Deck 12: Unconditioned and Conditioned Reinforcers and Punishers
Question
Question
Question
Question
Question
Question
Question
Question
Question
Question
Question
Question
Question
Question
Question
Question
Question
Question
Question
Question
Question
Question
Question
Question
Question
Question
Question
Question
Question
Question
Question
Question
Question
Question
Question
Question
Question
Question
Question
Question
Question
Question
Question
Question
Question
Question
Question
Question
Question
Question
Question
Question
Question
Question
Question
Question
Question
Question
Question
Question
Question
Question
Question
Question
Question
Question
Question
Question
Question
Unlock Deck
Sign up to unlock the cards in this deck!
Unlock Deck
Unlock Deck
1/69
Play
Full screen (f)
Deck 12: Unconditioned and Conditioned Reinforcers and Punishers
1
Psychotic residents of a psychiatric institution received conditioned generalized reinforcers for behaving in ways that helped the group. They could later exchange these reinforcers for backup reinforcers. (Ayllon, & Azrin, 1965) This is an example of:
A) conditioned, built-in reinforcer
B) unconditioned reinforcer
C) token economy
D) nondirective psychotherapy
E) no correct answer in this list
A) conditioned, built-in reinforcer
B) unconditioned reinforcer
C) token economy
D) nondirective psychotherapy
E) no correct answer in this list
C
2
Token
A) conditioned, built in reinforcer
B) unconditioned reinforcer
C) generalized conditioned reinforcer
D) no correct answer in this list
A) conditioned, built in reinforcer
B) unconditioned reinforcer
C) generalized conditioned reinforcer
D) no correct answer in this list
C
3
Attention is a/an
A) unconditioned reinforcer
B) conditioned reinforcer
A) unconditioned reinforcer
B) conditioned reinforcer
B
4
Water is a/n
A) unconditioned reinforcer
B) conditioned reinforcer
A) unconditioned reinforcer
B) conditioned reinforcer
Unlock Deck
Unlock for access to all 69 flashcards in this deck.
Unlock Deck
k this deck
5
The pain from touching a hot stove is a/n
A) unconditioned punisher
B) conditioned punisher
A) unconditioned punisher
B) conditioned punisher
Unlock Deck
Unlock for access to all 69 flashcards in this deck.
Unlock Deck
k this deck
6
Select examples of unconditioned positive reinforcers with a direct biological benefit.
A) visual stimulation
B) auditory stimulation
C) food
D) sweet taste
E) water
A) visual stimulation
B) auditory stimulation
C) food
D) sweet taste
E) water
Unlock Deck
Unlock for access to all 69 flashcards in this deck.
Unlock Deck
k this deck
7
Select examples of unconditioned positive reinforcers with an indirect biological benefit.
A) visual stimulation
B) auditory stimulation
C) food
D) sweet taste
E) water
A) visual stimulation
B) auditory stimulation
C) food
D) sweet taste
E) water
Unlock Deck
Unlock for access to all 69 flashcards in this deck.
Unlock Deck
k this deck
8
The pain of touching a hot stove is a/n
A) unconditioned negative reinforcer
B) unconditioned punisher
C) all of the above
D) absolutely none of the above
A) unconditioned negative reinforcer
B) unconditioned punisher
C) all of the above
D) absolutely none of the above
Unlock Deck
Unlock for access to all 69 flashcards in this deck.
Unlock Deck
k this deck
9
Select examples of unconditioned negative reinforcers associated with indirect biological harm.
A) bad smell
B) bad taste
C) predator's bite
D) spoiled food
E) the shadow of a hawk
A) bad smell
B) bad taste
C) predator's bite
D) spoiled food
E) the shadow of a hawk
Unlock Deck
Unlock for access to all 69 flashcards in this deck.
Unlock Deck
k this deck
10
What are some mentalistic interpretations of the causes of Helens psychotic talk?
A) She has a distorted perception of reality based on her inner conflicts.
B) Her talk is being reinforced by attention.
C) She feels she must express her troubles to someone else to get free.
D) She gets beaten up by other patients.
E) Her problems are symptoms of deep-rooted psychic disorders.
A) She has a distorted perception of reality based on her inner conflicts.
B) Her talk is being reinforced by attention.
C) She feels she must express her troubles to someone else to get free.
D) She gets beaten up by other patients.
E) Her problems are symptoms of deep-rooted psychic disorders.
Unlock Deck
Unlock for access to all 69 flashcards in this deck.
Unlock Deck
k this deck
11
What are some psychiatrist objections to a behavioral analysis and intervention for Helen's psychotic talk?
A) The behavioral intervention is too expensive.
B) The behavioral intervention will never be approved by the Human Rights Review Board.
