  The overexpression of Hdm2 has been correlated with the downregulation of tumor suppressor p53 in certain types of cancers.  Changes in the NMR chemical shift (ppm) of amino acids in the AD1 region shown in Figure 2 provide evidence for the formation of a p53-Hdm2 complex.   <strong>Figure 2</strong>  <sup>1</sup>H NMR spectrum of the AD1 region in <sup>15</sup>N-labeled p53 during G<sub>0</sub> and G<sub>2</sub> phases of the cell cycleHdm2 also binds to Nedd8 ultimate buster 1 (NUB1), which enhances signaling for the degradation of Nedd8 proteins.  Preliminary data suggest that Hdm2 interacts differently with wild-type NUB1 (WTNUB1) than with mutant K159RNUB1.  To assess the effect of Hdm2 on NUB1 and p53, the half-lives of p53 and Nedd8 protein variants were compared in cells that overexpress Hdm2 (Figure 3).   <strong>Figure 3</strong>  Half-lives of p53, phosphorylated p53 (p53-PO<sub>4</sub>), and Nedd-8 proteins in cells with wild-type or mutant NUB1 over time Adapted from Ferreon JC, Lee CW, Arai M, Martinez-yamout MA, Dyson HJ, Wright PE. Cooperative regulation of p53 by modulation of ternary complex formation with CBP/p300 and HDM2. Proc Natl Acad Sci USA. 2009;106(16):6591-6. In Figure 3, why was protein concentration measured only in human embryonic kidney cells that overexpressed Hdm2?</strong> A)Overexpression of Hdm2 is required for p53 and NUB1 degradation. B)Protein concentration is dependent on the half-life of Hdm2. C)It provides a baseline for the comparison of Nedd8 and p53 levels. D)It ensures Hdm2 concentration was not a limiting factor for degradation. Figure 1  Organization of the p53 domains (1-393 amino acids)Human double minute 2 (Hdm2) is a lysine-specific ubiquitin protein ligase that can change the half-life of some proteins, including p53, by signaling for their proteolytic cleavage.  Under normal circumstances, Hdm2 binds p53 at the AD1 region within the TAD and attaches ubiquitin to a lysine residue.  However, errors in DNA replication induce the phosphorylation of residue T18 on p53, which inhibits p53's association with Hdm2.  The overexpression of Hdm2 has been correlated with the downregulation of tumor suppressor p53 in certain types of cancers.  Changes in the NMR chemical shift (ppm) of amino acids in the AD1 region shown in Figure 2 provide evidence for the formation of a p53-Hdm2 complex.
<strong>Passage The tumor suppressor p53 is a homotetrameric protein with an N-terminal transactivation domain (TAD), a proline-rich domain, a DNA-binding domain (DBD), a tetramerization domain (TD), and a C-terminal regulatory domain (REG) on each subunit (Figure 1).   <strong>Figure 1</strong>  Organization of the p53 domains (1-393 amino acids)Human double minute 2 (Hdm2) is a lysine-specific ubiquitin protein ligase that can change the half-life of some proteins, including p53, by signaling for their proteolytic cleavage.  Under normal circumstances, Hdm2 binds p53 at the AD1 region within the TAD and attaches ubiquitin to a lysine residue.  However, errors in DNA replication induce the phosphorylation of residue T18 on p53, which inhibits p53's association with Hdm2.  The overexpression of Hdm2 has been correlated with the downregulation of tumor suppressor p53 in certain types of cancers.  Changes in the NMR chemical shift (ppm) of amino acids in the AD1 region shown in Figure 2 provide evidence for the formation of a p53-Hdm2 complex.   <strong>Figure 2</strong>  <sup>1</sup>H NMR spectrum of the AD1 region in <sup>15</sup>N-labeled p53 during G<sub>0</sub> and G<sub>2</sub> phases of the cell cycleHdm2 also binds to Nedd8 ultimate buster 1 (NUB1), which enhances signaling for the degradation of Nedd8 proteins.  Preliminary data suggest that Hdm2 interacts differently with wild-type NUB1 (WTNUB1) than with mutant K159RNUB1.  To assess the effect of Hdm2 on NUB1 and p53, the half-lives of p53 and Nedd8 protein variants were compared in cells that overexpress Hdm2 (Figure 3).   <strong>Figure 3</strong>  Half-lives of p53, phosphorylated p53 (p53-PO<sub>4</sub>), and Nedd-8 proteins in cells with wild-type or mutant NUB1 over time Adapted from Ferreon JC, Lee CW, Arai M, Martinez-yamout MA, Dyson HJ, Wright PE. Cooperative regulation of p53 by modulation of ternary complex formation with CBP/p300 and HDM2. Proc Natl Acad Sci USA. 2009;106(16):6591-6. In Figure 3, why was protein concentration measured only in human embryonic kidney cells that overexpressed Hdm2?</strong> A)Overexpression of Hdm2 is required for p53 and NUB1 degradation. B)Protein concentration is dependent on the half-life of Hdm2. C)It provides a baseline for the comparison of Nedd8 and p53 levels. D)It ensures Hdm2 concentration was not a limiting factor for degradation. Figure 2  1H NMR spectrum of the AD1 region in 15N-labeled p53 during G0 and G2 phases of the cell cycleHdm2 also binds to Nedd8 ultimate buster 1 (NUB1), which enhances signaling for the degradation of Nedd8 proteins.  Preliminary data suggest that Hdm2 interacts differently with wild-type NUB1 (WTNUB1) than with mutant K159RNUB1.  To assess the effect of Hdm2 on NUB1 and p53, the half-lives of p53 and Nedd8 protein variants were compared in cells that overexpress Hdm2 (Figure 3).
<strong>Passage The tumor suppressor p53 is a homotetrameric protein with an N-terminal transactivation domain (TAD), a proline-rich domain, a DNA-binding domain (DBD), a tetramerization domain (TD), and a C-terminal regulatory domain (REG) on each subunit (Figure 1).   <strong>Figure 1</strong>  Organization of the p53 domains (1-393 amino acids)Human double minute 2 (Hdm2) is a lysine-specific ubiquitin protein ligase that can change the half-life of some proteins, including p53, by signaling for their proteolytic cleavage.  Under normal circumstances, Hdm2 binds p53 at the AD1 region within the TAD and attaches ubiquitin to a lysine residue.  However, errors in DNA replication induce the phosphorylation of residue T18 on p53, which inhibits p53's association with Hdm2.  The overexpression of Hdm2 has been correlated with the downregulation of tumor suppressor p53 in certain types of cancers.  Changes in the NMR chemical shift (ppm) of amino acids in the AD1 region shown in Figure 2 provide evidence for the formation of a p53-Hdm2 complex.   <strong>Figure 2</strong>  <sup>1</sup>H NMR spectrum of the AD1 region in <sup>15</sup>N-labeled p53 during G<sub>0</sub> and G<sub>2</sub> phases of the cell cycleHdm2 also binds to Nedd8 ultimate buster 1 (NUB1), which enhances signaling for the degradation of Nedd8 proteins.  Preliminary data suggest that Hdm2 interacts differently with wild-type NUB1 (WTNUB1) than with mutant K159RNUB1.  To assess the effect of Hdm2 on NUB1 and p53, the half-lives of p53 and Nedd8 protein variants were compared in cells that overexpress Hdm2 (Figure 3).   <strong>Figure 3</strong>  Half-lives of p53, phosphorylated p53 (p53-PO<sub>4</sub>), and Nedd-8 proteins in cells with wild-type or mutant NUB1 over time Adapted from Ferreon JC, Lee CW, Arai M, Martinez-yamout MA, Dyson HJ, Wright PE. Cooperative regulation of p53 by modulation of ternary complex formation with CBP/p300 and HDM2. Proc Natl Acad Sci USA. 2009;106(16):6591-6. In Figure 3, why was protein concentration measured only in human embryonic kidney cells that overexpressed Hdm2?</strong> A)Overexpression of Hdm2 is required for p53 and NUB1 degradation. B)Protein concentration is dependent on the half-life of Hdm2. C)It provides a baseline for the comparison of Nedd8 and p53 levels. D)It ensures Hdm2 concentration was not a limiting factor for degradation. Figure 3  Half-lives of p53, phosphorylated p53 (p53-PO4), and Nedd-8 proteins in cells with wild-type or mutant NUB1 over time
Adapted from Ferreon JC, Lee CW, Arai M, Martinez-yamout MA, Dyson HJ, Wright PE. Cooperative regulation of p53 by modulation of ternary complex formation with CBP/p300 and HDM2. Proc Natl Acad Sci USA. 2009;106(16):6591-6.
In Figure 3, why was protein concentration measured only in human embryonic kidney cells that overexpressed Hdm2?

A)Overexpression of Hdm2 is required for p53 and NUB1 degradation.
B)Protein concentration is dependent on the half-life of Hdm2.
C)It provides a baseline for the comparison of Nedd8 and p53 levels.
D)It ensures Hdm2 concentration was not a limiting factor for degradation.
Unlock Deck
Unlock for access to all 307 flashcards in this deck.
Unlock Deck
k this deck
45
Passage
Antimicrobial peptides are an important component of innate immunity.  Since their discovery in 1939, over 5,000 peptides with antimicrobial properties have been isolated from organisms in every domain of life.  They have demonstrated activity against enveloped viruses, bacteria, fungi, and even tumor cells and have recently gained interest for their potential in fighting antibiotic-resistant bacteria.  Most known antimicrobial peptides are positively charged, but some with negative charges have also been discovered.Frogs are known to secrete a variety of antimicrobial peptides as a major source of immunity.  Secretions from a new species of frog were collected and the peptides were separated by cation exchange chromatography.  Four of the isolated peptides demonstrated strong antibacterial activity and were characterized by isoelectric focusing and sequencing:
<strong>Passage Antimicrobial peptides are an important component of innate immunity.  Since their discovery in 1939, over 5,000 peptides with antimicrobial properties have been isolated from organisms in every domain of life.  They have demonstrated activity against enveloped viruses, bacteria, fungi, and even tumor cells and have recently gained interest for their potential in fighting antibiotic-resistant bacteria.  Most known antimicrobial peptides are positively charged, but some with negative charges have also been discovered.Frogs are known to secrete a variety of antimicrobial peptides as a major source of immunity.  Secretions from a new species of frog were collected and the peptides were separated by cation exchange chromatography.  Four of the isolated peptides demonstrated strong antibacterial activity and were characterized by isoelectric focusing and sequencing:   <strong>Figure 1</strong>  Results of isoelectric focusing of four antimicrobial peptides<strong>Table 1</strong>  Amino Acid Compositions of Four Antimicrobial Peptides   Adapted from Wang Z, Wang G. APD: the Antimicrobial Peptide Database. Nucleic Acids Res. 2004;32(Database issue):D590-2. Antimicrobial peptides can be taken into cells by endocytosis.  They are subsequently transported to the lysosome, where the pH decreases to ~5 and peptides are degraded.  After lysosomal degradation, researchers found a tripeptide consisting of the last three amino acids of Peptide 2.  What is the net charge of this tripeptide at lysosomal pH?</strong> A)−1 B)0 C)+1 D)+2 Figure 1  Results of isoelectric focusing of four antimicrobial peptidesTable 1  Amino Acid Compositions of Four Antimicrobial Peptides
<strong>Passage Antimicrobial peptides are an important component of innate immunity.  Since their discovery in 1939, over 5,000 peptides with antimicrobial properties have been isolated from organisms in every domain of life.  They have demonstrated activity against enveloped viruses, bacteria, fungi, and even tumor cells and have recently gained interest for their potential in fighting antibiotic-resistant bacteria.  Most known antimicrobial peptides are positively charged, but some with negative charges have also been discovered.Frogs are known to secrete a variety of antimicrobial peptides as a major source of immunity.  Secretions from a new species of frog were collected and the peptides were separated by cation exchange chromatography.  Four of the isolated peptides demonstrated strong antibacterial activity and were characterized by isoelectric focusing and sequencing:   <strong>Figure 1</strong>  Results of isoelectric focusing of four antimicrobial peptides<strong>Table 1</strong>  Amino Acid Compositions of Four Antimicrobial Peptides   Adapted from Wang Z, Wang G. APD: the Antimicrobial Peptide Database. Nucleic Acids Res. 2004;32(Database issue):D590-2. Antimicrobial peptides can be taken into cells by endocytosis.  They are subsequently transported to the lysosome, where the pH decreases to ~5 and peptides are degraded.  After lysosomal degradation, researchers found a tripeptide consisting of the last three amino acids of Peptide 2.  What is the net charge of this tripeptide at lysosomal pH?</strong> A)−1 B)0 C)+1 D)+2 Adapted from Wang Z, Wang G. APD: the Antimicrobial Peptide Database. Nucleic Acids Res. 2004;32(Database issue):D590-2.
Antimicrobial peptides can be taken into cells by endocytosis.  They are subsequently transported to the lysosome, where the pH decreases to ~5 and peptides are degraded.  After lysosomal degradation, researchers found a tripeptide consisting of the last three amino acids of Peptide 2.  What is the net charge of this tripeptide at lysosomal pH?

A)−1
B)0
C)+1
D)+2
Unlock Deck
Unlock for access to all 307 flashcards in this deck.
Unlock Deck
k this deck
46
Passage
The tumor suppressor p53 is a homotetrameric protein with an N-terminal transactivation domain (TAD), a proline-rich domain, a DNA-binding domain (DBD), a tetramerization domain (TD), and a C-terminal regulatory domain (REG) on each subunit (Figure 1).
<strong>Passage The tumor suppressor p53 is a homotetrameric protein with an N-terminal transactivation domain (TAD), a proline-rich domain, a DNA-binding domain (DBD), a tetramerization domain (TD), and a C-terminal regulatory domain (REG) on each subunit (Figure 1).   <strong>Figure 1</strong>  Organization of the p53 domains (1-393 amino acids)Human double minute 2 (Hdm2) is a lysine-specific ubiquitin protein ligase that can change the half-life of some proteins, including p53, by signaling for their proteolytic cleavage.  Under normal circumstances, Hdm2 binds p53 at the AD1 region within the TAD and attaches ubiquitin to a lysine residue.  However, errors in DNA replication induce the phosphorylation of residue T18 on p53, which inhibits p53's association with Hdm2.  The overexpression of Hdm2 has been correlated with the downregulation of tumor suppressor p53 in certain types of cancers.  Changes in the NMR chemical shift (ppm) of amino acids in the AD1 region shown in Figure 2 provide evidence for the formation of a p53-Hdm2 complex.   <strong>Figure 2</strong>  <sup>1</sup>H NMR spectrum of the AD1 region in <sup>15</sup>N-labeled p53 during G<sub>0</sub> and G<sub>2</sub> phases of the cell cycleHdm2 also binds to Nedd8 ultimate buster 1 (NUB1), which enhances signaling for the degradation of Nedd8 proteins.  Preliminary data suggest that Hdm2 interacts differently with wild-type NUB1 (WTNUB1) than with mutant K159RNUB1.  To assess the effect of Hdm2 on NUB1 and p53, the half-lives of p53 and Nedd8 protein variants were compared in cells that overexpress Hdm2 (Figure 3).   <strong>Figure 3</strong>  Half-lives of p53, phosphorylated p53 (p53-PO<sub>4</sub>), and Nedd-8 proteins in cells with wild-type or mutant NUB1 over time Adapted from Ferreon JC, Lee CW, Arai M, Martinez-yamout MA, Dyson HJ, Wright PE. Cooperative regulation of p53 by modulation of ternary complex formation with CBP/p300 and HDM2. Proc Natl Acad Sci USA. 2009;106(16):6591-6. Which statement best explains the relationship between Hdm2 and Nedd8 protein concentration?</strong> A)Nedd8 protein concentration is directly proportional to Hdm2 activity. B)Degradation of Nedd8 proteins is more efficient when Hdm2 associates with NUB1. C)NUB1-mediated Nedd8 protein degradation is independent of Hdm2 activity. D)Nedd8 protein levels are only dependent on the ability of Hdm2 to degrade NUB1. Figure 1  Organization of the p53 domains (1-393 amino acids)Human double minute 2 (Hdm2) is a lysine-specific ubiquitin protein ligase that can change the half-life of some proteins, including p53, by signaling for their proteolytic cleavage.  Under normal circumstances, Hdm2 binds p53 at the AD1 region within the TAD and attaches ubiquitin to a lysine residue.  However, errors in DNA replication induce the phosphorylation of residue T18 on p53, which inhibits p53's association with Hdm2.  The overexpression of Hdm2 has been correlated with the downregulation of tumor suppressor p53 in certain types of cancers.  Changes in the NMR chemical shift (ppm) of amino acids in the AD1 region shown in Figure 2 provide evidence for the formation of a p53-Hdm2 complex.
<strong>Passage The tumor suppressor p53 is a homotetrameric protein with an N-terminal transactivation domain (TAD), a proline-rich domain, a DNA-binding domain (DBD), a tetramerization domain (TD), and a C-terminal regulatory domain (REG) on each subunit (Figure 1).   <strong>Figure 1</strong>  Organization of the p53 domains (1-393 amino acids)Human double minute 2 (Hdm2) is a lysine-specific ubiquitin protein ligase that can change the half-life of some proteins, including p53, by signaling for their proteolytic cleavage.  Under normal circumstances, Hdm2 binds p53 at the AD1 region within the TAD and attaches ubiquitin to a lysine residue.  However, errors in DNA replication induce the phosphorylation of residue T18 on p53, which inhibits p53's association with Hdm2.  The overexpression of Hdm2 has been correlated with the downregulation of tumor suppressor p53 in certain types of cancers.  Changes in the NMR chemical shift (ppm) of amino acids in the AD1 region shown in Figure 2 provide evidence for the formation of a p53-Hdm2 complex.   <strong>Figure 2</strong>  <sup>1</sup>H NMR spectrum of the AD1 region in <sup>15</sup>N-labeled p53 during G<sub>0</sub> and G<sub>2</sub> phases of the cell cycleHdm2 also binds to Nedd8 ultimate buster 1 (NUB1), which enhances signaling for the degradation of Nedd8 proteins.  Preliminary data suggest that Hdm2 interacts differently with wild-type NUB1 (WTNUB1) than with mutant K159RNUB1.  To assess the effect of Hdm2 on NUB1 and p53, the half-lives of p53 and Nedd8 protein variants were compared in cells that overexpress Hdm2 (Figure 3).   <strong>Figure 3</strong>  Half-lives of p53, phosphorylated p53 (p53-PO<sub>4</sub>), and Nedd-8 proteins in cells with wild-type or mutant NUB1 over time Adapted from Ferreon JC, Lee CW, Arai M, Martinez-yamout MA, Dyson HJ, Wright PE. Cooperative regulation of p53 by modulation of ternary complex formation with CBP/p300 and HDM2. Proc Natl Acad Sci USA. 2009;106(16):6591-6. Which statement best explains the relationship between Hdm2 and Nedd8 protein concentration?</strong> A)Nedd8 protein concentration is directly proportional to Hdm2 activity. B)Degradation of Nedd8 proteins is more efficient when Hdm2 associates with NUB1. C)NUB1-mediated Nedd8 protein degradation is independent of Hdm2 activity. D)Nedd8 protein levels are only dependent on the ability of Hdm2 to degrade NUB1. Figure 2  1H NMR spectrum of the AD1 region in 15N-labeled p53 during G0 and G2 phases of the cell cycleHdm2 also binds to Nedd8 ultimate buster 1 (NUB1), which enhances signaling for the degradation of Nedd8 proteins.  Preliminary data suggest that Hdm2 interacts differently with wild-type NUB1 (WTNUB1) than with mutant K159RNUB1.  To assess the effect of Hdm2 on NUB1 and p53, the half-lives of p53 and Nedd8 protein variants were compared in cells that overexpress Hdm2 (Figure 3).
<strong>Passage The tumor suppressor p53 is a homotetrameric protein with an N-terminal transactivation domain (TAD), a proline-rich domain, a DNA-binding domain (DBD), a tetramerization domain (TD), and a C-terminal regulatory domain (REG) on each subunit (Figure 1).   <strong>Figure 1</strong>  Organization of the p53 domains (1-393 amino acids)Human double minute 2 (Hdm2) is a lysine-specific ubiquitin protein ligase that can change the half-life of some proteins, including p53, by signaling for their proteolytic cleavage.  Under normal circumstances, Hdm2 binds p53 at the AD1 region within the TAD and attaches ubiquitin to a lysine residue.  However, errors in DNA replication induce the phosphorylation of residue T18 on p53, which inhibits p53's association with Hdm2.  The overexpression of Hdm2 has been correlated with the downregulation of tumor suppressor p53 in certain types of cancers.  Changes in the NMR chemical shift (ppm) of amino acids in the AD1 region shown in Figure 2 provide evidence for the formation of a p53-Hdm2 complex.   <strong>Figure 2</strong>  <sup>1</sup>H NMR spectrum of the AD1 region in <sup>15</sup>N-labeled p53 during G<sub>0</sub> and G<sub>2</sub> phases of the cell cycleHdm2 also binds to Nedd8 ultimate buster 1 (NUB1), which enhances signaling for the degradation of Nedd8 proteins.  Preliminary data suggest that Hdm2 interacts differently with wild-type NUB1 (WTNUB1) than with mutant K159RNUB1.  To assess the effect of Hdm2 on NUB1 and p53, the half-lives of p53 and Nedd8 protein variants were compared in cells that overexpress Hdm2 (Figure 3).   <strong>Figure 3</strong>  Half-lives of p53, phosphorylated p53 (p53-PO<sub>4</sub>), and Nedd-8 proteins in cells with wild-type or mutant NUB1 over time Adapted from Ferreon JC, Lee CW, Arai M, Martinez-yamout MA, Dyson HJ, Wright PE. Cooperative regulation of p53 by modulation of ternary complex formation with CBP/p300 and HDM2. Proc Natl Acad Sci USA. 2009;106(16):6591-6. Which statement best explains the relationship between Hdm2 and Nedd8 protein concentration?</strong> A)Nedd8 protein concentration is directly proportional to Hdm2 activity. B)Degradation of Nedd8 proteins is more efficient when Hdm2 associates with NUB1. C)NUB1-mediated Nedd8 protein degradation is independent of Hdm2 activity. D)Nedd8 protein levels are only dependent on the ability of Hdm2 to degrade NUB1. Figure 3  Half-lives of p53, phosphorylated p53 (p53-PO4), and Nedd-8 proteins in cells with wild-type or mutant NUB1 over time
Adapted from Ferreon JC, Lee CW, Arai M, Martinez-yamout MA, Dyson HJ, Wright PE. Cooperative regulation of p53 by modulation of ternary complex formation with CBP/p300 and HDM2. Proc Natl Acad Sci USA. 2009;106(16):6591-6.
Which statement best explains the relationship between Hdm2 and Nedd8 protein concentration?

A)Nedd8 protein concentration is directly proportional to Hdm2 activity.
B)Degradation of Nedd8 proteins is more efficient when Hdm2 associates with NUB1.
C)NUB1-mediated Nedd8 protein degradation is independent of Hdm2 activity.
D)Nedd8 protein levels are only dependent on the ability of Hdm2 to degrade NUB1.
Unlock Deck
Unlock for access to all 307 flashcards in this deck.
Unlock Deck
k this deck
47
Passage
The tumor suppressor p53 is a homotetrameric protein with an N-terminal transactivation domain (TAD), a proline-rich domain, a DNA-binding domain (DBD), a tetramerization domain (TD), and a C-terminal regulatory domain (REG) on each subunit (Figure 1).
<strong>Passage The tumor suppressor p53 is a homotetrameric protein with an N-terminal transactivation domain (TAD), a proline-rich domain, a DNA-binding domain (DBD), a tetramerization domain (TD), and a C-terminal regulatory domain (REG) on each subunit (Figure 1).   <strong>Figure 1</strong>  Organization of the p53 domains (1-393 amino acids)Human double minute 2 (Hdm2) is a lysine-specific ubiquitin protein ligase that can change the half-life of some proteins, including p53, by signaling for their proteolytic cleavage.  Under normal circumstances, Hdm2 binds p53 at the AD1 region within the TAD and attaches ubiquitin to a lysine residue.  However, errors in DNA replication induce the phosphorylation of residue T18 on p53, which inhibits p53's association with Hdm2.  The overexpression of Hdm2 has been correlated with the downregulation of tumor suppressor p53 in certain types of cancers.  Changes in the NMR chemical shift (ppm) of amino acids in the AD1 region shown in Figure 2 provide evidence for the formation of a p53-Hdm2 complex.   <strong>Figure 2</strong>  <sup>1</sup>H NMR spectrum of the AD1 region in <sup>15</sup>N-labeled p53 during G<sub>0</sub> and G<sub>2</sub> phases of the cell cycleHdm2 also binds to Nedd8 ultimate buster 1 (NUB1), which enhances signaling for the degradation of Nedd8 proteins.  Preliminary data suggest that Hdm2 interacts differently with wild-type NUB1 (WTNUB1) than with mutant K159RNUB1.  To assess the effect of Hdm2 on NUB1 and p53, the half-lives of p53 and Nedd8 protein variants were compared in cells that overexpress Hdm2 (Figure 3).   <strong>Figure 3</strong>  Half-lives of p53, phosphorylated p53 (p53-PO<sub>4</sub>), and Nedd-8 proteins in cells with wild-type or mutant NUB1 over time Adapted from Ferreon JC, Lee CW, Arai M, Martinez-yamout MA, Dyson HJ, Wright PE. Cooperative regulation of p53 by modulation of ternary complex formation with CBP/p300 and HDM2. Proc Natl Acad Sci USA. 2009;106(16):6591-6. The data in Figure 3 support which of the following conclusions?</strong> A)The high K<sub>d</sub> of the Hdm2-p53-PO<sub>4</sub> complex causes p53-PO<sub>4</sub> concentrations to remain steady. B)Unphosphorylated p53 is degraded slowly because it has a low affinity for Hdm2. C)Dephosphorylation reduces the p53 degradation rate by increasing the K<sub>d</sub> of Hdm2-p53-PO<sub>4</sub>. D)Phosphorylated p53 is prone to cleavage due to its higher affinity for Hdm2. Figure 1  Organization of the p53 domains (1-393 amino acids)Human double minute 2 (Hdm2) is a lysine-specific ubiquitin protein ligase that can change the half-life of some proteins, including p53, by signaling for their proteolytic cleavage.  Under normal circumstances, Hdm2 binds p53 at the AD1 region within the TAD and attaches ubiquitin to a lysine residue.  However, errors in DNA replication induce the phosphorylation of residue T18 on p53, which inhibits p53's association with Hdm2.  The overexpression of Hdm2 has been correlated with the downregulation of tumor suppressor p53 in certain types of cancers.  Changes in the NMR chemical shift (ppm) of amino acids in the AD1 region shown in Figure 2 provide evidence for the formation of a p53-Hdm2 complex.
<strong>Passage The tumor suppressor p53 is a homotetrameric protein with an N-terminal transactivation domain (TAD), a proline-rich domain, a DNA-binding domain (DBD), a tetramerization domain (TD), and a C-terminal regulatory domain (REG) on each subunit (Figure 1).   <strong>Figure 1</strong>  Organization of the p53 domains (1-393 amino acids)Human double minute 2 (Hdm2) is a lysine-specific ubiquitin protein ligase that can change the half-life of some proteins, including p53, by signaling for their proteolytic cleavage.  Under normal circumstances, Hdm2 binds p53 at the AD1 region within the TAD and attaches ubiquitin to a lysine residue.  However, errors in DNA replication induce the phosphorylation of residue T18 on p53, which inhibits p53's association with Hdm2.  The overexpression of Hdm2 has been correlated with the downregulation of tumor suppressor p53 in certain types of cancers.  Changes in the NMR chemical shift (ppm) of amino acids in the AD1 region shown in Figure 2 provide evidence for the formation of a p53-Hdm2 complex.   <strong>Figure 2</strong>  <sup>1</sup>H NMR spectrum of the AD1 region in <sup>15</sup>N-labeled p53 during G<sub>0</sub> and G<sub>2</sub> phases of the cell cycleHdm2 also binds to Nedd8 ultimate buster 1 (NUB1), which enhances signaling for the degradation of Nedd8 proteins.  Preliminary data suggest that Hdm2 interacts differently with wild-type NUB1 (WTNUB1) than with mutant K159RNUB1.  To assess the effect of Hdm2 on NUB1 and p53, the half-lives of p53 and Nedd8 protein variants were compared in cells that overexpress Hdm2 (Figure 3).   <strong>Figure 3</strong>  Half-lives of p53, phosphorylated p53 (p53-PO<sub>4</sub>), and Nedd-8 proteins in cells with wild-type or mutant NUB1 over time Adapted from Ferreon JC, Lee CW, Arai M, Martinez-yamout MA, Dyson HJ, Wright PE. Cooperative regulation of p53 by modulation of ternary complex formation with CBP/p300 and HDM2. Proc Natl Acad Sci USA. 2009;106(16):6591-6. The data in Figure 3 support which of the following conclusions?</strong> A)The high K<sub>d</sub> of the Hdm2-p53-PO<sub>4</sub> complex causes p53-PO<sub>4</sub> concentrations to remain steady. B)Unphosphorylated p53 is degraded slowly because it has a low affinity for Hdm2. C)Dephosphorylation reduces the p53 degradation rate by increasing the K<sub>d</sub> of Hdm2-p53-PO<sub>4</sub>. D)Phosphorylated p53 is prone to cleavage due to its higher affinity for Hdm2. Figure 2  1H NMR spectrum of the AD1 region in 15N-labeled p53 during G0 and G2 phases of the cell cycleHdm2 also binds to Nedd8 ultimate buster 1 (NUB1), which enhances signaling for the degradation of Nedd8 proteins.  Preliminary data suggest that Hdm2 interacts differently with wild-type NUB1 (WTNUB1) than with mutant K159RNUB1.  To assess the effect of Hdm2 on NUB1 and p53, the half-lives of p53 and Nedd8 protein variants were compared in cells that overexpress Hdm2 (Figure 3).
<strong>Passage The tumor suppressor p53 is a homotetrameric protein with an N-terminal transactivation domain (TAD), a proline-rich domain, a DNA-binding domain (DBD), a tetramerization domain (TD), and a C-terminal regulatory domain (REG) on each subunit (Figure 1).   <strong>Figure 1</strong>  Organization of the p53 domains (1-393 amino acids)Human double minute 2 (Hdm2) is a lysine-specific ubiquitin protein ligase that can change the half-life of some proteins, including p53, by signaling for their proteolytic cleavage.  Under normal circumstances, Hdm2 binds p53 at the AD1 region within the TAD and attaches ubiquitin to a lysine residue.  However, errors in DNA replication induce the phosphorylation of residue T18 on p53, which inhibits p53's association with Hdm2.  The overexpression of Hdm2 has been correlated with the downregulation of tumor suppressor p53 in certain types of cancers.  Changes in the NMR chemical shift (ppm) of amino acids in the AD1 region shown in Figure 2 provide evidence for the formation of a p53-Hdm2 complex.   <strong>Figure 2</strong>  <sup>1</sup>H NMR spectrum of the AD1 region in <sup>15</sup>N-labeled p53 during G<sub>0</sub> and G<sub>2</sub> phases of the cell cycleHdm2 also binds to Nedd8 ultimate buster 1 (NUB1), which enhances signaling for the degradation of Nedd8 proteins.  Preliminary data suggest that Hdm2 interacts differently with wild-type NUB1 (WTNUB1) than with mutant K159RNUB1.  To assess the effect of Hdm2 on NUB1 and p53, the half-lives of p53 and Nedd8 protein variants were compared in cells that overexpress Hdm2 (Figure 3).   <strong>Figure 3</strong>  Half-lives of p53, phosphorylated p53 (p53-PO<sub>4</sub>), and Nedd-8 proteins in cells with wild-type or mutant NUB1 over time Adapted from Ferreon JC, Lee CW, Arai M, Martinez-yamout MA, Dyson HJ, Wright PE. Cooperative regulation of p53 by modulation of ternary complex formation with CBP/p300 and HDM2. Proc Natl Acad Sci USA. 2009;106(16):6591-6. The data in Figure 3 support which of the following conclusions?</strong> A)The high K<sub>d</sub> of the Hdm2-p53-PO<sub>4</sub> complex causes p53-PO<sub>4</sub> concentrations to remain steady. B)Unphosphorylated p53 is degraded slowly because it has a low affinity for Hdm2. C)Dephosphorylation reduces the p53 degradation rate by increasing the K<sub>d</sub> of Hdm2-p53-PO<sub>4</sub>. D)Phosphorylated p53 is prone to cleavage due to its higher affinity for Hdm2. Figure 3  Half-lives of p53, phosphorylated p53 (p53-PO4), and Nedd-8 proteins in cells with wild-type or mutant NUB1 over time
Adapted from Ferreon JC, Lee CW, Arai M, Martinez-yamout MA, Dyson HJ, Wright PE. Cooperative regulation of p53 by modulation of ternary complex formation with CBP/p300 and HDM2. Proc Natl Acad Sci USA. 2009;106(16):6591-6.
The data in Figure 3 support which of the following conclusions?

