Deck 23: Lipids
Question
Question
Question
Question
Question
Question
Question
Question
Question
Question
Question
Question
Question
Question
Question
Question
Question
Question
Question
Question
Question
Question
Question
Question
Question
Question
Question
Question
Question
Question
Question
Question
Question
Question
Question
Question
Question
Question
Question
Question
Question
Question
Question
Question
Question
Question
Question
Question
Question
Question
Question
Question
Question
Question
Question
Question
Question
Question
Question
Question
Question
Question
Question
Question
Question
Question
Question
Question
Question
Question
Question
Question
Question
Question
Question
Question
Question
Question
Question
Question
Unlock Deck
Sign up to unlock the cards in this deck!
Unlock Deck
Unlock Deck
1/83
Play
Full screen (f)
Deck 23: Lipids
1
The molecule shown can be classified as a(an) 
A)steroid.
B)eicosanoid.
C)wax.
D)glycerophospholipid.
E)sphingolipid.

A)steroid.
B)eicosanoid.
C)wax.
D)glycerophospholipid.
E)sphingolipid.
wax.
2
Which molecule is a fatty acid?
A)CH3COOH
B)CH2=CHCOOH
C)(CH3)2CH(CH2)3COOH
D)CH3(CH2)7CH=CH(CH2)7COOH
E)none of the above
A)CH3COOH
B)CH2=CHCOOH
C)(CH3)2CH(CH2)3COOH
D)CH3(CH2)7CH=CH(CH2)7COOH
E)none of the above
CH3(CH2)7CH=CH(CH2)7COOH
3
All of the following types of molecules can be classified as lipids except
A)triacylglycerols.
B)steroids.
C)glycoproteins.
D)eicosanoids.
E)sphingomyelins.
A)triacylglycerols.
B)steroids.
C)glycoproteins.
D)eicosanoids.
E)sphingomyelins.
glycoproteins.
4
Which molecule is an unsaturated fatty acid?
A)CH3(CH2)14COOH
B)CH3(CH2)7CH=CH(CH2)7COOH
C)CH3CH=CHCH2COOH
D)(CH3)2CH(CH2)3COOH
E)none of the above
A)CH3(CH2)14COOH
B)CH3(CH2)7CH=CH(CH2)7COOH
C)CH3CH=CHCH2COOH
D)(CH3)2CH(CH2)3COOH
E)none of the above
Unlock Deck
Unlock for access to all 83 flashcards in this deck.
Unlock Deck
k this deck
5
Triglycerides belong to which general class of organic molecules?
A)esters
B)alcohols
C)carboxylic acids
D)ketones
E)ethers
A)esters
B)alcohols
C)carboxylic acids
D)ketones
E)ethers
Unlock Deck
Unlock for access to all 83 flashcards in this deck.
Unlock Deck
k this deck
6
Substances originating in plant or animal material and soluble in non-polar organic solvents are classified as
A)carbohydrates.
B)lipids.
C)nucleic acids.
D)proteins.
E)amino acids.
A)carbohydrates.
B)lipids.
C)nucleic acids.
D)proteins.
E)amino acids.
Unlock Deck
Unlock for access to all 83 flashcards in this deck.
Unlock Deck
k this deck
7
Which molecule is not a fatty acid?
A)CH3(CH2)14COOH
B)CH3CH2(CH=CHCH2)3(CH2)6COOH
C)(CH3)2CH(CH2)3COOH
D)CH3(CH2)7CH=CH(CH2)7COOH
E)none of the above
A)CH3(CH2)14COOH
B)CH3CH2(CH=CHCH2)3(CH2)6COOH
C)(CH3)2CH(CH2)3COOH
D)CH3(CH2)7CH=CH(CH2)7COOH
E)none of the above
Unlock Deck
Unlock for access to all 83 flashcards in this deck.
Unlock Deck
k this deck
8
Which molecule is a saturated fatty acid?
A)CH3(CH2)14COOH
B)CH3(CH2)7CH=CH(CH2)7COOH
C)CH3CH=CHCH2COOH
D)(CH3)2CH(CH2)3COOH
E)none of the above
A)CH3(CH2)14COOH
B)CH3(CH2)7CH=CH(CH2)7COOH
C)CH3CH=CHCH2COOH
D)(CH3)2CH(CH2)3COOH
E)none of the above
Unlock Deck
Unlock for access to all 83 flashcards in this deck.
Unlock Deck
k this deck
9
Biomolecules classified as lipids are
A)polyhydroxy aldehydes or ketones,or compounds which produce those when hydrolyzed.
B)polymers of α-amino acids.
C)soluble in non-polar solvents.
D)six-membered rings with delocalized electrons.
E)polymers of diacids and diamines.
A)polyhydroxy aldehydes or ketones,or compounds which produce those when hydrolyzed.
B)polymers of α-amino acids.
C)soluble in non-polar solvents.
D)six-membered rings with delocalized electrons.
E)polymers of diacids and diamines.
Unlock Deck
Unlock for access to all 83 flashcards in this deck.
Unlock Deck
k this deck
10
Biomolecules can be classified as lipids on the basis of
A)a common structure consisting of long hydrocarbon chains.
B)the presence of many hydroxyl groups and at least one carbonyl group.
C)the presence of at least one amine group and one carboxylic acid group on each molecule.
D)the physical properties of odor,color,and melting point within certain guidelines.
E)the physical property of solubility in nonpolar organic solvents.
A)a common structure consisting of long hydrocarbon chains.
B)the presence of many hydroxyl groups and at least one carbonyl group.
C)the presence of at least one amine group and one carboxylic acid group on each molecule.
