Deck 15: Organic Compounds and the Atomic Properties of Carbon
Question
Question
Question
Question
Question
Question
Question
Question
Question
Question
Question
Question
Question
Question
Question
Question
Question
Question
Question
Question
Question
Question
Question
Question
Question
Question
Question
Question
Question
Question
Question
Question
Question
Question
Question
Question
Question
Question
Question
Question
Question
Question
Question
Question
Question
Question
Question
Question
Question
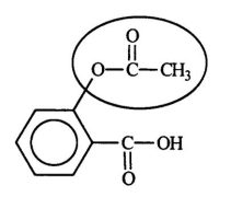
Question
Question
Question
Question
Question
Question
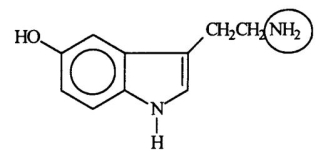
Question
Question
Question
Question
Question
Question
Question
Question
Question
Question
Question
Question
Question
Question
Question
Question
Question
Question
Question
Question
Question
Question
Question
Question
Question
Unlock Deck
Sign up to unlock the cards in this deck!
Unlock Deck
Unlock Deck
1/95
Play
Full screen (f)
Deck 15: Organic Compounds and the Atomic Properties of Carbon
1
Select the correct name for the following compound. 
A)4-ethyl-1,1,5-trimethyl-2-heptyne
B)4,5-diethyl-1,1-dimethyl-2-heptyne
C)5-ethyl-2,6-dimethyl-3-octene
D)3-ethyl-3,7-dimethyl-5-octyne
E)5-ethyl-2,6-dimethyl-3-octyne

A)4-ethyl-1,1,5-trimethyl-2-heptyne
B)4,5-diethyl-1,1-dimethyl-2-heptyne
C)5-ethyl-2,6-dimethyl-3-octene
D)3-ethyl-3,7-dimethyl-5-octyne
E)5-ethyl-2,6-dimethyl-3-octyne
5-ethyl-2,6-dimethyl-3-octyne
2
Select the correct name for the following compound. 
A)cis-2-methyl-2,3-dipropyl-4-octene
B)cis-7-methyl-6,7-dipropyl-4-octene
C)cis-4,4-dimethyl-5-propyl-6-decene
D)trans-7,7-dimethyl-6-propyl-4-decene
E)cis-7,7-dimethyl-6-propyl-4-decene

A)cis-2-methyl-2,3-dipropyl-4-octene
B)cis-7-methyl-6,7-dipropyl-4-octene
C)cis-4,4-dimethyl-5-propyl-6-decene
D)trans-7,7-dimethyl-6-propyl-4-decene
E)cis-7,7-dimethyl-6-propyl-4-decene
cis-7,7-dimethyl-6-propyl-4-decene
3
Select the correct name for the following compound. 
A)ortho-dipropylcyclopentylhexane
B)2,3-dipropylcyclopentylhexane
C)2-hexyl-1,5-dipropylcyclopentane
D)1-hexyl-2,3-dipropylcyclopentane
E)1,2-dipropyl-3-hexylcyclopentane

A)ortho-dipropylcyclopentylhexane
B)2,3-dipropylcyclopentylhexane
C)2-hexyl-1,5-dipropylcyclopentane
D)1-hexyl-2,3-dipropylcyclopentane
E)1,2-dipropyl-3-hexylcyclopentane
1-hexyl-2,3-dipropylcyclopentane
4
Select the correct name for the following compound. 
A)1,1,3-triethyl-2-methylbutane
B)1,1-diethyl-2,3-dimethylpentane
C)2,4-diethyl-3-methylhexane
D)3-ethyl-4,5-dimethylheptane
E)None of these choices is correct.

A)1,1,3-triethyl-2-methylbutane
B)1,1-diethyl-2,3-dimethylpentane
C)2,4-diethyl-3-methylhexane
D)3-ethyl-4,5-dimethylheptane
E)None of these choices is correct.
Unlock Deck
Unlock for access to all 95 flashcards in this deck.
Unlock Deck
k this deck
5
Select the correct name for the following compound. 
A)ortho-ethylheptylcyclopentane
B)meta-ethylheptylcyclopentane
C)1-ethyl-2-heptylcyclopentane
D)ethylcyclopentylheptane
E)ortho-ethylheptylbenzene

A)ortho-ethylheptylcyclopentane
B)meta-ethylheptylcyclopentane
C)1-ethyl-2-heptylcyclopentane
D)ethylcyclopentylheptane
E)ortho-ethylheptylbenzene
Unlock Deck
Unlock for access to all 95 flashcards in this deck.
Unlock Deck
k this deck
6
Select the correct name for the following compound. 
A)2-ethyl-4-propylcycloheptene
B)3-ethyl-5-propylcycloheptene
C)6-ethyl-4-propylcycloheptene
D)7-ethyl-5-propylcycloheptene
E)3-ethyl-5-propylcyclohexene

