Deck 16: Carbohydrates
Question
Question
Question
Question
Question
Question
Question
Question
Question
Question
Question
Question
Question
Question
Question
Question
Question
Question
Question
Question
Question
Question
Question
Question
Question
Question
Question
Question
Question
Question
Question
Question
Question
Question
Question
Question
Question
Question
Question
Question
Question
Question
Question
Question
Question
Question
Question
Question
Question
Question
Question
Question
Question
Question
Question
Question
Question
Question
Question
Question
Question
Question
Question
Question
Question
Question
Question
Question
Question
Question
Question
Question
Question
Question
Question
Question
Question
Question
Question
Question
Unlock Deck
Sign up to unlock the cards in this deck!
Unlock Deck
Unlock Deck
1/88
Play
Full screen (f)
Deck 16: Carbohydrates
1
Sugars which differ in chirality only around one carbon are most specifically called
A) anomers.
B) diastereoisomers.
C) enantiomers.
D) epimers.
E) none of these
A) anomers.
B) diastereoisomers.
C) enantiomers.
D) epimers.
E) none of these
D
2
Which of the following monosaccharides is a ketose?
A) glucose
B) fructose
C) galactose
D) mannose
A) glucose
B) fructose
C) galactose
D) mannose
B
3
Exhibit 16B 
A carbohydrate Fischer projection.
Refer to Exhibit 16B.Which of the following figures represents the Haworth projection of the carbohydrate shown?
A)
B)
C)
D)

A carbohydrate Fischer projection.
Refer to Exhibit 16B.Which of the following figures represents the Haworth projection of the carbohydrate shown?
A)

B)

C)

D)

A
4
Aldoses can form which type of cyclic structure?
A) Hemiacetal
B) Hemiketal
C) Both hemiacetal and hemiketal
D) Neither hemiacetal and hemiketal
A) Hemiacetal
B) Hemiketal
C) Both hemiacetal and hemiketal
D) Neither hemiacetal and hemiketal
Unlock Deck
Unlock for access to all 88 flashcards in this deck.
Unlock Deck
k this deck
5
The simplest aldotriose is:
A) acetone
B) dihydroxyacetone
C) glyceraldehyde
D) threose
A) acetone
B) dihydroxyacetone
C) glyceraldehyde
D) threose
Unlock Deck
Unlock for access to all 88 flashcards in this deck.
Unlock Deck
k this deck
6
Exhibit 16B
A carbohydrate Fischer projection.
Refer to Exhibit 16B.The carbohydrate shown is
A) the D isomer.
B) the L isomer.
C) both D and L.
D) neither D nor L.
E) It's impossible to tell from a picture which isomer this is.
A carbohydrate Fischer projection.Refer to Exhibit 16B.The carbohydrate shown is
A) the D isomer.
B) the L isomer.
C) both D and L.
D) neither D nor L.
E) It's impossible to tell from a picture which isomer this is.
Unlock Deck
Unlock for access to all 88 flashcards in this deck.
Unlock Deck
k this deck
7
In a Fischer projection,which chiral carbon determines whether the sugar is the D- or the L-isomer?
A) highest numbered carbon atom
B) lowest numbered asymmetric carbon atom
C) lowest numbered carbon atom
D) highest numbered asymmetric carbon atom
A) highest numbered carbon atom
B) lowest numbered asymmetric carbon atom
C) lowest numbered carbon atom
D) highest numbered asymmetric carbon atom
Unlock Deck
Unlock for access to all 88 flashcards in this deck.
Unlock Deck
k this deck
8
For the a anomer of a D-sugar,the anomeric hydroxyl in a Haworth projection
A) has an upward projection (on the same side as the terminal CH2OH group).
B) has a downward projection (on the opposite side from the terminal CH2OH group).
C) may be either up or down, it depends on the individual sugar.
D) is non-existent; anomers are a consideration only in Fischer projections.
A) has an upward projection (on the same side as the terminal CH2OH group).
B) has a downward projection (on the opposite side from the terminal CH2OH group).
C) may be either up or down, it depends on the individual sugar.
D) is non-existent; anomers are a consideration only in Fischer projections.
Unlock Deck
Unlock for access to all 88 flashcards in this deck.
Unlock Deck
k this deck
9
Epimers are
A) stereoisomers that differ from each other in their configuration at two or more carbon atoms.
B) stereoisomers that differ from each other in their configuration at a single carbon atom.
C) the a and b forms of cyclic sugars.
D) two related compounds, pyran and furan.
A) stereoisomers that differ from each other in their configuration at two or more carbon atoms.
