Deck 8: Interest Rates and Bond Valuation
Question
Question
Question
Question
Question
Question
Question
Question
Question
Question
Question
Question
Question
Question
Question
Question
Question
Question
Question
Question
Question
Question
Question
Question
Question
Question
Question
Question
Question
Question
Question
Question
Question
Question
Question
Question
Question
Question
Question
Question
Question
Question
Question
Question
Question
Question
Question
Question
Question
Question
Question
Question
Question
Question
Question
Question
Question
Question
Question
Question
Question
Question
Question
Question
Question
Question
Question
Unlock Deck
Sign up to unlock the cards in this deck!
Unlock Deck
Unlock Deck
1/67
Play
Full screen (f)
Deck 8: Interest Rates and Bond Valuation
1
A bond with a face value of $1,000 that sells for $1,000 in the market is called a _____ bond.
A)par value
B)discount
C)premium
D)zero coupon
E)floating rate
A)par value
B)discount
C)premium
D)zero coupon
E)floating rate
par value
2
The _____ premium is that portion of a nominal interest rate or bond yield that represents compensation for expected future overall price appreciation.
A)default risk
B)taxability
C)liquidity
D)inflation
E)interest rate risk
A)default risk
B)taxability
C)liquidity
D)inflation
E)interest rate risk
inflation
3
You own a bond that has a 7% coupon and matures in 12 years.You purchased this bond at par value when it was originally issued.If the current market rate for this type and quality of bond is 7.5%,then you would expect:
A)the bond issuer to increase the amount of each interest payment on these bonds.
B)the yield to maturity to remain constant due to the fixed coupon rate.
C)to realize a capital loss if you sold the bond at the market price today.
D)today's market price to exceed the face value of the bond.
E)the current yield today to be less than 7%.
A)the bond issuer to increase the amount of each interest payment on these bonds.
B)the yield to maturity to remain constant due to the fixed coupon rate.
C)to realize a capital loss if you sold the bond at the market price today.
D)today's market price to exceed the face value of the bond.
E)the current yield today to be less than 7%.
to realize a capital loss if you sold the bond at the market price today.
4
A bond with a face value of $1,000 that sells for less than $1,000 in the market is called a _____ bond.
A)par
B)discount
C)premium
D)zero coupon
E)floating rate
A)par
B)discount
C)premium
D)zero coupon
E)floating rate
Unlock Deck
Unlock for access to all 67 flashcards in this deck.
Unlock Deck
k this deck
5
The relationship between nominal rates,real rates,and inflation is known as the:
A)Miller and Modigliani theorem.
B)Fisher effect.
C)Gordon growth model.
D)term structure of interest rates.
E)interest rate risk premium.
A)Miller and Modigliani theorem.
B)Fisher effect.
C)Gordon growth model.
D)term structure of interest rates.
E)interest rate risk premium.
Unlock Deck
Unlock for access to all 67 flashcards in this deck.
Unlock Deck
k this deck
6
The rate of return required by investors in the market for owning a bond is called the:
A)coupon.
B)face value.
C)maturity.
D)yield to maturity.
E)coupon rate.
A)coupon.
B)face value.
C)maturity.
D)yield to maturity.
E)coupon rate.
Unlock Deck
Unlock for access to all 67 flashcards in this deck.
Unlock Deck
k this deck
7
