Deck 10: Organic Chemistrystructure
Question
Question
Question
Question
Question
Question
Question
Question
Question
Question
Question
Question
Question
Question
Question
Question
Question
Question
Question
Question
Question
Question
Question
Question
Question
Question
Question
Question
Question
Question
Question
Question
Question
Question
Question
Question
Question
Question
Question
Question
Question
Question
Question
Question
Question
Question
Question
Question
Question
Question
Question
Question
Question
Question
Question
Question
Question
Unlock Deck
Sign up to unlock the cards in this deck!
Unlock Deck
Unlock Deck
1/57
Play
Full screen (f)
Deck 10: Organic Chemistrystructure
1
Draw and name hydrocarbons using the IUPAC system.
The IUPAC system of nomenclature gives each compound a unique name.
2
Draw and name aromatic compounds using the IUPAC system.
All six carbon atoms in benzene are equivalent.
3
Draw and name compounds containing common functional groups.
The IUPAC system can be used to unambiguously assign a name to any compound.
4
Recognize, name, and draw stereoisomers and conformations.
Unlock Deck
Unlock for access to all 57 flashcards in this deck.
Unlock Deck
k this deck
5
What is the correct name for the line structure shown below? 
A) 2-methylhexane
B) 2-methylheptane
C) 5-methylhexane
D) 1,1-dimethylpentane
E) 2-butylpropane

A) 2-methylhexane
B) 2-methylheptane
C) 5-methylhexane
D) 1,1-dimethylpentane
E) 2-butylpropane
Unlock Deck
Unlock for access to all 57 flashcards in this deck.
Unlock Deck
k this deck
6
What is the correct name for the structure below? 
A) 2-ethylpentane
B) 2-propylbutane
C) 3-ethylpentane
D) 3-methylhexane
E) 4-methylhexane

A) 2-ethylpentane
B) 2-propylbutane
C) 3-ethylpentane
D) 3-methylhexane
E) 4-methylhexane
Unlock Deck
Unlock for access to all 57 flashcards in this deck.
Unlock Deck
k this deck
7
What is the correct name for the structure below? 
A) 1,1-dimethylheptan-3,5-diene
B) 6,6-dimethylheptan-1,3-diene
C) 6,6,6-trimethylhexan-1,3-diene
D) 1,1,1-trimethylhesan-3,5-diene
E) 6,6-dimethylhexane-1,3-diene

A) 1,1-dimethylheptan-3,5-diene
B) 6,6-dimethylheptan-1,3-diene
C) 6,6,6-trimethylhexan-1,3-diene
D) 1,1,1-trimethylhesan-3,5-diene
E) 6,6-dimethylhexane-1,3-diene
Unlock Deck
Unlock for access to all 57 flashcards in this deck.
Unlock Deck
k this deck
8
What is the correct name for the structure below? 
A) propane
B) cyclobutane
C) cyclopropane
D) butane
E) isobutene

A) propane
B) cyclobutane
C) cyclopropane
D) butane
E) isobutene
Unlock Deck
Unlock for access to all 57 flashcards in this deck.
Unlock Deck
k this deck
9
What is the correct name for the CH3CH2C(CH3)(CH2CH3)CH2CH2CH3?
A) nonane
B) 4-ethyl-4-methylhexane
C) 1-propyl-1-ethylbutane
D) 3-ethyl-3-methylhexane
E) 1-propyl-1ethyl-1-ethylpropane
A) nonane
B) 4-ethyl-4-methylhexane
C) 1-propyl-1-ethylbutane
D) 3-ethyl-3-methylhexane
E) 1-propyl-1ethyl-1-ethylpropane
Unlock Deck
Unlock for access to all 57 flashcards in this deck.
Unlock Deck
k this deck
10
What is the correct name for the structure below? 
A) 1-methyl-3-ethylcyclopentane
B) 1-ethyl-3-methylcyclopentane
C) cycloctane
D) 1-ethyl-4-methylcyclopentane
E) 1-methyl-4-ethylcyclopentane

