Deck 2: Chemistry Comes Alive
Question
Question
Question
Question
Question
Question
Question
Question
Question
Question
Question
Question
Question
Question
Question
Question
Question
Question
Question
Question
Question
Question
Question
Question
Question
Question
Question
Question
Question
Question
Question
Question
Question
Question
Question
Question
Question
Question
Question
Question
Question
Question
Question
Question
Question
Question
Question
Question
Question
Question
Question
Question
Question
Question
Question
Question
Question
Question
Question
Question
Question
Question
Question
Question
Question
Question
Question
Question
Question
Question
Question
Question
Question
Question
Question
Question
Question
Question
Question
Question
Unlock Deck
Sign up to unlock the cards in this deck!
Unlock Deck
Unlock Deck
1/146
Play
Full screen (f)
Deck 2: Chemistry Comes Alive
1
Match the following chemical bonds to the correct description:
A) Ionic bond
B) Hydrogen bond
C) Polar covalent bond
D) Nonpolar covalent bond
A bond in which electrons are completely lost or gained by the atoms involved.
A) Ionic bond
B) Hydrogen bond
C) Polar covalent bond
D) Nonpolar covalent bond
A bond in which electrons are completely lost or gained by the atoms involved.
A
2
Match the following particles to the correct description:
A) Neutron
B) Atom
C) Cation
D) Molecule
Neutral subatomic particle.
A) Neutron
B) Atom
C) Cation
D) Molecule
Neutral subatomic particle.
A
3
Match the following particles to the correct description:
A) Neutron
B) Atom
C) Cation
D) Molecule
Electrically charged particle due to loss of an electron.
A) Neutron
B) Atom
C) Cation
D) Molecule
Electrically charged particle due to loss of an electron.
C
4
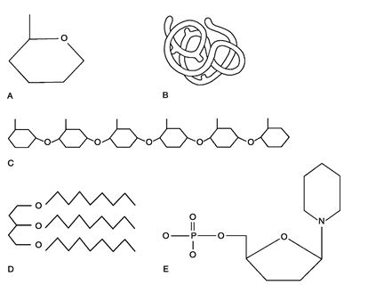
Figure 2.1
Using Figure 2.1, match the following:
Nucleotide
Unlock Deck
Unlock for access to all 146 flashcards in this deck.
Unlock Deck
k this deck
5
Match the following chemical bonds to the correct description:
A) Ionic bond
B) Hydrogen bond
C) Polar covalent bond
D) Nonpolar covalent bond
A type of bond important in tying different parts of the same molecule together into a three-dimensional structure.
A) Ionic bond
B) Hydrogen bond
C) Polar covalent bond
D) Nonpolar covalent bond
A type of bond important in tying different parts of the same molecule together into a three-dimensional structure.
Unlock Deck
Unlock for access to all 146 flashcards in this deck.
Unlock Deck
k this deck
6
Figure 2.2
Using Figure 2.2, match the following:
Guanine
Unlock Deck
Unlock for access to all 146 flashcards in this deck.
Unlock Deck
k this deck
7
Figure 2.1
Using Figure 2.1, match the following:
Lipid
Unlock Deck
Unlock for access to all 146 flashcards in this deck.
Unlock Deck
k this deck
8
Figure 2.2
Using Figure 2.2, match the following:
Thymine
Unlock Deck
Unlock for access to all 146 flashcards in this deck.
Unlock Deck
k this deck
9
Figure 2.1
Using Figure 2.1, match the following:
Polysaccharide.
Unlock Deck
Unlock for access to all 146 flashcards in this deck.
Unlock Deck
k this deck
10
Figure 2.1
Using Figure 2.1, match the following:
Tertiary (protein) structure
Unlock Deck
Unlock for access to all 146 flashcards in this deck.
Unlock Deck
k this deck
11
Match the following particles to the correct description:
A) Neutron
B) Atom
C) Cation
D) Molecule
Smallest particle of a compound that still retains its properties.
A) Neutron
B) Atom
C) Cation
D) Molecule
Smallest particle of a compound that still retains its properties.
Unlock Deck
Unlock for access to all 146 flashcards in this deck.
Unlock Deck
k this deck
12
Match the following particles to the correct description:
A) Neutron
B) Atom
C) Cation
D) Molecule
Smallest particle of an element that retains its properties.
