Deck 35: The Miracle of Compound Growth
Question
Question
Question
Question
Question
Question
Question
Question
Question
Question
Question
Unlock Deck
Sign up to unlock the cards in this deck!
Unlock Deck
Unlock Deck
1/11
Play
Full screen (f)
Deck 35: The Miracle of Compound Growth
1
Suppose you win a million dollars in the state lottery.What is the present discounted value of your winnings if you are scheduled to receive $200,000 at the end of each year for the next five years and the rate of interest is 5 percent?
The present value of the lottery winnings is:
= $190,476.19 + $181,405.990 + $172,767.52 + $164,540.50 + $156,705.23
= $865,895.33
= $190,476.19 + $181,405.990 + $172,767.52 + $164,540.50 + $156,705.23= $865,895.33
2
Suppose you deposit $100 in the bank and leave it there for 10 years.At the end of 10 years,how much will be in my account if the annual rate of interest is 5 percent?
A)$150
B)$163
C)$105
D)$200
E)$175
A)$150
B)$163
C)$105
D)$200
E)$175
$163
3
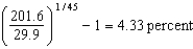
Suppose,when you retire 40 years from now,you will want to live on what is $5,000 per month at today's prices.How much will this be 40 years from now if the average annual rate of inflation is the same as that between 1965 and 2010? In 1965 the CPI was 29.9,and in 2010 the CPI was 201.6.
The average annual rate of inflation between 1965 and 2010 was:
Using this average annual rate,$5,000 40 years from now will equal $5,000 (1.0433)40 = $27,248 per month.
Alternatively,this can be calculated as
.
Using this average annual rate,$5,000 40 years from now will equal $5,000 (1.0433)40 = $27,248 per month.Alternatively,this can be calculated as
. 4
Suppose the CPI in 2010 was 188.9.In 1980,it was 49.3.What was the average annual rate of inflation over this 30-year period?
A)397 percent
B)10.21 percent
C)2.04 percent
D)5.54 percent
E)4.58 percent
A)397 percent
B)10.21 percent
C)2.04 percent
D)5.54 percent
E)4.58 percent
Unlock Deck
Unlock for access to all 11 flashcards in this deck.
Unlock Deck
k this deck
5
A zero-coupon bond pays only its face value at the end of a fixed number of years (its term to maturity)with no other interest or coupon payments.How much would you pay for this type of bond if the face value of $100 would be paid back at the end of 20 years and the interest rate were 7 percent? How much would you pay if the interest rate were 6 percent?
Unlock Deck
Unlock for access to all 11 flashcards in this deck.
Unlock Deck
k this deck
6
Find the present discounted value of:
(A)$500 to be paid at the end of 5 years.
(B)$100 to be paid at the end of 2 years and $100 to be paid at the end of 3 years.
(C)$8 to be paid at the end of 1 year,$8 to be paid at the end of 2 years,and $80 to be paid at the end of 3 years.
(A)$500 to be paid at the end of 5 years.
(B)$100 to be paid at the end of 2 years and $100 to be paid at the end of 3 years.
(C)$8 to be paid at the end of 1 year,$8 to be paid at the end of 2 years,and $80 to be paid at the end of 3 years.
Unlock Deck
Unlock for access to all 11 flashcards in this deck.
Unlock Deck
k this deck
7
Why would it be a good idea to plot time-series data on a ratio scale instead of a regular scale? What is the difference between the two types of graphs?
Unlock Deck
Unlock for access to all 11 flashcards in this deck.
Unlock Deck
k this deck
8
How long will it take a $100 deposit to increase to $200 if the rate of interest is 4 percent?
A)10 years
B)18 years
C)25 years
D)30 years
E)15 years
A)10 years
B)18 years
C)25 years
D)30 years
E)15 years
Unlock Deck
Unlock for access to all 11 flashcards in this deck.
Unlock Deck
k this deck
9
The purpose of a ratio scale is
A)to show the absolute variation in a variable.
B)to make equal percentage changes in a variable have the same vertical distance.
C)to make equal percentage changes in a variable have the same horizontal distance.
D)to make equal absolute changes in a variable have the same vertical distance.
E)to show how a variable is divided amongst its factors.
A)to show the absolute variation in a variable.
B)to make equal percentage changes in a variable have the same vertical distance.
C)to make equal percentage changes in a variable have the same horizontal distance.
D)to make equal absolute changes in a variable have the same vertical distance.
E)to show how a variable is divided amongst its factors.
Unlock Deck
Unlock for access to all 11 flashcards in this deck.
Unlock Deck
k this deck
10
Between 1980 and 2000,China's GDP grew at an annual rate of 9.7 percent.China's GDP in 2006 was estimated to be $2.5 trillion.If China continues to grow at the same rate as it did between 1980 and 2000,what will its GDP be in 2026? How many years will it take for China's GDP to be twice as large as it was in 2006?
Unlock Deck
Unlock for access to all 11 flashcards in this deck.
Unlock Deck
k this deck
11
Suppose real GDP per capita grows at a rate of 2.5 percent.How many years will it take for it to double? What if the growth in real GDP per capita were 3 percent?
Unlock Deck
Unlock for access to all 11 flashcards in this deck.
Unlock Deck
k this deck