B) stereoisomers that differ from each other in their configuration at a single carbon atom.
C) the a and b forms of cyclic sugars.
D) two related compounds, pyran and furan.
Unlock Deck
Unlock for access to all 88 flashcards in this deck.
Unlock Deck
k this deck
10
How many enantiomeric pairs are possible for a aldohexose?
A) 2
B) 4
C) 8
D) 16
A) 2
B) 4
C) 8
D) 16
Unlock Deck
Unlock for access to all 88 flashcards in this deck.
Unlock Deck
k this deck
11
The cyclic form of sugars
A) has one more chiral center (the anomeric carbon) than the open-chain form.
B) loses a chiral center compared to the open-chain form.
C) is not usually found in nature.
D) has one more carbon atom than the open-chain form.
E) has one less carbon atom than the open-chain form.
A) has one more chiral center (the anomeric carbon) than the open-chain form.
B) loses a chiral center compared to the open-chain form.
C) is not usually found in nature.
D) has one more carbon atom than the open-chain form.
E) has one less carbon atom than the open-chain form.
Unlock Deck
Unlock for access to all 88 flashcards in this deck.
Unlock Deck
k this deck
12
Diastereomers are
A) mirror-image, nonsuperimposable stereoisomers.
B) non-mirror-image, nonsuperimposable stereoisomers.
C) stereoisomers with one or more double bonds.
D) none of the above.
A) mirror-image, nonsuperimposable stereoisomers.
B) non-mirror-image, nonsuperimposable stereoisomers.
C) stereoisomers with one or more double bonds.
D) none of the above.
Unlock Deck
Unlock for access to all 88 flashcards in this deck.
Unlock Deck
k this deck
13
Exhibit 16A
Refer to Exhibit 16A.The enantiomer of D-glucose is:
A) D-Fructose
B) D-Glucose
C) L-Glucose
D) L-Idose
E) D-Galactose
Refer to Exhibit 16A.The enantiomer of D-glucose is:A) D-Fructose
B) D-Glucose
C) L-Glucose
D) L-Idose
E) D-Galactose
Unlock Deck
Unlock for access to all 88 flashcards in this deck.
Unlock Deck
k this deck
14
See figure 16.4 in the textbook.D-erythrose is to D-ribose as D-ribose is to:
A) D-allose
B) D-altrose
C) D-glucose
D) D-galactose
A) D-allose
B) D-altrose
C) D-glucose
D) D-galactose
Unlock Deck
Unlock for access to all 88 flashcards in this deck.
Unlock Deck
k this deck
15
Haworth projection formulas
A) are representations of the cyclic form of sugars
B) can show the distinction between the a and b anomers
C) both of the above
D) neither of the above
A) are representations of the cyclic form of sugars
B) can show the distinction between the a and b anomers
C) both of the above
D) neither of the above
Unlock Deck
Unlock for access to all 88 flashcards in this deck.
Unlock Deck
k this deck
16
Which of the following is not a function of carbohydrates?
A) They are major energy sources.
B) They play key roles in processes that take place on the surface of cells.
C) They are used in structural roles.
D) They are catalytic components of enzymes.
A) They are major energy sources.
B) They play key roles in processes that take place on the surface of cells.
C) They are used in structural roles.
D) They are catalytic components of enzymes.
Unlock Deck
Unlock for access to all 88 flashcards in this deck.
Unlock Deck
k this deck
17
Exhibit 16B
A carbohydrate Fischer projection.
Refer to Exhibit 16B.The carbohydrate shown is
A) a monosaccharide
B) a ketose.
C) a hexose.
D) all of these
E) none of these
A carbohydrate Fischer projection.Refer to Exhibit 16B.The carbohydrate shown is
A) a monosaccharide
B) a ketose.
C) a hexose.
D) all of these
E) none of these
Unlock Deck
Unlock for access to all 88 flashcards in this deck.
Unlock Deck
k this deck
18
The simplest ketotriose is
A) glyceraldehyde.
B) dihydroxyacetone.
C) ribose.
D) glucose.
E) sucrose.
A) glyceraldehyde.
B) dihydroxyacetone.
C) ribose.
D) glucose.
E) sucrose.
Unlock Deck
Unlock for access to all 88 flashcards in this deck.
Unlock Deck
k this deck
19
Mirror image stereoisomers are called
A) anomers.
B) diastereoisomers.
C) enantiomers.
D) epimers.
A) anomers.
B) diastereoisomers.
C) enantiomers.
D) epimers.
Unlock Deck
Unlock for access to all 88 flashcards in this deck.
Unlock Deck
k this deck
20
How many carbon atoms are in the simplest carbohydrates?
