Deck 15: Monopoly and Antitrust Policy
Question
Question
Question
Question
Question
Question
Question
Question
Question
Question
Question
Question
Question
Question
Question
Question
Question
Question
Question
Question
Question
Question
Question
Question
Question
Question
Question
Question
Question
Question
Question
Question
Question
Question
Question
Question
Question
Question
Question
Question
Question
Question
Question
Question
Question
Question
Question
Question
Question
Question
Question
Question
Question
Question
Question
Unlock Deck
Sign up to unlock the cards in this deck!
Unlock Deck
Unlock Deck
1/55
Play
Full screen (f)
Deck 15: Monopoly and Antitrust Policy
1
The Private Express Statutes enacted in 1934
A) allowed the Post Office to begin delivering packages to people living in rural areas of the country.
B) formally established the General Post Office and made it illegal for anyone to set up a competing system of mail delivery.
C) made it illegal for anyone other than a postal employee to put anything in a residential mailbox.
D) officially replaced the Post Office with the U.S. Postal Service, which operates as an independent agency of the federal government.
A) allowed the Post Office to begin delivering packages to people living in rural areas of the country.
B) formally established the General Post Office and made it illegal for anyone to set up a competing system of mail delivery.
C) made it illegal for anyone other than a postal employee to put anything in a residential mailbox.
D) officially replaced the Post Office with the U.S. Postal Service, which operates as an independent agency of the federal government.
made it illegal for anyone other than a postal employee to put anything in a residential mailbox.
2
Abolishing the U.S. Postal Service would do all of the following except
A) possibly end regular mail delivery on Saturdays.
B) raise the cost of mailing newspapers and magazines.
C) make it more difficult for companies like UPS and FedEx to compete in the package delivery industry.
D) eliminate regular mail delivery to some rural areas.
A) possibly end regular mail delivery on Saturdays.
B) raise the cost of mailing newspapers and magazines.
C) make it more difficult for companies like UPS and FedEx to compete in the package delivery industry.
D) eliminate regular mail delivery to some rural areas.
make it more difficult for companies like UPS and FedEx to compete in the package delivery industry.
3
The creation of the Internet and smartphones and the rise of e-mail and text messaging have led to ________ in the quantity of letters and other first-class mail since 2000.
A) a 45 percent decline
B) virtually no change
C) a slight increase
D) an almost 90 percent drop
A) a 45 percent decline
B) virtually no change
C) a slight increase
D) an almost 90 percent drop
a 45 percent decline
4
The U.S. Postal Service has a legal monopoly on delivering all of the following types of mail to residential mailboxes except
A) first-class mail, such as letters and bills.
B) marketing mail, such as advertising circulars and catalogs.
C) packages.
D) periodicals, such as newspapers and magazines.
A) first-class mail, such as letters and bills.
B) marketing mail, such as advertising circulars and catalogs.
C) packages.
D) periodicals, such as newspapers and magazines.
Unlock Deck
Unlock for access to all 55 flashcards in this deck.
Unlock Deck
k this deck
5
Figure 15-4 shows the demand and cost curves for a monopolist.
-Refer to Figure 15-4. What is the amount of the monopoly's total revenue?
A) $21,600
B) $20,400
C) $19,740
D) $7,800
Unlock Deck
Unlock for access to all 55 flashcards in this deck.
Unlock Deck
k this deck
6
Figure 15-4 shows the demand and cost curves for a monopolist.
-Refer to Figure 15-4. What is the amount of the monopoly's total cost of production?
A) $21,600
B) $17,700
C) $9,340
D) $7,800
Unlock Deck
Unlock for access to all 55 flashcards in this deck.
Unlock Deck
k this deck
7
Figure 15-4 shows the demand and cost curves for a monopolist.
-Refer to Figure 15-4. What is the amount of the monopoly's profit?
A) $2,700
B) $4,200
C) $10,400
D) $12,600
Unlock Deck
Unlock for access to all 55 flashcards in this deck.
Unlock Deck
k this deck
8
Figure 15-6 shows the cost and demand curves for a monopolist.
-Refer to Figure 15-6. The monopolist's total revenue is
A) $1,116.
B) $1,488.
C) $1,726.40
D) $1,826.
Unlock Deck
Unlock for access to all 55 flashcards in this deck.
Unlock Deck
k this deck
9
Figure 15-6 shows the cost and demand curves for a monopolist.
-Refer to Figure 15-6. The monopolist's total cost is
A) $1,116.
B) $1,240.
C) $1,660.
D) $1,726.40.
Unlock Deck
Unlock for access to all 55 flashcards in this deck.
Unlock Deck
k this deck
10
Neem Products sells its Ayurvedic Neem toothpaste in two completely isolated markets with demand schedules as shown in Table 15-5. The average cost of production is constant at $2 per tube.
-Refer to Table 15-5. How many tubes of toothpaste will Neem sell in Middle Fall and at what price?
A) Q = 2 units; P = $7
B) Q = 3 units; P = $6
C) Q = 4 units; P = $5
D) Q = 5 units; P = $4
Unlock Deck
Unlock for access to all 55 flashcards in this deck.
Unlock Deck
k this deck
11
Neem Products sells its Ayurvedic Neem toothpaste in two completely isolated markets with demand schedules as shown in Table 15-5. The average cost of production is constant at $2 per tube.
-Refer to Table 15-5. How many tubes of toothpaste will Neem sell in West Fall and at what price?
