Deck 8: Carbohydrates
Question
Question
Question
Question
Question
Question
Question
Question
Question
Question
Question
Question
Question
Question
Question
Question
Question
Question
Question
Question
Question
Question
Question
Question
Question
Question
Question
Question
Question
Question
Question
Question
Question
Question
Question
Question
Question
Question
Question
Question
Question
Question
Question
Question
Question
Question
Question
Question
Question
Question
Question
Question
Question
Question
Question
Question
Question
Question
Question
Question
Question
Question
Question
Question
Question
Question
Unlock Deck
Sign up to unlock the cards in this deck!
Unlock Deck
Unlock Deck
1/66
Play
Full screen (f)
Deck 8: Carbohydrates
1
Matching
-______ is a homopolymer composed of (1-4)-linked N-acetyl-D-glucosamine residues that is the principle structural component of the exoskeleton of various groups of invertebrates.
A)eight
B)deoxy
C)peptidoglycan
D)axial
E)anomers
F)two
G)lactose
H)glyceraldehyde
I)amylopectin
J)epimers
K)sixteen
L)glycogen
M)equatorial
N)chitin
O)hyaluronic acid
P)amylose
-______ is a homopolymer composed of (1-4)-linked N-acetyl-D-glucosamine residues that is the principle structural component of the exoskeleton of various groups of invertebrates.
A)eight
B)deoxy
C)peptidoglycan
D)axial
E)anomers
F)two
G)lactose
H)glyceraldehyde
I)amylopectin
J)epimers
K)sixteen
L)glycogen
M)equatorial
N)chitin
O)hyaluronic acid
P)amylose
chitin
2
Matching
-The monosaccharides -D-galactose and -D-galactose are ______.
A)eight
B)deoxy
C)peptidoglycan
D)axial
E)anomers
F)two
G)lactose
H)glyceraldehyde
I)amylopectin
J)epimers
K)sixteen
L)glycogen
M)equatorial
N)chitin
O)hyaluronic acid
P)amylose
-The monosaccharides -D-galactose and -D-galactose are ______.
A)eight
B)deoxy
C)peptidoglycan
D)axial
E)anomers
F)two
G)lactose
H)glyceraldehyde
I)amylopectin
J)epimers
K)sixteen
L)glycogen
M)equatorial
N)chitin
O)hyaluronic acid
P)amylose
anomers
3
Matching
The smallest aldose is ______.
A)eight
B)deoxy
C)peptidoglycan
D)axial
E)anomers
F)two
G)lactose
H)glyceraldehyde
I)amylopectin
J)epimers
K)sixteen
L)glycogen
M)equatorial
N)chitin
O)hyaluronic acid
P)amylose
The smallest aldose is ______.
A)eight
B)deoxy
C)peptidoglycan
D)axial
E)anomers
F)two
G)lactose
H)glyceraldehyde
I)amylopectin
J)epimers
K)sixteen
L)glycogen
M)equatorial
N)chitin
O)hyaluronic acid
P)amylose
glyceraldehyde
4
Matching
______ is a heteropolymer composed of D-glucoronate and N-acetyl-D-glucosamine that acts as shock absorber and lubricant.
A)eight
B)deoxy
C)peptidoglycan
D)axial
E)anomers
F)two
G)lactose
H)glyceraldehyde
I)amylopectin
J)epimers
K)sixteen
L)glycogen
M)equatorial
N)chitin
O)hyaluronic acid
P)amylose
______ is a heteropolymer composed of D-glucoronate and N-acetyl-D-glucosamine that acts as shock absorber and lubricant.
A)eight
B)deoxy
C)peptidoglycan
D)axial
E)anomers
F)two
G)lactose
H)glyceraldehyde
I)amylopectin
J)epimers
K)sixteen
L)glycogen
M)equatorial
N)chitin
O)hyaluronic acid
P)amylose
Unlock Deck
Unlock for access to all 66 flashcards in this deck.
Unlock Deck
k this deck
5
Matching
An example of a homopolysaccharide in liver and muscle is ______.
A)eight
B)deoxy
C)peptidoglycan
D)axial
E)anomers
F)two
G)lactose
H)glyceraldehyde
I)amylopectin
J)epimers
K)sixteen
L)glycogen
M)equatorial
N)chitin
O)hyaluronic acid
P)amylose
An example of a homopolysaccharide in liver and muscle is ______.
A)eight
B)deoxy
C)peptidoglycan
D)axial
E)anomers
F)two
G)lactose
H)glyceraldehyde
I)amylopectin
J)epimers
K)sixteen
L)glycogen
M)equatorial
N)chitin
O)hyaluronic acid
P)amylose
Unlock Deck
Unlock for access to all 66 flashcards in this deck.
Unlock Deck
k this deck
6
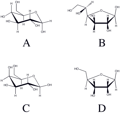
This figure is used in questions 
Which of the sugars shown in the figure above are L sugars?
A)A and B
B)B and C
C)C and D
D)A and D
E)None of the above

