Deck 14: Cost of Capital
Question
Question
Question
Question
Question
Question
Question
Question
Question
Question
Question
Question
Question
Question
Question
Question
Question
Question
Question
Question
Question
Question
Question
Question
Question
Question
Question
Question
Question
Question
Question
Question
Question
Question
Question
Question
Question
Question
Question
Question
Question
Question
Question
Question
Question
Question
Question
Question
Question
Question
Question
Question
Question
Question
Question
Question
Question
Question
Question
Question
Question
Question
Question
Question
Question
Question
Question
Question
Question
Question
Question
Question
Question
Question
Question
Question
Question
Question
Question
Question
Unlock Deck
Sign up to unlock the cards in this deck!
Unlock Deck
Unlock Deck
1/100
Play
Full screen (f)
Deck 14: Cost of Capital
1
When a manager develops a cost of capital for a specific project based on the cost of capital for another firm which has a similar line of business as the project,the manager is utilizing the _____ approach.
A) subjective risk
B) pure play
C) divisional cost of capital
D) capital adjustment
E) security market line
A) subjective risk
B) pure play
C) divisional cost of capital
D) capital adjustment
E) security market line
pure play
2
The cost of equity for a firm:
A) tends to remain static for firms with increasing levels of risk.
B) increases as the unsystematic risk of the firm increases.
C) ignores the firm's risks when that cost is based on the dividend growth model.
D) equals the risk-free rate plus the market risk premium.
E) equals the firm's pretax weighted average cost of capital.
A) tends to remain static for firms with increasing levels of risk.
B) increases as the unsystematic risk of the firm increases.
C) ignores the firm's risks when that cost is based on the dividend growth model.
D) equals the risk-free rate plus the market risk premium.
E) equals the firm's pretax weighted average cost of capital.
ignores the firm's risks when that cost is based on the dividend growth model.
3
The weighted average cost of capital for a wholesaler:
A) is equivalent to the aftertax cost of the firm's liabilities.
B) should be used as the required return when analyzing a potential acquisition of a retail outlet.
C) is the return investors require on the total assets of the firm.
D) remains constant when the debt-equity ratio changes.
E) is unaffected by changes in corporate tax rates.
A) is equivalent to the aftertax cost of the firm's liabilities.
B) should be used as the required return when analyzing a potential acquisition of a retail outlet.
C) is the return investors require on the total assets of the firm.
D) remains constant when the debt-equity ratio changes.
E) is unaffected by changes in corporate tax rates.
is the return investors require on the total assets of the firm.
4
The cost of preferred stock is computed the same as the:
A) pre-tax cost of debt.
B) return on an annuity.
C) aftertax cost of debt.
D) return on a perpetuity.
E) cost of an irregular growth common stock.
A) pre-tax cost of debt.
B) return on an annuity.
C) aftertax cost of debt.
D) return on a perpetuity.
E) cost of an irregular growth common stock.
Unlock Deck
Unlock for access to all 100 flashcards in this deck.
Unlock Deck
k this deck
5
Textile Mills borrows money at a rate of 13.5 percent.This interest rate is referred to as the:
A) compound rate.
B) current yield.
C) cost of debt.
D) capital gains yield.
E) cost of capital.
A) compound rate.
B) current yield.
C) cost of debt.
D) capital gains yield.
E) cost of capital.
Unlock Deck
Unlock for access to all 100 flashcards in this deck.
Unlock Deck
k this deck
6
The pre-tax cost of debt:
A) is based on the current yield to maturity of the firm's outstanding bonds.
B) is equal to the coupon rate on the latest bonds issued by a firm.
C) is equivalent to the average current yield on all of a firm's outstanding bonds.
D) is based on the original yield to maturity on the latest bonds issued by a firm.
E) has to be estimated as it cannot be directly observed in the market.
A) is based on the current yield to maturity of the firm's outstanding bonds.
B) is equal to the coupon rate on the latest bonds issued by a firm.
C) is equivalent to the average current yield on all of a firm's outstanding bonds.
D) is based on the original yield to maturity on the latest bonds issued by a firm.
E) has to be estimated as it cannot be directly observed in the market.
Unlock Deck
Unlock for access to all 100 flashcards in this deck.
Unlock Deck
k this deck
7
The dividend growth model can be used to compute the cost of equity for a firm in which of the following situations?
I.firms that have a 100 percent retention ratio
II.firms that pay a constant dividend
III.firms that pay an increasing dividend
IV.firms that pay a decreasing dividend
A) I and II only
B) I and III only
C) II and III only
D) I,II,and III only
E) II,III,and IV only
I.firms that have a 100 percent retention ratio
II.firms that pay a constant dividend
III.firms that pay an increasing dividend
IV.firms that pay a decreasing dividend
A) I and II only
B) I and III only
C) II and III only
D) I,II,and III only
E) II,III,and IV only
Unlock Deck
Unlock for access to all 100 flashcards in this deck.
Unlock Deck
k this deck
8
The cost of preferred stock:
A) is equal to the dividend yield.
B) is equal to the yield to maturity.
C) is highly dependent on the dividend growth rate.
D) is independent of the stock's price.
E) decreases when tax rates increase.
A) is equal to the dividend yield.
B) is equal to the yield to maturity.
C) is highly dependent on the dividend growth rate.
D) is independent of the stock's price.
E) decreases when tax rates increase.
Unlock Deck
Unlock for access to all 100 flashcards in this deck.
Unlock Deck
k this deck
9
A firm's cost of capital:
A) will decrease as the risk level of the firm increases.
B) for a specific project is primarily dependent upon the source of the funds used for the project.
C) is independent of the firm's capital structure.
D) should be applied as the discount rate for any project considered by the firm.
E) depends upon how the funds raised are going to be spent.
A) will decrease as the risk level of the firm increases.
B) for a specific project is primarily dependent upon the source of the funds used for the project.
C) is independent of the firm's capital structure.
D) should be applied as the discount rate for any project considered by the firm.
E) depends upon how the funds raised are going to be spent.
Unlock Deck
Unlock for access to all 100 flashcards in this deck.
Unlock Deck
k this deck
10
Which one of the following statements related to the SML approach to equity valuation is correct? Assume the firm uses debt in its capital structure.
A) This model considers a firm's rate of growth.
B) The model applies only to non-dividend paying firms.
C) The model is dependent upon a reliable estimate of the market risk premium.
D) The model generally produces the same cost of equity as the dividend growth model.
E) This approach generally produces a cost of equity that equals the firm's overall cost of capital.
A) This model considers a firm's rate of growth.
B) The model applies only to non-dividend paying firms.
C) The model is dependent upon a reliable estimate of the market risk premium.
D) The model generally produces the same cost of equity as the dividend growth model.
E) This approach generally produces a cost of equity that equals the firm's overall cost of capital.
Unlock Deck
Unlock for access to all 100 flashcards in this deck.
Unlock Deck
k this deck
11
The aftertax cost of debt generally increases when:
I.a firm's bond rating increases.
II.the market rate of interest increases.
III.tax rates decrease.
IV.bond prices rise.
A) I and III only
B) II and III only
C) I,II,and III only
D) II,III,and IV only
E) I,II,III,and IV
I.a firm's bond rating increases.
II.the market rate of interest increases.
III.tax rates decrease.
IV.bond prices rise.
A) I and III only
B) II and III only
C) I,II,and III only
D) II,III,and IV only
E) I,II,III,and IV
Unlock Deck
Unlock for access to all 100 flashcards in this deck.
Unlock Deck
k this deck
12
The dividend growth model:
A) is only as reliable as the estimated rate of growth.
B) can only be used if historical dividend information is available.
C) considers the risk that future dividends may vary from their estimated values.
D) applies only when a firm is currently paying dividends.
E) uses beta to measure the systematic risk of a firm.
A) is only as reliable as the estimated rate of growth.
B) can only be used if historical dividend information is available.
C) considers the risk that future dividends may vary from their estimated values.
D) applies only when a firm is currently paying dividends.
E) uses beta to measure the systematic risk of a firm.
Unlock Deck
Unlock for access to all 100 flashcards in this deck.
Unlock Deck
k this deck
13
All else constant,which one of the following will increase a firm's cost of equity if the firm computes that cost using the security market line approach? Assume the firm currently pays an annual dividend of $1 a share and has a beta of 1.2.
A) a reduction in the dividend amount
B) an increase in the dividend amount
C) a reduction in the market rate of return
D) a reduction in the firm's beta
E) a reduction in the risk-free rate
A) a reduction in the dividend amount
B) an increase in the dividend amount
C) a reduction in the market rate of return
D) a reduction in the firm's beta
E) a reduction in the risk-free rate
Unlock Deck
Unlock for access to all 100 flashcards in this deck.
Unlock Deck
k this deck
14
The capital structure weights used in computing the weighted average cost of capital:
A) are based on the book values of total debt and total equity.
B) are based on the market value of the firm's debt and equity securities.
C) are computed using the book value of the long-term debt and the book value of equity.
D) remain constant over time unless the firm issues new securities.
E) are restricted to the firm's debt and common stock.
A) are based on the book values of total debt and total equity.
B) are based on the market value of the firm's debt and equity securities.
C) are computed using the book value of the long-term debt and the book value of equity.
D) remain constant over time unless the firm issues new securities.
E) are restricted to the firm's debt and common stock.
Unlock Deck
Unlock for access to all 100 flashcards in this deck.
Unlock Deck
k this deck
15
Scholastic Toys is considering developing and distributing a new board game for children.The project is similar in risk to the firm's current operations.The firm maintains a debt-equity ratio of 0.40 and retains all profits to fund the firm's rapid growth.How should the firm determine its cost of equity?
A) by adding the market risk premium to the aftertax cost of debt
B) by multiplying the market risk premium by (1 - 0.40)
C) by using the dividend growth model
D) by using the capital asset pricing model
E) by averaging the costs based on the dividend growth model and the capital asset pricing model
A) by adding the market risk premium to the aftertax cost of debt
B) by multiplying the market risk premium by (1 - 0.40)
C) by using the dividend growth model
D) by using the capital asset pricing model
E) by averaging the costs based on the dividend growth model and the capital asset pricing model