Aspens is preparing a bond offering with an 8% coupon rate.The bonds will be repaid in 10 years.The company plans to issue the bonds at par value and pay interest semiannually.Given this,which of the following statements are correct?
I.The initial selling price of each bond will be $1,000.
II.After the bonds have been outstanding for 1 year,you should use 9 as the number of compounding periods when calculating the market value of the bond.
III.Each interest payment per bond will be $40.
IV.The yield to maturity when the bonds are first issued is 8%.
A)I and II only
B)II and III only
C)II,III,and IV only
D)I,II,and III only
E)I,III,and IV only
I.The initial selling price of each bond will be $1,000.
II.After the bonds have been outstanding for 1 year,you should use 9 as the number of compounding periods when calculating the market value of the bond.
III.Each interest payment per bond will be $40.
IV.The yield to maturity when the bonds are first issued is 8%.
A)I and II only
B)II and III only
C)II,III,and IV only
D)I,II,and III only
E)I,III,and IV only
Unlock Deck
Unlock for access to all 67 flashcards in this deck.
Unlock Deck
k this deck
8
The relationship between nominal interest rates on default-free,pure discount securities and the time to maturity is called the:
A)liquidity effect.
B)Fisher effect.
C)term structure of interest rates.
D)inflation premium.
E)interest rate risk premium.
A)liquidity effect.
B)Fisher effect.
C)term structure of interest rates.
D)inflation premium.
E)interest rate risk premium.
Unlock Deck
Unlock for access to all 67 flashcards in this deck.
Unlock Deck
k this deck
9
An asset characterized by cash flows that increase at a constant rate forever is called a:
A)growing perpetuity.
B)growing annuity.
C)common annuity.
D)perpetuity due.
E)preferred stock.
A)growing perpetuity.
B)growing annuity.
C)common annuity.
D)perpetuity due.
E)preferred stock.
Unlock Deck
Unlock for access to all 67 flashcards in this deck.
Unlock Deck
k this deck
10
All else constant,a coupon bond that is selling at a premium,must have:
A)a coupon rate that is equal to the yield to maturity.
B)a market price that is less than par value.
C)semi-annual interest payments.
D)a yield to maturity that is less than the coupon rate.
E)a coupon rate that is less than the yield to maturity.
A)a coupon rate that is equal to the yield to maturity.
B)a market price that is less than par value.
C)semi-annual interest payments.
D)a yield to maturity that is less than the coupon rate.
E)a coupon rate that is less than the yield to maturity.
Unlock Deck
Unlock for access to all 67 flashcards in this deck.
Unlock Deck
k this deck
11
The market price of a bond is equal to the present value of the:
A)face value minus the present value of the annuity payments.
B)annuity payments plus the future value of the face amount.
C)face value plus the present value of the annuity payments.
D)face value plus the future value of the annuity payments.
E)annuity payments minus the face value of the bond.
A)face value minus the present value of the annuity payments.
B)annuity payments plus the future value of the face amount.
C)face value plus the present value of the annuity payments.
D)face value plus the future value of the annuity payments.
E)annuity payments minus the face value of the bond.
Unlock Deck
Unlock for access to all 67 flashcards in this deck.
Unlock Deck
k this deck
12
All else constant,a bond will sell at _____ when the yield to maturity is _____ the coupon rate.
A)a premium;higher than
B)a premium;equal to