C) No one's going around putting M&M's in her mouth every time she experiences one of her delusions.
D) No one approves of her delusional speech. Instead, we criticize her for it.
E) There are no scientific data supporting your proposal.
F) We need to talk to her when she's having her delusions.
G) We need to reassure her and bring her back to reality.
H) I just don't like it.
A) The behavioral intervention is too expensive.
B) The behavioral intervention will never be approved by the Human Rights Review Board.
C) No one's going around putting M&M's in her mouth every time she experiences one of her delusions.
D) No one approves of her delusional speech. Instead, we criticize her for it.
E) There are no scientific data supporting your proposal.
F) We need to talk to her when she's having her delusions.
G) We need to reassure her and bring her back to reality.
H) I just don't like it.
Unlock Deck
Unlock for access to all 69 flashcards in this deck.
Unlock Deck
k this deck
12
What happened when Helen's psychotic talk got bootleg reinforcement, after a few weeks of the extinction procedure?
A) Her psychotic talk increased.
B) Her psychotic talk was unaffected, because her normal talk had been intermittently reinforced.
A) Her psychotic talk increased.
B) Her psychotic talk was unaffected, because her normal talk had been intermittently reinforced.
Unlock Deck
Unlock for access to all 69 flashcards in this deck.
Unlock Deck
k this deck
13
If attention is not paired with approval, attention will not reinforce behavior.
Unlock Deck
Unlock for access to all 69 flashcards in this deck.
Unlock Deck
k this deck
14
How'd Mae's staff established social approval as a reinforcer for Jimmy?
A) Showered him with love.
B) Turned off the loud noise and gave him a hug.
C) Said good and gave him some food when he touched his nose.
D) Let him out of the Skinner box when he pressed the lever.
A) Showered him with love.
B) Turned off the loud noise and gave him a hug.
C) Said good and gave him some food when he touched his nose.
D) Let him out of the Skinner box when he pressed the lever.
Unlock Deck
Unlock for access to all 69 flashcards in this deck.
Unlock Deck
k this deck
15
After observing an increase in behavior following the contingent presentation of tokens, the most scientifically-sound procedure for determining the effectiveness of tokens as reinforcers is?
A) removal of tokens from the environment
B) noncontingent presentation of the tokens
C) nondirective psychotherapy
A) removal of tokens from the environment
B) noncontingent presentation of the tokens
C) nondirective psychotherapy
Unlock Deck
Unlock for access to all 69 flashcards in this deck.
Unlock Deck
k this deck
16
For pairing to be the most successful, the neutral stimulus must be followed by the reinforcer
A) within 2 minutes
B) eventually
C) immediately
D) within 60 seconds
A) within 2 minutes
B) eventually
C) immediately
D) within 60 seconds
Unlock Deck
Unlock for access to all 69 flashcards in this deck.
Unlock Deck
k this deck
17
Ayllon and Azrin's token in their token economy are best described as
A) Negative reinforcers
B) Unconditioned reinforcers
C) Unequivocal reinforcers
D) Specialized reinforcers
E) Generalized unconditioned reinforcers
F) Generalized conditioned reinforcers
A) Negative reinforcers
B) Unconditioned reinforcers
C) Unequivocal reinforcers
D) Specialized reinforcers
E) Generalized unconditioned reinforcers
F) Generalized conditioned reinforcers
Unlock Deck
Unlock for access to all 69 flashcards in this deck.
Unlock Deck
k this deck
18
When using a token economy in remedial education, Wolf and friends punished inappropriate behavior by
A) giving the kids negative marks, if they were out of their seats when the alarm rang.
B) giving them negative marks, if they hit each other.
C) removing store privileges contingent on bad reports from the classroom teacher.
D) None of the above, this was a positive-only token economy.
A) giving the kids negative marks, if they were out of their seats when the alarm rang.
B) giving them negative marks, if they hit each other.
C) removing store privileges contingent on bad reports from the classroom teacher.
D) None of the above, this was a positive-only token economy.
Unlock Deck
Unlock for access to all 69 flashcards in this deck.
Unlock Deck
k this deck
19
Conditioned punishers can be established by pairing with
A) a punisher.
B) the loss of a reinforcer.
A) a punisher.
B) the loss of a reinforcer.
Unlock Deck
Unlock for access to all 69 flashcards in this deck.
Unlock Deck
k this deck
20
Extinction is one of the more effective ways decreasing the value of learned reinforcers.
Unlock Deck
Unlock for access to all 69 flashcards in this deck.
Unlock Deck
k this deck
21
Conditional stimulus is just another way of saying conditioned stimulus, you know like Pavlov's bell. (Why in the h--- can't these gosh darned behavior analysts just stick to one term and let it go at that!)