Unlock Deck
Unlock for access to all 100 flashcards in this deck.
Unlock Deck
k this deck
16
Which of the following statements are correct?
I.The SML approach is dependent upon a reliable measure of a firm's unsystematic risk.
II.The SML approach can be applied to firms that retain all of their earnings.
III.The SML approach assumes a firm's future risks are similar to its past risks.
IV.The SML approach assumes the reward-to-risk ratio is constant.
A) I and III only
B) II and IV only
C) III and IV only
D) I,II,and III only
E) II,III,and IV only
I.The SML approach is dependent upon a reliable measure of a firm's unsystematic risk.
II.The SML approach can be applied to firms that retain all of their earnings.
III.The SML approach assumes a firm's future risks are similar to its past risks.
IV.The SML approach assumes the reward-to-risk ratio is constant.
A) I and III only
B) II and IV only
C) III and IV only
D) I,II,and III only
E) II,III,and IV only
Unlock Deck
Unlock for access to all 100 flashcards in this deck.
Unlock Deck
k this deck
17
Which one of the following is the primary determinant of a firm's cost of capital?
A) debt-equity ratio
B) applicable tax rate
C) cost of equity
D) cost of debt
E) use of the funds
A) debt-equity ratio
B) applicable tax rate
C) cost of equity
D) cost of debt
E) use of the funds
Unlock Deck
Unlock for access to all 100 flashcards in this deck.
Unlock Deck
k this deck
18
The average of a firm's cost of equity and aftertax cost of debt that is weighted based on the firm's capital structure is called the:
A) reward to risk ratio.
B) weighted capital gains rate.
C) structured cost of capital.
D) subjective cost of capital.
E) weighted average cost of capital.
A) reward to risk ratio.
B) weighted capital gains rate.
C) structured cost of capital.
D) subjective cost of capital.
E) weighted average cost of capital.
Unlock Deck
Unlock for access to all 100 flashcards in this deck.
Unlock Deck
k this deck
19
A firm's overall cost of equity is:
A) is generally less that the firm's WACC given a leveraged firm.
B) unaffected by changes in the market risk premium.
C) highly dependent upon the growth rate and risk level of the firm.
D) generally less than the firm's aftertax cost of debt.
E) inversely related to changes in the firm's tax rate.
A) is generally less that the firm's WACC given a leveraged firm.
B) unaffected by changes in the market risk premium.
C) highly dependent upon the growth rate and risk level of the firm.
D) generally less than the firm's aftertax cost of debt.
E) inversely related to changes in the firm's tax rate.
Unlock Deck
Unlock for access to all 100 flashcards in this deck.
Unlock Deck
k this deck
20
A group of individuals got together and purchased all of the outstanding shares of common stock of DL Smith,Inc.What is the return that these individuals require on this investment called?
A) dividend yield
B) cost of equity
C) capital gains yield
D) cost of capital
E) income return
A) dividend yield
B) cost of equity
C) capital gains yield
D) cost of capital
E) income return
Unlock Deck
Unlock for access to all 100 flashcards in this deck.
Unlock Deck
k this deck
21
The subjective approach to project analysis:
A) is used only when a firm has an all-equity capital structure.
B) uses the WACC of firm X as the basis for the discount rate for a project under consideration by firm Y.
C) assigns discount rates to projects based on the discretion of the senior managers of a firm.
D) allows managers to randomly adjust the discount rate assigned to a project once the project's beta has been determined.
E) applies a lower discount rate to projects that are financed totally with equity as compared to those that are partially financed with debt.
A) is used only when a firm has an all-equity capital structure.
B) uses the WACC of firm X as the basis for the discount rate for a project under consideration by firm Y.
C) assigns discount rates to projects based on the discretion of the senior managers of a firm.
D) allows managers to randomly adjust the discount rate assigned to a project once the project's beta has been determined.
E) applies a lower discount rate to projects that are financed totally with equity as compared to those that are partially financed with debt.
Unlock Deck
Unlock for access to all 100 flashcards in this deck.
Unlock Deck
k this deck
22
The weighted average cost of capital for a firm may be dependent upon the firm's:
I.rate of growth.
II.debt-equity ratio.
III.preferred dividend payment.
IV.retention ratio.
A) I and III only
B) II and IV only
C) I,II,and IV only
D) I,III,and IV only
E) I,II,III,and IV
I.rate of growth.
II.debt-equity ratio.
III.preferred dividend payment.
IV.retention ratio.
A) I and III only
B) II and IV only
C) I,II,and IV only
D) I,III,and IV only
E) I,II,III,and IV
Unlock Deck
Unlock for access to all 100 flashcards in this deck.
Unlock Deck
k this deck
23
Which one of the following statements is correct for a firm that uses debt in its capital structure?
A) The WACC should decrease as the firm's debt-equity ratio increases.
B) When computing the WACC,the weight assigned to the preferred stock is based on the coupon rate multiplied by the par value of the preferred.
C) The firm's WACC will decrease as the corporate tax rate decreases.
D) The weight of the common stock used in the computation of the WACC is based on the number of shares outstanding multiplied by the book value per share.
E) The WACC will remain constant unless a firm retires some of its debt.
A) The WACC should decrease as the firm's debt-equity ratio increases.
B) When computing the WACC,the weight assigned to the preferred stock is based on the coupon rate multiplied by the par value of the preferred.
C) The firm's WACC will decrease as the corporate tax rate decreases.
D) The weight of the common stock used in the computation of the WACC is based on the number of shares outstanding multiplied by the book value per share.
E) The WACC will remain constant unless a firm retires some of its debt.
Unlock Deck
Unlock for access to all 100 flashcards in this deck.
Unlock Deck
k this deck
24
The Shoe Outlet has paid annual dividends of $0.65,$0.70,$0.72,and $0.75 per share over the last four years,respectively.The stock is currently selling for $26 a share.What is this firm's cost of equity?
A) 7.56 percent
B) 7.93 percent
C) 10.38 percent
D) 10.53 percent
E) 11.79 percent
A) 7.56 percent
B) 7.93 percent
C) 10.38 percent
D) 10.53 percent
E) 11.79 percent
Unlock Deck
Unlock for access to all 100 flashcards in this deck.
Unlock Deck
k this deck
25
The aftertax cost of debt:
A) varies inversely to changes in market interest rates.
B) will generally exceed the cost of equity if the relevant tax rate is zero.
C) will generally equal the cost of preferred if the tax rate is zero.
D) is unaffected by changes in the market rate of interest.
E) has a greater effect on a firm's cost of capital when the debt-equity ratio increases.
A) varies inversely to changes in market interest rates.
B) will generally exceed the cost of equity if the relevant tax rate is zero.
C) will generally equal the cost of preferred if the tax rate is zero.
D) is unaffected by changes in the market rate of interest.
E) has a greater effect on a firm's cost of capital when the debt-equity ratio increases.
Unlock Deck
Unlock for access to all 100 flashcards in this deck.
Unlock Deck
k this deck
26
Chelsea Fashions is expected to pay an annual dividend of $0.80 a share next year.The market price of the stock is $19.60 and the growth rate is 5 percent.What is the firm's cost of equity?
A) 7.58 percent
B) 7.91 percent
C) 8.24 percent
D) 9.08 percent
E) 10.00 percent
A) 7.58 percent
B) 7.91 percent
C) 8.24 percent
D) 9.08 percent
E) 10.00 percent
Unlock Deck
Unlock for access to all 100 flashcards in this deck.
Unlock Deck
k this deck
27
Which one of the following statements is correct?
A) The subjective approach assesses the risks of each project and assigns an adjustment factor that is unique just for that project.
B) Overall,a firm makes better decisions when it uses the subjective approach than when it uses its WACC as the discount rate for all projects.
C) Firms will correctly accept or reject every project if they adopt the subjective approach.
D) Mandatory projects should only be accepted if they produce a positive NPV when the firm's WACC is used as the discount rate.
E) The pure play approach should only be used with low-risk projects.
A) The subjective approach assesses the risks of each project and assigns an adjustment factor that is unique just for that project.
B) Overall,a firm makes better decisions when it uses the subjective approach than when it uses its WACC as the discount rate for all projects.
C) Firms will correctly accept or reject every project if they adopt the subjective approach.
D) Mandatory projects should only be accepted if they produce a positive NPV when the firm's WACC is used as the discount rate.
E) The pure play approach should only be used with low-risk projects.
Unlock Deck
Unlock for access to all 100 flashcards in this deck.
Unlock Deck
k this deck
28
If a firm uses its WACC as the discount rate for all of the projects it undertakes then the firm will tend to:
I.reject some positive net present value projects.
II.accept some negative net present value projects.
III.favor high risk projects over low risk projects.
IV.increase its overall level of risk over time.
A) I and III only
B) III and IV only
C) I,II,and III only
D) I,II,and IV only
E) I,II,III,and IV
I.reject some positive net present value projects.
II.accept some negative net present value projects.
III.favor high risk projects over low risk projects.
IV.increase its overall level of risk over time.
A) I and III only
B) III and IV only
C) I,II,and III only
D) I,II,and IV only
E) I,II,III,and IV
Unlock Deck
Unlock for access to all 100 flashcards in this deck.
Unlock Deck
k this deck
29
Incorporating flotation costs into the analysis of a project will:
A) cause the project to be improperly evaluated.
B) increase the net present value of the project.
C) increase the project's rate of return.
D) increase the initial cash outflow of the project.
E) have no effect on the present value of the project.
A) cause the project to be improperly evaluated.
B) increase the net present value of the project.
C) increase the project's rate of return.
D) increase the initial cash outflow of the project.
E) have no effect on the present value of the project.
Unlock Deck
Unlock for access to all 100 flashcards in this deck.
Unlock Deck
k this deck
30
Phil's is a sit-down restaurant that specializes in home-cooked meals.Theresa's is a walk-in deli that specializes in specialty soups and sandwiches.Both firms are currently considering expanding their operations during the summer months by offering pre-wrapped donuts,sandwiches,and wraps at a local beach.Phil's currently has a WACC of 14 percent while Theresa's WACC is 10 percent.The expansion project has a projected net present value of $12,600 at a 10 percent discount rate and a net present value of -$2,080 at a 14 percent discount rate.Which firm or firms should expand and offer food at the local beach during the summer months?
A) Phil's only
B) Theresa's only
C) both Phil's and Theresa's
D) neither Phil's nor Theresa's
E) cannot be determined from the information provided
A) Phil's only
B) Theresa's only
C) both Phil's and Theresa's
D) neither Phil's nor Theresa's