C)at par;higher than
D)at par;less than
E)a discount;higher than
A)a premium;higher than
B)a premium;equal to
C)at par;higher than
D)at par;less than
E)a discount;higher than
Unlock Deck
Unlock for access to all 67 flashcards in this deck.
Unlock Deck
k this deck
13
A bond with semi-annual interest payments,all else equal,would be priced _________ than one with annual interest payments.
A)higher
B)lower
C)the same
D)it is impossible to tell
E)either higher or the same
A)higher
B)lower
C)the same
D)it is impossible to tell
E)either higher or the same
Unlock Deck
Unlock for access to all 67 flashcards in this deck.
Unlock Deck
k this deck
14
The annual coupon of a bond divided by its face value is called the bond's:
A)coupon.
B)face value.
C)maturity.
D)yield to maturity.
E)coupon rate.
A)coupon.
B)face value.
C)maturity.
D)yield to maturity.
E)coupon rate.
Unlock Deck
Unlock for access to all 67 flashcards in this deck.
Unlock Deck
k this deck
15
The specified date on which the principal amount of a bond is repaid is called the bond's:
A)coupon.
B)face value.
C)maturity.
D)yield to maturity.
E)coupon rate.
A)coupon.
B)face value.
C)maturity.
D)yield to maturity.
E)coupon rate.
Unlock Deck
Unlock for access to all 67 flashcards in this deck.
Unlock Deck
k this deck
16
The newly issued bonds of the Cain Corp.offer a 6% coupon with semiannual interest payments.The bonds are currently priced at par value.The effective annual rate provided by these bonds must be:
A)equal to 3%.
B)greater than 3% but less than 4%.
C)equal to 6%.
D)greater than 6% but less than 7%.
E)equal to 12%.
A)equal to 3%.
B)greater than 3% but less than 4%.
C)equal to 6%.
D)greater than 6% but less than 7%.
E)equal to 12%.
Unlock Deck
Unlock for access to all 67 flashcards in this deck.
Unlock Deck
k this deck
17
A bond that makes no coupon payments and is initially priced at a deep discount is called a _____ bond.
A)Treasury
B)municipal
C)floating-rate
D)junk
E)zero coupon
A)Treasury
B)municipal
C)floating-rate
D)junk
E)zero coupon
Unlock Deck
Unlock for access to all 67 flashcards in this deck.
Unlock Deck
k this deck
18
A bond with a 6% coupon that pays interest semi-annually and is priced at par will have a market price of _____ and interest payments in the amount of _____ each.
A)$1,006;$60
B)$1,060;$30
C)$1,060;$60
D)$1,000;$30
E)$1,000;$60
A)$1,006;$60
B)$1,060;$30
C)$1,060;$60
D)$1,000;$30
E)$1,000;$60
Unlock Deck
Unlock for access to all 67 flashcards in this deck.
Unlock Deck
k this deck
19
The stated interest payment,in dollars,made on a bond each period is called the bond's:
A)coupon.
B)face value.
C)maturity.
D)yield to maturity.
E)coupon rate.
A)coupon.
B)face value.
C)maturity.
D)yield to maturity.
E)coupon rate.
Unlock Deck
Unlock for access to all 67 flashcards in this deck.
Unlock Deck
k this deck
20
The principal amount of a bond that is repaid at the end of the loan term is called the bond's:
A)coupon.
B)face value.
C)maturity.
D)yield to maturity.
E)coupon rate.
A)coupon.
B)face value.
C)maturity.
D)yield to maturity.
E)coupon rate.
Unlock Deck
Unlock for access to all 67 flashcards in this deck.
Unlock Deck
k this deck
21
Part of the Rock,Inc.has a 6% coupon bond that matures in 11 years.The bond pays interest semiannually.What is the market price of a $1,000 face value bond if the yield to maturity is 12.9%?
A)$434.59
B)$580.86
C)$600.34
D)$605.92
E)$947.87
A)$434.59
B)$580.86
C)$600.34
D)$605.92
E)$947.87

