Deck 7: Carbohydrates and Glycobiology
Question
Question
Question
Question
Question
Question
Question
Question
Question
Question
Question
Question
Question
Question
Question
Question
Question
Question
Question
Question
Question
Question
Question
Question
Question
Question
Question
Question
Question
Question
Question
Question
Question
Question
Question
Question
Question
Question
Question
Question
Question
Question
Question
Question
Question
Question
Question
Question
Question
Question
Question
Question
Question
Question
Question
Question
Question
Question
Question
Question
Question
Question
Question
Question
Question
Question
Question
Question
Question
Question
Question
Question
Question
Question
Question
Question
Question
Question
Question
Question
Unlock Deck
Sign up to unlock the cards in this deck!
Unlock Deck
Unlock Deck
1/109
Play
Full screen (f)
Deck 7: Carbohydrates and Glycobiology
1
D-Glucose is called a reducing sugar because it undergoes an oxidation-reduction reaction at the anomeric carbon. One of the products of this reaction is:
A) D-galactose.
B) D-gluconate.
C) D-glucuronate.
D) D-ribose.
E) muramic acid.
A) D-galactose.
B) D-gluconate.
C) D-glucuronate.
D) D-ribose.
E) muramic acid.
B
2
Which pair is epimeric?
A) D-glucose and D-glucosamine
B) D-glucose and D-mannose
C) D-glucose and L-glucose
D) D-lactose and D-sucrose
E) L-mannose and L-fructose
A) D-glucose and D-glucosamine
B) D-glucose and D-mannose
C) D-glucose and L-glucose
D) D-lactose and D-sucrose
E) L-mannose and L-fructose
B
3
When two carbohydrates are epimers:
A) one is a pyranose, the other a furanose.
B) one is an aldose, the other a ketose.
C) they differ in length by one carbon.
D) they differ only in the configuration around one carbon atom.
E) they rotate plane-polarized light in the same direction.
A) one is a pyranose, the other a furanose.
B) one is an aldose, the other a ketose.
C) they differ in length by one carbon.
D) they differ only in the configuration around one carbon atom.
E) they rotate plane-polarized light in the same direction.
D
4
Which monosaccharides is NOT a carboxylic acid?
A) 6-phospho-gluconate
B) gluconate
C) glucose
D) glucuronate
E) muramic acid
A) 6-phospho-gluconate
B) gluconate
C) glucose
D) glucuronate
E) muramic acid
Unlock Deck
Unlock for access to all 109 flashcards in this deck.
Unlock Deck
k this deck
5
The basic structure of a proteoglycan consists of a core protein and a:
A) glycolipid.
B) glycosaminoglycan.
C) lectin.
D) lipopolysaccharide.
E) peptidoglycan.
A) glycolipid.
B) glycosaminoglycan.
C) lectin.
D) lipopolysaccharide.
E) peptidoglycan.
Unlock Deck
Unlock for access to all 109 flashcards in this deck.
Unlock Deck
k this deck
6
Which pair is anomeric?
A) D-glucose and D-fructose
B) D-glucose and L-fructose
C) D-glucose and L-glucose
D) -D-glucose and -D-glucose
E) -D-glucose and -L-glucose
A) D-glucose and D-fructose
B) D-glucose and L-fructose
C) D-glucose and L-glucose
D) -D-glucose and -D-glucose
E) -D-glucose and -L-glucose
Unlock Deck
Unlock for access to all 109 flashcards in this deck.
Unlock Deck
k this deck
7
Following complete hydrolysis of a sample of glycogen and a sample of cellulose, which statement must be TRUE?
A) The glycogen sample is more soluble than the cellulose sample.
B) The cellulose sample is more soluble than the glycogen sample.
C) Both samples consist of a mixture of -D-glucose and -D-glucose.
D) The glycogen sample has a higher ratio of -D-glucose than the cellulose sample.
E) The cellulose sample contains only -D-glucose.
A) The glycogen sample is more soluble than the cellulose sample.
B) The cellulose sample is more soluble than the glycogen sample.
C) Both samples consist of a mixture of -D-glucose and -D-glucose.
D) The glycogen sample has a higher ratio of -D-glucose than the cellulose sample.
E) The cellulose sample contains only -D-glucose.