A) 1
B) 2
C) 3
D) 4
E) 5
A) 1
B) 2
C) 3
D) 4
E) 5
Unlock Deck
Unlock for access to all 88 flashcards in this deck.
Unlock Deck
k this deck
21
Two samples containing identical mixtures of sugars are analyzed,one using Tollen's reagent,the other with glucose oxidase.Which will give a stronger reaction?
A) Tollen's reagent
B) glucose oxidase
C) They will have identical strengths.
D) It's impossible to predict from the information provided.
A) Tollen's reagent
B) glucose oxidase
C) They will have identical strengths.
D) It's impossible to predict from the information provided.
Unlock Deck
Unlock for access to all 88 flashcards in this deck.
Unlock Deck
k this deck
22
Which of the following is true concerning the molecule pictured? 
A) It would give a positive reaction in a Tollen's silver mirror test
B) It is a reducing sugar
C) It is not a reducing sugar because it is an aldose
D) It is not a reducing sugar because the anomeric hydroxyl is methlyated

A) It would give a positive reaction in a Tollen's silver mirror test
B) It is a reducing sugar
C) It is not a reducing sugar because it is an aldose
D) It is not a reducing sugar because the anomeric hydroxyl is methlyated
Unlock Deck
Unlock for access to all 88 flashcards in this deck.
Unlock Deck
k this deck
23
Which of the following groups is produced when an aldehyde is oxidized?
A) ketone
B) carboxyl
C) alcohol
D) ether
A) ketone
B) carboxyl
C) alcohol
D) ether
Unlock Deck
Unlock for access to all 88 flashcards in this deck.
Unlock Deck
k this deck
24
Isomers of sugars in which the position of ketone and aldehyde groups have been changed are called
A) anomers.
B) diastereoisomers.
C) enantiomers.
D) epimers.
E) none of these
A) anomers.
B) diastereoisomers.
C) enantiomers.
D) epimers.
E) none of these
Unlock Deck
Unlock for access to all 88 flashcards in this deck.
Unlock Deck
k this deck
25
When monosaccharides are bonded together
A) one H2O molecule is lost for each new link formed.
B) oligosaccharides are formed by combining a few monosaccharides.
C) polysaccharides are formed by combining many monosaccharides.
D) all of these
A) one H2O molecule is lost for each new link formed.
B) oligosaccharides are formed by combining a few monosaccharides.
C) polysaccharides are formed by combining many monosaccharides.
D) all of these
Unlock Deck
Unlock for access to all 88 flashcards in this deck.
Unlock Deck
k this deck
26
Deoxyribose is best described as a(n):
A) oxidized form of ribose
B) reduced pyranose
C) polyhydroxyl alcohol
D) glycoside
E) reduced form of a pentose
A) oxidized form of ribose
B) reduced pyranose
C) polyhydroxyl alcohol
D) glycoside
E) reduced form of a pentose
Unlock Deck
Unlock for access to all 88 flashcards in this deck.
Unlock Deck
k this deck
27
Which of the following statements concerning sugar polymers is false?
A) Branched polymers have one non-reducing end and many reducing ends.
B) Linear polymers are more water-soluble than branched ones.
C) Branched polymers are more water-soluble than linear ones.
D) Sugar polymers may vary both in the composition of the sugar monomers and in the types of connecting glycosidic bonds.
A) Branched polymers have one non-reducing end and many reducing ends.
B) Linear polymers are more water-soluble than branched ones.
C) Branched polymers are more water-soluble than linear ones.
D) Sugar polymers may vary both in the composition of the sugar monomers and in the types of connecting glycosidic bonds.
Unlock Deck
Unlock for access to all 88 flashcards in this deck.
Unlock Deck
k this deck
28
Which of the following compounds is produced by oxidation of an aldose in the cyclic form?
A) a hemiacetal
B) a hemiketal
C) a lactone
D) an amino sugar
A) a hemiacetal
B) a hemiketal
C) a lactone
D) an amino sugar
Unlock Deck
Unlock for access to all 88 flashcards in this deck.
Unlock Deck
k this deck
29
Glycosidic bonds from sugars
A) always link to the other molecule through an oxygen atom.
B) always link to the other molecule through a nitrogen atom.
C) may link to the other molecule through either an oxygen or a nitrogen atom
A) always link to the other molecule through an oxygen atom.
B) always link to the other molecule through a nitrogen atom.
C) may link to the other molecule through either an oxygen or a nitrogen atom
Unlock Deck
Unlock for access to all 88 flashcards in this deck.