A)The high Kd of the Hdm2-p53-PO4 complex causes p53-PO4 concentrations to remain steady.
B)Unphosphorylated p53 is degraded slowly because it has a low affinity for Hdm2.
C)Dephosphorylation reduces the p53 degradation rate by increasing the Kd of Hdm2-p53-PO4.
D)Phosphorylated p53 is prone to cleavage due to its higher affinity for Hdm2.
Unlock Deck
Unlock for access to all 307 flashcards in this deck.
Unlock Deck
k this deck
48
Passage
Aldehyde dehydrogenase 2 (ALDH2) is essential for the oxidation of toxic aldehydes, and uses NAD+ as the oxidizing agent.  Mitochondrial ALDH2 exists as a 220-kD homotetrameric protein containing a catalytic, nucleotide-binding, and coenzyme-binding domain.  The most prevalent ALDH2 mutation (ALDH2*2) involves an E to K (E478K) substitution in the catalytic domain that leads to decreased enzymatic activity.Scientists hypothesize that Asian populations have higher rates of ALDH2*2 incidence.  The properties of ALDH2 variants in Caucasian and Japanese populations were analyzed in the following experiments.Experiment 1Mitochondrial extracts from both populations were combined in a single mixture and separated by native gel electrophoresis.  Proteins 210-230 kD in size were removed from the agarose gel and further isolated using affinity columns with antibodies designed to separate wild-type ALDH2 from ALDH2*2 by binding the catalytic domain of the wild-type but not the mutant protein.  Concentrated eluates E1 and E2 were produced by washing the affinity columns with buffers that remove unbound proteins and dislodge bound proteins from antibodies, respectively (Figure 1).
<strong>Passage Aldehyde dehydrogenase 2 (ALDH2) is essential for the oxidation of toxic aldehydes, and uses NAD<sup>+</sup> as the oxidizing agent.  Mitochondrial ALDH2 exists as a 220-kD homotetrameric protein containing a catalytic, nucleotide-binding, and coenzyme-binding domain.  The most prevalent ALDH2 mutation (ALDH2*2) involves an E to K (E478K) substitution in the catalytic domain that leads to decreased enzymatic activity.Scientists hypothesize that Asian populations have higher rates of ALDH2*2 incidence.  The properties of ALDH2 variants in Caucasian and Japanese populations were analyzed in the following experiments.Experiment 1Mitochondrial extracts from both populations were combined in a single mixture and separated by native gel electrophoresis.  Proteins 210-230 kD in size were removed from the agarose gel and further isolated using affinity columns with antibodies designed to separate wild-type ALDH2 from ALDH2*2 by binding the catalytic domain of the wild-type but not the mutant protein.  Concentrated eluates E1 and E2 were produced by washing the affinity columns with buffers that remove unbound proteins and dislodge bound proteins from antibodies, respectively (Figure 1).   <strong>Figure 1</strong>  Purification of ALDH2 proteinsALDH2 activity in each eluate was quantified by adding acetaldehyde and NAD<sup>+</sup>, and then monitoring the rate of NADH production.  The results are shown in Figure 2.   <strong>Figure 2</strong>  Enzymatic activity of E1 and E2 eluatesExperiment 2Researchers predict that mutations at conserved amino acid sites containing S or T may prevent ALDH2 from being phosphorylated by protein kinase C epsilon (εPKC).  The activity of wild-type ALDH2 (WT) and ALDH2 mutants with substitutions at positions T185 and S279 in the presence or absence of εPKC are summarized in Table 1.<strong>Table 1</strong>  Effect of εPKC on ALDH2 Variants   Adapted from Chen CH, Ferreira JC, Gross ER, Mochly-rosen D. Targeting aldehyde dehydrogenase 2: new therapeutic opportunities. Physiol Rev. 2014;94(1):1-34. Based on Table 1, which pair of amino acid substitutions in ALDH2 would most likely result in the highest NADH production in the absence of εPKC?</strong> A)T185N and S279Q B)T185D and S279N C)T185E and S279D D)T185Q and S279E Figure 1  Purification of ALDH2 proteinsALDH2 activity in each eluate was quantified by adding acetaldehyde and NAD+, and then monitoring the rate of NADH production.  The results are shown in Figure 2.
<strong>Passage Aldehyde dehydrogenase 2 (ALDH2) is essential for the oxidation of toxic aldehydes, and uses NAD<sup>+</sup> as the oxidizing agent.  Mitochondrial ALDH2 exists as a 220-kD homotetrameric protein containing a catalytic, nucleotide-binding, and coenzyme-binding domain.  The most prevalent ALDH2 mutation (ALDH2*2) involves an E to K (E478K) substitution in the catalytic domain that leads to decreased enzymatic activity.Scientists hypothesize that Asian populations have higher rates of ALDH2*2 incidence.  The properties of ALDH2 variants in Caucasian and Japanese populations were analyzed in the following experiments.Experiment 1Mitochondrial extracts from both populations were combined in a single mixture and separated by native gel electrophoresis.  Proteins 210-230 kD in size were removed from the agarose gel and further isolated using affinity columns with antibodies designed to separate wild-type ALDH2 from ALDH2*2 by binding the catalytic domain of the wild-type but not the mutant protein.  Concentrated eluates E1 and E2 were produced by washing the affinity columns with buffers that remove unbound proteins and dislodge bound proteins from antibodies, respectively (Figure 1).   <strong>Figure 1</strong>  Purification of ALDH2 proteinsALDH2 activity in each eluate was quantified by adding acetaldehyde and NAD<sup>+</sup>, and then monitoring the rate of NADH production.  The results are shown in Figure 2.   <strong>Figure 2</strong>  Enzymatic activity of E1 and E2 eluatesExperiment 2Researchers predict that mutations at conserved amino acid sites containing S or T may prevent ALDH2 from being phosphorylated by protein kinase C epsilon (εPKC).  The activity of wild-type ALDH2 (WT) and ALDH2 mutants with substitutions at positions T185 and S279 in the presence or absence of εPKC are summarized in Table 1.<strong>Table 1</strong>  Effect of εPKC on ALDH2 Variants   Adapted from Chen CH, Ferreira JC, Gross ER, Mochly-rosen D. Targeting aldehyde dehydrogenase 2: new therapeutic opportunities. Physiol Rev. 2014;94(1):1-34. Based on Table 1, which pair of amino acid substitutions in ALDH2 would most likely result in the highest NADH production in the absence of εPKC?</strong> A)T185N and S279Q B)T185D and S279N C)T185E and S279D D)T185Q and S279E Figure 2  Enzymatic activity of E1 and E2 eluatesExperiment 2Researchers predict that mutations at conserved amino acid sites containing S or T may prevent ALDH2 from being phosphorylated by protein kinase C epsilon (εPKC).  The activity of wild-type ALDH2 (WT) and ALDH2 mutants with substitutions at positions T185 and S279 in the presence or absence of εPKC are summarized in Table 1.Table 1  Effect of εPKC on ALDH2 Variants
<strong>Passage Aldehyde dehydrogenase 2 (ALDH2) is essential for the oxidation of toxic aldehydes, and uses NAD<sup>+</sup> as the oxidizing agent.  Mitochondrial ALDH2 exists as a 220-kD homotetrameric protein containing a catalytic, nucleotide-binding, and coenzyme-binding domain.  The most prevalent ALDH2 mutation (ALDH2*2) involves an E to K (E478K) substitution in the catalytic domain that leads to decreased enzymatic activity.Scientists hypothesize that Asian populations have higher rates of ALDH2*2 incidence.  The properties of ALDH2 variants in Caucasian and Japanese populations were analyzed in the following experiments.Experiment 1Mitochondrial extracts from both populations were combined in a single mixture and separated by native gel electrophoresis.  Proteins 210-230 kD in size were removed from the agarose gel and further isolated using affinity columns with antibodies designed to separate wild-type ALDH2 from ALDH2*2 by binding the catalytic domain of the wild-type but not the mutant protein.  Concentrated eluates E1 and E2 were produced by washing the affinity columns with buffers that remove unbound proteins and dislodge bound proteins from antibodies, respectively (Figure 1).   <strong>Figure 1</strong>  Purification of ALDH2 proteinsALDH2 activity in each eluate was quantified by adding acetaldehyde and NAD<sup>+</sup>, and then monitoring the rate of NADH production.  The results are shown in Figure 2.   <strong>Figure 2</strong>  Enzymatic activity of E1 and E2 eluatesExperiment 2Researchers predict that mutations at conserved amino acid sites containing S or T may prevent ALDH2 from being phosphorylated by protein kinase C epsilon (εPKC).  The activity of wild-type ALDH2 (WT) and ALDH2 mutants with substitutions at positions T185 and S279 in the presence or absence of εPKC are summarized in Table 1.<strong>Table 1</strong>  Effect of εPKC on ALDH2 Variants   Adapted from Chen CH, Ferreira JC, Gross ER, Mochly-rosen D. Targeting aldehyde dehydrogenase 2: new therapeutic opportunities. Physiol Rev. 2014;94(1):1-34. Based on Table 1, which pair of amino acid substitutions in ALDH2 would most likely result in the highest NADH production in the absence of εPKC?</strong> A)T185N and S279Q B)T185D and S279N C)T185E and S279D D)T185Q and S279E Adapted from Chen CH, Ferreira JC, Gross ER, Mochly-rosen D. Targeting aldehyde dehydrogenase 2: new therapeutic opportunities. Physiol Rev. 2014;94(1):1-34.
Based on Table 1, which pair of amino acid substitutions in ALDH2 would most likely result in the highest NADH production in the absence of εPKC?

A)T185N and S279Q
B)T185D and S279N
C)T185E and S279D
D)T185Q and S279E
Unlock Deck
Unlock for access to all 307 flashcards in this deck.
Unlock Deck
k this deck
49
Interleukin-1β is a cytokine that upregulates the synthesis of PGE1, the final enzyme in the arachidonic acid pathway that generates prostaglandin E.  Which of the following plots most likely represents the change in the kinetics of prostaglandin E production in the absence (solid line) and presence (dashed line) of interleukin-1β?

A) <strong>Interleukin-1β is a cytokine that upregulates the synthesis of PGE1, the final enzyme in the arachidonic acid pathway that generates prostaglandin E.  Which of the following plots most likely represents the change in the kinetics of prostaglandin E production in the absence (solid line) and presence (dashed line) of interleukin-1β?</strong> A)   B)   C)   D)
B) <strong>Interleukin-1β is a cytokine that upregulates the synthesis of PGE1, the final enzyme in the arachidonic acid pathway that generates prostaglandin E.  Which of the following plots most likely represents the change in the kinetics of prostaglandin E production in the absence (solid line) and presence (dashed line) of interleukin-1β?</strong> A)   B)   C)   D)
C) <strong>Interleukin-1β is a cytokine that upregulates the synthesis of PGE1, the final enzyme in the arachidonic acid pathway that generates prostaglandin E.  Which of the following plots most likely represents the change in the kinetics of prostaglandin E production in the absence (solid line) and presence (dashed line) of interleukin-1β?</strong> A)   B)   C)   D)
D) <strong>Interleukin-1β is a cytokine that upregulates the synthesis of PGE1, the final enzyme in the arachidonic acid pathway that generates prostaglandin E.  Which of the following plots most likely represents the change in the kinetics of prostaglandin E production in the absence (solid line) and presence (dashed line) of interleukin-1β?</strong> A)   B)   C)   D)
Unlock Deck
Unlock for access to all 307 flashcards in this deck.
Unlock Deck
k this deck
50
Passage
Antimicrobial peptides are an important component of innate immunity.  Since their discovery in 1939, over 5,000 peptides with antimicrobial properties have been isolated from organisms in every domain of life.  They have demonstrated activity against enveloped viruses, bacteria, fungi, and even tumor cells and have recently gained interest for their potential in fighting antibiotic-resistant bacteria.  Most known antimicrobial peptides are positively charged, but some with negative charges have also been discovered.Frogs are known to secrete a variety of antimicrobial peptides as a major source of immunity.  Secretions from a new species of frog were collected and the peptides were separated by cation exchange chromatography.  Four of the isolated peptides demonstrated strong antibacterial activity and were characterized by isoelectric focusing and sequencing:
<strong>Passage Antimicrobial peptides are an important component of innate immunity.  Since their discovery in 1939, over 5,000 peptides with antimicrobial properties have been isolated from organisms in every domain of life.  They have demonstrated activity against enveloped viruses, bacteria, fungi, and even tumor cells and have recently gained interest for their potential in fighting antibiotic-resistant bacteria.  Most known antimicrobial peptides are positively charged, but some with negative charges have also been discovered.Frogs are known to secrete a variety of antimicrobial peptides as a major source of immunity.  Secretions from a new species of frog were collected and the peptides were separated by cation exchange chromatography.  Four of the isolated peptides demonstrated strong antibacterial activity and were characterized by isoelectric focusing and sequencing:   <strong>Figure 1</strong>  Results of isoelectric focusing of four antimicrobial peptides<strong>Table 1</strong>  Amino Acid Compositions of Four Antimicrobial Peptides   Adapted from Wang Z, Wang G. APD: the Antimicrobial Peptide Database. Nucleic Acids Res. 2004;32(Database issue):D590-2. Which amino acid residue is most likely responsible for the decreased isoelectric point of Peptide 2 relative to Peptide 3?</strong> A)Threonine B)Histidine C)Aspartate D)Glutamate Figure 1  Results of isoelectric focusing of four antimicrobial peptidesTable 1  Amino Acid Compositions of Four Antimicrobial Peptides
<strong>Passage Antimicrobial peptides are an important component of innate immunity.  Since their discovery in 1939, over 5,000 peptides with antimicrobial properties have been isolated from organisms in every domain of life.  They have demonstrated activity against enveloped viruses, bacteria, fungi, and even tumor cells and have recently gained interest for their potential in fighting antibiotic-resistant bacteria.  Most known antimicrobial peptides are positively charged, but some with negative charges have also been discovered.Frogs are known to secrete a variety of antimicrobial peptides as a major source of immunity.  Secretions from a new species of frog were collected and the peptides were separated by cation exchange chromatography.  Four of the isolated peptides demonstrated strong antibacterial activity and were characterized by isoelectric focusing and sequencing:   <strong>Figure 1</strong>  Results of isoelectric focusing of four antimicrobial peptides<strong>Table 1</strong>  Amino Acid Compositions of Four Antimicrobial Peptides   Adapted from Wang Z, Wang G. APD: the Antimicrobial Peptide Database. Nucleic Acids Res. 2004;32(Database issue):D590-2. Which amino acid residue is most likely responsible for the decreased isoelectric point of Peptide 2 relative to Peptide 3?</strong> A)Threonine B)Histidine C)Aspartate D)Glutamate Adapted from Wang Z, Wang G. APD: the Antimicrobial Peptide Database. Nucleic Acids Res. 2004;32(Database issue):D590-2.
Which amino acid residue is most likely responsible for the decreased isoelectric point of Peptide 2 relative to Peptide 3?

A)Threonine
B)Histidine
C)Aspartate
D)Glutamate
Unlock Deck
Unlock for access to all 307 flashcards in this deck.
Unlock Deck
k this deck
51
Passage
Aldehyde dehydrogenase 2 (ALDH2) is essential for the oxidation of toxic aldehydes, and uses NAD+ as the oxidizing agent.  Mitochondrial ALDH2 exists as a 220-kD homotetrameric protein containing a catalytic, nucleotide-binding, and coenzyme-binding domain.  The most prevalent ALDH2 mutation (ALDH2*2) involves an E to K (E478K) substitution in the catalytic domain that leads to decreased enzymatic activity.Scientists hypothesize that Asian populations have higher rates of ALDH2*2 incidence.  The properties of ALDH2 variants in Caucasian and Japanese populations were analyzed in the following experiments.Experiment 1Mitochondrial extracts from both populations were combined in a single mixture and separated by native gel electrophoresis.  Proteins 210-230 kD in size were removed from the agarose gel and further isolated using affinity columns with antibodies designed to separate wild-type ALDH2 from ALDH2*2 by binding the catalytic domain of the wild-type but not the mutant protein.  Concentrated eluates E1 and E2 were produced by washing the affinity columns with buffers that remove unbound proteins and dislodge bound proteins from antibodies, respectively (Figure 1).
<strong>Passage Aldehyde dehydrogenase 2 (ALDH2) is essential for the oxidation of toxic aldehydes, and uses NAD<sup>+</sup> as the oxidizing agent.  Mitochondrial ALDH2 exists as a 220-kD homotetrameric protein containing a catalytic, nucleotide-binding, and coenzyme-binding domain.  The most prevalent ALDH2 mutation (ALDH2*2) involves an E to K (E478K) substitution in the catalytic domain that leads to decreased enzymatic activity.Scientists hypothesize that Asian populations have higher rates of ALDH2*2 incidence.  The properties of ALDH2 variants in Caucasian and Japanese populations were analyzed in the following experiments.Experiment 1Mitochondrial extracts from both populations were combined in a single mixture and separated by native gel electrophoresis.  Proteins 210-230 kD in size were removed from the agarose gel and further isolated using affinity columns with antibodies designed to separate wild-type ALDH2 from ALDH2*2 by binding the catalytic domain of the wild-type but not the mutant protein.  Concentrated eluates E1 and E2 were produced by washing the affinity columns with buffers that remove unbound proteins and dislodge bound proteins from antibodies, respectively (Figure 1).   <strong>Figure 1</strong>  Purification of ALDH2 proteinsALDH2 activity in each eluate was quantified by adding acetaldehyde and NAD<sup>+</sup>, and then monitoring the rate of NADH production.  The results are shown in Figure 2.   <strong>Figure 2</strong>  Enzymatic activity of E1 and E2 eluatesExperiment 2Researchers predict that mutations at conserved amino acid sites containing S or T may prevent ALDH2 from being phosphorylated by protein kinase C epsilon (εPKC).  The activity of wild-type ALDH2 (WT) and ALDH2 mutants with substitutions at positions T185 and S279 in the presence or absence of εPKC are summarized in Table 1.<strong>Table 1</strong>  Effect of εPKC on ALDH2 Variants   Adapted from Chen CH, Ferreira JC, Gross ER, Mochly-rosen D. Targeting aldehyde dehydrogenase 2: new therapeutic opportunities. Physiol Rev. 2014;94(1):1-34. The method used to phosphorylate ALDH2 in Experiment 2 must include εPKC and which other component?</strong> A)Inorganic phosphate B)ATP C)Phosphoprotein D)Glucose-6-phosphate Figure 1  Purification of ALDH2 proteinsALDH2 activity in each eluate was quantified by adding acetaldehyde and NAD+, and then monitoring the rate of NADH production.  The results are shown in Figure 2.
<strong>Passage Aldehyde dehydrogenase 2 (ALDH2) is essential for the oxidation of toxic aldehydes, and uses NAD<sup>+</sup> as the oxidizing agent.  Mitochondrial ALDH2 exists as a 220-kD homotetrameric protein containing a catalytic, nucleotide-binding, and coenzyme-binding domain.  The most prevalent ALDH2 mutation (ALDH2*2) involves an E to K (E478K) substitution in the catalytic domain that leads to decreased enzymatic activity.Scientists hypothesize that Asian populations have higher rates of ALDH2*2 incidence.  The properties of ALDH2 variants in Caucasian and Japanese populations were analyzed in the following experiments.Experiment 1Mitochondrial extracts from both populations were combined in a single mixture and separated by native gel electrophoresis.  Proteins 210-230 kD in size were removed from the agarose gel and further isolated using affinity columns with antibodies designed to separate wild-type ALDH2 from ALDH2*2 by binding the catalytic domain of the wild-type but not the mutant protein.  Concentrated eluates E1 and E2 were produced by washing the affinity columns with buffers that remove unbound proteins and dislodge bound proteins from antibodies, respectively (Figure 1).   <strong>Figure 1</strong>  Purification of ALDH2 proteinsALDH2 activity in each eluate was quantified by adding acetaldehyde and NAD<sup>+</sup>, and then monitoring the rate of NADH production.  The results are shown in Figure 2.   <strong>Figure 2</strong>  Enzymatic activity of E1 and E2 eluatesExperiment 2Researchers predict that mutations at conserved amino acid sites containing S or T may prevent ALDH2 from being phosphorylated by protein kinase C epsilon (εPKC).  The activity of wild-type ALDH2 (WT) and ALDH2 mutants with substitutions at positions T185 and S279 in the presence or absence of εPKC are summarized in Table 1.<strong>Table 1</strong>  Effect of εPKC on ALDH2 Variants   Adapted from Chen CH, Ferreira JC, Gross ER, Mochly-rosen D. Targeting aldehyde dehydrogenase 2: new therapeutic opportunities. Physiol Rev. 2014;94(1):1-34. The method used to phosphorylate ALDH2 in Experiment 2 must include εPKC and which other component?</strong> A)Inorganic phosphate B)ATP C)Phosphoprotein D)Glucose-6-phosphate Figure 2  Enzymatic activity of E1 and E2 eluatesExperiment 2Researchers predict that mutations at conserved amino acid sites containing S or T may prevent ALDH2 from being phosphorylated by protein kinase C epsilon (εPKC).  The activity of wild-type ALDH2 (WT) and ALDH2 mutants with substitutions at positions T185 and S279 in the presence or absence of εPKC are summarized in Table 1.Table 1  Effect of εPKC on ALDH2 Variants
<strong>Passage Aldehyde dehydrogenase 2 (ALDH2) is essential for the oxidation of toxic aldehydes, and uses NAD<sup>+</sup> as the oxidizing agent.  Mitochondrial ALDH2 exists as a 220-kD homotetrameric protein containing a catalytic, nucleotide-binding, and coenzyme-binding domain.  The most prevalent ALDH2 mutation (ALDH2*2) involves an E to K (E478K) substitution in the catalytic domain that leads to decreased enzymatic activity.Scientists hypothesize that Asian populations have higher rates of ALDH2*2 incidence.  The properties of ALDH2 variants in Caucasian and Japanese populations were analyzed in the following experiments.Experiment 1Mitochondrial extracts from both populations were combined in a single mixture and separated by native gel electrophoresis.  Proteins 210-230 kD in size were removed from the agarose gel and further isolated using affinity columns with antibodies designed to separate wild-type ALDH2 from ALDH2*2 by binding the catalytic domain of the wild-type but not the mutant protein.  Concentrated eluates E1 and E2 were produced by washing the affinity columns with buffers that remove unbound proteins and dislodge bound proteins from antibodies, respectively (Figure 1).   <strong>Figure 1</strong>  Purification of ALDH2 proteinsALDH2 activity in each eluate was quantified by adding acetaldehyde and NAD<sup>+</sup>, and then monitoring the rate of NADH production.  The results are shown in Figure 2.   <strong>Figure 2</strong>  Enzymatic activity of E1 and E2 eluatesExperiment 2Researchers predict that mutations at conserved amino acid sites containing S or T may prevent ALDH2 from being phosphorylated by protein kinase C epsilon (εPKC).  The activity of wild-type ALDH2 (WT) and ALDH2 mutants with substitutions at positions T185 and S279 in the presence or absence of εPKC are summarized in Table 1.<strong>Table 1</strong>  Effect of εPKC on ALDH2 Variants   Adapted from Chen CH, Ferreira JC, Gross ER, Mochly-rosen D. Targeting aldehyde dehydrogenase 2: new therapeutic opportunities. Physiol Rev. 2014;94(1):1-34. The method used to phosphorylate ALDH2 in Experiment 2 must include εPKC and which other component?</strong> A)Inorganic phosphate B)ATP C)Phosphoprotein D)Glucose-6-phosphate Adapted from Chen CH, Ferreira JC, Gross ER, Mochly-rosen D. Targeting aldehyde dehydrogenase 2: new therapeutic opportunities. Physiol Rev. 2014;94(1):1-34.
The method used to phosphorylate ALDH2 in Experiment 2 must include εPKC and which other component?

