Deck 8: Wealth and Substitution Effects in Labor and Capital Markets
Question
Question
Question
Question
Question
Question
Question
Question
Question
Question
Question
Question
Question
Question
Question
Question
Unlock Deck
Sign up to unlock the cards in this deck!
Unlock Deck
Unlock Deck
1/16
Play
Full screen (f)
Deck 8: Wealth and Substitution Effects in Labor and Capital Markets
1
When the elasticity of substitution in the constant elasticity of substitution utility function lies above 1,an increase in the interest rate will cause a saver to save less.
False
Cobb-Douglas tastes --- which are CES tastes with elasticity of substitution of 1,represent the borderline case where an increase in the interest rate causes no change in savings behavior.For higher elasticities of substitution,the substitution effect dominates --- causing savings to increase with the interest rate.
Cobb-Douglas tastes --- which are CES tastes with elasticity of substitution of 1,represent the borderline case where an increase in the interest rate causes no change in savings behavior.For higher elasticities of substitution,the substitution effect dominates --- causing savings to increase with the interest rate.
2
Suppose you know I are only about consumption this year and consumption next year.Suppose also that I have an income this year but do not expect to have an income next year.Explain your answers.
a.You notice that I save more after the interest rate falls.Can you tell whether "consumption now" is a normal,inferior or Giffen good?
b.Suppose I also received an unexpected raise at work and you overhear me say: "Cool,I am even Steven.Now that I have my raise,I am just as happy as I was before the interest rate fell and I did not yet have a raise." Without knowing anything more,can you tell whether I consume more or less next year than I would have consumed had neither of the two changes happened?
a.You notice that I save more after the interest rate falls.Can you tell whether "consumption now" is a normal,inferior or Giffen good?
b.Suppose I also received an unexpected raise at work and you overhear me say: "Cool,I am even Steven.Now that I have my raise,I am just as happy as I was before the interest rate fell and I did not yet have a raise." Without knowing anything more,can you tell whether I consume more or less next year than I would have consumed had neither of the two changes happened?
a.Yes,you can tell.A drop in the interest rate gives rise to a substitution effect that says consume more now.If consumption now actually falls,it means that the wealth effect pushed in the opposite direction (for a decrease in wealth from the compensated to the final budget)-- so consumption now is a normal good.
b.Here,we are staying on the same indifference curve -- but the slope of the budget has become shallower.This implies a move to the right along the indifference curve -- a move to more consumption now and less consumption next year.(This is,of course,just a pure substitution effect.)
b.Here,we are staying on the same indifference curve -- but the slope of the budget has become shallower.This implies a move to the right along the indifference curve -- a move to more consumption now and less consumption next year.(This is,of course,just a pure substitution effect.)
3
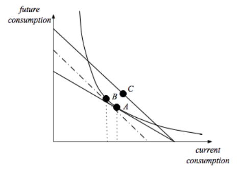
A friend is currently earning income but does not expect to earn income in the future.When the interest rate rose,I observed him saving less.From this,I can conclude that current consumption is an inferior good for my friend.
False
In this graph,both current and future consumption are normal goods -- and current consumption now increases,implying savings decrease.
In this graph,both current and future consumption are normal goods -- and current consumption now increases,implying savings decrease.

4
When tastes over current and future consumption take the Cobb-Douglas form,interest rates have no impact on savings when income is earned in the current period but not in the future.
Unlock Deck
Unlock for access to all 16 flashcards in this deck.
Unlock Deck
k this deck
5
For decreases in wage taxes,substitution effects put negative pressure on tax revenues while wealth effects put positive pressure on tax revenues.
Unlock Deck
Unlock for access to all 16 flashcards in this deck.
Unlock Deck
k this deck
6
Taxing savings in ways that lower the interest rate received by savers will lower savings.
Unlock Deck
Unlock for access to all 16 flashcards in this deck.
Unlock Deck
k this deck
7
If leisure is an inferior good,then an increase in wages will cause workers to work more.
Unlock Deck
Unlock for access to all 16 flashcards in this deck.
Unlock Deck
k this deck
8
The more substitutable current consumption is with future consumption,the more likely it is that an increase in the interest rate will cause an increase in savings.
Unlock Deck
Unlock for access to all 16 flashcards in this deck.
Unlock Deck
k this deck
9
As long as both current and future consumption are normal goods,a decrease in the interest rate will result in a drop in savings.
Unlock Deck
Unlock for access to all 16 flashcards in this deck.
Unlock Deck
k this deck
10
When tastes over current and future consumption are characterized by Cobb-Douglas utility functions,a borrower who has no income now and all income in the future will borrow more when the interest rate falls.
Unlock Deck
Unlock for access to all 16 flashcards in this deck.
Unlock Deck
k this deck
11
In a model of consumption and leisure,a drop in the wage will cause workers to work more if tastes are quasilinear in consumption.
Unlock Deck
Unlock for access to all 16 flashcards in this deck.
Unlock Deck
k this deck
12
If you earn income now and expect to live off savings in the future,then a raise now will cause you to save more so long as consumption -- now and in the future -- is a normal good.
Unlock Deck
Unlock for access to all 16 flashcards in this deck.
Unlock Deck
k this deck
13
In a model of consumption and leisure,a drop in the wage will cause workers to work less if tastes are quasilinear in leisure.
Unlock Deck
Unlock for access to all 16 flashcards in this deck.
Unlock Deck
k this deck
14
In the U.S.,everyone has to pay social security taxes on labor income until pre-tax income reaches a certain amount after which no additional taxes are due.Consider the case of workers A,B and C who have 60 hours of leisure per week and who earn an hourly wage of $40.Suppose the social security tax is 50% up to a pre-tax weekly income of $1,200 and then falls to zero for any income above $1,200 per week.Assume tastes are homothetic.
a.Worker A is observed to work 40 hours per week under this tax system.Is he working more or less than he would if the system were abolished?
b.Worker B is observed to work 30 hours a week under this tax system.Is he working more or less than he would if the system were abolished?
c.Worker C is observed to work 20 hours per week under this system.Is he working more or less than he would if the system were abolished?
d.Could any of the three workers above share exactly the same tastes?
e.For which of these workers is there no deadweight loss from the tax?
a.Worker A is observed to work 40 hours per week under this tax system.Is he working more or less than he would if the system were abolished?
b.Worker B is observed to work 30 hours a week under this tax system.Is he working more or less than he would if the system were abolished?
c.Worker C is observed to work 20 hours per week under this system.Is he working more or less than he would if the system were abolished?
d.Could any of the three workers above share exactly the same tastes?
e.For which of these workers is there no deadweight loss from the tax?
Unlock Deck
Unlock for access to all 16 flashcards in this deck.
Unlock Deck
k this deck
15
In a model with leisure hours and a composite consumption good,you cannot tell whether workers will work more or less if tastes are quasilinear in the consumption good.
Unlock Deck
Unlock for access to all 16 flashcards in this deck.
Unlock Deck
k this deck
16
Assuming no kinks in indifference curves and assuming our usual assumptions about tastes hold,someone who currently neither saves nor borrows will begin to borrow when the interest rate falls.
Unlock Deck
Unlock for access to all 16 flashcards in this deck.
Unlock Deck
k this deck