E) cannot be determined from the information provided
Unlock Deck
Unlock for access to all 100 flashcards in this deck.
Unlock Deck
k this deck
31
The flotation cost for a firm is computed as:
A) the arithmetic average of the flotation costs of both debt and equity.
B) the weighted average of the flotation costs associated with each form of financing.
C) the geometric average of the flotation costs associated with each form of financing.
D) one-half of the flotation cost of debt plus one-half of the flotation cost of equity.
E) a weighted average based on the book values of the firm's debt and equity.
A) the arithmetic average of the flotation costs of both debt and equity.
B) the weighted average of the flotation costs associated with each form of financing.
C) the geometric average of the flotation costs associated with each form of financing.
D) one-half of the flotation cost of debt plus one-half of the flotation cost of equity.
E) a weighted average based on the book values of the firm's debt and equity.
Unlock Deck
Unlock for access to all 100 flashcards in this deck.
Unlock Deck
k this deck
32
When a firm has flotation costs equal to 7 percent of the funding need,project analysts should:
A) increase the project's discount rate to offset these expenses by multiplying the firm's WACC by 1.07.
B) increase the project's discount rate to offset these expenses by dividing the firm's WACC by (1 - 0.07).
C) add 7 percent to the firm's WACC to get the discount rate for the project.
D) increase the initial project cost by multiplying that cost by 1.07.
E) increase the initial project cost by dividing that cost by (1 - 0.07).
A) increase the project's discount rate to offset these expenses by multiplying the firm's WACC by 1.07.
B) increase the project's discount rate to offset these expenses by dividing the firm's WACC by (1 - 0.07).
C) add 7 percent to the firm's WACC to get the discount rate for the project.
D) increase the initial project cost by multiplying that cost by 1.07.
E) increase the initial project cost by dividing that cost by (1 - 0.07).
Unlock Deck
Unlock for access to all 100 flashcards in this deck.
Unlock Deck
k this deck
33
Assigning discount rates to individual projects based on the risk level of each project:
A) may cause the firm's overall weighted average cost of capital to either increase or decrease over time.
B) will prevent the firm's overall cost of capital from changing over time.
C) will cause the firm's overall cost of capital to decrease over time.
D) decreases the value of the firm over time.
E) negates the firm's goal of creating the most value for the shareholders.
A) may cause the firm's overall weighted average cost of capital to either increase or decrease over time.
B) will prevent the firm's overall cost of capital from changing over time.
C) will cause the firm's overall cost of capital to decrease over time.
D) decreases the value of the firm over time.
E) negates the firm's goal of creating the most value for the shareholders.
Unlock Deck
Unlock for access to all 100 flashcards in this deck.
Unlock Deck
k this deck
34
The discount rate assigned to an individual project should be based on:
A) the firm's weighted average cost of capital.
B) the actual sources of funding used for the project.
C) an average of the firm's overall cost of capital for the past five years.
D) the current risk level of the overall firm.
E) the risks associated with the use of the funds required by the project.
A) the firm's weighted average cost of capital.
B) the actual sources of funding used for the project.
C) an average of the firm's overall cost of capital for the past five years.
D) the current risk level of the overall firm.
E) the risks associated with the use of the funds required by the project.
Unlock Deck
Unlock for access to all 100 flashcards in this deck.
Unlock Deck
k this deck
35
Flotation costs for a levered firm should:
A) be ignored when analyzing a project because they are not an actual project cost.
B) be spread over the life of a project thereby reducing the cash flows for each year of the project.
C) only be considered when two projects are mutually exclusive.
D) be weighted and included in the initial cash flow.
E) be totally ignored when internal equity funding is utilized.
A) be ignored when analyzing a project because they are not an actual project cost.
B) be spread over the life of a project thereby reducing the cash flows for each year of the project.
C) only be considered when two projects are mutually exclusive.
D) be weighted and included in the initial cash flow.
E) be totally ignored when internal equity funding is utilized.
Unlock Deck
Unlock for access to all 100 flashcards in this deck.
Unlock Deck
k this deck
36
Wilderness Adventures specializes in back-country tours and resort management.Travel Excitement specializes in making travel reservations and promoting vacation travel.Wilderness Adventures has an aftertax cost of capital of 13 percent and Travel Excitement has an aftertax cost of capital of 11 percent.Both firms are considering building wilderness campgrounds complete with man-made lakes and hiking trails.The estimated net present value of such a project is estimated at $87,000 at a discount rate of 11 percent and -$12,500 at a 13 percent discount rate.Which firm or firms,if either,should accept this project?
A) Wilderness Adventures only
B) Travel Excitement only
C) both Wilderness Adventures and Travel Excitement
D) neither Wilderness Adventures nor Travel Excitement
E) cannot be determined without further information
A) Wilderness Adventures only
B) Travel Excitement only
C) both Wilderness Adventures and Travel Excitement
D) neither Wilderness Adventures nor Travel Excitement
E) cannot be determined without further information
Unlock Deck
Unlock for access to all 100 flashcards in this deck.
Unlock Deck
k this deck
37
The weighted average cost of capital for a firm is the:
A) discount rate which the firm should apply to all of the projects it undertakes.
B) rate of return a firm must earn on its existing assets to maintain the current value of its stock.
C) coupon rate the firm should expect to pay on its next bond issue.
D) minimum discount rate the firm should require on any new project.
E) rate of return shareholders should expect to earn on their investment in this firm.
A) discount rate which the firm should apply to all of the projects it undertakes.
B) rate of return a firm must earn on its existing assets to maintain the current value of its stock.
C) coupon rate the firm should expect to pay on its next bond issue.
D) minimum discount rate the firm should require on any new project.
E) rate of return shareholders should expect to earn on their investment in this firm.
Unlock Deck
Unlock for access to all 100 flashcards in this deck.
Unlock Deck
k this deck
38
Which one of the following statements is correct?
A) Firms should accept low risk projects prior to funding high risk projects.
B) Making subjective adjustments to a firm's WACC when determining project discount rates unfairly punishes low-risk divisions within a firm.
C) A project that is unacceptable today might be acceptable tomorrow given a change in market returns.
D) The pure play method is most frequently used for projects involving the expansion of a firm's current operations.
E) Firms that elect to use the pure play method for determining a discount rate for a project cannot subjectively adjust the pure play rate.
A) Firms should accept low risk projects prior to funding high risk projects.
B) Making subjective adjustments to a firm's WACC when determining project discount rates unfairly punishes low-risk divisions within a firm.
C) A project that is unacceptable today might be acceptable tomorrow given a change in market returns.
D) The pure play method is most frequently used for projects involving the expansion of a firm's current operations.
E) Firms that elect to use the pure play method for determining a discount rate for a project cannot subjectively adjust the pure play rate.
Unlock Deck
Unlock for access to all 100 flashcards in this deck.
Unlock Deck
k this deck
39
Morris Industries has a capital structure of 55 percent common stock,10 percent preferred stock,and 45 percent debt.The firm has a 60 percent dividend payout ratio,a beta of 0.89,and a tax rate of 38 percent.Given this,which one of the following statements is correct?
A) The aftertax cost of debt will be greater than the current yield-to-maturity on the firm's bonds.
B) The firm's cost of preferred is most likely less than the firm's actual cost of debt.
C) The firm's cost of equity is unaffected by a change in the firm's tax rate.
D) The cost of equity can only be estimated using the SML approach.
E) The firm's weighted average cost of capital will remain constant as long as the capital structure remains constant.
A) The aftertax cost of debt will be greater than the current yield-to-maturity on the firm's bonds.
B) The firm's cost of preferred is most likely less than the firm's actual cost of debt.
C) The firm's cost of equity is unaffected by a change in the firm's tax rate.
D) The cost of equity can only be estimated using the SML approach.
E) The firm's weighted average cost of capital will remain constant as long as the capital structure remains constant.
Unlock Deck
Unlock for access to all 100 flashcards in this deck.
Unlock Deck
k this deck
40
Markley and Stearns is a multi-divisional firm that uses its WACC as the discount rate for all proposed projects.Each division is in a separate line of business and each presents risks unique to those lines.Given this,a division within the firm will tend to:
A) receive less project funding if its line of business is riskier than that of the other divisions.
B) avoid risky projects so it can receive more project funding.
C) become less risky over time based on the projects that are accepted.
D) have equal probability of receiving funding as compared to the other divisions.
E) prefer higher risk projects over lower risk projects.
A) receive less project funding if its line of business is riskier than that of the other divisions.
B) avoid risky projects so it can receive more project funding.
C) become less risky over time based on the projects that are accepted.
D) have equal probability of receiving funding as compared to the other divisions.
E) prefer higher risk projects over lower risk projects.
Unlock Deck
Unlock for access to all 100 flashcards in this deck.
Unlock Deck
k this deck
41
Wind Power Systems has 20-year,semi-annual bonds outstanding with a 5 percent coupon.The face amount of each bond is $1,000.These bonds are currently selling for 114 percent of face value.What is the company's pre-tax cost of debt?
A) 3.98 percent
B) 4.42 percent
C) 4.71 percent
D) 5.36 percent
E) 5.55 percent
A) 3.98 percent
B) 4.42 percent
C) 4.71 percent
D) 5.36 percent
E) 5.55 percent
Unlock Deck
Unlock for access to all 100 flashcards in this deck.
Unlock Deck
k this deck
42
Henessey Markets has a growth rate of 4.8 percent and is equally as risky as the market.The stock is currently selling for $17 a share.The overall stock market has a 10.6 percent rate of return and a risk premium of 8.7 percent.What is the expected rate of return on this stock?
A) 8.7 percent
B) 9.2 percent
C) 10.6 percent
D) 11.3 percent
E) 11.7 percent
A) 8.7 percent
B) 9.2 percent
C) 10.6 percent
D) 11.3 percent
E) 11.7 percent
Unlock Deck
Unlock for access to all 100 flashcards in this deck.
Unlock Deck
k this deck
43