Which of the sugars shown in the figure above are L sugars?
A)A and B
B)B and C
C)C and D
D)A and D
E)None of the above
Unlock Deck
Unlock for access to all 66 flashcards in this deck.
Unlock Deck
k this deck
7
This figure is used in questions . 
Which structure shown in the figure above is ribose?
A)A
B)B
C)C
D)D
E)None of the above

Which structure shown in the figure above is ribose?
A)A
B)B
C)C
D)D
E)None of the above
Unlock Deck
Unlock for access to all 66 flashcards in this deck.
Unlock Deck
k this deck
8
Matching
Bulky ring substituents preferentially occupy ______ positions in the chair conformation.
A)eight
B)deoxy
C)peptidoglycan
D)axial
E)anomers
F)two
G)lactose
H)glyceraldehyde
I)amylopectin
J)epimers
K)sixteen
L)glycogen
M)equatorial
N)chitin
O)hyaluronic acid
P)amylose
Bulky ring substituents preferentially occupy ______ positions in the chair conformation.
A)eight
B)deoxy
C)peptidoglycan
D)axial
E)anomers
F)two
G)lactose
H)glyceraldehyde
I)amylopectin
J)epimers
K)sixteen
L)glycogen
M)equatorial
N)chitin
O)hyaluronic acid
P)amylose
Unlock Deck
Unlock for access to all 66 flashcards in this deck.
Unlock Deck
k this deck
9
This figure is used in questions 
Which sugar shown in the figure above is the enantiomer of sugar A?
A)B
B)C
C)D
D)B and D
E)none of the above

Which sugar shown in the figure above is the enantiomer of sugar A?
A)B
B)C
C)D
D)B and D
E)none of the above
Unlock Deck
Unlock for access to all 66 flashcards in this deck.
Unlock Deck
k this deck
10
This figure is used in questions . 
Which structure(s)shown in the figure above represent reducing sugar(s)?
A)A
B)D
C)C and D
D)A, B, C, and D
E)A, B, and C

Which structure(s)shown in the figure above represent reducing sugar(s)?
A)A
B)D
C)C and D
D)A, B, C, and D
E)A, B, and C
Unlock Deck
Unlock for access to all 66 flashcards in this deck.
Unlock Deck
k this deck
11
How many stereoisomers are possible for a ketopentose such as ribulose?
A)2
B)4
C)8
D)16
E)32
A)2
B)4
C)8
D)16
E)32
Unlock Deck
Unlock for access to all 66 flashcards in this deck.
Unlock Deck
k this deck
12
Matching
The disaccharide commonly found in dairy products is ______.
A)eight
B)deoxy
C)peptidoglycan
D)axial
E)anomers
F)two
G)lactose
H)glyceraldehyde
I)amylopectin
J)epimers
K)sixteen
L)glycogen
M)equatorial
N)chitin
O)hyaluronic acid
P)amylose
The disaccharide commonly found in dairy products is ______.
A)eight
B)deoxy
C)peptidoglycan
D)axial
E)anomers
F)two
G)lactose
H)glyceraldehyde
I)amylopectin
J)epimers
K)sixteen
L)glycogen
M)equatorial
N)chitin
O)hyaluronic acid
P)amylose
Unlock Deck
Unlock for access to all 66 flashcards in this deck.
Unlock Deck
k this deck
13
This figure is used in questions . 
Which of the structures shown in the figure above is galactose?
A)A
B)B
C)C
D)D
E)None of the above