A)2-ethyl-4-propylcycloheptene
B)3-ethyl-5-propylcycloheptene
C)6-ethyl-4-propylcycloheptene
D)7-ethyl-5-propylcycloheptene
E)3-ethyl-5-propylcyclohexene
Unlock Deck
Unlock for access to all 95 flashcards in this deck.
Unlock Deck
k this deck
7
Select the correct name for the following compound. 
A)1,1-dimethyl-1-cylcopentyl-2-pentane
B)1,1-dimethyl-2-hexene-cyclopentane
C)2-cyclopentyl-2-methyl-3-hexene
D)5,5-dimethyl-5-cyclopentyl-3-pentane
E)5,5-dimethyl-5-cyclopentyl-3-pentene

A)1,1-dimethyl-1-cylcopentyl-2-pentane
B)1,1-dimethyl-2-hexene-cyclopentane
C)2-cyclopentyl-2-methyl-3-hexene
D)5,5-dimethyl-5-cyclopentyl-3-pentane
E)5,5-dimethyl-5-cyclopentyl-3-pentene
Unlock Deck
Unlock for access to all 95 flashcards in this deck.
Unlock Deck
k this deck
8
Select the correct name for the following compound. 
A)1-butyl-4-pentyl-3-propylcyclohexene
B)1-butyl-4-pentyl-5-propylcyclohexene
C)2-butyl-5-pentyl-6-propylcyclohexene
D)4-butyl-1-pentyl-2-propylcyclohexene
E)1-butyl-4-pentyl-3-propylbenzene

A)1-butyl-4-pentyl-3-propylcyclohexene
B)1-butyl-4-pentyl-5-propylcyclohexene
C)2-butyl-5-pentyl-6-propylcyclohexene
D)4-butyl-1-pentyl-2-propylcyclohexene
E)1-butyl-4-pentyl-3-propylbenzene
Unlock Deck
Unlock for access to all 95 flashcards in this deck.
Unlock Deck
k this deck
9
Select the correct name for the following compound. 
A)cis-3-ethyl-2,6-dimethyl-6-propyl-4-nonene
B)trans-3-ethyl-2,6-dimethyl-6-propyl-4-nonene
C)cis-7-ethyl-4,8-dimethyl-4-propyl-5-nonene
D)trans-7-ethyl-4,8-dimethyl-4-propyl-5-nonene
E)None of these choices is correct.

A)cis-3-ethyl-2,6-dimethyl-6-propyl-4-nonene
B)trans-3-ethyl-2,6-dimethyl-6-propyl-4-nonene
C)cis-7-ethyl-4,8-dimethyl-4-propyl-5-nonene
D)trans-7-ethyl-4,8-dimethyl-4-propyl-5-nonene
E)None of these choices is correct.
Unlock Deck
Unlock for access to all 95 flashcards in this deck.
Unlock Deck
k this deck
10
Select the correct name for the following compound. 
A)cis-2-methyl-4-heptene
B)trans-2-methyl-4-heptene
C)cis-6-methyl-3-heptene
D)trans-6-methyl-3-heptene
E)cis-2-methyl-3-heptene

A)cis-2-methyl-4-heptene
B)trans-2-methyl-4-heptene
C)cis-6-methyl-3-heptene
D)trans-6-methyl-3-heptene
E)cis-2-methyl-3-heptene
Unlock Deck
Unlock for access to all 95 flashcards in this deck.
Unlock Deck
k this deck
11
Select the correct name for the following compound. 
A)2-ethyl-3-pentene
B)4-ethyl-2-pentene
C)3-methyl-4-hexene
D)4-methyl-2-hexene
E)None of these choices is correct.

A)2-ethyl-3-pentene
B)4-ethyl-2-pentene
C)3-methyl-4-hexene
D)4-methyl-2-hexene
E)None of these choices is correct.
Unlock Deck
Unlock for access to all 95 flashcards in this deck.
Unlock Deck
k this deck
12
Select the correct name for the following compound. 
A)5-butyl-4,4-dimethyl-3-propyl-1-heptene
B)5-ethyl-4-4-dimethyl-3-propyl-1-nonyne
C)5-ethyl-6-6-dimethyl-7-propyl-8-nonyne
D)4,6-diethyl-5-5-dimethyl-4-decyne
E)5-ethyl-4-4-dimethyl-3-propyl-1-nonene