Unlock Deck
Unlock for access to all 109 flashcards in this deck.
Unlock Deck
k this deck
8
Which statement about starch and glycogen is FALSE?
A) Amylose is unbranched; amylopectin and glycogen contain many ( 1 6) branches.
B) Both are homopolymers of glucose.
C) Both serve primarily as structural elements in cell walls.
D) Both starch and glycogen are stored intracellularly as insoluble granules.
E) Glycogen is more extensively branched than starch.
A) Amylose is unbranched; amylopectin and glycogen contain many ( 1 6) branches.
B) Both are homopolymers of glucose.
C) Both serve primarily as structural elements in cell walls.
D) Both starch and glycogen are stored intracellularly as insoluble granules.
E) Glycogen is more extensively branched than starch.
Unlock Deck
Unlock for access to all 109 flashcards in this deck.
Unlock Deck
k this deck
9
The reference compound for naming D and L isomers of sugars is:
A) fructose.
B) glucose.
C) glyceraldehyde.
D) ribose.
E) sucrose.
A) fructose.
B) glucose.
C) glyceraldehyde.
D) ribose.
E) sucrose.
Unlock Deck
Unlock for access to all 109 flashcards in this deck.
Unlock Deck
k this deck
10
Which compound is NOT a reducing sugar?
A) fructose
B) glucose
C) glyceraldehyde
D) ribose
E) sucrose
A) fructose
B) glucose
C) glyceraldehyde
D) ribose
E) sucrose
Unlock Deck
Unlock for access to all 109 flashcards in this deck.
Unlock Deck
k this deck
11
Hemoglobin glycation is a process where _____ is _____ attached to hemoglobin.
A) glycerol; covalently
B) glucose; enzymatically
C) glucose; nonenzymatically
D) N-acetyl-galactosamine; enzymatically
E) galactose; nonenzymatically
A) glycerol; covalently
B) glucose; enzymatically
C) glucose; nonenzymatically
D) N-acetyl-galactosamine; enzymatically
E) galactose; nonenzymatically
Unlock Deck
Unlock for access to all 109 flashcards in this deck.
Unlock Deck
k this deck
12
To possess optical activity, a compound must be:
A) a carbohydrate.
B) a hexose.
C) asymmetric.
D) colored.
E) D-glucose.
A) a carbohydrate.
B) a hexose.
C) asymmetric.
D) colored.
E) D-glucose.
Unlock Deck
Unlock for access to all 109 flashcards in this deck.
Unlock Deck
k this deck
13
Which of the following monosaccharides is NOT an aldose?
A) erythrose
B) fructose
C) glucose
D) glyceraldehyde
E) ribose
A) erythrose
B) fructose
C) glucose
D) glyceraldehyde
E) ribose
Unlock Deck
Unlock for access to all 109 flashcards in this deck.
Unlock Deck
k this deck
14
Which statement about hydrogen bonding in glycogen and cellulose is TRUE?
A) Glycogen forms more internal H-bonds than cellulose.
B) Extensive internal hydrogen bonding makes cellulose more water soluble than glycogen.
C) Extensive hydrogen bonding with water makes cellulose more soluble than glycogen.
D) Glycogen primarily forms hydrogen bonds within a single chain.
E) The hydrogen bonding in cellulose favors a helical conformation.
A) Glycogen forms more internal H-bonds than cellulose.
B) Extensive internal hydrogen bonding makes cellulose more water soluble than glycogen.
C) Extensive hydrogen bonding with water makes cellulose more soluble than glycogen.
D) Glycogen primarily forms hydrogen bonds within a single chain.
E) The hydrogen bonding in cellulose favors a helical conformation.
Unlock Deck
Unlock for access to all 109 flashcards in this deck.
Unlock Deck
k this deck
15
Which pair is interconverted in the process of mutarotation?
A) D-glucose and D-fructose
B) D-glucose and D-galactose
C) D-glucose and D-glucosamine
D) D-glucose and L-glucose
E) -D-glucose and -D-glucose
A) D-glucose and D-fructose
B) D-glucose and D-galactose
C) D-glucose and D-glucosamine
D) D-glucose and L-glucose
E) -D-glucose and -D-glucose
Unlock Deck
Unlock for access to all 109 flashcards in this deck.