Unlock Deck
Unlock for access to all 69 flashcards in this deck.
Unlock Deck
k this deck
22
Japanese babies babble in Japanese and American babies babble in English because of a subtle interaction between their diets and their genetic predispositions.
Unlock Deck
Unlock for access to all 69 flashcards in this deck.
Unlock Deck
k this deck
23
Japanese babies babble in Japanese and American babies babble in English because they find vocal sound similar to their parents reinforcing.
Unlock Deck
Unlock for access to all 69 flashcards in this deck.
Unlock Deck
k this deck
24
Kids with autism often assemble puzzles because they find control over their environment to be reinforcing.
Unlock Deck
Unlock for access to all 69 flashcards in this deck.
Unlock Deck
k this deck
25
For many children with autism, it's much easier to teach them to tact (label) objects than it to get them to value your attention.
Unlock Deck
Unlock for access to all 69 flashcards in this deck.
Unlock Deck
k this deck
26
Must Rudolph make the response that produces the click, in order for the click to become a conditioned reinforcer?
Unlock Deck
Unlock for access to all 69 flashcards in this deck.
Unlock Deck
k this deck
27
What is the crucial deprivation for a conditioned reinforcer to be effective?
A) deprivation of the conditioned reinforcer
B) deprivation of the backup reinforcer (e.g., food that had been paired with praise).
A) deprivation of the conditioned reinforcer
B) deprivation of the backup reinforcer (e.g., food that had been paired with praise).
Unlock Deck
Unlock for access to all 69 flashcards in this deck.
Unlock Deck
k this deck
28
Can you condition Rudolph's response with a click (conditioned reinforcer), even though that response has never produced the click/backup reinforcer combination?
Unlock Deck
Unlock for access to all 69 flashcards in this deck.
Unlock Deck
k this deck
29
The Ayllon-Michael research was so important, because it provided scientific evidence that psychoanalysis was an effective approach to what people call mental illness or psychiatric disorders.
Unlock Deck
Unlock for access to all 69 flashcards in this deck.
Unlock Deck
k this deck
30
To determine the importance of the contingency, it is better to use noncontingent reinforcers, rather than simply to stop giving the reinforcers (extinction).
Unlock Deck
Unlock for access to all 69 flashcards in this deck.
Unlock Deck
k this deck
31
Match the following definitions with the terms below.
-Unconditioned reinforcer
A)This procedure converts a neutral stimulus into a conditioned reinforcer or a conditioned punisher.
B)A stimulus that is a punisher because it has been paired with another punisher.
C)A system of generalized conditioned reinforcers in which the organism that receives those generalized reinforcers can save them and exchange them for a variety of backup reinforcers later.
D)Elements of a stimulus have their value or function only when they are combined; otherwise, the individual elements may be neutral.
E)Withholding a reinforcer increases relevant learning and performance.
F)The pairing of a neutral stimulus with a reinforcer or punisher.
G)A stimulus that is a reinforcer, though not as a result of pairing with another reinforcer.
H)A stimulus that is a punisher, though not as a result of pairing with another punisher.
I)A conditioned reinforcer that is a reinforcer because it has been paired with a variety of other reinforcers.
-Unconditioned reinforcer
A)This procedure converts a neutral stimulus into a conditioned reinforcer or a conditioned punisher.
B)A stimulus that is a punisher because it has been paired with another punisher.
C)A system of generalized conditioned reinforcers in which the organism that receives those generalized reinforcers can save them and exchange them for a variety of backup reinforcers later.
D)Elements of a stimulus have their value or function only when they are combined; otherwise, the individual elements may be neutral.
E)Withholding a reinforcer increases relevant learning and performance.
F)The pairing of a neutral stimulus with a reinforcer or punisher.
G)A stimulus that is a reinforcer, though not as a result of pairing with another reinforcer.
H)A stimulus that is a punisher, though not as a result of pairing with another punisher.
I)A conditioned reinforcer that is a reinforcer because it has been paired with a variety of other reinforcers.
Unlock Deck
Unlock for access to all 69 flashcards in this deck.
Unlock Deck
k this deck
32
Match the following definitions with the terms below.
-Unconditioned punisher
A)This procedure converts a neutral stimulus into a conditioned reinforcer or a conditioned punisher.
B)A stimulus that is a punisher because it has been paired with another punisher.
C)A system of generalized conditioned reinforcers in which the organism that receives those generalized reinforcers can save them and exchange them for a variety of backup reinforcers later.
D)Elements of a stimulus have their value or function only when they are combined; otherwise, the individual elements may be neutral.
E)Withholding a reinforcer increases relevant learning and performance.
F)The pairing of a neutral stimulus with a reinforcer or punisher.
G)A stimulus that is a reinforcer, though not as a result of pairing with another reinforcer.