Grill Works and More has 7 percent preferred stock outstanding that is currently selling for $49 a share.The market rate of return is 14 percent and the firm's tax rate is 37 percent.What is the firm's cost of preferred stock?
A) 13.77 percent
B) 13.29 percent
C) 13.67 percent
D) 14.29 percent
E) 14.54 percent
Unlock Deck
Unlock for access to all 100 flashcards in this deck.
Unlock Deck
k this deck
44

Electronics Galore has 950,000 shares of common stock outstanding at a market price of $38 a share.The company also has 40,000 bonds outstanding that are quoted at 106 percent of face value.What weight should be given to the debt when the firm computes its weighted average cost of capital?
A) 42 percent
B) 46 percent
C) 50 percent
D) 54 percent
E) 58 percent
Unlock Deck
Unlock for access to all 100 flashcards in this deck.
Unlock Deck
k this deck
45

Dog Gone Good Engines has a bond issue outstanding with 17 years to maturity.These bonds have a $1,000 face value,a 9 percent coupon,and pay interest semi-annually.The bonds are currently quoted at 82 percent of face value.What is the company's pre-tax cost of debt if the tax rate is 38 percent?
A) 4.10 percent
B) 4.42 percent
C) 6.61 percent
D) 8.90 percent
E) 11.42 percent
Unlock Deck
Unlock for access to all 100 flashcards in this deck.
Unlock Deck
k this deck
46

