Deck 5: Network Design in the Supply Chain
Question
Question
Question
Question
Question
Question
Question
Question
Question
Question
Question
Question
Question
Question
Question
Question
Question
Question
Question
Question
Question
Question
Question
Question
Question
Question
Question
Question
Question
Question
Question
Question
Question
Question
Question
Question
Question
Question
Question
Question
Question
Question
Question
Question
Question
Question
Question
Question
Question
Question
Question
Question
Question
Question
Question
Question
Question
Question
Question
Question
Question
Question
Question
Question
Question
Question
Question
Question
Question
Question
Question
Question
Question
Question
Question
Question
Question
Question
Question
Question
Unlock Deck
Sign up to unlock the cards in this deck!
Unlock Deck
Unlock Deck
1/87
Play
Full screen (f)
Deck 5: Network Design in the Supply Chain
1
Decisions concerning the role of each facility are significant because they determine the amount of rigidity the supply chain has in changing the way it meets demand.
False
2
Decisions concerning the role of each facility are significant because they determine the amount of flexibility the supply chain has in changing the way it meets demand.
True
3
If the technology is flexible,it becomes more difficult to consolidate manufacturing in a few large facilities.
False
4
Inventory and facility costs increase as the number of facilities in a supply chain increase.
Unlock Deck
Unlock for access to all 87 flashcards in this deck.
Unlock Deck
k this deck
5
The supply chain network is designed to maximize total profits,taking into account the expected margin and demand in each market,various logistics and facility costs,and the taxes and tariffs at each location.
Unlock Deck
Unlock for access to all 87 flashcards in this deck.
Unlock Deck
k this deck
6
Network design decisions have a significant impact on performance because they determine the supply chain configuration and set constraints within which inventory,transportation,and information can be used to either decrease supply chain cost or increase responsiveness.
Unlock Deck
Unlock for access to all 87 flashcards in this deck.
Unlock Deck
k this deck
7
When faced with a network design decision,the goal of a manager is to design a network that minimizes the firm's costs while satisfying customer needs in terms of demand and responsiveness.
Unlock Deck
Unlock for access to all 87 flashcards in this deck.
Unlock Deck
k this deck
8
When designing supply chain networks,companies must build appropriate flexibility to help counter fluctuations in exchange rates and demand across different countries.
Unlock Deck
Unlock for access to all 87 flashcards in this deck.
Unlock Deck
k this deck
9
The allocation of supply sources and markets to facilities has a significant impact on performance because it affects total production,inventory,and transportation costs incurred by the supply chain to satisfy customer demand.
Unlock Deck
Unlock for access to all 87 flashcards in this deck.
Unlock Deck
k this deck
10
If facilities have lower fixed costs,many local facilities are preferred because this helps lower transportation costs.
Unlock Deck
Unlock for access to all 87 flashcards in this deck.
Unlock Deck
k this deck
11
Capacity allocation decisions have a significant impact on supply chain performance because they tend to stay in place for several years.
Unlock Deck
Unlock for access to all 87 flashcards in this deck.
Unlock Deck
k this deck
12
Firms focusing on cost leadership tend to find the lowest cost location for their manufacturing facilities,but only if that means locating very far from the markets they serve.
Unlock Deck
Unlock for access to all 87 flashcards in this deck.
Unlock Deck
k this deck
13
A firm may increase the number of facilities beyond the point that minimizes total logistics cost to improve the response time to its customers.
Unlock Deck
Unlock for access to all 87 flashcards in this deck.
Unlock Deck
k this deck
14
Supply chain network design decisions include the location of manufacturing,storage,or transportation-related facilities and the allocation of capacity and roles to each facility.
Unlock Deck
Unlock for access to all 87 flashcards in this deck.
Unlock Deck
k this deck
15
If production technology displays significant economies of scale,many local locations are the most effective.
Unlock Deck
Unlock for access to all 87 flashcards in this deck.
Unlock Deck
k this deck
16
Facility location decisions have a long-term impact on a supply chain's performance because it is easy to shut down a facility or move it to a different location.
Unlock Deck
Unlock for access to all 87 flashcards in this deck.
Unlock Deck
k this deck
17
High tariffs lead to more production locations within a supply chain network,with each location having a lower allocated capacity.
Unlock Deck
Unlock for access to all 87 flashcards in this deck.
Unlock Deck
k this deck
18
Network design decisions have a significant impact on performance because they determine the supply chain configuration and set constraints within which the other supply chain drivers can be used either to decrease supply chain cost or to increase responsiveness.
Unlock Deck
Unlock for access to all 87 flashcards in this deck.
Unlock Deck
k this deck
19
If facilities have higher fixed costs,many local facilities are preferred because this helps lower transportation costs.
Unlock Deck
Unlock for access to all 87 flashcards in this deck.
Unlock Deck
k this deck
20
Transportation costs increase as the number of facilities is increased.
Unlock Deck
Unlock for access to all 87 flashcards in this deck.
Unlock Deck
k this deck
21
Decisions concerning the role of each facility are significant because
A)they determine the amount of flexibility the supply chain has in demanding change.
B)they determine the amount of flexibility the supply chain has in changing the way it meets demand.
C)they determine the amount of capacity the supply chain has in changing the way it meets demand.
D)they determine the amount of inventory the supply chain has in demanding change.
A)they determine the amount of flexibility the supply chain has in demanding change.
B)they determine the amount of flexibility the supply chain has in changing the way it meets demand.
C)they determine the amount of capacity the supply chain has in changing the way it meets demand.
D)they determine the amount of inventory the supply chain has in demanding change.
Unlock Deck
Unlock for access to all 87 flashcards in this deck.
Unlock Deck
k this deck
22
Supply chain network design decisions include
A)only the location of manufacturing,storage,or transportation-related facilities.
B)only the allocation of capacity and roles to each facility.
C)both the location of manufacturing,storage,or transportation-related facilities and the allocation of capacity and roles to each facility.
D)neither the location of manufacturing,storage,or transportation-related facilities nor the allocation of capacity and roles to each facility.
A)only the location of manufacturing,storage,or transportation-related facilities.
B)only the allocation of capacity and roles to each facility.
C)both the location of manufacturing,storage,or transportation-related facilities and the allocation of capacity and roles to each facility.
D)neither the location of manufacturing,storage,or transportation-related facilities nor the allocation of capacity and roles to each facility.
Unlock Deck
Unlock for access to all 87 flashcards in this deck.
Unlock Deck
k this deck
23
Firms that must split the market do so
A)by locating closest to the customer.
B)when one has a clear price advantage.
C)by holding both a price and a distance advantage over their competitor.
D)by holding neither a price nor a distance advantage over their competitor.
A)by locating closest to the customer.
B)when one has a clear price advantage.
C)by holding both a price and a distance advantage over their competitor.
D)by holding neither a price nor a distance advantage over their competitor.
