Deck 10: Free-Radical Reactions, Main-Group Organometallic Compounds, and Carbenes

Full screen (f)
exit full mode
Question
Complete the reaction by giving the missing product.
Complete the reaction by giving the missing product.  <div style=padding-top: 35px>
Use Space or
up arrow
down arrow
to flip the card.
Question
Give the structure of the organic free-radical intermediate formed in the propagation steps in the reaction of the alkene with HBr in the presence of peroxides.
Give the structure of the organic free-radical intermediate formed in the propagation steps in the reaction of the alkene with HBr in the presence of peroxides.  <div style=padding-top: 35px>
Question
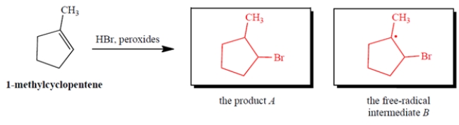
Give the product A that results when HBr undergoes peroxide-mediated addition to 1-methylcyclopentene. Also give the structure of the free-radical intermediate B (other than Br.) in the propagation steps of this reaction.
Give the product A that results when HBr undergoes peroxide-mediated addition to 1-methylcyclopentene. Also give the structure of the free-radical intermediate B (other than Br.) in the propagation steps of this reaction.  <div style=padding-top: 35px>
Question
Treatment of (+)-(R)-3-methyl-1-pentene with HBr and peroxides yields (-)-1-bromo-3-methyl pentane. Determine the stereochemical configuration of the product.
Treatment of (+)-(R)-3-methyl-1-pentene with HBr and peroxides yields (-)-1-bromo-3-methyl pentane. Determine the stereochemical configuration of the product.  <div style=padding-top: 35px>
Question
Thiols (R-S-H) undergo addition to alkenes but only in the presence of peroxides. This equation is an example.
(CH3)2C=CH2+RSH peroxides (CH3)2CHCH2SR\left( \mathrm { CH } _ { 3 } \right) _ { 2 } \mathrm { C } = \mathrm { CH } _ { 2 } + \mathrm { RSH } \stackrel { \text { peroxides } } { \longrightarrow } \left( \mathrm { CH } _ { 3 } \right) _ { 2 } \mathrm { CH } - \mathrm { CH } _ { 2 } \mathrm { SR } Which one of these is a reactive intermediate in this reaction?
(a) (CH3)2CC˙H2SR\left( \mathrm { CH } _ { 3 } \right) _ { 2 } \mathrm { C } - \dot { \mathrm { C } } \mathrm { H } _ { 2 } - \mathrm { SR }
(b)
 <strong>Thiols (R-S-H) undergo addition to alkenes but only in the presence of peroxides. This equation is an example.  \left( \mathrm { CH } _ { 3 } \right) _ { 2 } \mathrm { C } = \mathrm { CH } _ { 2 } + \mathrm { RSH } \stackrel { \text { peroxides } } { \longrightarrow } \left( \mathrm { CH } _ { 3 } \right) _ { 2 } \mathrm { CH } - \mathrm { CH } _ { 2 } \mathrm { SR }  Which one of these is a reactive intermediate in this reaction? (a)  \left( \mathrm { CH } _ { 3 } \right) _ { 2 } \mathrm { C } - \dot { \mathrm { C } } \mathrm { H } _ { 2 } - \mathrm { SR }  (b)   (c)  \left( \mathrm { CH } _ { 3 } \right) _ { 2 } \stackrel { + } { \mathrm { C } } - \mathrm { CH } _ { 2 } - \mathrm { SR }   (d)  \left( \mathrm { CH } _ { 3 } \right) _ { 2 } \dot { \mathrm { C } } - \mathrm { CH } _ { 2 } - \mathrm { SR }   (e)    (f)  \left( \mathrm { CH } _ { 3 } \right) _ { 2 } \dot { \mathrm { C } } - \mathrm { CH } _ { 2 } - \mathrm { SH } </strong> A) compound (a) B) compound (b) C) compound (c) D) compound (d) E) compound (e)f. compound (f) <div style=padding-top: 35px>
(c) (CH3)2C+CH2SR\left( \mathrm { CH } _ { 3 } \right) _ { 2 } \stackrel { + } { \mathrm { C } } - \mathrm { CH } _ { 2 } - \mathrm { SR }