H)A stimulus that is a punisher, though not as a result of pairing with another punisher.
I)A conditioned reinforcer that is a reinforcer because it has been paired with a variety of other reinforcers.
-Unconditioned punisher
A)This procedure converts a neutral stimulus into a conditioned reinforcer or a conditioned punisher.
B)A stimulus that is a punisher because it has been paired with another punisher.
C)A system of generalized conditioned reinforcers in which the organism that receives those generalized reinforcers can save them and exchange them for a variety of backup reinforcers later.
D)Elements of a stimulus have their value or function only when they are combined; otherwise, the individual elements may be neutral.
E)Withholding a reinforcer increases relevant learning and performance.
F)The pairing of a neutral stimulus with a reinforcer or punisher.
G)A stimulus that is a reinforcer, though not as a result of pairing with another reinforcer.
H)A stimulus that is a punisher, though not as a result of pairing with another punisher.
I)A conditioned reinforcer that is a reinforcer because it has been paired with a variety of other reinforcers.
Unlock Deck
Unlock for access to all 69 flashcards in this deck.
Unlock Deck
k this deck
33
Match the following definitions with the terms below.
-Pairing procedure
A)This procedure converts a neutral stimulus into a conditioned reinforcer or a conditioned punisher.
B)A stimulus that is a punisher because it has been paired with another punisher.
C)A system of generalized conditioned reinforcers in which the organism that receives those generalized reinforcers can save them and exchange them for a variety of backup reinforcers later.
D)Elements of a stimulus have their value or function only when they are combined; otherwise, the individual elements may be neutral.
E)Withholding a reinforcer increases relevant learning and performance.
F)The pairing of a neutral stimulus with a reinforcer or punisher.
G)A stimulus that is a reinforcer, though not as a result of pairing with another reinforcer.
H)A stimulus that is a punisher, though not as a result of pairing with another punisher.
I)A conditioned reinforcer that is a reinforcer because it has been paired with a variety of other reinforcers.
-Pairing procedure
A)This procedure converts a neutral stimulus into a conditioned reinforcer or a conditioned punisher.
B)A stimulus that is a punisher because it has been paired with another punisher.
C)A system of generalized conditioned reinforcers in which the organism that receives those generalized reinforcers can save them and exchange them for a variety of backup reinforcers later.
D)Elements of a stimulus have their value or function only when they are combined; otherwise, the individual elements may be neutral.
E)Withholding a reinforcer increases relevant learning and performance.
F)The pairing of a neutral stimulus with a reinforcer or punisher.
G)A stimulus that is a reinforcer, though not as a result of pairing with another reinforcer.
H)A stimulus that is a punisher, though not as a result of pairing with another punisher.
I)A conditioned reinforcer that is a reinforcer because it has been paired with a variety of other reinforcers.
Unlock Deck
Unlock for access to all 69 flashcards in this deck.
Unlock Deck
k this deck
34
Match the following definitions with the terms below.
-Deprivation
A)This procedure converts a neutral stimulus into a conditioned reinforcer or a conditioned punisher.
B)A stimulus that is a punisher because it has been paired with another punisher.
C)A system of generalized conditioned reinforcers in which the organism that receives those generalized reinforcers can save them and exchange them for a variety of backup reinforcers later.
D)Elements of a stimulus have their value or function only when they are combined; otherwise, the individual elements may be neutral.
E)Withholding a reinforcer increases relevant learning and performance.
F)The pairing of a neutral stimulus with a reinforcer or punisher.
G)A stimulus that is a reinforcer, though not as a result of pairing with another reinforcer.
H)A stimulus that is a punisher, though not as a result of pairing with another punisher.
I)A conditioned reinforcer that is a reinforcer because it has been paired with a variety of other reinforcers.
-Deprivation
A)This procedure converts a neutral stimulus into a conditioned reinforcer or a conditioned punisher.
B)A stimulus that is a punisher because it has been paired with another punisher.
C)A system of generalized conditioned reinforcers in which the organism that receives those generalized reinforcers can save them and exchange them for a variety of backup reinforcers later.
D)Elements of a stimulus have their value or function only when they are combined; otherwise, the individual elements may be neutral.
E)Withholding a reinforcer increases relevant learning and performance.
F)The pairing of a neutral stimulus with a reinforcer or punisher.
G)A stimulus that is a reinforcer, though not as a result of pairing with another reinforcer.
H)A stimulus that is a punisher, though not as a result of pairing with another punisher.
I)A conditioned reinforcer that is a reinforcer because it has been paired with a variety of other reinforcers.
Unlock Deck
Unlock for access to all 69 flashcards in this deck.
Unlock Deck
k this deck
35
Match the following definitions with the terms below.