Unlock Deck
k this deck
16
From the abbreviated name of the compound Gal( 1 4)Glc, we know that:
A) C-4 of glucose is joined to C-1 of galactose by a glycosidic bond.
B) the compound is a D-enantiomer.
C) the galactose residue is at the reducing end.
D) the glucose is in its pyranose form.
E) the glucose residue is the anomer.
A) C-4 of glucose is joined to C-1 of galactose by a glycosidic bond.
B) the compound is a D-enantiomer.
C) the galactose residue is at the reducing end.
D) the glucose is in its pyranose form.
E) the glucose residue is the anomer.
Unlock Deck
Unlock for access to all 109 flashcards in this deck.
Unlock Deck
k this deck
17
Which compound is a heteropolysaccharide?
A) cellulose
B) chitin
C) glycogen
D) hyaluronate
E) starch
A) cellulose
B) chitin
C) glycogen
D) hyaluronate
E) starch
Unlock Deck
Unlock for access to all 109 flashcards in this deck.
Unlock Deck
k this deck
18
When forming the disaccharide maltose from two glucose monosaccharides:
A) water is eliminated.
B) a hemiacetal is converted to an acetal.
C) the resulting dissacharide is no longer a reducing sugar.
D) water is eliminated and a hemiacetal is converted to an acetal.
E) None of the answers is correct.
A) water is eliminated.
B) a hemiacetal is converted to an acetal.
C) the resulting dissacharide is no longer a reducing sugar.
D) water is eliminated and a hemiacetal is converted to an acetal.
E) None of the answers is correct.
Unlock Deck
Unlock for access to all 109 flashcards in this deck.
Unlock Deck
k this deck
19
Starch and glycogen are both polymers of:
A) fructose.
B) glucose1-phosphate.
C) sucrose.
D) -D-glucose.
E) -D-glucose.
A) fructose.
B) glucose1-phosphate.
C) sucrose.
D) -D-glucose.
E) -D-glucose.
Unlock Deck
Unlock for access to all 109 flashcards in this deck.
Unlock Deck
k this deck
20
When the linear form of glucose cyclizes, the product is a(n):
A) anhydride.
B) glycoside.
C) hemiacetal.
D) lactone.
E) oligosaccharide.
A) anhydride.
B) glycoside.
C) hemiacetal.
D) lactone.
E) oligosaccharide.
Unlock Deck
Unlock for access to all 109 flashcards in this deck.
Unlock Deck
k this deck
21
Which statement is NOT true regarding phosphorylated sugar?
A) It is trapped inside the cell membrane.
B) It is relatively stable at neutral pH.
C) It is activated for subsequent chemical transformation
D) It can be a component of a nucleotide.
E) All of the statements are true.
A) It is trapped inside the cell membrane.
B) It is relatively stable at neutral pH.
C) It is activated for subsequent chemical transformation
D) It can be a component of a nucleotide.
E) All of the statements are true.
Unlock Deck
Unlock for access to all 109 flashcards in this deck.
Unlock Deck
k this deck
22
Which arrow CORRECTLY identifies the atom that will become the anomeric carbon? 
A) A
B) B
C) C
D) D
E) E

A) A
B) B
C) C
D) D
E) E
Unlock Deck
Unlock for access to all 109 flashcards in this deck.
Unlock Deck
k this deck
23
Why is it surprising that the side chains of tryptophan residues in lectins can interact with sugars?
A) because the side chain of tryptophan is hydrophilic and sugars are hydrophobic
B) because the side chain of tryptophan is (-) charged and sugars are generally (+) charged or neutral
C) because the side chain of tryptophan can make hydrogen bonds and sugars cannot
D) because the side chain of tryptophan is hydrophobic and sugars are generally hydrophilic
E) None of the answers is correct.
A) because the side chain of tryptophan is hydrophilic and sugars are hydrophobic
B) because the side chain of tryptophan is (-) charged and sugars are generally (+) charged or neutral
C) because the side chain of tryptophan can make hydrogen bonds and sugars cannot
D) because the side chain of tryptophan is hydrophobic and sugars are generally hydrophilic
E) None of the answers is correct.
Unlock Deck
Unlock for access to all 109 flashcards in this deck.
Unlock Deck
k this deck
24
Which statement about heparan sulfate is NOT true?
