Deck 14: Aromatic Compounds
Question
Question
Question
Question
Question
Question
Question
Question
Question
Question
Question
Question
Question
Question
Question
Question
Question
Question
Question
Question
Question
Question
Question
Question
Question
Question
Question
Question
Question
Question
Question
Question
Question
Question
Question
Question
Question
Question
Question
Question
Question
Question
Question
Question
Question
Question
Question
Question
Question
Question
Question
Question
Question
Question
Question
Question
Question
Question
Question
Question
Question
Question
Question
Question
Question
Question
Question
Question
Question
Question
Question
Question
Question
Question
Question
Question
Question
Question
Question
Question
Unlock Deck
Sign up to unlock the cards in this deck!
Unlock Deck
Unlock Deck
1/186
Play
Full screen (f)
Deck 14: Aromatic Compounds
1
The correct name for the compound shown below is: 
A)3,4-Dibromoaniline
B)2,4-Dibromoaniline
C)2,5-Dibromoaniline
D)3,6-Dibromoaniline
E)2,6-Dibromoaniline

A)3,4-Dibromoaniline
B)2,4-Dibromoaniline
C)2,5-Dibromoaniline
D)3,6-Dibromoaniline
E)2,6-Dibromoaniline
2,5-Dibromoaniline
2
The correct name for the compound shown below is: 
A)o-nitroanisole
B)m-nitroanisole
C)p-nitroanisole
D)p-nitrotoluene
E)4-nitrophenol

A)o-nitroanisole
B)m-nitroanisole
C)p-nitroanisole
D)p-nitrotoluene
E)4-nitrophenol
p-nitroanisole
3
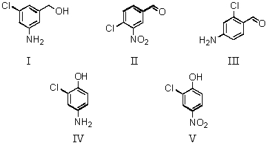
Which of the following is NOT 2-bromo-5-nitrobenzoic acid? 
A)I
B)II
C)III
D)IV
E)V

A)I
B)II
C)III
D)IV
E)V
IV
4
Aniline is the name commonly assigned to:
A)Hydroxybenzene
B)Aminobenzene
C)Methylbenzene
D)Ethylbenzene
E)Methoxybenzene
A)Hydroxybenzene
B)Aminobenzene
C)Methylbenzene
D)Ethylbenzene
E)Methoxybenzene
Unlock Deck
Unlock for access to all 186 flashcards in this deck.
Unlock Deck
k this deck
5
The correct name for the compound shown below is: 
A)m-bromoaniline
B)o-bromoaniline
C)p-bromoaniline
D)o-bromobenzyl amine
E)3-bromophenyl amine

A)m-bromoaniline
B)o-bromoaniline
C)p-bromoaniline
D)o-bromobenzyl amine
E)3-bromophenyl amine
Unlock Deck
Unlock for access to all 186 flashcards in this deck.
Unlock Deck
k this deck
6
3-Bromo-4-nitroacetophenone is: 
A)I
B)II
C)III
D)IV
E)V

A)I
B)II
C)III
D)IV
E)V
Unlock Deck
Unlock for access to all 186 flashcards in this deck.
Unlock Deck
k this deck
7
Phenol is the name commonly assigned to:
A)Hydroxybenzene
B)Aminobenzene
C)Methylbenzene
D)Ethylbenzene
E)Methoxybenzene
A)Hydroxybenzene
B)Aminobenzene
C)Methylbenzene
D)Ethylbenzene
E)Methoxybenzene
Unlock Deck
Unlock for access to all 186 flashcards in this deck.
Unlock Deck
k this deck
8
Anisole is the name commonly assigned to:
A)Hydroxybenzene
B)Aminobenzene
C)Methylbenzene
D)Ethylbenzene
E)Methoxybenzene
A)Hydroxybenzene
B)Aminobenzene
C)Methylbenzene
D)Ethylbenzene
E)Methoxybenzene
Unlock Deck
Unlock for access to all 186 flashcards in this deck.
Unlock Deck
k this deck
9
4-Chloro-3-nitro-benzaldehyde is: 
A)I
B)II
C)III
D)IV
E)V

A)I
B)II
C)III
D)IV
E)V
Unlock Deck
Unlock for access to all 186 flashcards in this deck.
Unlock Deck
k this deck
10
4-Bromo-2-nitroaniline is: 
A)I
B)II
C)III
D)IV
E)V