A)5-butyl-4,4-dimethyl-3-propyl-1-heptene
B)5-ethyl-4-4-dimethyl-3-propyl-1-nonyne
C)5-ethyl-6-6-dimethyl-7-propyl-8-nonyne
D)4,6-diethyl-5-5-dimethyl-4-decyne
E)5-ethyl-4-4-dimethyl-3-propyl-1-nonene
Unlock Deck
Unlock for access to all 95 flashcards in this deck.
Unlock Deck
k this deck
13
Select the correct name for the following compound. 
A)cis-2,5-diethyl-6-methyl-3-nonene
B)2,5-diethyl-6-methyl-3-nonene
C)cis-4,6-diethyl-3-methyl-6-nonene
D)4,6-diethyl-3-methyl-6-nonene
E)trans-2,5-diethyl-6-methyl-3-nonene

A)cis-2,5-diethyl-6-methyl-3-nonene
B)2,5-diethyl-6-methyl-3-nonene
C)cis-4,6-diethyl-3-methyl-6-nonene
D)4,6-diethyl-3-methyl-6-nonene
E)trans-2,5-diethyl-6-methyl-3-nonene
Unlock Deck
Unlock for access to all 95 flashcards in this deck.
Unlock Deck
k this deck
14
Select the correct name for the following compound. 
A)cis-2,3-dimethyl-4-hexene
B)trans-2,3-dimethyl-4-hexene
C)cis-4,5-dimethyl-2-hexene
D)trans-4,5-dimethyl-2-hexene
E)trans-4,5-dimethyl-2-heptene

A)cis-2,3-dimethyl-4-hexene
B)trans-2,3-dimethyl-4-hexene
C)cis-4,5-dimethyl-2-hexene
D)trans-4,5-dimethyl-2-hexene
E)trans-4,5-dimethyl-2-heptene
Unlock Deck
Unlock for access to all 95 flashcards in this deck.
Unlock Deck
k this deck
15
Select the correct name for the following compound. 
A)1-ethyl-3-methylcyclohexane
B)1-methyl-5-ethylcyclohexane
C)meta-ethylmethylcyclohexane
D)meta-ethylmethylbenzene
E)3-ethyltoluene

A)1-ethyl-3-methylcyclohexane
B)1-methyl-5-ethylcyclohexane
C)meta-ethylmethylcyclohexane
D)meta-ethylmethylbenzene
E)3-ethyltoluene
Unlock Deck
Unlock for access to all 95 flashcards in this deck.
Unlock Deck
k this deck
16
Select the correct name for the following compound. 
A)1,1-diethyl-3-butyl-3-hexene
B)5-butyl-3-ethyl-5-octene
C)4-butyl-6-ethyl-3-octene
D)3-ethyl-5-propyl-5-nonene
E)4-butyl-6-ethyl-3,4-octene

A)1,1-diethyl-3-butyl-3-hexene
B)5-butyl-3-ethyl-5-octene
C)4-butyl-6-ethyl-3-octene
D)3-ethyl-5-propyl-5-nonene
E)4-butyl-6-ethyl-3,4-octene
Unlock Deck
Unlock for access to all 95 flashcards in this deck.
Unlock Deck
k this deck
17
Select the correct name for the following compound. 
A)4-4-diethyl-2-pentyne
B)2,2-diethyl-3-pentyne
C)2-ethyl-2-methyl-4-hexyne
D)4-ethyl-4-methyl-2-hexyne
E)2-ethyl-2-methyl-4-hexene

A)4-4-diethyl-2-pentyne
B)2,2-diethyl-3-pentyne
C)2-ethyl-2-methyl-4-hexyne
D)4-ethyl-4-methyl-2-hexyne
E)2-ethyl-2-methyl-4-hexene
Unlock Deck
Unlock for access to all 95 flashcards in this deck.
Unlock Deck
k this deck
18
Select the correct name for the following compound. 
A)2,4,5-tripropylheptane
B)6-methyl-3,4-dipropylnonane
C)4-ethyl-5,7-dipropyloctane
D)5-ethyl-2,4-dipropyloctane
E)4-ethyl-7-methyl-5-propyldecane

A)2,4,5-tripropylheptane
B)6-methyl-3,4-dipropylnonane
C)4-ethyl-5,7-dipropyloctane
D)5-ethyl-2,4-dipropyloctane
E)4-ethyl-7-methyl-5-propyldecane
Unlock Deck
Unlock for access to all 95 flashcards in this deck.
Unlock Deck
k this deck
19
Select the correct name for the following compound. 
A)1,2-diethyl-1-methyl-3-propyl-4-isobutylhexane
B)1,6,6-trimethyl-1,2,4-triethyl-3-propylhexane
C)1,1,6-trimethyl-3,5,6-triethyl-4-propylhexane
D)4,6-diethyl-2,7-dimethyl-5-propylnonane
E)3,5-diethyl-1,1,6-trimethyl-4-propyloctane

A)1,2-diethyl-1-methyl-3-propyl-4-isobutylhexane
B)1,6,6-trimethyl-1,2,4-triethyl-3-propylhexane
C)1,1,6-trimethyl-3,5,6-triethyl-4-propylhexane
D)4,6-diethyl-2,7-dimethyl-5-propylnonane
E)3,5-diethyl-1,1,6-trimethyl-4-propyloctane
Unlock Deck
Unlock for access to all 95 flashcards in this deck.
Unlock Deck
k this deck
20
Select the correct name for the following compound. 
A)2-isopropyl-2,3,4-trimethylbutane
B)2-isopropyl-2,3-dimethylpentane
C)2,3,3,4-tetramethylhexane
D)1,1,2,2,3-pentamethylpentane
E)None of these choices is correct.