A)Inorganic phosphate
B)ATP
C)Phosphoprotein
D)Glucose-6-phosphate
Unlock Deck
Unlock for access to all 307 flashcards in this deck.
Unlock Deck
k this deck
52
Passage
Aldehyde dehydrogenase 2 (ALDH2) is essential for the oxidation of toxic aldehydes, and uses NAD+ as the oxidizing agent.  Mitochondrial ALDH2 exists as a 220-kD homotetrameric protein containing a catalytic, nucleotide-binding, and coenzyme-binding domain.  The most prevalent ALDH2 mutation (ALDH2*2) involves an E to K (E478K) substitution in the catalytic domain that leads to decreased enzymatic activity.Scientists hypothesize that Asian populations have higher rates of ALDH2*2 incidence.  The properties of ALDH2 variants in Caucasian and Japanese populations were analyzed in the following experiments.Experiment 1Mitochondrial extracts from both populations were combined in a single mixture and separated by native gel electrophoresis.  Proteins 210-230 kD in size were removed from the agarose gel and further isolated using affinity columns with antibodies designed to separate wild-type ALDH2 from ALDH2*2 by binding the catalytic domain of the wild-type but not the mutant protein.  Concentrated eluates E1 and E2 were produced by washing the affinity columns with buffers that remove unbound proteins and dislodge bound proteins from antibodies, respectively (Figure 1).
<strong>Passage Aldehyde dehydrogenase 2 (ALDH2) is essential for the oxidation of toxic aldehydes, and uses NAD<sup>+</sup> as the oxidizing agent.  Mitochondrial ALDH2 exists as a 220-kD homotetrameric protein containing a catalytic, nucleotide-binding, and coenzyme-binding domain.  The most prevalent ALDH2 mutation (ALDH2*2) involves an E to K (E478K) substitution in the catalytic domain that leads to decreased enzymatic activity.Scientists hypothesize that Asian populations have higher rates of ALDH2*2 incidence.  The properties of ALDH2 variants in Caucasian and Japanese populations were analyzed in the following experiments.Experiment 1Mitochondrial extracts from both populations were combined in a single mixture and separated by native gel electrophoresis.  Proteins 210-230 kD in size were removed from the agarose gel and further isolated using affinity columns with antibodies designed to separate wild-type ALDH2 from ALDH2*2 by binding the catalytic domain of the wild-type but not the mutant protein.  Concentrated eluates E1 and E2 were produced by washing the affinity columns with buffers that remove unbound proteins and dislodge bound proteins from antibodies, respectively (Figure 1).   <strong>Figure 1</strong>  Purification of ALDH2 proteinsALDH2 activity in each eluate was quantified by adding acetaldehyde and NAD<sup>+</sup>, and then monitoring the rate of NADH production.  The results are shown in Figure 2.   <strong>Figure 2</strong>  Enzymatic activity of E1 and E2 eluatesExperiment 2Researchers predict that mutations at conserved amino acid sites containing S or T may prevent ALDH2 from being phosphorylated by protein kinase C epsilon (εPKC).  The activity of wild-type ALDH2 (WT) and ALDH2 mutants with substitutions at positions T185 and S279 in the presence or absence of εPKC are summarized in Table 1.<strong>Table 1</strong>  Effect of εPKC on ALDH2 Variants   Adapted from Chen CH, Ferreira JC, Gross ER, Mochly-rosen D. Targeting aldehyde dehydrogenase 2: new therapeutic opportunities. Physiol Rev. 2014;94(1):1-34. Scientists could confirm that Asian populations have higher rates of ALDH2*2 mutations if they discovered which of the following?</strong> A)The proteins in E2 were exclusively from Asian samples. B)None of the proteins in E1 were from Caucasian samples. C)Only WT-ALDH2 proteins were eluted from the affinity column. D)ALDH2*2 proteins were eluted first from the affinity column. Figure 1  Purification of ALDH2 proteinsALDH2 activity in each eluate was quantified by adding acetaldehyde and NAD+, and then monitoring the rate of NADH production.  The results are shown in Figure 2.
<strong>Passage Aldehyde dehydrogenase 2 (ALDH2) is essential for the oxidation of toxic aldehydes, and uses NAD<sup>+</sup> as the oxidizing agent.  Mitochondrial ALDH2 exists as a 220-kD homotetrameric protein containing a catalytic, nucleotide-binding, and coenzyme-binding domain.  The most prevalent ALDH2 mutation (ALDH2*2) involves an E to K (E478K) substitution in the catalytic domain that leads to decreased enzymatic activity.Scientists hypothesize that Asian populations have higher rates of ALDH2*2 incidence.  The properties of ALDH2 variants in Caucasian and Japanese populations were analyzed in the following experiments.Experiment 1Mitochondrial extracts from both populations were combined in a single mixture and separated by native gel electrophoresis.  Proteins 210-230 kD in size were removed from the agarose gel and further isolated using affinity columns with antibodies designed to separate wild-type ALDH2 from ALDH2*2 by binding the catalytic domain of the wild-type but not the mutant protein.  Concentrated eluates E1 and E2 were produced by washing the affinity columns with buffers that remove unbound proteins and dislodge bound proteins from antibodies, respectively (Figure 1).   <strong>Figure 1</strong>  Purification of ALDH2 proteinsALDH2 activity in each eluate was quantified by adding acetaldehyde and NAD<sup>+</sup>, and then monitoring the rate of NADH production.  The results are shown in Figure 2.   <strong>Figure 2</strong>  Enzymatic activity of E1 and E2 eluatesExperiment 2Researchers predict that mutations at conserved amino acid sites containing S or T may prevent ALDH2 from being phosphorylated by protein kinase C epsilon (εPKC).  The activity of wild-type ALDH2 (WT) and ALDH2 mutants with substitutions at positions T185 and S279 in the presence or absence of εPKC are summarized in Table 1.<strong>Table 1</strong>  Effect of εPKC on ALDH2 Variants   Adapted from Chen CH, Ferreira JC, Gross ER, Mochly-rosen D. Targeting aldehyde dehydrogenase 2: new therapeutic opportunities. Physiol Rev. 2014;94(1):1-34. Scientists could confirm that Asian populations have higher rates of ALDH2*2 mutations if they discovered which of the following?</strong> A)The proteins in E2 were exclusively from Asian samples. B)None of the proteins in E1 were from Caucasian samples. C)Only WT-ALDH2 proteins were eluted from the affinity column. D)ALDH2*2 proteins were eluted first from the affinity column. Figure 2  Enzymatic activity of E1 and E2 eluatesExperiment 2Researchers predict that mutations at conserved amino acid sites containing S or T may prevent ALDH2 from being phosphorylated by protein kinase C epsilon (εPKC).  The activity of wild-type ALDH2 (WT) and ALDH2 mutants with substitutions at positions T185 and S279 in the presence or absence of εPKC are summarized in Table 1.Table 1  Effect of εPKC on ALDH2 Variants
<strong>Passage Aldehyde dehydrogenase 2 (ALDH2) is essential for the oxidation of toxic aldehydes, and uses NAD<sup>+</sup> as the oxidizing agent.  Mitochondrial ALDH2 exists as a 220-kD homotetrameric protein containing a catalytic, nucleotide-binding, and coenzyme-binding domain.  The most prevalent ALDH2 mutation (ALDH2*2) involves an E to K (E478K) substitution in the catalytic domain that leads to decreased enzymatic activity.Scientists hypothesize that Asian populations have higher rates of ALDH2*2 incidence.  The properties of ALDH2 variants in Caucasian and Japanese populations were analyzed in the following experiments.Experiment 1Mitochondrial extracts from both populations were combined in a single mixture and separated by native gel electrophoresis.  Proteins 210-230 kD in size were removed from the agarose gel and further isolated using affinity columns with antibodies designed to separate wild-type ALDH2 from ALDH2*2 by binding the catalytic domain of the wild-type but not the mutant protein.  Concentrated eluates E1 and E2 were produced by washing the affinity columns with buffers that remove unbound proteins and dislodge bound proteins from antibodies, respectively (Figure 1).   <strong>Figure 1</strong>  Purification of ALDH2 proteinsALDH2 activity in each eluate was quantified by adding acetaldehyde and NAD<sup>+</sup>, and then monitoring the rate of NADH production.  The results are shown in Figure 2.   <strong>Figure 2</strong>  Enzymatic activity of E1 and E2 eluatesExperiment 2Researchers predict that mutations at conserved amino acid sites containing S or T may prevent ALDH2 from being phosphorylated by protein kinase C epsilon (εPKC).  The activity of wild-type ALDH2 (WT) and ALDH2 mutants with substitutions at positions T185 and S279 in the presence or absence of εPKC are summarized in Table 1.<strong>Table 1</strong>  Effect of εPKC on ALDH2 Variants   Adapted from Chen CH, Ferreira JC, Gross ER, Mochly-rosen D. Targeting aldehyde dehydrogenase 2: new therapeutic opportunities. Physiol Rev. 2014;94(1):1-34. Scientists could confirm that Asian populations have higher rates of ALDH2*2 mutations if they discovered which of the following?</strong> A)The proteins in E2 were exclusively from Asian samples. B)None of the proteins in E1 were from Caucasian samples. C)Only WT-ALDH2 proteins were eluted from the affinity column. D)ALDH2*2 proteins were eluted first from the affinity column. Adapted from Chen CH, Ferreira JC, Gross ER, Mochly-rosen D. Targeting aldehyde dehydrogenase 2: new therapeutic opportunities. Physiol Rev. 2014;94(1):1-34.
Scientists could confirm that Asian populations have higher rates of ALDH2*2 mutations if they discovered which of the following?

A)The proteins in E2 were exclusively from Asian samples.
B)None of the proteins in E1 were from Caucasian samples.
C)Only WT-ALDH2 proteins were eluted from the affinity column.
D)ALDH2*2 proteins were eluted first from the affinity column.
Unlock Deck
Unlock for access to all 307 flashcards in this deck.
Unlock Deck
k this deck
53
Passage
Antimicrobial peptides are an important component of innate immunity.  Since their discovery in 1939, over 5,000 peptides with antimicrobial properties have been isolated from organisms in every domain of life.  They have demonstrated activity against enveloped viruses, bacteria, fungi, and even tumor cells and have recently gained interest for their potential in fighting antibiotic-resistant bacteria.  Most known antimicrobial peptides are positively charged, but some with negative charges have also been discovered.Frogs are known to secrete a variety of antimicrobial peptides as a major source of immunity.  Secretions from a new species of frog were collected and the peptides were separated by cation exchange chromatography.  Four of the isolated peptides demonstrated strong antibacterial activity and were characterized by isoelectric focusing and sequencing:
<strong>Passage Antimicrobial peptides are an important component of innate immunity.  Since their discovery in 1939, over 5,000 peptides with antimicrobial properties have been isolated from organisms in every domain of life.  They have demonstrated activity against enveloped viruses, bacteria, fungi, and even tumor cells and have recently gained interest for their potential in fighting antibiotic-resistant bacteria.  Most known antimicrobial peptides are positively charged, but some with negative charges have also been discovered.Frogs are known to secrete a variety of antimicrobial peptides as a major source of immunity.  Secretions from a new species of frog were collected and the peptides were separated by cation exchange chromatography.  Four of the isolated peptides demonstrated strong antibacterial activity and were characterized by isoelectric focusing and sequencing:   <strong>Figure 1</strong>  Results of isoelectric focusing of four antimicrobial peptides<strong>Table 1</strong>  Amino Acid Compositions of Four Antimicrobial Peptides   Adapted from Wang Z, Wang G. APD: the Antimicrobial Peptide Database. Nucleic Acids Res. 2004;32(Database issue):D590-2. Some strains of Staphylococcus aureus modify their membranes by attaching lysine to phospholipids on the extracellular side.  Given this information, which of the peptides tested is likely to be most effective against these strains?</strong> A)Peptide 1 B)Peptide 2 C)Peptide 3 D)Peptide 4 Figure 1  Results of isoelectric focusing of four antimicrobial peptidesTable 1  Amino Acid Compositions of Four Antimicrobial Peptides
<strong>Passage Antimicrobial peptides are an important component of innate immunity.  Since their discovery in 1939, over 5,000 peptides with antimicrobial properties have been isolated from organisms in every domain of life.  They have demonstrated activity against enveloped viruses, bacteria, fungi, and even tumor cells and have recently gained interest for their potential in fighting antibiotic-resistant bacteria.  Most known antimicrobial peptides are positively charged, but some with negative charges have also been discovered.Frogs are known to secrete a variety of antimicrobial peptides as a major source of immunity.  Secretions from a new species of frog were collected and the peptides were separated by cation exchange chromatography.  Four of the isolated peptides demonstrated strong antibacterial activity and were characterized by isoelectric focusing and sequencing:   <strong>Figure 1</strong>  Results of isoelectric focusing of four antimicrobial peptides<strong>Table 1</strong>  Amino Acid Compositions of Four Antimicrobial Peptides   Adapted from Wang Z, Wang G. APD: the Antimicrobial Peptide Database. Nucleic Acids Res. 2004;32(Database issue):D590-2. Some strains of Staphylococcus aureus modify their membranes by attaching lysine to phospholipids on the extracellular side.  Given this information, which of the peptides tested is likely to be most effective against these strains?</strong> A)Peptide 1 B)Peptide 2 C)Peptide 3 D)Peptide 4 Adapted from Wang Z, Wang G. APD: the Antimicrobial Peptide Database. Nucleic Acids Res. 2004;32(Database issue):D590-2.
Some strains of Staphylococcus aureus modify their membranes by attaching lysine to phospholipids on the extracellular side.  Given this information, which of the peptides tested is likely to be most effective against these strains?

A)Peptide 1
B)Peptide 2
C)Peptide 3
D)Peptide 4
Unlock Deck
Unlock for access to all 307 flashcards in this deck.
Unlock Deck
k this deck
54
Passage
The tumor suppressor p53 is a homotetrameric protein with an N-terminal transactivation domain (TAD), a proline-rich domain, a DNA-binding domain (DBD), a tetramerization domain (TD), and a C-terminal regulatory domain (REG) on each subunit (Figure 1).
<strong>Passage The tumor suppressor p53 is a homotetrameric protein with an N-terminal transactivation domain (TAD), a proline-rich domain, a DNA-binding domain (DBD), a tetramerization domain (TD), and a C-terminal regulatory domain (REG) on each subunit (Figure 1).   <strong>Figure 1</strong>  Organization of the p53 domains (1-393 amino acids)Human double minute 2 (Hdm2) is a lysine-specific ubiquitin protein ligase that can change the half-life of some proteins, including p53, by signaling for their proteolytic cleavage.  Under normal circumstances, Hdm2 binds p53 at the AD1 region within the TAD and attaches ubiquitin to a lysine residue.  However, errors in DNA replication induce the phosphorylation of residue T18 on p53, which inhibits p53's association with Hdm2.  The overexpression of Hdm2 has been correlated with the downregulation of tumor suppressor p53 in certain types of cancers.  Changes in the NMR chemical shift (ppm) of amino acids in the AD1 region shown in Figure 2 provide evidence for the formation of a p53-Hdm2 complex.   <strong>Figure 2</strong>  <sup>1</sup>H NMR spectrum of the AD1 region in <sup>15</sup>N-labeled p53 during G<sub>0</sub> and G<sub>2</sub> phases of the cell cycleHdm2 also binds to Nedd8 ultimate buster 1 (NUB1), which enhances signaling for the degradation of Nedd8 proteins.  Preliminary data suggest that Hdm2 interacts differently with wild-type NUB1 (WTNUB1) than with mutant K159RNUB1.  To assess the effect of Hdm2 on NUB1 and p53, the half-lives of p53 and Nedd8 protein variants were compared in cells that overexpress Hdm2 (Figure 3).   <strong>Figure 3</strong>  Half-lives of p53, phosphorylated p53 (p53-PO<sub>4</sub>), and Nedd-8 proteins in cells with wild-type or mutant NUB1 over time Adapted from Ferreon JC, Lee CW, Arai M, Martinez-yamout MA, Dyson HJ, Wright PE. Cooperative regulation of p53 by modulation of ternary complex formation with CBP/p300 and HDM2. Proc Natl Acad Sci USA. 2009;106(16):6591-6. P53 displays positive cooperativity when it binds to promoters on DNA.  Which statement regarding p53 structure and function accurately explains this observation?</strong> A)The DBD subunits bind individually to DNA and have independent binding affinities. B)Phosphorylation of the REG increases the affinity of the DBD for DNA. C)The affinity of one DBD subunit for DNA increases as adjacent subunits bind to the DNA. D)Once the first promoter is bound, the binding affinity of the DBD decreases. Figure 1  Organization of the p53 domains (1-393 amino acids)Human double minute 2 (Hdm2) is a lysine-specific ubiquitin protein ligase that can change the half-life of some proteins, including p53, by signaling for their proteolytic cleavage.  Under normal circumstances, Hdm2 binds p53 at the AD1 region within the TAD and attaches ubiquitin to a lysine residue.  However, errors in DNA replication induce the phosphorylation of residue T18 on p53, which inhibits p53's association with Hdm2.  The overexpression of Hdm2 has been correlated with the downregulation of tumor suppressor p53 in certain types of cancers.  Changes in the NMR chemical shift (ppm) of amino acids in the AD1 region shown in Figure 2 provide evidence for the formation of a p53-Hdm2 complex.
<strong>Passage The tumor suppressor p53 is a homotetrameric protein with an N-terminal transactivation domain (TAD), a proline-rich domain, a DNA-binding domain (DBD), a tetramerization domain (TD), and a C-terminal regulatory domain (REG) on each subunit (Figure 1).   <strong>Figure 1</strong>  Organization of the p53 domains (1-393 amino acids)Human double minute 2 (Hdm2) is a lysine-specific ubiquitin protein ligase that can change the half-life of some proteins, including p53, by signaling for their proteolytic cleavage.  Under normal circumstances, Hdm2 binds p53 at the AD1 region within the TAD and attaches ubiquitin to a lysine residue.  However, errors in DNA replication induce the phosphorylation of residue T18 on p53, which inhibits p53's association with Hdm2.  The overexpression of Hdm2 has been correlated with the downregulation of tumor suppressor p53 in certain types of cancers.  Changes in the NMR chemical shift (ppm) of amino acids in the AD1 region shown in Figure 2 provide evidence for the formation of a p53-Hdm2 complex.   <strong>Figure 2</strong>  <sup>1</sup>H NMR spectrum of the AD1 region in <sup>15</sup>N-labeled p53 during G<sub>0</sub> and G<sub>2</sub> phases of the cell cycleHdm2 also binds to Nedd8 ultimate buster 1 (NUB1), which enhances signaling for the degradation of Nedd8 proteins.  Preliminary data suggest that Hdm2 interacts differently with wild-type NUB1 (WTNUB1) than with mutant K159RNUB1.  To assess the effect of Hdm2 on NUB1 and p53, the half-lives of p53 and Nedd8 protein variants were compared in cells that overexpress Hdm2 (Figure 3).   <strong>Figure 3</strong>  Half-lives of p53, phosphorylated p53 (p53-PO<sub>4</sub>), and Nedd-8 proteins in cells with wild-type or mutant NUB1 over time Adapted from Ferreon JC, Lee CW, Arai M, Martinez-yamout MA, Dyson HJ, Wright PE. Cooperative regulation of p53 by modulation of ternary complex formation with CBP/p300 and HDM2. Proc Natl Acad Sci USA. 2009;106(16):6591-6. P53 displays positive cooperativity when it binds to promoters on DNA.  Which statement regarding p53 structure and function accurately explains this observation?</strong> A)The DBD subunits bind individually to DNA and have independent binding affinities. B)Phosphorylation of the REG increases the affinity of the DBD for DNA. C)The affinity of one DBD subunit for DNA increases as adjacent subunits bind to the DNA. D)Once the first promoter is bound, the binding affinity of the DBD decreases. Figure 2  1H NMR spectrum of the AD1 region in 15N-labeled p53 during G0 and G2 phases of the cell cycleHdm2 also binds to Nedd8 ultimate buster 1 (NUB1), which enhances signaling for the degradation of Nedd8 proteins.  Preliminary data suggest that Hdm2 interacts differently with wild-type NUB1 (WTNUB1) than with mutant K159RNUB1.  To assess the effect of Hdm2 on NUB1 and p53, the half-lives of p53 and Nedd8 protein variants were compared in cells that overexpress Hdm2 (Figure 3).
<strong>Passage The tumor suppressor p53 is a homotetrameric protein with an N-terminal transactivation domain (TAD), a proline-rich domain, a DNA-binding domain (DBD), a tetramerization domain (TD), and a C-terminal regulatory domain (REG) on each subunit (Figure 1).   <strong>Figure 1</strong>  Organization of the p53 domains (1-393 amino acids)Human double minute 2 (Hdm2) is a lysine-specific ubiquitin protein ligase that can change the half-life of some proteins, including p53, by signaling for their proteolytic cleavage.  Under normal circumstances, Hdm2 binds p53 at the AD1 region within the TAD and attaches ubiquitin to a lysine residue.  However, errors in DNA replication induce the phosphorylation of residue T18 on p53, which inhibits p53's association with Hdm2.  The overexpression of Hdm2 has been correlated with the downregulation of tumor suppressor p53 in certain types of cancers.  Changes in the NMR chemical shift (ppm) of amino acids in the AD1 region shown in Figure 2 provide evidence for the formation of a p53-Hdm2 complex.   <strong>Figure 2</strong>  <sup>1</sup>H NMR spectrum of the AD1 region in <sup>15</sup>N-labeled p53 during G<sub>0</sub> and G<sub>2</sub> phases of the cell cycleHdm2 also binds to Nedd8 ultimate buster 1 (NUB1), which enhances signaling for the degradation of Nedd8 proteins.  Preliminary data suggest that Hdm2 interacts differently with wild-type NUB1 (WTNUB1) than with mutant K159RNUB1.  To assess the effect of Hdm2 on NUB1 and p53, the half-lives of p53 and Nedd8 protein variants were compared in cells that overexpress Hdm2 (Figure 3).   <strong>Figure 3</strong>  Half-lives of p53, phosphorylated p53 (p53-PO<sub>4</sub>), and Nedd-8 proteins in cells with wild-type or mutant NUB1 over time Adapted from Ferreon JC, Lee CW, Arai M, Martinez-yamout MA, Dyson HJ, Wright PE. Cooperative regulation of p53 by modulation of ternary complex formation with CBP/p300 and HDM2. Proc Natl Acad Sci USA. 2009;106(16):6591-6. P53 displays positive cooperativity when it binds to promoters on DNA.  Which statement regarding p53 structure and function accurately explains this observation?</strong> A)The DBD subunits bind individually to DNA and have independent binding affinities. B)Phosphorylation of the REG increases the affinity of the DBD for DNA. C)The affinity of one DBD subunit for DNA increases as adjacent subunits bind to the DNA. D)Once the first promoter is bound, the binding affinity of the DBD decreases. Figure 3  Half-lives of p53, phosphorylated p53 (p53-PO4), and Nedd-8 proteins in cells with wild-type or mutant NUB1 over time
Adapted from Ferreon JC, Lee CW, Arai M, Martinez-yamout MA, Dyson HJ, Wright PE. Cooperative regulation of p53 by modulation of ternary complex formation with CBP/p300 and HDM2. Proc Natl Acad Sci USA. 2009;106(16):6591-6.
P53 displays positive cooperativity when it binds to promoters on DNA.  Which statement regarding p53 structure and function accurately explains this observation?

A)The DBD subunits bind individually to DNA and have independent binding affinities.
B)Phosphorylation of the REG increases the affinity of the DBD for DNA.
C)The affinity of one DBD subunit for DNA increases as adjacent subunits bind to the DNA.
D)Once the first promoter is bound, the binding affinity of the DBD decreases.
Unlock Deck
Unlock for access to all 307 flashcards in this deck.
Unlock Deck
k this deck
55
Passage
Antimicrobial peptides are an important component of innate immunity.  Since their discovery in 1939, over 5,000 peptides with antimicrobial properties have been isolated from organisms in every domain of life.  They have demonstrated activity against enveloped viruses, bacteria, fungi, and even tumor cells and have recently gained interest for their potential in fighting antibiotic-resistant bacteria.  Most known antimicrobial peptides are positively charged, but some with negative charges have also been discovered.Frogs are known to secrete a variety of antimicrobial peptides as a major source of immunity.  Secretions from a new species of frog were collected and the peptides were separated by cation exchange chromatography.  Four of the isolated peptides demonstrated strong antibacterial activity and were characterized by isoelectric focusing and sequencing:
<strong>Passage Antimicrobial peptides are an important component of innate immunity.  Since their discovery in 1939, over 5,000 peptides with antimicrobial properties have been isolated from organisms in every domain of life.  They have demonstrated activity against enveloped viruses, bacteria, fungi, and even tumor cells and have recently gained interest for their potential in fighting antibiotic-resistant bacteria.  Most known antimicrobial peptides are positively charged, but some with negative charges have also been discovered.Frogs are known to secrete a variety of antimicrobial peptides as a major source of immunity.  Secretions from a new species of frog were collected and the peptides were separated by cation exchange chromatography.  Four of the isolated peptides demonstrated strong antibacterial activity and were characterized by isoelectric focusing and sequencing:   <strong>Figure 1</strong>  Results of isoelectric focusing of four antimicrobial peptides<strong>Table 1</strong>  Amino Acid Compositions of Four Antimicrobial Peptides   Adapted from Wang Z, Wang G. APD: the Antimicrobial Peptide Database. Nucleic Acids Res. 2004;32(Database issue):D590-2. Suppose the peptides had been purified by size exclusion chromatography instead of cation exchange.  Which peptide would elute last?</strong> A)Peptide 1 B)Peptide 2 C)Peptide 3 D)Peptide 4 Figure 1  Results of isoelectric focusing of four antimicrobial peptidesTable 1  Amino Acid Compositions of Four Antimicrobial Peptides
<strong>Passage Antimicrobial peptides are an important component of innate immunity.  Since their discovery in 1939, over 5,000 peptides with antimicrobial properties have been isolated from organisms in every domain of life.  They have demonstrated activity against enveloped viruses, bacteria, fungi, and even tumor cells and have recently gained interest for their potential in fighting antibiotic-resistant bacteria.  Most known antimicrobial peptides are positively charged, but some with negative charges have also been discovered.Frogs are known to secrete a variety of antimicrobial peptides as a major source of immunity.  Secretions from a new species of frog were collected and the peptides were separated by cation exchange chromatography.  Four of the isolated peptides demonstrated strong antibacterial activity and were characterized by isoelectric focusing and sequencing:   <strong>Figure 1</strong>  Results of isoelectric focusing of four antimicrobial peptides<strong>Table 1</strong>  Amino Acid Compositions of Four Antimicrobial Peptides   Adapted from Wang Z, Wang G. APD: the Antimicrobial Peptide Database. Nucleic Acids Res. 2004;32(Database issue):D590-2. Suppose the peptides had been purified by size exclusion chromatography instead of cation exchange.  Which peptide would elute last?</strong> A)Peptide 1 B)Peptide 2 C)Peptide 3 D)Peptide 4 Adapted from Wang Z, Wang G. APD: the Antimicrobial Peptide Database. Nucleic Acids Res. 2004;32(Database issue):D590-2.
Suppose the peptides had been purified by size exclusion chromatography instead of cation exchange.  Which peptide would elute last?

A)Peptide 1
B)Peptide 2
C)Peptide 3
D)Peptide 4
Unlock Deck
Unlock for access to all 307 flashcards in this deck.
Unlock Deck
k this deck
56
Passage
Aldehyde dehydrogenase 2 (ALDH2) is essential for the oxidation of toxic aldehydes, and uses NAD+ as the oxidizing agent.  Mitochondrial ALDH2 exists as a 220-kD homotetrameric protein containing a catalytic, nucleotide-binding, and coenzyme-binding domain.  The most prevalent ALDH2 mutation (ALDH2*2) involves an E to K (E478K) substitution in the catalytic domain that leads to decreased enzymatic activity.Scientists hypothesize that Asian populations have higher rates of ALDH2*2 incidence.  The properties of ALDH2 variants in Caucasian and Japanese populations were analyzed in the following experiments.Experiment 1Mitochondrial extracts from both populations were combined in a single mixture and separated by native gel electrophoresis.  Proteins 210-230 kD in size were removed from the agarose gel and further isolated using affinity columns with antibodies designed to separate wild-type ALDH2 from ALDH2*2 by binding the catalytic domain of the wild-type but not the mutant protein.  Concentrated eluates E1 and E2 were produced by washing the affinity columns with buffers that remove unbound proteins and dislodge bound proteins from antibodies, respectively (Figure 1).
<strong>Passage Aldehyde dehydrogenase 2 (ALDH2) is essential for the oxidation of toxic aldehydes, and uses NAD<sup>+</sup> as the oxidizing agent.  Mitochondrial ALDH2 exists as a 220-kD homotetrameric protein containing a catalytic, nucleotide-binding, and coenzyme-binding domain.  The most prevalent ALDH2 mutation (ALDH2*2) involves an E to K (E478K) substitution in the catalytic domain that leads to decreased enzymatic activity.Scientists hypothesize that Asian populations have higher rates of ALDH2*2 incidence.  The properties of ALDH2 variants in Caucasian and Japanese populations were analyzed in the following experiments.Experiment 1Mitochondrial extracts from both populations were combined in a single mixture and separated by native gel electrophoresis.  Proteins 210-230 kD in size were removed from the agarose gel and further isolated using affinity columns with antibodies designed to separate wild-type ALDH2 from ALDH2*2 by binding the catalytic domain of the wild-type but not the mutant protein.  Concentrated eluates E1 and E2 were produced by washing the affinity columns with buffers that remove unbound proteins and dislodge bound proteins from antibodies, respectively (Figure 1).   <strong>Figure 1</strong>  Purification of ALDH2 proteinsALDH2 activity in each eluate was quantified by adding acetaldehyde and NAD<sup>+</sup>, and then monitoring the rate of NADH production.  The results are shown in Figure 2.   <strong>Figure 2</strong>  Enzymatic activity of E1 and E2 eluatesExperiment 2Researchers predict that mutations at conserved amino acid sites containing S or T may prevent ALDH2 from being phosphorylated by protein kinase C epsilon (εPKC).  The activity of wild-type ALDH2 (WT) and ALDH2 mutants with substitutions at positions T185 and S279 in the presence or absence of εPKC are summarized in Table 1.<strong>Table 1</strong>  Effect of εPKC on ALDH2 Variants   Adapted from Chen CH, Ferreira JC, Gross ER, Mochly-rosen D. Targeting aldehyde dehydrogenase 2: new therapeutic opportunities. Physiol Rev. 2014;94(1):1-34. The active site of wild-type ALDH2 most likely interacts with which of the following amino acid residues on the antibodies shown in Figure 1?</strong> A)Aspartate B)Phenylalanine C)Isoleucine D)Arginine Figure 1  Purification of ALDH2 proteinsALDH2 activity in each eluate was quantified by adding acetaldehyde and NAD+, and then monitoring the rate of NADH production.  The results are shown in Figure 2.
<strong>Passage Aldehyde dehydrogenase 2 (ALDH2) is essential for the oxidation of toxic aldehydes, and uses NAD<sup>+</sup> as the oxidizing agent.  Mitochondrial ALDH2 exists as a 220-kD homotetrameric protein containing a catalytic, nucleotide-binding, and coenzyme-binding domain.  The most prevalent ALDH2 mutation (ALDH2*2) involves an E to K (E478K) substitution in the catalytic domain that leads to decreased enzymatic activity.Scientists hypothesize that Asian populations have higher rates of ALDH2*2 incidence.  The properties of ALDH2 variants in Caucasian and Japanese populations were analyzed in the following experiments.Experiment 1Mitochondrial extracts from both populations were combined in a single mixture and separated by native gel electrophoresis.  Proteins 210-230 kD in size were removed from the agarose gel and further isolated using affinity columns with antibodies designed to separate wild-type ALDH2 from ALDH2*2 by binding the catalytic domain of the wild-type but not the mutant protein.  Concentrated eluates E1 and E2 were produced by washing the affinity columns with buffers that remove unbound proteins and dislodge bound proteins from antibodies, respectively (Figure 1).   <strong>Figure 1</strong>  Purification of ALDH2 proteinsALDH2 activity in each eluate was quantified by adding acetaldehyde and NAD<sup>+</sup>, and then monitoring the rate of NADH production.  The results are shown in Figure 2.   <strong>Figure 2</strong>  Enzymatic activity of E1 and E2 eluatesExperiment 2Researchers predict that mutations at conserved amino acid sites containing S or T may prevent ALDH2 from being phosphorylated by protein kinase C epsilon (εPKC).  The activity of wild-type ALDH2 (WT) and ALDH2 mutants with substitutions at positions T185 and S279 in the presence or absence of εPKC are summarized in Table 1.<strong>Table 1</strong>  Effect of εPKC on ALDH2 Variants   Adapted from Chen CH, Ferreira JC, Gross ER, Mochly-rosen D. Targeting aldehyde dehydrogenase 2: new therapeutic opportunities. Physiol Rev. 2014;94(1):1-34. The active site of wild-type ALDH2 most likely interacts with which of the following amino acid residues on the antibodies shown in Figure 1?</strong> A)Aspartate B)Phenylalanine C)Isoleucine D)Arginine Figure 2  Enzymatic activity of E1 and E2 eluatesExperiment 2Researchers predict that mutations at conserved amino acid sites containing S or T may prevent ALDH2 from being phosphorylated by protein kinase C epsilon (εPKC).  The activity of wild-type ALDH2 (WT) and ALDH2 mutants with substitutions at positions T185 and S279 in the presence or absence of εPKC are summarized in Table 1.Table 1  Effect of εPKC on ALDH2 Variants
<strong>Passage Aldehyde dehydrogenase 2 (ALDH2) is essential for the oxidation of toxic aldehydes, and uses NAD<sup>+</sup> as the oxidizing agent.  Mitochondrial ALDH2 exists as a 220-kD homotetrameric protein containing a catalytic, nucleotide-binding, and coenzyme-binding domain.  The most prevalent ALDH2 mutation (ALDH2*2) involves an E to K (E478K) substitution in the catalytic domain that leads to decreased enzymatic activity.Scientists hypothesize that Asian populations have higher rates of ALDH2*2 incidence.  The properties of ALDH2 variants in Caucasian and Japanese populations were analyzed in the following experiments.Experiment 1Mitochondrial extracts from both populations were combined in a single mixture and separated by native gel electrophoresis.  Proteins 210-230 kD in size were removed from the agarose gel and further isolated using affinity columns with antibodies designed to separate wild-type ALDH2 from ALDH2*2 by binding the catalytic domain of the wild-type but not the mutant protein.  Concentrated eluates E1 and E2 were produced by washing the affinity columns with buffers that remove unbound proteins and dislodge bound proteins from antibodies, respectively (Figure 1).   <strong>Figure 1</strong>  Purification of ALDH2 proteinsALDH2 activity in each eluate was quantified by adding acetaldehyde and NAD<sup>+</sup>, and then monitoring the rate of NADH production.  The results are shown in Figure 2.   <strong>Figure 2</strong>  Enzymatic activity of E1 and E2 eluatesExperiment 2Researchers predict that mutations at conserved amino acid sites containing S or T may prevent ALDH2 from being phosphorylated by protein kinase C epsilon (εPKC).  The activity of wild-type ALDH2 (WT) and ALDH2 mutants with substitutions at positions T185 and S279 in the presence or absence of εPKC are summarized in Table 1.<strong>Table 1</strong>  Effect of εPKC on ALDH2 Variants   Adapted from Chen CH, Ferreira JC, Gross ER, Mochly-rosen D. Targeting aldehyde dehydrogenase 2: new therapeutic opportunities. Physiol Rev. 2014;94(1):1-34. The active site of wild-type ALDH2 most likely interacts with which of the following amino acid residues on the antibodies shown in Figure 1?</strong> A)Aspartate B)Phenylalanine C)Isoleucine D)Arginine Adapted from Chen CH, Ferreira JC, Gross ER, Mochly-rosen D. Targeting aldehyde dehydrogenase 2: new therapeutic opportunities. Physiol Rev. 2014;94(1):1-34.
The active site of wild-type ALDH2 most likely interacts with which of the following amino acid residues on the antibodies shown in Figure 1?