Unlock Deck
k this deck
30
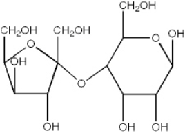
Which of the following best describes the glycosidic bond in the disaccharide shown? 
A) a(1-4)
B) b(1-4)
C) a(2-4)
D) b(2-4)
E) None of the above.

A) a(1-4)
B) b(1-4)
C) a(2-4)
D) b(2-4)
E) None of the above.
Unlock Deck
Unlock for access to all 88 flashcards in this deck.
Unlock Deck
k this deck
31
A furanose is a sugar that
A) contains a five-membered ring as part of its cyclic structure.
B) contains a six-membered ring as part of its cyclic structure.
C) is a five-carbon open-chain sugar.
D) is a six-carbon open-chain sugar.
A) contains a five-membered ring as part of its cyclic structure.
B) contains a six-membered ring as part of its cyclic structure.
C) is a five-carbon open-chain sugar.
D) is a six-carbon open-chain sugar.
Unlock Deck
Unlock for access to all 88 flashcards in this deck.
Unlock Deck
k this deck
32
Exhibit 16A
Refer to Exhibit 16A.Epimers of D-Glucose include:
A) D-Fructose and L-Glucose
B) D-Glucose and L-Glucose
C) L-Glucose and L-Idose
D) L-Idose and D-Galactose
E) L-Glucose and D-Galactose
Refer to Exhibit 16A.Epimers of D-Glucose include:A) D-Fructose and L-Glucose
B) D-Glucose and L-Glucose
C) L-Glucose and L-Idose
D) L-Idose and D-Galactose
E) L-Glucose and D-Galactose
Unlock Deck
Unlock for access to all 88 flashcards in this deck.
Unlock Deck
k this deck
33
A pyranose is a sugar that
A) contains a five-membered ring as part of its cyclic structure.
B) contains a six-membered ring as part of its cyclic structure.
C) is a five-carbon open-chain sugar.
D) is a six-carbon open-chain sugar.
A) contains a five-membered ring as part of its cyclic structure.
B) contains a six-membered ring as part of its cyclic structure.
C) is a five-carbon open-chain sugar.
D) is a six-carbon open-chain sugar.
Unlock Deck
Unlock for access to all 88 flashcards in this deck.
Unlock Deck
k this deck
34
A lactone is a cyclic
A) ether.
B) ester.
C) ketone.
D) alcohol.
A) ether.
B) ester.
C) ketone.
D) alcohol.
Unlock Deck
Unlock for access to all 88 flashcards in this deck.
Unlock Deck
k this deck
35
Which carbon of the open-chain form of a sugar becomes the anomeric carbon in the cyclic form?
A) the carbonyl carbon
B) the highest numbered chiral center
C) the highest numbered carbon
D) It depends on the individual sugar.
A) the carbonyl carbon
B) the highest numbered chiral center
C) the highest numbered carbon
D) It depends on the individual sugar.
Unlock Deck
Unlock for access to all 88 flashcards in this deck.
Unlock Deck
k this deck
36
Exhibit 16A
Refer to Exhibit 16A.Diastereoisomers of D-Glucose include all of these,except:
A) D-Fructose
B) L-Glucose
C) L-Idose
D) D-Galactose
E) All of these are diastereoisomers of D-Glucose.
Refer to Exhibit 16A.Diastereoisomers of D-Glucose include all of these,except:A) D-Fructose
B) L-Glucose
C) L-Idose
D) D-Galactose
E) All of these are diastereoisomers of D-Glucose.
Unlock Deck
Unlock for access to all 88 flashcards in this deck.
Unlock Deck
k this deck
37
The a and b forms of the same sugar are called
A) anomers.
B) diastereoisomers.
C) enantiomers.
D) epimers.
E) none of these
A) anomers.
B) diastereoisomers.
C) enantiomers.
D) epimers.
E) none of these
Unlock Deck
Unlock for access to all 88 flashcards in this deck.
Unlock Deck
k this deck
38
For a D-sugar,any group that is written to the right of the carbon in a Fischer projection
A) has an upward projection in a Haworth projection.
B) has a downward projection in a Haworth projection.
C) may be either up or down in a Haworth projection, it depends on the individual sugar.
D) is missing from a Haworth projection.
A) has an upward projection in a Haworth projection.
B) has a downward projection in a Haworth projection.
C) may be either up or down in a Haworth projection, it depends on the individual sugar.
D) is missing from a Haworth projection.
Unlock Deck
Unlock for access to all 88 flashcards in this deck.
Unlock Deck
k this deck
39
Glycosidic linkages between monosaccharide units may vary based on
A) the anomeric form of the cyclic structure, i.e., a or b.
