Deck 16: Aldehydes and Ketones
Question
Question
Question
Question
Question
Question
Question
Question
Question
Question
Question
Question
Unlock Deck
Sign up to unlock the cards in this deck!
Unlock Deck
Unlock Deck
1/12
Play
Full screen (f)
Deck 16: Aldehydes and Ketones
1
What is the correct IUPAC name for the following? 
A) 1-aldo-3-chlorohex-4-ene
B) 4-chlorohept-5-enal
C) 3-chlorohex-4-enal
D) 1-aldo-4-chlorohept-5-enal

A) 1-aldo-3-chlorohex-4-ene
B) 4-chlorohept-5-enal
C) 3-chlorohex-4-enal
D) 1-aldo-4-chlorohept-5-enal
3-chlorohex-4-enal
2
What is the correct IUPAC name for the following? 
A) 7-bromo-5-ethanoylhept-5-en-4-one
B) 1-bromo-3-ethanoylhept-2-en-4-one
C) 3-acetyl-1-bromooct-2-en-4-one
D) 3-(1-bromoethenyl)-hept-3-en-2,4-dione

A) 7-bromo-5-ethanoylhept-5-en-4-one
B) 1-bromo-3-ethanoylhept-2-en-4-one
C) 3-acetyl-1-bromooct-2-en-4-one
D) 3-(1-bromoethenyl)-hept-3-en-2,4-dione
1-bromo-3-ethanoylhept-2-en-4-one
3
What is the product of the following reaction? 
A) I
B) II
C) III
D) IV

A) I
B) II
C) III
D) IV
I
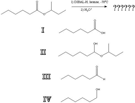
4
What is the product of the following reaction? 
A) I
B) II
C) III
D) IV

A) I
B) II
C) III
D) IV
Unlock Deck
Unlock for access to all 12 flashcards in this deck.
Unlock Deck
k this deck
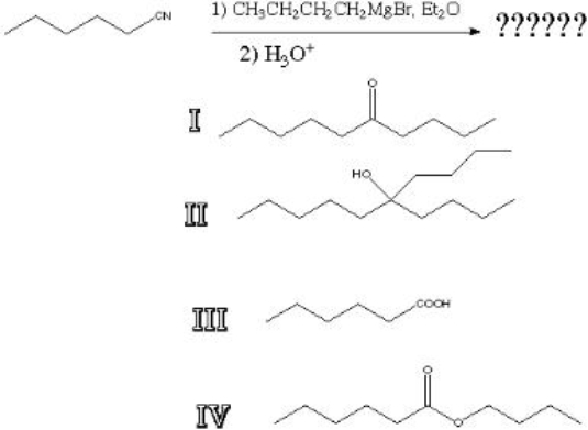
5
What is the product of the following reaction? 
A) I
B) II
C) III
D) IV

A) I
B) II
C) III
D) IV
Unlock Deck
Unlock for access to all 12 flashcards in this deck.
Unlock Deck
k this deck
6
What is the product of the following reaction? 
A) I
B) II
C) III
D) IV

A) I
B) II
C) III
D) IV
Unlock Deck
Unlock for access to all 12 flashcards in this deck.
Unlock Deck
k this deck
7
What is the product of the following reaction? 
A) I
B) II
C) III
D) IV

A) I
B) II
C) III
D) IV
Unlock Deck
Unlock for access to all 12 flashcards in this deck.
Unlock Deck
k this deck
8
What is the product of the following reaction? 
A) I
B) II
C) III
D) IV

A) I
B) II
C) III
D) IV
Unlock Deck
Unlock for access to all 12 flashcards in this deck.
Unlock Deck
k this deck
9
What is the product of the following reaction? 
A) I
B) II
C) III
D) IV

A) I
B) II
C) III
D) IV
Unlock Deck
Unlock for access to all 12 flashcards in this deck.
Unlock Deck
k this deck
10
What is the product of the following reaction?

A) I
B) II
C) III
D) IV

A) I
B) II
C) III
D) IV
Unlock Deck
Unlock for access to all 12 flashcards in this deck.
Unlock Deck
k this deck
11
What is the product of the following reaction? 
A) I
B) II
C) III
D) IV

A) I
B) II
C) III
D) IV
Unlock Deck
Unlock for access to all 12 flashcards in this deck.
Unlock Deck
k this deck
12
What is the product of the following reaction? 
A) I
B) II
C) III
D) IV

A) I
B) II
C) III
D) IV
Unlock Deck
Unlock for access to all 12 flashcards in this deck.
Unlock Deck
k this deck