Which of the structures shown in the figure above is galactose?
A)A
B)B
C)C
D)D
E)None of the above
Unlock Deck
Unlock for access to all 66 flashcards in this deck.
Unlock Deck
k this deck
14
This figure is used in questions . 
Which structure shown in the figure above is a ketohexose?
A)A
B)B
C)C
D)D
E)None of the above

Which structure shown in the figure above is a ketohexose?
A)A
B)B
C)C
D)D
E)None of the above
Unlock Deck
Unlock for access to all 66 flashcards in this deck.
Unlock Deck
k this deck
15
Matching
Glucose, with its four chiral carbon atoms, has ______ possible stereoisomers.
A)eight
B)deoxy
C)peptidoglycan
D)axial
E)anomers
F)two
G)lactose
H)glyceraldehyde
I)amylopectin
J)epimers
K)sixteen
L)glycogen
M)equatorial
N)chitin
O)hyaluronic acid
P)amylose
Glucose, with its four chiral carbon atoms, has ______ possible stereoisomers.
A)eight
B)deoxy
C)peptidoglycan
D)axial
E)anomers
F)two
G)lactose
H)glyceraldehyde
I)amylopectin
J)epimers
K)sixteen
L)glycogen
M)equatorial
N)chitin
O)hyaluronic acid
P)amylose
Unlock Deck
Unlock for access to all 66 flashcards in this deck.
Unlock Deck
k this deck
16
How many stereoisomers are possible for an aldopentose such as ribose?
A)2
B)4
C)8
D)16
E)32
A)2
B)4
C)8
D)16
E)32
Unlock Deck
Unlock for access to all 66 flashcards in this deck.
Unlock Deck
k this deck
17
This figure is used in questions 
Which two sugars shown in the figure above are epimers?
A)A and B
B)B and C
C)C and D
D)A and D
E)None of the above

Which two sugars shown in the figure above are epimers?
A)A and B
B)B and C
C)C and D
D)A and D
E)None of the above
Unlock Deck
Unlock for access to all 66 flashcards in this deck.
Unlock Deck
k this deck
18
Matching
The ______ sugars are monosaccharides in which a hydroxyl group is replaced with a hydrogen atom.
A)eight
B)deoxy
C)peptidoglycan
D)axial
E)anomers
F)two
G)lactose
H)glyceraldehyde
I)amylopectin
J)epimers
K)sixteen
L)glycogen
M)equatorial
N)chitin
O)hyaluronic acid
P)amylose
The ______ sugars are monosaccharides in which a hydroxyl group is replaced with a hydrogen atom.
A)eight
B)deoxy
C)peptidoglycan
D)axial
E)anomers
F)two
G)lactose
H)glyceraldehyde
I)amylopectin
J)epimers
K)sixteen
L)glycogen
M)equatorial
N)chitin
O)hyaluronic acid
P)amylose
Unlock Deck
Unlock for access to all 66 flashcards in this deck.
Unlock Deck
k this deck
19
Matching
The main component of a bacterial cell wall is a ______.
A)eight
B)deoxy
C)peptidoglycan
D)axial
E)anomers
F)two
G)lactose
H)glyceraldehyde
I)amylopectin
J)epimers
K)sixteen
L)glycogen
M)equatorial
N)chitin
O)hyaluronic acid
P)amylose
The main component of a bacterial cell wall is a ______.
A)eight
B)deoxy
C)peptidoglycan
D)axial
E)anomers
F)two
G)lactose
H)glyceraldehyde
I)amylopectin
J)epimers
K)sixteen
L)glycogen
M)equatorial
N)chitin
O)hyaluronic acid
P)amylose
Unlock Deck
Unlock for access to all 66 flashcards in this deck.
Unlock Deck
k this deck
20
Matching
-Both (1 4)and (1 6)bonds can be found in the plant product______.
A)eight
B)deoxy
C)peptidoglycan
D)axial
E)anomers
F)two
G)lactose
H)glyceraldehyde
I)amylopectin
J)epimers
K)sixteen
L)glycogen
M)equatorial
N)chitin
O)hyaluronic acid
P)amylose
-Both (1 4)and (1 6)bonds can be found in the plant product______.
A)eight
B)deoxy
C)peptidoglycan
D)axial
E)anomers
F)two
G)lactose
H)glyceraldehyde
I)amylopectin
J)epimers
K)sixteen
L)glycogen
M)equatorial
N)chitin
O)hyaluronic acid
P)amylose
Unlock Deck
Unlock for access to all 66 flashcards in this deck.
Unlock Deck
k this deck
21
The figure below shows structures of several types of sugars.Which one is an alditol?
A)
B)
C)
D)
E)
A)