Unlock Deck
Unlock for access to all 67 flashcards in this deck.
Unlock Deck
k this deck
22
The Fisher Effect primarily emphasizes the effects of _____ risk on an investor's rate of return.
A)default
B)market
C)interest rate
D)inflation
E)maturity
A)default
B)market
C)interest rate
D)inflation
E)maturity
Unlock Deck
Unlock for access to all 67 flashcards in this deck.
Unlock Deck
k this deck
23
Your firm offers a 10-year,zero coupon bond.The yield to maturity is 8.8%.What is the current market price of a $1,000 face value bond?
A)$430.24
B)$473.26
C)$835.56
D)$919.12
E)$1,088.00
A)$430.24
B)$473.26
C)$835.56
D)$919.12
E)$1,088.00

Unlock Deck
Unlock for access to all 67 flashcards in this deck.
Unlock Deck
k this deck
24
The bonds issued by Manson & Son bear a 6% coupon,payable semiannually.The bond matures in 8 years and has a $1,000 face value.Currently,the bond sells at par.What is the yield to maturity?
A)5.87%
B)5.97%
C)6.00%
D)6.09%
E)6.17%

A)5.87%
B)5.97%
C)6.00%
D)6.09%
E)6.17%

Unlock Deck
Unlock for access to all 67 flashcards in this deck.
Unlock Deck
k this deck
25
A zero coupon bond:
A)is sold at a large premium.
B)has a price equal to the future value of the face amount given a specified rate of return.
C)can only be issued by the U.S.Treasury.
D)has less interest rate risk than a comparable coupon bond.
E)has implicit interest which is calculated by amortizing the loan.
A)is sold at a large premium.
B)has a price equal to the future value of the face amount given a specified rate of return.
C)can only be issued by the U.S.Treasury.
D)has less interest rate risk than a comparable coupon bond.
E)has implicit interest which is calculated by amortizing the loan.
Unlock Deck
Unlock for access to all 67 flashcards in this deck.
Unlock Deck
k this deck
26
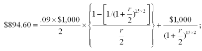
Otto Enterprises has a 15-year bond issue outstanding that pays a 9% coupon.The bond is currently priced at $894.60 and has a par value of $1,000.Interest is paid semiannually.What is the yield to maturity?
A)8.67%
B)10.13%
C)10.16%
D)10.40%
E)10.45%

A)8.67%
B)10.13%
C)10.16%
D)10.40%
E)10.45%

Unlock Deck
Unlock for access to all 67 flashcards in this deck.
Unlock Deck
k this deck
27
One basis point is equal to:
A).01%.
B).10%.
C)1.0%.
D)10%.
E)100%.
A).01%.
B).10%.
C)1.0%.
D)10%.
E)100%.
Unlock Deck
Unlock for access to all 67 flashcards in this deck.
Unlock Deck
k this deck
28
Chocolate and Rum,Inc.offers a 7% coupon bond with semiannual payments and a yield to maturity of 7.73%.The bonds mature in 9 years.What is the market price of a $1,000 face value bond?
A)$953.28
B)$963.88
C)$1,108.16
D)$1,401.26
E)$1,401.86
A)$953.28
B)$963.88
C)$1,108.16
D)$1,401.26
E)$1,401.86

Unlock Deck
Unlock for access to all 67 flashcards in this deck.
Unlock Deck
k this deck
29
The Lo Sun Corporation offers a 6% bond with a current market price of $875.05.The yield to maturity is 7.34%.The face value is $1,000.Interest is paid semiannually.How many years is it until this bond matures?
A)16 years
B)18 years
C)24 years
D)30 years
E)32 years

A)16 years
B)18 years
C)24 years
D)30 years
E)32 years

Unlock Deck
Unlock for access to all 67 flashcards in this deck.
Unlock Deck
k this deck
30
A Corporate bond has an 8% coupon and pays interest annually.The face value is $1,000 and the current market price is $1,020.50.The bond matures in 20 years.What is the yield to maturity?
A)7.79%
B)7.82%
C)8.00%
D)8.04%
E)8.12%

A)7.79%
B)7.82%
C)8.00%
D)8.04%
E)8.12%

Unlock Deck
Unlock for access to all 67 flashcards in this deck.
Unlock Deck
k this deck
31
The value of a 25 year zero-coupon bond when the market required rate of return is 10% (semiannual)is ____.
A)$87.20
B)$92.30
C)$95.26
D)$98.31
E)None of the above
A)$87.20
B)$92.30
C)$95.26
D)$98.31
E)None of the above
Unlock Deck
Unlock for access to all 67 flashcards in this deck.
Unlock Deck
k this deck
32
The yield to maturity is:
A)the rate that equates the price of the bond with the discounted cash flows.
B)the expected rate to be earned if held to maturity.
C)the rate that is used to determine the market price of the bond.
D)equal to the current yield for bonds priced at par.
E)All of the above.
A)the rate that equates the price of the bond with the discounted cash flows.
B)the expected rate to be earned if held to maturity.
C)the rate that is used to determine the market price of the bond.
D)equal to the current yield for bonds priced at par.
E)All of the above.
Unlock Deck
Unlock for access to all 67 flashcards in this deck.
Unlock Deck
k this deck
33
Guggenheim,Inc.offers a 7% coupon bond with annual payments.The yield to maturity is 5.85% and the maturity date is 9 years.What is the market price of a $1,000 face value bond?
A)$742.66
B)$868.67
C)$869.67
D)$1,078.73
E)$1,079.59
A)$742.66
B)$868.67
C)$869.67
D)$1,078.73
E)$1,079.59