Unlock Deck
Unlock for access to all 87 flashcards in this deck.
Unlock Deck
k this deck
24
Customer order entry is
A)the point in time when the customer has access to choices and makes a decision regarding a purchase.
B)the customer informing the retailer of what they want to purchase and the retailer allocating product to the customer.
C)the process where product is prepared and sent to the customer.
D)the process where the customer receives the product and takes ownership.
A)the point in time when the customer has access to choices and makes a decision regarding a purchase.
B)the customer informing the retailer of what they want to purchase and the retailer allocating product to the customer.
C)the process where product is prepared and sent to the customer.
D)the process where the customer receives the product and takes ownership.
Unlock Deck
Unlock for access to all 87 flashcards in this deck.
Unlock Deck
k this deck
25
The allocation of supply sources and markets to facilities should be reconsidered on a regular basis so that
A)the allocation can be held constant as market conditions or plant capacities expand.
B)the allocation can be changed as market conditions or plant capacities stagnate.
C)the allocation can be held constant as market conditions or plant capacities change.
D)the allocation can be changed as market conditions or plant capacities change.
A)the allocation can be held constant as market conditions or plant capacities expand.
B)the allocation can be changed as market conditions or plant capacities stagnate.
C)the allocation can be held constant as market conditions or plant capacities change.
D)the allocation can be changed as market conditions or plant capacities change.
Unlock Deck
Unlock for access to all 87 flashcards in this deck.
Unlock Deck
k this deck
26
Firms focusing on cost leadership tend to
A)locate facilities close to the market they serve.
B)locate facilities very far from the market they serve.
C)find the lowest cost location for their manufacturing facilities.
D)select a high-cost location to be able to react quickly.
A)locate facilities close to the market they serve.
B)locate facilities very far from the market they serve.
C)find the lowest cost location for their manufacturing facilities.
D)select a high-cost location to be able to react quickly.
Unlock Deck
Unlock for access to all 87 flashcards in this deck.
Unlock Deck
k this deck
27
Supply chain network design decisions classified as capacity allocation are concerned with
A)what processes are performed at each facility.
B)where facilities should be located.
C)how much capacity should be allocated to each facility.
D)what markets each facility should serve and which supply sources should feed each facility.
A)what processes are performed at each facility.
B)where facilities should be located.
C)how much capacity should be allocated to each facility.
D)what markets each facility should serve and which supply sources should feed each facility.
Unlock Deck
Unlock for access to all 87 flashcards in this deck.
Unlock Deck
k this deck
28
Supply chain network design decisions classified as facility role are concerned with
A)what processes are performed at each facility.
B)where facilities should be located.
C)how much capacity should be allocated to each facility.
D)what markets each facility should serve and which supply sources should feed each facility.
A)what processes are performed at each facility.
B)where facilities should be located.
C)how much capacity should be allocated to each facility.
D)what markets each facility should serve and which supply sources should feed each facility.
Unlock Deck
Unlock for access to all 87 flashcards in this deck.
Unlock Deck
k this deck
29
If no positive externalities exist,then
A)a company will avoid making a location decision.
B)a competitor's presence will help spur the development of critical infrastructure.
C)a company will locate near its competitors.
D)a company will locate to capture the largest possible share of the market.
A)a company will avoid making a location decision.
B)a competitor's presence will help spur the development of critical infrastructure.
C)a company will locate near its competitors.
D)a company will locate to capture the largest possible share of the market.
Unlock Deck
Unlock for access to all 87 flashcards in this deck.
Unlock Deck
k this deck
30
Supply chain network design decisions classified as market and supply allocation are concerned with
A)what processes are performed at each facility.
B)where facilities should be located.
C)how much capacity should be allocated to each facility.
D)what markets each facility should serve and which supply sources should feed each facility.
A)what processes are performed at each facility.
B)where facilities should be located.
C)how much capacity should be allocated to each facility.
D)what markets each facility should serve and which supply sources should feed each facility.
Unlock Deck
Unlock for access to all 87 flashcards in this deck.
Unlock Deck
k this deck
31
Capacity allocation decisions have a significant impact on supply chain performance because
A)capacity decisions tend to be permanent.
B)capacity decisions tend to be changed frequently.
C)capacity decisions do not tend to stay in place for several years.
D)capacity decisions tend to stay in place for several years.
A)capacity decisions tend to be permanent.
B)capacity decisions tend to be changed frequently.
C)capacity decisions do not tend to stay in place for several years.
D)capacity decisions tend to stay in place for several years.
Unlock Deck
Unlock for access to all 87 flashcards in this deck.
Unlock Deck
k this deck
32
Allocating too much capacity to a location results in
A)poor utilization,and as a result,higher costs.
B)high utilization,and as a result,higher costs.
C)poor utilization,and as a result,lower costs.
D)high utilization,and as a result,lower costs.
A)poor utilization,and as a result,higher costs.
B)high utilization,and as a result,higher costs.
C)poor utilization,and as a result,lower costs.
D)high utilization,and as a result,lower costs.
Unlock Deck
Unlock for access to all 87 flashcards in this deck.
Unlock Deck
k this deck
33
Positive externalities cause
A)a supplier to locate close to needed raw materials.
B)a customer to locate close to a highway.
C)a company to locate near its competitors.
D)a company to make a political contribution.
A)a supplier to locate close to needed raw materials.
B)a customer to locate close to a highway.
C)a company to locate near its competitors.
D)a company to make a political contribution.
Unlock Deck
Unlock for access to all 87 flashcards in this deck.
Unlock Deck
k this deck
34
Network design decisions have a significant impact on performance because they
A)determine the customer demand.
B)determine the supply chain conflagration.
C)set constraints within which inventory,transportation,and information can be used to either decrease supply chain cost or increase responsiveness.
D)set constraints within which inventory,transportation,and information can be used to either increase supply chain cost or decrease responsiveness.
A)determine the customer demand.
B)determine the supply chain conflagration.
C)set constraints within which inventory,transportation,and information can be used to either decrease supply chain cost or increase responsiveness.
D)set constraints within which inventory,transportation,and information can be used to either increase supply chain cost or decrease responsiveness.
Unlock Deck
Unlock for access to all 87 flashcards in this deck.
Unlock Deck
k this deck
35
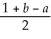
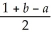
Assume that total demand in a market is 1 and that customers are uniformly spread across the line segment from 0 to 1.There are only two companies in the market and there is no cost or service advantage held be either Firm 1 or Firm 2.Firm 1 locates at point a,and Firm 2 locates at point 1-b as shown in the figure.A customer chooses one firm or the other solely on the basis of distance travelled.