B)

C)

D)

E)

Unlock Deck
Unlock for access to all 66 flashcards in this deck.
Unlock Deck
k this deck
22
At equilibrium in solution, D-glucose consists of a mixture of its anomers.Which statement most accurately describes this solution?
A)The solution consists of approximately equal amounts of the - and -anomers.
B)The straight-chain form is present in high concentration.
C)The -anomer is more stable and is slightly preferred over the -anomer.
D)The -anomer predominates over the -anomer by a ratio of approximately 2:1.
E)None of the answers above is correct.
A)The solution consists of approximately equal amounts of the - and -anomers.
B)The straight-chain form is present in high concentration.
C)The -anomer is more stable and is slightly preferred over the -anomer.
D)The -anomer predominates over the -anomer by a ratio of approximately 2:1.
E)None of the answers above is correct.
Unlock Deck
Unlock for access to all 66 flashcards in this deck.
Unlock Deck
k this deck
23
This figure is used in questions . 
Which of the structures shown in the figure above is a glucopyranose?
A)A
B)B
C)C
D)D
E)None of the above

Which of the structures shown in the figure above is a glucopyranose?
A)A
B)B
C)C
D)D
E)None of the above
Unlock Deck
Unlock for access to all 66 flashcards in this deck.
Unlock Deck
k this deck
24
The sialic acids
A)are important constituents of glycoproteins and glycolipids.
B)are N-acetyl glucosamine derivatives.
C)incorporate a succinic acid derivative.
D)all of the above
E)none of the above
A)are important constituents of glycoproteins and glycolipids.
B)are N-acetyl glucosamine derivatives.
C)incorporate a succinic acid derivative.
D)all of the above
E)none of the above
Unlock Deck
Unlock for access to all 66 flashcards in this deck.
Unlock Deck
k this deck
25
The structure below shows a Fischer projection of D-idose.
Which of the structures below represents -D-idopyranose
A)
B)
C)
D)
E)
Which of the structures below represents -D-idopyranose
A)

B)

C)

D)

E)

Unlock Deck
Unlock for access to all 66 flashcards in this deck.
Unlock Deck
k this deck
26
This figure is used in questions . 
Which structures shown in the figure above represent possible structures of glucose?
A)A
B)A and B
C)A and C
D)A, B, and C
E)None of the above

Which structures shown in the figure above represent possible structures of glucose?
A)A
B)A and B
C)A and C
D)A, B, and C
E)None of the above
Unlock Deck
Unlock for access to all 66 flashcards in this deck.
Unlock Deck
k this deck
27
Uronic acids
A)are aldoses where the aldehyde is oxidized to a carboxylic acid.
B)are aldoses where the 1° alcohol is oxidized to a carboxylic acid.
C)can be found in the pyranose or furanose forms.
D)A and C are both correct.
E)B and C are both correct.
A)are aldoses where the aldehyde is oxidized to a carboxylic acid.
B)are aldoses where the 1° alcohol is oxidized to a carboxylic acid.
C)can be found in the pyranose or furanose forms.
D)A and C are both correct.
E)B and C are both correct.
Unlock Deck
Unlock for access to all 66 flashcards in this deck.
Unlock Deck
k this deck
28
Which of the following sugars is not a reducing sugar?
A)glucose
B)ribose
C)sucrose
D)starch
E)galactose
A)glucose
B)ribose
C)sucrose
D)starch
E)galactose
Unlock Deck
Unlock for access to all 66 flashcards in this deck.
Unlock Deck
k this deck
29
The structure below shows -D-gulopyranose. 
Which of the structures below represents a Fischer projection of D-gulose?
A)

B)

C)

D)

E)

Which of the structures below represents a Fischer projection of D-gulose?
A)

B)

C)

D)

E)

Unlock Deck
Unlock for access to all 66 flashcards in this deck.
Unlock Deck
k this deck
30
This figure is used in questions . 
Which structure shown in the figure above represents a ketose?
A)A
B)B
C)C
D)D
E)None of the above

Which structure shown in the figure above represents a ketose?
A)A
B)B
C)C
D)D
E)None of the above
Unlock Deck
Unlock for access to all 66 flashcards in this deck.
Unlock Deck
k this deck
31
This figure is used in questions . 
The structures shown in the figure above are represented as
A)Fischer projections.
B)Haworth projections.
C)space-filling projections.
D)ball and stick models.
E)None of the answers above is correct.