A) Q = 2 units; P = $4.50
B) Q = 3 units; P = $4
C) Q = 4 units; P = $3.50
D) Q = 5 units; P = $3
Unlock Deck
Unlock for access to all 55 flashcards in this deck.
Unlock Deck
k this deck
12
Neem Products sells its Ayurvedic Neem toothpaste in two completely isolated markets with demand schedules as shown in Table 15-5. The average cost of production is constant at $2 per tube.
-Refer to Table 15-5. What is the total revenue received from both markets combined?
A) $30
B) $34
C) $68
D) $70
Unlock Deck
Unlock for access to all 55 flashcards in this deck.
Unlock Deck
k this deck
13
Neem Products sells its Ayurvedic Neem toothpaste in two completely isolated markets with demand schedules as shown in Table 15-5. The average cost of production is constant at $2 per tube.
-Refer to Table 15-5. What are the total profits from both markets combined?
A) $50
B) $48
C) $18
D) $15
Unlock Deck
Unlock for access to all 55 flashcards in this deck.
Unlock Deck
k this deck
14
Neem Products sells its Ayurvedic Neem toothpaste in two completely isolated markets with demand schedules as shown in Table 15-5. The average cost of production is constant at $2 per tube.
-Refer to Table 15-5. Which of the following statements is true about the two markets?
A) The demand in Middle Fall is more price elastic than the demand in West Fall.
B) The demand in Middle Fall is less price elastic than the demand in West Fall.
C) The demand in Middle Fall is more income elastic than the demand in West Fall.
D) The demand in Middle Fall is less income elastic than the demand in West Fall.
Unlock Deck
Unlock for access to all 55 flashcards in this deck.
Unlock Deck
k this deck
15
Joss is a marketing consultant. Iris and Daphne are potential customers interested in commissioning Joss to undertake a market survey and compile the findings in a report. Iris is willing to pay $500 for the service while Daphne is willing to pay $800. Suppose that the opportunity cost of Joss's time is $1,200. Assume that Iris and Daphne do not know each other. If the price of the report is $500 per copy
A) only Iris will purchase Joss's services and Joss will undertake the job for her.
B) only Daphne will purchase Joss's services and Joss will undertake the job for her.
C) both Iris and Daphne will purchase Joss's services and Joss will undertake the job.
D) both Iris and Daphne will want to purchase Joss's services but Joss will not be willing to undertake the job.
A) only Iris will purchase Joss's services and Joss will undertake the job for her.
B) only Daphne will purchase Joss's services and Joss will undertake the job for her.
C) both Iris and Daphne will purchase Joss's services and Joss will undertake the job.
D) both Iris and Daphne will want to purchase Joss's services but Joss will not be willing to undertake the job.
Unlock Deck
Unlock for access to all 55 flashcards in this deck.
Unlock Deck
k this deck
16
Joss is a marketing consultant. Iris and Daphne are potential customers interested in commissioning Joss to undertake a market survey and compile the findings in a report. Iris is willing to pay $500 for the service while Daphne is willing to pay $800. Suppose that the opportunity cost of Joss's time is $1,200. Assume that Iris and Daphne do not know each other. If the price of the report is $800 per copy
A) both Iris and Daphne will purchase Joss's services and Joss will undertake the job.
B) only Daphne will purchase Joss's services and Joss will undertake the job for her.
C) only Daphne will want to purchase Joss's services but Joss will not be willing to do the work.
D) neither Iris nor Daphne will commission the work.
A) both Iris and Daphne will purchase Joss's services and Joss will undertake the job.
B) only Daphne will purchase Joss's services and Joss will undertake the job for her.
C) only Daphne will want to purchase Joss's services but Joss will not be willing to do the work.
D) neither Iris nor Daphne will commission the work.
Unlock Deck
Unlock for access to all 55 flashcards in this deck.
Unlock Deck
k this deck
17
Joss is a marketing consultant. Iris and Daphne are potential customers interested in commissioning Joss to undertake a market survey and compile the findings in a report. Iris is willing to pay $500 for the service while Daphne is willing to pay $800. Suppose that the opportunity cost of Joss's time is $1,200. Assume that Iris and Daphne do not know each other. Which of the following statements is true?
A) Joss should charge each customer $600; that way he will earn his opportunity cost and it will be fair to both Iris and Daphne.
B) Joss should charge Iris $500 and Daphne no more than $700; that way he earns his opportunity cost and there is no loss in economic surplus.
C) Joss should charge Iris $500 and Daphne $800; that way economic surplus is maximized.
D) Joss should charge Iris $500 but charging Daphne $800 is unfair because it allows Joss to earn more than his opportunity cost.
A) Joss should charge each customer $600; that way he will earn his opportunity cost and it will be fair to both Iris and Daphne.
B) Joss should charge Iris $500 and Daphne no more than $700; that way he earns his opportunity cost and there is no loss in economic surplus.
C) Joss should charge Iris $500 and Daphne $800; that way economic surplus is maximized.
D) Joss should charge Iris $500 but charging Daphne $800 is unfair because it allows Joss to earn more than his opportunity cost.
Unlock Deck
Unlock for access to all 55 flashcards in this deck.
Unlock Deck
k this deck
18