(d) (CH3)2C˙CH2SR\left( \mathrm { CH } _ { 3 } \right) _ { 2 } \dot { \mathrm { C } } - \mathrm { CH } _ { 2 } - \mathrm { SR }

(e)
 <strong>Thiols (R-S-H) undergo addition to alkenes but only in the presence of peroxides. This equation is an example.  \left( \mathrm { CH } _ { 3 } \right) _ { 2 } \mathrm { C } = \mathrm { CH } _ { 2 } + \mathrm { RSH } \stackrel { \text { peroxides } } { \longrightarrow } \left( \mathrm { CH } _ { 3 } \right) _ { 2 } \mathrm { CH } - \mathrm { CH } _ { 2 } \mathrm { SR }  Which one of these is a reactive intermediate in this reaction? (a)  \left( \mathrm { CH } _ { 3 } \right) _ { 2 } \mathrm { C } - \dot { \mathrm { C } } \mathrm { H } _ { 2 } - \mathrm { SR }  (b)   (c)  \left( \mathrm { CH } _ { 3 } \right) _ { 2 } \stackrel { + } { \mathrm { C } } - \mathrm { CH } _ { 2 } - \mathrm { SR }   (d)  \left( \mathrm { CH } _ { 3 } \right) _ { 2 } \dot { \mathrm { C } } - \mathrm { CH } _ { 2 } - \mathrm { SR }   (e)    (f)  \left( \mathrm { CH } _ { 3 } \right) _ { 2 } \dot { \mathrm { C } } - \mathrm { CH } _ { 2 } - \mathrm { SH } </strong> A) compound (a) B) compound (b) C) compound (c) D) compound (d) E) compound (e)f. compound (f) <div style=padding-top: 35px>

(f) (CH3)2C˙CH2SH\left( \mathrm { CH } _ { 3 } \right) _ { 2 } \dot { \mathrm { C } } - \mathrm { CH } _ { 2 } - \mathrm { SH }

A) compound (a)
B) compound (b)
C) compound (c)
D) compound (d)
E) compound (e)f.
compound (f)
Question
Complete the reaction by giving the missing product.
Complete the reaction by giving the missing product.  <div style=padding-top: 35px>
Question
Draw the correct product for each of the reactions:
Draw the correct product for each of the reactions:  <div style=padding-top: 35px>
Question
Complete the reaction by giving the major organic product(s).
Complete the reaction by giving the major organic product(s).  <div style=padding-top: 35px>
Question
Consider this addition polymer, called poly(methyl methacrylate). What is the structure of the monomer from which this polymer is formed by free-radical alkene polymerization?
Consider this addition polymer, called poly(methyl methacrylate). What is the structure of the monomer from which this polymer is formed by free-radical alkene polymerization?  <div style=padding-top: 35px>
Question
Complete the reactions by giving the structure of the missing organic products.
Complete the reactions by giving the structure of the missing organic products.  <div style=padding-top: 35px>
Question
Complete the reaction by giving the structures of all products.
Complete the reaction by giving the structures of all products.  <div style=padding-top: 35px>
Question
Provide the structures of the missing compounds.
Provide the structures of the missing compounds.  <div style=padding-top: 35px>
Question
Which of these compounds is capable of spontaneously providing a free-radical RO• that can initiate free-radical chain reactions?