A) Neutron
B) Atom
C) Cation
D) Molecule
Smallest particle of an element that retains its properties.
Unlock Deck
Unlock for access to all 146 flashcards in this deck.
Unlock Deck
k this deck
13
Figure 2.2
Using Figure 2.2, match the following:
Deoxyribose sugar.
Unlock Deck
Unlock for access to all 146 flashcards in this deck.
Unlock Deck
k this deck
14
Match the following chemical bonds to the correct description:
A) Ionic bond
B) Hydrogen bond
C) Polar covalent bond
D) Nonpolar covalent bond
A bond in which electrons are shared equally.
A) Ionic bond
B) Hydrogen bond
C) Polar covalent bond
D) Nonpolar covalent bond
A bond in which electrons are shared equally.
Unlock Deck
Unlock for access to all 146 flashcards in this deck.
Unlock Deck
k this deck
15
Match the following chemical bonds to the correct description:
A) Ionic bond
B) Hydrogen bond
C) Polar covalent bond
D) Nonpolar covalent bond
A bond in which electrons are shared unequally.
A) Ionic bond
B) Hydrogen bond
C) Polar covalent bond
D) Nonpolar covalent bond
A bond in which electrons are shared unequally.
Unlock Deck
Unlock for access to all 146 flashcards in this deck.
Unlock Deck
k this deck
16
Figure 2.1
Using Figure 2.1, match the following:
Functional protein
Unlock Deck
Unlock for access to all 146 flashcards in this deck.
Unlock Deck
k this deck
17
Figure 2.1
Using Figure 2.1, match the following:
Monosaccharide
Unlock Deck
Unlock for access to all 146 flashcards in this deck.
Unlock Deck
k this deck
18
Figure 2.1
Using Figure 2.1, match the following:
Polymer
Unlock Deck
Unlock for access to all 146 flashcards in this deck.
Unlock Deck
k this deck
19
Figure 2.2
Using Figure 2.2, match the following:
Phosphate
Unlock Deck
Unlock for access to all 146 flashcards in this deck.
Unlock Deck
k this deck
20
Figure 2.2
Using Figure 2.2, match the following:
Hydrogen bonds
Unlock Deck
Unlock for access to all 146 flashcards in this deck.
Unlock Deck
k this deck
21
Match the following:
A) Mechanical energy
B) Radiant energy
C) Electrical energy
D) Chemical energy
Energy that travels in waves. Part of the electromagnetic spectrum.
A) Mechanical energy
B) Radiant energy
C) Electrical energy
D) Chemical energy
Energy that travels in waves. Part of the electromagnetic spectrum.
Unlock Deck
Unlock for access to all 146 flashcards in this deck.
Unlock Deck
k this deck
22
Match the following:
A) Weight
B) Energy
C) Mass
D) Matter
Is a function of, and varies with, gravity.
A) Weight
B) Energy
C) Mass
D) Matter
Is a function of, and varies with, gravity.
Unlock Deck
Unlock for access to all 146 flashcards in this deck.
Unlock Deck
k this deck
23
Match the following:
A) Suspensions
B) Colloids
C) Solutions
Heterogeneous, will settle.
A) Suspensions
B) Colloids
C) Solutions
Heterogeneous, will settle.
Unlock Deck
Unlock for access to all 146 flashcards in this deck.
Unlock Deck
k this deck
24
Match the following:
A) Suspensions
B) Colloids
C) Solutions
Homogeneous, will not settle.
A) Suspensions
B) Colloids
C) Solutions
Homogeneous, will not settle.
Unlock Deck
Unlock for access to all 146 flashcards in this deck.
Unlock Deck
k this deck
25
Match the following:
A) Weight
B) Energy
C) Mass
D) Matter
Anything that occupies space and has mass.
A) Weight
B) Energy
C) Mass
D) Matter
Anything that occupies space and has mass.
Unlock Deck
Unlock for access to all 146 flashcards in this deck.
Unlock Deck
k this deck
26
Match the following:
A) Weight
B) Energy
C) Mass
D) Matter
Can be measured only by its effects on matter.
A) Weight
B) Energy
C) Mass
D) Matter
Can be measured only by its effects on matter.
Unlock Deck
Unlock for access to all 146 flashcards in this deck.