-Refer to Figure 15-15. With perfect price discrimination, the firm will produce and sell
A) Q1 units.
B) Q2 units.
C) Q3 units.
D) Q4 units.
Unlock Deck
Unlock for access to all 55 flashcards in this deck.
Unlock Deck
k this deck
19

-Refer to Figure 15-15. What is the price charged under perfect price discrimination?
A) P3
B) P4
C) a range of prices corresponding to the demand curve from P3 and above
D) a range of prices corresponding to the demand curve from P4 and above
Unlock Deck
Unlock for access to all 55 flashcards in this deck.
Unlock Deck
k this deck
20

-Refer to Figure 15-15. What is the consumer surplus received under perfect price discrimination?
A) the area under the demand curve above P1
B) the area under the demand curve above P3
C) the area under the demand curve above P4
D) zero
Unlock Deck
Unlock for access to all 55 flashcards in this deck.
Unlock Deck
k this deck
21

-Refer to Figure 15-15. What is the economically efficient output level?
A) Q1 units
B) Q2 units
C) Q3 units
D) Q4 units
Unlock Deck
Unlock for access to all 55 flashcards in this deck.
Unlock Deck
k this deck
22

Plato Playhouse, a theatre company in the university town of Wegg, caters to two groups of customers:
students and the non-student population.
Figure 15-16 shows the demand curves for the two groups of customers.
-Refer to Figure 15-16. Suppose Plato Playhouse price discriminates. What is the price charged in the two markets?
A) price in the student market = price in the non-student market = Pa
B) price in the student market = price in the non-student market = Pb
C) price in the student market = Pd; price in the non-student market = Pe
D) price in the student market = Pc; price in the non-student market = Pe
Unlock Deck
Unlock for access to all 55 flashcards in this deck.
Unlock Deck
k this deck
23

Plato Playhouse, a theatre company in the university town of Wegg, caters to two groups of customers:
students and the non-student population.
Figure 15-16 shows the demand curves for the two groups of customers.
-Refer to Figure 15-16. Suppose Plato Playhouse price discriminates. What is the quantity sold to each group of customers and what is the total quantity sold?
A) quantity sold to students = Qb; quantity sold to non-students = Qb; total sales = Qa
B) quantity sold to students = Qc; quantity sold to non-students = Qb; total sales = Qb + Qc
C) quantity sold to students = Qc; quantity sold to non-students = Qe; total sales = Qe + Qc
D) quantity sold to students = Qc; quantity sold to non-students = Qd; total sales = Qd + Qc
Unlock Deck
Unlock for access to all 55 flashcards in this deck.
Unlock Deck
k this deck
24