A)2-isopropyl-2,3,4-trimethylbutane
B)2-isopropyl-2,3-dimethylpentane
C)2,3,3,4-tetramethylhexane
D)1,1,2,2,3-pentamethylpentane
E)None of these choices is correct.
Unlock Deck
Unlock for access to all 95 flashcards in this deck.
Unlock Deck
k this deck
21
Select the correct type for the following reaction. 
A)addition
B)elimination
C)substitution
D)oxidation
E)reduction

A)addition
B)elimination
C)substitution
D)oxidation
E)reduction
Unlock Deck
Unlock for access to all 95 flashcards in this deck.
Unlock Deck
k this deck
22
Vanillin is a flavoring agent which occurs naturally in the vanilla bean,the seed of an orchid.Identify the functional group circled. 
A)aldehyde
B)ketone
C)alcohol
D)carboxylic acid
E)carbonyl

A)aldehyde
B)ketone
C)alcohol
D)carboxylic acid
E)carbonyl
Unlock Deck
Unlock for access to all 95 flashcards in this deck.
Unlock Deck
k this deck
23
Identify the functional group circled. 
A)aldehyde
B)ketone
C)alcohol
D)ester
E)carboxylic acid

A)aldehyde
B)ketone
C)alcohol
D)ester
E)carboxylic acid
Unlock Deck
Unlock for access to all 95 flashcards in this deck.
Unlock Deck
k this deck
24
Select the correct type for the following reaction.
CH3CH2CH2CH2OH + HBr CH3CH2CH2CH2Br + H2O
A)dehydration
B)halogenation
C)addition
D)elimination
E)substitution
CH3CH2CH2CH2OH + HBr CH3CH2CH2CH2Br + H2O
A)dehydration
B)halogenation
C)addition
D)elimination
E)substitution
Unlock Deck
Unlock for access to all 95 flashcards in this deck.
Unlock Deck
k this deck
25
One source of a musky odor in perfumes is civetone,a compound extracted from the scent gland of the civet cat.Identify the functional group circled. 
A)aldehyde
B)ketone
C)alcohol
D)carboxylic acid
E)oxide

A)aldehyde
B)ketone
C)alcohol
D)carboxylic acid
E)oxide
Unlock Deck
Unlock for access to all 95 flashcards in this deck.
Unlock Deck
k this deck
26
Which compound,if any,will be optically active?
A)

B)

C)

D)

E)None of these is optically active.
A)

B)

C)

D)

E)None of these is optically active.
Unlock Deck
Unlock for access to all 95 flashcards in this deck.
Unlock Deck
k this deck
27
Select the correct type for the following reaction. 
A)addition
B)elimination
C)substitution
D)dehydration
E)oxidation

A)addition
B)elimination
C)substitution
D)dehydration
E)oxidation
Unlock Deck
Unlock for access to all 95 flashcards in this deck.
Unlock Deck
k this deck
28
Select the correct name for the following compound. 
A)ortho-butylethylbenzene
B)meta-butylethylbenzene
C)para-butylethylbenzene
D)1-butyl-2-ethylcyclohexene
E)1-butyl-2-ethylcyclohexane

A)ortho-butylethylbenzene
B)meta-butylethylbenzene
C)para-butylethylbenzene
D)1-butyl-2-ethylcyclohexene
E)1-butyl-2-ethylcyclohexane
Unlock Deck
Unlock for access to all 95 flashcards in this deck.
Unlock Deck
k this deck
29
The reaction of bromine with an alkene such as cyclopentene is a good laboratory test for the presence of a double bond in a compound.What type of reaction is it? 
A)addition
B)elimination
C)substitution
D)displacement
E)reduction

A)addition
B)elimination
C)substitution
D)displacement
E)reduction
Unlock Deck
Unlock for access to all 95 flashcards in this deck.
Unlock Deck
k this deck
30
Select the correct name for the following compound. 
A)para-bromochloro-2-ethylbenzene
B)4-bromo-1-chloro-2-ethylbenzene
C)5-bromo-2-chloro-1-ethylbenzene
D)1-bromo-4-chloro-3-ethylcyclohexene
E)4-bromo-1-chloro-2-ethylcyclohexane

