Deck 23: Biomolecules: Lipids and Their Metabolism
Question
Question
Question
Question
Question
Question
Question
Question
Question
Question
Question
Question
Question
Question
Question
Question
Question
Question
Question
Question
Question
Question
Question
Question
Question
Question
Question
Question
Question
Question
Question
Unlock Deck
Sign up to unlock the cards in this deck!
Unlock Deck
Unlock Deck
1/31
Play
Full screen (f)
Deck 23: Biomolecules: Lipids and Their Metabolism
1
Instructions: Match each of the given terms to a structure from the list below.There is only one correct structure for each term,and structures may be used more than once.



2
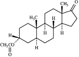
Instructions: Draw the structures of the major organic product(s)you would expect to obtain from reaction of androsterone with the reagents listed below.
androsterone
Draw major product(s):
CH3COCl,pyridine
androsterone
Draw major product(s):
CH3COCl,pyridine

3
Which of the following fatty acids has the highest melting point?
A)lauric acid
B)oleic acid
C)linoleic acid
D)linolenic acid
A)lauric acid
B)oleic acid
C)linoleic acid
D)linolenic acid
lauric acid
4
Instructions: Indicate by asterisks the stereogenic centers present in each of the indicated terpenes in the following question(s).
Place asterisks:
grandisol
Place asterisks:
grandisol
Unlock Deck
Unlock for access to all 31 flashcards in this deck.
Unlock Deck
k this deck
5
Chemically,these are triacylglycerols,triesters of glycerol with three long-chain carboxylic acids.
A)waxes
B)fats and oils
C)fatty acids
D)soaps
A)waxes
B)fats and oils
C)fatty acids
D)soaps
Unlock Deck
Unlock for access to all 31 flashcards in this deck.
Unlock Deck
k this deck
6
Cell membranes,which form an effective barrier to the passage of ions and other components into and out of the cell,are:
A)fatty acid esters
B)tricacylglycerols
C)lipid bilayers
D)micelles
A)fatty acid esters
B)tricacylglycerols
C)lipid bilayers
D)micelles
Unlock Deck
Unlock for access to all 31 flashcards in this deck.
Unlock Deck
k this deck
7
Instructions: Draw the structures of the major organic product(s)you would expect to obtain from reaction of androsterone with the reagents listed below.
androsterone
Draw major product(s):
NaBH4,ethanol
androsterone
Draw major product(s):
NaBH4,ethanol
Unlock Deck
Unlock for access to all 31 flashcards in this deck.
Unlock Deck
k this deck
8
When soaps disperse in water,the long hydrocarbon tails cluster together in a hydrophobic ball,while the ionic heads on the surface of the cluster stick out into the water.These spherical clusters are called:
A)fatty acid esters
B)triacylglycerols
C)lipid bilayers
D)micelles
A)fatty acid esters
B)triacylglycerols
C)lipid bilayers
D)micelles
Unlock Deck
Unlock for access to all 31 flashcards in this deck.
Unlock Deck
k this deck
9
Which of the following fatty acids has the highest melting point?
A)lauric acid
B)myristic acid
C)palmitic acid
D)stearic acid
A)lauric acid
B)myristic acid
C)palmitic acid
D)stearic acid
Unlock Deck
Unlock for access to all 31 flashcards in this deck.
Unlock Deck
k this deck
10
Which of the following is not true about cholesterol?
A)a steroid
B)a precursor for other steroids
C)produced from lanosterol
D)geometry allows for ring-flips
E)all of these are true
A)a steroid
B)a precursor for other steroids
C)produced from lanosterol
D)geometry allows for ring-flips
E)all of these are true
Unlock Deck
Unlock for access to all 31 flashcards in this deck.
Unlock Deck
k this deck
11
Instructions: Indicate by asterisks the stereogenic centers present in each of the indicated terpenes in the following question(s).
Place asterisks:
a-santonin
Place asterisks:
a-santonin
Unlock Deck
Unlock for access to all 31 flashcards in this deck.
Unlock Deck
k this deck
12
Instructions: Draw the structures of the major organic product(s)you would expect to obtain from reaction of androsterone with the reagents listed below.
androsterone
Draw major product(s):
androsterone
Draw major product(s):
Unlock Deck
Unlock for access to all 31 flashcards in this deck.
Unlock Deck
k this deck
13
Which of the following processes is used to harden an oil to give a fat?
A)oxidation
B)hydrogenation
C)hydrolysis
D)hydration
A)oxidation
B)hydrogenation
C)hydrolysis
D)hydration
Unlock Deck
Unlock for access to all 31 flashcards in this deck.
Unlock Deck
k this deck
14
Progesterone and progestin are examples of:
A)androgens
B)estrogens
C)progestins
D)glucocorticoids
A)androgens
B)estrogens
C)progestins
D)glucocorticoids
Unlock Deck
Unlock for access to all 31 flashcards in this deck.
Unlock Deck
k this deck
15
Which of the following would be expected to be found in higher concentration in butter versus olive oil?
A)CH3(CH2)12CO2H
B)CH3(CH2)7CHCH(CH2)7CO2H
C)CH3(CH2)4(CHCHCH2)2(CH2)6CO2H
D)CH3(CH2)4(CHCHCH2)4(CH2)2CO2H
A)CH3(CH2)12CO2H
B)CH3(CH2)7CHCH(CH2)7CO2H
C)CH3(CH2)4(CHCHCH2)2(CH2)6CO2H
D)CH3(CH2)4(CHCHCH2)4(CH2)2CO2H
Unlock Deck
Unlock for access to all 31 flashcards in this deck.
Unlock Deck
k this deck
16
Instructions: Indicate by asterisks the stereogenic centers present in each of the indicated terpenes in the following question(s).
Place asterisks:
abietic acid
Place asterisks:
abietic acid
Unlock Deck
Unlock for access to all 31 flashcards in this deck.
Unlock Deck
k this deck
17
Instructions: Indicate by asterisks the stereogenic centers present in each of the indicated terpenes in the following question(s).
Place asterisks:
lineatin
Place asterisks:
lineatin
Unlock Deck
Unlock for access to all 31 flashcards in this deck.
Unlock Deck
k this deck
18
Which of the following would function in a regulatory capacity?
A)aldosterone
B)androsterone
C)norethindrone
D)estradiol
A)aldosterone
B)androsterone
C)norethindrone
D)estradiol
Unlock Deck
Unlock for access to all 31 flashcards in this deck.
Unlock Deck
k this deck
19
The major lipid components of cell membranes are:
A)sphingolipids
B)fatty acids
C)phosphoglycerides
D)terpenoids
A)sphingolipids
B)fatty acids
C)phosphoglycerides
D)terpenoids
Unlock Deck
Unlock for access to all 31 flashcards in this deck.
Unlock Deck
k this deck
20
Instructions: Indicate by asterisks the stereogenic centers present in each of the indicated terpenes in the following question(s).
Place asterisks:
linalool
Place asterisks:
linalool
Unlock Deck
Unlock for access to all 31 flashcards in this deck.
Unlock Deck
k this deck
21
Draw the product of the following reaction,which is involved in the catabolism of triacylglycerols.
Unlock Deck
Unlock for access to all 31 flashcards in this deck.
Unlock Deck
k this deck
22
The following sequence represents the steps in the biosynthesis of fatty acids.