A) 1-methyl-3-ethylcyclopentane
B) 1-ethyl-3-methylcyclopentane
C) cycloctane
D) 1-ethyl-4-methylcyclopentane
E) 1-methyl-4-ethylcyclopentane
Unlock Deck
Unlock for access to all 57 flashcards in this deck.
Unlock Deck
k this deck
11
What is the correct name for the line structure shown below? 
A) 3-chloroethylcyclopentane
B) 1-chloro-3-ethylcyclopentane
C) 4-chloroethylcyclopentane
D) 1-chloro-4-ethylcyclopentane
E) 3-chloroethylpentane

A) 3-chloroethylcyclopentane
B) 1-chloro-3-ethylcyclopentane
C) 4-chloroethylcyclopentane
D) 1-chloro-4-ethylcyclopentane
E) 3-chloroethylpentane
Unlock Deck
Unlock for access to all 57 flashcards in this deck.
Unlock Deck
k this deck
12
The IUPAC name for
is
A) 6-ethyl-3,4-dimethylheptane.
B) 2-ethyl-4,5-dimethylheptane.
C) 3,4,6-trimethyloctane.
D) 3,5,6-trimethyloctane.
E) 2-(1-methylpropyl)-4-methylhexane.
isA) 6-ethyl-3,4-dimethylheptane.
B) 2-ethyl-4,5-dimethylheptane.
C) 3,4,6-trimethyloctane.
D) 3,5,6-trimethyloctane.
E) 2-(1-methylpropyl)-4-methylhexane.
Unlock Deck
Unlock for access to all 57 flashcards in this deck.
Unlock Deck
k this deck
13
An IUPAC name for
is
A) 5-methyl-4-(1-methylpropyl)hexane.
B) 2-methyl-3-(1-methylpropyl)hexane.
C) 2-methyl-3-(2-methylpropyl)hexane.
D) 3-methyl-4-(1-methylethyl)heptane.
E) 5-methyl-4-(1-methylethyl)heptane.
isA) 5-methyl-4-(1-methylpropyl)hexane.
B) 2-methyl-3-(1-methylpropyl)hexane.
C) 2-methyl-3-(2-methylpropyl)hexane.
D) 3-methyl-4-(1-methylethyl)heptane.
E) 5-methyl-4-(1-methylethyl)heptane.
Unlock Deck
Unlock for access to all 57 flashcards in this deck.
Unlock Deck
k this deck
14
A correct IUPAC name for the following compound is 
A) 2,5-Dimethyl-3-propylheptane.
B) 3,6-Dimethyl-5-propylheptane.
C) 6-Methyl-4-(1-methylethyl)octane.
D) 2-Methyl-3-(2-methylbutyl)hexane.
E) 3-Methyl-5-(1-methylethyl)octane.

A) 2,5-Dimethyl-3-propylheptane.
B) 3,6-Dimethyl-5-propylheptane.
C) 6-Methyl-4-(1-methylethyl)octane.
D) 2-Methyl-3-(2-methylbutyl)hexane.
E) 3-Methyl-5-(1-methylethyl)octane.
Unlock Deck
Unlock for access to all 57 flashcards in this deck.
Unlock Deck
k this deck
15
A correct IUPAC name for the following compound is 
A) 4-propyl-5-chloro-3-heptanol.
B) 4-propyl-3-chloro-5-heptanol.
C) 4-(1-chloropropyl)-3-heptanol.
D) 5-chloro-4-propyl-3-heptanol.
E) 3-hydroxy-4-propyl-5-chloroheptane.