The demand at Firm 1 is given by
A)a +
B)a +
C)a -
D)a -

The demand at Firm 1 is given by
A)a +

B)a +

C)a -

D)a -

Unlock Deck
Unlock for access to all 87 flashcards in this deck.
Unlock Deck
k this deck
36
Supply chain network design decisions classified as facility location are concerned with
A)what processes are performed at each facility.
B)where facilities should be located.
C)how much capacity should be allocated to each facility.
D)what markets each facility should serve and which supply sources should feed each facility.
A)what processes are performed at each facility.
B)where facilities should be located.
C)how much capacity should be allocated to each facility.
D)what markets each facility should serve and which supply sources should feed each facility.
Unlock Deck
Unlock for access to all 87 flashcards in this deck.
Unlock Deck
k this deck
37
Firms focusing on responsiveness tend to
A)locate facilities close to the market they serve.
B)locate facilities very far from the market they serve.
C)find the lowest cost location for their manufacturing facilities.
D)select a high-cost location to be able to react slowly.
A)locate facilities close to the market they serve.
B)locate facilities very far from the market they serve.
C)find the lowest cost location for their manufacturing facilities.
D)select a high-cost location to be able to react slowly.
Unlock Deck
Unlock for access to all 87 flashcards in this deck.
Unlock Deck
k this deck
38
The allocation of supply sources and markets to facilities has a significant impact on performance because
A)it cannot affect total production,inventory,and transportation costs incurred by the supply chain to satisfy customer demand.
B)it cannot affect customer demand.
C)it affects total production,inventory,and transportation costs incurred by the supply chain to satisfy customer demand.
D)it cannot satisfy customer demand.
A)it cannot affect total production,inventory,and transportation costs incurred by the supply chain to satisfy customer demand.
B)it cannot affect customer demand.
C)it affects total production,inventory,and transportation costs incurred by the supply chain to satisfy customer demand.
D)it cannot satisfy customer demand.
Unlock Deck
Unlock for access to all 87 flashcards in this deck.
Unlock Deck
k this deck
39
Facility location decisions have a long-term impact on a supply chain's performance because
A)it is very expensive to shut down a facility or move it to a different location.
B)it is not expensive to shut down a facility or move it to a different location.
C)it is advisable to shut down a facility or move it to a different location.
D)it is cost effective to shut down a facility or move it to a different location.
A)it is very expensive to shut down a facility or move it to a different location.
B)it is not expensive to shut down a facility or move it to a different location.
C)it is advisable to shut down a facility or move it to a different location.
D)it is cost effective to shut down a facility or move it to a different location.
Unlock Deck
Unlock for access to all 87 flashcards in this deck.
Unlock Deck
k this deck
40
Allocating too little capacity results in
A)good responsiveness if demand is not satisfied or low cost if demand is filled from a distant facility.
B)good responsiveness if demand is not satisfied or high cost if demand is filled from a distant facility.
C)poor responsiveness if demand is not satisfied or low cost if demand is filled from a distant facility.
D)poor responsiveness if demand is not satisfied or high cost if demand is filled from a distant facility.
A)good responsiveness if demand is not satisfied or low cost if demand is filled from a distant facility.
B)good responsiveness if demand is not satisfied or high cost if demand is filled from a distant facility.
C)poor responsiveness if demand is not satisfied or low cost if demand is filled from a distant facility.
D)poor responsiveness if demand is not satisfied or high cost if demand is filled from a distant facility.
Unlock Deck
Unlock for access to all 87 flashcards in this deck.
Unlock Deck
k this deck
41
Building some over-capacity in the supply chain network and making the capacity flexible allows a firm to alter production flows within the supply chain to
A)produce less in facilities that have a lower cost based on current exchange rates.
B)produce more in facilities that have a lower cost based on current exchange rates.
C)produce more in facilities that have a higher cost based on current exchange rates.
D)produce less in facilities that have the same cost based on current exchange rates.
A)produce less in facilities that have a lower cost based on current exchange rates.
B)produce more in facilities that have a lower cost based on current exchange rates.
C)produce more in facilities that have a higher cost based on current exchange rates.
D)produce less in facilities that have the same cost based on current exchange rates.
Unlock Deck
Unlock for access to all 87 flashcards in this deck.
Unlock Deck
k this deck
42
When faced with a network design decision,the goal of a manager is to design a network that
A)maximizes the firm's profits.
B)minimizes the firm's costs.
C)satisfies customer needs in terms of demand and responsiveness.
D)maximizes the firm's profits while satisfying customer needs in terms of demand and responsiveness.
A)maximizes the firm's profits.
B)minimizes the firm's costs.
C)satisfies customer needs in terms of demand and responsiveness.
D)maximizes the firm's profits while satisfying customer needs in terms of demand and responsiveness.
Unlock Deck
Unlock for access to all 87 flashcards in this deck.
Unlock Deck
k this deck
43
The quality of life at selected facility locations has a significant impact on performance because
A)network designers can use this fact to influence the role of the new facility and the focus of people working there.
B)facilities last a long time and have an enduring impact on a firm's performance.
C)the location of a facility has a significant impact on the extent and form of communication that develops in the supply chain network.
D)it influences the work force available and their morale.
A)network designers can use this fact to influence the role of the new facility and the focus of people working there.
B)facilities last a long time and have an enduring impact on a firm's performance.
C)the location of a facility has a significant impact on the extent and form of communication that develops in the supply chain network.
D)it influences the work force available and their morale.
Unlock Deck
Unlock for access to all 87 flashcards in this deck.
Unlock Deck
k this deck
44
Available infrastructure,skill needs and response time mostly affect which of the four Global Network Design Decisions?
A)Phase I - Supply Chain Strategy
B)Phase II - Regional Facility Configuration
C)Phase III - Desirable Sites
D)Phase IV - Location Choices
A)Phase I - Supply Chain Strategy
B)Phase II - Regional Facility Configuration
C)Phase III - Desirable Sites
D)Phase IV - Location Choices
Unlock Deck
Unlock for access to all 87 flashcards in this deck.
Unlock Deck
k this deck
45
Tariffs,economies of scale and aggregate factor costs mostly affect which of the four Global Network Design Decisions?
A)Phase I - Supply Chain Strategy
B)Phase II - Regional Facility Configuration
C)Phase III - Desirable Sites
D)Phase IV - Location Choices
A)Phase I - Supply Chain Strategy
B)Phase II - Regional Facility Configuration
C)Phase III - Desirable Sites
D)Phase IV - Location Choices
Unlock Deck
Unlock for access to all 87 flashcards in this deck.
Unlock Deck
k this deck
46
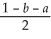
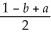
Assume that total demand in a market is 1 and that customers are uniformly spread across the line segment from 0 to 1.There are only two companies in the market and there is no cost or service advantage held be either Firm 1 or Firm 2.Firm 1 locates at point a,and Firm 2 locates at point 1-b as shown in the figure.A customer chooses one firm or the other solely on the basis of distance travelled.

The demand at Firm 2 is given by
A)a +
B)a +
C)
D)

The demand at Firm 2 is given by
A)a +

B)a +

C)

D)

Unlock Deck
Unlock for access to all 87 flashcards in this deck.
Unlock Deck
k this deck
47
The market share is maximized for both firms if they locate at the point(s)
A)a = 1 - 3b;b =
B)a = ;b = 1 - 3a
C)a = 0;b = 1
D)a = ;b =