B) which -OH group is involved.
C) both of these
D) none of these
A) the anomeric form of the cyclic structure, i.e., a or b.
B) which -OH group is involved.
C) both of these
D) none of these
Unlock Deck
Unlock for access to all 88 flashcards in this deck.
Unlock Deck
k this deck
40
The conversion of a sugar's carbonyl to an alcohol is
A) a reduction reaction.
B) an oxidation reaction.
C) a glycosidic reaction.
D) impossible.
A) a reduction reaction.
B) an oxidation reaction.
C) a glycosidic reaction.
D) impossible.
Unlock Deck
Unlock for access to all 88 flashcards in this deck.
Unlock Deck
k this deck
41
The following sugar is also called fruit sugar:
A) Fructose
B) Glucose
C) Lactose
D) Sucrose
E) Maltose
A) Fructose
B) Glucose
C) Lactose
D) Sucrose
E) Maltose
Unlock Deck
Unlock for access to all 88 flashcards in this deck.
Unlock Deck
k this deck
42
Cellulose is indigestible to most animals because
A) animals do not have the enzymes needed to hydrolyze ester linkages between the monomer units
B) animals do not have the enzymes needed to hydrolyze the a-glycosidic linkages between the monomer units
C) animals do not have the enzymes needed to hydrolyze the b-glycosidic linkages between the monomer units
D) its molecular weight is too high for it to be degraded by enzymes
A) animals do not have the enzymes needed to hydrolyze ester linkages between the monomer units
B) animals do not have the enzymes needed to hydrolyze the a-glycosidic linkages between the monomer units
C) animals do not have the enzymes needed to hydrolyze the b-glycosidic linkages between the monomer units
D) its molecular weight is too high for it to be degraded by enzymes
Unlock Deck
Unlock for access to all 88 flashcards in this deck.
Unlock Deck
k this deck
43
Lactose intolerance
A) arises from inability to metabolize the disaccharide lactose
B) depends on a deficiency of sucrose in the diet
C) is based on the composition of lactose, consisting glucose and fructose in glycosidic linkage
D) arises because lactose is a dimer of galactose
A) arises from inability to metabolize the disaccharide lactose
B) depends on a deficiency of sucrose in the diet
C) is based on the composition of lactose, consisting glucose and fructose in glycosidic linkage
D) arises because lactose is a dimer of galactose
Unlock Deck
Unlock for access to all 88 flashcards in this deck.
Unlock Deck
k this deck
44
Lactose is composed of the following simple sugars:
A) galactose only
B) glucose only
C) fructose only
D) galactose and glucose
E) glucose and fructose
F) galactose and fructose
A) galactose only
B) glucose only
C) fructose only
D) galactose and glucose
E) glucose and fructose
F) galactose and fructose
Unlock Deck
Unlock for access to all 88 flashcards in this deck.
Unlock Deck
k this deck
45
Humans are not able to digest cellulose as a food source because:
A) Cellulose is very insoluble.
B) It is more important that the cellulose is used as fiber in our bodies.
C) We lack the enzyme to break the b linkage in the cellulose.
D) Cellulose is insoluble and we lack the enzyme to break the b linkage in the cellulose.
E) All of these are reasons why we cannot digest cellulose.
A) Cellulose is very insoluble.
B) It is more important that the cellulose is used as fiber in our bodies.
C) We lack the enzyme to break the b linkage in the cellulose.
D) Cellulose is insoluble and we lack the enzyme to break the b linkage in the cellulose.
E) All of these are reasons why we cannot digest cellulose.
Unlock Deck
Unlock for access to all 88 flashcards in this deck.
Unlock Deck
k this deck
46
Which of the following molecules is a disaccharide?
A) glucose
B) lactose
C) fructose
D) galactose
A) glucose
B) lactose
C) fructose
D) galactose
Unlock Deck
Unlock for access to all 88 flashcards in this deck.
Unlock Deck
k this deck
47
The difference between cellobiose and maltose is:
A) one contains glucose and the other fructose
B) they contain different monosaccharides
C) they both contain glucose units but are connected together at different carbons
D) one has an á linkage and the other a â linkage
E) there is no difference between the two
A) one contains glucose and the other fructose
B) they contain different monosaccharides
C) they both contain glucose units but are connected together at different carbons
D) one has an á linkage and the other a â linkage
E) there is no difference between the two
Unlock Deck
Unlock for access to all 88 flashcards in this deck.