A) HO-OH
B) (CH3)3O-OC(CH3)3
C) (CH3)3-O-C(CH3)3
D) (CH3)3O-OH
E) All can serve as initiators.
Question
Free-radical polymerization of ethylene proceeds with the following propagation steps.
Free-radical polymerization of ethylene proceeds with the following propagation steps.   It turns out that polyethylene made by free-radical polymerization contains some branches, for example,   (a) Give a plausible mechanism, complete with fishhooks, for propagation steps that can account for formation of these branches. (b) It is possible (by a completely different method) to form polyethylene with unbranched chains. Which do you think would have higher density, branched-chain polyethylene or polyethylene with unbranched chains? Explain briefly.<div style=padding-top: 35px> It turns out that polyethylene made by free-radical polymerization contains some branches, for example,
Free-radical polymerization of ethylene proceeds with the following propagation steps.   It turns out that polyethylene made by free-radical polymerization contains some branches, for example,   (a) Give a plausible mechanism, complete with fishhooks, for propagation steps that can account for formation of these branches. (b) It is possible (by a completely different method) to form polyethylene with unbranched chains. Which do you think would have higher density, branched-chain polyethylene or polyethylene with unbranched chains? Explain briefly.<div style=padding-top: 35px> (a) Give a plausible mechanism, complete with "fishhooks," for propagation steps that can account for formation of these branches.
(b) It is possible (by a completely different method) to form polyethylene with unbranched chains. Which do you think would have higher density, branched-chain polyethylene or polyethylene with unbranched chains? Explain briefly.
Question
Devise a synthesis to achieve the transformation.
Devise a synthesis to achieve the transformation.  <div style=padding-top: 35px>
Question
1-Methyl-1-vinyl cyclopentane undergoes addition of HBr under two different conditions as shown in the two pathways. A mixture of products is obtained in Pathway A, whereas a single product is obtained in pathway
Question
A free-radical addition of a certain compound X-Y to an alkene (R = alkyl) results in the conversion:
 <strong>A free-radical addition of a certain compound X-Y to an alkene (R = alkyl) results in the conversion:   The first propagation step in the mechanism is   Therefore, what is the second propagation step in the mechanism?</strong> A)   B)   C)  \mathrm { X } - \mathrm { Y } \longrightarrow \mathrm { Y } \cdot + \cdot \mathrm { X }  D) Both (b) and (c) are propagation steps. E) Both (a) and (b) are propagation steps. <div style=padding-top: 35px>  The first propagation step in the mechanism is
 <strong>A free-radical addition of a certain compound X-Y to an alkene (R = alkyl) results in the conversion:   The first propagation step in the mechanism is   Therefore, what is the second propagation step in the mechanism?</strong> A)   B)   C)  \mathrm { X } - \mathrm { Y } \longrightarrow \mathrm { Y } \cdot + \cdot \mathrm { X }  D) Both (b) and (c) are propagation steps. E) Both (a) and (b) are propagation steps. <div style=padding-top: 35px>  Therefore, what is the second propagation step in the mechanism?