A)a = 1 - 3b;b =

B)a = ;b = 1 - 3a

C)a = 0;b = 1
D)a = ;b =

Unlock Deck
Unlock for access to all 87 flashcards in this deck.
Unlock Deck
k this deck
48
Capital,growth strategy,existing networks and global competition mostly affect which of the four Global Network Design Decisions?
A)Phase I - Supply Chain Strategy
B)Phase II - Regional Facility Configuration
C)Phase III - Desirable Sites
D)Phase IV - Location Choices
A)Phase I - Supply Chain Strategy
B)Phase II - Regional Facility Configuration
C)Phase III - Desirable Sites
D)Phase IV - Location Choices
Unlock Deck
Unlock for access to all 87 flashcards in this deck.
Unlock Deck
k this deck
49
Duties that must be paid when products and/or equipment are moved across international,state,or city boundaries are referred to as
A)taxes.
B)tax incentives.
C)tariffs.
D)incentives.
A)taxes.
B)tax incentives.
C)tariffs.
D)incentives.
Unlock Deck
Unlock for access to all 87 flashcards in this deck.
Unlock Deck
k this deck
50
Total logistics costs are a sum of the
A)inventory and facility costs.
B)transportation and facility costs.
C)inventory and transportation costs.
D)inventory,transportation,and facility costs.
A)inventory and facility costs.
B)transportation and facility costs.
C)inventory and transportation costs.
D)inventory,transportation,and facility costs.
Unlock Deck
Unlock for access to all 87 flashcards in this deck.
Unlock Deck
k this deck
51
If the technology is flexible,
A)it becomes more difficult to consolidate manufacturing in a few large facilities.
B)it becomes more difficult to distribute manufacturing in many local facilities.
C)it becomes easier to consolidate manufacturing in a few large facilities.
D)it becomes easier to consolidate manufacturing in many local facilities.
A)it becomes more difficult to consolidate manufacturing in a few large facilities.
B)it becomes more difficult to distribute manufacturing in many local facilities.
C)it becomes easier to consolidate manufacturing in a few large facilities.
D)it becomes easier to consolidate manufacturing in many local facilities.
Unlock Deck
Unlock for access to all 87 flashcards in this deck.
Unlock Deck
k this deck
52
If the production technology is very inflexible and product requirements vary from one country to another,a firm has to set up
A)local facilities to serve the market in each country.
B)a few high-capacity facilities to serve the market in each country.
C)many local facilities because this helps lower transportation costs.
D)a few high-capacity facilities because this helps lower transportation costs.
A)local facilities to serve the market in each country.
B)a few high-capacity facilities to serve the market in each country.
C)many local facilities because this helps lower transportation costs.
D)a few high-capacity facilities because this helps lower transportation costs.
Unlock Deck
Unlock for access to all 87 flashcards in this deck.
Unlock Deck
k this deck
53
If the two firms compete on price and the customer incurs transportation cost,it may be optimal for the two firms to locate at the point(s)
A)a = 0;b = 1
B)a = 1 - 3b;b =
C)a = ;b = 1 - 3a
D)a = ;b =