Unlock Deck
Unlock for access to all 67 flashcards in this deck.
Unlock Deck
k this deck
34
Moonhigh,Inc.has a 5%,semiannual coupon bond with a current market price of $988.52.The bond has a par value of $1,000 and a yield to maturity of 5.29%.How many years is it until this bond matures?
A)4.0 years
B)4.5 years
C)6.5 years
D)8.0 years
E)9.0 years

A)4.0 years
B)4.5 years
C)6.5 years
D)8.0 years
E)9.0 years

Unlock Deck
Unlock for access to all 67 flashcards in this deck.
Unlock Deck
k this deck
35
The Fisher formula is expressed as _____ where R is the nominal rate,r is the real rate,and h is the inflation rate.
A)1 + r = (1 + R) (1 + h)
B)1 + r = (1 + R) (1 + h)
C)1 + h = (1 + r) (1 + R)
D)1 + R = (1 + r) (1 + h)
E)1 + R = (1 + r) (1 + h)
A)1 + r = (1 + R) (1 + h)
B)1 + r = (1 + R) (1 + h)
C)1 + h = (1 + r) (1 + R)
D)1 + R = (1 + r) (1 + h)
E)1 + R = (1 + r) (1 + h)
Unlock Deck
Unlock for access to all 67 flashcards in this deck.
Unlock Deck
k this deck
36
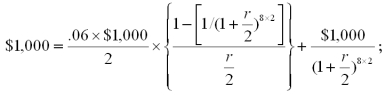
Consider a bond which pays 8% semiannually and has 8 years to maturity.The market requires an interest rate of 10% on bonds of this risk.What is this bond's price?
A)$530.58
B)$891.62
C)$893.30
D)$3129.17
E)None of the above
A)$530.58
B)$891.62
C)$893.30
D)$3129.17
E)None of the above
Unlock Deck
Unlock for access to all 67 flashcards in this deck.
Unlock Deck
k this deck
37
The total interest paid on a zero-coupon bond is equal to:
A)zero.
B)the face value minus the issue price.
C)the face value minus the market price on the maturity date.
D)$1,000 minus the face value.
E)$1,000 minus the par value.
A)zero.
B)the face value minus the issue price.
C)the face value minus the market price on the maturity date.
D)$1,000 minus the face value.
E)$1,000 minus the par value.
Unlock Deck
Unlock for access to all 67 flashcards in this deck.
Unlock Deck
k this deck
38
Face value is:
A)always higher than current price.
B)always lower than current price.
C)the same as the current price.
D)the coupon amount.
E)None of the above.
A)always higher than current price.
B)always lower than current price.
C)the same as the current price.
D)the coupon amount.
E)None of the above.
Unlock Deck
Unlock for access to all 67 flashcards in this deck.
Unlock Deck
k this deck
39
If its yield to maturity is less than its coupon rate,a bond will sell at a _____,and increases in market interest rates will _____.
A)discount;decrease this discount.
B)discount;increase this discount.
C)premium;decrease this premium.
D)premium;increase this premium.
E)None of the above.
A)discount;decrease this discount.
B)discount;increase this discount.
C)premium;decrease this premium.
D)premium;increase this premium.
E)None of the above.
Unlock Deck
Unlock for access to all 67 flashcards in this deck.
Unlock Deck
k this deck
40
A bond is listed in The Wall Street Journal as a 12 3/4s of July 2009.This bond pays:
A)$127.50 in July and January.
B)$63.75 in July and January.
C)$127.50 in July.
D)$63.75 in July.
E)None of the above.
A)$127.50 in July and January.
B)$63.75 in July and January.
C)$127.50 in July.
D)$63.75 in July.
E)None of the above.
Unlock Deck
Unlock for access to all 67 flashcards in this deck.
Unlock Deck
k this deck
41
Your firm offers a 10-year,zero coupon bond.The yield to maturity is 8.2%.What is the current market price of a $1,000 face value bond?
A)$454.70
B)$485.62
C)$856.18
D)$931.27
E)$2199.24
A)$454.70
B)$485.62
C)$856.18
D)$931.27
E)$2199.24
Unlock Deck
Unlock for access to all 67 flashcards in this deck.
Unlock Deck
k this deck
42
Emmett Corporation has issued a $1,000 face value zero-coupon bond.Which of the following values is closest to the correct price for the bond if the appropriate discount rate is 4% and the bond matures in 8 years?
A)$644.61
B)$869.32
C)$1,000.00
D)$1,058.00
E)This problem cannot be worked without the annual interest payments provided
A)$644.61
B)$869.32
C)$1,000.00
D)$1,058.00
E)This problem cannot be worked without the annual interest payments provided
Unlock Deck
Unlock for access to all 67 flashcards in this deck.
Unlock Deck
k this deck
43
Emmett Corporation has issued a $1,000 face value zero-coupon bond.Which of the following values is closest to the correct price for the bond if the appropriate discount rate is 4% and the bond matures in 8 years?
A)$730.69
B)$968.00
C)$1,000.00
D)$1,032.00
E)This problem cannot be worked without the annual interest payments provided
A)$730.69
B)$968.00
C)$1,000.00
D)$1,032.00
E)This problem cannot be worked without the annual interest payments provided
Unlock Deck
Unlock for access to all 67 flashcards in this deck.
Unlock Deck
k this deck
44
The Lo Sun Corporation offers a 8% bond with a current market price of $875.05.The yield to maturity is 9.18%.The face value is $1,000.Interest is paid semiannually.How many years is it until this bond matures?
A)40 years
B)52 years
C)60 years
D)65 years
E)80 years
A)40 years
B)52 years
C)60 years
D)65 years
E)80 years
Unlock Deck
Unlock for access to all 67 flashcards in this deck.
Unlock Deck
k this deck
45
The zero coupon bonds of MarkCo,Inc.have a market price of $394.47,a face value of $1,000,and a yield to maturity of 6.87%.How many years is it until this bond matures?
A)7 years
B)10 years
C)14 years
D)18 years
E)21 years
A)7 years
B)10 years
C)14 years
D)18 years
E)21 years