Unlock Deck
k this deck
27
Match the following:
A) Mechanical energy
B) Radiant energy
C) Electrical energy
D) Chemical energy
When the bonds of ATP are broken, energy is released to do cellular work.
A) Mechanical energy
B) Radiant energy
C) Electrical energy
D) Chemical energy
When the bonds of ATP are broken, energy is released to do cellular work.
Unlock Deck
Unlock for access to all 146 flashcards in this deck.
Unlock Deck
k this deck
28
Match the following:
A) Mechanical energy
B) Radiant energy
C) Electrical energy
D) Chemical energy
Represented by the flow of charged particles along a conductor, or the flow of ions across a membrane.
A) Mechanical energy
B) Radiant energy
C) Electrical energy
D) Chemical energy
Represented by the flow of charged particles along a conductor, or the flow of ions across a membrane.
Unlock Deck
Unlock for access to all 146 flashcards in this deck.
Unlock Deck
k this deck
29
Match the following:
A) Mass number of an element
B) Atomic symbol
C) Atomic number
Combined number of protons and neutrons in an atom
A) Mass number of an element
B) Atomic symbol
C) Atomic number
Combined number of protons and neutrons in an atom
Unlock Deck
Unlock for access to all 146 flashcards in this deck.
Unlock Deck
k this deck
30
Match the following:
A) Mass number of an element
B) Atomic symbol
C) Atomic number
Number of protons in an atom
A) Mass number of an element
B) Atomic symbol
C) Atomic number
Number of protons in an atom
Unlock Deck
Unlock for access to all 146 flashcards in this deck.
Unlock Deck
k this deck
31
Match the following:
A) Suspensions
B) Colloids
C) Solutions
Will not scatter light.
A) Suspensions
B) Colloids
C) Solutions
Will not scatter light.
Unlock Deck
Unlock for access to all 146 flashcards in this deck.
Unlock Deck
k this deck
32
Match the following:
A) Compound
B) Mixture
C) Element
Water.
A) Compound
B) Mixture
C) Element
Water.
Unlock Deck
Unlock for access to all 146 flashcards in this deck.
Unlock Deck
k this deck
33
Match the following:
A) Compound
B) Mixture
C) Element
Carbon.
A) Compound
B) Mixture
C) Element
Carbon.
Unlock Deck
Unlock for access to all 146 flashcards in this deck.
Unlock Deck
k this deck
34
Match the following:
A) Mass number of an element
B) Atomic symbol
C) Atomic number
First one or two letters of an element's name
A) Mass number of an element
B) Atomic symbol
C) Atomic number
First one or two letters of an element's name
Unlock Deck
Unlock for access to all 146 flashcards in this deck.
Unlock Deck
k this deck
35
The atomic weight is only an average of relative weights of an atom and its isotopes, and it may vary from the weight of a specific isotope.
Unlock Deck
Unlock for access to all 146 flashcards in this deck.
Unlock Deck
k this deck
36
Match the following:
A) Compound
B) Mixture
C) Element
Blood.
A) Compound
B) Mixture
C) Element
Blood.
Unlock Deck
Unlock for access to all 146 flashcards in this deck.
Unlock Deck
k this deck
37
Match the following:
A) Mechanical energy
B) Radiant energy
C) Electrical energy
D) Chemical energy
Legs moving the pedals of a bicycle.
A) Mechanical energy
B) Radiant energy
C) Electrical energy
D) Chemical energy
Legs moving the pedals of a bicycle.
Unlock Deck
Unlock for access to all 146 flashcards in this deck.
Unlock Deck
k this deck
38
Match the following:
A) Suspensions
B) Colloids
C) Solutions
Heterogeneous, will not settle.
A) Suspensions
B) Colloids
C) Solutions
Heterogeneous, will not settle.
Unlock Deck
Unlock for access to all 146 flashcards in this deck.
Unlock Deck
k this deck
39
Match the following:
A) Weight
B) Energy
C) Mass
D) Matter
Although a man who weighs 175 pounds on Earth would be lighter on the moon and heavier on Jupiter, his ________ would not be different.
A) Weight
B) Energy
C) Mass
D) Matter
Although a man who weighs 175 pounds on Earth would be lighter on the moon and heavier on Jupiter, his ________ would not be different.