Unlock Deck
k this deck
48
In bacterial cell walls
A) polysaccharides form nonspecific mixtures with proteins
B) polysaccharides are hydrogen bonded together
C) peptides form crosslinks between polysaccharides
D) oligosaccharides form crosslinks between proteins
A) polysaccharides form nonspecific mixtures with proteins
B) polysaccharides are hydrogen bonded together
C) peptides form crosslinks between polysaccharides
D) oligosaccharides form crosslinks between proteins
Unlock Deck
Unlock for access to all 88 flashcards in this deck.
Unlock Deck
k this deck
49
Which of the following is not a reducing sugar?
A) glucose
B) fructose
C) sucrose
D) maltose
E) lactose
A) glucose
B) fructose
C) sucrose
D) maltose
E) lactose
Unlock Deck
Unlock for access to all 88 flashcards in this deck.
Unlock Deck
k this deck
50
Sucrose is composed of the following simple sugars:
A) galactose only
B) glucose only
C) fructose only
D) galactose and glucose
E) glucose and fructose
F) galactose and fructose
A) galactose only
B) glucose only
C) fructose only
D) galactose and glucose
E) glucose and fructose
F) galactose and fructose
Unlock Deck
Unlock for access to all 88 flashcards in this deck.
Unlock Deck
k this deck
51
Common table sugar is
A) glucose
B) fructose
C) sucrose
D) maltose
E) lactose
A) glucose
B) fructose
C) sucrose
D) maltose
E) lactose
Unlock Deck
Unlock for access to all 88 flashcards in this deck.
Unlock Deck
k this deck
52
Which of the following statements associated with cellulose is false?
A) It's a linear polymer of glucose.
B) The glycosidic linkage is b(1 4).
C) Hydrolysis is accomplished enzymatically by cellulase.
D) Most animals can easily digest this compound.
A) It's a linear polymer of glucose.
B) The glycosidic linkage is b(1 4).
C) Hydrolysis is accomplished enzymatically by cellulase.
D) Most animals can easily digest this compound.
Unlock Deck
Unlock for access to all 88 flashcards in this deck.
Unlock Deck
k this deck
53
Which of the following molecules have the highest degree of a[1-6] branching linkages
A) Amylose
B) Amylopectin
C) Starch
D) Glycogen
E) All of these have the same degree of branching
A) Amylose
B) Amylopectin
C) Starch
D) Glycogen
E) All of these have the same degree of branching
Unlock Deck
Unlock for access to all 88 flashcards in this deck.
Unlock Deck
k this deck
54
Exhibit 16C
A polysaccharide.
Refer to Exhibit 16C.Which lettered subunit is the reducing end?
A) A
B) B
C) C
D) There is more than one nonreducing end on this carbohydrate.
E) There are no nonreducing ends on this carbohydrate.
A polysaccharide.Refer to Exhibit 16C.Which lettered subunit is the reducing end?
A) A
B) B
C) C
D) There is more than one nonreducing end on this carbohydrate.
E) There are no nonreducing ends on this carbohydrate.
Unlock Deck
Unlock for access to all 88 flashcards in this deck.
Unlock Deck
k this deck
55
Which of the following disaccharides cannot be digested by mammals?
A) cellobiose
B) sucrose
C) maltose
D) lactose
A) cellobiose
B) sucrose
C) maltose
D) lactose
Unlock Deck
Unlock for access to all 88 flashcards in this deck.
Unlock Deck
k this deck
56
Maltose is composed of the following simple sugars:
A) galactose only
B) glucose only
C) fructose only
D) galactose and glucose
E) glucose and fructose
F) galactose and fructose
A) galactose only
B) glucose only
C) fructose only
D) galactose and glucose
E) glucose and fructose
F) galactose and fructose
Unlock Deck
Unlock for access to all 88 flashcards in this deck.
Unlock Deck
k this deck
57
The following sugar is also called blood sugar:
A) Fructose
B) Glucose
C) Lactose
D) Sucrose
E) Maltose
A) Fructose
B) Glucose
C) Lactose
D) Sucrose
E) Maltose
Unlock Deck
Unlock for access to all 88 flashcards in this deck.
Unlock Deck
k this deck
58
Exhibit 16C
A polysaccharide.
Refer to Exhibit 16C.Which lettered subunit is the nonreducing end?
A) A
B) B
C) C
D) There is more than one nonreducing end on this carbohydrate.
E) There are no nonreducing ends on this carbohydrate.
A polysaccharide.Refer to Exhibit 16C.Which lettered subunit is the nonreducing end?
A) A
B) B
C) C
D) There is more than one nonreducing end on this carbohydrate.
E) There are no nonreducing ends on this carbohydrate.