Unlock Deck
Unlock for access to all 67 flashcards in this deck.
Unlock Deck
k this deck
46
The nominal rate of return on the bonds of Steve's Boats is 8.75%.The real rate of return is 3.4%.What is the rate of inflation?
A)5.17%
B)5.28%
C)5.35%
D)5.43%
E)5.49%
A)5.17%
B)5.28%
C)5.35%
D)5.43%
E)5.49%
Unlock Deck
Unlock for access to all 67 flashcards in this deck.
Unlock Deck
k this deck
47
The bonds of Jerrod's Welding,Inc.pay an 8% coupon,have a 7.98% yield to maturity and have a face value of $1,000.The current rate of inflation is 2.5%.What is the real rate of return on these bonds?
A)5.32%
B)5.35%
C)5.37%
D)5.42%
E)5.48%
A)5.32%
B)5.35%
C)5.37%
D)5.42%
E)5.48%
Unlock Deck
Unlock for access to all 67 flashcards in this deck.
Unlock Deck
k this deck
48
The MerryWeather Firm wants to raise $10 million to expand its business.To accomplish this,it plans to sell 30-year,$1,000 face value zero-coupon bonds.The bonds will be priced to yield 6%.What is the minimum number of bonds it must sell to raise the $10 million it needs?
A)47,411
B)52,667
C)57,435
D)60,000
E)117,435