A)para-bromochloro-2-ethylbenzene
B)4-bromo-1-chloro-2-ethylbenzene
C)5-bromo-2-chloro-1-ethylbenzene
D)1-bromo-4-chloro-3-ethylcyclohexene
E)4-bromo-1-chloro-2-ethylcyclohexane
Unlock Deck
Unlock for access to all 95 flashcards in this deck.
Unlock Deck
k this deck
31
Select the correct name for the following compound. 
A)ortho-dibromobenzene
B)meta-dibromobenzene
C)para-dibromobenzene
D)1,4-dibromocyclohexene
E)1,4-dibromocyclohexane

A)ortho-dibromobenzene
B)meta-dibromobenzene
C)para-dibromobenzene
D)1,4-dibromocyclohexene
E)1,4-dibromocyclohexane
Unlock Deck
Unlock for access to all 95 flashcards in this deck.
Unlock Deck
k this deck
32
Select the correct name for the following compound. 
A)2,5-dimethyl-3-octyne-6-cyclobutane
B)4-cyclobutyl-1-isopropyl-3-methyl-1-hexyne
C)3-cyclobutyl-4,7-dimethyl-5-octyne
D)6-cyclobutyl-2,5-dimethyl-3-octyne
E)3-cyclobutyl-4,7-dimethyl-5-octene

A)2,5-dimethyl-3-octyne-6-cyclobutane
B)4-cyclobutyl-1-isopropyl-3-methyl-1-hexyne
C)3-cyclobutyl-4,7-dimethyl-5-octyne
D)6-cyclobutyl-2,5-dimethyl-3-octyne
E)3-cyclobutyl-4,7-dimethyl-5-octene
Unlock Deck
Unlock for access to all 95 flashcards in this deck.
Unlock Deck
k this deck
33
Select the correct name for the following compound. 
A)meta-chloroethylcyclohexene
B)1-chloro-5-ethylcyclohexene
C)meta-chloroethylbenzene
D)1-chloro-5-ethylbenzene
E)1-chloro-3-ethylcyclohexane

A)meta-chloroethylcyclohexene
B)1-chloro-5-ethylcyclohexene
C)meta-chloroethylbenzene
D)1-chloro-5-ethylbenzene
E)1-chloro-3-ethylcyclohexane
Unlock Deck
Unlock for access to all 95 flashcards in this deck.
Unlock Deck
k this deck
34
Select the correct name for the following compound. 
A)3,4-diethyl-4-methyl-2-butanol
B)2,3-diethyl-4-pentanol
C)3,4-diethyl-2-pentanol
D)3-ethyl-4-methyl-2-hexanol
E)3-ethyl-4-methyl-2-hexanal

A)3,4-diethyl-4-methyl-2-butanol
B)2,3-diethyl-4-pentanol
C)3,4-diethyl-2-pentanol
D)3-ethyl-4-methyl-2-hexanol
E)3-ethyl-4-methyl-2-hexanal
Unlock Deck
Unlock for access to all 95 flashcards in this deck.
Unlock Deck
k this deck
35
Select the correct name for the following compound. 
A)1-chloro-2-ethyl-3-propylcyclohexane
B)1-chloro-2-ethyl-3-propylcyclohexene
C)1-chloro-ortho-ethylpropylbenzene
D)1-chloro-meta-ethylpropylbenzene
E)1-chloro-2-ethyl-3-propylbenzene

A)1-chloro-2-ethyl-3-propylcyclohexane
B)1-chloro-2-ethyl-3-propylcyclohexene
C)1-chloro-ortho-ethylpropylbenzene
D)1-chloro-meta-ethylpropylbenzene
E)1-chloro-2-ethyl-3-propylbenzene
Unlock Deck
Unlock for access to all 95 flashcards in this deck.
Unlock Deck
k this deck
36
Select the correct type for the following reaction. 
A)addition
B)elimination
C)substitution
D)oxidation
E)dehydrogenation

A)addition
B)elimination
C)substitution
D)oxidation
E)dehydrogenation
Unlock Deck
Unlock for access to all 95 flashcards in this deck.
Unlock Deck
k this deck
37
Select the correct name for the following compound. 
A)3-ethyl-2,3-dimethyl-1-propanol
B)2,3,4-trimethyl-1-butanol
C)2,3-dimethyl-1-pentanol
D)3,4-dimethyl-5-pentanol
E)2,3-dimethyl-1-pentanal

A)3-ethyl-2,3-dimethyl-1-propanol
B)2,3,4-trimethyl-1-butanol
C)2,3-dimethyl-1-pentanol
D)3,4-dimethyl-5-pentanol
E)2,3-dimethyl-1-pentanal
Unlock Deck
Unlock for access to all 95 flashcards in this deck.
Unlock Deck
k this deck
38
Benzene will react with chloromethane in the presence of a catalyst to produce toluene and hydrogen chloride.Select the correct reaction type for the process. 
A)addition
B)elimination
C)substitution
D)oxidation
E)reduction

A)addition
B)elimination
C)substitution
D)oxidation
E)reduction
Unlock Deck
Unlock for access to all 95 flashcards in this deck.
Unlock Deck
k this deck
39
Which compound,if any,will not be optically active? 
A)a
B)b
C)c
D)d
E)They are all optically active.