Unlock Deck
Unlock for access to all 88 flashcards in this deck.
Unlock Deck
k this deck
59
Which of the following artificial sweeteners is a chemical derivative of sucrose?
A) saccharin
B) cyclamates
C) sucralose
D) aspartame
A) saccharin
B) cyclamates
C) sucralose
D) aspartame
Unlock Deck
Unlock for access to all 88 flashcards in this deck.
Unlock Deck
k this deck
60
The following sugar is also called milk sugar:
A) Fructose
B) Glucose
C) Lactose
D) Sucrose
E) Maltose
A) Fructose
B) Glucose
C) Lactose
D) Sucrose
E) Maltose
Unlock Deck
Unlock for access to all 88 flashcards in this deck.
Unlock Deck
k this deck
61
A major difference between amylose and amylopectin is that
A) amylose is connected by a(1-4) bonds and amylopectin is connected by b(1-4) bonds.
B) amylose is branched and amylopectin is not.
C) amylopectin is branched and amylose is not.
D) each is composed different types of sugar residues.
A) amylose is connected by a(1-4) bonds and amylopectin is connected by b(1-4) bonds.
B) amylose is branched and amylopectin is not.
C) amylopectin is branched and amylose is not.
D) each is composed different types of sugar residues.
Unlock Deck
Unlock for access to all 88 flashcards in this deck.
Unlock Deck
k this deck
62
The blue color in a well-known test for the presence of starches is due to
A) the formation of crosslinks between molecules of starch, caused by the addition of Cu2+
B) the reaction of the silver-ammonia complex ion with the hydroxyl groups of the starch
C) the formation of a complex between iodine and amylose
D) none of these
A) the formation of crosslinks between molecules of starch, caused by the addition of Cu2+
B) the reaction of the silver-ammonia complex ion with the hydroxyl groups of the starch
C) the formation of a complex between iodine and amylose
D) none of these
Unlock Deck
Unlock for access to all 88 flashcards in this deck.
Unlock Deck
k this deck
63
The most common biopolymer on earth is this carbohydrate:
A) Glucose
B) Cellulose
C) Starch
D) Chitin
E) None of these carbohydrates is very common.
A) Glucose
B) Cellulose
C) Starch
D) Chitin
E) None of these carbohydrates is very common.
Unlock Deck
Unlock for access to all 88 flashcards in this deck.
Unlock Deck
k this deck
64
Insoluble fiber in the diet is better at binding toxic substances than soluble fiber.
Unlock Deck
Unlock for access to all 88 flashcards in this deck.
Unlock Deck
k this deck
65
Amino or acid derivatives of sugars are very important in which of the following biological functions?
A) Structural roles
B) Lubricating fluids
C) Cell surface sugars used in cell identity
D) Both structural roles and lubricating fluids.
E) All of the above are functions of amino and acid sugar derivatives.
A) Structural roles
B) Lubricating fluids
C) Cell surface sugars used in cell identity
D) Both structural roles and lubricating fluids.
E) All of the above are functions of amino and acid sugar derivatives.
Unlock Deck
Unlock for access to all 88 flashcards in this deck.
Unlock Deck
k this deck
66
Cell walls
A) occur in plants, animals, and bacteria
B) are found in plants and bacteria, but have different chemical compositions
C) have the same chemical composition in plants and bacteria
D) have the same chemical composition in plants and animals
A) occur in plants, animals, and bacteria
B) are found in plants and bacteria, but have different chemical compositions
C) have the same chemical composition in plants and bacteria
D) have the same chemical composition in plants and animals
Unlock Deck
Unlock for access to all 88 flashcards in this deck.
Unlock Deck
k this deck
67
Polysaccharides used in cell wall structure contribute rigidity to the wall due to covalent cross-linking between the fibers.
Unlock Deck
Unlock for access to all 88 flashcards in this deck.
Unlock Deck
k this deck
68
Glycogen is sometimes called animal starch
Unlock Deck
Unlock for access to all 88 flashcards in this deck.
Unlock Deck
k this deck
69
Glycogen has a similar structure to amylopectin,but is less highly branched.
Unlock Deck
Unlock for access to all 88 flashcards in this deck.
Unlock Deck
k this deck
70
Plant starch includes amylopectin and cellulose
Unlock Deck
Unlock for access to all 88 flashcards in this deck.
