Deck 15: Carboxylic Acids and Their Derivatives-Nucleophilic Acyl Substitution
Question
Question
Question
Question
Question
Question
Question
Question
Question
Question
Question
Question
Question
Question
Question
Question
Question
Question
Question
Unlock Deck
Sign up to unlock the cards in this deck!
Unlock Deck
Unlock Deck
1/19
Play
Full screen (f)
Deck 15: Carboxylic Acids and Their Derivatives-Nucleophilic Acyl Substitution
1
Will the following reaction occur?


True
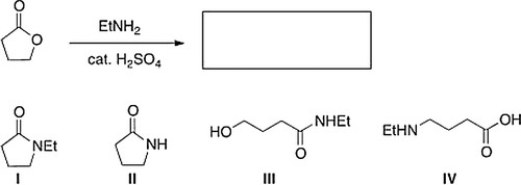
2
What is the product of the following reaction? 
A) IV
B) II
C) I
D) III

A) IV
B) II
C) I
D) III
II
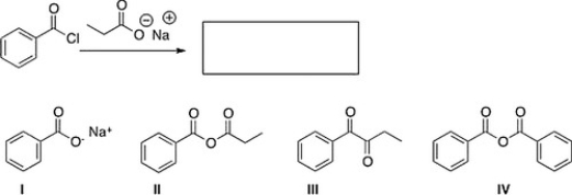
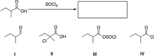
3
What is the product of the following reaction? 
A) III
B) I
C) II
D) IV

A) III
B) I
C) II
D) IV
IV
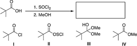
4
What is the product of the following reaction? 
A) I
B) III
C) II
D) IV

A) I
B) III
C) II
D) IV
Unlock Deck
Unlock for access to all 19 flashcards in this deck.
Unlock Deck
k this deck
5
What is the missing reagent in the reaction below? 
A) SOCl2
B) Acetic acid
C) NaOMe
D) Pyridine

A) SOCl2
B) Acetic acid
C) NaOMe
D) Pyridine
Unlock Deck
Unlock for access to all 19 flashcards in this deck.
Unlock Deck
k this deck
6
Give the IUPAC name for the following compound. 
A) 3-hexanoate
B) 4-hexanoate
C) Butyl ethanoate
D) Ethyl butanoate

A) 3-hexanoate
B) 4-hexanoate
C) Butyl ethanoate
D) Ethyl butanoate
Unlock Deck
Unlock for access to all 19 flashcards in this deck.
Unlock Deck
k this deck
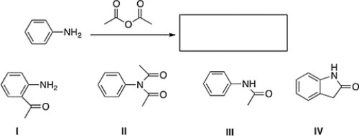
7
What is the product of the following reaction? 
A) III
B) IV
C) I
D) II

A) III
B) IV
C) I
D) II
Unlock Deck
Unlock for access to all 19 flashcards in this deck.
Unlock Deck
k this deck
8
Acetyl coenzyme A is commonly used to perform the following type of organic reaction:
A) Wittig reaction
B) Acyl transfer reaction
C) Reduction
D) Oxidation
A) Wittig reaction
B) Acyl transfer reaction
C) Reduction
D) Oxidation
Unlock Deck
Unlock for access to all 19 flashcards in this deck.
Unlock Deck
k this deck
9
How can you convert a carboxylic acid into an acid chloride?
A) React with Cl2 and FeCl3.
B) Heat with hydrochloric acid.
C) React with sodium chloride.
D) React with thionyl chloride (SOCl2).
A) React with Cl2 and FeCl3.
B) Heat with hydrochloric acid.
C) React with sodium chloride.
D) React with thionyl chloride (SOCl2).
Unlock Deck
Unlock for access to all 19 flashcards in this deck.
Unlock Deck
k this deck
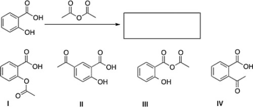
10
What is the product of the following reaction? 
A) IV
B) I
C) III
D) II

A) IV
B) I
C) III
D) II
Unlock Deck
Unlock for access to all 19 flashcards in this deck.
Unlock Deck
k this deck
11
What is the IUPAC name for the following compound? 
A) Phenyl acetate
B) Phenyl propanoate
C) Propionyl phenol
D) Phenol propanoate

A) Phenyl acetate
B) Phenyl propanoate
C) Propionyl phenol
D) Phenol propanoate
Unlock Deck
Unlock for access to all 19 flashcards in this deck.
Unlock Deck
k this deck
12
Which of the following peaks would you see in the IR spectrum of a carboxylic acid?
A) A sharp line at 2250 cm-1
B) A broad peak from 800-600 cm-1
C) A flat line (carboxylic acids are not IR active)
D) A broad peak from 3800-2800 cm-1
A) A sharp line at 2250 cm-1
B) A broad peak from 800-600 cm-1
C) A flat line (carboxylic acids are not IR active)
D) A broad peak from 3800-2800 cm-1
Unlock Deck
Unlock for access to all 19 flashcards in this deck.
Unlock Deck
k this deck
13
Which of the following statements about amides is true?
A) Amides are hydrolyzed in acid or base to form carboxylic acids or carboxylate anions.
B) Amides do not react under any conditions. They are inert compounds.
C) Amides react with thionyl chloride to form the acid chloride.
D) Amides react with methyl alcohol in the presence of an acid catalyst to form an ester.
A) Amides are hydrolyzed in acid or base to form carboxylic acids or carboxylate anions.
B) Amides do not react under any conditions. They are inert compounds.
C) Amides react with thionyl chloride to form the acid chloride.
D) Amides react with methyl alcohol in the presence of an acid catalyst to form an ester.
Unlock Deck
Unlock for access to all 19 flashcards in this deck.
Unlock Deck
k this deck
14
What reagent(s) would be needed to complete the following organic reaction?
I. CH3NH2
II. NH4Cl
III. NH3
IV. H2O

A) III
B) II
C) I
D) IV
I. CH3NH2
II. NH4Cl
III. NH3
IV. H2O

A) III
B) II
C) I
D) IV
Unlock Deck
Unlock for access to all 19 flashcards in this deck.
Unlock Deck
k this deck
15
Will the following reaction occur?


Unlock Deck
Unlock for access to all 19 flashcards in this deck.
Unlock Deck
k this deck
16
What is the product of the following reaction? 
A) I
B) III
C) II
D) IV

A) I
B) III
C) II
D) IV
Unlock Deck
Unlock for access to all 19 flashcards in this deck.
Unlock Deck
k this deck
17
What is the product of the following reaction? 
A) I
B) III
C) IV
D) II

A) I
B) III
C) IV
D) II
Unlock Deck
Unlock for access to all 19 flashcards in this deck.
Unlock Deck
k this deck
18
Will the following reaction occur?


Unlock Deck
Unlock for access to all 19 flashcards in this deck.
Unlock Deck
k this deck
19
What is the product of the following reaction? 
A) II
B) I
C) III
D) IV

A) II
B) I
C) III
D) IV
Unlock Deck
Unlock for access to all 19 flashcards in this deck.
Unlock Deck
k this deck