Unlock Deck
Unlock for access to all 146 flashcards in this deck.
Unlock Deck
k this deck
40
Match the following:
A) Compound
B) Mixture
C) Element
Dry ice (frozen carbon dioxide).
A) Compound
B) Mixture
C) Element
Dry ice (frozen carbon dioxide).
Unlock Deck
Unlock for access to all 146 flashcards in this deck.
Unlock Deck
k this deck
41
It is the difference in the R group that makes each amino acid chemically unique.
Unlock Deck
Unlock for access to all 146 flashcards in this deck.
Unlock Deck
k this deck
42
About 60% to 80% of the volume of most living cells consists of organic compounds.
Unlock Deck
Unlock for access to all 146 flashcards in this deck.
Unlock Deck
k this deck
43
Chemical properties are determined primarily by neutrons.
Unlock Deck
Unlock for access to all 146 flashcards in this deck.
Unlock Deck
k this deck
44
A chemical bond is an energy relationship between outer electrons and neighboring atoms.
Unlock Deck
Unlock for access to all 146 flashcards in this deck.
Unlock Deck
k this deck
45
Isotopes differ from each other only in the number of electrons the atom contains.
Unlock Deck
Unlock for access to all 146 flashcards in this deck.
Unlock Deck
k this deck
46
Glucose is an example of a monosaccharide.
Unlock Deck
Unlock for access to all 146 flashcards in this deck.
Unlock Deck
k this deck
47
Covalent bonds are generally less stable than ionic bonds.
Unlock Deck
Unlock for access to all 146 flashcards in this deck.
Unlock Deck
k this deck
48
Buffers resist abrupt and large changes in the pH of the body by releasing or binding ions.
Unlock Deck
Unlock for access to all 146 flashcards in this deck.
Unlock Deck
k this deck
49
Lipids are a poor source of stored energy.
Unlock Deck
Unlock for access to all 146 flashcards in this deck.
Unlock Deck
k this deck
50
Glycogen, the storage form of glucose, is primarily stored in muscle tissue only.
Unlock Deck
Unlock for access to all 146 flashcards in this deck.
Unlock Deck
k this deck
51
A charged particle is generally called an ion or electrolyte.
Unlock Deck
Unlock for access to all 146 flashcards in this deck.
Unlock Deck
k this deck
52
All organic compounds contain carbon.
Unlock Deck
Unlock for access to all 146 flashcards in this deck.
Unlock Deck
k this deck
53
The fact that no chemical bonding occurs between the components of a mixture is the chief difference between mixtures and compounds.
Unlock Deck
Unlock for access to all 146 flashcards in this deck.
Unlock Deck
k this deck
54
The acidity of a solution reflects the free hydrogen ions in the solution
Unlock Deck
Unlock for access to all 146 flashcards in this deck.
Unlock Deck
k this deck
55
Current information suggests that omega-3 fatty acids decrease the risk of heart disease.
Unlock Deck
Unlock for access to all 146 flashcards in this deck.
Unlock Deck
k this deck
56
The pH of body fluids must remain fairly constant for the body to maintain homeostasis.
Unlock Deck
Unlock for access to all 146 flashcards in this deck.
Unlock Deck
k this deck
57
The lower the pH, the higher the hydrogen ion concentration.
Unlock Deck
Unlock for access to all 146 flashcards in this deck.
Unlock Deck
k this deck
58
Mixtures are combinations of elements or compounds that are physically blended together but are not bound by chemical bonds.
Unlock Deck
Unlock for access to all 146 flashcards in this deck.
Unlock Deck
k this deck
59
A dipeptide can be broken into two amino acids by dehydration synthesis.
Unlock Deck
Unlock for access to all 146 flashcards in this deck.
Unlock Deck
k this deck
60
Hydrogen bonds are too weak to bind atoms together to form molecules but are important intramolecular bonds.
Unlock Deck
Unlock for access to all 146 flashcards in this deck.
Unlock Deck
k this deck
61
Which of the following is the major positive ion outside cells?
A) magnesium
B) hydrogen
C) potassium
D) sodium
A) magnesium
B) hydrogen
C) potassium
D) sodium
Unlock Deck
Unlock for access to all 146 flashcards in this deck.
Unlock Deck
k this deck
62
Which of the following is not a role of molecular chaperonins?