Plato Playhouse, a theatre company in the university town of Wegg, caters to two groups of customers:
students and the non-student population.
Figure 15-16 shows the demand curves for the two groups of customers.
-Refer to Figure 15-16. Suppose Plato Playhouse price discriminates. Which of the following statements is true?
A) By charging two different prices, the theatre company has redistributed some profits from those who can pay higher prices to those who cannot, thereby increasing economic efficiency.
B) By charging two different prices, the theatre company essentially allows those willing to pay higher prices to subsidize those who are not.
C) By charging two different prices, the theatre company has redistributed some profits from those who can pay higher prices to those who cannot, thereby improving equity.
D) Plato Playhouse will earn higher profits if it charges a single price-an average of the two prices- instead of charging two different prices to the two different groups of customers.
Unlock Deck
Unlock for access to all 55 flashcards in this deck.
Unlock Deck
k this deck
25

Plato Playhouse, a theatre company in the university town of Wegg, caters to two groups of customers:
students and the non-student population.
Figure 15-16 shows the demand curves for the two groups of customers.
-Refer to Figure 15-16. Suppose Plato Playhouse charges a single price of Pd for each performance. Which of the following statements is true?
A) The company is selling more than the profit-maximizing quantity in the non-student market and less than the profit-maximizing quantity in the student market.
B) The company is selling less than the profit-maximizing quantity in the non-student market and more than the profit-maximizing quantity in the student market.
C) The company is selling less than the profit-maximizing quantity in both markets but it is maximizing its revenue.
D) The company is selling less than the profit-maximizing quantity in both markets.
Unlock Deck
Unlock for access to all 55 flashcards in this deck.
Unlock Deck
k this deck
26
Chantal owns a hairdressing salon which caters to two main groups of customers: residents of "The Chateau," a retirement community, and other residents in the neighborhood. Figure 15-17 shows the demand curves for the residents of the retirement community, labeled Market A, and other residents in the neighborhood, labeled Market B. The demand curves are not identical.
-Refer to Figure 15-17. Suppose the salon price discriminates. What prices are charged in the two markets?
A) price in market A = price in market B = $15
B) price in market A = $10; price in market B = $15
C) price in market A = price in market B = $5
D) price in market A = price in market B = $10
Unlock Deck
Unlock for access to all 55 flashcards in this deck.
Unlock Deck
k this deck
27
Chantal owns a hairdressing salon which caters to two main groups of customers: residents of "The Chateau," a retirement community, and other residents in the neighborhood. Figure 15-17 shows the demand curves for the residents of the retirement community, labeled Market A, and other residents in the neighborhood, labeled Market B. The demand curves are not identical.
-Refer to Figure 15-17. Which group of customers is likely to have a more elastic demand curve (more sensitive to price)?
A) the other residents of the neighborhood-market B
B) There is no difference in the elasticity of demand between the two groups.
C) the customers from "The Chateau"-market A
D) There is insufficient information to answer this question.
Unlock Deck
Unlock for access to all 55 flashcards in this deck.
Unlock Deck
k this deck
28
Chantal owns a hairdressing salon which caters to two main groups of customers: residents of "The Chateau," a retirement community, and other residents in the neighborhood. Figure 15-17 shows the demand curves for the residents of the retirement community, labeled Market A, and other residents in the neighborhood, labeled Market B. The demand curves are not identical.
-Refer to Figure 15-17. Suppose Chantal practices price discrimination. Which of the following statements is true?
A) Chantal's profits will be higher if she has uniform pricing instead of different prices for different groups of customers.
B) By charging a higher price in market B, Chantal has transferred some of the consumer surplus from customers in market B to customers in market A.
C) By charging different prices in markets A and B, Chantal can transfer some producer surplus into economic profit.
D) By charging a higher price in market B, Chantal can convert some consumer surplus into economic profit.
Unlock Deck
Unlock for access to all 55 flashcards in this deck.
Unlock Deck
k this deck
29
Chantal owns a hairdressing salon which caters to two main groups of customers: residents of "The Chateau," a retirement community, and other residents in the neighborhood. Figure 15-17 shows the demand curves for the residents of the retirement community, labeled Market A, and other residents in the neighborhood, labeled Market B. The demand curves are not identical.
-Refer to Figure 15-17. Suppose Chantal charges all her customers a uniform price of $10 for a haircut. Which of the following statements is true?
A) Chantal is selling more than the profit-maximizing quantity of haircuts in market B.
B) Chantal is selling less than the profit-maximizing quantity of haircuts in market B.
C) Chantal is maximizing revenue in market B.
D) Chantal will earn a greater profit through uniform pricing than if she practices price discriminates.
Unlock Deck
Unlock for access to all 55 flashcards in this deck.
Unlock Deck
k this deck
30
Julie plans to start a pet-sitting service. She surveyed her neighborhood to determine the demand for this service. Assume that each person surveyed demands only one hour of pet sitting services per period. Table 15-6 above shows a portion of her survey results.
-Refer to Table 15-6. If Julie charges $10 per hour, how many hours of pet sitting services will be purchased and by whom?