A)47,411
B)52,667
C)57,435
D)60,000
E)117,435

Unlock Deck
Unlock for access to all 67 flashcards in this deck.
Unlock Deck
k this deck
49
Calculate the YTM on a bond priced at $1,036 which has 2 years to maturity,a 10% annual coupon rate,and a return of $1,000 at maturity.
$1,036 = $100/(1 + YTM)1+ $1,100/(1 + YTM)2? YTM = 8%.
CALC: N = 2;PV = $1,036;PMT = $-100;FV = $-c1000 I/YR = ? = 7.98%
$1,036 = $100/(1 + YTM)1+ $1,100/(1 + YTM)2? YTM = 8%.
CALC: N = 2;PV = $1,036;PMT = $-100;FV = $-c1000 I/YR = ? = 7.98%
Unlock Deck
Unlock for access to all 67 flashcards in this deck.
Unlock Deck
k this deck
50
A bond that pays interest annually yields a 7.25% rate of return.The inflation rate for the same period is 3.5%.What is the real rate of return on this bond?
A)3.50%
B)3.57%
C)3.62%
D)3.72%
E)3.75%
A)3.50%
B)3.57%
C)3.62%
D)3.72%
E)3.75%
Unlock Deck
Unlock for access to all 67 flashcards in this deck.
Unlock Deck
k this deck
51
A 12-year,5% coupon bond pays interest annually.The bond has a face value of $1,000.What is the change in the price of this bond if the market yield rises to 6% from the current yield of 4.5%?
A)11.11% decrease
B)12.38% decrease
C)12.38% increase
D)14.13% decrease
E)14.13% increase
A)11.11% decrease
B)12.38% decrease
C)12.38% increase
D)14.13% decrease
E)14.13% increase

Unlock Deck
Unlock for access to all 67 flashcards in this deck.
Unlock Deck
k this deck
52
Ted's Co.offers a zero coupon bond with an 11.3% yield to maturity.The bond matures in 16 years.What is the current price of a $1,000 face value bond?
A)$178.78
B)$180.33
C)$188.36
D)$190.09
E)$192.18
A)$178.78
B)$180.33
C)$188.36
D)$190.09
E)$192.18

Unlock Deck
Unlock for access to all 67 flashcards in this deck.
Unlock Deck
k this deck
53
A zero coupon bond with a face value of $1,000 is issued with an initial price of $463.34.The bond matures in 25 years.What is the implicit interest,in dollars,for the first year of the bond's life?
A)$9.08
B)$12.56
C)$14.48
D)$21.47
E)$31.25

A)$9.08
B)$12.56
C)$14.48
D)$21.47
E)$31.25

Unlock Deck
Unlock for access to all 67 flashcards in this deck.
Unlock Deck
k this deck
54
Which of the following amounts is closest to the value of a bond that pays $55 semiannually and has an effective semiannual interest rate of 5%? The face value is $1,000 and the bond matures in 3 years.There are exactly six months before the first interest payment.
A)$888
B)$1,000
C)$1,014
D)$1,025
E)$1,055
A)$888
B)$1,000
C)$1,014
D)$1,025
E)$1,055
Unlock Deck
Unlock for access to all 67 flashcards in this deck.
Unlock Deck
k this deck
55
A corporate bond is quoted at a current price of 102.767.What is the market price of a bond with a $1,000 face value?
A)$1,000.28
B)$1,002.77
C)$1,027.67
D)$1,102.77
E)$1,276.70
A)$1,000.28
B)$1,002.77
C)$1,027.67
D)$1,102.77
E)$1,276.70
Unlock Deck
Unlock for access to all 67 flashcards in this deck.
Unlock Deck
k this deck
56
The outstanding bonds of Boutelle,Inc.provide a real rate of return of 3.6%.The current rate of inflation is 2.5%.What is the nominal rate of return on these bonds?
A)6.10%
B)6.13%
C)6.16%
D)6.19%
E)6.22%
A)6.10%
B)6.13%
C)6.16%
D)6.19%
E)6.22%
Unlock Deck
Unlock for access to all 67 flashcards in this deck.
Unlock Deck
k this deck
57
Moonhigh,Inc.has a 6%,semiannual coupon bond with a current market price of $988.52.The bond has a par value of $1,000 and a yield to maturity of 6.31%.How many years is it until this bond matures?
A)4.0 years
B)4.28 years
C)6.32 years
D)8.56 years
E)9.0 years
A)4.0 years
B)4.28 years
C)6.32 years
D)8.56 years
E)9.0 years
Unlock Deck
Unlock for access to all 67 flashcards in this deck.
Unlock Deck
k this deck
58
A corporate bond with a face value of $1,000 matures in 4 years and has an 8% coupon paid at the end of each year.The current price of the bond is $932.What is the yield to maturity for this bond?
A)5.05%
B)6.48%
C)8.58%
D)10.15%
E)11.92%
A)5.05%
B)6.48%
C)8.58%
D)10.15%
E)11.92%
Unlock Deck
Unlock for access to all 67 flashcards in this deck.
Unlock Deck
k this deck
59
Jackson Central has a 6-year,8% annual coupon bond with a $1,000 par value.Earls Enterprises has a 12-year,8% annual coupon bond with a $1,000 par value.Both bonds currently have a yield to maturity of 6%.Which of the following statements are correct if the market yield increases to 7%?
A)Both bonds would decrease in value by 4.61%.
B)The Earls bond will increase in value by $88.25.
C)The Jackson bond will increase in value by 4.61%.
D)The Earls bond will decrease in value by 7.56%.
E)The Earls bond will decrease in value by $50.68.