The Corner Bakery has a bond issue outstanding that matures in 7 years.The bonds pay interest semi-annually.Currently,the bonds are quoted at 101.4 percent of face value and carry a 9 percent coupon.What is the firm's aftertax cost of debt if the tax rate is 30 percent?
A) 4.88 percent
B) 5.36 percent
C) 5.45 percent
D) 6.11 percent
E) 8.74 percent
Unlock Deck
Unlock for access to all 100 flashcards in this deck.
Unlock Deck
k this deck
47

The outstanding bonds of Tech Express are priced at $989 and mature in 10 years.These bonds have a 6 percent coupon and pay interest annually.The firm's tax rate is 35 percent.What is the firm's aftertax cost of debt?
A) 3.01 percent
B) 3.22 percent
C) 3.35 percent
D) 4.00 percent
E) 4.41 percent
Unlock Deck
Unlock for access to all 100 flashcards in this deck.
Unlock Deck
k this deck
48
National Home Rentals has a beta of 1.24,a stock price of $22,and recently paid an annual dividend of $0.94 a share.The dividend growth rate is 4.5 percent.The market has a 10.6 percent rate of return and a risk premium of 7.5 percent.What is the firm's cost of equity?
A) 7.05 percent
B) 8.67 percent
C) 9.13 percent
D) 10.30 percent
E) 10.68 percent
A) 7.05 percent
B) 8.67 percent
C) 9.13 percent
D) 10.30 percent
E) 10.68 percent
Unlock Deck
Unlock for access to all 100 flashcards in this deck.
Unlock Deck
k this deck
49
The common stock of Metal Molds has a negative growth rate of 1.5 percent and a required return of 18 percent.The current stock price is $11.40.What was the amount of the last dividend paid?
A) $2.07
B) $2.11
C) $2.19
D) $2.22
E) $2.26
A) $2.07
B) $2.11
C) $2.19
D) $2.22
E) $2.26
Unlock Deck
Unlock for access to all 100 flashcards in this deck.
Unlock Deck
k this deck
50

