Deck 12: Introduction to Carbonyl Chemistry; Organometallic Reagents; Oxidation and Reduction
Question
Question
Question
Question
Question
Question
Question
Question
Question
Question
Question
Question
Question
Question
Unlock Deck
Sign up to unlock the cards in this deck!
Unlock Deck
Unlock Deck
1/14
Play
Full screen (f)
Deck 12: Introduction to Carbonyl Chemistry; Organometallic Reagents; Oxidation and Reduction
1
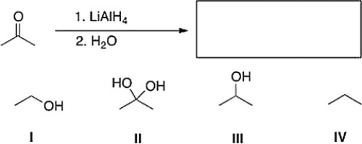
What is the product of the following reaction? 
A) II
B) III
C) I
D) IV

A) II
B) III
C) I
D) IV
II
2
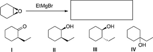
What is the product of the following reaction? 
A) II
B) IV
C) III
D) I

A) II
B) IV
C) III
D) I
III
3
The reduction of 2-butanone with sodium borohydride will result in a product with the following type of stereochemistry:
A) An enantiomeric excess of one enantiomer
B) A meso compound
C) A mix of diastereomers
D) A racemic mixture
A) An enantiomeric excess of one enantiomer
B) A meso compound
C) A mix of diastereomers
D) A racemic mixture
A racemic mixture
4
What is the product of the following reaction? 
A) III
B) IV
C) II
D) I

A) III
B) IV
C) II
D) I
Unlock Deck
Unlock for access to all 14 flashcards in this deck.
Unlock Deck
k this deck
5
If the starting material has no stereogenic centers, when carbonyl compounds are reduced with a reagent such as LiAlH4 or NaBH4 and a new stereogenic center is formed, what will the composition of the product mixture be?
A) Forms a racemic mixture of the two possible enantiomers
B) Forms different products depending on the solvent used
C) Forms more of one enantiomer than another depending on the temperature of the reaction
D) Forms more of one enantiomer than another because of steric reactions around the carbonyl
A) Forms a racemic mixture of the two possible enantiomers
B) Forms different products depending on the solvent used
C) Forms more of one enantiomer than another depending on the temperature of the reaction
D) Forms more of one enantiomer than another because of steric reactions around the carbonyl
Unlock Deck
Unlock for access to all 14 flashcards in this deck.
Unlock Deck
k this deck
6
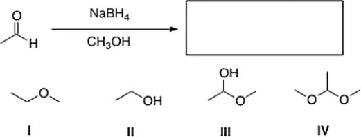
What is the product of the following reaction? 
A) I
B) III
C) II
D) IV

A) I
B) III
C) II
D) IV
Unlock Deck
Unlock for access to all 14 flashcards in this deck.
Unlock Deck
k this deck
7
What is the missing reagent in the reaction below? ![<strong>What is the missing reagent in the reaction below? </strong> A) LiAlH<sub>4</sub> B) [1] Mg, [2] CO<sub>2</sub>, [3] acidic work-up C) [1] CO<sub>2</sub>, [2] acidic work-up D) [1] CO<sub>2</sub>, [2] NaOH](https://d2lvgg3v3hfg70.cloudfront.net/TBMG1035/11ee4665_5d01_1fa5_862d_b3aaea1c93a1_TBMG1035_00.jpg)
A) LiAlH4
B) [1] Mg, [2] CO2, [3] acidic work-up
C) [1] CO2, [2] acidic work-up
D) [1] CO2, [2] NaOH
![<strong>What is the missing reagent in the reaction below? </strong> A) LiAlH<sub>4</sub> B) [1] Mg, [2] CO<sub>2</sub>, [3] acidic work-up C) [1] CO<sub>2</sub>, [2] acidic work-up D) [1] CO<sub>2</sub>, [2] NaOH](https://d2lvgg3v3hfg70.cloudfront.net/TBMG1035/11ee4665_5d01_1fa5_862d_b3aaea1c93a1_TBMG1035_00.jpg)
A) LiAlH4
B) [1] Mg, [2] CO2, [3] acidic work-up
C) [1] CO2, [2] acidic work-up
D) [1] CO2, [2] NaOH
Unlock Deck
Unlock for access to all 14 flashcards in this deck.
Unlock Deck
k this deck
8
What is the product of the following reaction? 
A) IV
B) II
C) I
D) III

A) IV
B) II
C) I
D) III
Unlock Deck
Unlock for access to all 14 flashcards in this deck.
Unlock Deck
k this deck
9
What is the product of the following reaction? 
A) IV
B) I
C) III
D) II