The structures shown in the figure above are represented as
A)Fischer projections.
B)Haworth projections.
C)space-filling projections.
D)ball and stick models.
E)None of the answers above is correct.
Unlock Deck
Unlock for access to all 66 flashcards in this deck.
Unlock Deck
k this deck
32
The transformation of a monosaccharide into its ______ occurs easily and does not require the assistance of a catalyst.
A)epimer
B)anomer
C)sugar alcohol
D)diastereomer
E)none of the above
A)epimer
B)anomer
C)sugar alcohol
D)diastereomer
E)none of the above
Unlock Deck
Unlock for access to all 66 flashcards in this deck.
Unlock Deck
k this deck
33
The figure below shows structures of several types of sugars.Which one is an aldonic acid?
A)
B)
C)
D)
E)
A)

B)

C)

D)

E)

Unlock Deck
Unlock for access to all 66 flashcards in this deck.
Unlock Deck
k this deck
34
This figure is used in questions . 
The configuration around which carbon atom shown in the figure above determines whether this is a D or an L sugar?
A)A
B)B
C)C
D)D
E)E

The configuration around which carbon atom shown in the figure above determines whether this is a D or an L sugar?
A)A
B)B
C)C
D)D
E)E
Unlock Deck
Unlock for access to all 66 flashcards in this deck.
Unlock Deck
k this deck
35
This figure is used in questions . 
Which structure shown in the figure above represents deoxyribose?
A)A
B)B
C)C
D)D
E)None of the above

Which structure shown in the figure above represents deoxyribose?
A)A
B)B
C)C
D)D
E)None of the above
Unlock Deck
Unlock for access to all 66 flashcards in this deck.
Unlock Deck
k this deck
36
This figure is used in questions . 
The structure shown in the figure above represents a
A)glucopyranose.
B)ribofuranose.
C)myo-inositol.
D)fructofuranose.
E)glucofuranose.

The structure shown in the figure above represents a
A)glucopyranose.
B)ribofuranose.
C)myo-inositol.
D)fructofuranose.
E)glucofuranose.
Unlock Deck
Unlock for access to all 66 flashcards in this deck.
Unlock Deck
k this deck
37
Which of the structures below represents a glucoside?
A)
B)
C)
D)
E)
A)

B)

C)

D)

E)

Unlock Deck
Unlock for access to all 66 flashcards in this deck.
Unlock Deck
k this deck
38
Alcohols react with aldehydes to form
A)hemiketals.
B)lactones.
C)lactams.
D)glycosides.
E)hemiacetals.
A)hemiketals.
B)lactones.
C)lactams.
D)glycosides.
E)hemiacetals.
Unlock Deck
Unlock for access to all 66 flashcards in this deck.
Unlock Deck
k this deck
39
This figure is used in questions . 
Which of the carbon atoms shown in the figure above represent the anomeric carbon?
A)A
B)B
C)C
D)D
E)E