Simple Foods has a zero coupon bond issue outstanding that matures in 9 years.The bonds are selling at 42 percent of par value.What is the company's aftertax cost of debt if the tax rate is 38 percent?
A) 5.48 percent
B) 5.73 percent
C) 6.12 percent
D) 7.73 percent
E) 9.88 percent
Unlock Deck
Unlock for access to all 100 flashcards in this deck.
Unlock Deck
k this deck
51
Sweet Treats common stock is currently priced at $18.53 a share.The company just paid $1.25 per share as its annual dividend.The dividends have been increasing by 2.5 percent annually and are expected to continue doing the same.What is this firm's cost of equity?
A) 6.03 percent
B) 6.18 percent
C) 8.47 percent
D) 9.41 percent
E) 9.82 percent
A) 6.03 percent
B) 6.18 percent
C) 8.47 percent
D) 9.41 percent
E) 9.82 percent
Unlock Deck
Unlock for access to all 100 flashcards in this deck.
Unlock Deck
k this deck
52
Southern Home Cookin' just paid its annual dividend of $0.65 a share.The stock has a market price of $13 and a beta of 1.12.The return on the U.S.Treasury bill is 2.5 percent and the market risk premium is 6.8 percent.What is the cost of equity?
A) 9.98 percent
B) 10.04 percent
C) 10.12 percent
D) 10.37 percent
E) 10.45 percent
A) 9.98 percent
B) 10.04 percent
C) 10.12 percent
D) 10.37 percent
E) 10.45 percent
Unlock Deck
Unlock for access to all 100 flashcards in this deck.
Unlock Deck
k this deck
53
Tidewater Fishing has a current beta of 1.21.The market risk premium is 8.9 percent and the risk-free rate of return is 3.2 percent.By how much will the cost of equity increase if the company expands its operations such that the company beta rises to 1.50?
A) 1.88 percent
B) 2.58 percent
C) 2.60 percent
D) 3.10 percent
E) 3.26 percent
A) 1.88 percent
B) 2.58 percent
C) 2.60 percent
D) 3.10 percent
E) 3.26 percent
Unlock Deck
Unlock for access to all 100 flashcards in this deck.
Unlock Deck
k this deck
54

Handy Man,Inc.has zero coupon bonds outstanding that mature in 8 years.The bonds have a face value of $1,000 and a current market price of $640.What is the company's pre-tax cost of debt?
A) 2.55 percent
B) 5.09 percent
C) 5.66 percent
D) 7.31 percent
E) 7.48 percent
Unlock Deck
Unlock for access to all 100 flashcards in this deck.
Unlock Deck
k this deck
55
Highway Express has paid annual dividends of $1.05,$1.20,$1.25,$1.15,and $0.95 over the past five years,respectively.What is the average dividend growth rate?
A) -1.74 percent
B) -3.60 percent
C) 2.28 percent
D) 2.47 percent
E) 4.39 percent
A) -1.74 percent
B) -3.60 percent
C) 2.28 percent
D) 2.47 percent
E) 4.39 percent
Unlock Deck
Unlock for access to all 100 flashcards in this deck.
Unlock Deck
k this deck
56
New York Deli has 7 percent preferred stock outstanding that sells for $34 a share.This stock was originally issued at $45 per share.What is the cost of preferred stock?
A) 13.68 percent
B) 14.00 percent
C) 18.29 percent
D) 20.59 percent
E) 20.80 percent
A) 13.68 percent
B) 14.00 percent
C) 18.29 percent
D) 20.59 percent
E) 20.80 percent
Unlock Deck
Unlock for access to all 100 flashcards in this deck.
Unlock Deck
k this deck
57

Mangrove Fruit Farms has a $250,000 bond issue outstanding that is selling at 92 percent of face value.The firm also has 1,500 shares of preferred stock and 15,000 shares of common stock outstanding.The preferred stock has a market price of $35 a share compared to a price of $24 a share for the common stock.What is the weight of the preferred stock as it relates to the firm's weighted average cost of capital?
A) 6.75 percent
B) 7.20 percent
C) 7.75 percent
D) 8.03 percent
E) 8.17 percent
Unlock Deck
Unlock for access to all 100 flashcards in this deck.
Unlock Deck
k this deck
58

Boulder Furniture has bonds outstanding that mature in 15 years,have a 6 percent coupon,and pay interest annually.These bonds have a face value of $1,000 and a current market price of $1,075.What is the company's aftertax cost of debt if its tax rate is 32 percent?
A) 2.97 percent
B) 3.24 percent
C) 3.58 percent
D) 5.21 percent
E) 5.53 percent
Unlock Deck
Unlock for access to all 100 flashcards in this deck.
Unlock Deck
k this deck
59
Samuelson Plastics has 7.5 percent preferred stock outstanding.Currently,this stock has a market value per share of $52 and a book value per share of $38.What is the cost of preferred stock?
A) 7.50 percent
B) 13.88 percent
C) 14.42 percent
D) 19.29 percent
E) 19.74 percent
A) 7.50 percent
B) 13.88 percent
C) 14.42 percent
D) 19.29 percent
E) 19.74 percent
Unlock Deck
Unlock for access to all 100 flashcards in this deck.
Unlock Deck
k this deck
60
Nelson's Landscaping has 1,200 bonds outstanding that are selling for $990 each.The company also has 2,500 shares of preferred stock at a market price of $28 a share.The common stock is priced at $37 a share and there are 28,000 shares outstanding.What is the weight of the common stock as it relates to the firm's weighted average cost of capital?
A) 43.08 percent
B) 45.16 percent
C) 47.11 percent
D) 54.00 percent
E) 55.45 percent
A) 43.08 percent
B) 45.16 percent
C) 47.11 percent
D) 54.00 percent
E) 55.45 percent
Unlock Deck
Unlock for access to all 100 flashcards in this deck.
Unlock Deck
k this deck
61

