Deck 2: Families of Carbon Compounds
Question
Question
Question
Question
Question
Question
Question
Question
Question
Question
Question
Question
Question
Unlock Deck
Sign up to unlock the cards in this deck!
Unlock Deck
Unlock Deck
1/13
Play
Full screen (f)
Deck 2: Families of Carbon Compounds
1
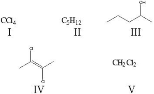
Which of the following are polar molecules? 
A) I and II
B) III, IV and V
C) III and V
D) IV and V
E) all of the above
F) none of the above

A) I and II
B) III, IV and V
C) III and V
D) IV and V
E) all of the above
F) none of the above
III and V
2
What functional group is located at the indicated point in the structure below? 
A) Aldehyde
B) Ketone
C) Ester
D) Ether
E) Alkyl side chain
F) Acid

A) Aldehyde
B) Ketone
C) Ester
D) Ether
E) Alkyl side chain
F) Acid
Alkyl side chain
3
Is the indicated functional group primary, secondary or tertiary? 
A) primary
B) secondary
C) tertiary

A) primary
B) secondary
C) tertiary
secondary
4
Is the indicated functional group primary, secondary or tertiary? 
A) primary
B) secondary
C) tertiary

A) primary
B) secondary
C) tertiary
Unlock Deck
Unlock for access to all 13 flashcards in this deck.
Unlock Deck
k this deck
5
Is the indicated functional group primary, secondary or tertiary? 
A) primary
B) secondary
C) tertiary

A) primary
B) secondary
C) tertiary
Unlock Deck
Unlock for access to all 13 flashcards in this deck.
Unlock Deck
k this deck
6
Is the indicated functional group primary, secondary or tertiary? 
A) primary
B) secondary
C) tertiary

A) primary
B) secondary
C) tertiary
Unlock Deck
Unlock for access to all 13 flashcards in this deck.
Unlock Deck
k this deck
7
What functional group is located at the indicated point in the structure below? 
A) Aldehyde
B) Ketone
C) Ester
D) Ether
E) Alkyl side chain
F) Acid

A) Aldehyde
B) Ketone
C) Ester
D) Ether
E) Alkyl side chain
F) Acid
Unlock Deck
Unlock for access to all 13 flashcards in this deck.
Unlock Deck
k this deck
8
What functional group is located at the indicated point in the structure below? 
A) Aldehyde
B) Ketone
C) Ester
D) Ether
E) Alkyl side chain
F) Acid

A) Aldehyde
B) Ketone
C) Ester
D) Ether
E) Alkyl side chain
F) Acid
Unlock Deck
Unlock for access to all 13 flashcards in this deck.
Unlock Deck
k this deck
9
What functional group is located at the indicated point in the structure below? 
A) Aldehyde
B) Ketone
C) Ester
D) Ether
E) Alkyl side chain
F) Acid

A) Aldehyde
B) Ketone
C) Ester
D) Ether
E) Alkyl side chain
F) Acid
Unlock Deck
Unlock for access to all 13 flashcards in this deck.
Unlock Deck
k this deck
10
Using your knowledge of intermolecular forces plus the trends outlined in chapter 2, especially table 2.3, which of the following has the highest boiling point?
A) Pentane
B) Pentene
C) Pentyne
D) Pentylamine
E) Pentyl alcohol
A) Pentane
B) Pentene
C) Pentyne
D) Pentylamine
E) Pentyl alcohol
Unlock Deck
Unlock for access to all 13 flashcards in this deck.
Unlock Deck
k this deck
11
What IR signal would we expect to see for the indicated functional group on this molecule, run in a diluted solution? 
A) sharp stretch at 3620
B) medium stretch at 1600
C) sharp stretch at 1700
D) medium stretch at 1650
E) sharp stretch at 1780
F) broad peak at 2550
G) broad peak at 3250

A) sharp stretch at 3620
B) medium stretch at 1600
C) sharp stretch at 1700
D) medium stretch at 1650
E) sharp stretch at 1780
F) broad peak at 2550
G) broad peak at 3250
Unlock Deck
Unlock for access to all 13 flashcards in this deck.
Unlock Deck
k this deck
12
What IR signal would we expect to see for the indicated functional group on this molecule, run in a diluted solution? 
A) sharp stretch at 3620
B) medium stretch at 1600
C) sharp stretch at 1700
D) medium stretch at 1650
E) sharp stretch at 1780
F) broad peak at 2550
G) broad peak at 3250

A) sharp stretch at 3620
B) medium stretch at 1600
C) sharp stretch at 1700
D) medium stretch at 1650
E) sharp stretch at 1780
F) broad peak at 2550
G) broad peak at 3250
Unlock Deck
Unlock for access to all 13 flashcards in this deck.
Unlock Deck
k this deck
13
What IR signal would we expect to see for the indicated functional group on this molecule, run in a diluted solution? 
A) sharp stretch at 3620
B) medium stretch at 1600
C) sharp stretch at 1700
D) medium stretch at 1650
E) sharp stretch at 1780
F) broad peak at 2550
G) broad peak at 3250

A) sharp stretch at 3620
B) medium stretch at 1600
C) sharp stretch at 1700
D) medium stretch at 1650
E) sharp stretch at 1780
F) broad peak at 2550
G) broad peak at 3250
Unlock Deck
Unlock for access to all 13 flashcards in this deck.
Unlock Deck
k this deck