A)I
B)II
C)III
D)IV
E)V
Unlock Deck
Unlock for access to all 186 flashcards in this deck.
Unlock Deck
k this deck
11
2-Bromo-5-nitroaniline is: 
A)I
B)II
C)III
D)IV
E)V

A)I
B)II
C)III
D)IV
E)V
Unlock Deck
Unlock for access to all 186 flashcards in this deck.
Unlock Deck
k this deck
12
2-Bromo-4-nitroaniline is: 
A)I
B)II
C)III
D)IV
E)V

A)I
B)II
C)III
D)IV
E)V
Unlock Deck
Unlock for access to all 186 flashcards in this deck.
Unlock Deck
k this deck
13
2-Bromo-4-nitroaniline is: 
A)I
B)II
C)III
D)IV
E)V

A)I
B)II
C)III
D)IV
E)V
Unlock Deck
Unlock for access to all 186 flashcards in this deck.
Unlock Deck
k this deck
14
Xylene is the name commonly assigned to:
A)Hydroxybenzene
B)Aminobenzene
C)Dimethylbenzene
D)Ethylbenzene
E)Methoxybenzene
A)Hydroxybenzene
B)Aminobenzene
C)Dimethylbenzene
D)Ethylbenzene
E)Methoxybenzene
Unlock Deck
Unlock for access to all 186 flashcards in this deck.
Unlock Deck
k this deck
15
The correct name for the compound shown below is: 
A)m-chlorophenol
B)o-chlorophenol
C)p-chlorophenol
D)o-chlorobenzyl alcohol
E)2-chlorophenyl alcohol

A)m-chlorophenol
B)o-chlorophenol
C)p-chlorophenol
D)o-chlorobenzyl alcohol
E)2-chlorophenyl alcohol
Unlock Deck
Unlock for access to all 186 flashcards in this deck.
Unlock Deck
k this deck
16
The correct name for the compound shown below is: 
A)3-bromobenzene
B)4-bromobenzene
C)m-bromobenzene
D)o-bromotoluene
E)bromomethylbenzene

A)3-bromobenzene
B)4-bromobenzene
C)m-bromobenzene
D)o-bromotoluene
E)bromomethylbenzene
Unlock Deck
Unlock for access to all 186 flashcards in this deck.
Unlock Deck
k this deck
17
4-Amino-2-chlorophenol is: 
A)I
B)II
C)III
D)IV
E)V

A)I
B)II
C)III
D)IV
E)V
Unlock Deck
Unlock for access to all 186 flashcards in this deck.
Unlock Deck
k this deck
18
Toluene is the name commonly assigned to:
A)Hydroxybenzene
B)Aminobenzene
C)Methylbenzene
D)Ethylbenzene
E)Methoxybenzene
A)Hydroxybenzene
B)Aminobenzene
C)Methylbenzene
D)Ethylbenzene
E)Methoxybenzene
Unlock Deck
Unlock for access to all 186 flashcards in this deck.
Unlock Deck
k this deck
19
m-Chlorobenzenesulfonic acid is: 
A)I
B)II
C)III
D)IV
E)V

A)I
B)II
C)III
D)IV
E)V
Unlock Deck
Unlock for access to all 186 flashcards in this deck.
Unlock Deck
k this deck
20
Cumene is the name commonly assigned to:
A)Hydroxybenzene
B)Aminobenzene
C)Ethylbenzene
D)Isopropylbenzene
E)Isobutylbenzene
A)Hydroxybenzene
B)Aminobenzene
C)Ethylbenzene
D)Isopropylbenzene
E)Isobutylbenzene
Unlock Deck
Unlock for access to all 186 flashcards in this deck.
Unlock Deck
k this deck
21
4-Amino-2-bromoanisole is: 
A)I
B)II
C)III
D)IV
E)V

A)I
B)II
C)III
D)IV
E)V
Unlock Deck
Unlock for access to all 186 flashcards in this deck.
Unlock Deck
k this deck
22
Which of these is the single best representation for naphthalene? 
A)I
B)II
C)III
D)IV
E)V