A) prevent accidental, premature, or incorrect folding of polypeptide chains
B) aid the desired folding and association process of polypeptides
C) help to translocate proteins and certain metal ions across cell membranes
D) promote the breakdown of damaged or denatured proteins
E) act as a platform for assembling primary protein structure
A) prevent accidental, premature, or incorrect folding of polypeptide chains
B) aid the desired folding and association process of polypeptides
C) help to translocate proteins and certain metal ions across cell membranes
D) promote the breakdown of damaged or denatured proteins
E) act as a platform for assembling primary protein structure
Unlock Deck
Unlock for access to all 146 flashcards in this deck.
Unlock Deck
k this deck
63
Which of the following statements is False?
A) Chemical reactions proceed more quickly at higher temperatures.
B) Chemical reactions progress at a faster rate when the reacting particles are present in higher numbers.
C) Larger particles move faster than smaller ones and thus collide more frequently and more forcefully.
D) Catalysts increase the rate of chemical reactions, sometimes while undergoing reversible changes in shape.
A) Chemical reactions proceed more quickly at higher temperatures.
B) Chemical reactions progress at a faster rate when the reacting particles are present in higher numbers.
C) Larger particles move faster than smaller ones and thus collide more frequently and more forcefully.
D) Catalysts increase the rate of chemical reactions, sometimes while undergoing reversible changes in shape.
Unlock Deck
Unlock for access to all 146 flashcards in this deck.
Unlock Deck
k this deck
64
Salts are always ________.
A) ionic compounds
B) single covalent compounds
C) double covalent compounds
D) hydrogen bonded
A) ionic compounds
B) single covalent compounds
C) double covalent compounds
D) hydrogen bonded
Unlock Deck
Unlock for access to all 146 flashcards in this deck.
Unlock Deck
k this deck
65
Which of the following would be regarded as an organic molecule?
A) H₂O
B) NaCl
C) NaOH
D) CH₄
A) H₂O
B) NaCl
C) NaOH
D) CH₄
Unlock Deck
Unlock for access to all 146 flashcards in this deck.
Unlock Deck
k this deck
66
Which statement about enzymes is False?
A) Enzymes require contact with substrate in order to assume their active form.
B) Enzymes have the ability to accelerate reactions as much as a billion-fold.
C) Enzymes may use coenzymes derived from vitamins or cofactors from metallic elements.
D) Enzymes may be damaged by high temperature.
A) Enzymes require contact with substrate in order to assume their active form.
B) Enzymes have the ability to accelerate reactions as much as a billion-fold.
C) Enzymes may use coenzymes derived from vitamins or cofactors from metallic elements.
D) Enzymes may be damaged by high temperature.
Unlock Deck
Unlock for access to all 146 flashcards in this deck.
Unlock Deck
k this deck
67
A chemical reaction in which bonds are broken is usually associated with ________.
A) the release of energy
B) the consumption of energy
C) a synthesis
D) forming a larger molecule
A) the release of energy
B) the consumption of energy
C) a synthesis
D) forming a larger molecule
Unlock Deck
Unlock for access to all 146 flashcards in this deck.
Unlock Deck
k this deck
68
Which of the following elements is necessary for proper conduction of nervous impulses?
A) Fe
B) I
C) P
D) Na
A) Fe
B) I
C) P
D) Na
Unlock Deck
Unlock for access to all 146 flashcards in this deck.
Unlock Deck
k this deck
69
The single most abundant protein in the body is ________.
A) DNA
B) hemoglobin
C) collagen
D) glucose
A) DNA
B) hemoglobin
C) collagen
D) glucose
Unlock Deck
Unlock for access to all 146 flashcards in this deck.
Unlock Deck
k this deck
70
In general, the lipids that we refer to as oils have ________.
A) a high water content
B) long fatty acid chains
C) a high degree of saturated bonds
D) a high degree of unsaturated bonds
A) a high water content
B) long fatty acid chains
C) a high degree of saturated bonds
D) a high degree of unsaturated bonds
Unlock Deck
Unlock for access to all 146 flashcards in this deck.
Unlock Deck
k this deck
71
The basic structural material of the body consists of ________.
A) Carbohydrates
B) Lipids.
C) Proteins.
D) Nucleic acids.
A) Carbohydrates
B) Lipids.