A)a
B)b
C)c
D)d
E)They are all optically active.
Unlock Deck
Unlock for access to all 95 flashcards in this deck.
Unlock Deck
k this deck
40
Select the correct reaction type for the following process. 
A)addition
B)elimination
C)substitution
D)oxidation
E)reduction

A)addition
B)elimination
C)substitution
D)oxidation
E)reduction
Unlock Deck
Unlock for access to all 95 flashcards in this deck.
Unlock Deck
k this deck
41
Identify the organic product when cyclohexanol reacts with excess potassium dichromate in the presence of sulfuric acid.(Hint: this is an oxidation reaction. ) 
A)a
B)b
C)c
D)d

A)a
B)b
C)c
D)d
Unlock Deck
Unlock for access to all 95 flashcards in this deck.
Unlock Deck
k this deck
42
Acetominophen is a widely used and an effective pain reliever.Identify the functional group circled. 
A)aldehyde
B)alcohol
C)amide
D)amine
E)carbonyl

A)aldehyde
B)alcohol
C)amide
D)amine
E)carbonyl
Unlock Deck
Unlock for access to all 95 flashcards in this deck.
Unlock Deck
k this deck
43
Benzocaine is from a family of chemicals that are good local anesthetics.Identify the functional group circled. 
A)aldehyde
B)ketone
C)ester
D)carboxylic acid
E)carbonyl

A)aldehyde
B)ketone
C)ester
D)carboxylic acid
E)carbonyl
Unlock Deck
Unlock for access to all 95 flashcards in this deck.
Unlock Deck
k this deck
44
Urea carries waste nitrogen from the body in urine.Identify the functional group circled. 
A)aldehyde
B)alcohol
C)carboxyl
D)amine
E)amide

A)aldehyde
B)alcohol
C)carboxyl
D)amine
E)amide
Unlock Deck
Unlock for access to all 95 flashcards in this deck.
Unlock Deck
k this deck
45
The millipede ejects the compound shown below to protect itself from its enemies.Identify the functional group circled. 
A)nitrile
B)alcohol
C)amide
D)amine
E)nitro

A)nitrile
B)alcohol
C)amide
D)amine
E)nitro
Unlock Deck
Unlock for access to all 95 flashcards in this deck.
Unlock Deck
k this deck
46
Identify the products of the following reaction. 
A)a
B)b
C)c
D)d
E)None of these pairs of compounds are formed in the reaction.

A)a
B)b
C)c
D)d
E)None of these pairs of compounds are formed in the reaction.
Unlock Deck
Unlock for access to all 95 flashcards in this deck.
Unlock Deck
k this deck
47
Identify the principal organic product when benzyl chloride reacts with aqueous sodium hydroxide. 
A)a
B)b
C)c
D)d
E)None of these choices is correct.

A)a
B)b
C)c
D)d
E)None of these choices is correct.
Unlock Deck
Unlock for access to all 95 flashcards in this deck.
Unlock Deck
k this deck
48
Enflurane is an effective gaseous anesthetic with relatively low flammability.Identify the functional group circled. 
A)aldehyde
B)ketone
C)ester
D)ether
E)alcohol

A)aldehyde
B)ketone
C)ester
D)ether
E)alcohol
Unlock Deck
Unlock for access to all 95 flashcards in this deck.
Unlock Deck
k this deck
49
Testosterone is a male hormone.Identify the functional group circled. 
A)aldehyde
B)ketone
C)alcohol
D)ester
E)carboxyl

A)aldehyde
B)ketone
C)alcohol
D)ester
E)carboxyl
Unlock Deck
Unlock for access to all 95 flashcards in this deck.
Unlock Deck
k this deck
50
Aspirin is an effective and widely used pain reliever.Identify the functional group circled. 
A)aldehyde
B)ketone
C)ester
D)carboxylic acid
E)carbonyl

A)aldehyde
B)ketone
C)ester
D)carboxylic acid
E)carbonyl
Unlock Deck
Unlock for access to all 95 flashcards in this deck.
Unlock Deck
k this deck
51
Anethole,a derivative of anise,is used in flavoring and as perfume in soap and toothpaste.Identify the functional group circled. 
A)aldehyde
B)ketone
C)alcohol
D)ester
E)ether

A)aldehyde
B)ketone
C)alcohol
D)ester
E)ether
Unlock Deck
Unlock for access to all 95 flashcards in this deck.
Unlock Deck
k this deck
52
Glycerin is used in cosmetics as a moisturizer.Identify the functional group circled. 
A)carboxylic acid
B)alcohol
C)ester
D)ether
E)aldehyde

A)carboxylic acid
B)alcohol
C)ester
D)ether
E)aldehyde
Unlock Deck
Unlock for access to all 95 flashcards in this deck.
Unlock Deck
k this deck
53
Identify the products of the reaction between 2-bromopentane and potassium ethoxide. 
A)a
B)b
C)c
D)d
E)None of these choices are the major products of the reaction.