A)I
B)II
C)III
D)IV
E)V
Unlock Deck
Unlock for access to all 186 flashcards in this deck.
Unlock Deck
k this deck
23
Which dichlorobenzene might theoretically yield three mononitro products?
A)o-Dichlorobenzene
B)m-Dichlorobenzene
C)p-Dichlorobenzene
D)None of these choices.
E)All of these choices.
A)o-Dichlorobenzene
B)m-Dichlorobenzene
C)p-Dichlorobenzene
D)None of these choices.
E)All of these choices.
Unlock Deck
Unlock for access to all 186 flashcards in this deck.
Unlock Deck
k this deck
24
How many different dibromophenols are possible?
A)8
B)7
C)6
D)5
E)4
A)8
B)7
C)6
D)5
E)4
Unlock Deck
Unlock for access to all 186 flashcards in this deck.
Unlock Deck
k this deck
25
4-Amino-2-chlorobenzaldehyde is: 
A)I
B)II
C)III
D)IV
E)V

A)I
B)II
C)III
D)IV
E)V
Unlock Deck
Unlock for access to all 186 flashcards in this deck.
Unlock Deck
k this deck
26
Which dibromobenzene can yield only one mononitro derivative?
A)o-Dibromobenzene
B)m-Dibromobenzene
C)p-Dibromobenzene
D)More than one of these choices.
E)None of these choices.
A)o-Dibromobenzene
B)m-Dibromobenzene
C)p-Dibromobenzene
D)More than one of these choices.
E)None of these choices.
Unlock Deck
Unlock for access to all 186 flashcards in this deck.
Unlock Deck
k this deck
27
How many different dihydroxybromobenzenes are possible?
A)8
B)7
C)6
D)5
E)4
A)8
B)7
C)6
D)5
E)4
Unlock Deck
Unlock for access to all 186 flashcards in this deck.
Unlock Deck
k this deck
28
Which dibromobenzene can,in theory,yield three mononitro derivatives?
A)o-Dibromobenzene
B)m-Dibromobenzene
C)p-Dibromobenzene
D)All of these choices.
E)None of these choices.
A)o-Dibromobenzene
B)m-Dibromobenzene
C)p-Dibromobenzene
D)All of these choices.
E)None of these choices.
Unlock Deck
Unlock for access to all 186 flashcards in this deck.
Unlock Deck
k this deck
29
Which dihydroxybenzene can yield only one mononitro derivative?
A)o-Dihydroxybenzene
B)m-Dihydroxybenzene
C)p-Dihydroxybenzene
D)More than one of these choices.
E)None of these choices.
A)o-Dihydroxybenzene
B)m-Dihydroxybenzene
C)p-Dihydroxybenzene
D)More than one of these choices.
E)None of these choices.
Unlock Deck
Unlock for access to all 186 flashcards in this deck.
Unlock Deck
k this deck
30
How many different dichloronitrobenzenes are possible?
A)8
B)7
C)6
D)5
E)4
A)8
B)7
C)6
D)5
E)4
Unlock Deck
Unlock for access to all 186 flashcards in this deck.
Unlock Deck
k this deck
31
How many monochloronaphthalenes are possible?
A)2
B)3
C)4
D)5
E)6
A)2
B)3
C)4
D)5
E)6
Unlock Deck
Unlock for access to all 186 flashcards in this deck.
Unlock Deck
k this deck
32
Which reagent(s)would serve as the basis for a simple chemical test that would distinguish between benzene and 1-hexene?
A)NaOH in H2O
B)Br2 in CCl4
C)AgNO3 in C2H5OH
D)NaHSO3 in H2O
E)None of these choices.
A)NaOH in H2O
B)Br2 in CCl4
C)AgNO3 in C2H5OH
D)NaHSO3 in H2O
E)None of these choices.
Unlock Deck
Unlock for access to all 186 flashcards in this deck.
Unlock Deck
k this deck
33
The complete name for the following compound is: 
A)sec-Hexylbenzene
B)2-Phenylhexane
C)(R)-2-Phenylhexane
D)(S)-2-Phenylhexane
E)Butylmethylphenylmethane

A)sec-Hexylbenzene
B)2-Phenylhexane
C)(R)-2-Phenylhexane
D)(S)-2-Phenylhexane
E)Butylmethylphenylmethane
Unlock Deck
Unlock for access to all 186 flashcards in this deck.
Unlock Deck
k this deck
34
4-Bromomethyl-2-nitroanisole is: 
A)I
B)II
C)III
D)IV
E)V