-Generalized conditioned reinforcer (generalized secondary reinforcer)
A)This procedure converts a neutral stimulus into a conditioned reinforcer or a conditioned punisher.
B)A stimulus that is a punisher because it has been paired with another punisher.
C)A system of generalized conditioned reinforcers in which the organism that receives those generalized reinforcers can save them and exchange them for a variety of backup reinforcers later.
D)Elements of a stimulus have their value or function only when they are combined; otherwise, the individual elements may be neutral.
E)Withholding a reinforcer increases relevant learning and performance.
F)The pairing of a neutral stimulus with a reinforcer or punisher.
G)A stimulus that is a reinforcer, though not as a result of pairing with another reinforcer.
H)A stimulus that is a punisher, though not as a result of pairing with another punisher.
I)A conditioned reinforcer that is a reinforcer because it has been paired with a variety of other reinforcers.
-Generalized conditioned reinforcer (generalized secondary reinforcer)
A)This procedure converts a neutral stimulus into a conditioned reinforcer or a conditioned punisher.
B)A stimulus that is a punisher because it has been paired with another punisher.
C)A system of generalized conditioned reinforcers in which the organism that receives those generalized reinforcers can save them and exchange them for a variety of backup reinforcers later.
D)Elements of a stimulus have their value or function only when they are combined; otherwise, the individual elements may be neutral.
E)Withholding a reinforcer increases relevant learning and performance.
F)The pairing of a neutral stimulus with a reinforcer or punisher.
G)A stimulus that is a reinforcer, though not as a result of pairing with another reinforcer.
H)A stimulus that is a punisher, though not as a result of pairing with another punisher.
I)A conditioned reinforcer that is a reinforcer because it has been paired with a variety of other reinforcers.
Unlock Deck
Unlock for access to all 69 flashcards in this deck.
Unlock Deck
k this deck
36
Match the following definitions with the terms below.
-Value-altering principle
A)This procedure converts a neutral stimulus into a conditioned reinforcer or a conditioned punisher.
B)A stimulus that is a punisher because it has been paired with another punisher.
C)A system of generalized conditioned reinforcers in which the organism that receives those generalized reinforcers can save them and exchange them for a variety of backup reinforcers later.
D)Elements of a stimulus have their value or function only when they are combined; otherwise, the individual elements may be neutral.
E)Withholding a reinforcer increases relevant learning and performance.
F)The pairing of a neutral stimulus with a reinforcer or punisher.
G)A stimulus that is a reinforcer, though not as a result of pairing with another reinforcer.
H)A stimulus that is a punisher, though not as a result of pairing with another punisher.
I)A conditioned reinforcer that is a reinforcer because it has been paired with a variety of other reinforcers.
-Value-altering principle
A)This procedure converts a neutral stimulus into a conditioned reinforcer or a conditioned punisher.
B)A stimulus that is a punisher because it has been paired with another punisher.
C)A system of generalized conditioned reinforcers in which the organism that receives those generalized reinforcers can save them and exchange them for a variety of backup reinforcers later.
D)Elements of a stimulus have their value or function only when they are combined; otherwise, the individual elements may be neutral.
E)Withholding a reinforcer increases relevant learning and performance.
F)The pairing of a neutral stimulus with a reinforcer or punisher.
G)A stimulus that is a reinforcer, though not as a result of pairing with another reinforcer.
H)A stimulus that is a punisher, though not as a result of pairing with another punisher.
I)A conditioned reinforcer that is a reinforcer because it has been paired with a variety of other reinforcers.
Unlock Deck
Unlock for access to all 69 flashcards in this deck.
Unlock Deck
k this deck
37
Match the following definitions with the terms below.
-Conditioned punisher
A)This procedure converts a neutral stimulus into a conditioned reinforcer or a conditioned punisher.
B)A stimulus that is a punisher because it has been paired with another punisher.
C)A system of generalized conditioned reinforcers in which the organism that receives those generalized reinforcers can save them and exchange them for a variety of backup reinforcers later.
D)Elements of a stimulus have their value or function only when they are combined; otherwise, the individual elements may be neutral.
E)Withholding a reinforcer increases relevant learning and performance.
F)The pairing of a neutral stimulus with a reinforcer or punisher.
G)A stimulus that is a reinforcer, though not as a result of pairing with another reinforcer.
H)A stimulus that is a punisher, though not as a result of pairing with another punisher.
I)A conditioned reinforcer that is a reinforcer because it has been paired with a variety of other reinforcers.
-Conditioned punisher
A)This procedure converts a neutral stimulus into a conditioned reinforcer or a conditioned punisher.
B)A stimulus that is a punisher because it has been paired with another punisher.