A) Sulfation of heparan sulfate to form NS domains is important for its role as an anticoagulant.
B) Heparan sulfate can promote protein-protein interactions via the NS domains.
C) The secondary structure of heparan sulfate is completely random.
D) The NA domains of heparan sulfate contain no sulfation.
E) The core repeating structure of heparan sulfate is made up of alternating GlcNAc and GlcA.
A) Sulfation of heparan sulfate to form NS domains is important for its role as an anticoagulant.
B) Heparan sulfate can promote protein-protein interactions via the NS domains.
C) The secondary structure of heparan sulfate is completely random.
D) The NA domains of heparan sulfate contain no sulfation.
E) The core repeating structure of heparan sulfate is made up of alternating GlcNAc and GlcA.
Unlock Deck
Unlock for access to all 109 flashcards in this deck.
Unlock Deck
k this deck
25
During which process are chemical bonds NOT broken?
A) mutarotation
B) interconverting between two configurations
C) interconverting between two conformations
D) interconverting between two anomers
E) None of the answers is correct: all involve breaking a chemical bond.
A) mutarotation
B) interconverting between two configurations
C) interconverting between two conformations
D) interconverting between two anomers
E) None of the answers is correct: all involve breaking a chemical bond.
Unlock Deck
Unlock for access to all 109 flashcards in this deck.
Unlock Deck
k this deck
26
Which monosaccharide is NOT a six-carbon monosaccharide?
A) fructose
B) ribose
C) mannose
D) glucose
E) galactose
A) fructose
B) ribose
C) mannose
D) glucose
E) galactose
Unlock Deck
Unlock for access to all 109 flashcards in this deck.
Unlock Deck
k this deck
27
Which statement is NOT a reason that it is difficult to study oligosaccharide composition from biological systems?
A) Oligosaccharides are often branched.
B) Oligosaccharides often have a high negative charge density.
C) Oligosaccharides have a variety of linkages .
D) Oligosaccharides have too much conformational flexibility.
E) There are no specific glycosidase enzymes that can be used to selectively digest oligosaccharides.
A) Oligosaccharides are often branched.
B) Oligosaccharides often have a high negative charge density.
C) Oligosaccharides have a variety of linkages .
D) Oligosaccharides have too much conformational flexibility.
E) There are no specific glycosidase enzymes that can be used to selectively digest oligosaccharides.
Unlock Deck
Unlock for access to all 109 flashcards in this deck.
Unlock Deck
k this deck
28
Which compound(s) is/are a dominant feature of the outer membrane of the cell wall of gram-negative bacteria?
A) amylose
B) cellulose
C) glycoproteins
D) lipopolysaccharides
E) lipoproteins
A) amylose
B) cellulose
C) glycoproteins
D) lipopolysaccharides
E) lipoproteins
Unlock Deck
Unlock for access to all 109 flashcards in this deck.
Unlock Deck
k this deck
29
Which reason is the MOST plausible for why most hexoses of living organisms are D isomers?
A) D isomers are more energetically favorable.
B) D isomers are also used by amino acids.
C) Sugars must be opposite isomers from amino acids.
D) Evolving enzymes were made to remain with an initial preference.
E) Evolving enzymes switch preference often to find the best isomer.
A) D isomers are more energetically favorable.
B) D isomers are also used by amino acids.
C) Sugars must be opposite isomers from amino acids.
D) Evolving enzymes were made to remain with an initial preference.
E) Evolving enzymes switch preference often to find the best isomer.
Unlock Deck
Unlock for access to all 109 flashcards in this deck.
Unlock Deck
k this deck
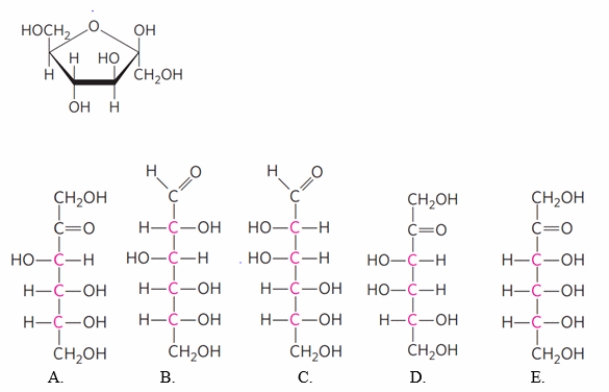
30
Based on the form of the cyclic sugar shown below in a Haworth projection, which Fischer projection formula could have formed this structure? 