A)I
B)II
C)III
D)IV
E)V
Unlock Deck
Unlock for access to all 186 flashcards in this deck.
Unlock Deck
k this deck
35
The complete name for the following compound is: 
A)sec-Hexylbenzene
B)2-Phenylhexane
C)(R)-2-Phenylhexane
D)(S)-2-Phenylhexane
E)Butylmethylphenylmethane

A)sec-Hexylbenzene
B)2-Phenylhexane
C)(R)-2-Phenylhexane
D)(S)-2-Phenylhexane
E)Butylmethylphenylmethane
Unlock Deck
Unlock for access to all 186 flashcards in this deck.
Unlock Deck
k this deck
36
In theory,a single molecule of this compound will rotate plane-polarized light.
A)Butylbenzene
B)Isobutylbenzene
C)sec-Butylbenzene
D)tert-Butylbenzene
E)None of these choices.
A)Butylbenzene
B)Isobutylbenzene
C)sec-Butylbenzene
D)tert-Butylbenzene
E)None of these choices.
Unlock Deck
Unlock for access to all 186 flashcards in this deck.
Unlock Deck
k this deck
37
If thiophene is an aromatic molecule and reacts similarly to benzene,how many (neutral)monobromothiophenes could be obtained in the following reaction? 
A)1
B)2
C)3
D)4
E)5

A)1
B)2
C)3
D)4
E)5
Unlock Deck
Unlock for access to all 186 flashcards in this deck.
Unlock Deck
k this deck
38
How many dichloronaphthalenes are possible?
A)7
B)8
C)9
D)10
E)12
A)7
B)8
C)9
D)10
E)12
Unlock Deck
Unlock for access to all 186 flashcards in this deck.
Unlock Deck
k this deck
39
3-Chloro-4-nitrobenzoic acid is: 
A)I
B)II
C)III
D)IV
E)V

A)I
B)II
C)III
D)IV
E)V
Unlock Deck
Unlock for access to all 186 flashcards in this deck.
Unlock Deck
k this deck
40
Which is the only one of these reagents which will react with benzene under the specified conditions?
A)Cl2,FeCl3,heat
B)H2,25 °C
C)Br2/CCl4,25 °C,dark
D)KMnO4/H2O,25 °C
E)H3O+,heat
A)Cl2,FeCl3,heat
B)H2,25 °C
C)Br2/CCl4,25 °C,dark
D)KMnO4/H2O,25 °C
E)H3O+,heat
Unlock Deck
Unlock for access to all 186 flashcards in this deck.
Unlock Deck
k this deck
41
Which reagent(s)would serve as the basis for a simple chemical test that would distinguish between naphthalene and 2,4,6-decatriene?
A)NaOH in H2O
B)KMnO4,OH-,H2O
C)NaBH4,H2O
D)H2CrO4
E)None of these choices.
A)NaOH in H2O
B)KMnO4,OH-,H2O
C)NaBH4,H2O
D)H2CrO4
E)None of these choices.
Unlock Deck
Unlock for access to all 186 flashcards in this deck.
Unlock Deck
k this deck
42
Which reagent(s)would serve as the basis for a simple chemical test that would distinguish between benzene and cyclohexene?
A)NaOH in H2O
B)Br2 in CCl4
C)AgNO3 in C2H5OH
D)NaHSO3 in H2O
E)None of these choices.
A)NaOH in H2O
B)Br2 in CCl4
C)AgNO3 in C2H5OH
D)NaHSO3 in H2O
E)None of these choices.
Unlock Deck
Unlock for access to all 186 flashcards in this deck.
Unlock Deck
k this deck
43
In the molecular orbital model of benzene,how many -bonding molecular orbitals are there?
A)6
B)5
C)4
D)3
E)2
A)6
B)5
C)4
D)3
E)2
Unlock Deck
Unlock for access to all 186 flashcards in this deck.
Unlock Deck
k this deck
44
In the molecular orbital model of benzene,how many pi electrons are delocalized about the ring?
A)2
B)3
C)4
D)5
E)6
A)2
B)3
C)4
D)5
E)6
Unlock Deck
Unlock for access to all 186 flashcards in this deck.
Unlock Deck
k this deck
45
Recalling that benzene has a resonance energy of 152 kJ mol-1 and naphthalene has a resonance energy of 255 kJ mol-1,predict the positions which would be occupied by bromine when phenanthrene (below)undergoes addition of Br2. 
A)1,2
B)1,4
C)3,4
D)7,8
E)9,10