D)the physical properties of odor,color,and melting point within certain guidelines.
E)the physical property of solubility in nonpolar organic solvents.
Unlock Deck
Unlock for access to all 83 flashcards in this deck.
Unlock Deck
k this deck
11
Which molecule is an unsaturated fatty acid?
A)lauric acid
B)linoleic acid
C)myristic acid
D)butyric acid
E)stearic acid
A)lauric acid
B)linoleic acid
C)myristic acid
D)butyric acid
E)stearic acid
Unlock Deck
Unlock for access to all 83 flashcards in this deck.
Unlock Deck
k this deck
12
The biochemical roles of lipids are
A)short-term energy storage,transport of molecules,and structural support.
B)storage of excess energy,component of cell membranes,and chemical messengers.
C)catalysis,protection against outside invaders,motion.
D)component of cell membranes,catalysis,and structural support.
E)neurotransmitters,hormones,transport of molecules.
A)short-term energy storage,transport of molecules,and structural support.
B)storage of excess energy,component of cell membranes,and chemical messengers.
C)catalysis,protection against outside invaders,motion.
D)component of cell membranes,catalysis,and structural support.
E)neurotransmitters,hormones,transport of molecules.
Unlock Deck
Unlock for access to all 83 flashcards in this deck.
Unlock Deck
k this deck
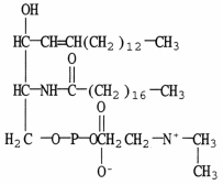
13
The molecule shown can be classified as a(an) 
A)steroid.
B)eicosanoid.
C)wax.
D)glycerophospholipid.
E)sphingolipid.

A)steroid.
B)eicosanoid.
C)wax.
D)glycerophospholipid.
E)sphingolipid.
Unlock Deck
Unlock for access to all 83 flashcards in this deck.
Unlock Deck
k this deck
14
Which of the following is not a biochemical function of waxes?
A)prevention of water loss by leaves
B)waterproofing of feathers in shore birds
C)energy storage for animals
D)structural materials in beehives
E)physical protection of mammalian ears
A)prevention of water loss by leaves
B)waterproofing of feathers in shore birds
C)energy storage for animals
D)structural materials in beehives
E)physical protection of mammalian ears
Unlock Deck
Unlock for access to all 83 flashcards in this deck.
Unlock Deck
k this deck
15
The chemical makeup of a wax is a(n)
A)simple ester of a long chain alcohol and a fatty acid.
B)ester of glycerol with three identical saturated fatty acids.
C)ester of glycerol with three identical unsaturated fatty acids.
D)ester of glycerol with three predominantly saturated fatty acids.
E)ester of glycerol with three predominantly unsaturated fatty acids.
A)simple ester of a long chain alcohol and a fatty acid.
B)ester of glycerol with three identical saturated fatty acids.
C)ester of glycerol with three identical unsaturated fatty acids.
D)ester of glycerol with three predominantly saturated fatty acids.
E)ester of glycerol with three predominantly unsaturated fatty acids.
Unlock Deck
Unlock for access to all 83 flashcards in this deck.
Unlock Deck
k this deck
16
The molecule shown can be classified as a(an) 
A)steroid.
B)eicosanoid.
C)wax.
D)glycerophospholipid.
E)sphingolipid.

A)steroid.
B)eicosanoid.
C)wax.
D)glycerophospholipid.
E)sphingolipid.
Unlock Deck
Unlock for access to all 83 flashcards in this deck.
Unlock Deck
k this deck
17
The molecule shown can be classified as a(an) 
A)steroid.
B)eicosanoid.
C)wax.
D)glycerophospholipid.
E)sphingolipid.

A)steroid.
B)eicosanoid.
C)wax.
D)glycerophospholipid.
E)sphingolipid.
Unlock Deck
Unlock for access to all 83 flashcards in this deck.
Unlock Deck
k this deck
18
Which molecule is a polyunsaturated fatty acid?
A)CH3(CH2)7CH=CH(CH2)7COOH
B)CH2=CHCH=CHCOOH
C)CH3CH2(CH=CHCH2)3(CH2)6COOH
D)HOOCCH2(CH=CHCH2)3CH2COOH
E)none of the above
A)CH3(CH2)7CH=CH(CH2)7COOH
B)CH2=CHCH=CHCOOH
C)CH3CH2(CH=CHCH2)3(CH2)6COOH
D)HOOCCH2(CH=CHCH2)3CH2COOH
E)none of the above
Unlock Deck
Unlock for access to all 83 flashcards in this deck.
Unlock Deck
k this deck
19
Which molecule is a saturated fatty acid?
A)lauric acid
B)linoleic acid
C)arachidonic acid
D)butyric acid
E)oleic acid
A)lauric acid
B)linoleic acid
C)arachidonic acid
D)butyric acid
E)oleic acid
Unlock Deck
Unlock for access to all 83 flashcards in this deck.
Unlock Deck
k this deck
20
Most naturally occurring monounsaturated fatty acids can be classified as which of the following?
A)d
B)l
C)cis
D)trans
E)none of the above
A)d
B)l
C)cis
D)trans
E)none of the above
Unlock Deck
Unlock for access to all 83 flashcards in this deck.
Unlock Deck
k this deck
21
Describe the similarities and differences between soaps and emulsifying agents.
Unlock Deck
Unlock for access to all 83 flashcards in this deck.
Unlock Deck
k this deck
22
Which C18 fatty acid is a solid at room temperature?
A)oleic acid
B)linoleic acid
C)linolenic acid
D)stearic acid
E)All will be solids at room temperature.
