Deck 22: The Chemistry of Enolate Ions, Enols, and Α,β-Unsaturated Carbonyl Compounds
Question
Question
Question
Question
Question
Question
Question
Question
Question
Question
Question
Question
Question
Question
Question
Question
Question
Question
Question
Question
Question
Question
Question
Question
Question
Unlock Deck
Sign up to unlock the cards in this deck!
Unlock Deck
Unlock Deck
1/25
Play
Full screen (f)
Deck 22: The Chemistry of Enolate Ions, Enols, and Α,β-Unsaturated Carbonyl Compounds
1
Give both enolates formed from deprotonation of the given ketone with base and draw a curved-arrow mechanism to show how they are formed.


The enolate is formed by deprotonation of an alpha carbon. There is only one alpha proton that can be deprotonated since the other alpha proton is vinyl. Deprotonation forms a carbanion whose electrons can be delocalized to the oxygen to form the other enolate.


2
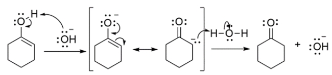
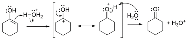
Write an arrow-pushing mechanism for the isomerization of enol to cyclohexanone under (a) aqueous acidic conditions and (b) aqueous basic conditions. Show all proton transfer steps in each mechanism and two resonance structures for each intermediate.


(a) The acidic mechanism starts with protonation of the alkene to form a carbocation, which can be stabilized by the nearby hydroxy group.
(b) The basic mechanism starts by deprotonating the alcohol.

(b) The basic mechanism starts by deprotonating the alcohol.
3
Choose the reaction conditions that would convert acetophenone to methyl benzoate in the best yield.

A) step 1: NaBH4 in methanol; step 2: heat the product of step 1 in aqueous H2SO4
B) step 1: Br2 in acetic acid; step 2: heat the product of step 1 in methanol
C) step 1: excess Br2 in aqueous NaOH; step 2: heat the product of step 1 with methanol in aqueous NaOH
D) step 1: excess Br2 in aqueous NaOH; step 2: treat the product of step 1 with methanol in catalytic H2SO4

A) step 1: NaBH4 in methanol; step 2: heat the product of step 1 in aqueous H2SO4
B) step 1: Br2 in acetic acid; step 2: heat the product of step 1 in methanol
C) step 1: excess Br2 in aqueous NaOH; step 2: heat the product of step 1 with methanol in aqueous NaOH
D) step 1: excess Br2 in aqueous NaOH; step 2: treat the product of step 1 with methanol in catalytic H2SO4
D
4
When allowed to react with D2O in the presence of a trace amount of NaOD, which hydrogens in the molecule will be exchanged by deuterium (D)?

A) Ha
B) Hb
C) Hc
D) Ha and Hb
E) Ha and Hc

A) Ha
B) Hb
C) Hc
D) Ha and Hb
E) Ha and Hc
Unlock Deck
Unlock for access to all 25 flashcards in this deck.
Unlock Deck
k this deck
5
Predict the major organic product for the reaction. If you believe no reaction would occur, write NR.


Unlock Deck
Unlock for access to all 25 flashcards in this deck.
Unlock Deck
k this deck
6
Indicate the missing starting material and product, given the conditions provided. When filling in the product, indicate only the major organic product(s). If you believe no reaction would occur, write NR.


Unlock Deck
Unlock for access to all 25 flashcards in this deck.
Unlock Deck
k this deck
7
Deduce the structure of the starting material given the product and conditions.


Unlock Deck
Unlock for access to all 25 flashcards in this deck.
Unlock Deck
k this deck
8
Deduce the structure of the starting material given the product and conditions.


Unlock Deck
Unlock for access to all 25 flashcards in this deck.
Unlock Deck
k this deck
9
Choose the best reagent(s) for carrying out the conversion.

A) PhMgBr, ether; then aqueous acid
B) PhCH2MgBr, ether; then aqueous acid
C) Ph3P=CHPh
D) LiCuPh2, ether

A) PhMgBr, ether; then aqueous acid
B) PhCH2MgBr, ether; then aqueous acid
C) Ph3P=CHPh
D) LiCuPh2, ether
Unlock Deck
Unlock for access to all 25 flashcards in this deck.
Unlock Deck
k this deck
10
One equivalent of ethanethiol reacts with a naphthalene-1,4-dione derivative to yield primarily A or B, but not both.
a. Show a reaction mechanism for the formation of the favored product, and state in 10 words or less why your choice is favored over the other.
b. The actual observed product of this reaction is different than either A or B. The observed product shows no C=O stretch in IR. Show this product below, and in 10 words or less, state why this actual product forms.
a. Show a reaction mechanism for the formation of the favored product, and state in 10 words or less why your choice is favored over the other.
b. The actual observed product of this reaction is different than either A or B. The observed product shows no C=O stretch in IR. Show this product below, and in 10 words or less, state why this actual product forms.
Unlock Deck
Unlock for access to all 25 flashcards in this deck.
Unlock Deck
k this deck
11
Predict the major organic product for the reaction. If you believe no reaction would occur, write NR.


