Deck 20: IV Medication and Titration Calculations
Question
Question
Question
Question
Question
Question
Question
Question
Question
Question
Question
Question
Question
Question
Question
Question
Question
Question
Question
Question
Question
Question
Question
Question
Question
Unlock Deck
Sign up to unlock the cards in this deck!
Unlock Deck
Unlock Deck
1/25
Play
Full screen (f)
Deck 20: IV Medication and Titration Calculations
1
A 400 mg in 250 mL solution is ordered for a 89.7 kg patient to titrate between 4 and 10 mcg/kg/min. Calculate the dosage range in mcg/min and flow rate range in mL/hr.
359-897 mcg/min; 13-34 mL/hr
4 mcg/kg/min × 89.7 kg = 358.8 = 359 mcg/min
10 mcg/kg/min × 89.7 kg = 471.6 = 897 mcg/min
The dosage range is 359-897 mcg/min.
359 mcg/min × 60 min/hr = 21,540 mcg/hr
21,540 mcg/hr ÷ 1000 mcg/mg = 21.54 = 21.5 mg/hr
897 mcg/min × 60 min/hr = 53,280 mcg/hr
53,280 mcg/hr ÷ 1000 mcg/mg = 53.82 = 53.8 mg/hr
The flow rate range is 13-34 mL/hr.
4 mcg/kg/min × 89.7 kg = 358.8 = 359 mcg/min
10 mcg/kg/min × 89.7 kg = 471.6 = 897 mcg/min
The dosage range is 359-897 mcg/min.
359 mcg/min × 60 min/hr = 21,540 mcg/hr
21,540 mcg/hr ÷ 1000 mcg/mg = 21.54 = 21.5 mg/hr
897 mcg/min × 60 min/hr = 53,280 mcg/hr
53,280 mcg/hr ÷ 1000 mcg/mg = 53.82 = 53.8 mg/hr
The flow rate range is 13-34 mL/hr. 2
A solution of 100 mg in 500 mL is ordered to infuse at 0.9 mcg/kg/min for a patient weighing 74.3 kg. Calculate dosage (in mcg/min) to the nearest tenth and flow rate (in mL/hr) to the nearest whole number.
66.9 mcg/min; 20 mL/hr
0.9 mcg/kg/min × 74.3 kg = 66.87 = 66.9 mcg/min
66.9 mcg/min × 60 min = 4014 mcg/hr
4014 mcg/hr ÷ 1000 mcg/mg = 4.01 = 4 mg/hr

0.9 mcg/kg/min × 74.3 kg = 66.87 = 66.9 mcg/min
66.9 mcg/min × 60 min = 4014 mcg/hr
4014 mcg/hr ÷ 1000 mcg/mg = 4.01 = 4 mg/hr

3
A solution of 500 mg in 1000 mL is to infuse between 0.4 and 0.8 mg/kg/hr for a patient weighing 61.4 kg. Calculate dosage range in mg/hr and flow rate range in mL/hr.
25-49 mg/hr; 50-98 mL/hr
0.4 mg/kg/hr × 61.4 kg = 24.56 = 25 mg/hr
0.8 mg/kg/hr × 61.4 kg = 49.12 = 49 mg/hr
The dosage range is 25-49 mg/hr.
The flow rate range is 50-98 mL/hr.
0.4 mg/kg/hr × 61.4 kg = 24.56 = 25 mg/hr
0.8 mg/kg/hr × 61.4 kg = 49.12 = 49 mg/hr
The dosage range is 25-49 mg/hr.
The flow rate range is 50-98 mL/hr. 4
A 35 mg/hr dosage is ordered and a 250 mg in 250 mL solution is available. Calculate the flow rate in mL/hr.
Unlock Deck
Unlock for access to all 25 flashcards in this deck.
Unlock Deck
k this deck
5
A patient weighs 53.1 kg. The order is to infuse 2 mcg/kg/min of a solution whose strength is 250 mg in 250 mL. Calculate dosage (in mcg/min) to the nearest tenth and flow rate (in mL/hr) to the nearest whole number.
Unlock Deck
Unlock for access to all 25 flashcards in this deck.
Unlock Deck
k this deck
6
An adult who weighs 90.7 kg has orders for 6-9 mcg/kg/min. The solution contains 800 mg in 500 mL. Calculate the dosage range in mcg/min and flow rate range in mL/hr.
Unlock Deck
Unlock for access to all 25 flashcards in this deck.
Unlock Deck
k this deck
7
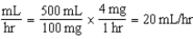
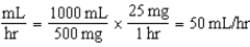
A drug is ordered to titrate between 4 and 6 mcg/kg/min. The body weight is 78.6 kg and the solution strength is 200 mg/100 mL. Calculate the dosage range in mcg/min and flow rate range in mL/hr.
Unlock Deck
Unlock for access to all 25 flashcards in this deck.
Unlock Deck
k this deck
8
The order is to infuse 90 mcg/kg/min to a patient weighing 81.7 kg. The solution strength is 3 g in 250 mL. Calculate dosage (in mcg/min) to the nearest tenth and flow rate (in mL/hr) to the nearest whole number.