A)a = 0;b = 1
B)a = 1 - 3b;b =

C)a = ;b = 1 - 3a

D)a = ;b =

Unlock Deck
Unlock for access to all 87 flashcards in this deck.
Unlock Deck
k this deck
54
Firms that focus on cost leadership tend to find the lowest-cost location might
A)locate far from their customers.
B)locate in a higher cost area to provide faster response.
C)have many facilities to take advantage of economies of scale.
D)increase inventory levels to reduce stockouts.
A)locate far from their customers.
B)locate in a higher cost area to provide faster response.
C)have many facilities to take advantage of economies of scale.
D)increase inventory levels to reduce stockouts.
Unlock Deck
Unlock for access to all 87 flashcards in this deck.
Unlock Deck
k this deck
55
The facilities in a supply chain network must
A)at least maximize total logistics cost.
B)at least equal the number that maximizes total logistics cost.
C)at least equal the number that minimizes total logistics cost.
D)at least minimize total logistics cost.
A)at least maximize total logistics cost.
B)at least equal the number that maximizes total logistics cost.
C)at least equal the number that minimizes total logistics cost.
D)at least minimize total logistics cost.
Unlock Deck
Unlock for access to all 87 flashcards in this deck.
Unlock Deck
k this deck
56
The availability of suppliers,transportation services,communication,utilities,and warehousing infrastructure mostly affect which of the four Global Network Design Decisions?
A)Phase I - Supply Chain Strategy
B)Phase II - Regional Facility Configuration
C)Phase III - Desirable Sites
D)Phase IV - Location Choices
A)Phase I - Supply Chain Strategy
B)Phase II - Regional Facility Configuration
C)Phase III - Desirable Sites
D)Phase IV - Location Choices
Unlock Deck
Unlock for access to all 87 flashcards in this deck.
Unlock Deck
k this deck
57
If facilities have lower fixed costs
A)a few high-capacity facilities are preferred because this helps lower transportation costs.
B)a few local facilities are preferred because this helps lower transportation costs.
C)many high-capacity facilities are preferred because this helps lower transportation costs.
D)many local facilities are preferred because this helps lower transportation costs.
A)a few high-capacity facilities are preferred because this helps lower transportation costs.
B)a few local facilities are preferred because this helps lower transportation costs.
C)many high-capacity facilities are preferred because this helps lower transportation costs.
D)many local facilities are preferred because this helps lower transportation costs.
Unlock Deck
Unlock for access to all 87 flashcards in this deck.
Unlock Deck
k this deck
58
Developing countries often create free trade zones where
A)duties and tariffs are imposed as long as production is used primarily for export.
B)duties and tariffs are imposed as long as production is used primarily for import.
C)duties and tariffs are relaxed as long as production is used primarily for export.
D)duties and tariffs are relaxed as long as production is used primarily for import.
A)duties and tariffs are imposed as long as production is used primarily for export.
B)duties and tariffs are imposed as long as production is used primarily for import.
C)duties and tariffs are relaxed as long as production is used primarily for export.
D)duties and tariffs are relaxed as long as production is used primarily for import.
Unlock Deck
Unlock for access to all 87 flashcards in this deck.
Unlock Deck
k this deck
59
________ costs increase as the number of facilities in a supply chain increases.
A)Inventory
B)Transportation
C)Retail operation
D)Information
A)Inventory
B)Transportation
C)Retail operation
D)Information
Unlock Deck
Unlock for access to all 87 flashcards in this deck.
Unlock Deck
k this deck
60
If a country has very high tariffs,
A)companies either do not serve the local market or set up manufacturing plants within the country to save on duties.
B)companies do not serve the local market.
C)companies set up manufacturing plants within the country to save on duties.
D)companies will not serve the local market or set up manufacturing plants within the country to save on duties.
A)companies either do not serve the local market or set up manufacturing plants within the country to save on duties.
B)companies do not serve the local market.
C)companies set up manufacturing plants within the country to save on duties.
D)companies will not serve the local market or set up manufacturing plants within the country to save on duties.
Unlock Deck
Unlock for access to all 87 flashcards in this deck.
Unlock Deck
k this deck
61
The objective of the second phase of network design is to
A)select a precise location and capacity allocation for each facility.
B)select a set of desirable sites within each region where facilities are to be located.
C)identify regions where facilities will be located,their potential roles,and their approximate capacity.
D)specify what capabilities the supply chain network must have to support a firm's competitive strategy.
A)select a precise location and capacity allocation for each facility.
B)select a set of desirable sites within each region where facilities are to be located.
C)identify regions where facilities will be located,their potential roles,and their approximate capacity.
D)specify what capabilities the supply chain network must have to support a firm's competitive strategy.
Unlock Deck
Unlock for access to all 87 flashcards in this deck.
Unlock Deck
k this deck
62
How does the model change from the original network configuration when Plant A is under consideration?
A)The plant constraints switch from "less than" to "equal to."
B)The plant constraints switch from "less than or equal to" to "equal to."
C)The plant constraints switch from "equal to" to "less than or equal to."