A) IV
B) I
C) III
D) II
Unlock Deck
Unlock for access to all 14 flashcards in this deck.
Unlock Deck
k this deck
10
Both LiAlH4 and NaBH4 are reducing agents. Which statement about these reagents is true?
A) Both reagents contain polar metal-hydrogen bonds. The polarity of the B-H bond is less than the polarity of the Al-H bond, so LiAlH4 is the stronger reducing agent.
B) Both reagents contain polar metal-hydrogen bonds. The polarity of the B-H bond is greater than the polarity of the Al-H bond, so LiAlH4 is the weaker reducing agent.
C) Both reagents contain polar metal-hydrogen bonds. The polarity of the B-H bond is greater than the polarity of the Al-H bond, so LiAlH4 is the stronger reducing agent.
D) Both reagents contain polar metal-hydrogen bonds. The polarity of the B-H bond is less than the polarity of the Al-H bond, so LiAlH4 is the weaker reducing agent.
A) Both reagents contain polar metal-hydrogen bonds. The polarity of the B-H bond is less than the polarity of the Al-H bond, so LiAlH4 is the stronger reducing agent.
B) Both reagents contain polar metal-hydrogen bonds. The polarity of the B-H bond is greater than the polarity of the Al-H bond, so LiAlH4 is the weaker reducing agent.
C) Both reagents contain polar metal-hydrogen bonds. The polarity of the B-H bond is greater than the polarity of the Al-H bond, so LiAlH4 is the stronger reducing agent.
D) Both reagents contain polar metal-hydrogen bonds. The polarity of the B-H bond is less than the polarity of the Al-H bond, so LiAlH4 is the weaker reducing agent.
Unlock Deck
Unlock for access to all 14 flashcards in this deck.
Unlock Deck
k this deck
11
What is the starting material in the reaction below? 
A) Benzoic acid
B) Benzyl bromide
C) Lithium benzoate
D) Bromobenzene

A) Benzoic acid
B) Benzyl bromide
C) Lithium benzoate
D) Bromobenzene
Unlock Deck
Unlock for access to all 14 flashcards in this deck.
Unlock Deck
k this deck
12
A carbonyl group, C=O, and an alkene, C=C, double bonds are bothsp2 hybridized. However, the chemistry of these two functional groups is very different. This can be explained by which of the following statements?
A) The electronegative oxygen of the C=O group makes this bond polar.
B) There is more steric crowding in the carbonyl than in the alkene.
C) The bond of the C=C is longer that the bond of the C=O.
D) The bond angle of the carbonyl is larger than the bond angle of the alkene.
A) The electronegative oxygen of the C=O group makes this bond polar.
B) There is more steric crowding in the carbonyl than in the alkene.
C) The bond of the C=C is longer that the bond of the C=O.
D) The bond angle of the carbonyl is larger than the bond angle of the alkene.
Unlock Deck
Unlock for access to all 14 flashcards in this deck.
Unlock Deck
k this deck
13
Why would the alcohol in the following compound need to be protected before reaction? 
A) There is no need to protect the alcohol.
B) Magnesium is Lewis acidic and will coordinate with the alcohol.
C) The Grignard reagent will react with the alcohol before the ketone.
D) If it isn't protected, the product will be a carboxylic acid.

A) There is no need to protect the alcohol.
B) Magnesium is Lewis acidic and will coordinate with the alcohol.
C) The Grignard reagent will react with the alcohol before the ketone.
D) If it isn't protected, the product will be a carboxylic acid.
Unlock Deck
Unlock for access to all 14 flashcards in this deck.
Unlock Deck
k this deck
14
What is the missing reagent in the reaction below? ![<strong>What is the missing reagent in the reaction below? </strong> A) [1] (CH<sub>3</sub>)<sub>2</sub>CuLi (excess), [2] H<sub>2</sub>O B) [1] DIBAL-H, [2] H<sub>2</sub>O C) [1] LiAlH<sub>4</sub>, [2] H<sub>2</sub>O D) [1] CH<sub>3</sub>MgBr (excess), [2] H<sub>2</sub>O](https://d2lvgg3v3hfg70.cloudfront.net/TBMG1035/11ee4665_5d01_46ba_862d_535e88c2b0ce_TBMG1035_00.jpg)
A) [1] (CH3)2CuLi (excess), [2] H2O
B) [1] DIBAL-H, [2] H2O
C) [1] LiAlH4, [2] H2O
D) [1] CH3MgBr (excess), [2] H2O
![<strong>What is the missing reagent in the reaction below? </strong> A) [1] (CH<sub>3</sub>)<sub>2</sub>CuLi (excess), [2] H<sub>2</sub>O B) [1] DIBAL-H, [2] H<sub>2</sub>O C) [1] LiAlH<sub>4</sub>, [2] H<sub>2</sub>O D) [1] CH<sub>3</sub>MgBr (excess), [2] H<sub>2</sub>O](https://d2lvgg3v3hfg70.cloudfront.net/TBMG1035/11ee4665_5d01_46ba_862d_535e88c2b0ce_TBMG1035_00.jpg)
A) [1] (CH3)2CuLi (excess), [2] H2O
B) [1] DIBAL-H, [2] H2O
C) [1] LiAlH4, [2] H2O
D) [1] CH3MgBr (excess), [2] H2O
Unlock Deck
Unlock for access to all 14 flashcards in this deck.
Unlock Deck
k this deck