Unlock Deck
Unlock for access to all 25 flashcards in this deck.
Unlock Deck
k this deck
9
A 250 mL solution with 2 mg of a drug is to be infused at 7 mcg/min. Calculate the flow rate in mL/hr.
Unlock Deck
Unlock for access to all 25 flashcards in this deck.
Unlock Deck
k this deck
10
The available solution strength is 500 mg in 500 mL. The order is to titrate the dosage from 2-5 mg/kg/hr for a patient weighing 60 kg. Calculate dosage range in mg/hr and flow rate range in mL/hr.
Unlock Deck
Unlock for access to all 25 flashcards in this deck.
Unlock Deck
k this deck
11
A 7 mcg/kg/min dosage is ordered for an adult weighing 81.3 kg. The solution available is 400 mg in 250 mL. Calculate dosage (in mcg/min) to the nearest tenth and flow rate (in mL/hr) to the nearest whole number.
Unlock Deck
Unlock for access to all 25 flashcards in this deck.
Unlock Deck
k this deck
12
An adult weighing 71.8 kg has an order to titrate between 3.5 and 6 mg/kg/hr. The solution available contains 500 mg in 250 mL. Calculate dosage range in mg/hr and flow rate range in mL/hr.
Unlock Deck
Unlock for access to all 25 flashcards in this deck.
Unlock Deck
k this deck
13
The order is to titrate a solution of 250 mg in 250 mL at 15-18 mcg/kg/min. The patient weighs 59 kg. Calculate the dosage range in mcg/min and flow rate range in mL/hr.
Unlock Deck
Unlock for access to all 25 flashcards in this deck.
Unlock Deck
k this deck
14
A drug has been ordered for an adult weighing 68.6 kg to titrate at 8-12 mcg/kg/min. The solution available is 500 mg in 250 mL. Calculate the dosage range in mcg/min and flow rate range in mL/hr.
Unlock Deck
Unlock for access to all 25 flashcards in this deck.
Unlock Deck
k this deck
15
The order is to titrate 0.6-0.8 mg/kg/hr for a client weighing 91.3 kg. The solution strength is 1000 mg in 1 L. Calculate dosage range in mg/hr and flow rate range in mL/hr.
Unlock Deck
Unlock for access to all 25 flashcards in this deck.
Unlock Deck
k this deck
16
An adult whose weight is 106.2 kg is to receive a dosage of 3-6 mg/kg/hr. The solution strength is 1 g in 500 mL. Calculate dosage range in mg/hr and flow rate range in mL/hr.
Unlock Deck
Unlock for access to all 25 flashcards in this deck.
Unlock Deck
k this deck
17
A 14 mcg/min dosage using a 10 mg in 250 mL solution is ordered. Calculate the flow rate in mL/hr.
Unlock Deck
Unlock for access to all 25 flashcards in this deck.
Unlock Deck
k this deck
18
An adult weighing 64 kg has an infusion ordered at 6 mcg/kg/min. The solution strength is 600 mg/500 mL. Calculate dosage (in mcg/min) to the nearest tenth and flow rate (in mL/hr) to the nearest whole number.
Unlock Deck
Unlock for access to all 25 flashcards in this deck.
Unlock Deck
k this deck
19
Infuse 8 mg/min from a 500 mg/250 mL solution. Calculate the flow rate in mL/hr.
Unlock Deck
Unlock for access to all 25 flashcards in this deck.
Unlock Deck
k this deck
20
A 4 g in 500 mL dosage is to infuse at 2 mg/min. Calculate the flow rate in mL/hr.
Unlock Deck
Unlock for access to all 25 flashcards in this deck.
Unlock Deck
k this deck
21
An infusion of 300 mg/250 mL is infusing at a rate of 38 mL/hr. Calculate the dose currently infusing in mcg/min to the nearest whole number.
Unlock Deck
Unlock for access to all 25 flashcards in this deck.
Unlock Deck
k this deck
22
A solution of 600 mg/500 mL is infusing at 60 mL/hr. Calculate the dose currently infusing in mcg/min to the nearest whole number.
Unlock Deck
Unlock for access to all 25 flashcards in this deck.
Unlock Deck
k this deck
23
A solution of 100 mg/250 mL is infusing at 25 mL/hr. Calculate the dose currently infusing in mcg/min to the nearest whole number.
Unlock Deck
Unlock for access to all 25 flashcards in this deck.
Unlock Deck
k this deck
24
An infusion is running at 3 mL/hr. The solution strength is 1 g in 500 mL. Calculate the dose currently infusing in mcg/min to the nearest whole number.
Unlock Deck
Unlock for access to all 25 flashcards in this deck.
Unlock Deck
k this deck
25
The infusion is running at 14 mL/hr. The solution strength is 150 mg in 100 mL. Calculate the dose currently infusing in mcg/min to the nearest whole number.
Unlock Deck
Unlock for access to all 25 flashcards in this deck.
Unlock Deck
k this deck