A)
 <strong>A free-radical addition of a certain compound X-Y to an alkene (R = alkyl) results in the conversion:   The first propagation step in the mechanism is   Therefore, what is the second propagation step in the mechanism?</strong> A)   B)   C)  \mathrm { X } - \mathrm { Y } \longrightarrow \mathrm { Y } \cdot + \cdot \mathrm { X }  D) Both (b) and (c) are propagation steps. E) Both (a) and (b) are propagation steps. <div style=padding-top: 35px>
B)
 <strong>A free-radical addition of a certain compound X-Y to an alkene (R = alkyl) results in the conversion:   The first propagation step in the mechanism is   Therefore, what is the second propagation step in the mechanism?</strong> A)   B)   C)  \mathrm { X } - \mathrm { Y } \longrightarrow \mathrm { Y } \cdot + \cdot \mathrm { X }  D) Both (b) and (c) are propagation steps. E) Both (a) and (b) are propagation steps. <div style=padding-top: 35px>
C)
XYY+X\mathrm { X } - \mathrm { Y } \longrightarrow \mathrm { Y } \cdot + \cdot \mathrm { X }
D) Both (b) and (c) are propagation steps.
E) Both (a) and (b) are propagation steps.
Question
Outline a multi-step synthesis of 4-octanone from 1-pentyne and any other reagents. (Show the reagents required for each step, and the product of each step. Don't show the mechanism.)
Outline a multi-step synthesis of 4-octanone from 1-pentyne and any other reagents. (Show the reagents required for each step, and the product of each step. Don't show the mechanism.)  <div style=padding-top: 35px>
Question
Complete the reactions by giving the structure of the missing organic products.
Complete the reactions by giving the structure of the missing organic products.  <div style=padding-top: 35px>
Question
Complete the reactions by giving the structure of the missing organic products.
Complete the reactions by giving the structure of the missing organic products.  <div style=padding-top: 35px>
Question
Identify the stereochemistry of the polymers.
Identify the stereochemistry of the polymers.  <div style=padding-top: 35px>
Question
Predict the major organic product of the reaction:
Predict the major organic product of the reaction:  <div style=padding-top: 35px>
Question
Outline a synthesis for the alkyne using acetylene and any reagents three carbons or less.
Outline a synthesis for the alkyne using acetylene and any reagents three carbons or less.  <div style=padding-top: 35px>
Question
Outline a synthesis of this product.
Outline a synthesis of this product.  <div style=padding-top: 35px>
Question
Provide the major organic product for the reaction.
Provide the major organic product for the reaction.  <div style=padding-top: 35px>
Unlock Deck
Sign up to unlock the cards in this deck!
Unlock Deck
Unlock Deck
1/25
auto play flashcards
Play
simple tutorial
Full screen (f)
exit full mode
Deck 10: Free-Radical Reactions, Main-Group Organometallic Compounds, and Carbenes
1
Complete the reaction by giving the missing product.
Complete the reaction by giving the missing product.
2
Give the structure of the organic free-radical intermediate formed in the propagation steps in the reaction of the alkene with HBr in the presence of peroxides.
Give the structure of the organic free-radical intermediate formed in the propagation steps in the reaction of the alkene with HBr in the presence of peroxides.
The bromine will add to the less substituted alkene carbon and generate the more stable radical, the tertiary radical. The structure of the free-radical intermediate is
The bromine will add to the less substituted alkene carbon and generate the more stable radical, the tertiary radical. The structure of the free-radical intermediate is
3
Give the product A that results when HBr undergoes peroxide-mediated addition to 1-methylcyclopentene. Also give the structure of the free-radical intermediate B (other than Br.) in the propagation steps of this reaction.
Give the product A that results when HBr undergoes peroxide-mediated addition to 1-methylcyclopentene. Also give the structure of the free-radical intermediate B (other than Br.) in the propagation steps of this reaction.
4
Treatment of (+)-(R)-3-methyl-1-pentene with HBr and peroxides yields (-)-1-bromo-3-methyl pentane. Determine the stereochemical configuration of the product.
Treatment of (+)-(R)-3-methyl-1-pentene with HBr and peroxides yields (-)-1-bromo-3-methyl pentane. Determine the stereochemical configuration of the product.
Unlock Deck
Unlock for access to all 25 flashcards in this deck.
Unlock Deck
k this deck
5
Thiols (R-S-H) undergo addition to alkenes but only in the presence of peroxides. This equation is an example.
(CH3)2C=CH2+RSH peroxides (CH3)2CHCH2SR\left( \mathrm { CH } _ { 3 } \right) _ { 2 } \mathrm { C } = \mathrm { CH } _ { 2 } + \mathrm { RSH } \stackrel { \text { peroxides } } { \longrightarrow } \left( \mathrm { CH } _ { 3 } \right) _ { 2 } \mathrm { CH } - \mathrm { CH } _ { 2 } \mathrm { SR } Which one of these is a reactive intermediate in this reaction?
(a) (CH3)2CC˙H2SR\left( \mathrm { CH } _ { 3 } \right) _ { 2 } \mathrm { C } - \dot { \mathrm { C } } \mathrm { H } _ { 2 } - \mathrm { SR }
(b)
 <strong>Thiols (R-S-H) undergo addition to alkenes but only in the presence of peroxides. This equation is an example.  \left( \mathrm { CH } _ { 3 } \right) _ { 2 } \mathrm { C } = \mathrm { CH } _ { 2 } + \mathrm { RSH } \stackrel { \text { peroxides } } { \longrightarrow } \left( \mathrm { CH } _ { 3 } \right) _ { 2 } \mathrm { CH } - \mathrm { CH } _ { 2 } \mathrm { SR }  Which one of these is a reactive intermediate in this reaction? (a)  \left( \mathrm { CH } _ { 3 } \right) _ { 2 } \mathrm { C } - \dot { \mathrm { C } } \mathrm { H } _ { 2 } - \mathrm { SR }  (b)   (c)  \left( \mathrm { CH } _ { 3 } \right) _ { 2 } \stackrel { + } { \mathrm { C } } - \mathrm { CH } _ { 2 } - \mathrm { SR }   (d)  \left( \mathrm { CH } _ { 3 } \right) _ { 2 } \dot { \mathrm { C } } - \mathrm { CH } _ { 2 } - \mathrm { SR }   (e)    (f)  \left( \mathrm { CH } _ { 3 } \right) _ { 2 } \dot { \mathrm { C } } - \mathrm { CH } _ { 2 } - \mathrm { SH } </strong> A) compound (a) B) compound (b) C) compound (c) D) compound (d) E) compound (e)f. compound (f)
(c) (CH3)2C+CH2SR\left( \mathrm { CH } _ { 3 } \right) _ { 2 } \stackrel { + } { \mathrm { C } } - \mathrm { CH } _ { 2 } - \mathrm { SR }