A)1,2
B)1,4
C)3,4
D)7,8
E)9,10
Unlock Deck
Unlock for access to all 186 flashcards in this deck.
Unlock Deck
k this deck
46
Application of the polygon-and-circle technique reveals that single electrons occupy each of the two nonbonding orbitals in the molecular orbital diagram of:
A)Cyclobutadiene
B)Benzene
C)Cyclopropenyl cation
D)Cyclopentadienyl anion
E)Cycloheptatrienyl cation
A)Cyclobutadiene
B)Benzene
C)Cyclopropenyl cation
D)Cyclopentadienyl anion
E)Cycloheptatrienyl cation
Unlock Deck
Unlock for access to all 186 flashcards in this deck.
Unlock Deck
k this deck
47
Which cyclization(s)should occur with an increase in pi-electron energy? 
A)I
B)II
C)III
D)IV
E)All of these choices.

A)I
B)II
C)III
D)IV
E)All of these choices.
Unlock Deck
Unlock for access to all 186 flashcards in this deck.
Unlock Deck
k this deck
48
In the molecular orbital model of benzene,the six p orbitals combine to form how many molecular orbitals?
A)6
B)5
C)4
D)3
E)2
A)6
B)5
C)4
D)3
E)2
Unlock Deck
Unlock for access to all 186 flashcards in this deck.
Unlock Deck
k this deck
49
Why would 1,3-cyclohexadiene undergo dehydrogenation readily?
A)It is easily reduced.
B)Hydrogen is a small molecule.
C)1,3-Cyclohexadiene has no resonance energy.
D)It would gain considerable stability by becoming benzene.
E)It would not undergo dehydrogenation.
A)It is easily reduced.
B)Hydrogen is a small molecule.
C)1,3-Cyclohexadiene has no resonance energy.
D)It would gain considerable stability by becoming benzene.
E)It would not undergo dehydrogenation.
Unlock Deck
Unlock for access to all 186 flashcards in this deck.
Unlock Deck
k this deck
50
Cyclopentadiene is unusually acidic for a hydrocarbon.An explanation for this is the following statement.
A)The carbon atoms of cyclopentadiene are all sp2-hybridized.
B)Cyclopentadiene is aromatic.
C)Removal of a proton from cyclopentadiene yields an aromatic anion.
D)Removal of a hydrogen atom from cyclopentadiene yields a highly stable free radical.
E)Removal of a hydride ion from cyclopentadiene produces an aromatic cation.
A)The carbon atoms of cyclopentadiene are all sp2-hybridized.
B)Cyclopentadiene is aromatic.
C)Removal of a proton from cyclopentadiene yields an aromatic anion.
D)Removal of a hydrogen atom from cyclopentadiene yields a highly stable free radical.
E)Removal of a hydride ion from cyclopentadiene produces an aromatic cation.
Unlock Deck
Unlock for access to all 186 flashcards in this deck.
Unlock Deck
k this deck
51
In the molecular orbital model of benzene,how many pairs of degenerate -antibonding molecular orbitals are there?
A)1
B)2
C)3
D)4
E)5
A)1
B)2
C)3
D)4
E)5
Unlock Deck
Unlock for access to all 186 flashcards in this deck.
Unlock Deck
k this deck
52
Which of the following statements about cyclooctatetraene is NOT true?
A)The compound rapidly decolorizes Br2/CCl4 solutions.
B)The compound rapidly decolorizes aqueous solutions of KMnO4.
C)The compound readily adds hydrogen.
D)The compound is nonplanar.
E)The compound is comparable to benzene in stability.
A)The compound rapidly decolorizes Br2/CCl4 solutions.
B)The compound rapidly decolorizes aqueous solutions of KMnO4.
C)The compound readily adds hydrogen.
D)The compound is nonplanar.
E)The compound is comparable to benzene in stability.
Unlock Deck
Unlock for access to all 186 flashcards in this deck.
Unlock Deck
k this deck
53
Which cyclization(s)should occur with a decrease in pi-electron energy? 
A)I
B)II
C)III
D)IV
E)All of these choices.