A) 2 hours (1 hour by Cara and 1 hour by Dawn)
B) 1 hour by Cara only
C) 1 hour by Dawn only
D) 3 hours (1 hour each by Arun, Bernice, and Cara)
Unlock Deck
Unlock for access to all 55 flashcards in this deck.
Unlock Deck
k this deck
31
Julie plans to start a pet-sitting service. She surveyed her neighborhood to determine the demand for this service. Assume that each person surveyed demands only one hour of pet sitting services per period. Table 15-6 above shows a portion of her survey results.
-Refer to Table 15-6. If Julie charges $10 per hour, what is the value of the consumer surplus received by Dawn?
A) $2
B) $10
C) $12
D) $22
Unlock Deck
Unlock for access to all 55 flashcards in this deck.
Unlock Deck
k this deck
32
Julie plans to start a pet-sitting service. She surveyed her neighborhood to determine the demand for this service. Assume that each person surveyed demands only one hour of pet sitting services per period. Table 15-6 above shows a portion of her survey results.
-Refer to Table 15-6. Suppose Julie's marginal cost of providing this service is constant at $7 and she charges $7. How many hours will be purchased and what is her total revenue?
A) 5 hours; total revenue = $35
B) 4 hours; total revenue = $28
C) 3 hours; total revenue = $21
D) 2 hours; total revenue = $14
Unlock Deck
Unlock for access to all 55 flashcards in this deck.
Unlock Deck
k this deck
33
Julie plans to start a pet-sitting service. She surveyed her neighborhood to determine the demand for this service. Assume that each person surveyed demands only one hour of pet sitting services per period. Table 15-6 above shows a portion of her survey results.
-Refer to Table 15-6. Suppose Julie's marginal cost of providing this service is constant at $7 and she charges $7 per hour. What is her marginal revenue?
A) It is $7 for the first hour and starts declining thereafter.
B) It is $7 for the first hour and starts increasing thereafter.
C) It is constant at $7.
D) It coincides with the figures in the table; $12 for the first hour, $10 for the second, $9 for the third, and $8 for the fourth.
Unlock Deck
Unlock for access to all 55 flashcards in this deck.
Unlock Deck
k this deck
34
Julie plans to start a pet-sitting service. She surveyed her neighborhood to determine the demand for this service. Assume that each person surveyed demands only one hour of pet sitting services per period. Table 15-6 above shows a portion of her survey results.
-Refer to Table 15-6. Suppose Julie's marginal cost of providing this service is constant at $7 and she charges $7. What is the value of the consumer surplus enjoyed by her customers?
A) $39
B) $28
C) $11
D) $0
Unlock Deck
Unlock for access to all 55 flashcards in this deck.
Unlock Deck
k this deck
35
Julie plans to start a pet-sitting service. She surveyed her neighborhood to determine the demand for this service. Assume that each person surveyed demands only one hour of pet sitting services per period. Table 15-6 above shows a portion of her survey results.
-Refer to Table 15-6. Suppose Julie's marginal cost of providing this service is constant at $7 and she decides to charge each customer according to his or her willingness to pay. What is Julie's total revenue and how many hours of service will be purchased?
A) 4 hours and her total revenue = $39
B) 4 hours and her total revenue = $28
C) 1 hour and her total revenue = $7
D) 5 hours and her total revenue = $35
Unlock Deck
Unlock for access to all 55 flashcards in this deck.
Unlock Deck
k this deck
36
Julie plans to start a pet-sitting service. She surveyed her neighborhood to determine the demand for this service. Assume that each person surveyed demands only one hour of pet sitting services per period. Table 15-6 above shows a portion of her survey results.
-Refer to Table 15-6. Suppose Julie's marginal cost of providing this service is constant at $7 and she decides to charge each customer according to his or her willingness to pay. What is the value of consumer surplus by her customers?
A) $39
B) $28
C) $11
D) $0
Unlock Deck
Unlock for access to all 55 flashcards in this deck.
Unlock Deck
k this deck
37
Julie plans to start a pet-sitting service. She surveyed her neighborhood to determine the demand for this service. Assume that each person surveyed demands only one hour of pet sitting services per period. Table 15-6 above shows a portion of her survey results.
-Refer to Table 15-6. Suppose Julie's marginal cost of providing this service is constant at $7 and she charges each customer according to his or her willingness to pay instead of a uniform price of $7. Which of the following statements is true?
A) Julie is worse off because the demand for her services is reduced.
B) Julie has converted the consumer surplus (from a uniform price) into economic profit.
C) Julie's customers are better off because their consumer surplus has increased.
D) Julie's has converted the producer surplus (from a uniform price) into consumer surplus.
Unlock Deck
Unlock for access to all 55 flashcards in this deck.
Unlock Deck
k this deck
38
Delaware and North Dakota have identical state gasoline taxes of 23.0 cents per gallon. When added to the federal gasoline tax of 18.4 cents per gallon, the total tax on one gallon of gasoline in these two states is 41.4 cents. On January 30, 2020, the average price of one gallon of regular gasoline was $2.23 in Delaware and $2.43 in North Dakota.
Sources: worldpopulationreview.com and gasprices.aaa.com
Briefly explain whether this is an example of price discrimination. Assume that the gasoline being sold is identical in both states and there is no cost difference in the gasoline.
Sources: worldpopulationreview.com and gasprices.aaa.com
Briefly explain whether this is an example of price discrimination. Assume that the gasoline being sold is identical in both states and there is no cost difference in the gasoline.
Unlock Deck
Unlock for access to all 55 flashcards in this deck.
Unlock Deck
k this deck
39