A)oleic acid
B)linoleic acid
C)linolenic acid
D)stearic acid
E)All will be solids at room temperature.
Unlock Deck
Unlock for access to all 83 flashcards in this deck.
Unlock Deck
k this deck
23
When a lipid is hydrolyzed to form a mixture of fatty acids,glycerol and phosphate as its products,the lipid is classified as
A)simple lipid.
B)complex lipid.
C)nonsaponifiable.
D)miscellaneous.
A)simple lipid.
B)complex lipid.
C)nonsaponifiable.
D)miscellaneous.
Unlock Deck
Unlock for access to all 83 flashcards in this deck.
Unlock Deck
k this deck
24
Saturated triacylglycerols are usually ________ because ________.
A)liquids;they have relatively short fatty acid chains
B)liquids;their rigid fatty acid chains do not fit together closely
C)liquids;they contain impurities from their natural sources
D)solids;they have relatively long fatty acid chains
E)solids;their flexible fatty acid chains allow the molecules to fit together closely
A)liquids;they have relatively short fatty acid chains
B)liquids;their rigid fatty acid chains do not fit together closely
C)liquids;they contain impurities from their natural sources
D)solids;they have relatively long fatty acid chains
E)solids;their flexible fatty acid chains allow the molecules to fit together closely
Unlock Deck
Unlock for access to all 83 flashcards in this deck.
Unlock Deck
k this deck
25
Which reaction can be used to convert oils into fats?
A)hydrogenation
B)hydrolysis
C)esterification
D)saponification
E)dehydration
A)hydrogenation
B)hydrolysis
C)esterification
D)saponification
E)dehydration
Unlock Deck
Unlock for access to all 83 flashcards in this deck.
Unlock Deck
k this deck
26
In chemical terms,soaps can best be described as
A)simple esters of fatty acids.
B)mixed esters of fatty acids.
C)salts of carboxylic acids.
D)long chain acids.
E)bases formed from glycerol.
A)simple esters of fatty acids.
B)mixed esters of fatty acids.
C)salts of carboxylic acids.
D)long chain acids.
E)bases formed from glycerol.
Unlock Deck
Unlock for access to all 83 flashcards in this deck.
Unlock Deck
k this deck
27
Soaps are
A)alkali metal salts of long chain carboxylic acids.
B)long chain fatty alcohols.
C)esters of a long chain fatty alcohol with a long chain fatty acid.
D)alkali metal salts of glycerol.
E)B and D
A)alkali metal salts of long chain carboxylic acids.
B)long chain fatty alcohols.
C)esters of a long chain fatty alcohol with a long chain fatty acid.
D)alkali metal salts of glycerol.
E)B and D
Unlock Deck
Unlock for access to all 83 flashcards in this deck.
Unlock Deck
k this deck
28
Fats and oils can be referred to by the general term ________ because ________.
A)phospholipids;they are formed when any one of the three ester groups is replaced by a phosphate group
B)triglycerides;they are formed when any one of the three functional groups of glycerol reacts with a fatty acid
C)triacylglycerols;they are formed by reaction of 1,2,3-propanetriol with three fatty acids
D)soaps;they can undergo saponification reactions
E)steroids;they have a specific tetracyclic ring structure
A)phospholipids;they are formed when any one of the three ester groups is replaced by a phosphate group
B)triglycerides;they are formed when any one of the three functional groups of glycerol reacts with a fatty acid
C)triacylglycerols;they are formed by reaction of 1,2,3-propanetriol with three fatty acids
D)soaps;they can undergo saponification reactions
E)steroids;they have a specific tetracyclic ring structure
Unlock Deck
Unlock for access to all 83 flashcards in this deck.
Unlock Deck
k this deck
29
Which fatty acid composition will yield a triglyceride that will most likely be an oil?
A)3 palmitic acid units
B)2 palmitic acid and 1 oleic acid units
C)2 linoleic acid and 1 stearic acid units
D)3 stearic acid units
E)2 palmitic acid and 1 stearic acid units
A)3 palmitic acid units
B)2 palmitic acid and 1 oleic acid units
C)2 linoleic acid and 1 stearic acid units
D)3 stearic acid units
E)2 palmitic acid and 1 stearic acid units
Unlock Deck
Unlock for access to all 83 flashcards in this deck.
Unlock Deck
k this deck
30
The type of lipid that is predominant in cell membranes is
A)fats.
B)phospholipids.
C)waxes.
D)steroids.
E)leukotrienes.
A)fats.
B)phospholipids.
C)waxes.
D)steroids.
E)leukotrienes.
Unlock Deck
Unlock for access to all 83 flashcards in this deck.
Unlock Deck
k this deck
31
Unsaturated triacylglycerols are usually ________ because ________.
A)liquids;they have relatively short fatty acid chains
B)liquids;the kinks in their fatty acid chains prevent their fitting together closely
C)liquids;they contain impurities from their natural sources
D)solids;they have relatively long fatty acid chains
E)solids;the similar zig-zag shape of their fatty acid chains allows them to fit together closely
A)liquids;they have relatively short fatty acid chains
B)liquids;the kinks in their fatty acid chains prevent their fitting together closely
C)liquids;they contain impurities from their natural sources
D)solids;they have relatively long fatty acid chains
E)solids;the similar zig-zag shape of their fatty acid chains allows them to fit together closely
Unlock Deck
Unlock for access to all 83 flashcards in this deck.
Unlock Deck
k this deck
32
The chemical makeup of oils is
A)simple esters of long chain alcohols and fatty acids.
B)esters of glycerol with three identical saturated fatty acids.
C)esters of glycerol with three identical unsaturated fatty acids.