A)I
B)II
C)III
D)IV
E)All of these choices.
Unlock Deck
Unlock for access to all 186 flashcards in this deck.
Unlock Deck
k this deck
54
In the molecular orbital model of benzene,how many -antibonding molecular orbitals are there?
A)6
B)5
C)4
D)3
E)2
A)6
B)5
C)4
D)3
E)2
Unlock Deck
Unlock for access to all 186 flashcards in this deck.
Unlock Deck
k this deck
55
In the molecular orbital model of benzene,how many pairs of degenerate -molecular orbitals are there?
A)6
B)5
C)4
D)3
E)2
A)6
B)5
C)4
D)3
E)2
Unlock Deck
Unlock for access to all 186 flashcards in this deck.
Unlock Deck
k this deck
56
Which cyclization(s)should occur with an increase in pi-electron energy? 
A)I
B)II
C)III
D)IV
E)All of these choices.

A)I
B)II
C)III
D)IV
E)All of these choices.
Unlock Deck
Unlock for access to all 186 flashcards in this deck.
Unlock Deck
k this deck
57
Consider the molecular orbital model of benzene.In the ground state how many molecular orbitals are filled with electrons?
A)1
B)2
C)3
D)4
E)5
A)1
B)2
C)3
D)4
E)5
Unlock Deck
Unlock for access to all 186 flashcards in this deck.
Unlock Deck
k this deck
58
In the molecular orbital model of benzene,how many pairs of degenerate -bonding molecular orbitals are there?
A)1
B)2
C)3
D)4
E)5
A)1
B)2
C)3
D)4
E)5
Unlock Deck
Unlock for access to all 186 flashcards in this deck.
Unlock Deck
k this deck
59
Which cyclization(s)should occur with a decrease in pi-electron energy? 
A)I
B)II
C)III
D)IV
E)All of these choices.