D)The plant constraints switch from "equal to" to "less than."
A)The plant constraints switch from "less than" to "equal to."
B)The plant constraints switch from "less than or equal to" to "equal to."
C)The plant constraints switch from "equal to" to "less than or equal to."
D)The plant constraints switch from "equal to" to "less than."
Unlock Deck
Unlock for access to all 87 flashcards in this deck.
Unlock Deck
k this deck
63
Which of the following is the first phase in the design of a global supply chain network?
A)Define a supply chain strategy
B)Define the regional facility configuration
C)Select desirable sites
D)Location choices
A)Define a supply chain strategy
B)Define the regional facility configuration
C)Select desirable sites
D)Location choices
Unlock Deck
Unlock for access to all 87 flashcards in this deck.
Unlock Deck
k this deck
64
A manufacturer of cat towers wishes to locate a super assembly facility to meet their cat tower assembly needs for the next millennium.Currently,carpet,cylinders,yarn and fasteners are purchased in bulk from suppliers in North Haverbrook,Ogden,and Springfield in the quantities shown in the table.The super assembly facility would ship to distribution centers located in Seattle,Lubbock,Nashville,and Philadelphia.The locations of all of these cities on an x-y grid,outbound transportation costs on a ton per mile basis,and total tonnage are all contained in the table.
What is the cost to transport 500 tons of material between the Springfield and Seattle locations?
A)$325,777
B)$192,677
C)$682,777
D)$289,677
What is the cost to transport 500 tons of material between the Springfield and Seattle locations?A)$325,777
B)$192,677
C)$682,777
D)$289,677
Unlock Deck
Unlock for access to all 87 flashcards in this deck.
Unlock Deck
k this deck
65
A manufacturer of cat towers wishes to locate a super assembly facility to meet their cat tower assembly needs for the next millennium.Currently,carpet,cylinders,yarn and fasteners are purchased in bulk from suppliers in North Haverbrook,Ogden,and Springfield in the quantities shown in the table.The super assembly facility would ship to distribution centers located in Seattle,Lubbock,Nashville,and Philadelphia.The locations of all of these cities on an x-y grid,transportation costs on a ton per mile basis,and total tonnage are all contained in the table.
What is the distance between the Ogden and Seattle locations?
A)450 miles
B)350 miles
C)630 miles
D)1050 miles
What is the distance between the Ogden and Seattle locations?A)450 miles
B)350 miles
C)630 miles
D)1050 miles
Unlock Deck
Unlock for access to all 87 flashcards in this deck.
Unlock Deck
k this deck
66
Which of these assignments is associated with the minimum cost solution for the original set of plants and regional centers?
A)50 units from Plant 2 to Dallas
B)350 units from Plant 1 to Atlanta
C)300 units from Plant 3 to Philadelphia
D)150 units from Plant 1 to Los Angeles
A)50 units from Plant 2 to Dallas
B)350 units from Plant 1 to Atlanta
C)300 units from Plant 3 to Philadelphia
D)150 units from Plant 1 to Los Angeles
Unlock Deck
Unlock for access to all 87 flashcards in this deck.
Unlock Deck
k this deck
67
It is very important that long-term consequences be thought through when making facility decisions,because
A)network designers can use this fact to influence the role of the new facility and the focus of people working there.
B)facilities last a long time and have an enduring impact on a firm's performance.
C)it is astounding how often tax incentives drive the choice of location.
D)the location of a facility has a significant impact on the extent and form of communication that develops in the supply chain network.
A)network designers can use this fact to influence the role of the new facility and the focus of people working there.
B)facilities last a long time and have an enduring impact on a firm's performance.
C)it is astounding how often tax incentives drive the choice of location.
D)the location of a facility has a significant impact on the extent and form of communication that develops in the supply chain network.
Unlock Deck
Unlock for access to all 87 flashcards in this deck.
Unlock Deck
k this deck
68
The objective of the first phase of network design is to
A)maximize total profits,taking into account the expected margin and demand in each market.
B)select a set of desirable sites within each region where facilities are to be located.
C)identify regions where facilities will be located,their potential roles,and their approximate capacity.
D)specify what capabilities the supply chain network must have to support a firm's competitive strategy.
A)maximize total profits,taking into account the expected margin and demand in each market.
B)select a set of desirable sites within each region where facilities are to be located.
C)identify regions where facilities will be located,their potential roles,and their approximate capacity.
D)specify what capabilities the supply chain network must have to support a firm's competitive strategy.
Unlock Deck
Unlock for access to all 87 flashcards in this deck.
Unlock Deck
k this deck
69
FlexSteal,marketed as a miracle brush-on sealant and baldness cure,is manufactured at three plants that are struggling to keep up with the demand at the four regional centers.The cost to ship a truckload from each of the existing plants to the regional centers is shown in the table.Note that the capacity and the total demand are both measured in truckloads.
The supply chain manager has explored plant construction costs in two other cities as well as the cost to ship a truckload from each of the plants to the regional centers.The current plan is to build another plant with a capacity of 400 to allow room for sales growth.The construction cost for the new plants and cost to ship to each of the regional centers is shown here.