A)Both bonds would decrease in value by 4.61%.
B)The Earls bond will increase in value by $88.25.
C)The Jackson bond will increase in value by 4.61%.
D)The Earls bond will decrease in value by 7.56%.
E)The Earls bond will decrease in value by $50.68.

Unlock Deck
Unlock for access to all 67 flashcards in this deck.
Unlock Deck
k this deck
60
Given the opportunity to invest in one of the three bonds listed below,which would you purchase? Assume an interest rate of 7%.
B.If funds remain,one may purchase Bond B also since both Bonds B and C are underpriced.
B.If funds remain,one may purchase Bond B also since both Bonds B and C are underpriced.
Unlock Deck
Unlock for access to all 67 flashcards in this deck.
Unlock Deck
k this deck
61
The discussion of asset pricing in the text suggests that an investor will be indifferent between two bonds which have equal yields to maturity as long as they have equivalent default risk.Can you think of any real-world factors which might make a given investor prefer one of these bonds over the other?
Unlock Deck
Unlock for access to all 67 flashcards in this deck.
Unlock Deck
k this deck
62
Define what is meant by interest rate risk.Assume you are the manager of a $100 million portfolio of corporate bonds and you believe interest rates will fall.What adjustments should you make to your portfolio based on your beliefs?
Unlock Deck
Unlock for access to all 67 flashcards in this deck.
Unlock Deck
k this deck
63
Why do corporations issue 100-year bonds,knowing that interest rate risk is highest for very long-term bonds? How does the interest rate risk affect the issuer?
Unlock Deck
Unlock for access to all 67 flashcards in this deck.
Unlock Deck
k this deck
64
Sometimes it is not clear if a particular security is debt or equity.Explain the basic difference between debt and equity.
Unlock Deck
Unlock for access to all 67 flashcards in this deck.
Unlock Deck
k this deck
65
Interest rate risk is often explained by using the concept of a teeter-totter.Explain interest rate risk and how it is related to the movements of a teeter-totter.
Unlock Deck
Unlock for access to all 67 flashcards in this deck.
Unlock Deck
k this deck
66
In the early 1980s,the Treasury yield curve had a severe downward slope with short-term yields near 20% and long-term yields below 15%.Explain how such a pattern might occur.
Unlock Deck
Unlock for access to all 67 flashcards in this deck.
Unlock Deck
k this deck
67
Explain why some bond investors are subject to liquidity risk,default risk,and/or taxability risk.How does each of these risks affect the yield of a bond?
Unlock Deck
Unlock for access to all 67 flashcards in this deck.
Unlock Deck
k this deck