C) Proteins.
D) Nucleic acids.
Unlock Deck
Unlock for access to all 146 flashcards in this deck.
Unlock Deck
k this deck
72
The numbers listed represent the number of electrons in the first, second, and third energy levels, respectively. On this basis, which of the following is an unstable or reactive atom?
A) 2, 8, 8
B) 2, 8
C) 2
D) 2, 8, 1
A) 2, 8, 8
B) 2, 8
C) 2
D) 2, 8, 1
Unlock Deck
Unlock for access to all 146 flashcards in this deck.
Unlock Deck
k this deck
73
Carbohydrates are stored in the liver and muscles in the form of ________.
A) glucose
B) triglycerides
C) glycogen
D) cholesterol
A) glucose
B) triglycerides
C) glycogen
D) cholesterol
Unlock Deck
Unlock for access to all 146 flashcards in this deck.
Unlock Deck
k this deck
74
What level of protein synthesis is represented by the coiling of the protein chain backbone into an alpha helix?
A) primary structure
B) secondary structure
C) tertiary structure
D) quaternary structure
A) primary structure
B) secondary structure
C) tertiary structure
D) quaternary structure
Unlock Deck
Unlock for access to all 146 flashcards in this deck.
Unlock Deck
k this deck
75
Carbohydrates and proteins are built up from their basic building blocks by the ________.
A) addition of a water molecule between each two units
B) addition of a carbon atom between each two units
C) removal of a water molecule between each two units
D) removal of a carbon atom between each two units
A) addition of a water molecule between each two units
B) addition of a carbon atom between each two units
C) removal of a water molecule between each two units
D) removal of a carbon atom between each two units
Unlock Deck
Unlock for access to all 146 flashcards in this deck.
Unlock Deck
k this deck
76
What is a chain of more than 50 amino acids called?
A) polypeptide
B) polysaccharide
C) protein
D) nucleic acid
A) polypeptide
B) polysaccharide
C) protein
D) nucleic acid
Unlock Deck
Unlock for access to all 146 flashcards in this deck.
Unlock Deck
k this deck
77
The genetic information is coded in DNA by the ________.
A) regular alteration of sugar and phosphate molecules
B) sequence of the nucleotides
C) three-dimensional structure of the double helix
D) arrangement of the histones
A) regular alteration of sugar and phosphate molecules
B) sequence of the nucleotides
C) three-dimensional structure of the double helix
D) arrangement of the histones
Unlock Deck
Unlock for access to all 146 flashcards in this deck.
Unlock Deck
k this deck
78
Which of the following is not True of proteins?
A) They may be denatured or coagulated by heat or acidity.
B) They have both functional and structural roles in the body.
C) They appear to be the molecular carriers of coded hereditary information.
D) Their function depends on their three-dimensional shape.
A) They may be denatured or coagulated by heat or acidity.
B) They have both functional and structural roles in the body.
C) They appear to be the molecular carriers of coded hereditary information.
D) Their function depends on their three-dimensional shape.
Unlock Deck
Unlock for access to all 146 flashcards in this deck.
Unlock Deck
k this deck
79
Which of the following does NOT describe enzymes?
A) Some enzymes are purely protein.
B) Some enzymes are protein plus a cofactor.
C) Each enzyme is chemically specific.
D) Enzymes work by raising the energy of activation.
A) Some enzymes are purely protein.
B) Some enzymes are protein plus a cofactor.
C) Each enzyme is chemically specific.
D) Enzymes work by raising the energy of activation.
Unlock Deck
Unlock for access to all 146 flashcards in this deck.
Unlock Deck
k this deck
80
Which of the following statements is False?
A) When acids and bases are mixed, they react with each other to form water and a salt.
B) The more hydrogen ions in a solution, the more acidic the solution.
C) When the hydrogen ion concentration decreases, the hydroxyl ion concentration also decreases.
D) The pH of blood is slightly basic.
A) When acids and bases are mixed, they react with each other to form water and a salt.
B) The more hydrogen ions in a solution, the more acidic the solution.
C) When the hydrogen ion concentration decreases, the hydroxyl ion concentration also decreases.
D) The pH of blood is slightly basic.
Unlock Deck
Unlock for access to all 146 flashcards in this deck.
Unlock Deck
k this deck