C)A system of generalized conditioned reinforcers in which the organism that receives those generalized reinforcers can save them and exchange them for a variety of backup reinforcers later.
D)Elements of a stimulus have their value or function only when they are combined; otherwise, the individual elements may be neutral.
E)Withholding a reinforcer increases relevant learning and performance.
F)The pairing of a neutral stimulus with a reinforcer or punisher.
G)A stimulus that is a reinforcer, though not as a result of pairing with another reinforcer.
H)A stimulus that is a punisher, though not as a result of pairing with another punisher.
I)A conditioned reinforcer that is a reinforcer because it has been paired with a variety of other reinforcers.
Unlock Deck
Unlock for access to all 69 flashcards in this deck.
Unlock Deck
k this deck
38
Match the following definitions with the terms below.
-Conditional stimulus
A)This procedure converts a neutral stimulus into a conditioned reinforcer or a conditioned punisher.
B)A stimulus that is a punisher because it has been paired with another punisher.
C)A system of generalized conditioned reinforcers in which the organism that receives those generalized reinforcers can save them and exchange them for a variety of backup reinforcers later.
D)Elements of a stimulus have their value or function only when they are combined; otherwise, the individual elements may be neutral.
E)Withholding a reinforcer increases relevant learning and performance.
F)The pairing of a neutral stimulus with a reinforcer or punisher.
G)A stimulus that is a reinforcer, though not as a result of pairing with another reinforcer.
H)A stimulus that is a punisher, though not as a result of pairing with another punisher.
I)A conditioned reinforcer that is a reinforcer because it has been paired with a variety of other reinforcers.
-Conditional stimulus
A)This procedure converts a neutral stimulus into a conditioned reinforcer or a conditioned punisher.
B)A stimulus that is a punisher because it has been paired with another punisher.
C)A system of generalized conditioned reinforcers in which the organism that receives those generalized reinforcers can save them and exchange them for a variety of backup reinforcers later.
D)Elements of a stimulus have their value or function only when they are combined; otherwise, the individual elements may be neutral.
E)Withholding a reinforcer increases relevant learning and performance.
F)The pairing of a neutral stimulus with a reinforcer or punisher.
G)A stimulus that is a reinforcer, though not as a result of pairing with another reinforcer.
H)A stimulus that is a punisher, though not as a result of pairing with another punisher.
I)A conditioned reinforcer that is a reinforcer because it has been paired with a variety of other reinforcers.
Unlock Deck
Unlock for access to all 69 flashcards in this deck.
Unlock Deck
k this deck
39
Match the following definitions with the terms below.
-Token economy
A)This procedure converts a neutral stimulus into a conditioned reinforcer or a conditioned punisher.
B)A stimulus that is a punisher because it has been paired with another punisher.
C)A system of generalized conditioned reinforcers in which the organism that receives those generalized reinforcers can save them and exchange them for a variety of backup reinforcers later.
D)Elements of a stimulus have their value or function only when they are combined; otherwise, the individual elements may be neutral.
E)Withholding a reinforcer increases relevant learning and performance.
F)The pairing of a neutral stimulus with a reinforcer or punisher.
G)A stimulus that is a reinforcer, though not as a result of pairing with another reinforcer.
H)A stimulus that is a punisher, though not as a result of pairing with another punisher.
I)A conditioned reinforcer that is a reinforcer because it has been paired with a variety of other reinforcers.
-Token economy
A)This procedure converts a neutral stimulus into a conditioned reinforcer or a conditioned punisher.
B)A stimulus that is a punisher because it has been paired with another punisher.
C)A system of generalized conditioned reinforcers in which the organism that receives those generalized reinforcers can save them and exchange them for a variety of backup reinforcers later.
D)Elements of a stimulus have their value or function only when they are combined; otherwise, the individual elements may be neutral.
E)Withholding a reinforcer increases relevant learning and performance.
F)The pairing of a neutral stimulus with a reinforcer or punisher.
G)A stimulus that is a reinforcer, though not as a result of pairing with another reinforcer.
H)A stimulus that is a punisher, though not as a result of pairing with another punisher.
I)A conditioned reinforcer that is a reinforcer because it has been paired with a variety of other reinforcers.
Unlock Deck
Unlock for access to all 69 flashcards in this deck.
Unlock Deck
k this deck
40
Fill in the Blank
-Conditioned reinforcer (or secondary reinforcer)
● A stimulus that is a __________________
● because it has been paired with _______________ ___________________
-Conditioned reinforcer (or secondary reinforcer)
● A stimulus that is a __________________
● because it has been paired with _______________ ___________________
Unlock Deck
Unlock for access to all 69 flashcards in this deck.