Unlock Deck
Unlock for access to all 31 flashcards in this deck.
Unlock Deck
k this deck
23
All of the following describe b-oxidation,except:
A)Two-carbon units are eliminated during each cycle.
B)The process employs NAD+ as an oxidant.
C)The process is the primary route to fatty acid degradation.
D)The 2-carbon groups are eliminated from the methyl end of the fatty acid.
E)Fatty acids are attached to coenzyme A during the process.
A)Two-carbon units are eliminated during each cycle.
B)The process employs NAD+ as an oxidant.
C)The process is the primary route to fatty acid degradation.
D)The 2-carbon groups are eliminated from the methyl end of the fatty acid.
E)Fatty acids are attached to coenzyme A during the process.
Unlock Deck
Unlock for access to all 31 flashcards in this deck.
Unlock Deck
k this deck
24
The b-oxidation of odd-numbered fatty acids is characterized by direct formation of:
A)Acetyl CoA.
B)Methylmalonyl CoA.
C)Propionyl CoA
D)Succinyl CoA
E)There are no characteristic products in this process.
A)Acetyl CoA.
B)Methylmalonyl CoA.
C)Propionyl CoA
D)Succinyl CoA
E)There are no characteristic products in this process.
Unlock Deck
Unlock for access to all 31 flashcards in this deck.
Unlock Deck
k this deck
25
In the sequence of steps shown below for fatty acid biosynthesis,how many cycles must be completed to produce the following species?
Unlock Deck
Unlock for access to all 31 flashcards in this deck.
Unlock Deck
k this deck
26
The source of oxygen for b-oxidation is:
A)CO2
B)O2
C)Peroxide
D)Water
E)None of these is the source of oxygen for b-oxidation.
A)CO2
B)O2
C)Peroxide
D)Water
E)None of these is the source of oxygen for b-oxidation.
Unlock Deck
Unlock for access to all 31 flashcards in this deck.
Unlock Deck
k this deck
27
How many molecules of acetyl CoA are produced in the catabolism of stearic acid?
Unlock Deck
Unlock for access to all 31 flashcards in this deck.
Unlock Deck
k this deck
28
How many passages through the b-oxidation pathway are required to completely degrade the following fatty acid?
CH3(CH2)12CO2H
CH3(CH2)12CO2H
Unlock Deck
Unlock for access to all 31 flashcards in this deck.
Unlock Deck
k this deck
29
All of the following are byproducts of b-oxidation,except:
A)Acetyl CoA
B)ADP
C)NADH
D)FADH2
E)All of these are byproducts of b-oxidation.
A)Acetyl CoA
B)ADP
C)NADH
D)FADH2
E)All of these are byproducts of b-oxidation.
Unlock Deck
Unlock for access to all 31 flashcards in this deck.
Unlock Deck
k this deck
30
Which of the following represents a similarity between the b-oxidation pathway and the biosynthesis of fatty acids?
A)identity of the acyl group carriers
B)stereochemistry of reaction intermediates
C)identity of the redox coenzymes
D)involvement of acetyl CoA
E)all of these are similarities
A)identity of the acyl group carriers
B)stereochemistry of reaction intermediates
C)identity of the redox coenzymes
D)involvement of acetyl CoA
E)all of these are similarities
Unlock Deck
Unlock for access to all 31 flashcards in this deck.
Unlock Deck
k this deck
31
Draw the structure of the carbocation intermediate that results from the following step in terpene synthesis.
Unlock Deck
Unlock for access to all 31 flashcards in this deck.
Unlock Deck
k this deck