-Refer to Figure 15-18. Graph (a) represents a monopolist who cannot price discriminate and graph (b) represents a monopolist practicing perfect price discrimination. On each graph, identify the monopoly price, the monopoly output, the efficient output, and the areas representing profit, consumer surplus, and deadweight loss.
Unlock Deck
Unlock for access to all 55 flashcards in this deck.
Unlock Deck
k this deck
40
Which of the following is not one of the four key points raised by economists and policymakers who are skeptical that large technology firms like Google, Facebook, and Amazon should be broken up or subjected to stringent new regulations?
A) The markets these firms compete in are smaller than is sometimes realized.
B) New firms have the ability to enter these markets and compte with these firms.
C) Consumers have benefited from the services these firms offer, and those benefits might be reduced if the firms were broken up.
D) Congress can address concerns about privacy separately from antitrust issues.
A) The markets these firms compete in are smaller than is sometimes realized.
B) New firms have the ability to enter these markets and compte with these firms.
C) Consumers have benefited from the services these firms offer, and those benefits might be reduced if the firms were broken up.
D) Congress can address concerns about privacy separately from antitrust issues.
Unlock Deck
Unlock for access to all 55 flashcards in this deck.
Unlock Deck
k this deck
41
Alphabet, the parent company of Google, announced it has reached an agreement to buy Fitbit in an all-cash deal for $2.1 billion. The acquisition is subject to U.S. Department of Justice (DOJ) approval. The DOJ has expressed concerns regarding the Fitbit user data that Google will have access to if the acquisition is completed, especially data sold to Google without the consent of Fitbit users. The wearable technology industry has also expressed concerns that the merger would create an industry dominated by only two firms, Google and Apple.
Source: Gabriela Barkho, "DOJ Probes Google's Fitbit Acquisition Over Consumer Health Data Concerns," observer.com, December 11, 2019.
-Refer to the Article Summary. The standards used by the Department of Justice and the FTC to evaluate a potential acquisition such as the one regarding Google and Fitbit are based on market concentration as determined by the
A) Herfindahl-Hirschman Index.
B) Clayton Antitrust Act.
C) Anti-Collusion Task Force.
D) Robinson-Patman Act.
Source: Gabriela Barkho, "DOJ Probes Google's Fitbit Acquisition Over Consumer Health Data Concerns," observer.com, December 11, 2019.
-Refer to the Article Summary. The standards used by the Department of Justice and the FTC to evaluate a potential acquisition such as the one regarding Google and Fitbit are based on market concentration as determined by the
A) Herfindahl-Hirschman Index.
B) Clayton Antitrust Act.
C) Anti-Collusion Task Force.
D) Robinson-Patman Act.
Unlock Deck
Unlock for access to all 55 flashcards in this deck.
Unlock Deck
k this deck
42
Alphabet, the parent company of Google, announced it has reached an agreement to buy Fitbit in an all-cash deal for $2.1 billion. The acquisition is subject to U.S. Department of Justice (DOJ) approval. The DOJ has expressed concerns regarding the Fitbit user data that Google will have access to if the acquisition is completed, especially data sold to Google without the consent of Fitbit users. The wearable technology industry has also expressed concerns that the merger would create an industry dominated by only two firms, Google and Apple.
Source: Gabriela Barkho, "DOJ Probes Google's Fitbit Acquisition Over Consumer Health Data Concerns," observer.com, December 11, 2019.
-Refer to the Article Summary. A merger between two competitors such as Google and Fitbit may ultimately be approved by the Department of Justice and the FTC if the two companies can substantiate ________ as a result of the merger.
A) increases in revenue for the merged company
B) an increase in the HHI to over 2,500
C) decreases in marginal revenue for the merged company
D) increases in economic efficiency
Source: Gabriela Barkho, "DOJ Probes Google's Fitbit Acquisition Over Consumer Health Data Concerns," observer.com, December 11, 2019.