Unlock Deck
k this deck
41
Fill in the Blank
-Generalized conditioned reinforcer (generalized secondary reinforcer or generalized conditioned reinforcer)
● A ________________ reinforcer that is a reinforcer
● because it has been paired with a _________________ of other reinforcers
-Generalized conditioned reinforcer (generalized secondary reinforcer or generalized conditioned reinforcer)
● A ________________ reinforcer that is a reinforcer
● because it has been paired with a _________________ of other reinforcers
Unlock Deck
Unlock for access to all 69 flashcards in this deck.
Unlock Deck
k this deck
42
Fill in the Blank
-Unconditioned reinforcer
● A stimulus that is a ___________,
● though not as a result of ___________ with another ___________
-Unconditioned reinforcer
● A stimulus that is a ___________,
● though not as a result of ___________ with another ___________
Unlock Deck
Unlock for access to all 69 flashcards in this deck.
Unlock Deck
k this deck
43
Fill in the Blank
-Unconditioned punisher
● A ___________ that is a/an ___________,
● though not as a result of ___________ with another ___________ .
-Unconditioned punisher
● A ___________ that is a/an ___________,
● though not as a result of ___________ with another ___________ .
Unlock Deck
Unlock for access to all 69 flashcards in this deck.
Unlock Deck
k this deck
44
Fill in the Blank
-Unconditioned reinforcer
● A stimulus that is a reinforcer,
● though not as a result of _____________ with another ________________.
-Unconditioned reinforcer
● A stimulus that is a reinforcer,
● though not as a result of _____________ with another ________________.
Unlock Deck
Unlock for access to all 69 flashcards in this deck.
Unlock Deck
k this deck
45
Fill in the Blank
-Unconditioned punisher
● A stimulus that is a punisher,
● though not as a result of _____________ with another ________________.
-Unconditioned punisher
● A stimulus that is a punisher,
● though not as a result of _____________ with another ________________.
Unlock Deck
Unlock for access to all 69 flashcards in this deck.
Unlock Deck
k this deck
46
Fill in the Blank
-Generalized conditioned reinforcer (generalized secondary reinforcer)
● A conditioned reinforcer that is a reinforcer
● because it has been paired with a ______________ of other reinforcers.
-Generalized conditioned reinforcer (generalized secondary reinforcer)
● A conditioned reinforcer that is a reinforcer
● because it has been paired with a ______________ of other reinforcers.
Unlock Deck
Unlock for access to all 69 flashcards in this deck.
Unlock Deck
k this deck
47
Fill in the Blank
-Conditioned punisher
● A stimulus that is a punisher
● because it has been ______________ with another ________________.
-Conditioned punisher
● A stimulus that is a punisher
● because it has been ______________ with another ________________.
Unlock Deck
Unlock for access to all 69 flashcards in this deck.
Unlock Deck
k this deck
48
Fill in the Blank
-Pairing procedure
The pairing of a ________________________ stimulus with
a reinforcer or punisher.
-Pairing procedure
The pairing of a ________________________ stimulus with
a reinforcer or punisher.
Unlock Deck
Unlock for access to all 69 flashcards in this deck.
Unlock Deck
k this deck
49
Fill in the Blank
-Conditional stimulus
Elements of a stimulus
have their value or _________________________
only when they are _________________________
otherwise, the individual elements may be ____________________________.
-Conditional stimulus
Elements of a stimulus
have their value or _________________________
only when they are _________________________
otherwise, the individual elements may be ____________________________.
Unlock Deck
Unlock for access to all 69 flashcards in this deck.
Unlock Deck
k this deck
50
Fill in the Blank
-Token economy
A system of ______________________________ conditioned reinforcers
in which the organism that receives those ______________ reinforcers can save them and
exchange them for a variety of backup ____________________________ later.
-Token economy
A system of ______________________________ conditioned reinforcers
in which the organism that receives those ______________ reinforcers can save them and
exchange them for a variety of backup ____________________________ later.
Unlock Deck
Unlock for access to all 69 flashcards in this deck.
Unlock Deck
k this deck
51
Fill in the Blank
-Value-altering principle
The _______________________________ procedure
converts a _____________________________ stimulus into
a conditioned _______________ or ______________ punisher.
-Value-altering principle
The _______________________________ procedure
converts a _____________________________ stimulus into
a conditioned _______________ or ______________ punisher.
Unlock Deck
Unlock for access to all 69 flashcards in this deck.
Unlock Deck
k this deck
52
Define the following concepts:
-Pairing procedure
-Pairing procedure
Unlock Deck
Unlock for access to all 69 flashcards in this deck.
Unlock Deck
k this deck
53
Define the following concepts:
-Value-altering principle
-Value-altering principle
Unlock Deck
Unlock for access to all 69 flashcards in this deck.