(d) (CH3)2C˙CH2SR\left( \mathrm { CH } _ { 3 } \right) _ { 2 } \dot { \mathrm { C } } - \mathrm { CH } _ { 2 } - \mathrm { SR }

(e)
 <strong>Thiols (R-S-H) undergo addition to alkenes but only in the presence of peroxides. This equation is an example.  \left( \mathrm { CH } _ { 3 } \right) _ { 2 } \mathrm { C } = \mathrm { CH } _ { 2 } + \mathrm { RSH } \stackrel { \text { peroxides } } { \longrightarrow } \left( \mathrm { CH } _ { 3 } \right) _ { 2 } \mathrm { CH } - \mathrm { CH } _ { 2 } \mathrm { SR }  Which one of these is a reactive intermediate in this reaction? (a)  \left( \mathrm { CH } _ { 3 } \right) _ { 2 } \mathrm { C } - \dot { \mathrm { C } } \mathrm { H } _ { 2 } - \mathrm { SR }  (b)   (c)  \left( \mathrm { CH } _ { 3 } \right) _ { 2 } \stackrel { + } { \mathrm { C } } - \mathrm { CH } _ { 2 } - \mathrm { SR }   (d)  \left( \mathrm { CH } _ { 3 } \right) _ { 2 } \dot { \mathrm { C } } - \mathrm { CH } _ { 2 } - \mathrm { SR }   (e)    (f)  \left( \mathrm { CH } _ { 3 } \right) _ { 2 } \dot { \mathrm { C } } - \mathrm { CH } _ { 2 } - \mathrm { SH } </strong> A) compound (a) B) compound (b) C) compound (c) D) compound (d) E) compound (e)f. compound (f)

(f) (CH3)2C˙CH2SH\left( \mathrm { CH } _ { 3 } \right) _ { 2 } \dot { \mathrm { C } } - \mathrm { CH } _ { 2 } - \mathrm { SH }