-Refer to the Article Summary. A merger between two competitors such as Google and Fitbit may ultimately be approved by the Department of Justice and the FTC if the two companies can substantiate ________ as a result of the merger.
A) increases in revenue for the merged company
B) an increase in the HHI to over 2,500
C) decreases in marginal revenue for the merged company
D) increases in economic efficiency
Unlock Deck
Unlock for access to all 55 flashcards in this deck.
Unlock Deck
k this deck
43
Figure 15-19 shows the cost and demand curves for the Erickson Power Company.
-Refer to Figure 15-19. Erickson Power is a natural monopoly because
A) it is a power company and all power companies are natural monopolies.
B) average total cost is still declining when it intersects demand.
C) of its continually declining marginal revenue curve as output rises.
D) its marginal cost lies entirely below its long-run average cost.
Unlock Deck
Unlock for access to all 55 flashcards in this deck.
Unlock Deck
k this deck
44
Figure 15-19 shows the cost and demand curves for the Erickson Power Company.
-Refer to Figure 15-19. The firm would maximize profit by producing
A) Q1 units.
B) Q2 units.
C) Q3 units.
D) Q4 units.
Unlock Deck
Unlock for access to all 55 flashcards in this deck.
Unlock Deck
k this deck
45
Figure 15-19 shows the cost and demand curves for the Erickson Power Company.
-Refer to Figure 15-19. The profit-maximizing price is
A) P1.
B) P2.
C) P3.
D) P4.
Unlock Deck
Unlock for access to all 55 flashcards in this deck.
Unlock Deck
k this deck
46
Figure 15-19 shows the cost and demand curves for the Erickson Power Company.
-Refer to Figure 15-19. If the government regulates Erickson Power Company so that the firm can earn a normal profit, the price would be set at ________ and the output level is ________.
A) P1; Q4
B) P2; Q3
C) P2; Q2
D) P3; Q2
Unlock Deck
Unlock for access to all 55 flashcards in this deck.
Unlock Deck
k this deck
47
Figure 15-19 shows the cost and demand curves for the Erickson Power Company.
-Refer to Figure 15-19. What is the economically efficient output level and what is the price at that level?
A) Q4, P1
B) Q3, P2
C) Q2, P2
D) Q2, P3
Unlock Deck
Unlock for access to all 55 flashcards in this deck.
Unlock Deck
k this deck
48
Figure 15-19 shows the cost and demand curves for the Erickson Power Company.
-Refer to Figure 15-19. Why won't regulators require that Erickson Power produce the economically efficient output level?
A) because there is insufficient demand at that output level
B) because at the economically efficient output level, the marginal cost of producing the last unit sold exceeds the consumers' marginal value for that last unit
C) because Erickson Power will earn zero profit
D) because Erickson Power will sustain persistent losses and will not continue in business in the long run
Unlock Deck
Unlock for access to all 55 flashcards in this deck.
Unlock Deck
k this deck
49
In 1973, Congress established the Economics Section of the Department of Justice's Antitrust Division. How did antitrust policy change?
A) For the first time horizontal mergers were allowed-with government approval-and vertical mergers were allowed without need for approval from the government.
B) For the first time concentration ratios were used to evaluate the degree of competition in the industries of firms that proposed mergers.
C) The economists who work in this division began evaluate the economic consequences of proposed mergers.
D) Proposed mergers no longer needed the approval of the Federal Trade Commission or the court system.
A) For the first time horizontal mergers were allowed-with government approval-and vertical mergers were allowed without need for approval from the government.
B) For the first time concentration ratios were used to evaluate the degree of competition in the industries of firms that proposed mergers.
C) The economists who work in this division began evaluate the economic consequences of proposed mergers.
D) Proposed mergers no longer needed the approval of the Federal Trade Commission or the court system.
Unlock Deck
Unlock for access to all 55 flashcards in this deck.
Unlock Deck
k this deck
50