How many constraints does the linear programming formulation of a lowest cost solution for the existing set of plants and regional centers contain?
A)10
B)7
C)4
D)3
The supply chain manager has explored plant construction costs in two other cities as well as the cost to ship a truckload from each of the plants to the regional centers.The current plan is to build another plant with a capacity of 400 to allow room for sales growth.The construction cost for the new plants and cost to ship to each of the regional centers is shown here.
How many constraints does the linear programming formulation of a lowest cost solution for the existing set of plants and regional centers contain?
A)10
B)7
C)4
D)3
Unlock Deck
Unlock for access to all 87 flashcards in this deck.
Unlock Deck
k this deck
70
A manufacturer of cat towers wishes to locate a super assembly facility to meet their cat tower assembly needs for the next millennium.Currently,carpet,cylinders,yarn and fasteners are purchased in bulk from suppliers in North Haverbrook,Ogden,and Springfield in the quantities shown in the table.The super assembly facility would ship to distribution centers located in Seattle,Lubbock,Nashville,and Philadelphia.The locations of all of these cities on an x-y grid,outbound transportation costs on a ton per mile basis,and total tonnage are all contained in the table.
What is the optimal location for the Super Assembly Center?
A)(550,808)
B)(513,772)
C)(526,795)
D)(538,784)
What is the optimal location for the Super Assembly Center?A)(550,808)
B)(513,772)
C)(526,795)
D)(538,784)
Unlock Deck
Unlock for access to all 87 flashcards in this deck.
Unlock Deck
k this deck
71
Models that minimize total costs are used
A)from the start to make the final location decision among the entire array of possibilities.
B)as a final step to make the final location decision among a subset of desirable location possibilities.
C)from the start to identify broad geographic areas that may be considered further.
D)as a final step to expand the possible locations from those that meet other criteria.
A)from the start to make the final location decision among the entire array of possibilities.
B)as a final step to make the final location decision among a subset of desirable location possibilities.
C)from the start to identify broad geographic areas that may be considered further.
D)as a final step to expand the possible locations from those that meet other criteria.
Unlock Deck
Unlock for access to all 87 flashcards in this deck.
Unlock Deck
k this deck
72
FlexSteal,marketed as a miracle brush-on sealant and baldness cure,is manufactured at three plants that are struggling to keep up with the demand at the four regional centers.The cost to ship a truckload from each of the existing plants to the regional centers is shown in the table.Note that the capacity and the total demand are both measured in truckloads.
The supply chain manager has explored plant construction costs in two other cities as well as the cost to ship a truckload from each of the plants to the regional centers.The current plan is to build another plant with a capacity of 400 to allow room for sales growth.The construction cost for the new plants and cost to ship to each of the regional centers is shown here.

What is the lowest cost solution for the existing set of plants and regional centers?
A)$106,850
B)$107,450
C)$108,650
D)$109,750
The supply chain manager has explored plant construction costs in two other cities as well as the cost to ship a truckload from each of the plants to the regional centers.The current plan is to build another plant with a capacity of 400 to allow room for sales growth.The construction cost for the new plants and cost to ship to each of the regional centers is shown here.
What is the lowest cost solution for the existing set of plants and regional centers?
A)$106,850
B)$107,450
C)$108,650
D)$109,750
Unlock Deck
Unlock for access to all 87 flashcards in this deck.
Unlock Deck
k this deck
73
A manufacturer of cat towers wishes to locate a super assembly facility to meet their cat tower assembly needs for the next millennium.Currently,carpet,cylinders,yarn and fasteners are purchased in bulk from suppliers in North Haverbrook,Ogden,and Springfield in the quantities shown in the table.The super assembly facility would ship to distribution centers located in Seattle,Lubbock,Nashville,and Philadelphia.The locations of all of these cities on an x-y grid,outbound transportation costs on a ton per mile basis,and total tonnage are all contained in the table.
What is the minimal shipping cost that satisfies all market demand?
A)$2,546,632
B)$2,586,342
C)$2,451,668
D)$2,522,982
What is the minimal shipping cost that satisfies all market demand?A)$2,546,632
B)$2,586,342
C)$2,451,668
D)$2,522,982
Unlock Deck
Unlock for access to all 87 flashcards in this deck.
Unlock Deck
k this deck
74
Which of these is considered a hard infrastructure requirement?
A)Utilities
B)Community receptivity to business
C)Availability of skilled labor
D)Workforce turnover
A)Utilities
B)Community receptivity to business
C)Availability of skilled labor
D)Workforce turnover
Unlock Deck
Unlock for access to all 87 flashcards in this deck.
Unlock Deck
k this deck
75
FlexSteal,marketed as a miracle brush-on sealant and baldness cure,is manufactured at three plants that are struggling to keep up with the demand at the four regional centers.The cost to ship a truckload from each of the existing plants to the regional centers is shown in the table.Note that the capacity and the total demand are both measured in truckloads.
The supply chain manager has explored plant construction costs in two other cities as well as the cost to ship a truckload from each of the plants to the regional centers.The current plan is to build another plant with a capacity of 400 to allow room for sales growth.The construction cost for the new plants and cost to ship to each of the regional centers is shown here.