A)Aspartate
B)Phenylalanine
C)Isoleucine
D)Arginine
Unlock Deck
Unlock for access to all 307 flashcards in this deck.
Unlock Deck
k this deck
57
Passage
The tumor suppressor p53 is a homotetrameric protein with an N-terminal transactivation domain (TAD), a proline-rich domain, a DNA-binding domain (DBD), a tetramerization domain (TD), and a C-terminal regulatory domain (REG) on each subunit (Figure 1).
<strong>Passage The tumor suppressor p53 is a homotetrameric protein with an N-terminal transactivation domain (TAD), a proline-rich domain, a DNA-binding domain (DBD), a tetramerization domain (TD), and a C-terminal regulatory domain (REG) on each subunit (Figure 1).   <strong>Figure 1</strong>  Organization of the p53 domains (1-393 amino acids)Human double minute 2 (Hdm2) is a lysine-specific ubiquitin protein ligase that can change the half-life of some proteins, including p53, by signaling for their proteolytic cleavage.  Under normal circumstances, Hdm2 binds p53 at the AD1 region within the TAD and attaches ubiquitin to a lysine residue.  However, errors in DNA replication induce the phosphorylation of residue T18 on p53, which inhibits p53's association with Hdm2.  The overexpression of Hdm2 has been correlated with the downregulation of tumor suppressor p53 in certain types of cancers.  Changes in the NMR chemical shift (ppm) of amino acids in the AD1 region shown in Figure 2 provide evidence for the formation of a p53-Hdm2 complex.   <strong>Figure 2</strong>  <sup>1</sup>H NMR spectrum of the AD1 region in <sup>15</sup>N-labeled p53 during G<sub>0</sub> and G<sub>2</sub> phases of the cell cycleHdm2 also binds to Nedd8 ultimate buster 1 (NUB1), which enhances signaling for the degradation of Nedd8 proteins.  Preliminary data suggest that Hdm2 interacts differently with wild-type NUB1 (WTNUB1) than with mutant K159RNUB1.  To assess the effect of Hdm2 on NUB1 and p53, the half-lives of p53 and Nedd8 protein variants were compared in cells that overexpress Hdm2 (Figure 3).   <strong>Figure 3</strong>  Half-lives of p53, phosphorylated p53 (p53-PO<sub>4</sub>), and Nedd-8 proteins in cells with wild-type or mutant NUB1 over time Adapted from Ferreon JC, Lee CW, Arai M, Martinez-yamout MA, Dyson HJ, Wright PE. Cooperative regulation of p53 by modulation of ternary complex formation with CBP/p300 and HDM2. Proc Natl Acad Sci USA. 2009;106(16):6591-6. Which of the following mutations would most likely decrease the degradation of p53?</strong> A)V → L in the DBD B)K → H in the TAD C)T → S in the N-terminal domain D)P → G in the P-rich domain Figure 1  Organization of the p53 domains (1-393 amino acids)Human double minute 2 (Hdm2) is a lysine-specific ubiquitin protein ligase that can change the half-life of some proteins, including p53, by signaling for their proteolytic cleavage.  Under normal circumstances, Hdm2 binds p53 at the AD1 region within the TAD and attaches ubiquitin to a lysine residue.  However, errors in DNA replication induce the phosphorylation of residue T18 on p53, which inhibits p53's association with Hdm2.  The overexpression of Hdm2 has been correlated with the downregulation of tumor suppressor p53 in certain types of cancers.  Changes in the NMR chemical shift (ppm) of amino acids in the AD1 region shown in Figure 2 provide evidence for the formation of a p53-Hdm2 complex.
<strong>Passage The tumor suppressor p53 is a homotetrameric protein with an N-terminal transactivation domain (TAD), a proline-rich domain, a DNA-binding domain (DBD), a tetramerization domain (TD), and a C-terminal regulatory domain (REG) on each subunit (Figure 1).   <strong>Figure 1</strong>  Organization of the p53 domains (1-393 amino acids)Human double minute 2 (Hdm2) is a lysine-specific ubiquitin protein ligase that can change the half-life of some proteins, including p53, by signaling for their proteolytic cleavage.  Under normal circumstances, Hdm2 binds p53 at the AD1 region within the TAD and attaches ubiquitin to a lysine residue.  However, errors in DNA replication induce the phosphorylation of residue T18 on p53, which inhibits p53's association with Hdm2.  The overexpression of Hdm2 has been correlated with the downregulation of tumor suppressor p53 in certain types of cancers.  Changes in the NMR chemical shift (ppm) of amino acids in the AD1 region shown in Figure 2 provide evidence for the formation of a p53-Hdm2 complex.   <strong>Figure 2</strong>  <sup>1</sup>H NMR spectrum of the AD1 region in <sup>15</sup>N-labeled p53 during G<sub>0</sub> and G<sub>2</sub> phases of the cell cycleHdm2 also binds to Nedd8 ultimate buster 1 (NUB1), which enhances signaling for the degradation of Nedd8 proteins.  Preliminary data suggest that Hdm2 interacts differently with wild-type NUB1 (WTNUB1) than with mutant K159RNUB1.  To assess the effect of Hdm2 on NUB1 and p53, the half-lives of p53 and Nedd8 protein variants were compared in cells that overexpress Hdm2 (Figure 3).   <strong>Figure 3</strong>  Half-lives of p53, phosphorylated p53 (p53-PO<sub>4</sub>), and Nedd-8 proteins in cells with wild-type or mutant NUB1 over time Adapted from Ferreon JC, Lee CW, Arai M, Martinez-yamout MA, Dyson HJ, Wright PE. Cooperative regulation of p53 by modulation of ternary complex formation with CBP/p300 and HDM2. Proc Natl Acad Sci USA. 2009;106(16):6591-6. Which of the following mutations would most likely decrease the degradation of p53?</strong> A)V → L in the DBD B)K → H in the TAD C)T → S in the N-terminal domain D)P → G in the P-rich domain Figure 2  1H NMR spectrum of the AD1 region in 15N-labeled p53 during G0 and G2 phases of the cell cycleHdm2 also binds to Nedd8 ultimate buster 1 (NUB1), which enhances signaling for the degradation of Nedd8 proteins.  Preliminary data suggest that Hdm2 interacts differently with wild-type NUB1 (WTNUB1) than with mutant K159RNUB1.  To assess the effect of Hdm2 on NUB1 and p53, the half-lives of p53 and Nedd8 protein variants were compared in cells that overexpress Hdm2 (Figure 3).
<strong>Passage The tumor suppressor p53 is a homotetrameric protein with an N-terminal transactivation domain (TAD), a proline-rich domain, a DNA-binding domain (DBD), a tetramerization domain (TD), and a C-terminal regulatory domain (REG) on each subunit (Figure 1).   <strong>Figure 1</strong>  Organization of the p53 domains (1-393 amino acids)Human double minute 2 (Hdm2) is a lysine-specific ubiquitin protein ligase that can change the half-life of some proteins, including p53, by signaling for their proteolytic cleavage.  Under normal circumstances, Hdm2 binds p53 at the AD1 region within the TAD and attaches ubiquitin to a lysine residue.  However, errors in DNA replication induce the phosphorylation of residue T18 on p53, which inhibits p53's association with Hdm2.  The overexpression of Hdm2 has been correlated with the downregulation of tumor suppressor p53 in certain types of cancers.  Changes in the NMR chemical shift (ppm) of amino acids in the AD1 region shown in Figure 2 provide evidence for the formation of a p53-Hdm2 complex.   <strong>Figure 2</strong>  <sup>1</sup>H NMR spectrum of the AD1 region in <sup>15</sup>N-labeled p53 during G<sub>0</sub> and G<sub>2</sub> phases of the cell cycleHdm2 also binds to Nedd8 ultimate buster 1 (NUB1), which enhances signaling for the degradation of Nedd8 proteins.  Preliminary data suggest that Hdm2 interacts differently with wild-type NUB1 (WTNUB1) than with mutant K159RNUB1.  To assess the effect of Hdm2 on NUB1 and p53, the half-lives of p53 and Nedd8 protein variants were compared in cells that overexpress Hdm2 (Figure 3).   <strong>Figure 3</strong>  Half-lives of p53, phosphorylated p53 (p53-PO<sub>4</sub>), and Nedd-8 proteins in cells with wild-type or mutant NUB1 over time Adapted from Ferreon JC, Lee CW, Arai M, Martinez-yamout MA, Dyson HJ, Wright PE. Cooperative regulation of p53 by modulation of ternary complex formation with CBP/p300 and HDM2. Proc Natl Acad Sci USA. 2009;106(16):6591-6. Which of the following mutations would most likely decrease the degradation of p53?</strong> A)V → L in the DBD B)K → H in the TAD C)T → S in the N-terminal domain D)P → G in the P-rich domain Figure 3  Half-lives of p53, phosphorylated p53 (p53-PO4), and Nedd-8 proteins in cells with wild-type or mutant NUB1 over time
Adapted from Ferreon JC, Lee CW, Arai M, Martinez-yamout MA, Dyson HJ, Wright PE. Cooperative regulation of p53 by modulation of ternary complex formation with CBP/p300 and HDM2. Proc Natl Acad Sci USA. 2009;106(16):6591-6.
Which of the following mutations would most likely decrease the degradation of p53?

A)V → L in the DBD
B)K → H in the TAD
C)T → S in the N-terminal domain
D)P → G in the P-rich domain
Unlock Deck
Unlock for access to all 307 flashcards in this deck.
Unlock Deck
k this deck
58
Passage
Aldehyde dehydrogenase 2 (ALDH2) is essential for the oxidation of toxic aldehydes, and uses NAD+ as the oxidizing agent.  Mitochondrial ALDH2 exists as a 220-kD homotetrameric protein containing a catalytic, nucleotide-binding, and coenzyme-binding domain.  The most prevalent ALDH2 mutation (ALDH2*2) involves an E to K (E478K) substitution in the catalytic domain that leads to decreased enzymatic activity.Scientists hypothesize that Asian populations have higher rates of ALDH2*2 incidence.  The properties of ALDH2 variants in Caucasian and Japanese populations were analyzed in the following experiments.Experiment 1Mitochondrial extracts from both populations were combined in a single mixture and separated by native gel electrophoresis.  Proteins 210-230 kD in size were removed from the agarose gel and further isolated using affinity columns with antibodies designed to separate wild-type ALDH2 from ALDH2*2 by binding the catalytic domain of the wild-type but not the mutant protein.  Concentrated eluates E1 and E2 were produced by washing the affinity columns with buffers that remove unbound proteins and dislodge bound proteins from antibodies, respectively (Figure 1).
<strong>Passage Aldehyde dehydrogenase 2 (ALDH2) is essential for the oxidation of toxic aldehydes, and uses NAD<sup>+</sup> as the oxidizing agent.  Mitochondrial ALDH2 exists as a 220-kD homotetrameric protein containing a catalytic, nucleotide-binding, and coenzyme-binding domain.  The most prevalent ALDH2 mutation (ALDH2*2) involves an E to K (E478K) substitution in the catalytic domain that leads to decreased enzymatic activity.Scientists hypothesize that Asian populations have higher rates of ALDH2*2 incidence.  The properties of ALDH2 variants in Caucasian and Japanese populations were analyzed in the following experiments.Experiment 1Mitochondrial extracts from both populations were combined in a single mixture and separated by native gel electrophoresis.  Proteins 210-230 kD in size were removed from the agarose gel and further isolated using affinity columns with antibodies designed to separate wild-type ALDH2 from ALDH2*2 by binding the catalytic domain of the wild-type but not the mutant protein.  Concentrated eluates E1 and E2 were produced by washing the affinity columns with buffers that remove unbound proteins and dislodge bound proteins from antibodies, respectively (Figure 1).   <strong>Figure 1</strong>  Purification of ALDH2 proteinsALDH2 activity in each eluate was quantified by adding acetaldehyde and NAD<sup>+</sup>, and then monitoring the rate of NADH production.  The results are shown in Figure 2.   <strong>Figure 2</strong>  Enzymatic activity of E1 and E2 eluatesExperiment 2Researchers predict that mutations at conserved amino acid sites containing S or T may prevent ALDH2 from being phosphorylated by protein kinase C epsilon (εPKC).  The activity of wild-type ALDH2 (WT) and ALDH2 mutants with substitutions at positions T185 and S279 in the presence or absence of εPKC are summarized in Table 1.<strong>Table 1</strong>  Effect of εPKC on ALDH2 Variants   Adapted from Chen CH, Ferreira JC, Gross ER, Mochly-rosen D. Targeting aldehyde dehydrogenase 2: new therapeutic opportunities. Physiol Rev. 2014;94(1):1-34. Increasing the concentration of sodium chloride (NaCl) in the E2 eluate could affect the rate of NADH production in what way?</strong> A)Increased NADH production by enhancing hydrogen bonding B)Decreased NADH production by reducing hydrophobicity C)Increased NADH production by increasing basicity D)Decreased NADH production by disrupting ionic bonding Figure 1  Purification of ALDH2 proteinsALDH2 activity in each eluate was quantified by adding acetaldehyde and NAD+, and then monitoring the rate of NADH production.  The results are shown in Figure 2.
<strong>Passage Aldehyde dehydrogenase 2 (ALDH2) is essential for the oxidation of toxic aldehydes, and uses NAD<sup>+</sup> as the oxidizing agent.  Mitochondrial ALDH2 exists as a 220-kD homotetrameric protein containing a catalytic, nucleotide-binding, and coenzyme-binding domain.  The most prevalent ALDH2 mutation (ALDH2*2) involves an E to K (E478K) substitution in the catalytic domain that leads to decreased enzymatic activity.Scientists hypothesize that Asian populations have higher rates of ALDH2*2 incidence.  The properties of ALDH2 variants in Caucasian and Japanese populations were analyzed in the following experiments.Experiment 1Mitochondrial extracts from both populations were combined in a single mixture and separated by native gel electrophoresis.  Proteins 210-230 kD in size were removed from the agarose gel and further isolated using affinity columns with antibodies designed to separate wild-type ALDH2 from ALDH2*2 by binding the catalytic domain of the wild-type but not the mutant protein.  Concentrated eluates E1 and E2 were produced by washing the affinity columns with buffers that remove unbound proteins and dislodge bound proteins from antibodies, respectively (Figure 1).   <strong>Figure 1</strong>  Purification of ALDH2 proteinsALDH2 activity in each eluate was quantified by adding acetaldehyde and NAD<sup>+</sup>, and then monitoring the rate of NADH production.  The results are shown in Figure 2.   <strong>Figure 2</strong>  Enzymatic activity of E1 and E2 eluatesExperiment 2Researchers predict that mutations at conserved amino acid sites containing S or T may prevent ALDH2 from being phosphorylated by protein kinase C epsilon (εPKC).  The activity of wild-type ALDH2 (WT) and ALDH2 mutants with substitutions at positions T185 and S279 in the presence or absence of εPKC are summarized in Table 1.<strong>Table 1</strong>  Effect of εPKC on ALDH2 Variants   Adapted from Chen CH, Ferreira JC, Gross ER, Mochly-rosen D. Targeting aldehyde dehydrogenase 2: new therapeutic opportunities. Physiol Rev. 2014;94(1):1-34. Increasing the concentration of sodium chloride (NaCl) in the E2 eluate could affect the rate of NADH production in what way?</strong> A)Increased NADH production by enhancing hydrogen bonding B)Decreased NADH production by reducing hydrophobicity C)Increased NADH production by increasing basicity D)Decreased NADH production by disrupting ionic bonding Figure 2  Enzymatic activity of E1 and E2 eluatesExperiment 2Researchers predict that mutations at conserved amino acid sites containing S or T may prevent ALDH2 from being phosphorylated by protein kinase C epsilon (εPKC).  The activity of wild-type ALDH2 (WT) and ALDH2 mutants with substitutions at positions T185 and S279 in the presence or absence of εPKC are summarized in Table 1.Table 1  Effect of εPKC on ALDH2 Variants
<strong>Passage Aldehyde dehydrogenase 2 (ALDH2) is essential for the oxidation of toxic aldehydes, and uses NAD<sup>+</sup> as the oxidizing agent.  Mitochondrial ALDH2 exists as a 220-kD homotetrameric protein containing a catalytic, nucleotide-binding, and coenzyme-binding domain.  The most prevalent ALDH2 mutation (ALDH2*2) involves an E to K (E478K) substitution in the catalytic domain that leads to decreased enzymatic activity.Scientists hypothesize that Asian populations have higher rates of ALDH2*2 incidence.  The properties of ALDH2 variants in Caucasian and Japanese populations were analyzed in the following experiments.Experiment 1Mitochondrial extracts from both populations were combined in a single mixture and separated by native gel electrophoresis.  Proteins 210-230 kD in size were removed from the agarose gel and further isolated using affinity columns with antibodies designed to separate wild-type ALDH2 from ALDH2*2 by binding the catalytic domain of the wild-type but not the mutant protein.  Concentrated eluates E1 and E2 were produced by washing the affinity columns with buffers that remove unbound proteins and dislodge bound proteins from antibodies, respectively (Figure 1).   <strong>Figure 1</strong>  Purification of ALDH2 proteinsALDH2 activity in each eluate was quantified by adding acetaldehyde and NAD<sup>+</sup>, and then monitoring the rate of NADH production.  The results are shown in Figure 2.   <strong>Figure 2</strong>  Enzymatic activity of E1 and E2 eluatesExperiment 2Researchers predict that mutations at conserved amino acid sites containing S or T may prevent ALDH2 from being phosphorylated by protein kinase C epsilon (εPKC).  The activity of wild-type ALDH2 (WT) and ALDH2 mutants with substitutions at positions T185 and S279 in the presence or absence of εPKC are summarized in Table 1.<strong>Table 1</strong>  Effect of εPKC on ALDH2 Variants   Adapted from Chen CH, Ferreira JC, Gross ER, Mochly-rosen D. Targeting aldehyde dehydrogenase 2: new therapeutic opportunities. Physiol Rev. 2014;94(1):1-34. Increasing the concentration of sodium chloride (NaCl) in the E2 eluate could affect the rate of NADH production in what way?</strong> A)Increased NADH production by enhancing hydrogen bonding B)Decreased NADH production by reducing hydrophobicity C)Increased NADH production by increasing basicity D)Decreased NADH production by disrupting ionic bonding Adapted from Chen CH, Ferreira JC, Gross ER, Mochly-rosen D. Targeting aldehyde dehydrogenase 2: new therapeutic opportunities. Physiol Rev. 2014;94(1):1-34.
Increasing the concentration of sodium chloride (NaCl) in the E2 eluate could affect the rate of NADH production in what way?

A)Increased NADH production by enhancing hydrogen bonding
B)Decreased NADH production by reducing hydrophobicity
C)Increased NADH production by increasing basicity
D)Decreased NADH production by disrupting ionic bonding
Unlock Deck
Unlock for access to all 307 flashcards in this deck.
Unlock Deck
k this deck
59
Passage
Antimicrobial peptides are an important component of innate immunity.  Since their discovery in 1939, over 5,000 peptides with antimicrobial properties have been isolated from organisms in every domain of life.  They have demonstrated activity against enveloped viruses, bacteria, fungi, and even tumor cells and have recently gained interest for their potential in fighting antibiotic-resistant bacteria.  Most known antimicrobial peptides are positively charged, but some with negative charges have also been discovered.Frogs are known to secrete a variety of antimicrobial peptides as a major source of immunity.  Secretions from a new species of frog were collected and the peptides were separated by cation exchange chromatography.  Four of the isolated peptides demonstrated strong antibacterial activity and were characterized by isoelectric focusing and sequencing:
<strong>Passage Antimicrobial peptides are an important component of innate immunity.  Since their discovery in 1939, over 5,000 peptides with antimicrobial properties have been isolated from organisms in every domain of life.  They have demonstrated activity against enveloped viruses, bacteria, fungi, and even tumor cells and have recently gained interest for their potential in fighting antibiotic-resistant bacteria.  Most known antimicrobial peptides are positively charged, but some with negative charges have also been discovered.Frogs are known to secrete a variety of antimicrobial peptides as a major source of immunity.  Secretions from a new species of frog were collected and the peptides were separated by cation exchange chromatography.  Four of the isolated peptides demonstrated strong antibacterial activity and were characterized by isoelectric focusing and sequencing:   <strong>Figure 1</strong>  Results of isoelectric focusing of four antimicrobial peptides<strong>Table 1</strong>  Amino Acid Compositions of Four Antimicrobial Peptides   Adapted from Wang Z, Wang G. APD: the Antimicrobial Peptide Database. Nucleic Acids Res. 2004;32(Database issue):D590-2. In which order will the four peptides elute from the cation exchange column as pH is increased from 7 to 12?</strong> A)Peptide 4, Peptide 3, Peptide 2, Peptide 1 B)Peptide 4, Peptide 2, Peptide 3, Peptide 1 C)Peptide 1, Peptide 2, Peptide 3, Peptide 4 D)Peptide 1, Peptide 3, Peptide 2, Peptide 4 Figure 1  Results of isoelectric focusing of four antimicrobial peptidesTable 1  Amino Acid Compositions of Four Antimicrobial Peptides
<strong>Passage Antimicrobial peptides are an important component of innate immunity.  Since their discovery in 1939, over 5,000 peptides with antimicrobial properties have been isolated from organisms in every domain of life.  They have demonstrated activity against enveloped viruses, bacteria, fungi, and even tumor cells and have recently gained interest for their potential in fighting antibiotic-resistant bacteria.  Most known antimicrobial peptides are positively charged, but some with negative charges have also been discovered.Frogs are known to secrete a variety of antimicrobial peptides as a major source of immunity.  Secretions from a new species of frog were collected and the peptides were separated by cation exchange chromatography.  Four of the isolated peptides demonstrated strong antibacterial activity and were characterized by isoelectric focusing and sequencing:   <strong>Figure 1</strong>  Results of isoelectric focusing of four antimicrobial peptides<strong>Table 1</strong>  Amino Acid Compositions of Four Antimicrobial Peptides   Adapted from Wang Z, Wang G. APD: the Antimicrobial Peptide Database. Nucleic Acids Res. 2004;32(Database issue):D590-2. In which order will the four peptides elute from the cation exchange column as pH is increased from 7 to 12?</strong> A)Peptide 4, Peptide 3, Peptide 2, Peptide 1 B)Peptide 4, Peptide 2, Peptide 3, Peptide 1 C)Peptide 1, Peptide 2, Peptide 3, Peptide 4 D)Peptide 1, Peptide 3, Peptide 2, Peptide 4 Adapted from Wang Z, Wang G. APD: the Antimicrobial Peptide Database. Nucleic Acids Res. 2004;32(Database issue):D590-2.
In which order will the four peptides elute from the cation exchange column as pH is increased from 7 to 12?

A)Peptide 4, Peptide 3, Peptide 2, Peptide 1
B)Peptide 4, Peptide 2, Peptide 3, Peptide 1
C)Peptide 1, Peptide 2, Peptide 3, Peptide 4
D)Peptide 1, Peptide 3, Peptide 2, Peptide 4
Unlock Deck
Unlock for access to all 307 flashcards in this deck.
Unlock Deck
k this deck
60
Passage
Upon entering muscle cells, glucose is immediately phosphorylated by hexokinase to produce glucose 6-phosphate (G6P).  This phosphorylation event prevents glucose from exiting the cell.  G6P may then enter one of three metabolic pathways, depending on the needs of the cell (Figure 1).
<strong>Passage Upon entering muscle cells, glucose is immediately phosphorylated by hexokinase to produce glucose 6-phosphate (G6P).  This phosphorylation event prevents glucose from exiting the cell.  G6P may then enter one of three metabolic pathways, depending on the needs of the cell (Figure 1).   <strong>Figure 1</strong>  Three potential fates of G6P, determined by the needs of the cellUnder low ATP conditions, G6P enters glycolysis, where it is converted to two pyruvate molecules.  The energy released in this process produces a net total of two ATP molecules per glucose molecule consumed.  The resulting pyruvate molecules can then enter the mitochondria, where they participate in additional metabolic reactions that produce more ATP.When the cell experiences oxidative stress, G6P enters the pentose phosphate pathway (PPP) and produces NADPH, a reducing agent.  During this process, G6P loses one carbon atom in the form of CO<sub>2</sub> and is converted to ribose 5-phosphate (R5P), which is required for nucleotide synthesis.  In addition to low NADPH conditions, G6P may also enter the PPP during replication, when nucleotides are needed for DNA synthesis.  If nucleotides are not needed but energy is, R5P can be converted back to glycolytic intermediates and reenter glycolysis.  Each glucose molecule that is converted to R5P prior to glycolysis yields an average of 1.67 ATP molecules.When all the cell's metabolic requirements are met, additional G6P can enter glycogenesis and produce glycogen, which stores glucose for later use; this process consumes ATP.  When signal molecules bind G protein-coupled receptors on muscle cells, glycogenolysis is activated to release individual monomers from glycogen, allowing them to enter the appropriate pathway. Which glycolysis intermediate could serve as the sole starting material for the synthesis of R5P in muscle tissue?</strong> A)Fructose 6-phosphate B)Fructose 1,6-bisphosphate C)Glyceraldehyde 3-phosphate D)Dihydroxyacetone phosphate Figure 1  Three potential fates of G6P, determined by the needs of the cellUnder low ATP conditions, G6P enters glycolysis, where it is converted to two pyruvate molecules.  The energy released in this process produces a net total of two ATP molecules per glucose molecule consumed.  The resulting pyruvate molecules can then enter the mitochondria, where they participate in additional metabolic reactions that produce more ATP.When the cell experiences oxidative stress, G6P enters the pentose phosphate pathway (PPP) and produces NADPH, a reducing agent.  During this process, G6P loses one carbon atom in the form of CO2 and is converted to ribose 5-phosphate (R5P), which is required for nucleotide synthesis.  In addition to low NADPH conditions, G6P may also enter the PPP during replication, when nucleotides are needed for DNA synthesis.  If nucleotides are not needed but energy is, R5P can be converted back to glycolytic intermediates and reenter glycolysis.  Each glucose molecule that is converted to R5P prior to glycolysis yields an average of 1.67 ATP molecules.When all the cell's metabolic requirements are met, additional G6P can enter glycogenesis and produce glycogen, which stores glucose for later use; this process consumes ATP.  When signal molecules bind G protein-coupled receptors on muscle cells, glycogenolysis is activated to release individual monomers from glycogen, allowing them to enter the appropriate pathway.
Which glycolysis intermediate could serve as the sole starting material for the synthesis of R5P in muscle tissue?