D)esters of glycerol with three predominantly saturated fatty acids.
E)esters of glycerol with three predominantly unsaturated fatty acids.
A)simple esters of long chain alcohols and fatty acids.
B)esters of glycerol with three identical saturated fatty acids.
C)esters of glycerol with three identical unsaturated fatty acids.
D)esters of glycerol with three predominantly saturated fatty acids.
E)esters of glycerol with three predominantly unsaturated fatty acids.
Unlock Deck
Unlock for access to all 83 flashcards in this deck.
Unlock Deck
k this deck
33
Fats are generally ________ at room temperature and are obtained from ________.
A)liquids;plants
B)liquids;animals
C)solids;plants
D)solids;animals
E)none of the above
A)liquids;plants
B)liquids;animals
C)solids;plants
D)solids;animals
E)none of the above
Unlock Deck
Unlock for access to all 83 flashcards in this deck.
Unlock Deck
k this deck
34
The saponification reaction used to form soaps can be more specifically described as
A)acid hydrolysis.
B)basic hydrolysis.
C)hydrogenation.
D)dehydrogenation.
E)dehydration.
A)acid hydrolysis.
B)basic hydrolysis.
C)hydrogenation.
D)dehydrogenation.
E)dehydration.
Unlock Deck
Unlock for access to all 83 flashcards in this deck.
Unlock Deck
k this deck
35
The chemical makeup of fats is
A)simple esters of long chain alcohols and fatty acids.
B)esters of glycerol with three identical saturated fatty acids.
C)esters of glycerol with three identical unsaturated fatty acids.
D)esters of glycerol with three predominantly saturated fatty acids.
E)esters of glycerol with three predominantly unsaturated fatty acids.
A)simple esters of long chain alcohols and fatty acids.
B)esters of glycerol with three identical saturated fatty acids.
C)esters of glycerol with three identical unsaturated fatty acids.
D)esters of glycerol with three predominantly saturated fatty acids.
E)esters of glycerol with three predominantly unsaturated fatty acids.
Unlock Deck
Unlock for access to all 83 flashcards in this deck.
Unlock Deck
k this deck
36
The hydrocarbon end of a soap molecule is
A)hydrophilic and attracted to grease.
B)hydrophobic and attracted to grease.
C)hydrophilic and attracted to water.
D)hydrophobic and attracted to water.
E)neither hydrophobic nor hydrophilic.
A)hydrophilic and attracted to grease.
B)hydrophobic and attracted to grease.
C)hydrophilic and attracted to water.
D)hydrophobic and attracted to water.
E)neither hydrophobic nor hydrophilic.
Unlock Deck
Unlock for access to all 83 flashcards in this deck.
Unlock Deck
k this deck
37
Oils are generally ________ at room temperature and are obtained from ________.
A)liquids;plants
B)liquids;animals
C)solids;plants
D)solids;animals
E)none of the above
A)liquids;plants
B)liquids;animals
C)solids;plants
D)solids;animals
E)none of the above
Unlock Deck
Unlock for access to all 83 flashcards in this deck.
Unlock Deck
k this deck
38
Use the terms hydrophobic,hydrophilic,and micelle to explain how a soap removes grease from fabric.
Unlock Deck
Unlock for access to all 83 flashcards in this deck.
Unlock Deck
k this deck
39
The product of an esterification reaction between which of the following molecules would be an oil?
I.CH3 (CH2)14COOH
II.CH3 (CH2)7CH
CH(CH2)7COOH
III.HOCH2CH2OH
IV.HOCH2CH(OH)CH2OH
A)I and IV
B)II and III
C)II and IV
D)I and III
E)I and II
I.CH3 (CH2)14COOH
II.CH3 (CH2)7CH

CH(CH2)7COOH
III.HOCH2CH2OH
IV.HOCH2CH(OH)CH2OH
A)I and IV
B)II and III
C)II and IV
D)I and III
E)I and II
Unlock Deck
Unlock for access to all 83 flashcards in this deck.
Unlock Deck
k this deck
40
The product of an esterification reaction between which of the following molecules would be a fat?
I.CH3(CH2)14COOH
II.CH3(CH2)7CH=CH(CH2)7COOH
III.HOCH2CH2OH
IV.HOCH2CH(OH)CH2OH
A)I and IV
B)II and III
C)II and IV
D)I and III
E)I and II
I.CH3(CH2)14COOH
II.CH3(CH2)7CH=CH(CH2)7COOH
III.HOCH2CH2OH
IV.HOCH2CH(OH)CH2OH
A)I and IV
B)II and III
C)II and IV
D)I and III
E)I and II
Unlock Deck
Unlock for access to all 83 flashcards in this deck.
Unlock Deck
k this deck
41
Glycolipids are similar in structure to sphingomyelins,except that the phosphate group has been replaced by a(an)
A)choline derivative.
B)carbohydrate.
C)fatty acid.
D)amino acid.
E)nucleic acid.
A)choline derivative.
B)carbohydrate.
C)fatty acid.
D)amino acid.
E)nucleic acid.
Unlock Deck
Unlock for access to all 83 flashcards in this deck.
Unlock Deck
k this deck
42
Steroids are classified as lipids because they have a distinguishing feature that they
A)dissolve in nonpolar solvents.
B)are present in biological membranes.
C)can be saponified.
D)have a ring structure.
A)dissolve in nonpolar solvents.
B)are present in biological membranes.
C)can be saponified.
D)have a ring structure.
Unlock Deck
Unlock for access to all 83 flashcards in this deck.
Unlock Deck
k this deck
43
A sphingomyelin includes all of the following components except
A)amino alcohol.
B)phosphate group.