A) 4-propyl-5-chloro-3-heptanol.
B) 4-propyl-3-chloro-5-heptanol.
C) 4-(1-chloropropyl)-3-heptanol.
D) 5-chloro-4-propyl-3-heptanol.
E) 3-hydroxy-4-propyl-5-chloroheptane.
Unlock Deck
Unlock for access to all 57 flashcards in this deck.
Unlock Deck
k this deck
16
Which of the following is bicyclo[3.2.2]nonane? ![<strong>Which of the following is bicyclo[3.2.2]nonane? </strong> A) I B) II C) III D) IV E) V](https://d2lvgg3v3hfg70.cloudfront.net/TB9687/11ee726d_d449_c4b0_827e_65cf74234376_TB9687_00.jpg)
A) I
B) II
C) III
D) IV
E) V
![<strong>Which of the following is bicyclo[3.2.2]nonane? </strong> A) I B) II C) III D) IV E) V](https://d2lvgg3v3hfg70.cloudfront.net/TB9687/11ee726d_d449_c4b0_827e_65cf74234376_TB9687_00.jpg)
A) I
B) II
C) III
D) IV
E) V
Unlock Deck
Unlock for access to all 57 flashcards in this deck.
Unlock Deck
k this deck
17
Select the systematic name for 
A) cis-1,3-Dichlorocyclopentane
B) trans-1,4-Dichlorocyclopentane
C) cis-1,2-Dichlorocyclopentane
D) trans-1,3-Dichlorocyclopentane
E) 1,1-Dichlorocyclopentane

A) cis-1,3-Dichlorocyclopentane
B) trans-1,4-Dichlorocyclopentane
C) cis-1,2-Dichlorocyclopentane
D) trans-1,3-Dichlorocyclopentane
E) 1,1-Dichlorocyclopentane
Unlock Deck
Unlock for access to all 57 flashcards in this deck.
Unlock Deck
k this deck
18
Which compound is bicycloheptane? 
A) I
B) II
C) III
D) IV
E) V

A) I
B) II
C) III
D) IV
E) V
Unlock Deck
Unlock for access to all 57 flashcards in this deck.
Unlock Deck
k this deck
19
4-amino-2-chlorophenol is 
A) I.
B) II.
C) III.
D) IV.
E) V.

A) I.
B) II.
C) III.
D) IV.
E) V.
Unlock Deck
Unlock for access to all 57 flashcards in this deck.
Unlock Deck
k this deck
20
The correct name for the compound below is 
A) 3,4-Dibromoaniline.
B) 2,4-Dibromoaniline.
C) 2,5-Dibromoaniline.
D) 3,6-Dibromoaniline.
E) 2,6-Dibromoaniline.

A) 3,4-Dibromoaniline.
B) 2,4-Dibromoaniline.
C) 2,5-Dibromoaniline.
D) 3,6-Dibromoaniline.
E) 2,6-Dibromoaniline.
Unlock Deck
Unlock for access to all 57 flashcards in this deck.
Unlock Deck
k this deck
21
Which compound below is a secondary alcohol?
A)

B)

C)

D) CH3CH2CH2CH2OH
E) CH3CH2CH2OCH3
A)

B)

C)

D) CH3CH2CH2CH2OH
E) CH3CH2CH2OCH3
Unlock Deck
Unlock for access to all 57 flashcards in this deck.
Unlock Deck
k this deck
22
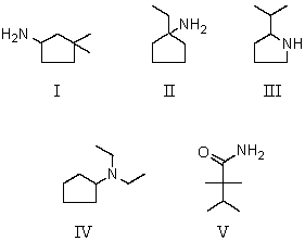
Which compound is a secondary amine?
A) CH3CH2CH2NH2
B)

C)

D)

E)

A) CH3CH2CH2NH2
B)

C)

D)

E)

Unlock Deck
Unlock for access to all 57 flashcards in this deck.
Unlock Deck
k this deck
23
Which compound is an aldehyde? 
A) I
B) II
C) III
D) IV
E) V

A) I
B) II
C) III
D) IV
E) V
Unlock Deck
Unlock for access to all 57 flashcards in this deck.
Unlock Deck
k this deck
24
Which compound is a ketone?
A)

B)

C)

D)

E)

A)

B)

C)

D)

E)

Unlock Deck
Unlock for access to all 57 flashcards in this deck.
Unlock Deck
k this deck
25
Which compound is an ester? 
A) I
B) II
C) III
D) IV
E) V