Which of the carbon atoms shown in the figure above represent the anomeric carbon?
A)A
B)B
C)C
D)D
E)E
Unlock Deck
Unlock for access to all 66 flashcards in this deck.
Unlock Deck
k this deck
40
The bonding of alcohols to the anomeric center of a carbohydrate results in the formation of a(n)__________ bond.
A)anomeric
B)amide
C)glycosidic
D)ester
E)hydrogen
A)anomeric
B)amide
C)glycosidic
D)ester
E)hydrogen
Unlock Deck
Unlock for access to all 66 flashcards in this deck.
Unlock Deck
k this deck
41
Starch is a mixture of
A)( -amylose and amylopectin.)
B)glycogen and amylopectin.
C)glycogen and -amylose.
D)glycogen and cellulose.
E)( -amylose and maltose.)
A)( -amylose and amylopectin.)
B)glycogen and amylopectin.
C)glycogen and -amylose.
D)glycogen and cellulose.
E)( -amylose and maltose.)
Unlock Deck
Unlock for access to all 66 flashcards in this deck.
Unlock Deck
k this deck
42
Bacterial cell walls are composed of _____.
A)pectin
B)chondroitin sulfate chains
C)peptidoglycans
D)heparin
E)proteoglycans
A)pectin
B)chondroitin sulfate chains
C)peptidoglycans
D)heparin
E)proteoglycans
Unlock Deck
Unlock for access to all 66 flashcards in this deck.
Unlock Deck
k this deck
43
D-Allose is an aldohexose.Methylation of which hydroxyl group on -D-allopyranose prevents the molecule from mutarotating to -D-allopyranose?
A)C1
B)C2
C)C3
D)C4
E)C5
A)C1
B)C2
C)C3
D)C4
E)C5
Unlock Deck
Unlock for access to all 66 flashcards in this deck.
Unlock Deck
k this deck
44
N-linked oligosaccharides can be covalently linked to proteins at which amino acid?
A)Gly
B)Ser
C)Glu
D)Tyr
E)Asn
A)Gly
B)Ser
C)Glu
D)Tyr
E)Asn
Unlock Deck
Unlock for access to all 66 flashcards in this deck.
Unlock Deck
k this deck
45
Which of the following is an example of a heteropolysaccharide?
A)cellulose
B)chitin
C)starch
D)glycogen
E)hyaluronic acid
A)cellulose
B)chitin
C)starch
D)glycogen
E)hyaluronic acid
Unlock Deck
Unlock for access to all 66 flashcards in this deck.
Unlock Deck
k this deck
46
Which of the following polysaccharides cannot be digested by mammalian salivary, gastric, or pancreatic enzymes?
A)amylopectin
B)amylose
C)chitin
D)glycogen
E)starch
A)amylopectin
B)amylose
C)chitin
D)glycogen
E)starch
Unlock Deck
Unlock for access to all 66 flashcards in this deck.
Unlock Deck
k this deck
47
Which statement about N-linked glycosylation is correct?
A)N-linked oligosaccharides are attached to proteins one sugar at the time in the endoplasmic reticulum.
B)N-linked sugars are attached to proteins as a 14 residue oligosaccharide during translation in the endoplasmic reticulum.
C)N-linked sugars are attached to proteins as a 14 residue oligosaccharide during translation in the cytoplasm.
D)N-linked sugars are attached to proteins as a 14 residue oligosaccharide after translation in the Golgi apparatus.
E)N-linked oligosaccharides are attached to proteins one sugar at the time in the Golgi apparatus.
A)N-linked oligosaccharides are attached to proteins one sugar at the time in the endoplasmic reticulum.
B)N-linked sugars are attached to proteins as a 14 residue oligosaccharide during translation in the endoplasmic reticulum.
C)N-linked sugars are attached to proteins as a 14 residue oligosaccharide during translation in the cytoplasm.
D)N-linked sugars are attached to proteins as a 14 residue oligosaccharide after translation in the Golgi apparatus.
E)N-linked oligosaccharides are attached to proteins one sugar at the time in the Golgi apparatus.
Unlock Deck
Unlock for access to all 66 flashcards in this deck.
Unlock Deck
k this deck
48
Which of the following is a disaccharide?
A)amylose
B)saccharin
C)aspartame
D)amylopectin
E)none of the above
A)amylose
B)saccharin
C)aspartame
D)amylopectin
E)none of the above
Unlock Deck
Unlock for access to all 66 flashcards in this deck.
Unlock Deck
k this deck
49
Chitin differs from cellulose due to
A)inversion of configuration at the anomeric carbon.
B)sulfonation of the C2 OH group.
C)a much greater prevalence of branching.
D)replacement of the C2 OH group by an acetamido group.
E)replacement of the C6 OH group by an amino group.
A)inversion of configuration at the anomeric carbon.
B)sulfonation of the C2 OH group.
C)a much greater prevalence of branching.
D)replacement of the C2 OH group by an acetamido group.
E)replacement of the C6 OH group by an amino group.
Unlock Deck
Unlock for access to all 66 flashcards in this deck.
Unlock Deck
k this deck
50
Which of the following statements applies to all artificial sweeteners?
A)Artificial sweeteners cannot be readily metabolized.
B)Artificial sweeteners are peptides and provide important amino acids.
C)Artificial sweeteners have fewer calories than sucrose.
D)Artificial sweeteners are much sweeter than sucrose.
E)all of the above
A)Artificial sweeteners cannot be readily metabolized.
B)Artificial sweeteners are peptides and provide important amino acids.
C)Artificial sweeteners have fewer calories than sucrose.
D)Artificial sweeteners are much sweeter than sucrose.
E)all of the above
Unlock Deck
Unlock for access to all 66 flashcards in this deck.
Unlock Deck
k this deck
51
Which of the following polysaccharides cannot be digested by mammalian salivary, gastric, or pancreatic enzymes?
A)cellulose
B)amylopectin
C)amylose
D)glycogen
E)starch
A)cellulose
B)amylopectin
C)amylose
D)glycogen
E)starch
Unlock Deck
Unlock for access to all 66 flashcards in this deck.
Unlock Deck
k this deck
52
Which of these is not an artificial sweetener?
A)saccharine
B)aspartame
C)maltose
D)acesulfame
E)alitame
A)saccharine
B)aspartame