A) compound (a)
B) compound (b)
C) compound (c)
D) compound (d)
E) compound (e)f.
compound (f)
Unlock Deck
Unlock for access to all 25 flashcards in this deck.
Unlock Deck
k this deck
6
Complete the reaction by giving the missing product.
Complete the reaction by giving the missing product.
Unlock Deck
Unlock for access to all 25 flashcards in this deck.
Unlock Deck
k this deck
7
Draw the correct product for each of the reactions:
Draw the correct product for each of the reactions:
Unlock Deck
Unlock for access to all 25 flashcards in this deck.
Unlock Deck
k this deck
8
Complete the reaction by giving the major organic product(s).
Complete the reaction by giving the major organic product(s).
Unlock Deck
Unlock for access to all 25 flashcards in this deck.
Unlock Deck
k this deck
9
Consider this addition polymer, called poly(methyl methacrylate). What is the structure of the monomer from which this polymer is formed by free-radical alkene polymerization?
Consider this addition polymer, called poly(methyl methacrylate). What is the structure of the monomer from which this polymer is formed by free-radical alkene polymerization?
Unlock Deck
Unlock for access to all 25 flashcards in this deck.
Unlock Deck
k this deck
10
Complete the reactions by giving the structure of the missing organic products.
Complete the reactions by giving the structure of the missing organic products.
Unlock Deck
Unlock for access to all 25 flashcards in this deck.
Unlock Deck
k this deck
11
Complete the reaction by giving the structures of all products.
Complete the reaction by giving the structures of all products.
Unlock Deck
Unlock for access to all 25 flashcards in this deck.
Unlock Deck
k this deck
12
Provide the structures of the missing compounds.
Provide the structures of the missing compounds.
Unlock Deck
Unlock for access to all 25 flashcards in this deck.
Unlock Deck
k this deck
13
Which of these compounds is capable of spontaneously providing a free-radical RO• that can initiate free-radical chain reactions?

A) HO-OH
B) (CH3)3O-OC(CH3)3
C) (CH3)3-O-C(CH3)3
D) (CH3)3O-OH
E) All can serve as initiators.
Unlock Deck
Unlock for access to all 25 flashcards in this deck.
Unlock Deck
k this deck
14
Free-radical polymerization of ethylene proceeds with the following propagation steps.
Free-radical polymerization of ethylene proceeds with the following propagation steps.   It turns out that polyethylene made by free-radical polymerization contains some branches, for example,   (a) Give a plausible mechanism, complete with fishhooks, for propagation steps that can account for formation of these branches. (b) It is possible (by a completely different method) to form polyethylene with unbranched chains. Which do you think would have higher density, branched-chain polyethylene or polyethylene with unbranched chains? Explain briefly. It turns out that polyethylene made by free-radical polymerization contains some branches, for example,
Free-radical polymerization of ethylene proceeds with the following propagation steps.   It turns out that polyethylene made by free-radical polymerization contains some branches, for example,   (a) Give a plausible mechanism, complete with fishhooks, for propagation steps that can account for formation of these branches. (b) It is possible (by a completely different method) to form polyethylene with unbranched chains. Which do you think would have higher density, branched-chain polyethylene or polyethylene with unbranched chains? Explain briefly. (a) Give a plausible mechanism, complete with "fishhooks," for propagation steps that can account for formation of these branches.
(b) It is possible (by a completely different method) to form polyethylene with unbranched chains. Which do you think would have higher density, branched-chain polyethylene or polyethylene with unbranched chains? Explain briefly.
Unlock Deck
Unlock for access to all 25 flashcards in this deck.
Unlock Deck
k this deck
15
Devise a synthesis to achieve the transformation.
Devise a synthesis to achieve the transformation.
Unlock Deck
Unlock for access to all 25 flashcards in this deck.
Unlock Deck
k this deck
16
1-Methyl-1-vinyl cyclopentane undergoes addition of HBr under two different conditions as shown in the two pathways. A mixture of products is obtained in Pathway A, whereas a single product is obtained in pathway
Unlock Deck
Unlock for access to all 25 flashcards in this deck.
Unlock Deck
k this deck
17
A free-radical addition of a certain compound X-Y to an alkene (R = alkyl) results in the conversion:
 <strong>A free-radical addition of a certain compound X-Y to an alkene (R = alkyl) results in the conversion:   The first propagation step in the mechanism is   Therefore, what is the second propagation step in the mechanism?</strong> A)   B)   C)  \mathrm { X } - \mathrm { Y } \longrightarrow \mathrm { Y } \cdot + \cdot \mathrm { X }  D) Both (b) and (c) are propagation steps. E) Both (a) and (b) are propagation steps.  The first propagation step in the mechanism is
 <strong>A free-radical addition of a certain compound X-Y to an alkene (R = alkyl) results in the conversion:   The first propagation step in the mechanism is   Therefore, what is the second propagation step in the mechanism?</strong> A)   B)   C)  \mathrm { X } - \mathrm { Y } \longrightarrow \mathrm { Y } \cdot + \cdot \mathrm { X }  D) Both (b) and (c) are propagation steps. E) Both (a) and (b) are propagation steps.  Therefore, what is the second propagation step in the mechanism?