A) I
B) II
C) III
D) IV
E) V
Unlock Deck
Unlock for access to all 57 flashcards in this deck.
Unlock Deck
k this deck
26
The compound shown below is a synthetic estrogen. It is marketed as an oral contraceptive under the name Enovid.
In addition to an alkane (actually cycloalkane) skeleton, the Enovid molecule also contains the following functional groups:
A) ether, alcohol, alkyne
B) aldehyde, alkene, alkyne, alcohol
C) alcohol, carboxylic acid, alkene, alkyne
D) ketone, alkene, alcohol, alkyne
E) amine, alkene, ether, alkyne
In addition to an alkane (actually cycloalkane) skeleton, the Enovid molecule also contains the following functional groups:A) ether, alcohol, alkyne
B) aldehyde, alkene, alkyne, alcohol
C) alcohol, carboxylic acid, alkene, alkyne
D) ketone, alkene, alcohol, alkyne
E) amine, alkene, ether, alkyne
Unlock Deck
Unlock for access to all 57 flashcards in this deck.
Unlock Deck
k this deck
27
Which is a 3o alkyl halide? 
A) I
B) II
C) III
D) IV
E) V

A) I
B) II
C) III
D) IV
E) V
Unlock Deck
Unlock for access to all 57 flashcards in this deck.
Unlock Deck
k this deck
28
Which is the 3o amine? 
A) I
B) II
C) III
D) IV
E) V

A) I
B) II
C) III
D) IV
E) V
Unlock Deck
Unlock for access to all 57 flashcards in this deck.
Unlock Deck
k this deck
29
Which functional group is NOT contained in prostaglandin E1? 
A) ketone
B) 2o alcohol
C) 3o alcohol
D) carboxylic acid
E) alkene

A) ketone
B) 2o alcohol
C) 3o alcohol
D) carboxylic acid
E) alkene
Unlock Deck
Unlock for access to all 57 flashcards in this deck.
Unlock Deck
k this deck
30
The compound below is an adrenocortical hormone called cortisone. Which functional group is not present in cortisone? 
A) 1o alcohol
B) 2o alcohol
C) 3o alcohol
D) ketone
E) alkene

A) 1o alcohol
B) 2o alcohol
C) 3o alcohol
D) ketone
E) alkene
Unlock Deck
Unlock for access to all 57 flashcards in this deck.
Unlock Deck
k this deck
31
The compound shown below is a substance called Capsaicin, found in varying concentrations in several varieties of hot peppers, and responsible for their respective degrees of "heat". Which functional groups are present in the molecule of capsaicin? 
A) alkene, ketone, amine, alcohol, ester
B) alkene, ketone, alcohol, ether
C) alkene, amine, phenol, ether
D) ether, phenol, alkene, amide
E) ester, phenol, alkene, amide

A) alkene, ketone, amine, alcohol, ester
B) alkene, ketone, alcohol, ether
C) alkene, amine, phenol, ether
D) ether, phenol, alkene, amide
E) ester, phenol, alkene, amide
Unlock Deck
Unlock for access to all 57 flashcards in this deck.
Unlock Deck
k this deck
32
Drawn below is Atropine, found in Atropa belladonna, sometimes used in dilating pupils during an eye exam. Which of the following functional groups is NOT in atropine? 
A) amine
B) ester
C) alcohol
D) benzene ring
E) ketone

A) amine
B) ester
C) alcohol
D) benzene ring
E) ketone
Unlock Deck
Unlock for access to all 57 flashcards in this deck.
Unlock Deck
k this deck
33
The compound shown below is the male sex hormone, testosterone.
Which functional groups are present in the molecule?
A) alkene, ester, tertiary alcohol
B) alkene, ether, secondary alcohol
C) alkene, ketone, secondary alcohol
D) alkyne, ketone, secondary alcohol
E) alkene, ketone, tertiary alcohol
Which functional groups are present in the molecule?A) alkene, ester, tertiary alcohol
B) alkene, ether, secondary alcohol
C) alkene, ketone, secondary alcohol
D) alkyne, ketone, secondary alcohol
E) alkene, ketone, tertiary alcohol
Unlock Deck
Unlock for access to all 57 flashcards in this deck.
Unlock Deck
k this deck
34
Which is a carboxylic acid? 
A) I
B) II
C) III
D) IV
E) V

A) I
B) II
C) III
D) IV
E) V
Unlock Deck
Unlock for access to all 57 flashcards in this deck.
Unlock Deck
k this deck
35
Which compound is a tertiary alcohol? 
A) I
B) II
C) III
D) IV
E) V