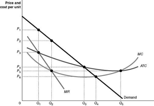
Figure 15-20 shows the market demand and cost curves facing a natural monopoly.
-Refer to Figure 15-20. Suppose the government regulates this industry in order to remove the inefficiency implied by the behavior of the profit-maximizing owners. If regulators require that the firm produces the economically efficient output level, what is this level and what price will be charged?
A) Q4 units; P6
B) Q1 units; P4
C) Q1 units; P1
D) Q3 units; P3
Unlock Deck
Unlock for access to all 55 flashcards in this deck.
Unlock Deck
k this deck
51

Figure 15-20 shows the market demand and cost curves facing a natural monopoly.
-Refer to Figure 15-20. Which of the following would be true if government regulators require the natural monopoly to produce at the economically efficient output level?
A) This results in a misallocation of resources.
B) The marginal cost of producing the last unit sold exceeds the marginal benefit.
C) The firm will sustain persistent losses and will not continue in business in the long run.
D) The firm will break even.
Unlock Deck
Unlock for access to all 55 flashcards in this deck.
Unlock Deck
k this deck
52

Figure 15-20 shows the market demand and cost curves facing a natural monopoly.
-Refer to Figure 15-20. If the regulators of the natural monopoly allow the owners of the firm to break even on their investment the firm will produce an output of ________ and charge a price of ________.
A) Q1 units; P4
B) Q1 units; P1
C) Q5 units; P3
D) Q3 units; P4
Unlock Deck
Unlock for access to all 55 flashcards in this deck.
Unlock Deck
k this deck
53

Figure 15-20 shows the market demand and cost curves facing a natural monopoly.
-Refer to Figure 15-20. In the absence of any government regulation, the profit-maximizing owners of this firm will produce ________ units and charge a price of ________.
A) Q0 units; P0
B) Q2 units; P2
C) Q1 units; P4
D) Q3 units; P3
Unlock Deck
Unlock for access to all 55 flashcards in this deck.
Unlock Deck
k this deck
54

-Refer to Figure 15-21 to answer the following questions.
a. What quantity will this monopoly produce and what price will it charge?
b. Suppose the government decides to regulate this monopoly and imposes a price ceiling of $25. Now what quantity will the monopoly produce and what price will it charge?
c. Will every consumer who is willing to pay the ceiling price of $25 be able to buy the product? Briefly explain.
Unlock Deck
Unlock for access to all 55 flashcards in this deck.
Unlock Deck
k this deck
55

-Refer to Figure 15-22 to answer the following questions.
a. What quantity will this monopoly produce and what price will it charge?
b. Suppose the monopoly is regulated. If the regulatory agency wants to achieve economic efficiency, what price should it require the monopoly to charge?
c. To achieve economic efficiency, what quantity will the regulated monopoly produce?
d. Will the regulated monopoly make a profit if it charges the price that will achieve economic efficiency?
e. Suppose the government decides to regulate the monopoly by imposing a price ceiling of $35. What quantity will the monopoly produce and what price will the monopoly charge?
f. With the price ceiling of $35, what profit will the monopoly earn?
Unlock Deck
Unlock for access to all 55 flashcards in this deck.
Unlock Deck
k this deck