The Market Outlet has a beta of 1.38 and a cost of equity of 14.945 percent.The risk-free rate of return is 4.25 percent.What discount rate should the firm assign to a new project that has a beta of 1.25?
A) 13.54 percent.
B) 13.72 percent.
C) 13.94 percent.
D) 14.14 percent.
E) 14.36 percent.
Unlock Deck
Unlock for access to all 100 flashcards in this deck.
Unlock Deck
k this deck
62
Miller Sisters has an overall beta of 0.79 and a cost of equity of 11.2 percent for the firm overall.The firm is 100 percent financed with common stock.Division A within the firm has an estimated beta of 1.08 and is the riskiest of all of the firm's operations.What is an appropriate cost of capital for division A if the market risk premium is 9.5 percent?
A) 13.12 percent
B) 13.96 percent
C) 14.63 percent
D) 15.77 percent
E) 16.01 percent
A) 13.12 percent
B) 13.96 percent
C) 14.63 percent
D) 15.77 percent
E) 16.01 percent
Unlock Deck
Unlock for access to all 100 flashcards in this deck.
Unlock Deck
k this deck
63
Bleakly Enterprises has a capital structure of 40 percent common stock,10 percent preferred stock,and 50 percent debt.The flotation costs are 4.5 percent for debt,7 percent for preferred stock,and 9.5 percent for common stock.The corporate tax rate is 34 percent.What is the weighted average flotation cost?
A) 5.8 percent
B) 6.2 percent
C) 6.4 percent
D) 6.6 percent
E) 6.8 percent
A) 5.8 percent
B) 6.2 percent
C) 6.4 percent
D) 6.6 percent
E) 6.8 percent
Unlock Deck
Unlock for access to all 100 flashcards in this deck.
Unlock Deck
k this deck
64

Wayco Industrial Supply has a pre-tax cost of debt of 7.6 percent,a cost of equity of 14.3 percent,and a cost of preferred stock of 8.5 percent.The firm has 220,000 shares of common stock outstanding at a market price of $27 a share.There are 25,000 shares of preferred stock outstanding at a market price of $41 a share.The bond issue has a face value of $550,000 and a market quote of 101.2.The company's tax rate is 37 percent.What is the firm's weighted average cost of capital?
A) 10.18 percent
B) 10.84 percent
C) 11.32 percent
D) 12.60 percent
E) 12.81 percent
Unlock Deck
Unlock for access to all 100 flashcards in this deck.
Unlock Deck
k this deck
65
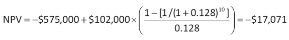
Deep Mining and Precious Metals are separate firms that are both considering a silver exploration project.Deep Mining is in the actual mining business and has an aftertax cost of capital of 12.8 percent.Precious Metals is in the precious gem retail business and has an aftertax cost of capital of 10.6 percent.The project under consideration has initial costs of $575,000 and anticipated annual cash inflows of $102,000 a year for ten years.Which firm(s),if either,should accept this project?
A) Company A only
B) Company B only
C) both Company A and Company B
D) neither Company A or Company B
E) cannot be determined without further information
A) Company A only
B) Company B only
C) both Company A and Company B
D) neither Company A or Company B
E) cannot be determined without further information
Unlock Deck
Unlock for access to all 100 flashcards in this deck.
Unlock Deck
k this deck
66
R.S.Green has 250,000 shares of common stock outstanding at a market price of $28 a share.Next year's annual dividend is expected to be $1.55 a share.The dividend growth rate is 2 percent.The firm also has 7,500 bonds outstanding with a face value of $1,000 per bond.The bonds carry a 7 percent coupon,pay interest semiannually,and mature in 7.5 years.The bonds are selling at 98 percent of face value.The company's tax rate is 34 percent.What is the firm's weighted average cost of capital?
A) 5.4 percent
B) 6.2 percent
C) 7.5 percent
D) 8.5 percent
E) 9.6 percent
A) 5.4 percent
B) 6.2 percent
C) 7.5 percent
D) 8.5 percent
E) 9.6 percent
Unlock Deck
Unlock for access to all 100 flashcards in this deck.
Unlock Deck
k this deck
67
Silo Mills has a beta of 0.95 and a cost of equity of 11.9 percent.The risk-free rate of return is 2.8 percent.The firm is currently considering a project that has a beta of 1.03 and a project life of 6 years.What discount rate should be assigned to this project?
A) 13.33 percent.
B) 12.67 percent.
C) 13.62 percent.
D) 13.84 percent.
E) 14.09 percent.
A) 13.33 percent.
B) 12.67 percent.
C) 13.62 percent.
D) 13.84 percent.
E) 14.09 percent.
Unlock Deck
Unlock for access to all 100 flashcards in this deck.
Unlock Deck
k this deck
68
Granite Works maintains a debt-equity ratio of 0.65 and has a tax rate of 32 percent.The firm does not issue preferred stock.The pre-tax cost of debt is 9.8 percent.There are 25,000 shares of stock outstanding with a beta of 1.2 and a market price of $19 a share.The current market risk premium is 8.5 percent and the current risk-free rate is 3.6 percent.This year,the firm paid an annual dividend of $1.10 a share and expects to increase that amount by 2 percent each year.Using an average expected cost of equity,what is the weighted average cost of capital?
A) 8.44 percent
B) 8.78 percent
C) 8.96 percent
D) 9.13 percent
E) 9.20 percent
A) 8.44 percent
B) 8.78 percent
C) 8.96 percent
D) 9.13 percent
E) 9.20 percent
Unlock Deck
Unlock for access to all 100 flashcards in this deck.
Unlock Deck
k this deck
69
Carson Electronics uses 70 percent common stock and 30 percent debt to finance its operations.The aftertax cost of debt is 5.4 percent and the cost of equity is 15.4 percent.Management is considering a project that will produce a cash inflow of $36,000 in the first year.The cash inflows will then grow at 3 percent per year forever.What is the maximum amount the firm can initially invest in this project to avoid a negative net present value for the project?
A) $299,032
B) $382,979
C) $411,406
D) $434,086
E) $441,414
A) $299,032
B) $382,979
C) $411,406
D) $434,086
E) $441,414
Unlock Deck
Unlock for access to all 100 flashcards in this deck.
Unlock Deck
k this deck
70
Delta Lighting has 30,000 shares of common stock outstanding at a market price of $15.00 a share.This stock was originally issued at $31 per share.The firm also has a bond issue outstanding with a total face value of $280,000 which is selling for 86 percent of par.The cost of equity is 13 percent while the aftertax cost of debt is 6.9 percent.The firm has a beta of 1.48 and a tax rate of 30 percent.What is the weighted average cost of capital?
A) 10.07 percent
B) 10.87 percent
C) 12.36 percent
D) 13.29 percent
E) 13.47 percent
A) 10.07 percent
B) 10.87 percent
C) 12.36 percent
D) 13.29 percent
E) 13.47 percent
Unlock Deck
Unlock for access to all 100 flashcards in this deck.
Unlock Deck
k this deck
71
The Bakery is considering a new project it considers to be a little riskier than its current operations.Thus,management has decided to add an additional 1.5 percent to the company's overall cost of capital when evaluating this project.The project has an initial cash outlay of $58,000 and projected cash inflows of $17,000 in year one,$28,000 in year two,and $30,000 in year three.The firm uses 25 percent debt and 75 percent common stock as its capital structure.The company's cost of equity is 15.5 percent while the aftertax cost of debt for the firm is 6.1 percent.What is the projected net present value of the new project?
A) -$6,208
B) -$1,964
C) -$308
D) $1,427
E) $1,573
A) -$6,208
B) -$1,964
C) -$308
D) $1,427
E) $1,573
Unlock Deck
Unlock for access to all 100 flashcards in this deck.
Unlock Deck
k this deck
72
Travis & Sons has a capital structure which is based on 40 percent debt,5 percent preferred stock,and 55 percent common stock.The pre-tax cost of debt is 7.5 percent,the cost of preferred is 9 percent,and the cost of common stock is 13 percent.The company's tax rate is 39 percent.The company is considering a project that is equally as risky as the overall firm.This project has initial costs of $325,000 and annual cash inflows of $87,000,$279,000,and $116,000 over the next three years,respectively.What is the projected net present value of this project?
A) $68,211.04
B) $68,879.97
C) $69,361.08
D) $74,208.18
E) $76,011.23
A) $68,211.04
B) $68,879.97
C) $69,361.08
D) $74,208.18
E) $76,011.23
Unlock Deck
Unlock for access to all 100 flashcards in this deck.
Unlock Deck
k this deck
73