A) I
B) II
C) III
D) IV
E) V
Unlock Deck
Unlock for access to all 57 flashcards in this deck.
Unlock Deck
k this deck
36
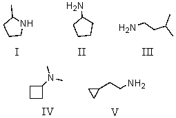
Which compound is a primary amine with the formula C5H13N? 
A) I
B) II
C) III
D) IV
E) V

A) I
B) II
C) III
D) IV
E) V
Unlock Deck
Unlock for access to all 57 flashcards in this deck.
Unlock Deck
k this deck
37
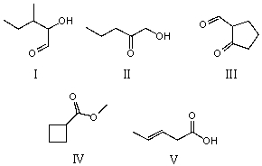
Which compound can be classified as an ester as well as a ketone? 
A) I
B) II
C) III
D) IV
E) V

A) I
B) II
C) III
D) IV
E) V
Unlock Deck
Unlock for access to all 57 flashcards in this deck.
Unlock Deck
k this deck
38
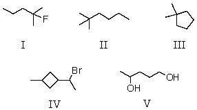
Which compound(s) contain(s) tertiary carbon atom(s)? 
A) I, II, III
B) I
C) II, III
D) I, IV
E) V

A) I, II, III
B) I
C) II, III
D) I, IV
E) V
Unlock Deck
Unlock for access to all 57 flashcards in this deck.
Unlock Deck
k this deck
39
Which of the following is the enantiomer of the following substance? 
A) I
B) II
C) III
D) It does not have a non-superposable enantiomer.

A) I
B) II
C) III
D) It does not have a non-superposable enantiomer.
Unlock Deck
Unlock for access to all 57 flashcards in this deck.
Unlock Deck
k this deck
40
Which of the following molecules is achiral? 
A) I
B) II
C) III
D) IV
E) V

A) I
B) II
C) III
D) IV
E) V
Unlock Deck
Unlock for access to all 57 flashcards in this deck.
Unlock Deck
k this deck
41
I and II are 
A) constitutional isomers.
B) enantiomers.
C) non-superposable mirror images.
D) diastereomers.
E) non-isomeric.

A) constitutional isomers.
B) enantiomers.
C) non-superposable mirror images.
D) diastereomers.
E) non-isomeric.
Unlock Deck
Unlock for access to all 57 flashcards in this deck.
Unlock Deck
k this deck
42
Pairs of enantiomers are 
A) I, II and III, IV.
B) I, II.
C) III, IV.
D) IV, V.
E) I, IV.

A) I, II and III, IV.
B) I, II.
C) III, IV.
D) IV, V.
E) I, IV.
Unlock Deck
Unlock for access to all 57 flashcards in this deck.
Unlock Deck
k this deck
43
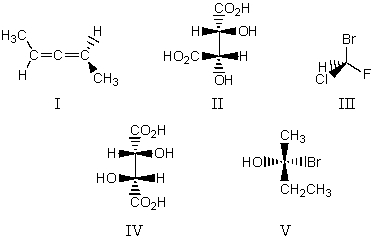
Chiral molecules are represented by 
A) I, II, III, IV, and V.
B) I, II, III, and IV.
C) I and II.
D) III and IV.
E) IV.

A) I, II, III, IV, and V.
B) I, II, III, and IV.
C) I and II.
D) III and IV.
E) IV.
Unlock Deck
Unlock for access to all 57 flashcards in this deck.
Unlock Deck
k this deck
44
The molecules shown are 
A) constitutional isomers.
B) enatiomers.
C) diasteromers.
D) identical.
E) stereoisomers.

A) constitutional isomers.
B) enatiomers.
C) diasteromers.
D) identical.
E) stereoisomers.
Unlock Deck
Unlock for access to all 57 flashcards in this deck.
Unlock Deck
k this deck
45
The molecules shown are 
A) enantiomers.
B) diasteromers.
C) constitutional isomers.
D) two conformations of the same molecule.
E) not isomeric.