C)maltose
D)acesulfame
E)alitame
Unlock Deck
Unlock for access to all 66 flashcards in this deck.
Unlock Deck
k this deck
53
Cellulose is
A)a linear copolymer of glucose and galactose.
B)a branched polymer of glucose.
C)a linear polymer of glucose with β( 4)linkages.
D)a linear polymer of glucose with α(1 4)linkages.
E)sometimes called starch.
A)a linear copolymer of glucose and galactose.
B)a branched polymer of glucose.
C)a linear polymer of glucose with β( 4)linkages.
D)a linear polymer of glucose with α(1 4)linkages.
E)sometimes called starch.
Unlock Deck
Unlock for access to all 66 flashcards in this deck.
Unlock Deck
k this deck
54
Which of the following is a mixture of two types of polymers?
A)cellulose
B)starch
C)chitin
D)glycogen
E)amylose
A)cellulose
B)starch
C)chitin
D)glycogen
E)amylose
Unlock Deck
Unlock for access to all 66 flashcards in this deck.
Unlock Deck
k this deck
55
Which polysaccharide is found in a helically coiled conformation?
A)chitin
B)α-amylose
C)cellulose
D)lignin
E)none of the above
A)chitin
B)α-amylose
C)cellulose
D)lignin
E)none of the above
Unlock Deck
Unlock for access to all 66 flashcards in this deck.
Unlock Deck
k this deck
56
Which of these polysaccharides is a branched polymer?
A)chitin
B)amylose
C)cellulose
D)amylopectin
E)hyaluronic acid
A)chitin
B)amylose
C)cellulose
D)amylopectin
E)hyaluronic acid
Unlock Deck
Unlock for access to all 66 flashcards in this deck.
Unlock Deck
k this deck
57
Which of the following is the most abundant disaccharide?
A)lactose
B)cellulose
C)α-amylose
D)maltose
E)sucrose
A)lactose
B)cellulose
C)α-amylose
D)maltose
E)sucrose
Unlock Deck
Unlock for access to all 66 flashcards in this deck.
Unlock Deck
k this deck
58
Which of the following sequences represents a recognition site for N-linked glycosylation where X is any amino acid except Pro?
A)Gln-X-Ser
B)His-X-Ser
C)Arg-X-Ser
D)Asn-X-Ser
E)Asp-X-Ser
A)Gln-X-Ser
B)His-X-Ser
C)Arg-X-Ser
D)Asn-X-Ser
E)Asp-X-Ser
Unlock Deck
Unlock for access to all 66 flashcards in this deck.
Unlock Deck
k this deck
59
A saccharide that has free aldehyde group is called a(n)_____________.
A)ketose
B)nonreducing sugar
C)reducing sugar
D)aldohexose
E)alditol
A)ketose
B)nonreducing sugar
C)reducing sugar
D)aldohexose
E)alditol
Unlock Deck
Unlock for access to all 66 flashcards in this deck.
Unlock Deck
k this deck
60
Glycoproteins
A)are only found in bacteria.
B)are extremely homogeneous.
C)are typically less than 1% carbohydrate by weight.
D)are assembled under strict genetic control.
E)exhibit microheterogeneity.
A)are only found in bacteria.
B)are extremely homogeneous.
C)are typically less than 1% carbohydrate by weight.
D)are assembled under strict genetic control.
E)exhibit microheterogeneity.
Unlock Deck
Unlock for access to all 66 flashcards in this deck.
Unlock Deck
k this deck
61
The picture below shows a Fischer projection of D-glucose.
a.Is glucose and aldose or a ketose?
b.What is the name of the molecule that is formed upon oxidation of the aldehyde to a carboxyl group?
c.Draw a Fischer projection of D-galactose, which is an epimer of glucose with respect to the C4 position.
d.Draw a Haworth projection of -D-glucopyranose.
e.What is the name of the linear polymer in which glucopyranose residues are linked to each other through (1→4)glycosidic bonds.
a.Is glucose and aldose or a ketose?
b.What is the name of the molecule that is formed upon oxidation of the aldehyde to a carboxyl group?
c.Draw a Fischer projection of D-galactose, which is an epimer of glucose with respect to the C4 position.
d.Draw a Haworth projection of -D-glucopyranose.
e.What is the name of the linear polymer in which glucopyranose residues are linked to each other through (1→4)glycosidic bonds.
Unlock Deck
Unlock for access to all 66 flashcards in this deck.
Unlock Deck
k this deck
62
We encounter a great variety of sugars in living organisms.
a.Draw a Haworth projection of an aldohexose in the pyranose form (include all atoms).
b.Draw the Haworth projection of the anomer of the aldose you drew in "a" above.
c.Draw a circle around the carbon that determines whether this sugar is a D or an L sugar.
d.How many chiral carbon atoms are present in each of the structures drawn in "a" and
b" above?
e.How many stereoisomers exist for these pyranoses?
a.Draw a Haworth projection of an aldohexose in the pyranose form (include all atoms).
b.Draw the Haworth projection of the anomer of the aldose you drew in "a" above.
c.Draw a circle around the carbon that determines whether this sugar is a D or an L sugar.
d.How many chiral carbon atoms are present in each of the structures drawn in "a" and
b" above?
e.How many stereoisomers exist for these pyranoses?
Unlock Deck
Unlock for access to all 66 flashcards in this deck.
Unlock Deck
k this deck
63
O-linked oligosaccharides are commonly attached to the -OH group of _____.
A)ribose
B)tyrosine
C)lysine
D)threonine
E)glycine
A)ribose
B)tyrosine
C)lysine
D)threonine
E)glycine
Unlock Deck
Unlock for access to all 66 flashcards in this deck.
Unlock Deck
k this deck
64
The drawing below shows the structure of the disaccharide sucrose. 
a.What are the names of the two monosaccharides that form sucrose?
b.Draw squares around the carbons that determine the designation D or L for each of the monosaccharides.
c.Draw circles around the anomeric carbon atoms on the drawing.
d.Indicate on the drawing for each of the anomeric carbon atoms whether they are in the or the configuration.
e.Is sucrose a reducing sugar? Explain your answer in one sentence.