C)sphingosine.
D)glycerol.
E)fatty acid.
A)amino alcohol.
B)phosphate group.
C)sphingosine.
D)glycerol.
E)fatty acid.
Unlock Deck
Unlock for access to all 83 flashcards in this deck.
Unlock Deck
k this deck
44
A certain glycerophospholipid is made of glycerol,two fatty acids,a phosphate and ethanolamine.Which components do carboxylic ester linkages connect?
A)the fatty acids and phosphate
B)glycerol and ethanolamine
C)glycerol and the fatty acids
D)phosphate and ethanolamine
E)There are no carboxylic ester linkages.
A)the fatty acids and phosphate
B)glycerol and ethanolamine
C)glycerol and the fatty acids
D)phosphate and ethanolamine
E)There are no carboxylic ester linkages.
Unlock Deck
Unlock for access to all 83 flashcards in this deck.
Unlock Deck
k this deck
45
All of the following are components of a cell membrane except
A)liposomes.
B)integral proteins.
C)peripheral proteins.
D)glycoproteins.
E)cholesterol.
A)liposomes.
B)integral proteins.
C)peripheral proteins.
D)glycoproteins.
E)cholesterol.
Unlock Deck
Unlock for access to all 83 flashcards in this deck.
Unlock Deck
k this deck
46
A phospholipid with the phosphate ester group bonded to choline would be classified as a
A)cephalin.
B)lecithin.
C)sphingomyelin.
D)cerebroside.
E)ganglioside.
A)cephalin.
B)lecithin.
C)sphingomyelin.
D)cerebroside.
E)ganglioside.
Unlock Deck
Unlock for access to all 83 flashcards in this deck.
Unlock Deck
k this deck
47
The molecule shown can be classified as a 
A)wax.
B)glycerophospholipid.
C)sphingolipid.
D)glycolipid.
E)triacylglycerol.

A)wax.
B)glycerophospholipid.
C)sphingolipid.
D)glycolipid.
E)triacylglycerol.
Unlock Deck
Unlock for access to all 83 flashcards in this deck.
Unlock Deck
k this deck
48
Sphingomyelin is made of
A)sphingosine,a fatty acid,and phosphoryl choline.
B)sphingosine,a fatty acid,and a trisaccharide.
C)sphingosine,a fatty acid,and glucose.
D)glycerol and a fatty acid.
E)glycerol,a fatty acid,and phosphate.
A)sphingosine,a fatty acid,and phosphoryl choline.
B)sphingosine,a fatty acid,and a trisaccharide.
C)sphingosine,a fatty acid,and glucose.
D)glycerol and a fatty acid.
E)glycerol,a fatty acid,and phosphate.
Unlock Deck
Unlock for access to all 83 flashcards in this deck.
Unlock Deck
k this deck
49
Phospholipids differ from fats and oils by having
A)one of the fatty acid ester linkages replaced by a phosphate ester linkage.
B)one of the fatty acid ester linkages replaced by an amine group.
C)cyclic ester structures instead of the three-carbon backbone.
D)a molecule of glucose bonded to the three-carbon backbone.
E)a molecule of galactose bonded to the three-carbon backbone.
A)one of the fatty acid ester linkages replaced by a phosphate ester linkage.
B)one of the fatty acid ester linkages replaced by an amine group.
C)cyclic ester structures instead of the three-carbon backbone.
D)a molecule of glucose bonded to the three-carbon backbone.
E)a molecule of galactose bonded to the three-carbon backbone.
Unlock Deck
Unlock for access to all 83 flashcards in this deck.
Unlock Deck
k this deck
50
The function of cholesterol in a cell membrane is to
A)act as a precursor to steroid hormones.
B)take part in the reactions that produce bile acids.
C)maintain structure because of its flat rigid characteristics.
D)attract hydrophobic molecules to form solid deposits.
E)none of the above
A)act as a precursor to steroid hormones.
B)take part in the reactions that produce bile acids.
C)maintain structure because of its flat rigid characteristics.
D)attract hydrophobic molecules to form solid deposits.
E)none of the above
Unlock Deck
Unlock for access to all 83 flashcards in this deck.
Unlock Deck
k this deck
51
Lecithin is commonly used as a(an)
A)emulsifying agent.
B)lubricant.
C)drying agent.
D)precipitating agent.
E)dispersant.
A)emulsifying agent.
B)lubricant.
C)drying agent.
D)precipitating agent.
E)dispersant.
Unlock Deck
Unlock for access to all 83 flashcards in this deck.
Unlock Deck
k this deck
52
Which statement about cholesterol is not correct?
A)It is an essential component of cell membranes.
B)It is the precursor for steroid hormones.
C)It is the precursor for bile acids and salts.
D)It cannot be synthesized by the body.
E)It is soluble in non-polar solvents.
A)It is an essential component of cell membranes.
B)It is the precursor for steroid hormones.
C)It is the precursor for bile acids and salts.
D)It cannot be synthesized by the body.
E)It is soluble in non-polar solvents.
Unlock Deck
Unlock for access to all 83 flashcards in this deck.
Unlock Deck
k this deck
53
Upon hydrolysis,which of the following lipid types would yield a carbohydrate as a product?
A)lecithins
B)glycolipids
C)cephalins
D)phospholipids
A)lecithins
B)glycolipids
C)cephalins
D)phospholipids
Unlock Deck
Unlock for access to all 83 flashcards in this deck.
Unlock Deck
k this deck
54
Steroids are
A)simple esters of long chain alcohols and fatty acids.
B)esters of glycerol with three predominantly saturated fatty acids.