A)I
B)II
C)III
D)IV
E)All of these choices.
Unlock Deck
Unlock for access to all 186 flashcards in this deck.
Unlock Deck
k this deck
60
In the molecular orbital model of benzene,how many pi electrons are in bonding molecular orbitals?
A)6
B)5
C)4
D)3
E)2
A)6
B)5
C)4
D)3
E)2
Unlock Deck
Unlock for access to all 186 flashcards in this deck.
Unlock Deck
k this deck
61
In the molecular orbital model of 1,3-cyclobutadiene,how many electrons are in non-bonding molecular orbitals?
A)6
B)5
C)4
D)3
E)2
A)6
B)5
C)4
D)3
E)2
Unlock Deck
Unlock for access to all 186 flashcards in this deck.
Unlock Deck
k this deck
62
In the molecular orbital model of the cyclobutadiene,how many pairs of degenerate -bonding molecular orbitals are there?
A)1
B)2
C)3
D)4
E)0
A)1
B)2
C)3
D)4
E)0
Unlock Deck
Unlock for access to all 186 flashcards in this deck.
Unlock Deck
k this deck
63
In the molecular orbital model of the cyclopentadienyl cation,how many pairs of degenerate -bonding molecular orbitals are there?
A)1
B)2
C)3
D)4
E)5
A)1
B)2
C)3
D)4
E)5
Unlock Deck
Unlock for access to all 186 flashcards in this deck.
Unlock Deck
k this deck
64
In the molecular orbital model of the cyclopentadienyl cation,how many pairs of degenerate -molecular orbitals are there?
A)6
B)5
C)4
D)3
E)2
A)6
B)5
C)4
D)3
E)2
Unlock Deck
Unlock for access to all 186 flashcards in this deck.
Unlock Deck
k this deck
65
In the molecular orbital model of cyclobutadiene,how many non-bonding molecular orbitals are there?
A)1
B)2
C)3
D)4
E)0
A)1
B)2
C)3
D)4
E)0
Unlock Deck
Unlock for access to all 186 flashcards in this deck.
Unlock Deck
k this deck
66
In the molecular orbital model of cyclobutadiene,how many -bonding molecular orbitals are there?
A)1
B)2
C)3
D)4
E)5
A)1
B)2
C)3
D)4
E)5
Unlock Deck
Unlock for access to all 186 flashcards in this deck.
Unlock Deck
k this deck
67
In the molecular orbital model of which of the following substance(s)are non-bonding orbitals found?
A)1,3-Cyclobutadiene
B)Cyclopentadienyl anion
C)1,3,5,7-Cyclooctatetraene
D)Two of these choices.
E)All of these choices.
A)1,3-Cyclobutadiene
B)Cyclopentadienyl anion
C)1,3,5,7-Cyclooctatetraene
D)Two of these choices.
E)All of these choices.
Unlock Deck
Unlock for access to all 186 flashcards in this deck.
Unlock Deck
k this deck
68
Consider the molecular orbital model of cyclopentadienyl anion.In the ground state how many molecular orbitals are filled with electrons?
A)1
B)2
C)3
D)4
E)5
A)1
B)2
C)3
D)4
E)5
Unlock Deck
Unlock for access to all 186 flashcards in this deck.
Unlock Deck
k this deck
69
In the molecular orbital model of the cyclopentadienyl cation,how many pairs of degenerate -antibonding molecular orbitals are there?
A)1
B)2
C)3
D)4
E)5
A)1
B)2
C)3
D)4
E)5
Unlock Deck
Unlock for access to all 186 flashcards in this deck.
Unlock Deck
k this deck
70
In the molecular orbital model of cyclopentadienyl anion,how many pi electrons are delocalized about the ring?
A)2
B)3
C)4
D)5
E)6
A)2
B)3
C)4
D)5
E)6
Unlock Deck
Unlock for access to all 186 flashcards in this deck.
Unlock Deck
k this deck
71
In the molecular orbital model of cycloheptadienyl cation,how many pi electrons are delocalized about the ring?
A)6
B)5
C)4
D)3
E)2
A)6
B)5
C)4
D)3
E)2
Unlock Deck
Unlock for access to all 186 flashcards in this deck.
Unlock Deck
k this deck
72
In the molecular orbital model of the cyclopentadienyl cation,how many non-bonding molecular orbitals are there?
A)1
B)2
C)3
D)4
E)0
A)1
B)2
C)3
D)4
E)0
Unlock Deck
Unlock for access to all 186 flashcards in this deck.
Unlock Deck
k this deck
73
In the molecular orbital model of the cyclopentadienyl cation,how many -antibonding molecular orbitals are there?
A)6
B)5
C)4
D)3
E)2
A)6
B)5
C)4
D)3
E)2
Unlock Deck
Unlock for access to all 186 flashcards in this deck.
Unlock Deck
k this deck
74
In the molecular orbital model of cycloheptadienyl cation,how many pi electrons are in bonding molecular orbitals?
A)6
B)5
C)4
D)3
E)2
A)6
B)5
C)4
D)3
E)2
Unlock Deck
Unlock for access to all 186 flashcards in this deck.
Unlock Deck
k this deck
75
In the molecular orbital model of cyclobutadiene,how many -antibonding molecular orbitals are there?
A)5
B)4
C)3
D)2
E)1
A)5
B)4
C)3
D)2
E)1
Unlock Deck
Unlock for access to all 186 flashcards in this deck.
Unlock Deck
k this deck
76
In the molecular orbital model of the cyclopentadienyl cation,how many -bonding molecular orbitals are there?
A)6
B)5
C)4
D)3
E)2
A)6
B)5
C)4
D)3
E)2
Unlock Deck
Unlock for access to all 186 flashcards in this deck.
Unlock Deck
k this deck
77
In the molecular orbital model of benzene,how many non-bonding molecular orbitals are there?
A)1
B)2
C)3
D)4
E)0
A)1
B)2
C)3
D)4
E)0
Unlock Deck
Unlock for access to all 186 flashcards in this deck.
Unlock Deck
k this deck
78
In the molecular orbital model of cyclobutadiene,how many pairs of degenerate -molecular orbitals are there?
A)0
B)1
C)2
D)3
E)4
A)0
B)1
C)2
D)3
E)4
Unlock Deck
Unlock for access to all 186 flashcards in this deck.
Unlock Deck
k this deck
79
In the molecular orbital model of cyclopentadienyl anion,how many pi electrons are in bonding molecular orbitals?
A)6
B)5
C)4
D)3
E)2
A)6
B)5
C)4
D)3
E)2
Unlock Deck
Unlock for access to all 186 flashcards in this deck.
Unlock Deck
k this deck
80
In the molecular orbital model of cyclobutadiene,how many pairs of degenerate -antibonding molecular orbitals are there?
A)1
B)2
C)3
D)4
E)0
A)1
B)2
C)3
D)4
E)0
Unlock Deck
Unlock for access to all 186 flashcards in this deck.
Unlock Deck
k this deck