a.What are the names of the two monosaccharides that form sucrose?
b.Draw squares around the carbons that determine the designation D or L for each of the monosaccharides.
c.Draw circles around the anomeric carbon atoms on the drawing.
d.Indicate on the drawing for each of the anomeric carbon atoms whether they are in the or the configuration.
e.Is sucrose a reducing sugar? Explain your answer in one sentence.
Unlock Deck
Unlock for access to all 66 flashcards in this deck.
Unlock Deck
k this deck
65
We encounter a great variety of sugars in living organisms.
a.Are most carbohydrates in living organisms D or L?
b.Draw a Fischer projection of the smallest aldose (include all atoms).
c.What is the name of this molecule?
a.Are most carbohydrates in living organisms D or L?
b.Draw a Fischer projection of the smallest aldose (include all atoms).
c.What is the name of this molecule?
Unlock Deck
Unlock for access to all 66 flashcards in this deck.
Unlock Deck
k this deck
66
Proteins that bind to specific carbohydrates are called ______.
A)pectins
B)oligonucleotides
C)glycosaminoglycans
D)lectins
E)chitins
A)pectins
B)oligonucleotides
C)glycosaminoglycans
D)lectins
E)chitins
Unlock Deck
Unlock for access to all 66 flashcards in this deck.
Unlock Deck
k this deck