A)Fructose 6-phosphate
B)Fructose 1,6-bisphosphate
C)Glyceraldehyde 3-phosphate
D)Dihydroxyacetone phosphate
Unlock Deck
Unlock for access to all 307 flashcards in this deck.
Unlock Deck
k this deck
61
Passage
Ribulose-1,5-bisphosphate carboxylase/oxygenase (rubisco) is one of the most abundant enzymes on Earth.  In carbon-fixing organisms, it consumes CO2 to carboxylate the sugar ribulose-1,5-bisphosphate (Ru1,5BP), and forms two molecules of 3-phosphoglycerate (3PG) as a product.  The functional form of rubisco from the bacterium Rhodospirillum rubrum is a noncovalent homodimer composed of two 51 kDa monomers.  Each subunit requires a magnesium ion as a prosthetic group in the active site.Rubisco is often used as a model for protein folding studies.  On their own, rubisco monomers typically cannot fold to completion and instead are trapped in a form known as a "kinetic intermediate."  These kinetically trapped monomers cannot dimerize correctly and are prone to aggregation.Scientists interested in studying protein folding dynamics labeled the rubisco kinetic intermediate with a set of fluorophores known as a FRET (fluorescence resonance energy transfer) pair, with one fluorophore at the N-terminus and the other at the C-terminus.  A FRET signal occurs when the emission spectrum of one fluorophore (the donor) overlaps with the excitation spectrum of the other (the acceptor).  When the two fluorophores are sufficiently close to each other, the donor can transfer energy from the light it absorbs directly to the acceptor, causing the acceptor to emit light when the donor absorbs light.The GroEL/ES complex is a chaperone protein that binds and releases misfolded proteins, hydrolyzing ATP each time the protein is released.  A misfolded protein may undergo multiple rounds of binding and release before adopting its correct conformation, or it may never fold correctly and instead be targeted for destruction (Figure 1).
<strong>Passage Ribulose-1,5-bisphosphate carboxylase/oxygenase (rubisco) is one of the most abundant enzymes on Earth.  In carbon-fixing organisms, it consumes CO<sub>2</sub> to carboxylate the sugar ribulose-1,5-bisphosphate (Ru1,5BP), and forms two molecules of 3-phosphoglycerate (3PG) as a product.  The functional form of rubisco from the bacterium Rhodospirillum rubrum is a noncovalent homodimer composed of two 51 kDa monomers.  Each subunit requires a magnesium ion as a prosthetic group in the active site.Rubisco is often used as a model for protein folding studies.  On their own, rubisco monomers typically cannot fold to completion and instead are trapped in a form known as a kinetic intermediate.  These kinetically trapped monomers cannot dimerize correctly and are prone to aggregation.Scientists interested in studying protein folding dynamics labeled the rubisco kinetic intermediate with a set of fluorophores known as a FRET (fluorescence resonance energy transfer) pair, with one fluorophore at the N-terminus and the other at the C-terminus.  A FRET signal occurs when the emission spectrum of one fluorophore (the donor) overlaps with the excitation spectrum of the other (the acceptor).  When the two fluorophores are sufficiently close to each other, the donor can transfer energy from the light it absorbs directly to the acceptor, causing the acceptor to emit light when the donor absorbs light.The GroEL/ES complex is a chaperone protein that binds and releases misfolded proteins, hydrolyzing ATP each time the protein is released.  A misfolded protein may undergo multiple rounds of binding and release before adopting its correct conformation, or it may never fold correctly and instead be targeted for destruction (Figure 1).   <strong>Figure 1</strong>  Representation of GroEL/ES-mediated protein foldingResearchers diluted the labeled kinetic intermediate into a refolding buffer in the presence or absence of 200 nM GroEL/ES and then monitored the FRET signal over time.  The results are shown in Figure 2.   <strong>Figure 2</strong>  FRET signal of labeled rubisco with and without GroEL Lin Z, Rye HS. Expansion and compression of a protein folding intermediate by GroEL. Mol Cell. 2004;16(1):23-34. Which of the following conclusions can be drawn based on the data from Figure 2?</strong> A)GroEL/ES absorbs light and transfers energy to the FRET donor. B)GroEL/ES separates the termini of the kinetic intermediate. C)GroEL/ES and rubisco have overlapping emission and excitation spectra, respectively. D)GroEL/ES decreases the distance between the termini of rubisco. Figure 1  Representation of GroEL/ES-mediated protein foldingResearchers diluted the labeled kinetic intermediate into a refolding buffer in the presence or absence of 200 nM GroEL/ES and then monitored the FRET signal over time.  The results are shown in Figure 2.
<strong>Passage Ribulose-1,5-bisphosphate carboxylase/oxygenase (rubisco) is one of the most abundant enzymes on Earth.  In carbon-fixing organisms, it consumes CO<sub>2</sub> to carboxylate the sugar ribulose-1,5-bisphosphate (Ru1,5BP), and forms two molecules of 3-phosphoglycerate (3PG) as a product.  The functional form of rubisco from the bacterium Rhodospirillum rubrum is a noncovalent homodimer composed of two 51 kDa monomers.  Each subunit requires a magnesium ion as a prosthetic group in the active site.Rubisco is often used as a model for protein folding studies.  On their own, rubisco monomers typically cannot fold to completion and instead are trapped in a form known as a kinetic intermediate.  These kinetically trapped monomers cannot dimerize correctly and are prone to aggregation.Scientists interested in studying protein folding dynamics labeled the rubisco kinetic intermediate with a set of fluorophores known as a FRET (fluorescence resonance energy transfer) pair, with one fluorophore at the N-terminus and the other at the C-terminus.  A FRET signal occurs when the emission spectrum of one fluorophore (the donor) overlaps with the excitation spectrum of the other (the acceptor).  When the two fluorophores are sufficiently close to each other, the donor can transfer energy from the light it absorbs directly to the acceptor, causing the acceptor to emit light when the donor absorbs light.The GroEL/ES complex is a chaperone protein that binds and releases misfolded proteins, hydrolyzing ATP each time the protein is released.  A misfolded protein may undergo multiple rounds of binding and release before adopting its correct conformation, or it may never fold correctly and instead be targeted for destruction (Figure 1).   <strong>Figure 1</strong>  Representation of GroEL/ES-mediated protein foldingResearchers diluted the labeled kinetic intermediate into a refolding buffer in the presence or absence of 200 nM GroEL/ES and then monitored the FRET signal over time.  The results are shown in Figure 2.   <strong>Figure 2</strong>  FRET signal of labeled rubisco with and without GroEL Lin Z, Rye HS. Expansion and compression of a protein folding intermediate by GroEL. Mol Cell. 2004;16(1):23-34. Which of the following conclusions can be drawn based on the data from Figure 2?</strong> A)GroEL/ES absorbs light and transfers energy to the FRET donor. B)GroEL/ES separates the termini of the kinetic intermediate. C)GroEL/ES and rubisco have overlapping emission and excitation spectra, respectively. D)GroEL/ES decreases the distance between the termini of rubisco. Figure 2  FRET signal of labeled rubisco with and without GroEL
Lin Z, Rye HS. Expansion and compression of a protein folding intermediate by GroEL. Mol Cell. 2004;16(1):23-34.
Which of the following conclusions can be drawn based on the data from Figure 2?

A)GroEL/ES absorbs light and transfers energy to the FRET donor.
B)GroEL/ES separates the termini of the kinetic intermediate.
C)GroEL/ES and rubisco have overlapping emission and excitation spectra, respectively.
D)GroEL/ES decreases the distance between the termini of rubisco.
Unlock Deck
Unlock for access to all 307 flashcards in this deck.
Unlock Deck
k this deck
62
Passage
Spinocerebellar ataxia 3 (SCA3) is a neurodegenerative disease that manifests as a progressive decrease in coordination of limbs and frequently results in impaired speech and eye coordination.  It is associated with extension of the polyglutamine (polyQ) region of the ataxin-3 protein.  The polyQ region is encoded by a series of consecutive CAG codons known as poly-CAG repeats.  These regions vary in length from one person to another, ranging from as few as 10 to as many as 80 repeats.  SCA3 has been reported in patients with polyQ regions exceeding ~55 repeats, and increased polyQ length correlates with earlier onset of the disease and greater clinical severity.Circular dichroism (CD) is a method of assessing protein secondary structure.  It measures a molecule's ability to absorb left- and right-handed circularly polarized light of varying wavelengths.  The absorption difference is known as "ellipticity," denoted by Δε.  Alpha-helices have a maximum Δε at 190 nm, and beta-sheets have a maximum Δε at 200 nm.CD results show that as the length of the ataxin-3 polyQ region increases, alpha-helical nature is lost and the protein aggregates, ultimately precipitating out of solution and depositing in brain and other tissues.  Furthermore, as proteins aggregate, they form beta-sheets.  These beta-sheets are in the parallel orientation, and each sheet can interact with sheets in other proteins to form long, insoluble structures known as amyloid fibers (Figure 1).
<strong>Passage Spinocerebellar ataxia 3 (SCA3) is a neurodegenerative disease that manifests as a progressive decrease in coordination of limbs and frequently results in impaired speech and eye coordination.  It is associated with extension of the polyglutamine (polyQ) region of the ataxin-3 protein.  The polyQ region is encoded by a series of consecutive CAG codons known as poly-CAG repeats.  These regions vary in length from one person to another, ranging from as few as 10 to as many as 80 repeats.  SCA3 has been reported in patients with polyQ regions exceeding ~55 repeats, and increased polyQ length correlates with earlier onset of the disease and greater clinical severity.Circular dichroism (CD) is a method of assessing protein secondary structure.  It measures a molecule's ability to absorb left- and right-handed circularly polarized light of varying wavelengths.  The absorption difference is known as ellipticity, denoted by Δε.  Alpha-helices have a maximum Δε at 190 nm, and beta-sheets have a maximum Δε at 200 nm.CD results show that as the length of the ataxin-3 polyQ region increases, alpha-helical nature is lost and the protein aggregates, ultimately precipitating out of solution and depositing in brain and other tissues.  Furthermore, as proteins aggregate, they form beta-sheets.  These beta-sheets are in the parallel orientation, and each sheet can interact with sheets in other proteins to form long, insoluble structures known as amyloid fibers (Figure 1).   <strong>Figure 1</strong>  Depiction of the ataxin-3 polyQ region shifting from alpha-helical (cylinders) to beta-sheet (arrows) structure and aggregatingGlutamine can be encoded by both CAG and CAA codons.  Researchers investigated survival rates in fruit flies expressing ataxin-3 with polyQ regions of equal length encoded by either CAG-CAG or CAA-CAG repeats (Table 1).  The protein products had identical amino acid sequences.<strong>Table 1</strong>  Fruit Fly Survival Rates Relative to Ataxin-3 Expression   Adapted from Bevivino AE, Loll PJ. An expanded glutamine repeat destabilizes native ataxin-3 structure and mediates formation of parallel beta -fibrils. Proc Natl Acad Sci USA. 2001;98(21):11955-60. Which statements regarding ataxin-3 parallel beta-sheets are true?Short sequences called beta-turns link one strand to the next.The N-termini of each strand are aligned.The adjacent backbones hydrogen bond with each other.</strong> A)I only B)I and II only C)II and III only D)I and III only Figure 1  Depiction of the ataxin-3 polyQ region shifting from alpha-helical (cylinders) to beta-sheet (arrows) structure and aggregatingGlutamine can be encoded by both CAG and CAA codons.  Researchers investigated survival rates in fruit flies expressing ataxin-3 with polyQ regions of equal length encoded by either CAG-CAG or CAA-CAG repeats (Table 1).  The protein products had identical amino acid sequences.Table 1  Fruit Fly Survival Rates Relative to Ataxin-3 Expression
<strong>Passage Spinocerebellar ataxia 3 (SCA3) is a neurodegenerative disease that manifests as a progressive decrease in coordination of limbs and frequently results in impaired speech and eye coordination.  It is associated with extension of the polyglutamine (polyQ) region of the ataxin-3 protein.  The polyQ region is encoded by a series of consecutive CAG codons known as poly-CAG repeats.  These regions vary in length from one person to another, ranging from as few as 10 to as many as 80 repeats.  SCA3 has been reported in patients with polyQ regions exceeding ~55 repeats, and increased polyQ length correlates with earlier onset of the disease and greater clinical severity.Circular dichroism (CD) is a method of assessing protein secondary structure.  It measures a molecule's ability to absorb left- and right-handed circularly polarized light of varying wavelengths.  The absorption difference is known as ellipticity, denoted by Δε.  Alpha-helices have a maximum Δε at 190 nm, and beta-sheets have a maximum Δε at 200 nm.CD results show that as the length of the ataxin-3 polyQ region increases, alpha-helical nature is lost and the protein aggregates, ultimately precipitating out of solution and depositing in brain and other tissues.  Furthermore, as proteins aggregate, they form beta-sheets.  These beta-sheets are in the parallel orientation, and each sheet can interact with sheets in other proteins to form long, insoluble structures known as amyloid fibers (Figure 1).   <strong>Figure 1</strong>  Depiction of the ataxin-3 polyQ region shifting from alpha-helical (cylinders) to beta-sheet (arrows) structure and aggregatingGlutamine can be encoded by both CAG and CAA codons.  Researchers investigated survival rates in fruit flies expressing ataxin-3 with polyQ regions of equal length encoded by either CAG-CAG or CAA-CAG repeats (Table 1).  The protein products had identical amino acid sequences.<strong>Table 1</strong>  Fruit Fly Survival Rates Relative to Ataxin-3 Expression   Adapted from Bevivino AE, Loll PJ. An expanded glutamine repeat destabilizes native ataxin-3 structure and mediates formation of parallel beta -fibrils. Proc Natl Acad Sci USA. 2001;98(21):11955-60. Which statements regarding ataxin-3 parallel beta-sheets are true?Short sequences called beta-turns link one strand to the next.The N-termini of each strand are aligned.The adjacent backbones hydrogen bond with each other.</strong> A)I only B)I and II only C)II and III only D)I and III only Adapted from Bevivino AE, Loll PJ. An expanded glutamine repeat destabilizes native ataxin-3 structure and mediates formation of parallel beta -fibrils. Proc Natl Acad Sci USA. 2001;98(21):11955-60.
Which statements regarding ataxin-3 parallel beta-sheets are true?Short sequences called beta-turns link one strand to the next.The N-termini of each strand are aligned.The adjacent backbones hydrogen bond with each other.

A)I only
B)I and II only
C)II and III only
D)I and III only
Unlock Deck
Unlock for access to all 307 flashcards in this deck.
Unlock Deck
k this deck
63
Passage
Ribulose-1,5-bisphosphate carboxylase/oxygenase (rubisco) is one of the most abundant enzymes on Earth.  In carbon-fixing organisms, it consumes CO2 to carboxylate the sugar ribulose-1,5-bisphosphate (Ru1,5BP), and forms two molecules of 3-phosphoglycerate (3PG) as a product.  The functional form of rubisco from the bacterium Rhodospirillum rubrum is a noncovalent homodimer composed of two 51 kDa monomers.  Each subunit requires a magnesium ion as a prosthetic group in the active site.Rubisco is often used as a model for protein folding studies.  On their own, rubisco monomers typically cannot fold to completion and instead are trapped in a form known as a "kinetic intermediate."  These kinetically trapped monomers cannot dimerize correctly and are prone to aggregation.Scientists interested in studying protein folding dynamics labeled the rubisco kinetic intermediate with a set of fluorophores known as a FRET (fluorescence resonance energy transfer) pair, with one fluorophore at the N-terminus and the other at the C-terminus.  A FRET signal occurs when the emission spectrum of one fluorophore (the donor) overlaps with the excitation spectrum of the other (the acceptor).  When the two fluorophores are sufficiently close to each other, the donor can transfer energy from the light it absorbs directly to the acceptor, causing the acceptor to emit light when the donor absorbs light.The GroEL/ES complex is a chaperone protein that binds and releases misfolded proteins, hydrolyzing ATP each time the protein is released.  A misfolded protein may undergo multiple rounds of binding and release before adopting its correct conformation, or it may never fold correctly and instead be targeted for destruction (Figure 1).
<strong>Passage Ribulose-1,5-bisphosphate carboxylase/oxygenase (rubisco) is one of the most abundant enzymes on Earth.  In carbon-fixing organisms, it consumes CO<sub>2</sub> to carboxylate the sugar ribulose-1,5-bisphosphate (Ru1,5BP), and forms two molecules of 3-phosphoglycerate (3PG) as a product.  The functional form of rubisco from the bacterium Rhodospirillum rubrum is a noncovalent homodimer composed of two 51 kDa monomers.  Each subunit requires a magnesium ion as a prosthetic group in the active site.Rubisco is often used as a model for protein folding studies.  On their own, rubisco monomers typically cannot fold to completion and instead are trapped in a form known as a kinetic intermediate.  These kinetically trapped monomers cannot dimerize correctly and are prone to aggregation.Scientists interested in studying protein folding dynamics labeled the rubisco kinetic intermediate with a set of fluorophores known as a FRET (fluorescence resonance energy transfer) pair, with one fluorophore at the N-terminus and the other at the C-terminus.  A FRET signal occurs when the emission spectrum of one fluorophore (the donor) overlaps with the excitation spectrum of the other (the acceptor).  When the two fluorophores are sufficiently close to each other, the donor can transfer energy from the light it absorbs directly to the acceptor, causing the acceptor to emit light when the donor absorbs light.The GroEL/ES complex is a chaperone protein that binds and releases misfolded proteins, hydrolyzing ATP each time the protein is released.  A misfolded protein may undergo multiple rounds of binding and release before adopting its correct conformation, or it may never fold correctly and instead be targeted for destruction (Figure 1).   <strong>Figure 1</strong>  Representation of GroEL/ES-mediated protein foldingResearchers diluted the labeled kinetic intermediate into a refolding buffer in the presence or absence of 200 nM GroEL/ES and then monitored the FRET signal over time.  The results are shown in Figure 2.   <strong>Figure 2</strong>  FRET signal of labeled rubisco with and without GroEL Lin Z, Rye HS. Expansion and compression of a protein folding intermediate by GroEL. Mol Cell. 2004;16(1):23-34. Based on the molecular weight of a rubisco monomer, approximately how many amino acids are present in a rubisco dimer?</strong> A)460 B)690 C)920 D)5100 Figure 1  Representation of GroEL/ES-mediated protein foldingResearchers diluted the labeled kinetic intermediate into a refolding buffer in the presence or absence of 200 nM GroEL/ES and then monitored the FRET signal over time.  The results are shown in Figure 2.
<strong>Passage Ribulose-1,5-bisphosphate carboxylase/oxygenase (rubisco) is one of the most abundant enzymes on Earth.  In carbon-fixing organisms, it consumes CO<sub>2</sub> to carboxylate the sugar ribulose-1,5-bisphosphate (Ru1,5BP), and forms two molecules of 3-phosphoglycerate (3PG) as a product.  The functional form of rubisco from the bacterium Rhodospirillum rubrum is a noncovalent homodimer composed of two 51 kDa monomers.  Each subunit requires a magnesium ion as a prosthetic group in the active site.Rubisco is often used as a model for protein folding studies.  On their own, rubisco monomers typically cannot fold to completion and instead are trapped in a form known as a kinetic intermediate.  These kinetically trapped monomers cannot dimerize correctly and are prone to aggregation.Scientists interested in studying protein folding dynamics labeled the rubisco kinetic intermediate with a set of fluorophores known as a FRET (fluorescence resonance energy transfer) pair, with one fluorophore at the N-terminus and the other at the C-terminus.  A FRET signal occurs when the emission spectrum of one fluorophore (the donor) overlaps with the excitation spectrum of the other (the acceptor).  When the two fluorophores are sufficiently close to each other, the donor can transfer energy from the light it absorbs directly to the acceptor, causing the acceptor to emit light when the donor absorbs light.The GroEL/ES complex is a chaperone protein that binds and releases misfolded proteins, hydrolyzing ATP each time the protein is released.  A misfolded protein may undergo multiple rounds of binding and release before adopting its correct conformation, or it may never fold correctly and instead be targeted for destruction (Figure 1).   <strong>Figure 1</strong>  Representation of GroEL/ES-mediated protein foldingResearchers diluted the labeled kinetic intermediate into a refolding buffer in the presence or absence of 200 nM GroEL/ES and then monitored the FRET signal over time.  The results are shown in Figure 2.   <strong>Figure 2</strong>  FRET signal of labeled rubisco with and without GroEL Lin Z, Rye HS. Expansion and compression of a protein folding intermediate by GroEL. Mol Cell. 2004;16(1):23-34. Based on the molecular weight of a rubisco monomer, approximately how many amino acids are present in a rubisco dimer?</strong> A)460 B)690 C)920 D)5100 Figure 2  FRET signal of labeled rubisco with and without GroEL
Lin Z, Rye HS. Expansion and compression of a protein folding intermediate by GroEL. Mol Cell. 2004;16(1):23-34.
Based on the molecular weight of a rubisco monomer, approximately how many amino acids are present in a rubisco dimer?

A)460
B)690
C)920
D)5100
Unlock Deck
Unlock for access to all 307 flashcards in this deck.
Unlock Deck
k this deck
64
Passage
Dystroglycan (Dg) is a transmembrane protein that mediates interactions between the cytoskeleton and the extracellular matrix (ECM).  It binds the ECM protein laminin in an interaction that is required for intercellular communication and muscle membrane structural stability.  The Dg-laminin interaction is facilitated by a long carbohydrate chain called an O-mannosyl glycan, which is covalently linked to Dg (Figure 1).
<strong>Passage Dystroglycan (Dg) is a transmembrane protein that mediates interactions between the cytoskeleton and the extracellular matrix (ECM).  It binds the ECM protein laminin in an interaction that is required for intercellular communication and muscle membrane structural stability.  The Dg-laminin interaction is facilitated by a long carbohydrate chain called an O-mannosyl glycan, which is covalently linked to Dg (Figure 1).   <strong>Figure 1</strong>  Schematic of interaction between Dg and laminin, mediated by the Dg-linked O-mannosyl glycanThe O-mannosyl glycan is added to Dg by a series of enzymes called glycosyltransferases.  The first enzyme in this series, protein O-mannosyltransferase (POMT), attaches D-mannose to the hydroxyl groups of serine and threonine residues in an α-linkage through the anomeric carbon.  The next sugar in the chain then forms a β-1,4 linkage to the mannose residue, followed by several more steps to produce the full glycan.  Genetic inactivation of any of the enzymes in the pathway results in an incomplete glycan and failure to bind laminin, and is the underlying cause of several severe forms of muscular dystrophy known as dystroglycanopathies.Researchers investigating dystroglycanopathies recently discovered the functions of two enzymes in the pathway:  protein O-mannose kinase (POMK) and fukutin.  POMK phosphorylates Dg-linked mannose at carbon 6, and fukutin adds the sugar ribitol 5-phosphate to the glycan chain.  To assess the roles of POMK and fukutin relative to each other, scientists conducted experiments in which lysates from muscle cells deficient in either POMK or fukutin were incubated with <sup>32</sup>P-labeled ATP or <sup>3</sup>H-labeled activated ribitol 5-phosphate.  Combined lysates containing both fukutin and POMK were also tested.  Dg was then purified and detected by autoradiography and western blot using an antibody against Dg, as shown in Figure 2.   <strong>Figure 2</strong>  Autoradiograms and western blots of Dg purified from lysates incubated with <sup>32</sup>P-labeled ATP or <sup>3</sup>H-labeled ribitol 5-phosphate Adapted from Kanagawa M, Kobayashi K, Tajiri M, et al. Identification of a Post-translational Modification with Ribitol-Phosphate and Its Defect in Muscular Dystrophy. Cell Rep. 2016;14(9):2209-23. Which conclusion about the functions of POMK and fukutin is supported by the autoradiogram in Figure 2?</strong> A)Fukutin activity must occur before POMK activity can occur. B)POMK activity must occur before fukutin activity can occur. C)Fukutin and POMK activities can occur in any order. D)POMK and fukutin activities must occur simultaneously. Figure 1  Schematic of interaction between Dg and laminin, mediated by the Dg-linked O-mannosyl glycanThe O-mannosyl glycan is added to Dg by a series of enzymes called glycosyltransferases.  The first enzyme in this series, protein O-mannosyltransferase (POMT), attaches D-mannose to the hydroxyl groups of serine and threonine residues in an α-linkage through the anomeric carbon.  The next sugar in the chain then forms a β-1,4 linkage to the mannose residue, followed by several more steps to produce the full glycan.  Genetic inactivation of any of the enzymes in the pathway results in an incomplete glycan and failure to bind laminin, and is the underlying cause of several severe forms of muscular dystrophy known as dystroglycanopathies.Researchers investigating dystroglycanopathies recently discovered the functions of two enzymes in the pathway:  protein O-mannose kinase (POMK) and fukutin.  POMK phosphorylates Dg-linked mannose at carbon 6, and fukutin adds the sugar ribitol 5-phosphate to the glycan chain.  To assess the roles of POMK and fukutin relative to each other, scientists conducted experiments in which lysates from muscle cells deficient in either POMK or fukutin were incubated with 32P-labeled ATP or 3H-labeled activated ribitol 5-phosphate.  Combined lysates containing both fukutin and POMK were also tested.  Dg was then purified and detected by autoradiography and western blot using an antibody against Dg, as shown in Figure 2.
<strong>Passage Dystroglycan (Dg) is a transmembrane protein that mediates interactions between the cytoskeleton and the extracellular matrix (ECM).  It binds the ECM protein laminin in an interaction that is required for intercellular communication and muscle membrane structural stability.  The Dg-laminin interaction is facilitated by a long carbohydrate chain called an O-mannosyl glycan, which is covalently linked to Dg (Figure 1).   <strong>Figure 1</strong>  Schematic of interaction between Dg and laminin, mediated by the Dg-linked O-mannosyl glycanThe O-mannosyl glycan is added to Dg by a series of enzymes called glycosyltransferases.  The first enzyme in this series, protein O-mannosyltransferase (POMT), attaches D-mannose to the hydroxyl groups of serine and threonine residues in an α-linkage through the anomeric carbon.  The next sugar in the chain then forms a β-1,4 linkage to the mannose residue, followed by several more steps to produce the full glycan.  Genetic inactivation of any of the enzymes in the pathway results in an incomplete glycan and failure to bind laminin, and is the underlying cause of several severe forms of muscular dystrophy known as dystroglycanopathies.Researchers investigating dystroglycanopathies recently discovered the functions of two enzymes in the pathway:  protein O-mannose kinase (POMK) and fukutin.  POMK phosphorylates Dg-linked mannose at carbon 6, and fukutin adds the sugar ribitol 5-phosphate to the glycan chain.  To assess the roles of POMK and fukutin relative to each other, scientists conducted experiments in which lysates from muscle cells deficient in either POMK or fukutin were incubated with <sup>32</sup>P-labeled ATP or <sup>3</sup>H-labeled activated ribitol 5-phosphate.  Combined lysates containing both fukutin and POMK were also tested.  Dg was then purified and detected by autoradiography and western blot using an antibody against Dg, as shown in Figure 2.   <strong>Figure 2</strong>  Autoradiograms and western blots of Dg purified from lysates incubated with <sup>32</sup>P-labeled ATP or <sup>3</sup>H-labeled ribitol 5-phosphate Adapted from Kanagawa M, Kobayashi K, Tajiri M, et al. Identification of a Post-translational Modification with Ribitol-Phosphate and Its Defect in Muscular Dystrophy. Cell Rep. 2016;14(9):2209-23. Which conclusion about the functions of POMK and fukutin is supported by the autoradiogram in Figure 2?</strong> A)Fukutin activity must occur before POMK activity can occur. B)POMK activity must occur before fukutin activity can occur. C)Fukutin and POMK activities can occur in any order. D)POMK and fukutin activities must occur simultaneously. Figure 2  Autoradiograms and western blots of Dg purified from lysates incubated with 32P-labeled ATP or 3H-labeled ribitol 5-phosphate
Adapted from Kanagawa M, Kobayashi K, Tajiri M, et al. Identification of a Post-translational Modification with Ribitol-Phosphate and Its Defect in Muscular Dystrophy. Cell Rep. 2016;14(9):2209-23.
Which conclusion about the functions of POMK and fukutin is supported by the autoradiogram in Figure 2?

A)Fukutin activity must occur before POMK activity can occur.
B)POMK activity must occur before fukutin activity can occur.
C)Fukutin and POMK activities can occur in any order.
D)POMK and fukutin activities must occur simultaneously.
Unlock Deck
Unlock for access to all 307 flashcards in this deck.
Unlock Deck
k this deck
65
Passage
Upon entering muscle cells, glucose is immediately phosphorylated by hexokinase to produce glucose 6-phosphate (G6P).  This phosphorylation event prevents glucose from exiting the cell.  G6P may then enter one of three metabolic pathways, depending on the needs of the cell (Figure 1).
<strong>Passage Upon entering muscle cells, glucose is immediately phosphorylated by hexokinase to produce glucose 6-phosphate (G6P).  This phosphorylation event prevents glucose from exiting the cell.  G6P may then enter one of three metabolic pathways, depending on the needs of the cell (Figure 1).   <strong>Figure 1</strong>  Three potential fates of G6P, determined by the needs of the cellUnder low ATP conditions, G6P enters glycolysis, where it is converted to two pyruvate molecules.  The energy released in this process produces a net total of two ATP molecules per glucose molecule consumed.  The resulting pyruvate molecules can then enter the mitochondria, where they participate in additional metabolic reactions that produce more ATP.When the cell experiences oxidative stress, G6P enters the pentose phosphate pathway (PPP) and produces NADPH, a reducing agent.  During this process, G6P loses one carbon atom in the form of CO<sub>2</sub> and is converted to ribose 5-phosphate (R5P), which is required for nucleotide synthesis.  In addition to low NADPH conditions, G6P may also enter the PPP during replication, when nucleotides are needed for DNA synthesis.  If nucleotides are not needed but energy is, R5P can be converted back to glycolytic intermediates and reenter glycolysis.  Each glucose molecule that is converted to R5P prior to glycolysis yields an average of 1.67 ATP molecules.When all the cell's metabolic requirements are met, additional G6P can enter glycogenesis and produce glycogen, which stores glucose for later use; this process consumes ATP.  When signal molecules bind G protein-coupled receptors on muscle cells, glycogenolysis is activated to release individual monomers from glycogen, allowing them to enter the appropriate pathway. Based on information in the passage, if glucose enters the pentose phosphate pathway prior to glycolysis, what is the energy loss compared to glucose that enters glycolysis directly?  (Note: The free energy of ATP hydrolysis is −30 kJ/mol.)</strong> A)15 kJ/mol B)0 kJ/mol C)−10 kJ/mol D)−20 kJ/mol Figure 1  Three potential fates of G6P, determined by the needs of the cellUnder low ATP conditions, G6P enters glycolysis, where it is converted to two pyruvate molecules.  The energy released in this process produces a net total of two ATP molecules per glucose molecule consumed.  The resulting pyruvate molecules can then enter the mitochondria, where they participate in additional metabolic reactions that produce more ATP.When the cell experiences oxidative stress, G6P enters the pentose phosphate pathway (PPP) and produces NADPH, a reducing agent.  During this process, G6P loses one carbon atom in the form of CO2 and is converted to ribose 5-phosphate (R5P), which is required for nucleotide synthesis.  In addition to low NADPH conditions, G6P may also enter the PPP during replication, when nucleotides are needed for DNA synthesis.  If nucleotides are not needed but energy is, R5P can be converted back to glycolytic intermediates and reenter glycolysis.  Each glucose molecule that is converted to R5P prior to glycolysis yields an average of 1.67 ATP molecules.When all the cell's metabolic requirements are met, additional G6P can enter glycogenesis and produce glycogen, which stores glucose for later use; this process consumes ATP.  When signal molecules bind G protein-coupled receptors on muscle cells, glycogenolysis is activated to release individual monomers from glycogen, allowing them to enter the appropriate pathway.
Based on information in the passage, if glucose enters the pentose phosphate pathway prior to glycolysis, what is the energy loss compared to glucose that enters glycolysis directly?  (Note: The free energy of ATP hydrolysis is −30 kJ/mol.)