A)a
B)b
C)c
D)d
E)None of these choices are the major products of the reaction.
Unlock Deck
Unlock for access to all 95 flashcards in this deck.
Unlock Deck
k this deck
54
Identify the organic product when 3-cylcobutyl-1-propanol reacts with excess potassium dichromate in sulfuric acid.(Hint: this is an oxidation reaction. ) 
A)a
B)b
C)c
D)d
E)None of these choices is a major product of the reaction.

A)a
B)b
C)c
D)d
E)None of these choices is a major product of the reaction.
Unlock Deck
Unlock for access to all 95 flashcards in this deck.
Unlock Deck
k this deck
55
The compound shown below is responsible for the odor in rancid butter.Identify the functional group circled. 
A)aldehyde
B)ketone
C)alcohol
D)carboxylic acid
E)carbonyl

A)aldehyde
B)ketone
C)alcohol
D)carboxylic acid
E)carbonyl
Unlock Deck
Unlock for access to all 95 flashcards in this deck.
Unlock Deck
k this deck
56
Serotonin transmits nerve impulses through the body.Identify the functional group circled. 
A)aldehyde
B)alcohol
C)amide
D)amine
E)nitride

A)aldehyde
B)alcohol
C)amide
D)amine
E)nitride
Unlock Deck
Unlock for access to all 95 flashcards in this deck.
Unlock Deck
k this deck
57
Putrescine is produced during the decay and protein breakdown of meats and is responsible for some of the odor found in them.Identify the functional group circled. 
A)aldehyde
B)ketone
C)amide
D)nitrile
E)amine

A)aldehyde
B)ketone
C)amide
D)nitrile
E)amine
Unlock Deck
Unlock for access to all 95 flashcards in this deck.
Unlock Deck
k this deck
58
Amygdalin (Laetrile)was once touted for its potential anticancer activity.However,the claims were never scientifically verified.Identify the functional group circled. 
A)carbonite
B)ether
C)amide
D)amine
E)nitrile

A)carbonite
B)ether
C)amide
D)amine
E)nitrile
Unlock Deck
Unlock for access to all 95 flashcards in this deck.
Unlock Deck
k this deck
59
Identify the two principal products of the reaction between ammonia and ethyl propionate. 
A)a
B)b
C)c
D)d
E)None of these choices is a major product of the reaction.

A)a
B)b
C)c
D)d
E)None of these choices is a major product of the reaction.
Unlock Deck
Unlock for access to all 95 flashcards in this deck.
Unlock Deck
k this deck
60
Glucose is an important sugar in a person's metabolic cycle.Identify the functional group circled. 
A)aldehyde
B)ketone
C)alcohol
D)ester
E)carboxylic acid

A)aldehyde
B)ketone
C)alcohol
D)ester
E)carboxylic acid
Unlock Deck
Unlock for access to all 95 flashcards in this deck.
Unlock Deck
k this deck
61
The most abundant organic chemical on earth is
A)glycogen.
B)starch.
C)cellulose.
D)glucose.
E)carbonate.
A)glycogen.
B)starch.
C)cellulose.
D)glucose.
E)carbonate.
Unlock Deck
Unlock for access to all 95 flashcards in this deck.
Unlock Deck
k this deck
62
Name the compounds: 

Unlock Deck
Unlock for access to all 95 flashcards in this deck.
Unlock Deck
k this deck
63
In one sentence,what is the general requirement for a molecule to be optically active?
Unlock Deck
Unlock for access to all 95 flashcards in this deck.
Unlock Deck
k this deck
64
Describe and contrast fibrous and globular proteins in terms of their amino acid composition,their structure and their function.
Unlock Deck
Unlock for access to all 95 flashcards in this deck.
Unlock Deck
k this deck
65
Name each of the following functional groups: 