What is the constraint associated with Atlanta for the existing set of plants and regional centers?
A)75x1A + 88x2A + 82x3A = 350
B)x1A + x2A + x3A = 350
C)75x1A + 88x2A + 82x3A ≤ 350
D)x1A + x2A + x3A ≤ 350
The supply chain manager has explored plant construction costs in two other cities as well as the cost to ship a truckload from each of the plants to the regional centers.The current plan is to build another plant with a capacity of 400 to allow room for sales growth.The construction cost for the new plants and cost to ship to each of the regional centers is shown here.
What is the constraint associated with Atlanta for the existing set of plants and regional centers?
A)75x1A + 88x2A + 82x3A = 350
B)x1A + x2A + x3A = 350
C)75x1A + 88x2A + 82x3A ≤ 350
D)x1A + x2A + x3A ≤ 350
Unlock Deck
Unlock for access to all 87 flashcards in this deck.
Unlock Deck
k this deck
76
The objective of the third phase of network design is to
A)maximize total profits,taking into account the expected margin and demand in each market.
B)select a precise location and capacity allocation for each facility.
C)select a set of desirable sites within each region where facilities are to be located.
D)identify regions where facilities will be located,their potential roles,and their approximate capacity.
A)maximize total profits,taking into account the expected margin and demand in each market.
B)select a precise location and capacity allocation for each facility.
C)select a set of desirable sites within each region where facilities are to be located.
D)identify regions where facilities will be located,their potential roles,and their approximate capacity.
Unlock Deck
Unlock for access to all 87 flashcards in this deck.
Unlock Deck
k this deck
77
Managers making facility location decisions should carefully consider tariffs and tax incentives,because
A)network designers can use this fact to influence the role of the new facility and the focus of people working there.
B)facilities last a long time and have an enduring impact on a firm's performance.
C)it is astounding how often tax incentives drive the choice of location.
D)the location of a facility has a significant impact on the extent and form of communication that develops in the supply chain network.
A)network designers can use this fact to influence the role of the new facility and the focus of people working there.
B)facilities last a long time and have an enduring impact on a firm's performance.
C)it is astounding how often tax incentives drive the choice of location.
D)the location of a facility has a significant impact on the extent and form of communication that develops in the supply chain network.
Unlock Deck
Unlock for access to all 87 flashcards in this deck.
Unlock Deck
k this deck
78
What is the total (construction plus operating)cost if the supply chain manager chooses Location A for the new plant?
A)$148,350
B)$148,550
C)$148,450
D)$148,650
A)$148,350
B)$148,550
C)$148,450
D)$148,650
Unlock Deck
Unlock for access to all 87 flashcards in this deck.
Unlock Deck
k this deck
79
Which of these is considered a soft infrastructure requirement?
A)Utilities
B)Community receptivity to business
C)Warehousing facilities
D)Transportation services
A)Utilities
B)Community receptivity to business
C)Warehousing facilities
D)Transportation services
Unlock Deck
Unlock for access to all 87 flashcards in this deck.
Unlock Deck
k this deck
80
FlexSteal,marketed as a miracle brush-on sealant and baldness cure,is manufactured at three plants that are struggling to keep up with the demand at the four regional centers.The cost to ship a truckload from each of the existing plants to the regional centers is shown in the table.Note that the capacity and the total demand are both measured in truckloads.
The supply chain manager has explored plant construction costs in two other cities as well as the cost to ship a truckload from each of the plants to the regional centers.The current plan is to build another plant with a capacity of 400 to allow room for sales growth.The construction cost for the new plants and cost to ship to each of the regional centers is shown here.

What is the constraint associated with Plant 2 for the existing set of plants and regional centers?
A)120x2P + 88x2A + 103x2D + 93x2L = 400
B)x2P + x2A + x2D + x2L ≤ 400
C)x2P+ x2A + x2D + x2L = 400
D)120x2P + 88x2A + 103x2D + 93x2L ≤ 400
The supply chain manager has explored plant construction costs in two other cities as well as the cost to ship a truckload from each of the plants to the regional centers.The current plan is to build another plant with a capacity of 400 to allow room for sales growth.The construction cost for the new plants and cost to ship to each of the regional centers is shown here.
What is the constraint associated with Plant 2 for the existing set of plants and regional centers?
A)120x2P + 88x2A + 103x2D + 93x2L = 400
B)x2P + x2A + x2D + x2L ≤ 400
C)x2P+ x2A + x2D + x2L = 400
D)120x2P + 88x2A + 103x2D + 93x2L ≤ 400
Unlock Deck
Unlock for access to all 87 flashcards in this deck.
Unlock Deck
k this deck