Unlock Deck
Unlock for access to all 25 flashcards in this deck.
Unlock Deck
k this deck
12
Which of these compounds could not have been prepared by an aldol addition/condensation reaction?

A) compound A
B) compound B
C) compound C
D) compound D
E) compounds B and C

A) compound A
B) compound B
C) compound C
D) compound D
E) compounds B and C
Unlock Deck
Unlock for access to all 25 flashcards in this deck.
Unlock Deck
k this deck
13
Predict the major organic product for the reaction. If you believe no reaction would occur, write NR.


Unlock Deck
Unlock for access to all 25 flashcards in this deck.
Unlock Deck
k this deck
14
The deuterium exchange of the compound replaces all the protons. The hydrogen labeled with an asterisk is not normally acidic, as it cannot be resonance stabilized. Explain how this hydrogen is able to undergo a deuterium exchange.


Unlock Deck
Unlock for access to all 25 flashcards in this deck.
Unlock Deck
k this deck
15
Name the condensation reaction that forms this molecule and identify the starting material that would be needed.


Unlock Deck
Unlock for access to all 25 flashcards in this deck.
Unlock Deck
k this deck
16
Can this compound be prepared in good yield by an aldol reaction? If so, give the starting materials. If not, explain why.


Unlock Deck
Unlock for access to all 25 flashcards in this deck.
Unlock Deck
k this deck
17
Can this compound be prepared in good yield by an aldol reaction? If so, give the starting materials. If not, explain why.


Unlock Deck
Unlock for access to all 25 flashcards in this deck.
Unlock Deck
k this deck
18
Which is true of the Claisen condensation?
A) The product is an -ketoester.
B) The enolate formed undergoes a nucleophilic acyl substitution reaction with a second molecule of ester.
C) The condensation can occur under both acidic and basic conditions.
D) The starting materials are an ester enolate and an aldehyde or ketone.
A) The product is an -ketoester.
B) The enolate formed undergoes a nucleophilic acyl substitution reaction with a second molecule of ester.
C) The condensation can occur under both acidic and basic conditions.
D) The starting materials are an ester enolate and an aldehyde or ketone.
Unlock Deck
Unlock for access to all 25 flashcards in this deck.
Unlock Deck
k this deck
19
Which ester cannot be used in a Claisen condensation?

A) compound A
B) compound B
C) compound C
D) compound D

A) compound A
B) compound B
C) compound C
D) compound D
Unlock Deck
Unlock for access to all 25 flashcards in this deck.
Unlock Deck
k this deck
20
Outline a malonic ester synthesis of the carboxylic acid.


Unlock Deck
Unlock for access to all 25 flashcards in this deck.
Unlock Deck
k this deck
21
Only one of these three carboxylic acids can be synthesized from the malonic ester synthesis. Circle the compound that can be synthesized and explain why the other two carboxylic acids cannot be synthesized using the malonic ester synthesis.


Unlock Deck
Unlock for access to all 25 flashcards in this deck.
Unlock Deck
k this deck
22
This compound can be formed from a condensation reaction. Name the reaction and draw the precursor to the condensation reaction.


Unlock Deck
Unlock for access to all 25 flashcards in this deck.
Unlock Deck
k this deck
23
The reaction of lithium aluminum hydride with the , -unsaturated ketone forms either compound A or
Unlock Deck
Unlock for access to all 25 flashcards in this deck.
Unlock Deck
k this deck
24
Outline a synthesis for the transformation of acetone to a tertiary alcohol. The phenyl group should come from PhLi.


Unlock Deck
Unlock for access to all 25 flashcards in this deck.
Unlock Deck
k this deck
25
Outline a one-step synthesis for the transformation. Hint: Use an organometallic reagent.


Unlock Deck
Unlock for access to all 25 flashcards in this deck.
Unlock Deck
k this deck