C)esters of glycerol with three predominantly unsaturated fatty acids.
D)based on a tetracyclic ring system with substituents at various positions.
E)based on a system composed of four adjacent aromatic rings with substituents at various positions.
A)simple esters of long chain alcohols and fatty acids.
B)esters of glycerol with three predominantly saturated fatty acids.
C)esters of glycerol with three predominantly unsaturated fatty acids.
D)based on a tetracyclic ring system with substituents at various positions.
E)based on a system composed of four adjacent aromatic rings with substituents at various positions.
Unlock Deck
Unlock for access to all 83 flashcards in this deck.
Unlock Deck
k this deck
55
Phosphoglycerides differ from glycerides in that one of the hydroxyl groups of the glycerol is esterified with
A)phosphoric acid.
B)phosphorous.
C)choline.
D)serine.
A)phosphoric acid.
B)phosphorous.
C)choline.
D)serine.
Unlock Deck
Unlock for access to all 83 flashcards in this deck.
Unlock Deck
k this deck
56
The difference in chemical structure between cerebrosides and gangliosides is that gangliosides
A)have larger fatty acid molecules than cerebrosides.
B)contain more complex carbohydrates than cerebrosides.
C)are found in many kinds of cells,but cerebrosides mainly in brain cells.
D)are based on glycerol and cerebrosides on sphingosine.
E)are based on sphingosine and cerebrosides on glycerol.
A)have larger fatty acid molecules than cerebrosides.
B)contain more complex carbohydrates than cerebrosides.
C)are found in many kinds of cells,but cerebrosides mainly in brain cells.
D)are based on glycerol and cerebrosides on sphingosine.
E)are based on sphingosine and cerebrosides on glycerol.
Unlock Deck
Unlock for access to all 83 flashcards in this deck.
Unlock Deck
k this deck
57
Sphingomyelins are composed of sphingosine,a fatty acid,phosphoric acid,and
A)choline.
B)glucose.
C)galactose.
D)inositol.
E)none of the above
A)choline.
B)glucose.
C)galactose.
D)inositol.
E)none of the above
Unlock Deck
Unlock for access to all 83 flashcards in this deck.
Unlock Deck
k this deck
58
The carbohydrate portion of a glycolipid extends ________ in order to allow the molecule to function as a ________.
A)into the extracellular fluid;receptor site
B)into the extracellular fluid;transport channel
C)into the intracellular fluid;transport channel
D)into the intracellular fluid;receptor site
E)laterally within the bilayer;fluid membrane
A)into the extracellular fluid;receptor site
B)into the extracellular fluid;transport channel
C)into the intracellular fluid;transport channel
D)into the intracellular fluid;receptor site
E)laterally within the bilayer;fluid membrane
Unlock Deck
Unlock for access to all 83 flashcards in this deck.
Unlock Deck
k this deck
59
Sketch a lipid bilayer and identify its hydrophobic and hydrophilic portions.
Unlock Deck
Unlock for access to all 83 flashcards in this deck.
Unlock Deck
k this deck
60
Cholesterol is implicated as a potential cause of atherosclerosis because it
A)acts as a precursor to steroid hormones.
B)takes part in the reactions that produce bile acids.
C)maintains structure because of its flat rigid characteristics.
D)attracts hydrophobic molecules to form solid deposits.
E)none of the above
A)acts as a precursor to steroid hormones.
B)takes part in the reactions that produce bile acids.
C)maintains structure because of its flat rigid characteristics.
D)attracts hydrophobic molecules to form solid deposits.
E)none of the above
Unlock Deck
Unlock for access to all 83 flashcards in this deck.
Unlock Deck
k this deck
61
Match the following.
saturated
A)describes the non-polar portion of a molecule that does not interact with water or other polar substances
B)describes fatty acids that have mostly single but more than one double carbon-carbon bond
C)describes the polar portion of a molecule that interacts readily with water or other polar substances
D)a process of transport in which substances cross a membrane based on concentration differences without the expenditure of energy
E)describes fatty acids that have mostly single but at least one double carbon-carbon bond
F)describes fatty acids that do not have any carbon-carbon double bonds
G)a process of transport in which integral proteins change shape to allow a substance to cross a cell membrane
H)a process of transport that costs energy because the flow is against the concentration gradient
saturated
A)describes the non-polar portion of a molecule that does not interact with water or other polar substances
B)describes fatty acids that have mostly single but more than one double carbon-carbon bond
C)describes the polar portion of a molecule that interacts readily with water or other polar substances
D)a process of transport in which substances cross a membrane based on concentration differences without the expenditure of energy
E)describes fatty acids that have mostly single but at least one double carbon-carbon bond
F)describes fatty acids that do not have any carbon-carbon double bonds
G)a process of transport in which integral proteins change shape to allow a substance to cross a cell membrane
H)a process of transport that costs energy because the flow is against the concentration gradient
Unlock Deck
Unlock for access to all 83 flashcards in this deck.
Unlock Deck
k this deck
62
Which substance will not be transported into a cell by simple diffusion?
A)CO2
B)O2
C)estrogen
D)cortisone
E)epinephrine
A)CO2
B)O2
C)estrogen
D)cortisone
E)epinephrine
Unlock Deck
Unlock for access to all 83 flashcards in this deck.