A) enantiomers.
B) diasteromers.
C) constitutional isomers.
D) two conformations of the same molecule.
E) not isomeric.
Unlock Deck
Unlock for access to all 57 flashcards in this deck.
Unlock Deck
k this deck
46
The molecules shown are 
A) constitutional isomers.
B) enantiomers.
C) diastereomers.
D) identical.
E) stereoisomers.

A) constitutional isomers.
B) enantiomers.
C) diastereomers.
D) identical.
E) stereoisomers.
Unlock Deck
Unlock for access to all 57 flashcards in this deck.
Unlock Deck
k this deck
47
The molecules below are 
A) constitutional isomers.
B) enantiomers.
C) diastereomers.
D) identical.
E) stereoisomers.

A) constitutional isomers.
B) enantiomers.
C) diastereomers.
D) identical.
E) stereoisomers.
Unlock Deck
Unlock for access to all 57 flashcards in this deck.
Unlock Deck
k this deck
48
The molecules shown are 
A) enantiomers.
B) diastereomers.
C) constitutional isomers.
D) two different conformations of the same molecule.
E) not isomeric.

A) enantiomers.
B) diastereomers.
C) constitutional isomers.
D) two different conformations of the same molecule.
E) not isomeric.
Unlock Deck
Unlock for access to all 57 flashcards in this deck.
Unlock Deck
k this deck
49
The molecules below are 
A) constitutional isomers.
B) enantiomers.
C) diastereomers.
D) identical.
E) stereoisomers.

A) constitutional isomers.
B) enantiomers.
C) diastereomers.
D) identical.
E) stereoisomers.
Unlock Deck
Unlock for access to all 57 flashcards in this deck.
Unlock Deck
k this deck
50
Which molecule (s) is(are) achiral? 
A) I
B) II
C) III
D) I and II
E) I and III

A) I
B) II
C) III
D) I and II
E) I and III
Unlock Deck
Unlock for access to all 57 flashcards in this deck.
Unlock Deck
k this deck
51
Which molecule(s) is(are) achiral? 
A) I
B) II
C) III
D) I and II
E) I and III

A) I
B) II
C) III
D) I and II
E) I and III
Unlock Deck
Unlock for access to all 57 flashcards in this deck.
Unlock Deck
k this deck
52
Which of the following represent (R)-2-butanol? 
A) III and IV
B) I, III, IV and V
C) I, IV and V
D) I and III
E) I, II, IV and V

A) III and IV
B) I, III, IV and V
C) I, IV and V
D) I and III
E) I, II, IV and V
Unlock Deck
Unlock for access to all 57 flashcards in this deck.
Unlock Deck
k this deck
53
Which structure represents (S)-1-chloro-1-fluoroethane? 
A) I
B) II
C) III
D) I and II
E) I and III

A) I
B) II
C) III
D) I and II
E) I and III
Unlock Deck
Unlock for access to all 57 flashcards in this deck.
Unlock Deck
k this deck
54
Which structure represents (R)-1-chloro-1-fluoroethane? 
A) I
B) II
C) III
D) I and II
E) I and III

A) I
B) II
C) III
D) I and II
E) I and III
Unlock Deck
Unlock for access to all 57 flashcards in this deck.
Unlock Deck
k this deck
55
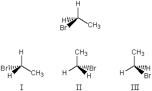
Which structure represents (S)-2-bromobutane? 
A) I
B) II
C) III
D) I and II
E) I and III

A) I
B) II
C) III
D) I and II
E) I and III
Unlock Deck
Unlock for access to all 57 flashcards in this deck.
Unlock Deck
k this deck
56
is properly namedA) (3R,4S,5R)- 3,5-Dichloro-4-methylhexane.
B) (2S,3S,4S)- 2,4-Dichloro-3-methylhexane.
C) (2S,3R,4R)- 2,4-Dichloro-3-methylhexane.
D) (2S,3R,4S)-2,4-Dichloro-3-methylhexane.
E) (2S,3S,4R)- 2,4-Dichloro-3-methylhexane.
Unlock Deck
Unlock for access to all 57 flashcards in this deck.
Unlock Deck
k this deck
57
Draw the line structure of 2-propanol.
Unlock Deck
Unlock for access to all 57 flashcards in this deck.
Unlock Deck
k this deck