A)15 kJ/mol
B)0 kJ/mol
C)−10 kJ/mol
D)−20 kJ/mol
Unlock Deck
Unlock for access to all 307 flashcards in this deck.
Unlock Deck
k this deck
66
Passage
Upon entering muscle cells, glucose is immediately phosphorylated by hexokinase to produce glucose 6-phosphate (G6P).  This phosphorylation event prevents glucose from exiting the cell.  G6P may then enter one of three metabolic pathways, depending on the needs of the cell (Figure 1).
<strong>Passage Upon entering muscle cells, glucose is immediately phosphorylated by hexokinase to produce glucose 6-phosphate (G6P).  This phosphorylation event prevents glucose from exiting the cell.  G6P may then enter one of three metabolic pathways, depending on the needs of the cell (Figure 1).   <strong>Figure 1</strong>  Three potential fates of G6P, determined by the needs of the cellUnder low ATP conditions, G6P enters glycolysis, where it is converted to two pyruvate molecules.  The energy released in this process produces a net total of two ATP molecules per glucose molecule consumed.  The resulting pyruvate molecules can then enter the mitochondria, where they participate in additional metabolic reactions that produce more ATP.When the cell experiences oxidative stress, G6P enters the pentose phosphate pathway (PPP) and produces NADPH, a reducing agent.  During this process, G6P loses one carbon atom in the form of CO<sub>2</sub> and is converted to ribose 5-phosphate (R5P), which is required for nucleotide synthesis.  In addition to low NADPH conditions, G6P may also enter the PPP during replication, when nucleotides are needed for DNA synthesis.  If nucleotides are not needed but energy is, R5P can be converted back to glycolytic intermediates and reenter glycolysis.  Each glucose molecule that is converted to R5P prior to glycolysis yields an average of 1.67 ATP molecules.When all the cell's metabolic requirements are met, additional G6P can enter glycogenesis and produce glycogen, which stores glucose for later use; this process consumes ATP.  When signal molecules bind G protein-coupled receptors on muscle cells, glycogenolysis is activated to release individual monomers from glycogen, allowing them to enter the appropriate pathway. The glycogen branching enzyme forms a glycosidic bond between carbon 1 on the incoming glucose monomer and which of the following?</strong> A)Carbon 3 on a glucose unit of the growing chain B)Carbon 4 on a glucose unit of the growing chain C)Carbon 5 on a glucose unit of the growing chain D)Carbon 6 on a glucose unit of the growing chain Figure 1  Three potential fates of G6P, determined by the needs of the cellUnder low ATP conditions, G6P enters glycolysis, where it is converted to two pyruvate molecules.  The energy released in this process produces a net total of two ATP molecules per glucose molecule consumed.  The resulting pyruvate molecules can then enter the mitochondria, where they participate in additional metabolic reactions that produce more ATP.When the cell experiences oxidative stress, G6P enters the pentose phosphate pathway (PPP) and produces NADPH, a reducing agent.  During this process, G6P loses one carbon atom in the form of CO2 and is converted to ribose 5-phosphate (R5P), which is required for nucleotide synthesis.  In addition to low NADPH conditions, G6P may also enter the PPP during replication, when nucleotides are needed for DNA synthesis.  If nucleotides are not needed but energy is, R5P can be converted back to glycolytic intermediates and reenter glycolysis.  Each glucose molecule that is converted to R5P prior to glycolysis yields an average of 1.67 ATP molecules.When all the cell's metabolic requirements are met, additional G6P can enter glycogenesis and produce glycogen, which stores glucose for later use; this process consumes ATP.  When signal molecules bind G protein-coupled receptors on muscle cells, glycogenolysis is activated to release individual monomers from glycogen, allowing them to enter the appropriate pathway.
The glycogen branching enzyme forms a glycosidic bond between carbon 1 on the incoming glucose monomer and which of the following?

A)Carbon 3 on a glucose unit of the growing chain
B)Carbon 4 on a glucose unit of the growing chain
C)Carbon 5 on a glucose unit of the growing chain
D)Carbon 6 on a glucose unit of the growing chain
Unlock Deck
Unlock for access to all 307 flashcards in this deck.
Unlock Deck
k this deck
67
Passage
Although the structure of the cell membrane has been investigated repeatedly, few studies examine the contribution of its lipid components.  Lipid composition influences the fluidity and permeability of cell membranes in the human body.  Chronic diseases such as atherosclerosis and psoriasis arise from alterations to the lipid composition.Atherosclerosis is caused by the accumulation of cholesterol in the endothelial cells lining the arterial wall.  Cholesterol carried by low-density lipoprotein (LDL) is deposited into cell membranes, where it forms cholesterol crystalline domains (CCDs).  In damaged cells, these CCDs increase membrane permeability and contribute to the formation of cholesterol plaques that can potentially block the artery itself.Omega-3 fatty acids (O3FAs) derived from marine animals may be used to slow the development of atherosclerosis.  Formulations of O3FA contain varying concentrations of eicosapentaenoic acid (EPA) and docosahexaenoic acid (DHA) (Figure 1).  Present research suggests that formulations of O3FA should contain EPA exclusively because it prevents cholesterol from organizing into CCDs.  Nonetheless, atherosclerosis is generally treated by administering drugs referred to as statins, which decrease the free cholesterol in blood plasma by inhibiting the production of a cholesterol precursor.  Statin therapy combined with O3FAs may be used to reduce atherosclerosis in patients with persistent hypertriglyceridemia (high triglyceride plasma levels).
<strong>Passage Although the structure of the cell membrane has been investigated repeatedly, few studies examine the contribution of its lipid components.  Lipid composition influences the fluidity and permeability of cell membranes in the human body.  Chronic diseases such as atherosclerosis and psoriasis arise from alterations to the lipid composition.Atherosclerosis is caused by the accumulation of cholesterol in the endothelial cells lining the arterial wall.  Cholesterol carried by low-density lipoprotein (LDL) is deposited into cell membranes, where it forms cholesterol crystalline domains (CCDs).  In damaged cells, these CCDs increase membrane permeability and contribute to the formation of cholesterol plaques that can potentially block the artery itself.Omega-3 fatty acids (O3FAs) derived from marine animals may be used to slow the development of atherosclerosis.  Formulations of O3FA contain varying concentrations of eicosapentaenoic acid (EPA) and docosahexaenoic acid (DHA) (Figure 1).  Present research suggests that formulations of O3FA should contain EPA exclusively because it prevents cholesterol from organizing into CCDs.  Nonetheless, atherosclerosis is generally treated by administering drugs referred to as statins, which decrease the free cholesterol in blood plasma by inhibiting the production of a cholesterol precursor.  Statin therapy combined with O3FAs may be used to reduce atherosclerosis in patients with persistent hypertriglyceridemia (high triglyceride plasma levels).   <strong>Figure 1</strong>  Organization of membranes in endothelial and epidermal cellsWater loss from the uppermost layer of the epidermis, the stratum corneum (SC), is prevented by specialized lipids called ceramides (cer).  Psoriasis is a skin disease in which the permeability of the SC is compromised due to a significant decrease in the level of ceramides.  The scarcity of ceramides impedes the formation of a lipid matrix called the long periodicity phase (LPP) in the cell membrane.  Increasing the concentration of ceramides such as esterified omega-hydroxyacyl-sphingosine (cer-EOS) has been shown to reduce the permeability of SC cell membranes and may be used to treat psoriasis scabs (Figure 1). Adapted from Mason RP, Jacob RF, Shrivastava S, Sherratt SC, Chattopadhyay A. Eicosapentaenoic acid reduces membrane fluidity, inhibits cholesterol domain formation, and normalizes bilayer width in atherosclerotic-like model membranes. Biochim Biophys Acta. 2016;1858(12):3131-3140. What structural feature in the molecules shown in Figure 1 would result in the greatest increase in cell membrane fluidity?</strong> A)cis bond in EPA B)trans bond in cer-EOS C)Carboxyl group of DHA D)Phosphate groups of phospholipids Figure 1  Organization of membranes in endothelial and epidermal cellsWater loss from the uppermost layer of the epidermis, the stratum corneum (SC), is prevented by specialized lipids called ceramides (cer).  Psoriasis is a skin disease in which the permeability of the SC is compromised due to a significant decrease in the level of ceramides.  The scarcity of ceramides impedes the formation of a lipid matrix called the long periodicity phase (LPP) in the cell membrane.  Increasing the concentration of ceramides such as esterified omega-hydroxyacyl-sphingosine (cer-EOS) has been shown to reduce the permeability of SC cell membranes and may be used to treat psoriasis scabs (Figure 1).
Adapted from Mason RP, Jacob RF, Shrivastava S, Sherratt SC, Chattopadhyay A. Eicosapentaenoic acid reduces membrane fluidity, inhibits cholesterol domain formation, and normalizes bilayer width in atherosclerotic-like model membranes. Biochim Biophys Acta. 2016;1858(12):3131-3140.
What structural feature in the molecules shown in Figure 1 would result in the greatest increase in cell membrane fluidity?

A)cis bond in EPA
B)trans bond in cer-EOS
C)Carboxyl group of DHA
D)Phosphate groups of phospholipids
Unlock Deck
Unlock for access to all 307 flashcards in this deck.
Unlock Deck
k this deck
68
Passage
Dystroglycan (Dg) is a transmembrane protein that mediates interactions between the cytoskeleton and the extracellular matrix (ECM).  It binds the ECM protein laminin in an interaction that is required for intercellular communication and muscle membrane structural stability.  The Dg-laminin interaction is facilitated by a long carbohydrate chain called an O-mannosyl glycan, which is covalently linked to Dg (Figure 1).
<strong>Passage Dystroglycan (Dg) is a transmembrane protein that mediates interactions between the cytoskeleton and the extracellular matrix (ECM).  It binds the ECM protein laminin in an interaction that is required for intercellular communication and muscle membrane structural stability.  The Dg-laminin interaction is facilitated by a long carbohydrate chain called an O-mannosyl glycan, which is covalently linked to Dg (Figure 1).   <strong>Figure 1</strong>  Schematic of interaction between Dg and laminin, mediated by the Dg-linked O-mannosyl glycanThe O-mannosyl glycan is added to Dg by a series of enzymes called glycosyltransferases.  The first enzyme in this series, protein O-mannosyltransferase (POMT), attaches D-mannose to the hydroxyl groups of serine and threonine residues in an α-linkage through the anomeric carbon.  The next sugar in the chain then forms a β-1,4 linkage to the mannose residue, followed by several more steps to produce the full glycan.  Genetic inactivation of any of the enzymes in the pathway results in an incomplete glycan and failure to bind laminin, and is the underlying cause of several severe forms of muscular dystrophy known as dystroglycanopathies.Researchers investigating dystroglycanopathies recently discovered the functions of two enzymes in the pathway:  protein O-mannose kinase (POMK) and fukutin.  POMK phosphorylates Dg-linked mannose at carbon 6, and fukutin adds the sugar ribitol 5-phosphate to the glycan chain.  To assess the roles of POMK and fukutin relative to each other, scientists conducted experiments in which lysates from muscle cells deficient in either POMK or fukutin were incubated with <sup>32</sup>P-labeled ATP or <sup>3</sup>H-labeled activated ribitol 5-phosphate.  Combined lysates containing both fukutin and POMK were also tested.  Dg was then purified and detected by autoradiography and western blot using an antibody against Dg, as shown in Figure 2.   <strong>Figure 2</strong>  Autoradiograms and western blots of Dg purified from lysates incubated with <sup>32</sup>P-labeled ATP or <sup>3</sup>H-labeled ribitol 5-phosphate Adapted from Kanagawa M, Kobayashi K, Tajiri M, et al. Identification of a Post-translational Modification with Ribitol-Phosphate and Its Defect in Muscular Dystrophy. Cell Rep. 2016;14(9):2209-23. Alpha mannosidase cleaves the link between D-mannose and the hydroxyl group of serine or threonine.  If researchers treated the radiolabeled Dg from each autoradiogram with alpha mannosidase, where would the radiolabels be found?</strong> A)Both <sup>32</sup>P and <sup>3</sup>H-ribitol would be attached to the Dg protein. B)The <sup>32</sup>P would be attached to Dg and the <sup>3</sup>H-ribitol to the cleaved polysaccharide. C)The <sup>3</sup>H-ribitol would be attached to Dg and the <sup>32</sup>P label to the cleaved polysaccharide. D)Both <sup>32</sup>P and <sup>3</sup>H-ribitol would be found in the cleaved polysaccharide. Figure 1  Schematic of interaction between Dg and laminin, mediated by the Dg-linked O-mannosyl glycanThe O-mannosyl glycan is added to Dg by a series of enzymes called glycosyltransferases.  The first enzyme in this series, protein O-mannosyltransferase (POMT), attaches D-mannose to the hydroxyl groups of serine and threonine residues in an α-linkage through the anomeric carbon.  The next sugar in the chain then forms a β-1,4 linkage to the mannose residue, followed by several more steps to produce the full glycan.  Genetic inactivation of any of the enzymes in the pathway results in an incomplete glycan and failure to bind laminin, and is the underlying cause of several severe forms of muscular dystrophy known as dystroglycanopathies.Researchers investigating dystroglycanopathies recently discovered the functions of two enzymes in the pathway:  protein O-mannose kinase (POMK) and fukutin.  POMK phosphorylates Dg-linked mannose at carbon 6, and fukutin adds the sugar ribitol 5-phosphate to the glycan chain.  To assess the roles of POMK and fukutin relative to each other, scientists conducted experiments in which lysates from muscle cells deficient in either POMK or fukutin were incubated with 32P-labeled ATP or 3H-labeled activated ribitol 5-phosphate.  Combined lysates containing both fukutin and POMK were also tested.  Dg was then purified and detected by autoradiography and western blot using an antibody against Dg, as shown in Figure 2.
<strong>Passage Dystroglycan (Dg) is a transmembrane protein that mediates interactions between the cytoskeleton and the extracellular matrix (ECM).  It binds the ECM protein laminin in an interaction that is required for intercellular communication and muscle membrane structural stability.  The Dg-laminin interaction is facilitated by a long carbohydrate chain called an O-mannosyl glycan, which is covalently linked to Dg (Figure 1).   <strong>Figure 1</strong>  Schematic of interaction between Dg and laminin, mediated by the Dg-linked O-mannosyl glycanThe O-mannosyl glycan is added to Dg by a series of enzymes called glycosyltransferases.  The first enzyme in this series, protein O-mannosyltransferase (POMT), attaches D-mannose to the hydroxyl groups of serine and threonine residues in an α-linkage through the anomeric carbon.  The next sugar in the chain then forms a β-1,4 linkage to the mannose residue, followed by several more steps to produce the full glycan.  Genetic inactivation of any of the enzymes in the pathway results in an incomplete glycan and failure to bind laminin, and is the underlying cause of several severe forms of muscular dystrophy known as dystroglycanopathies.Researchers investigating dystroglycanopathies recently discovered the functions of two enzymes in the pathway:  protein O-mannose kinase (POMK) and fukutin.  POMK phosphorylates Dg-linked mannose at carbon 6, and fukutin adds the sugar ribitol 5-phosphate to the glycan chain.  To assess the roles of POMK and fukutin relative to each other, scientists conducted experiments in which lysates from muscle cells deficient in either POMK or fukutin were incubated with <sup>32</sup>P-labeled ATP or <sup>3</sup>H-labeled activated ribitol 5-phosphate.  Combined lysates containing both fukutin and POMK were also tested.  Dg was then purified and detected by autoradiography and western blot using an antibody against Dg, as shown in Figure 2.   <strong>Figure 2</strong>  Autoradiograms and western blots of Dg purified from lysates incubated with <sup>32</sup>P-labeled ATP or <sup>3</sup>H-labeled ribitol 5-phosphate Adapted from Kanagawa M, Kobayashi K, Tajiri M, et al. Identification of a Post-translational Modification with Ribitol-Phosphate and Its Defect in Muscular Dystrophy. Cell Rep. 2016;14(9):2209-23. Alpha mannosidase cleaves the link between D-mannose and the hydroxyl group of serine or threonine.  If researchers treated the radiolabeled Dg from each autoradiogram with alpha mannosidase, where would the radiolabels be found?</strong> A)Both <sup>32</sup>P and <sup>3</sup>H-ribitol would be attached to the Dg protein. B)The <sup>32</sup>P would be attached to Dg and the <sup>3</sup>H-ribitol to the cleaved polysaccharide. C)The <sup>3</sup>H-ribitol would be attached to Dg and the <sup>32</sup>P label to the cleaved polysaccharide. D)Both <sup>32</sup>P and <sup>3</sup>H-ribitol would be found in the cleaved polysaccharide. Figure 2  Autoradiograms and western blots of Dg purified from lysates incubated with 32P-labeled ATP or 3H-labeled ribitol 5-phosphate
Adapted from Kanagawa M, Kobayashi K, Tajiri M, et al. Identification of a Post-translational Modification with Ribitol-Phosphate and Its Defect in Muscular Dystrophy. Cell Rep. 2016;14(9):2209-23.
Alpha mannosidase cleaves the link between D-mannose and the hydroxyl group of serine or threonine.  If researchers treated the radiolabeled Dg from each autoradiogram with alpha mannosidase, where would the radiolabels be found?

A)Both 32P and 3H-ribitol would be attached to the Dg protein.
B)The 32P would be attached to Dg and the 3H-ribitol to the cleaved polysaccharide.
C)The 3H-ribitol would be attached to Dg and the 32P label to the cleaved polysaccharide.
D)Both 32P and 3H-ribitol would be found in the cleaved polysaccharide.
Unlock Deck
Unlock for access to all 307 flashcards in this deck.
Unlock Deck
k this deck
69
Passage
Although the structure of the cell membrane has been investigated repeatedly, few studies examine the contribution of its lipid components.  Lipid composition influences the fluidity and permeability of cell membranes in the human body.  Chronic diseases such as atherosclerosis and psoriasis arise from alterations to the lipid composition.Atherosclerosis is caused by the accumulation of cholesterol in the endothelial cells lining the arterial wall.  Cholesterol carried by low-density lipoprotein (LDL) is deposited into cell membranes, where it forms cholesterol crystalline domains (CCDs).  In damaged cells, these CCDs increase membrane permeability and contribute to the formation of cholesterol plaques that can potentially block the artery itself.Omega-3 fatty acids (O3FAs) derived from marine animals may be used to slow the development of atherosclerosis.  Formulations of O3FA contain varying concentrations of eicosapentaenoic acid (EPA) and docosahexaenoic acid (DHA) (Figure 1).  Present research suggests that formulations of O3FA should contain EPA exclusively because it prevents cholesterol from organizing into CCDs.  Nonetheless, atherosclerosis is generally treated by administering drugs referred to as statins, which decrease the free cholesterol in blood plasma by inhibiting the production of a cholesterol precursor.  Statin therapy combined with O3FAs may be used to reduce atherosclerosis in patients with persistent hypertriglyceridemia (high triglyceride plasma levels).
<strong>Passage Although the structure of the cell membrane has been investigated repeatedly, few studies examine the contribution of its lipid components.  Lipid composition influences the fluidity and permeability of cell membranes in the human body.  Chronic diseases such as atherosclerosis and psoriasis arise from alterations to the lipid composition.Atherosclerosis is caused by the accumulation of cholesterol in the endothelial cells lining the arterial wall.  Cholesterol carried by low-density lipoprotein (LDL) is deposited into cell membranes, where it forms cholesterol crystalline domains (CCDs).  In damaged cells, these CCDs increase membrane permeability and contribute to the formation of cholesterol plaques that can potentially block the artery itself.Omega-3 fatty acids (O3FAs) derived from marine animals may be used to slow the development of atherosclerosis.  Formulations of O3FA contain varying concentrations of eicosapentaenoic acid (EPA) and docosahexaenoic acid (DHA) (Figure 1).  Present research suggests that formulations of O3FA should contain EPA exclusively because it prevents cholesterol from organizing into CCDs.  Nonetheless, atherosclerosis is generally treated by administering drugs referred to as statins, which decrease the free cholesterol in blood plasma by inhibiting the production of a cholesterol precursor.  Statin therapy combined with O3FAs may be used to reduce atherosclerosis in patients with persistent hypertriglyceridemia (high triglyceride plasma levels).   <strong>Figure 1</strong>  Organization of membranes in endothelial and epidermal cellsWater loss from the uppermost layer of the epidermis, the stratum corneum (SC), is prevented by specialized lipids called ceramides (cer).  Psoriasis is a skin disease in which the permeability of the SC is compromised due to a significant decrease in the level of ceramides.  The scarcity of ceramides impedes the formation of a lipid matrix called the long periodicity phase (LPP) in the cell membrane.  Increasing the concentration of ceramides such as esterified omega-hydroxyacyl-sphingosine (cer-EOS) has been shown to reduce the permeability of SC cell membranes and may be used to treat psoriasis scabs (Figure 1). Adapted from Mason RP, Jacob RF, Shrivastava S, Sherratt SC, Chattopadhyay A. Eicosapentaenoic acid reduces membrane fluidity, inhibits cholesterol domain formation, and normalizes bilayer width in atherosclerotic-like model membranes. Biochim Biophys Acta. 2016;1858(12):3131-3140. Phospholipids in the cell membrane could be separated experimentally according to their differences in:charge.mass.solubility.</strong> A)I only B)III only C)I and II only D)I, II, and III Figure 1  Organization of membranes in endothelial and epidermal cellsWater loss from the uppermost layer of the epidermis, the stratum corneum (SC), is prevented by specialized lipids called ceramides (cer).  Psoriasis is a skin disease in which the permeability of the SC is compromised due to a significant decrease in the level of ceramides.  The scarcity of ceramides impedes the formation of a lipid matrix called the long periodicity phase (LPP) in the cell membrane.  Increasing the concentration of ceramides such as esterified omega-hydroxyacyl-sphingosine (cer-EOS) has been shown to reduce the permeability of SC cell membranes and may be used to treat psoriasis scabs (Figure 1).
Adapted from Mason RP, Jacob RF, Shrivastava S, Sherratt SC, Chattopadhyay A. Eicosapentaenoic acid reduces membrane fluidity, inhibits cholesterol domain formation, and normalizes bilayer width in atherosclerotic-like model membranes. Biochim Biophys Acta. 2016;1858(12):3131-3140.
Phospholipids in the cell membrane could be separated experimentally according to their differences in:charge.mass.solubility.

A)I only
B)III only
C)I and II only
D)I, II, and III
Unlock Deck
Unlock for access to all 307 flashcards in this deck.
Unlock Deck
k this deck
70
Passage
Dystroglycan (Dg) is a transmembrane protein that mediates interactions between the cytoskeleton and the extracellular matrix (ECM).  It binds the ECM protein laminin in an interaction that is required for intercellular communication and muscle membrane structural stability.  The Dg-laminin interaction is facilitated by a long carbohydrate chain called an O-mannosyl glycan, which is covalently linked to Dg (Figure 1).
<strong>Passage Dystroglycan (Dg) is a transmembrane protein that mediates interactions between the cytoskeleton and the extracellular matrix (ECM).  It binds the ECM protein laminin in an interaction that is required for intercellular communication and muscle membrane structural stability.  The Dg-laminin interaction is facilitated by a long carbohydrate chain called an O-mannosyl glycan, which is covalently linked to Dg (Figure 1).   <strong>Figure 1</strong>  Schematic of interaction between Dg and laminin, mediated by the Dg-linked O-mannosyl glycanThe O-mannosyl glycan is added to Dg by a series of enzymes called glycosyltransferases.  The first enzyme in this series, protein O-mannosyltransferase (POMT), attaches D-mannose to the hydroxyl groups of serine and threonine residues in an α-linkage through the anomeric carbon.  The next sugar in the chain then forms a β-1,4 linkage to the mannose residue, followed by several more steps to produce the full glycan.  Genetic inactivation of any of the enzymes in the pathway results in an incomplete glycan and failure to bind laminin, and is the underlying cause of several severe forms of muscular dystrophy known as dystroglycanopathies.Researchers investigating dystroglycanopathies recently discovered the functions of two enzymes in the pathway:  protein O-mannose kinase (POMK) and fukutin.  POMK phosphorylates Dg-linked mannose at carbon 6, and fukutin adds the sugar ribitol 5-phosphate to the glycan chain.  To assess the roles of POMK and fukutin relative to each other, scientists conducted experiments in which lysates from muscle cells deficient in either POMK or fukutin were incubated with <sup>32</sup>P-labeled ATP or <sup>3</sup>H-labeled activated ribitol 5-phosphate.  Combined lysates containing both fukutin and POMK were also tested.  Dg was then purified and detected by autoradiography and western blot using an antibody against Dg, as shown in Figure 2.   <strong>Figure 2</strong>  Autoradiograms and western blots of Dg purified from lysates incubated with <sup>32</sup>P-labeled ATP or <sup>3</sup>H-labeled ribitol 5-phosphate Adapted from Kanagawa M, Kobayashi K, Tajiri M, et al. Identification of a Post-translational Modification with Ribitol-Phosphate and Its Defect in Muscular Dystrophy. Cell Rep. 2016;14(9):2209-23. POMT can use activated D-mannose, but not D-glucose, as a substrate.  D-glucose and D-mannose are:</strong> A)constitutional isomers. B)enantiomers. C)epimers. D)anomers. Figure 1  Schematic of interaction between Dg and laminin, mediated by the Dg-linked O-mannosyl glycanThe O-mannosyl glycan is added to Dg by a series of enzymes called glycosyltransferases.  The first enzyme in this series, protein O-mannosyltransferase (POMT), attaches D-mannose to the hydroxyl groups of serine and threonine residues in an α-linkage through the anomeric carbon.  The next sugar in the chain then forms a β-1,4 linkage to the mannose residue, followed by several more steps to produce the full glycan.  Genetic inactivation of any of the enzymes in the pathway results in an incomplete glycan and failure to bind laminin, and is the underlying cause of several severe forms of muscular dystrophy known as dystroglycanopathies.Researchers investigating dystroglycanopathies recently discovered the functions of two enzymes in the pathway:  protein O-mannose kinase (POMK) and fukutin.  POMK phosphorylates Dg-linked mannose at carbon 6, and fukutin adds the sugar ribitol 5-phosphate to the glycan chain.  To assess the roles of POMK and fukutin relative to each other, scientists conducted experiments in which lysates from muscle cells deficient in either POMK or fukutin were incubated with 32P-labeled ATP or 3H-labeled activated ribitol 5-phosphate.  Combined lysates containing both fukutin and POMK were also tested.  Dg was then purified and detected by autoradiography and western blot using an antibody against Dg, as shown in Figure 2.
<strong>Passage Dystroglycan (Dg) is a transmembrane protein that mediates interactions between the cytoskeleton and the extracellular matrix (ECM).  It binds the ECM protein laminin in an interaction that is required for intercellular communication and muscle membrane structural stability.  The Dg-laminin interaction is facilitated by a long carbohydrate chain called an O-mannosyl glycan, which is covalently linked to Dg (Figure 1).   <strong>Figure 1</strong>  Schematic of interaction between Dg and laminin, mediated by the Dg-linked O-mannosyl glycanThe O-mannosyl glycan is added to Dg by a series of enzymes called glycosyltransferases.  The first enzyme in this series, protein O-mannosyltransferase (POMT), attaches D-mannose to the hydroxyl groups of serine and threonine residues in an α-linkage through the anomeric carbon.  The next sugar in the chain then forms a β-1,4 linkage to the mannose residue, followed by several more steps to produce the full glycan.  Genetic inactivation of any of the enzymes in the pathway results in an incomplete glycan and failure to bind laminin, and is the underlying cause of several severe forms of muscular dystrophy known as dystroglycanopathies.Researchers investigating dystroglycanopathies recently discovered the functions of two enzymes in the pathway:  protein O-mannose kinase (POMK) and fukutin.  POMK phosphorylates Dg-linked mannose at carbon 6, and fukutin adds the sugar ribitol 5-phosphate to the glycan chain.  To assess the roles of POMK and fukutin relative to each other, scientists conducted experiments in which lysates from muscle cells deficient in either POMK or fukutin were incubated with <sup>32</sup>P-labeled ATP or <sup>3</sup>H-labeled activated ribitol 5-phosphate.  Combined lysates containing both fukutin and POMK were also tested.  Dg was then purified and detected by autoradiography and western blot using an antibody against Dg, as shown in Figure 2.   <strong>Figure 2</strong>  Autoradiograms and western blots of Dg purified from lysates incubated with <sup>32</sup>P-labeled ATP or <sup>3</sup>H-labeled ribitol 5-phosphate Adapted from Kanagawa M, Kobayashi K, Tajiri M, et al. Identification of a Post-translational Modification with Ribitol-Phosphate and Its Defect in Muscular Dystrophy. Cell Rep. 2016;14(9):2209-23. POMT can use activated D-mannose, but not D-glucose, as a substrate.  D-glucose and D-mannose are:</strong> A)constitutional isomers. B)enantiomers. C)epimers. D)anomers. Figure 2  Autoradiograms and western blots of Dg purified from lysates incubated with 32P-labeled ATP or 3H-labeled ribitol 5-phosphate
Adapted from Kanagawa M, Kobayashi K, Tajiri M, et al. Identification of a Post-translational Modification with Ribitol-Phosphate and Its Defect in Muscular Dystrophy. Cell Rep. 2016;14(9):2209-23.
POMT can use activated D-mannose, but not D-glucose, as a substrate.  D-glucose and D-mannose are:

A)constitutional isomers.
B)enantiomers.
C)epimers.
D)anomers.
Unlock Deck
Unlock for access to all 307 flashcards in this deck.
Unlock Deck
k this deck
71
Passage
Upon entering muscle cells, glucose is immediately phosphorylated by hexokinase to produce glucose 6-phosphate (G6P).  This phosphorylation event prevents glucose from exiting the cell.  G6P may then enter one of three metabolic pathways, depending on the needs of the cell (Figure 1).
<strong>Passage Upon entering muscle cells, glucose is immediately phosphorylated by hexokinase to produce glucose 6-phosphate (G6P).  This phosphorylation event prevents glucose from exiting the cell.  G6P may then enter one of three metabolic pathways, depending on the needs of the cell (Figure 1).   <strong>Figure 1</strong>  Three potential fates of G6P, determined by the needs of the cellUnder low ATP conditions, G6P enters glycolysis, where it is converted to two pyruvate molecules.  The energy released in this process produces a net total of two ATP molecules per glucose molecule consumed.  The resulting pyruvate molecules can then enter the mitochondria, where they participate in additional metabolic reactions that produce more ATP.When the cell experiences oxidative stress, G6P enters the pentose phosphate pathway (PPP) and produces NADPH, a reducing agent.  During this process, G6P loses one carbon atom in the form of CO<sub>2</sub> and is converted to ribose 5-phosphate (R5P), which is required for nucleotide synthesis.  In addition to low NADPH conditions, G6P may also enter the PPP during replication, when nucleotides are needed for DNA synthesis.  If nucleotides are not needed but energy is, R5P can be converted back to glycolytic intermediates and reenter glycolysis.  Each glucose molecule that is converted to R5P prior to glycolysis yields an average of 1.67 ATP molecules.When all the cell's metabolic requirements are met, additional G6P can enter glycogenesis and produce glycogen, which stores glucose for later use; this process consumes ATP.  When signal molecules bind G protein-coupled receptors on muscle cells, glycogenolysis is activated to release individual monomers from glycogen, allowing them to enter the appropriate pathway. The fact that glycogenolysis in muscle cells is activated by signal molecules binding to G protein-coupled receptors suggests that glycogenolysis can be induced by which of the following?</strong> A)Activation of adenylate cyclase B)Inhibition of glycogen phosphorylase C)Increased blood glucose concentration D)Depletion of cytosolic cAMP Figure 1  Three potential fates of G6P, determined by the needs of the cellUnder low ATP conditions, G6P enters glycolysis, where it is converted to two pyruvate molecules.  The energy released in this process produces a net total of two ATP molecules per glucose molecule consumed.  The resulting pyruvate molecules can then enter the mitochondria, where they participate in additional metabolic reactions that produce more ATP.When the cell experiences oxidative stress, G6P enters the pentose phosphate pathway (PPP) and produces NADPH, a reducing agent.  During this process, G6P loses one carbon atom in the form of CO2 and is converted to ribose 5-phosphate (R5P), which is required for nucleotide synthesis.  In addition to low NADPH conditions, G6P may also enter the PPP during replication, when nucleotides are needed for DNA synthesis.  If nucleotides are not needed but energy is, R5P can be converted back to glycolytic intermediates and reenter glycolysis.  Each glucose molecule that is converted to R5P prior to glycolysis yields an average of 1.67 ATP molecules.When all the cell's metabolic requirements are met, additional G6P can enter glycogenesis and produce glycogen, which stores glucose for later use; this process consumes ATP.  When signal molecules bind G protein-coupled receptors on muscle cells, glycogenolysis is activated to release individual monomers from glycogen, allowing them to enter the appropriate pathway.
The fact that glycogenolysis in muscle cells is activated by signal molecules binding to G protein-coupled receptors suggests that glycogenolysis can be induced by which of the following?