Unlock Deck
k this deck
63
Match the following.
polyunsaturated
A)describes the non-polar portion of a molecule that does not interact with water or other polar substances
B)describes fatty acids that have mostly single but more than one double carbon-carbon bond
C)describes the polar portion of a molecule that interacts readily with water or other polar substances
D)a process of transport in which substances cross a membrane based on concentration differences without the expenditure of energy
E)describes fatty acids that have mostly single but at least one double carbon-carbon bond
F)describes fatty acids that do not have any carbon-carbon double bonds
G)a process of transport in which integral proteins change shape to allow a substance to cross a cell membrane
H)a process of transport that costs energy because the flow is against the concentration gradient
polyunsaturated
A)describes the non-polar portion of a molecule that does not interact with water or other polar substances
B)describes fatty acids that have mostly single but more than one double carbon-carbon bond
C)describes the polar portion of a molecule that interacts readily with water or other polar substances
D)a process of transport in which substances cross a membrane based on concentration differences without the expenditure of energy
E)describes fatty acids that have mostly single but at least one double carbon-carbon bond
F)describes fatty acids that do not have any carbon-carbon double bonds
G)a process of transport in which integral proteins change shape to allow a substance to cross a cell membrane
H)a process of transport that costs energy because the flow is against the concentration gradient
Unlock Deck
Unlock for access to all 83 flashcards in this deck.
Unlock Deck
k this deck
64
The function of glycoproteins and glycolipids in cell membranes is to
A)vary the fluidity of the membrane as needed.
B)mediate interactions between the cell and outside agents.
C)provide channels for facilitated diffusion.
D)provide channels for active transport.
E)act as energy sources for active transport.
A)vary the fluidity of the membrane as needed.
B)mediate interactions between the cell and outside agents.
C)provide channels for facilitated diffusion.
D)provide channels for active transport.
E)act as energy sources for active transport.
Unlock Deck
Unlock for access to all 83 flashcards in this deck.
Unlock Deck
k this deck
65
Local hormones
A)are short-lived.
B)can be prostaglandins.
C)can be leukotrienes.
D)act near their point of synthesis.
E)all of the above
A)are short-lived.
B)can be prostaglandins.
C)can be leukotrienes.
D)act near their point of synthesis.
E)all of the above
Unlock Deck
Unlock for access to all 83 flashcards in this deck.
Unlock Deck
k this deck
66
The process of transport across cell membranes which costs biochemical energy is
A)simple diffusion.
B)facilitated diffusion.
C)active transport.
D)osmosis.
E)none of the above
A)simple diffusion.
B)facilitated diffusion.
C)active transport.
D)osmosis.
E)none of the above
Unlock Deck
Unlock for access to all 83 flashcards in this deck.
Unlock Deck
k this deck
67
A protein which extends completely through the cell membrane is referred to as a(an)
A)liposome.
B)integral protein.
C)peripheral protein.
D)glycoprotein.
E)cholesterol.
A)liposome.
B)integral protein.
C)peripheral protein.
D)glycoprotein.
E)cholesterol.
Unlock Deck
Unlock for access to all 83 flashcards in this deck.
Unlock Deck
k this deck
68
Which statement about eicosanoids is not correct?
A)The parent molecule,arachidonic acid,contains 20 carbon atoms.
B)Linolenic acid is a precursor to arachidonic acid.
C)All of the molecules in this category are unsaturated.
D)Eicosanoids function as "local hormones," acting as short-term chemical messengers.
E)none of the above
A)The parent molecule,arachidonic acid,contains 20 carbon atoms.
B)Linolenic acid is a precursor to arachidonic acid.
C)All of the molecules in this category are unsaturated.
D)Eicosanoids function as "local hormones," acting as short-term chemical messengers.
E)none of the above
Unlock Deck
Unlock for access to all 83 flashcards in this deck.
Unlock Deck
k this deck
69
Prostaglandins
A)are produced by prostate gland and have a hormone function.
B)are involved in the reproductive processes of the human female.
C)are inhibited by the drug aspirin.
D)All of these are correct statements.
E)None of these are correct statements.
A)are produced by prostate gland and have a hormone function.
B)are involved in the reproductive processes of the human female.
C)are inhibited by the drug aspirin.
D)All of these are correct statements.
E)None of these are correct statements.
Unlock Deck
Unlock for access to all 83 flashcards in this deck.
Unlock Deck
k this deck
70
Which choice is an example of a material that is transported across cell membranes by active transport?
A)cholesterol
B)K+
C)glucose
D)oxygen
E)carbon dioxide
A)cholesterol
B)K+
C)glucose
D)oxygen
E)carbon dioxide
Unlock Deck
Unlock for access to all 83 flashcards in this deck.
Unlock Deck
k this deck
71
A protein which lies primarily on the surface of the cell membrane is referred to as a(an)
A)liposome.
B)integral protein.
C)peripheral protein.
D)glycoprotein.
E)cholesterol.
A)liposome.
B)integral protein.
C)peripheral protein.
D)glycoprotein.
E)cholesterol.
Unlock Deck
Unlock for access to all 83 flashcards in this deck.
Unlock Deck
k this deck
72
Which of the following has a structure similar to a lipid bilayer?
A)liposomes
B)integral proteins
C)peripheral proteins
D)glycoproteins
E)cholesterol
A)liposomes
B)integral proteins
C)peripheral proteins
D)glycoproteins
E)cholesterol
Unlock Deck
Unlock for access to all 83 flashcards in this deck.
Unlock Deck
k this deck
73
Compare the three mechanisms for moving materials across cell membranes.Be sure to mention gradients,energy considerations,actual method of transport,and types of materials transported in your answer.
Unlock Deck
Unlock for access to all 83 flashcards in this deck.
Unlock Deck
k this deck
74
Eicosanoids function as
A)sex hormones.
B)thyroid hormones.
C)local hormones.
D)neurotransmitters.
E)membrane components.
A)sex hormones.
B)thyroid hormones.
C)local hormones.
D)neurotransmitters.