Unlock Deck
Unlock for access to all 95 flashcards in this deck.
Unlock Deck
k this deck
66
The protein amino acid sequence,the RNA base sequence,and the DNA base sequence are interrelated.Which of the following descriptions is correct?
A)The RNA base sequence determines the DNA base sequence which,in turn,determines the protein amino acid sequence.
B)The DNA base sequence determines the RNA base sequence which,in turn,determines the protein amino acid sequence.
C)The DNA base sequence determines the protein amino acid sequence which,in turn,determines the RNA base sequence.
D)The RNA base sequence determines the protein amino acid sequence which,in turn,determines the DNA base sequence.
E)None of these statements is correct.
A)The RNA base sequence determines the DNA base sequence which,in turn,determines the protein amino acid sequence.
B)The DNA base sequence determines the RNA base sequence which,in turn,determines the protein amino acid sequence.
C)The DNA base sequence determines the protein amino acid sequence which,in turn,determines the RNA base sequence.
D)The RNA base sequence determines the protein amino acid sequence which,in turn,determines the DNA base sequence.
E)None of these statements is correct.
Unlock Deck
Unlock for access to all 95 flashcards in this deck.
Unlock Deck
k this deck
67
Helical and sheet-like segments in proteins arise from
A)disulfide bridges.
B)salt bridges.
C)crosslinking via covalent bonds.
D)dispersion forces within the protein's interior.
E)hydrogen bonding.
A)disulfide bridges.
B)salt bridges.
C)crosslinking via covalent bonds.
D)dispersion forces within the protein's interior.
E)hydrogen bonding.
Unlock Deck
Unlock for access to all 95 flashcards in this deck.
Unlock Deck
k this deck
68
Which of the following polymers is a condensation polymer?
A)polystyrene
B)Teflon®
C)polyvinylchloride
D)polypropylene
E)Dacron®
A)polystyrene
B)Teflon®
C)polyvinylchloride
D)polypropylene
E)Dacron®
Unlock Deck
Unlock for access to all 95 flashcards in this deck.
Unlock Deck
k this deck
69
One characteristic of the monomers that form condensation polymers that is not common in monomers which form addition polymers is
A)the presence of pi bonds.
B)the presence of two functional groups.
C)the presence of alkyl side chains.
D)the ability to form free radicals.
E)the presence of sulfur atoms.
A)the presence of pi bonds.
B)the presence of two functional groups.
C)the presence of alkyl side chains.
D)the ability to form free radicals.
E)the presence of sulfur atoms.
Unlock Deck
Unlock for access to all 95 flashcards in this deck.
Unlock Deck
k this deck
70
Draw and name two non-alkenes with the formula C4H8.
Unlock Deck
Unlock for access to all 95 flashcards in this deck.
Unlock Deck
k this deck
71
Draw the structure of trans-5-methyl-3-heptene.
Unlock Deck
Unlock for access to all 95 flashcards in this deck.
Unlock Deck
k this deck
72
What is the simplest molecular formula for
a.an alkane capable of having structural isomers?
b.an alkane capable of having optical isomers?
c.an alkene capable of having geometrical isomers?
a.an alkane capable of having structural isomers?
b.an alkane capable of having optical isomers?
c.an alkene capable of having geometrical isomers?
Unlock Deck
Unlock for access to all 95 flashcards in this deck.
Unlock Deck
k this deck
73
Draw and name four alkenes with the formula C4H8.
Unlock Deck
Unlock for access to all 95 flashcards in this deck.
Unlock Deck
k this deck
74
a.Draw two different structures with the molecular formula C2H6O.
b.Name the functional group in each structure.
c.Which one will have the higher boiling point,and why?
b.Name the functional group in each structure.
c.Which one will have the higher boiling point,and why?
Unlock Deck
Unlock for access to all 95 flashcards in this deck.
Unlock Deck
k this deck
75
Identify the organic product for the reaction of 2-pentanol with sulfuric acid. 
A)a
B)b
C)c
D)d
E)None of these choices is a major product of the reaction.

A)a
B)b
C)c
D)d
E)None of these choices is a major product of the reaction.
Unlock Deck
Unlock for access to all 95 flashcards in this deck.
Unlock Deck
k this deck
76
Draw and name all stable molecules with the formula C5H12.
Unlock Deck
Unlock for access to all 95 flashcards in this deck.
Unlock Deck
k this deck
77
Each amino acid has two functional groups in common and one of 20 other groups attached to the -carbon.The two functional groups are
A)carboxyl and amine.
B)ester and amine.
C)carboxyl and amide.
D)alcohol and amine.
E)carboxyl and peptide.
A)carboxyl and amine.
B)ester and amine.
C)carboxyl and amide.
D)alcohol and amine.
E)carboxyl and peptide.
Unlock Deck
Unlock for access to all 95 flashcards in this deck.
Unlock Deck
k this deck
78
Name the compound with the molecular structure shown. 

Unlock Deck
Unlock for access to all 95 flashcards in this deck.
Unlock Deck
k this deck
79
Identify the organic product when cyclopentanol reacts with sulfuric acid. 
A)a
B)b
C)c
D)d
E)None of these choices is a major product of the reaction.

A)a
B)b
C)c
D)d
E)None of these choices is a major product of the reaction.
Unlock Deck
Unlock for access to all 95 flashcards in this deck.
Unlock Deck
k this deck
80
Name the three component parts of a nucleotide.
Unlock Deck
Unlock for access to all 95 flashcards in this deck.
Unlock Deck
k this deck