Kelso's has a debt-equity ratio of 0.6 and a tax rate of 35 percent.The firm does not issue preferred stock.The cost of equity is 14.5 percent and the aftertax cost of debt is 4.8 percent.What is the weighted average cost of capital?
A) 10.46 percent
B) 10.67 percent
C) 10.86 percent
D) 11.38 percent
E) 11.57 percent
Unlock Deck
Unlock for access to all 100 flashcards in this deck.
Unlock Deck
k this deck
74

Phillips Equipment has 80,000 bonds outstanding that are selling at par.Bonds with similar characteristics are yielding 7.5 percent.The company also has 750,000 shares of 7 percent preferred stock and 2.5 million shares of common stock outstanding.The preferred stock sells for $65 a share.The common stock has a beta of 1.34 and sells for $42 a share.The U.S.Treasury bill is yielding 2.8 percent and the return on the market is 11.2 percent.The corporate tax rate is 38 percent.What is the firm's weighted average cost of capital?
A) 10.15 percent
B) 10.64 percent
C) 11.18 percent
D) 11.30 percent
E) 11.56 percent
Unlock Deck
Unlock for access to all 100 flashcards in this deck.
Unlock Deck
k this deck
75
Panelli's is analyzing a project with an initial cost of $110,000 and cash inflows of $65,000 in year one and $74,000 in year two.This project is an extension of the firm's current operations and thus is equally as risky as the current firm.The firm uses only debt and common stock to finance its operations and maintains a debt-equity ratio of 0.45.The aftertax cost of debt is 4.8 percent,the cost of equity is 12.7 percent,and the tax rate is 35 percent.What is the projected net present value of this project?
A) $7,411
B) $7,809
C) $8,333
D) $8,938
E) $9,840
A) $7,411
B) $7,809
C) $8,333
D) $8,938
E) $9,840
Unlock Deck
Unlock for access to all 100 flashcards in this deck.
Unlock Deck
k this deck
76
Justice,Inc.has a capital structure which is based on 30 percent debt,5 percent preferred stock,and 65 percent common stock.The flotation costs are 11 percent for common stock,10 percent for preferred stock,and 7 percent for debt.The corporate tax rate is 37 percent.What is the weighted average flotation cost?
A) 8.97 percent
B) 9.48 percent
C) 9.62 percent
D) 9.75 percent
E) 10.00 percent
A) 8.97 percent
B) 9.48 percent
C) 9.62 percent
D) 9.75 percent
E) 10.00 percent
Unlock Deck
Unlock for access to all 100 flashcards in this deck.
Unlock Deck
k this deck
77

Central Systems,Inc.desires a weighted average cost of capital of 8 percent.The firm has an aftertax cost of debt of 5.4 percent and a cost of equity of 15.2 percent.What debt-equity ratio is needed for the firm to achieve its targeted weighted average cost of capital?
A) 0.38
B) 0.44
C) 1.02
D) 2.77
E) 3.63
Unlock Deck
Unlock for access to all 100 flashcards in this deck.
Unlock Deck
k this deck
78
The Oil Derrick has an overall cost of equity of 13.6 percent and a beta of 1.28.The firm is financed solely with common stock.The risk-free rate of return is 3.4 percent.What is an appropriate cost of capital for a division within the firm that has an estimated beta of 1.18?
A) 12.37 percent
B) 12.41 percent
C) 12.54 percent
D) 12.67 percent
E) 12.80 percent
A) 12.37 percent
B) 12.41 percent
C) 12.54 percent
D) 12.67 percent
E) 12.80 percent
Unlock Deck
Unlock for access to all 100 flashcards in this deck.
Unlock Deck
k this deck
79

Decker's is a chain of furniture retail stores.Furniture Fashions is a furniture maker and a supplier to Decker's.Decker's has a beta of 1.38 as compared to Furniture Fashion's beta of 1.12.The risk-free rate of return is 3.5 percent and the market risk premium is 8 percent.What discount rate should Decker's use if it considers a project that involves the manufacturing of furniture?
A) 12.46 percent
B) 12.92 percent
C) 13.50 percent
D) 14.08 percent
E) 14.54 percent
Unlock Deck
Unlock for access to all 100 flashcards in this deck.
Unlock Deck
k this deck
80

Sister Pools sells outdoor swimming pools and currently has an aftertax cost of capital of 11.6 percent.Al's Construction builds and sells water features and fountains and has an aftertax cost of capital of 10.3 percent.Sister Pools is considering building and selling its own water features and fountains.The sales manager of Sister Pools estimates that the water features and fountains would produce 20 percent of the firm's future total sales.The initial cash outlay for this project would be $85,000.The expected net cash inflows are $17,000 a year for 7 years.What is the net present value of the Sister Pools project?
A) -$11,044
B) -$3,048
C) -$2,262
D) -$1,508
E) $1,219
Unlock Deck
Unlock for access to all 100 flashcards in this deck.
Unlock Deck
k this deck