E)membrane components.
Unlock Deck
Unlock for access to all 83 flashcards in this deck.
Unlock Deck
k this deck
75
The compound that is the immediate precursor to the prostaglandins is
A)cholesterol.
B)oleic acid.
C)stearic acid.
D)arachidonic acid.
E)leukotriene.
A)cholesterol.
B)oleic acid.
C)stearic acid.
D)arachidonic acid.
E)leukotriene.
Unlock Deck
Unlock for access to all 83 flashcards in this deck.
Unlock Deck
k this deck
76
The process of moving solutes into or out of a cell against the natural concentration gradient is called
A)active transport.
B)passive transport.
C)facilitated diffusion.
D)diffusive transport.
E)allotropic migration.
A)active transport.
B)passive transport.
C)facilitated diffusion.
D)diffusive transport.
E)allotropic migration.
Unlock Deck
Unlock for access to all 83 flashcards in this deck.
Unlock Deck
k this deck
77
The basic structure of cell membranes consists of
A)protein micelles studded with phospholipids.
B)protein bilayers studded with phospholipids.
C)one protein layer and one phospholipid layer.
D)phospholipid micelles studded with proteins.
E)phospholipid bilayers studded with proteins.
A)protein micelles studded with phospholipids.
B)protein bilayers studded with phospholipids.
C)one protein layer and one phospholipid layer.
D)phospholipid micelles studded with proteins.
E)phospholipid bilayers studded with proteins.
Unlock Deck
Unlock for access to all 83 flashcards in this deck.
Unlock Deck
k this deck
78
Match the following.
unsaturated
A)describes the non-polar portion of a molecule that does not interact with water or other polar substances
B)describes fatty acids that have mostly single but more than one double carbon-carbon bond
C)describes the polar portion of a molecule that interacts readily with water or other polar substances
D)a process of transport in which substances cross a membrane based on concentration differences without the expenditure of energy
E)describes fatty acids that have mostly single but at least one double carbon-carbon bond
F)describes fatty acids that do not have any carbon-carbon double bonds
G)a process of transport in which integral proteins change shape to allow a substance to cross a cell membrane
H)a process of transport that costs energy because the flow is against the concentration gradient
unsaturated
A)describes the non-polar portion of a molecule that does not interact with water or other polar substances
B)describes fatty acids that have mostly single but more than one double carbon-carbon bond
C)describes the polar portion of a molecule that interacts readily with water or other polar substances
D)a process of transport in which substances cross a membrane based on concentration differences without the expenditure of energy
E)describes fatty acids that have mostly single but at least one double carbon-carbon bond
F)describes fatty acids that do not have any carbon-carbon double bonds
G)a process of transport in which integral proteins change shape to allow a substance to cross a cell membrane
H)a process of transport that costs energy because the flow is against the concentration gradient
Unlock Deck
Unlock for access to all 83 flashcards in this deck.
Unlock Deck
k this deck
79
Match the following.
facilitated diffusion
A)describes the non-polar portion of a molecule that does not interact with water or other polar substances
B)describes fatty acids that have mostly single but more than one double carbon-carbon bond
C)describes the polar portion of a molecule that interacts readily with water or other polar substances
D)a process of transport in which substances cross a membrane based on concentration differences without the expenditure of energy
E)describes fatty acids that have mostly single but at least one double carbon-carbon bond
F)describes fatty acids that do not have any carbon-carbon double bonds
G)a process of transport in which integral proteins change shape to allow a substance to cross a cell membrane
H)a process of transport that costs energy because the flow is against the concentration gradient
facilitated diffusion
A)describes the non-polar portion of a molecule that does not interact with water or other polar substances
B)describes fatty acids that have mostly single but more than one double carbon-carbon bond
C)describes the polar portion of a molecule that interacts readily with water or other polar substances
D)a process of transport in which substances cross a membrane based on concentration differences without the expenditure of energy
E)describes fatty acids that have mostly single but at least one double carbon-carbon bond
F)describes fatty acids that do not have any carbon-carbon double bonds
G)a process of transport in which integral proteins change shape to allow a substance to cross a cell membrane
H)a process of transport that costs energy because the flow is against the concentration gradient
Unlock Deck
Unlock for access to all 83 flashcards in this deck.
Unlock Deck
k this deck
80
Match the following.
hydrophobic
A)describes the non-polar portion of a molecule that does not interact with water or other polar substances
B)describes fatty acids that have mostly single but more than one double carbon-carbon bond
C)describes the polar portion of a molecule that interacts readily with water or other polar substances
D)a process of transport in which substances cross a membrane based on concentration differences without the expenditure of energy
E)describes fatty acids that have mostly single but at least one double carbon-carbon bond
F)describes fatty acids that do not have any carbon-carbon double bonds
G)a process of transport in which integral proteins change shape to allow a substance to cross a cell membrane
H)a process of transport that costs energy because the flow is against the concentration gradient
hydrophobic
A)describes the non-polar portion of a molecule that does not interact with water or other polar substances
B)describes fatty acids that have mostly single but more than one double carbon-carbon bond
C)describes the polar portion of a molecule that interacts readily with water or other polar substances
D)a process of transport in which substances cross a membrane based on concentration differences without the expenditure of energy
E)describes fatty acids that have mostly single but at least one double carbon-carbon bond
F)describes fatty acids that do not have any carbon-carbon double bonds
G)a process of transport in which integral proteins change shape to allow a substance to cross a cell membrane
H)a process of transport that costs energy because the flow is against the concentration gradient
Unlock Deck
Unlock for access to all 83 flashcards in this deck.
Unlock Deck
k this deck