Unlock Deck
k this deck
54
Define the following concepts:
-Conditional stimulus
-Conditional stimulus
Unlock Deck
Unlock for access to all 69 flashcards in this deck.
Unlock Deck
k this deck
55
Define the following concepts:
-Conditioned reinforcer (secondary reinforcer)
-Conditioned reinforcer (secondary reinforcer)
Unlock Deck
Unlock for access to all 69 flashcards in this deck.
Unlock Deck
k this deck
56
Define the following concepts:
-Unconditioned reinforcer
-Unconditioned reinforcer
Unlock Deck
Unlock for access to all 69 flashcards in this deck.
Unlock Deck
k this deck
57
Define the following concepts:
-Generalized conditioned reinforcer (generalized secondary reinforcer)
-Generalized conditioned reinforcer (generalized secondary reinforcer)
Unlock Deck
Unlock for access to all 69 flashcards in this deck.
Unlock Deck
k this deck
58
For each of the following concepts, provide an example from the book or from your own life.
-Pairing procedure
-Pairing procedure
Unlock Deck
Unlock for access to all 69 flashcards in this deck.
Unlock Deck
k this deck
59
For each of the following concepts, provide an example from the book or from your own life.
-Value-altering principle
-Value-altering principle
Unlock Deck
Unlock for access to all 69 flashcards in this deck.
Unlock Deck
k this deck
60
For each of the following concepts, provide an example from the book or from your own life.
-Conditional stimulus
-Conditional stimulus
Unlock Deck
Unlock for access to all 69 flashcards in this deck.
Unlock Deck
k this deck
61
For each of the following concepts, provide an example from the book or from your own life.
-Token economy
-Token economy
Unlock Deck
Unlock for access to all 69 flashcards in this deck.
Unlock Deck
k this deck
62
For each of the following concepts, provide an example from the book or from your own life.
-Conditioned reinforcer (secondary reinforcer)
-Conditioned reinforcer (secondary reinforcer)
Unlock Deck
Unlock for access to all 69 flashcards in this deck.
Unlock Deck
k this deck
63
For each of the following concepts, provide an example from the book or from your own life.
-Unconditioned reinforcer
-Unconditioned reinforcer
Unlock Deck
Unlock for access to all 69 flashcards in this deck.
Unlock Deck
k this deck
64
For each of the following concepts, provide an example from the book or from your own life.
-Unconditioned punisher
-Unconditioned punisher
Unlock Deck
Unlock for access to all 69 flashcards in this deck.
Unlock Deck
k this deck
65
For each of the following concepts, provide an example from the book or from your own life.
-Conditioned punisher
-Conditioned punisher
Unlock Deck
Unlock for access to all 69 flashcards in this deck.
Unlock Deck
k this deck
66
For each of the following concepts, provide an example from the book or from your own life.
-Generalized conditioned reinforcer (generalized secondary reinforcer)
-Generalized conditioned reinforcer (generalized secondary reinforcer)
Unlock Deck
Unlock for access to all 69 flashcards in this deck.
Unlock Deck
k this deck
67
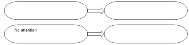
Fill in the empty boxes for the next questions. (Examples from the book or original examples are cool.)
-Diagram the establishment of attention as a conditioned reinforcer.
Be specific - don't just put "reinforcer"

-Diagram the establishment of attention as a conditioned reinforcer.
Be specific - don't just put "reinforcer"

Unlock Deck
Unlock for access to all 69 flashcards in this deck.
Unlock Deck
k this deck
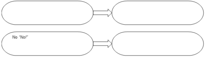
68
Fill in the empty boxes for the next questions. (Examples from the book or original examples are cool.)
-Diagram the establishment of "No!" as a conditioned punisher for a young child, using the presentation of a punisher (not the loss of a reinforcer).
Be specific - don't just put "punisher".
Pairing with a Punisher

-Diagram the establishment of "No!" as a conditioned punisher for a young child, using the presentation of a punisher (not the loss of a reinforcer).
Be specific - don't just put "punisher".
Pairing with a Punisher

Unlock Deck
Unlock for access to all 69 flashcards in this deck.
Unlock Deck
k this deck
69
Fill in the empty boxes for the next questions. (Examples from the book or original examples are cool.)
-Diagram the establishment of "no!" as a conditioned punisher for a young child using the loss of a reinforcer. (Note: This diagram should not be the same as the previous pairing diagram.)
Pairing with the loss of Reinforcers

-Diagram the establishment of "no!" as a conditioned punisher for a young child using the loss of a reinforcer. (Note: This diagram should not be the same as the previous pairing diagram.)
Pairing with the loss of Reinforcers

Unlock Deck
Unlock for access to all 69 flashcards in this deck.
Unlock Deck
k this deck