Unlock Deck
k this deck
71
There are two forms of starch:
A) amylose and glycogen, both of which are highly branched polysaccharides
B) glycogen and chitin, both of which are linear polysaccharides
C) amylopectin and glycogen, both of which are linear polysaccharides
D) amylose, which is a linear polysaccharide, and amylopectin, which is highly branched
A) amylose and glycogen, both of which are highly branched polysaccharides
B) glycogen and chitin, both of which are linear polysaccharides
C) amylopectin and glycogen, both of which are linear polysaccharides
D) amylose, which is a linear polysaccharide, and amylopectin, which is highly branched
Unlock Deck
Unlock for access to all 88 flashcards in this deck.
Unlock Deck
k this deck
72
Glycogen breakdown proceeds from the nonreducing ends.
Unlock Deck
Unlock for access to all 88 flashcards in this deck.
Unlock Deck
k this deck
73
A bacterial cell wall is composed of:
A) A polysaccharide consisting of a single type of monosaccharide unit and cross-linking oligopeptides.
B) A polysaccharide consisting of 2 types of monosaccharide units and cross-linking oligopeptides.
C) A polysaccharide consisting of 3 types of monosaccharide units and cross-linking oligopeptides.
D) Two different polysaccharides and 1 type of oligopeptide, which are cross-linked.
A) A polysaccharide consisting of a single type of monosaccharide unit and cross-linking oligopeptides.
B) A polysaccharide consisting of 2 types of monosaccharide units and cross-linking oligopeptides.
C) A polysaccharide consisting of 3 types of monosaccharide units and cross-linking oligopeptides.
D) Two different polysaccharides and 1 type of oligopeptide, which are cross-linked.
Unlock Deck
Unlock for access to all 88 flashcards in this deck.
Unlock Deck
k this deck
74
Exhibit 16C
A polysaccharide.
Refer to Exhibit 16C.Which best describes the polysaccharide?
A) homopolysaccharide
B) heteropolysaccharide
C) aminopolysaccharide
D) cryptopolysaccharide
A polysaccharide.Refer to Exhibit 16C.Which best describes the polysaccharide?
A) homopolysaccharide
B) heteropolysaccharide
C) aminopolysaccharide
D) cryptopolysaccharide
Unlock Deck
Unlock for access to all 88 flashcards in this deck.
Unlock Deck
k this deck
75
Glycogen is
A) polysaccharide storage polymer found in plants
B) a linear polysaccharide
C) a highly branched polysaccharide found in animals
D) a synthetic sugar substitute
A) polysaccharide storage polymer found in plants
B) a linear polysaccharide
C) a highly branched polysaccharide found in animals
D) a synthetic sugar substitute
Unlock Deck
Unlock for access to all 88 flashcards in this deck.
Unlock Deck
k this deck
76
Exhibit 16C
A polysaccharide.
Refer to Exhibit 16C.Which best describes bond #3?
A) a[1,3]
B) b[1,3]
C) a[2,4]
D) b[2,4]
E) None of the above is a proper description.
A polysaccharide.Refer to Exhibit 16C.Which best describes bond #3?
A) a[1,3]
B) b[1,3]
C) a[2,4]
D) b[2,4]
E) None of the above is a proper description.
Unlock Deck
Unlock for access to all 88 flashcards in this deck.
Unlock Deck
k this deck
77
Insoluble fiber in the diet is better at better at providing bulk and stimulating peristaltic action than soluble fiber.
Unlock Deck
Unlock for access to all 88 flashcards in this deck.
Unlock Deck
k this deck
78
One major difference between bacterial and plant cell walls is that bacterial cell walls have polysaccharides that are crosslinked by peptides.
Unlock Deck
Unlock for access to all 88 flashcards in this deck.
Unlock Deck
k this deck
79
Which of the following has only a[1-4] linkages and no a[1-6] linkages
A) Glycogen
B) Amylose
C) Amylopectin
D) Starch
E) Cellobiose
A) Glycogen
B) Amylose
C) Amylopectin
D) Starch
E) Cellobiose
Unlock Deck
Unlock for access to all 88 flashcards in this deck.
Unlock Deck
k this deck
80
The linkage between the glucose residues in amylopectin and glycogen is:
A) For the main chain a (1 4) and b (1 4) for the branches
B) For the main chain a (1 6) and a (1 4) for the branches
C) For the main chain a (1 4) and a (1 6) for the branches
D) For the main chain b (1 4) and b (1 6) for the branches
E) The linkage between the glucose residues is variable.
A) For the main chain a (1 4) and b (1 4) for the branches
B) For the main chain a (1 6) and a (1 4) for the branches
C) For the main chain a (1 4) and a (1 6) for the branches
D) For the main chain b (1 4) and b (1 6) for the branches
E) The linkage between the glucose residues is variable.
Unlock Deck
Unlock for access to all 88 flashcards in this deck.
Unlock Deck
k this deck