A)
 <strong>A free-radical addition of a certain compound X-Y to an alkene (R = alkyl) results in the conversion:   The first propagation step in the mechanism is   Therefore, what is the second propagation step in the mechanism?</strong> A)   B)   C)  \mathrm { X } - \mathrm { Y } \longrightarrow \mathrm { Y } \cdot + \cdot \mathrm { X }  D) Both (b) and (c) are propagation steps. E) Both (a) and (b) are propagation steps.
B)
 <strong>A free-radical addition of a certain compound X-Y to an alkene (R = alkyl) results in the conversion:   The first propagation step in the mechanism is   Therefore, what is the second propagation step in the mechanism?</strong> A)   B)   C)  \mathrm { X } - \mathrm { Y } \longrightarrow \mathrm { Y } \cdot + \cdot \mathrm { X }  D) Both (b) and (c) are propagation steps. E) Both (a) and (b) are propagation steps.
C)
XYY+X\mathrm { X } - \mathrm { Y } \longrightarrow \mathrm { Y } \cdot + \cdot \mathrm { X }
D) Both (b) and (c) are propagation steps.
E) Both (a) and (b) are propagation steps.
Unlock Deck
Unlock for access to all 25 flashcards in this deck.
Unlock Deck
k this deck
18
Outline a multi-step synthesis of 4-octanone from 1-pentyne and any other reagents. (Show the reagents required for each step, and the product of each step. Don't show the mechanism.)
Outline a multi-step synthesis of 4-octanone from 1-pentyne and any other reagents. (Show the reagents required for each step, and the product of each step. Don't show the mechanism.)
Unlock Deck
Unlock for access to all 25 flashcards in this deck.
Unlock Deck
k this deck
19
Complete the reactions by giving the structure of the missing organic products.
Complete the reactions by giving the structure of the missing organic products.
Unlock Deck
Unlock for access to all 25 flashcards in this deck.
Unlock Deck
k this deck
20
Complete the reactions by giving the structure of the missing organic products.
Complete the reactions by giving the structure of the missing organic products.
Unlock Deck
Unlock for access to all 25 flashcards in this deck.
Unlock Deck
k this deck
21
Identify the stereochemistry of the polymers.
Identify the stereochemistry of the polymers.
Unlock Deck
Unlock for access to all 25 flashcards in this deck.
Unlock Deck
k this deck
22
Predict the major organic product of the reaction:
Predict the major organic product of the reaction:
Unlock Deck
Unlock for access to all 25 flashcards in this deck.
Unlock Deck
k this deck
23
Outline a synthesis for the alkyne using acetylene and any reagents three carbons or less.
Outline a synthesis for the alkyne using acetylene and any reagents three carbons or less.
Unlock Deck
Unlock for access to all 25 flashcards in this deck.
Unlock Deck
k this deck
24
Outline a synthesis of this product.
Outline a synthesis of this product.
Unlock Deck
Unlock for access to all 25 flashcards in this deck.
Unlock Deck
k this deck
25
Provide the major organic product for the reaction.
Provide the major organic product for the reaction.
Unlock Deck
Unlock for access to all 25 flashcards in this deck.
Unlock Deck
k this deck
locked card icon
Unlock Deck
Unlock for access to all 25 flashcards in this deck.