A)Activation of adenylate cyclase
B)Inhibition of glycogen phosphorylase
C)Increased blood glucose concentration
D)Depletion of cytosolic cAMP
Unlock Deck
Unlock for access to all 307 flashcards in this deck.
Unlock Deck
k this deck
72
Passage
Dystroglycan (Dg) is a transmembrane protein that mediates interactions between the cytoskeleton and the extracellular matrix (ECM).  It binds the ECM protein laminin in an interaction that is required for intercellular communication and muscle membrane structural stability.  The Dg-laminin interaction is facilitated by a long carbohydrate chain called an O-mannosyl glycan, which is covalently linked to Dg (Figure 1).
<strong>Passage Dystroglycan (Dg) is a transmembrane protein that mediates interactions between the cytoskeleton and the extracellular matrix (ECM).  It binds the ECM protein laminin in an interaction that is required for intercellular communication and muscle membrane structural stability.  The Dg-laminin interaction is facilitated by a long carbohydrate chain called an O-mannosyl glycan, which is covalently linked to Dg (Figure 1).   <strong>Figure 1</strong>  Schematic of interaction between Dg and laminin, mediated by the Dg-linked O-mannosyl glycanThe O-mannosyl glycan is added to Dg by a series of enzymes called glycosyltransferases.  The first enzyme in this series, protein O-mannosyltransferase (POMT), attaches D-mannose to the hydroxyl groups of serine and threonine residues in an α-linkage through the anomeric carbon.  The next sugar in the chain then forms a β-1,4 linkage to the mannose residue, followed by several more steps to produce the full glycan.  Genetic inactivation of any of the enzymes in the pathway results in an incomplete glycan and failure to bind laminin, and is the underlying cause of several severe forms of muscular dystrophy known as dystroglycanopathies.Researchers investigating dystroglycanopathies recently discovered the functions of two enzymes in the pathway:  protein O-mannose kinase (POMK) and fukutin.  POMK phosphorylates Dg-linked mannose at carbon 6, and fukutin adds the sugar ribitol 5-phosphate to the glycan chain.  To assess the roles of POMK and fukutin relative to each other, scientists conducted experiments in which lysates from muscle cells deficient in either POMK or fukutin were incubated with <sup>32</sup>P-labeled ATP or <sup>3</sup>H-labeled activated ribitol 5-phosphate.  Combined lysates containing both fukutin and POMK were also tested.  Dg was then purified and detected by autoradiography and western blot using an antibody against Dg, as shown in Figure 2.   <strong>Figure 2</strong>  Autoradiograms and western blots of Dg purified from lysates incubated with <sup>32</sup>P-labeled ATP or <sup>3</sup>H-labeled ribitol 5-phosphate Adapted from Kanagawa M, Kobayashi K, Tajiri M, et al. Identification of a Post-translational Modification with Ribitol-Phosphate and Its Defect in Muscular Dystrophy. Cell Rep. 2016;14(9):2209-23. O-linked D-mannose can form a glycosidic bond with any sugar that has a free anomeric carbon. Therefore it could theoretically form a glycosidic bond with all of the following sugars EXCEPT:</strong> A)galactose. B)ribose. C)lactose. D)sucrose. Figure 1  Schematic of interaction between Dg and laminin, mediated by the Dg-linked O-mannosyl glycanThe O-mannosyl glycan is added to Dg by a series of enzymes called glycosyltransferases.  The first enzyme in this series, protein O-mannosyltransferase (POMT), attaches D-mannose to the hydroxyl groups of serine and threonine residues in an α-linkage through the anomeric carbon.  The next sugar in the chain then forms a β-1,4 linkage to the mannose residue, followed by several more steps to produce the full glycan.  Genetic inactivation of any of the enzymes in the pathway results in an incomplete glycan and failure to bind laminin, and is the underlying cause of several severe forms of muscular dystrophy known as dystroglycanopathies.Researchers investigating dystroglycanopathies recently discovered the functions of two enzymes in the pathway:  protein O-mannose kinase (POMK) and fukutin.  POMK phosphorylates Dg-linked mannose at carbon 6, and fukutin adds the sugar ribitol 5-phosphate to the glycan chain.  To assess the roles of POMK and fukutin relative to each other, scientists conducted experiments in which lysates from muscle cells deficient in either POMK or fukutin were incubated with 32P-labeled ATP or 3H-labeled activated ribitol 5-phosphate.  Combined lysates containing both fukutin and POMK were also tested.  Dg was then purified and detected by autoradiography and western blot using an antibody against Dg, as shown in Figure 2.
<strong>Passage Dystroglycan (Dg) is a transmembrane protein that mediates interactions between the cytoskeleton and the extracellular matrix (ECM).  It binds the ECM protein laminin in an interaction that is required for intercellular communication and muscle membrane structural stability.  The Dg-laminin interaction is facilitated by a long carbohydrate chain called an O-mannosyl glycan, which is covalently linked to Dg (Figure 1).   <strong>Figure 1</strong>  Schematic of interaction between Dg and laminin, mediated by the Dg-linked O-mannosyl glycanThe O-mannosyl glycan is added to Dg by a series of enzymes called glycosyltransferases.  The first enzyme in this series, protein O-mannosyltransferase (POMT), attaches D-mannose to the hydroxyl groups of serine and threonine residues in an α-linkage through the anomeric carbon.  The next sugar in the chain then forms a β-1,4 linkage to the mannose residue, followed by several more steps to produce the full glycan.  Genetic inactivation of any of the enzymes in the pathway results in an incomplete glycan and failure to bind laminin, and is the underlying cause of several severe forms of muscular dystrophy known as dystroglycanopathies.Researchers investigating dystroglycanopathies recently discovered the functions of two enzymes in the pathway:  protein O-mannose kinase (POMK) and fukutin.  POMK phosphorylates Dg-linked mannose at carbon 6, and fukutin adds the sugar ribitol 5-phosphate to the glycan chain.  To assess the roles of POMK and fukutin relative to each other, scientists conducted experiments in which lysates from muscle cells deficient in either POMK or fukutin were incubated with <sup>32</sup>P-labeled ATP or <sup>3</sup>H-labeled activated ribitol 5-phosphate.  Combined lysates containing both fukutin and POMK were also tested.  Dg was then purified and detected by autoradiography and western blot using an antibody against Dg, as shown in Figure 2.   <strong>Figure 2</strong>  Autoradiograms and western blots of Dg purified from lysates incubated with <sup>32</sup>P-labeled ATP or <sup>3</sup>H-labeled ribitol 5-phosphate Adapted from Kanagawa M, Kobayashi K, Tajiri M, et al. Identification of a Post-translational Modification with Ribitol-Phosphate and Its Defect in Muscular Dystrophy. Cell Rep. 2016;14(9):2209-23. O-linked D-mannose can form a glycosidic bond with any sugar that has a free anomeric carbon. Therefore it could theoretically form a glycosidic bond with all of the following sugars EXCEPT:</strong> A)galactose. B)ribose. C)lactose. D)sucrose. Figure 2  Autoradiograms and western blots of Dg purified from lysates incubated with 32P-labeled ATP or 3H-labeled ribitol 5-phosphate
Adapted from Kanagawa M, Kobayashi K, Tajiri M, et al. Identification of a Post-translational Modification with Ribitol-Phosphate and Its Defect in Muscular Dystrophy. Cell Rep. 2016;14(9):2209-23.
O-linked D-mannose can form a glycosidic bond with any sugar that has a free anomeric carbon. Therefore it could theoretically form a glycosidic bond with all of the following sugars EXCEPT:

A)galactose.
B)ribose.
C)lactose.
D)sucrose.
Unlock Deck
Unlock for access to all 307 flashcards in this deck.
Unlock Deck
k this deck
73
Passage
Although the structure of the cell membrane has been investigated repeatedly, few studies examine the contribution of its lipid components.  Lipid composition influences the fluidity and permeability of cell membranes in the human body.  Chronic diseases such as atherosclerosis and psoriasis arise from alterations to the lipid composition.Atherosclerosis is caused by the accumulation of cholesterol in the endothelial cells lining the arterial wall.  Cholesterol carried by low-density lipoprotein (LDL) is deposited into cell membranes, where it forms cholesterol crystalline domains (CCDs).  In damaged cells, these CCDs increase membrane permeability and contribute to the formation of cholesterol plaques that can potentially block the artery itself.Omega-3 fatty acids (O3FAs) derived from marine animals may be used to slow the development of atherosclerosis.  Formulations of O3FA contain varying concentrations of eicosapentaenoic acid (EPA) and docosahexaenoic acid (DHA) (Figure 1).  Present research suggests that formulations of O3FA should contain EPA exclusively because it prevents cholesterol from organizing into CCDs.  Nonetheless, atherosclerosis is generally treated by administering drugs referred to as statins, which decrease the free cholesterol in blood plasma by inhibiting the production of a cholesterol precursor.  Statin therapy combined with O3FAs may be used to reduce atherosclerosis in patients with persistent hypertriglyceridemia (high triglyceride plasma levels).
<strong>Passage Although the structure of the cell membrane has been investigated repeatedly, few studies examine the contribution of its lipid components.  Lipid composition influences the fluidity and permeability of cell membranes in the human body.  Chronic diseases such as atherosclerosis and psoriasis arise from alterations to the lipid composition.Atherosclerosis is caused by the accumulation of cholesterol in the endothelial cells lining the arterial wall.  Cholesterol carried by low-density lipoprotein (LDL) is deposited into cell membranes, where it forms cholesterol crystalline domains (CCDs).  In damaged cells, these CCDs increase membrane permeability and contribute to the formation of cholesterol plaques that can potentially block the artery itself.Omega-3 fatty acids (O3FAs) derived from marine animals may be used to slow the development of atherosclerosis.  Formulations of O3FA contain varying concentrations of eicosapentaenoic acid (EPA) and docosahexaenoic acid (DHA) (Figure 1).  Present research suggests that formulations of O3FA should contain EPA exclusively because it prevents cholesterol from organizing into CCDs.  Nonetheless, atherosclerosis is generally treated by administering drugs referred to as statins, which decrease the free cholesterol in blood plasma by inhibiting the production of a cholesterol precursor.  Statin therapy combined with O3FAs may be used to reduce atherosclerosis in patients with persistent hypertriglyceridemia (high triglyceride plasma levels).   <strong>Figure 1</strong>  Organization of membranes in endothelial and epidermal cellsWater loss from the uppermost layer of the epidermis, the stratum corneum (SC), is prevented by specialized lipids called ceramides (cer).  Psoriasis is a skin disease in which the permeability of the SC is compromised due to a significant decrease in the level of ceramides.  The scarcity of ceramides impedes the formation of a lipid matrix called the long periodicity phase (LPP) in the cell membrane.  Increasing the concentration of ceramides such as esterified omega-hydroxyacyl-sphingosine (cer-EOS) has been shown to reduce the permeability of SC cell membranes and may be used to treat psoriasis scabs (Figure 1). Adapted from Mason RP, Jacob RF, Shrivastava S, Sherratt SC, Chattopadhyay A. Eicosapentaenoic acid reduces membrane fluidity, inhibits cholesterol domain formation, and normalizes bilayer width in atherosclerotic-like model membranes. Biochim Biophys Acta. 2016;1858(12):3131-3140. Structural lipids in the cell membrane can be derived directly from dietary sources or from lipase-mediated catabolism.  Which statement correctly describes lipid processing during digestion?</strong> A)All lipids are emulsified, but waxes cannot be hydrolyzed. B)Phospholipids can be hydrolyzed, but only steroids and vitamins are emulsified. C)Triglycerides are hydrolyzed, but only prostaglandins can be emulsified. D)All lipids can be emulsified, and triglycerides and phospholipids are hydrolyzed. Figure 1  Organization of membranes in endothelial and epidermal cellsWater loss from the uppermost layer of the epidermis, the stratum corneum (SC), is prevented by specialized lipids called ceramides (cer).  Psoriasis is a skin disease in which the permeability of the SC is compromised due to a significant decrease in the level of ceramides.  The scarcity of ceramides impedes the formation of a lipid matrix called the long periodicity phase (LPP) in the cell membrane.  Increasing the concentration of ceramides such as esterified omega-hydroxyacyl-sphingosine (cer-EOS) has been shown to reduce the permeability of SC cell membranes and may be used to treat psoriasis scabs (Figure 1).
Adapted from Mason RP, Jacob RF, Shrivastava S, Sherratt SC, Chattopadhyay A. Eicosapentaenoic acid reduces membrane fluidity, inhibits cholesterol domain formation, and normalizes bilayer width in atherosclerotic-like model membranes. Biochim Biophys Acta. 2016;1858(12):3131-3140.
Structural lipids in the cell membrane can be derived directly from dietary sources or from lipase-mediated catabolism.  Which statement correctly describes lipid processing during digestion?

A)All lipids are emulsified, but waxes cannot be hydrolyzed.
B)Phospholipids can be hydrolyzed, but only steroids and vitamins are emulsified.
C)Triglycerides are hydrolyzed, but only prostaglandins can be emulsified.
D)All lipids can be emulsified, and triglycerides and phospholipids are hydrolyzed.
Unlock Deck
Unlock for access to all 307 flashcards in this deck.
Unlock Deck
k this deck
74
Passage
Dystroglycan (Dg) is a transmembrane protein that mediates interactions between the cytoskeleton and the extracellular matrix (ECM).  It binds the ECM protein laminin in an interaction that is required for intercellular communication and muscle membrane structural stability.  The Dg-laminin interaction is facilitated by a long carbohydrate chain called an O-mannosyl glycan, which is covalently linked to Dg (Figure 1).
<strong>Passage Dystroglycan (Dg) is a transmembrane protein that mediates interactions between the cytoskeleton and the extracellular matrix (ECM).  It binds the ECM protein laminin in an interaction that is required for intercellular communication and muscle membrane structural stability.  The Dg-laminin interaction is facilitated by a long carbohydrate chain called an O-mannosyl glycan, which is covalently linked to Dg (Figure 1).   <strong>Figure 1</strong>  Schematic of interaction between Dg and laminin, mediated by the Dg-linked O-mannosyl glycanThe O-mannosyl glycan is added to Dg by a series of enzymes called glycosyltransferases.  The first enzyme in this series, protein O-mannosyltransferase (POMT), attaches D-mannose to the hydroxyl groups of serine and threonine residues in an α-linkage through the anomeric carbon.  The next sugar in the chain then forms a β-1,4 linkage to the mannose residue, followed by several more steps to produce the full glycan.  Genetic inactivation of any of the enzymes in the pathway results in an incomplete glycan and failure to bind laminin, and is the underlying cause of several severe forms of muscular dystrophy known as dystroglycanopathies.Researchers investigating dystroglycanopathies recently discovered the functions of two enzymes in the pathway:  protein O-mannose kinase (POMK) and fukutin.  POMK phosphorylates Dg-linked mannose at carbon 6, and fukutin adds the sugar ribitol 5-phosphate to the glycan chain.  To assess the roles of POMK and fukutin relative to each other, scientists conducted experiments in which lysates from muscle cells deficient in either POMK or fukutin were incubated with <sup>32</sup>P-labeled ATP or <sup>3</sup>H-labeled activated ribitol 5-phosphate.  Combined lysates containing both fukutin and POMK were also tested.  Dg was then purified and detected by autoradiography and western blot using an antibody against Dg, as shown in Figure 2.   <strong>Figure 2</strong>  Autoradiograms and western blots of Dg purified from lysates incubated with <sup>32</sup>P-labeled ATP or <sup>3</sup>H-labeled ribitol 5-phosphate Adapted from Kanagawa M, Kobayashi K, Tajiri M, et al. Identification of a Post-translational Modification with Ribitol-Phosphate and Its Defect in Muscular Dystrophy. Cell Rep. 2016;14(9):2209-23. What was the purpose of the western blot in Figure 2?</strong> A)It confirmed the presence of Dg in all lanes (positive control). B)It showed that the molecular weight of Dg increases when enzymes are absent (dependent variable). C)It demonstrated experimental conditions for each lane (independent variable). D)It showed unmodified Dg (negative control). Figure 1  Schematic of interaction between Dg and laminin, mediated by the Dg-linked O-mannosyl glycanThe O-mannosyl glycan is added to Dg by a series of enzymes called glycosyltransferases.  The first enzyme in this series, protein O-mannosyltransferase (POMT), attaches D-mannose to the hydroxyl groups of serine and threonine residues in an α-linkage through the anomeric carbon.  The next sugar in the chain then forms a β-1,4 linkage to the mannose residue, followed by several more steps to produce the full glycan.  Genetic inactivation of any of the enzymes in the pathway results in an incomplete glycan and failure to bind laminin, and is the underlying cause of several severe forms of muscular dystrophy known as dystroglycanopathies.Researchers investigating dystroglycanopathies recently discovered the functions of two enzymes in the pathway:  protein O-mannose kinase (POMK) and fukutin.  POMK phosphorylates Dg-linked mannose at carbon 6, and fukutin adds the sugar ribitol 5-phosphate to the glycan chain.  To assess the roles of POMK and fukutin relative to each other, scientists conducted experiments in which lysates from muscle cells deficient in either POMK or fukutin were incubated with 32P-labeled ATP or 3H-labeled activated ribitol 5-phosphate.  Combined lysates containing both fukutin and POMK were also tested.  Dg was then purified and detected by autoradiography and western blot using an antibody against Dg, as shown in Figure 2.
<strong>Passage Dystroglycan (Dg) is a transmembrane protein that mediates interactions between the cytoskeleton and the extracellular matrix (ECM).  It binds the ECM protein laminin in an interaction that is required for intercellular communication and muscle membrane structural stability.  The Dg-laminin interaction is facilitated by a long carbohydrate chain called an O-mannosyl glycan, which is covalently linked to Dg (Figure 1).   <strong>Figure 1</strong>  Schematic of interaction between Dg and laminin, mediated by the Dg-linked O-mannosyl glycanThe O-mannosyl glycan is added to Dg by a series of enzymes called glycosyltransferases.  The first enzyme in this series, protein O-mannosyltransferase (POMT), attaches D-mannose to the hydroxyl groups of serine and threonine residues in an α-linkage through the anomeric carbon.  The next sugar in the chain then forms a β-1,4 linkage to the mannose residue, followed by several more steps to produce the full glycan.  Genetic inactivation of any of the enzymes in the pathway results in an incomplete glycan and failure to bind laminin, and is the underlying cause of several severe forms of muscular dystrophy known as dystroglycanopathies.Researchers investigating dystroglycanopathies recently discovered the functions of two enzymes in the pathway:  protein O-mannose kinase (POMK) and fukutin.  POMK phosphorylates Dg-linked mannose at carbon 6, and fukutin adds the sugar ribitol 5-phosphate to the glycan chain.  To assess the roles of POMK and fukutin relative to each other, scientists conducted experiments in which lysates from muscle cells deficient in either POMK or fukutin were incubated with <sup>32</sup>P-labeled ATP or <sup>3</sup>H-labeled activated ribitol 5-phosphate.  Combined lysates containing both fukutin and POMK were also tested.  Dg was then purified and detected by autoradiography and western blot using an antibody against Dg, as shown in Figure 2.   <strong>Figure 2</strong>  Autoradiograms and western blots of Dg purified from lysates incubated with <sup>32</sup>P-labeled ATP or <sup>3</sup>H-labeled ribitol 5-phosphate Adapted from Kanagawa M, Kobayashi K, Tajiri M, et al. Identification of a Post-translational Modification with Ribitol-Phosphate and Its Defect in Muscular Dystrophy. Cell Rep. 2016;14(9):2209-23. What was the purpose of the western blot in Figure 2?</strong> A)It confirmed the presence of Dg in all lanes (positive control). B)It showed that the molecular weight of Dg increases when enzymes are absent (dependent variable). C)It demonstrated experimental conditions for each lane (independent variable). D)It showed unmodified Dg (negative control). Figure 2  Autoradiograms and western blots of Dg purified from lysates incubated with 32P-labeled ATP or 3H-labeled ribitol 5-phosphate
Adapted from Kanagawa M, Kobayashi K, Tajiri M, et al. Identification of a Post-translational Modification with Ribitol-Phosphate and Its Defect in Muscular Dystrophy. Cell Rep. 2016;14(9):2209-23.
What was the purpose of the western blot in Figure 2?

A)It confirmed the presence of Dg in all lanes (positive control).
B)It showed that the molecular weight of Dg increases when enzymes are absent (dependent variable).
C)It demonstrated experimental conditions for each lane (independent variable).
D)It showed unmodified Dg (negative control).
Unlock Deck
Unlock for access to all 307 flashcards in this deck.
Unlock Deck
k this deck
75
Passage
Although the structure of the cell membrane has been investigated repeatedly, few studies examine the contribution of its lipid components.  Lipid composition influences the fluidity and permeability of cell membranes in the human body.  Chronic diseases such as atherosclerosis and psoriasis arise from alterations to the lipid composition.Atherosclerosis is caused by the accumulation of cholesterol in the endothelial cells lining the arterial wall.  Cholesterol carried by low-density lipoprotein (LDL) is deposited into cell membranes, where it forms cholesterol crystalline domains (CCDs).  In damaged cells, these CCDs increase membrane permeability and contribute to the formation of cholesterol plaques that can potentially block the artery itself.Omega-3 fatty acids (O3FAs) derived from marine animals may be used to slow the development of atherosclerosis.  Formulations of O3FA contain varying concentrations of eicosapentaenoic acid (EPA) and docosahexaenoic acid (DHA) (Figure 1).  Present research suggests that formulations of O3FA should contain EPA exclusively because it prevents cholesterol from organizing into CCDs.  Nonetheless, atherosclerosis is generally treated by administering drugs referred to as statins, which decrease the free cholesterol in blood plasma by inhibiting the production of a cholesterol precursor.  Statin therapy combined with O3FAs may be used to reduce atherosclerosis in patients with persistent hypertriglyceridemia (high triglyceride plasma levels).
<strong>Passage Although the structure of the cell membrane has been investigated repeatedly, few studies examine the contribution of its lipid components.  Lipid composition influences the fluidity and permeability of cell membranes in the human body.  Chronic diseases such as atherosclerosis and psoriasis arise from alterations to the lipid composition.Atherosclerosis is caused by the accumulation of cholesterol in the endothelial cells lining the arterial wall.  Cholesterol carried by low-density lipoprotein (LDL) is deposited into cell membranes, where it forms cholesterol crystalline domains (CCDs).  In damaged cells, these CCDs increase membrane permeability and contribute to the formation of cholesterol plaques that can potentially block the artery itself.Omega-3 fatty acids (O3FAs) derived from marine animals may be used to slow the development of atherosclerosis.  Formulations of O3FA contain varying concentrations of eicosapentaenoic acid (EPA) and docosahexaenoic acid (DHA) (Figure 1).  Present research suggests that formulations of O3FA should contain EPA exclusively because it prevents cholesterol from organizing into CCDs.  Nonetheless, atherosclerosis is generally treated by administering drugs referred to as statins, which decrease the free cholesterol in blood plasma by inhibiting the production of a cholesterol precursor.  Statin therapy combined with O3FAs may be used to reduce atherosclerosis in patients with persistent hypertriglyceridemia (high triglyceride plasma levels).   <strong>Figure 1</strong>  Organization of membranes in endothelial and epidermal cellsWater loss from the uppermost layer of the epidermis, the stratum corneum (SC), is prevented by specialized lipids called ceramides (cer).  Psoriasis is a skin disease in which the permeability of the SC is compromised due to a significant decrease in the level of ceramides.  The scarcity of ceramides impedes the formation of a lipid matrix called the long periodicity phase (LPP) in the cell membrane.  Increasing the concentration of ceramides such as esterified omega-hydroxyacyl-sphingosine (cer-EOS) has been shown to reduce the permeability of SC cell membranes and may be used to treat psoriasis scabs (Figure 1). Adapted from Mason RP, Jacob RF, Shrivastava S, Sherratt SC, Chattopadhyay A. Eicosapentaenoic acid reduces membrane fluidity, inhibits cholesterol domain formation, and normalizes bilayer width in atherosclerotic-like model membranes. Biochim Biophys Acta. 2016;1858(12):3131-3140. Individuals undergoing statin therapy would most likely exhibit:</strong> A)high levels of leptin. B)low levels of testosterone. C)low levels of insulin. D)high levels of cortisol. Figure 1  Organization of membranes in endothelial and epidermal cellsWater loss from the uppermost layer of the epidermis, the stratum corneum (SC), is prevented by specialized lipids called ceramides (cer).  Psoriasis is a skin disease in which the permeability of the SC is compromised due to a significant decrease in the level of ceramides.  The scarcity of ceramides impedes the formation of a lipid matrix called the long periodicity phase (LPP) in the cell membrane.  Increasing the concentration of ceramides such as esterified omega-hydroxyacyl-sphingosine (cer-EOS) has been shown to reduce the permeability of SC cell membranes and may be used to treat psoriasis scabs (Figure 1).
Adapted from Mason RP, Jacob RF, Shrivastava S, Sherratt SC, Chattopadhyay A. Eicosapentaenoic acid reduces membrane fluidity, inhibits cholesterol domain formation, and normalizes bilayer width in atherosclerotic-like model membranes. Biochim Biophys Acta. 2016;1858(12):3131-3140.
Individuals undergoing statin therapy would most likely exhibit:

A)high levels of leptin.
B)low levels of testosterone.
C)low levels of insulin.
D)high levels of cortisol.
Unlock Deck
Unlock for access to all 307 flashcards in this deck.
Unlock Deck
k this deck
76
Passage
Although the structure of the cell membrane has been investigated repeatedly, few studies examine the contribution of its lipid components.  Lipid composition influences the fluidity and permeability of cell membranes in the human body.  Chronic diseases such as atherosclerosis and psoriasis arise from alterations to the lipid composition.Atherosclerosis is caused by the accumulation of cholesterol in the endothelial cells lining the arterial wall.  Cholesterol carried by low-density lipoprotein (LDL) is deposited into cell membranes, where it forms cholesterol crystalline domains (CCDs).  In damaged cells, these CCDs increase membrane permeability and contribute to the formation of cholesterol plaques that can potentially block the artery itself.Omega-3 fatty acids (O3FAs) derived from marine animals may be used to slow the development of atherosclerosis.  Formulations of O3FA contain varying concentrations of eicosapentaenoic acid (EPA) and docosahexaenoic acid (DHA) (Figure 1).  Present research suggests that formulations of O3FA should contain EPA exclusively because it prevents cholesterol from organizing into CCDs.  Nonetheless, atherosclerosis is generally treated by administering drugs referred to as statins, which decrease the free cholesterol in blood plasma by inhibiting the production of a cholesterol precursor.  Statin therapy combined with O3FAs may be used to reduce atherosclerosis in patients with persistent hypertriglyceridemia (high triglyceride plasma levels).
<strong>Passage Although the structure of the cell membrane has been investigated repeatedly, few studies examine the contribution of its lipid components.  Lipid composition influences the fluidity and permeability of cell membranes in the human body.  Chronic diseases such as atherosclerosis and psoriasis arise from alterations to the lipid composition.Atherosclerosis is caused by the accumulation of cholesterol in the endothelial cells lining the arterial wall.  Cholesterol carried by low-density lipoprotein (LDL) is deposited into cell membranes, where it forms cholesterol crystalline domains (CCDs).  In damaged cells, these CCDs increase membrane permeability and contribute to the formation of cholesterol plaques that can potentially block the artery itself.Omega-3 fatty acids (O3FAs) derived from marine animals may be used to slow the development of atherosclerosis.  Formulations of O3FA contain varying concentrations of eicosapentaenoic acid (EPA) and docosahexaenoic acid (DHA) (Figure 1).  Present research suggests that formulations of O3FA should contain EPA exclusively because it prevents cholesterol from organizing into CCDs.  Nonetheless, atherosclerosis is generally treated by administering drugs referred to as statins, which decrease the free cholesterol in blood plasma by inhibiting the production of a cholesterol precursor.  Statin therapy combined with O3FAs may be used to reduce atherosclerosis in patients with persistent hypertriglyceridemia (high triglyceride plasma levels).   <strong>Figure 1</strong>  Organization of membranes in endothelial and epidermal cellsWater loss from the uppermost layer of the epidermis, the stratum corneum (SC), is prevented by specialized lipids called ceramides (cer).  Psoriasis is a skin disease in which the permeability of the SC is compromised due to a significant decrease in the level of ceramides.  The scarcity of ceramides impedes the formation of a lipid matrix called the long periodicity phase (LPP) in the cell membrane.  Increasing the concentration of ceramides such as esterified omega-hydroxyacyl-sphingosine (cer-EOS) has been shown to reduce the permeability of SC cell membranes and may be used to treat psoriasis scabs (Figure 1). Adapted from Mason RP, Jacob RF, Shrivastava S, Sherratt SC, Chattopadhyay A. Eicosapentaenoic acid reduces membrane fluidity, inhibits cholesterol domain formation, and normalizes bilayer width in atherosclerotic-like model membranes. Biochim Biophys Acta. 2016;1858(12):3131-3140. Prolonged starvation in patients diagnosed with hypertriglyceridemia would most likely promote:</strong> A)the accumulation of glycerol in the bloodstream. B)the utilization of ketone bodies by the brain. C)the production of glycogen stores in the liver. D)the synthesis of amino acids in the liver. Figure 1  Organization of membranes in endothelial and epidermal cellsWater loss from the uppermost layer of the epidermis, the stratum corneum (SC), is prevented by specialized lipids called ceramides (cer).  Psoriasis is a skin disease in which the permeability of the SC is compromised due to a significant decrease in the level of ceramides.  The scarcity of ceramides impedes the formation of a lipid matrix called the long periodicity phase (LPP) in the cell membrane.  Increasing the concentration of ceramides such as esterified omega-hydroxyacyl-sphingosine (cer-EOS) has been shown to reduce the permeability of SC cell membranes and may be used to treat psoriasis scabs (Figure 1).
Adapted from Mason RP, Jacob RF, Shrivastava S, Sherratt SC, Chattopadhyay A. Eicosapentaenoic acid reduces membrane fluidity, inhibits cholesterol domain formation, and normalizes bilayer width in atherosclerotic-like model membranes. Biochim Biophys Acta. 2016;1858(12):3131-3140.
Prolonged starvation in patients diagnosed with hypertriglyceridemia would most likely promote:

A)the accumulation of glycerol in the bloodstream.
B)the utilization of ketone bodies by the brain.
C)the production of glycogen stores in the liver.
D)the synthesis of amino acids in the liver.
Unlock Deck
Unlock for access to all 307 flashcards in this deck.
Unlock Deck
k this deck
77
Passage
Upon entering muscle cells, glucose is immediately phosphorylated by hexokinase to produce glucose 6-phosphate (G6P).  This phosphorylation event prevents glucose from exiting the cell.  G6P may then enter one of three metabolic pathways, depending on the needs of the cell (Figure 1).
<strong>Passage Upon entering muscle cells, glucose is immediately phosphorylated by hexokinase to produce glucose 6-phosphate (G6P).  This phosphorylation event prevents glucose from exiting the cell.  G6P may then enter one of three metabolic pathways, depending on the needs of the cell (Figure 1).   <strong>Figure 1</strong>  Three potential fates of G6P, determined by the needs of the cellUnder low ATP conditions, G6P enters glycolysis, where it is converted to two pyruvate molecules.  The energy released in this process produces a net total of two ATP molecules per glucose molecule consumed.  The resulting pyruvate molecules can then enter the mitochondria, where they participate in additional metabolic reactions that produce more ATP.When the cell experiences oxidative stress, G6P enters the pentose phosphate pathway (PPP) and produces NADPH, a reducing agent.  During this process, G6P loses one carbon atom in the form of CO<sub>2</sub> and is converted to ribose 5-phosphate (R5P), which is required for nucleotide synthesis.  In addition to low NADPH conditions, G6P may also enter the PPP during replication, when nucleotides are needed for DNA synthesis.  If nucleotides are not needed but energy is, R5P can be converted back to glycolytic intermediates and reenter glycolysis.  Each glucose molecule that is converted to R5P prior to glycolysis yields an average of 1.67 ATP molecules.When all the cell's metabolic requirements are met, additional G6P can enter glycogenesis and produce glycogen, which stores glucose for later use; this process consumes ATP.  When signal molecules bind G protein-coupled receptors on muscle cells, glycogenolysis is activated to release individual monomers from glycogen, allowing them to enter the appropriate pathway. When the cell is in need of glucose, glycogenolysis is upregulated, beginning with the activation of glycogen phosphorylase.  Glycogen phosphorylase catalyzes the production of which of the following molecules?</strong> A)UDP-glucose B)UDP-galactose C)Glucose 1-phosphate D)Glucose 6-phosphate Figure 1  Three potential fates of G6P, determined by the needs of the cellUnder low ATP conditions, G6P enters glycolysis, where it is converted to two pyruvate molecules.  The energy released in this process produces a net total of two ATP molecules per glucose molecule consumed.  The resulting pyruvate molecules can then enter the mitochondria, where they participate in additional metabolic reactions that produce more ATP.When the cell experiences oxidative stress, G6P enters the pentose phosphate pathway (PPP) and produces NADPH, a reducing agent.  During this process, G6P loses one carbon atom in the form of CO2 and is converted to ribose 5-phosphate (R5P), which is required for nucleotide synthesis.  In addition to low NADPH conditions, G6P may also enter the PPP during replication, when nucleotides are needed for DNA synthesis.  If nucleotides are not needed but energy is, R5P can be converted back to glycolytic intermediates and reenter glycolysis.  Each glucose molecule that is converted to R5P prior to glycolysis yields an average of 1.67 ATP molecules.When all the cell's metabolic requirements are met, additional G6P can enter glycogenesis and produce glycogen, which stores glucose for later use; this process consumes ATP.  When signal molecules bind G protein-coupled receptors on muscle cells, glycogenolysis is activated to release individual monomers from glycogen, allowing them to enter the appropriate pathway.
When the cell is in need of glucose, glycogenolysis is upregulated, beginning with the activation of glycogen phosphorylase.  Glycogen phosphorylase catalyzes the production of which of the following molecules?

A)UDP-glucose
B)UDP-galactose
C)Glucose 1-phosphate
D)Glucose 6-phosphate
Unlock Deck
Unlock for access to all 307 flashcards in this deck.
Unlock Deck
k this deck
78
Passage
Although the structure of the cell membrane has been investigated repeatedly, few studies examine the contribution of its lipid components.  Lipid composition influences the fluidity and permeability of cell membranes in the human body.  Chronic diseases such as atherosclerosis and psoriasis arise from alterations to the lipid composition.Atherosclerosis is caused by the accumulation of cholesterol in the endothelial cells lining the arterial wall.  Cholesterol carried by low-density lipoprotein (LDL) is deposited into cell membranes, where it forms cholesterol crystalline domains (CCDs).  In damaged cells, these CCDs increase membrane permeability and contribute to the formation of cholesterol plaques that can potentially block the artery itself.Omega-3 fatty acids (O3FAs) derived from marine animals may be used to slow the development of atherosclerosis.  Formulations of O3FA contain varying concentrations of eicosapentaenoic acid (EPA) and docosahexaenoic acid (DHA) (Figure 1).  Present research suggests that formulations of O3FA should contain EPA exclusively because it prevents cholesterol from organizing into CCDs.  Nonetheless, atherosclerosis is generally treated by administering drugs referred to as statins, which decrease the free cholesterol in blood plasma by inhibiting the production of a cholesterol precursor.  Statin therapy combined with O3FAs may be used to reduce atherosclerosis in patients with persistent hypertriglyceridemia (high triglyceride plasma levels).
<strong>Passage Although the structure of the cell membrane has been investigated repeatedly, few studies examine the contribution of its lipid components.  Lipid composition influences the fluidity and permeability of cell membranes in the human body.  Chronic diseases such as atherosclerosis and psoriasis arise from alterations to the lipid composition.Atherosclerosis is caused by the accumulation of cholesterol in the endothelial cells lining the arterial wall.  Cholesterol carried by low-density lipoprotein (LDL) is deposited into cell membranes, where it forms cholesterol crystalline domains (CCDs).  In damaged cells, these CCDs increase membrane permeability and contribute to the formation of cholesterol plaques that can potentially block the artery itself.Omega-3 fatty acids (O3FAs) derived from marine animals may be used to slow the development of atherosclerosis.  Formulations of O3FA contain varying concentrations of eicosapentaenoic acid (EPA) and docosahexaenoic acid (DHA) (Figure 1).  Present research suggests that formulations of O3FA should contain EPA exclusively because it prevents cholesterol from organizing into CCDs.  Nonetheless, atherosclerosis is generally treated by administering drugs referred to as statins, which decrease the free cholesterol in blood plasma by inhibiting the production of a cholesterol precursor.  Statin therapy combined with O3FAs may be used to reduce atherosclerosis in patients with persistent hypertriglyceridemia (high triglyceride plasma levels).   <strong>Figure 1</strong>  Organization of membranes in endothelial and epidermal cellsWater loss from the uppermost layer of the epidermis, the stratum corneum (SC), is prevented by specialized lipids called ceramides (cer).  Psoriasis is a skin disease in which the permeability of the SC is compromised due to a significant decrease in the level of ceramides.  The scarcity of ceramides impedes the formation of a lipid matrix called the long periodicity phase (LPP) in the cell membrane.  Increasing the concentration of ceramides such as esterified omega-hydroxyacyl-sphingosine (cer-EOS) has been shown to reduce the permeability of SC cell membranes and may be used to treat psoriasis scabs (Figure 1). Adapted from Mason RP, Jacob RF, Shrivastava S, Sherratt SC, Chattopadhyay A. Eicosapentaenoic acid reduces membrane fluidity, inhibits cholesterol domain formation, and normalizes bilayer width in atherosclerotic-like model membranes. Biochim Biophys Acta. 2016;1858(12):3131-3140. Based on the passage, individuals with atherosclerosis or psoriasis would benefit from therapies that result in which of the following changes, respectively?</strong> A)A decrease in LDL or a decrease in ceramides B)A decrease in glycolipids or an increase in cholesterol C)An increase in free fatty acids or an increase in sphingolipids D)An increase in terpenes or a decrease in saturated lipids Figure 1  Organization of membranes in endothelial and epidermal cellsWater loss from the uppermost layer of the epidermis, the stratum corneum (SC), is prevented by specialized lipids called ceramides (cer).  Psoriasis is a skin disease in which the permeability of the SC is compromised due to a significant decrease in the level of ceramides.  The scarcity of ceramides impedes the formation of a lipid matrix called the long periodicity phase (LPP) in the cell membrane.  Increasing the concentration of ceramides such as esterified omega-hydroxyacyl-sphingosine (cer-EOS) has been shown to reduce the permeability of SC cell membranes and may be used to treat psoriasis scabs (Figure 1).
Adapted from Mason RP, Jacob RF, Shrivastava S, Sherratt SC, Chattopadhyay A. Eicosapentaenoic acid reduces membrane fluidity, inhibits cholesterol domain formation, and normalizes bilayer width in atherosclerotic-like model membranes. Biochim Biophys Acta. 2016;1858(12):3131-3140.
Based on the passage, individuals with atherosclerosis or psoriasis would benefit from therapies that result in which of the following changes, respectively?

A)A decrease in LDL or a decrease in ceramides
B)A decrease in glycolipids or an increase in cholesterol
C)An increase in free fatty acids or an increase in sphingolipids
D)An increase in terpenes or a decrease in saturated lipids
Unlock Deck
Unlock for access to all 307 flashcards in this deck.
Unlock Deck
k this deck
79
Passage
Dystroglycan (Dg) is a transmembrane protein that mediates interactions between the cytoskeleton and the extracellular matrix (ECM).  It binds the ECM protein laminin in an interaction that is required for intercellular communication and muscle membrane structural stability.  The Dg-laminin interaction is facilitated by a long carbohydrate chain called an O-mannosyl glycan, which is covalently linked to Dg (Figure 1).
<strong>Passage Dystroglycan (Dg) is a transmembrane protein that mediates interactions between the cytoskeleton and the extracellular matrix (ECM).  It binds the ECM protein laminin in an interaction that is required for intercellular communication and muscle membrane structural stability.  The Dg-laminin interaction is facilitated by a long carbohydrate chain called an O-mannosyl glycan, which is covalently linked to Dg (Figure 1).   <strong>Figure 1</strong>  Schematic of interaction between Dg and laminin, mediated by the Dg-linked O-mannosyl glycanThe O-mannosyl glycan is added to Dg by a series of enzymes called glycosyltransferases.  The first enzyme in this series, protein O-mannosyltransferase (POMT), attaches D-mannose to the hydroxyl groups of serine and threonine residues in an α-linkage through the anomeric carbon.  The next sugar in the chain then forms a β-1,4 linkage to the mannose residue, followed by several more steps to produce the full glycan.  Genetic inactivation of any of the enzymes in the pathway results in an incomplete glycan and failure to bind laminin, and is the underlying cause of several severe forms of muscular dystrophy known as dystroglycanopathies.Researchers investigating dystroglycanopathies recently discovered the functions of two enzymes in the pathway:  protein O-mannose kinase (POMK) and fukutin.  POMK phosphorylates Dg-linked mannose at carbon 6, and fukutin adds the sugar ribitol 5-phosphate to the glycan chain.  To assess the roles of POMK and fukutin relative to each other, scientists conducted experiments in which lysates from muscle cells deficient in either POMK or fukutin were incubated with <sup>32</sup>P-labeled ATP or <sup>3</sup>H-labeled activated ribitol 5-phosphate.  Combined lysates containing both fukutin and POMK were also tested.  Dg was then purified and detected by autoradiography and western blot using an antibody against Dg, as shown in Figure 2.   <strong>Figure 2</strong>  Autoradiograms and western blots of Dg purified from lysates incubated with <sup>32</sup>P-labeled ATP or <sup>3</sup>H-labeled ribitol 5-phosphate Adapted from Kanagawa M, Kobayashi K, Tajiri M, et al. Identification of a Post-translational Modification with Ribitol-Phosphate and Its Defect in Muscular Dystrophy. Cell Rep. 2016;14(9):2209-23. Which of the following structures could represent the completed O-mannosyl glycan?</strong> A)   B)   C)   D)   Figure 1  Schematic of interaction between Dg and laminin, mediated by the Dg-linked O-mannosyl glycanThe O-mannosyl glycan is added to Dg by a series of enzymes called glycosyltransferases.  The first enzyme in this series, protein O-mannosyltransferase (POMT), attaches D-mannose to the hydroxyl groups of serine and threonine residues in an α-linkage through the anomeric carbon.  The next sugar in the chain then forms a β-1,4 linkage to the mannose residue, followed by several more steps to produce the full glycan.  Genetic inactivation of any of the enzymes in the pathway results in an incomplete glycan and failure to bind laminin, and is the underlying cause of several severe forms of muscular dystrophy known as dystroglycanopathies.Researchers investigating dystroglycanopathies recently discovered the functions of two enzymes in the pathway:  protein O-mannose kinase (POMK) and fukutin.  POMK phosphorylates Dg-linked mannose at carbon 6, and fukutin adds the sugar ribitol 5-phosphate to the glycan chain.  To assess the roles of POMK and fukutin relative to each other, scientists conducted experiments in which lysates from muscle cells deficient in either POMK or fukutin were incubated with 32P-labeled ATP or 3H-labeled activated ribitol 5-phosphate.  Combined lysates containing both fukutin and POMK were also tested.  Dg was then purified and detected by autoradiography and western blot using an antibody against Dg, as shown in Figure 2.
<strong>Passage Dystroglycan (Dg) is a transmembrane protein that mediates interactions between the cytoskeleton and the extracellular matrix (ECM).  It binds the ECM protein laminin in an interaction that is required for intercellular communication and muscle membrane structural stability.  The Dg-laminin interaction is facilitated by a long carbohydrate chain called an O-mannosyl glycan, which is covalently linked to Dg (Figure 1).   <strong>Figure 1</strong>  Schematic of interaction between Dg and laminin, mediated by the Dg-linked O-mannosyl glycanThe O-mannosyl glycan is added to Dg by a series of enzymes called glycosyltransferases.  The first enzyme in this series, protein O-mannosyltransferase (POMT), attaches D-mannose to the hydroxyl groups of serine and threonine residues in an α-linkage through the anomeric carbon.  The next sugar in the chain then forms a β-1,4 linkage to the mannose residue, followed by several more steps to produce the full glycan.  Genetic inactivation of any of the enzymes in the pathway results in an incomplete glycan and failure to bind laminin, and is the underlying cause of several severe forms of muscular dystrophy known as dystroglycanopathies.Researchers investigating dystroglycanopathies recently discovered the functions of two enzymes in the pathway:  protein O-mannose kinase (POMK) and fukutin.  POMK phosphorylates Dg-linked mannose at carbon 6, and fukutin adds the sugar ribitol 5-phosphate to the glycan chain.  To assess the roles of POMK and fukutin relative to each other, scientists conducted experiments in which lysates from muscle cells deficient in either POMK or fukutin were incubated with <sup>32</sup>P-labeled ATP or <sup>3</sup>H-labeled activated ribitol 5-phosphate.  Combined lysates containing both fukutin and POMK were also tested.  Dg was then purified and detected by autoradiography and western blot using an antibody against Dg, as shown in Figure 2.   <strong>Figure 2</strong>  Autoradiograms and western blots of Dg purified from lysates incubated with <sup>32</sup>P-labeled ATP or <sup>3</sup>H-labeled ribitol 5-phosphate Adapted from Kanagawa M, Kobayashi K, Tajiri M, et al. Identification of a Post-translational Modification with Ribitol-Phosphate and Its Defect in Muscular Dystrophy. Cell Rep. 2016;14(9):2209-23. Which of the following structures could represent the completed O-mannosyl glycan?</strong> A)   B)   C)   D)   Figure 2  Autoradiograms and western blots of Dg purified from lysates incubated with 32P-labeled ATP or 3H-labeled ribitol 5-phosphate
Adapted from Kanagawa M, Kobayashi K, Tajiri M, et al. Identification of a Post-translational Modification with Ribitol-Phosphate and Its Defect in Muscular Dystrophy. Cell Rep. 2016;14(9):2209-23.
Which of the following structures could represent the completed O-mannosyl glycan?

A) <strong>Passage Dystroglycan (Dg) is a transmembrane protein that mediates interactions between the cytoskeleton and the extracellular matrix (ECM).  It binds the ECM protein laminin in an interaction that is required for intercellular communication and muscle membrane structural stability.  The Dg-laminin interaction is facilitated by a long carbohydrate chain called an O-mannosyl glycan, which is covalently linked to Dg (Figure 1).   <strong>Figure 1</strong>  Schematic of interaction between Dg and laminin, mediated by the Dg-linked O-mannosyl glycanThe O-mannosyl glycan is added to Dg by a series of enzymes called glycosyltransferases.  The first enzyme in this series, protein O-mannosyltransferase (POMT), attaches D-mannose to the hydroxyl groups of serine and threonine residues in an α-linkage through the anomeric carbon.  The next sugar in the chain then forms a β-1,4 linkage to the mannose residue, followed by several more steps to produce the full glycan.  Genetic inactivation of any of the enzymes in the pathway results in an incomplete glycan and failure to bind laminin, and is the underlying cause of several severe forms of muscular dystrophy known as dystroglycanopathies.Researchers investigating dystroglycanopathies recently discovered the functions of two enzymes in the pathway:  protein O-mannose kinase (POMK) and fukutin.  POMK phosphorylates Dg-linked mannose at carbon 6, and fukutin adds the sugar ribitol 5-phosphate to the glycan chain.  To assess the roles of POMK and fukutin relative to each other, scientists conducted experiments in which lysates from muscle cells deficient in either POMK or fukutin were incubated with <sup>32</sup>P-labeled ATP or <sup>3</sup>H-labeled activated ribitol 5-phosphate.  Combined lysates containing both fukutin and POMK were also tested.  Dg was then purified and detected by autoradiography and western blot using an antibody against Dg, as shown in Figure 2.   <strong>Figure 2</strong>  Autoradiograms and western blots of Dg purified from lysates incubated with <sup>32</sup>P-labeled ATP or <sup>3</sup>H-labeled ribitol 5-phosphate Adapted from Kanagawa M, Kobayashi K, Tajiri M, et al. Identification of a Post-translational Modification with Ribitol-Phosphate and Its Defect in Muscular Dystrophy. Cell Rep. 2016;14(9):2209-23. Which of the following structures could represent the completed O-mannosyl glycan?</strong> A)   B)   C)   D)
B) <strong>Passage Dystroglycan (Dg) is a transmembrane protein that mediates interactions between the cytoskeleton and the extracellular matrix (ECM).  It binds the ECM protein laminin in an interaction that is required for intercellular communication and muscle membrane structural stability.  The Dg-laminin interaction is facilitated by a long carbohydrate chain called an O-mannosyl glycan, which is covalently linked to Dg (Figure 1).   <strong>Figure 1</strong>  Schematic of interaction between Dg and laminin, mediated by the Dg-linked O-mannosyl glycanThe O-mannosyl glycan is added to Dg by a series of enzymes called glycosyltransferases.  The first enzyme in this series, protein O-mannosyltransferase (POMT), attaches D-mannose to the hydroxyl groups of serine and threonine residues in an α-linkage through the anomeric carbon.  The next sugar in the chain then forms a β-1,4 linkage to the mannose residue, followed by several more steps to produce the full glycan.  Genetic inactivation of any of the enzymes in the pathway results in an incomplete glycan and failure to bind laminin, and is the underlying cause of several severe forms of muscular dystrophy known as dystroglycanopathies.Researchers investigating dystroglycanopathies recently discovered the functions of two enzymes in the pathway:  protein O-mannose kinase (POMK) and fukutin.  POMK phosphorylates Dg-linked mannose at carbon 6, and fukutin adds the sugar ribitol 5-phosphate to the glycan chain.  To assess the roles of POMK and fukutin relative to each other, scientists conducted experiments in which lysates from muscle cells deficient in either POMK or fukutin were incubated with <sup>32</sup>P-labeled ATP or <sup>3</sup>H-labeled activated ribitol 5-phosphate.  Combined lysates containing both fukutin and POMK were also tested.  Dg was then purified and detected by autoradiography and western blot using an antibody against Dg, as shown in Figure 2.   <strong>Figure 2</strong>  Autoradiograms and western blots of Dg purified from lysates incubated with <sup>32</sup>P-labeled ATP or <sup>3</sup>H-labeled ribitol 5-phosphate Adapted from Kanagawa M, Kobayashi K, Tajiri M, et al. Identification of a Post-translational Modification with Ribitol-Phosphate and Its Defect in Muscular Dystrophy. Cell Rep. 2016;14(9):2209-23. Which of the following structures could represent the completed O-mannosyl glycan?</strong> A)   B)   C)   D)
C) <strong>Passage Dystroglycan (Dg) is a transmembrane protein that mediates interactions between the cytoskeleton and the extracellular matrix (ECM).  It binds the ECM protein laminin in an interaction that is required for intercellular communication and muscle membrane structural stability.  The Dg-laminin interaction is facilitated by a long carbohydrate chain called an O-mannosyl glycan, which is covalently linked to Dg (Figure 1).   <strong>Figure 1</strong>  Schematic of interaction between Dg and laminin, mediated by the Dg-linked O-mannosyl glycanThe O-mannosyl glycan is added to Dg by a series of enzymes called glycosyltransferases.  The first enzyme in this series, protein O-mannosyltransferase (POMT), attaches D-mannose to the hydroxyl groups of serine and threonine residues in an α-linkage through the anomeric carbon.  The next sugar in the chain then forms a β-1,4 linkage to the mannose residue, followed by several more steps to produce the full glycan.  Genetic inactivation of any of the enzymes in the pathway results in an incomplete glycan and failure to bind laminin, and is the underlying cause of several severe forms of muscular dystrophy known as dystroglycanopathies.Researchers investigating dystroglycanopathies recently discovered the functions of two enzymes in the pathway:  protein O-mannose kinase (POMK) and fukutin.  POMK phosphorylates Dg-linked mannose at carbon 6, and fukutin adds the sugar ribitol 5-phosphate to the glycan chain.  To assess the roles of POMK and fukutin relative to each other, scientists conducted experiments in which lysates from muscle cells deficient in either POMK or fukutin were incubated with <sup>32</sup>P-labeled ATP or <sup>3</sup>H-labeled activated ribitol 5-phosphate.  Combined lysates containing both fukutin and POMK were also tested.  Dg was then purified and detected by autoradiography and western blot using an antibody against Dg, as shown in Figure 2.   <strong>Figure 2</strong>  Autoradiograms and western blots of Dg purified from lysates incubated with <sup>32</sup>P-labeled ATP or <sup>3</sup>H-labeled ribitol 5-phosphate Adapted from Kanagawa M, Kobayashi K, Tajiri M, et al. Identification of a Post-translational Modification with Ribitol-Phosphate and Its Defect in Muscular Dystrophy. Cell Rep. 2016;14(9):2209-23. Which of the following structures could represent the completed O-mannosyl glycan?</strong> A)   B)   C)   D)
D) <strong>Passage Dystroglycan (Dg) is a transmembrane protein that mediates interactions between the cytoskeleton and the extracellular matrix (ECM).  It binds the ECM protein laminin in an interaction that is required for intercellular communication and muscle membrane structural stability.  The Dg-laminin interaction is facilitated by a long carbohydrate chain called an O-mannosyl glycan, which is covalently linked to Dg (Figure 1).   <strong>Figure 1</strong>  Schematic of interaction between Dg and laminin, mediated by the Dg-linked O-mannosyl glycanThe O-mannosyl glycan is added to Dg by a series of enzymes called glycosyltransferases.  The first enzyme in this series, protein O-mannosyltransferase (POMT), attaches D-mannose to the hydroxyl groups of serine and threonine residues in an α-linkage through the anomeric carbon.  The next sugar in the chain then forms a β-1,4 linkage to the mannose residue, followed by several more steps to produce the full glycan.  Genetic inactivation of any of the enzymes in the pathway results in an incomplete glycan and failure to bind laminin, and is the underlying cause of several severe forms of muscular dystrophy known as dystroglycanopathies.Researchers investigating dystroglycanopathies recently discovered the functions of two enzymes in the pathway:  protein O-mannose kinase (POMK) and fukutin.  POMK phosphorylates Dg-linked mannose at carbon 6, and fukutin adds the sugar ribitol 5-phosphate to the glycan chain.  To assess the roles of POMK and fukutin relative to each other, scientists conducted experiments in which lysates from muscle cells deficient in either POMK or fukutin were incubated with <sup>32</sup>P-labeled ATP or <sup>3</sup>H-labeled activated ribitol 5-phosphate.  Combined lysates containing both fukutin and POMK were also tested.  Dg was then purified and detected by autoradiography and western blot using an antibody against Dg, as shown in Figure 2.   <strong>Figure 2</strong>  Autoradiograms and western blots of Dg purified from lysates incubated with <sup>32</sup>P-labeled ATP or <sup>3</sup>H-labeled ribitol 5-phosphate Adapted from Kanagawa M, Kobayashi K, Tajiri M, et al. Identification of a Post-translational Modification with Ribitol-Phosphate and Its Defect in Muscular Dystrophy. Cell Rep. 2016;14(9):2209-23. Which of the following structures could represent the completed O-mannosyl glycan?</strong> A)   B)   C)   D)
Unlock Deck
Unlock for access to all 307 flashcards in this deck.
Unlock Deck
k this deck
80
Passage
Upon entering muscle cells, glucose is immediately phosphorylated by hexokinase to produce glucose 6-phosphate (G6P).  This phosphorylation event prevents glucose from exiting the cell.  G6P may then enter one of three metabolic pathways, depending on the needs of the cell (Figure 1).
<strong>Passage Upon entering muscle cells, glucose is immediately phosphorylated by hexokinase to produce glucose 6-phosphate (G6P).  This phosphorylation event prevents glucose from exiting the cell.  G6P may then enter one of three metabolic pathways, depending on the needs of the cell (Figure 1).   <strong>Figure 1</strong>  Three potential fates of G6P, determined by the needs of the cellUnder low ATP conditions, G6P enters glycolysis, where it is converted to two pyruvate molecules.  The energy released in this process produces a net total of two ATP molecules per glucose molecule consumed.  The resulting pyruvate molecules can then enter the mitochondria, where they participate in additional metabolic reactions that produce more ATP.When the cell experiences oxidative stress, G6P enters the pentose phosphate pathway (PPP) and produces NADPH, a reducing agent.  During this process, G6P loses one carbon atom in the form of CO<sub>2</sub> and is converted to ribose 5-phosphate (R5P), which is required for nucleotide synthesis.  In addition to low NADPH conditions, G6P may also enter the PPP during replication, when nucleotides are needed for DNA synthesis.  If nucleotides are not needed but energy is, R5P can be converted back to glycolytic intermediates and reenter glycolysis.  Each glucose molecule that is converted to R5P prior to glycolysis yields an average of 1.67 ATP molecules.When all the cell's metabolic requirements are met, additional G6P can enter glycogenesis and produce glycogen, which stores glucose for later use; this process consumes ATP.  When signal molecules bind G protein-coupled receptors on muscle cells, glycogenolysis is activated to release individual monomers from glycogen, allowing them to enter the appropriate pathway. Under low ATP conditions, which of the following enzymes would be LEAST beneficial to the cell?</strong> A)Aldolase B)Enolase C)Glyceraldehyde 3-phosphate dehydrogenase D)6-Phosphogluconate dehydrogenase Figure 1  Three potential fates of G6P, determined by the needs of the cellUnder low ATP conditions, G6P enters glycolysis, where it is converted to two pyruvate molecules.  The energy released in this process produces a net total of two ATP molecules per glucose molecule consumed.  The resulting pyruvate molecules can then enter the mitochondria, where they participate in additional metabolic reactions that produce more ATP.When the cell experiences oxidative stress, G6P enters the pentose phosphate pathway (PPP) and produces NADPH, a reducing agent.  During this process, G6P loses one carbon atom in the form of CO2 and is converted to ribose 5-phosphate (R5P), which is required for nucleotide synthesis.  In addition to low NADPH conditions, G6P may also enter the PPP during replication, when nucleotides are needed for DNA synthesis.  If nucleotides are not needed but energy is, R5P can be converted back to glycolytic intermediates and reenter glycolysis.  Each glucose molecule that is converted to R5P prior to glycolysis yields an average of 1.67 ATP molecules.When all the cell's metabolic requirements are met, additional G6P can enter glycogenesis and produce glycogen, which stores glucose for later use; this process consumes ATP.  When signal molecules bind G protein-coupled receptors on muscle cells, glycogenolysis is activated to release individual monomers from glycogen, allowing them to enter the appropriate pathway.
Under low ATP conditions, which of the following enzymes would be LEAST beneficial to the cell?

A)Aldolase
B)Enolase
C)Glyceraldehyde 3-phosphate dehydrogenase
D)6-Phosphogluconate dehydrogenase
Unlock Deck
Unlock for access to all 307 flashcards in this deck.
Unlock Deck
k this deck
locked card icon
Unlock Deck
Unlock for access to all 307 flashcards in this deck.