Unlock Deck
Unlock for access to all 109 flashcards in this deck.
Unlock Deck
k this deck
31
The biochemical property of lectins that is the basis for most of their biological effects is their ability to bind to:
A) amphipathic molecules.
B) hydrophobic molecules.
C) specific lipids.
D) specific oligosaccharides.
E) specific peptides.
A) amphipathic molecules.
B) hydrophobic molecules.
C) specific lipids.
D) specific oligosaccharides.
E) specific peptides.
Unlock Deck
Unlock for access to all 109 flashcards in this deck.
Unlock Deck
k this deck
32
The two monosaccharides shown below could BEST be described as: 
A) ketoses.
B) anomers.
C) rotamers.
D) epimers.
E) enantiomers.

A) ketoses.
B) anomers.
C) rotamers.
D) epimers.
E) enantiomers.
Unlock Deck
Unlock for access to all 109 flashcards in this deck.
Unlock Deck
k this deck
33
It is useful to analyze hemoglobin glycation to determine a(n):
A) single-time measurement of blood glucose levels.
B) single-time measurement of blood glycogen levels.
C) average blood glucose level over days or weeks.
D) average blood glycogen level over days or weeks.
E) None of the answers is correct.
A) single-time measurement of blood glucose levels.
B) single-time measurement of blood glycogen levels.
C) average blood glucose level over days or weeks.
D) average blood glycogen level over days or weeks.
E) None of the answers is correct.
Unlock Deck
Unlock for access to all 109 flashcards in this deck.
Unlock Deck
k this deck
34
When drawing a Haworth perspective formula from a Fisher projection, which statement is TRUE regarding anomers?
A) It is if the hydroxyl group on the anomeric carbon is up.
B) It is if the hydroxyl group on the anomeric carbon is down
C) It is if the hydroxyl group on the anomeric carbon on the same side of the ring as the C6
D) It is if the hydroxyl group on the anomeric carbon on the opposite side of the ring as the C6
E) None of the answers is correct.
A) It is if the hydroxyl group on the anomeric carbon is up.
B) It is if the hydroxyl group on the anomeric carbon is down
C) It is if the hydroxyl group on the anomeric carbon on the same side of the ring as the C6
D) It is if the hydroxyl group on the anomeric carbon on the opposite side of the ring as the C6
E) None of the answers is correct.
Unlock Deck
Unlock for access to all 109 flashcards in this deck.
Unlock Deck
k this deck
35
In glycoproteins, the carbohydrate moiety is always attached through the amino acid residues:
A) asparagine, serine, or threonine.
B) aspartate or glutamate.
C) glutamine or arginine.
D) glycine, alanine, or aspartate.
E) tryptophan, aspartate, or cysteine.
A) asparagine, serine, or threonine.
B) aspartate or glutamate.
C) glutamine or arginine.
D) glycine, alanine, or aspartate.
E) tryptophan, aspartate, or cysteine.
Unlock Deck
Unlock for access to all 109 flashcards in this deck.
Unlock Deck
k this deck
36
Which technique is NOT commonly used to study oligosaccharide structures?
A) x-ray crystallography
B) matrix-assisted laser desorption/ionization mass spectroscopy (MALDI-MS)
C) nuclear magnetic resonance (NMR)
D) complete chemical synthesis
E) oligosaccharide microarrays
A) x-ray crystallography
B) matrix-assisted laser desorption/ionization mass spectroscopy (MALDI-MS)
C) nuclear magnetic resonance (NMR)
D) complete chemical synthesis
E) oligosaccharide microarrays
Unlock Deck
Unlock for access to all 109 flashcards in this deck.
Unlock Deck
k this deck
37
Which modification CANNOT be made to a sugar molecule by an organism?
A) oxidation of the carbonyl carbon
B) replacing a hydroxyl group with an amino group
C) oxidizing a carbon atom to a carboxyl group
D) replacing a hydroxyl group with a hydrogen atom.
E) All of the answer choices are possible sugar derivatives.
A) oxidation of the carbonyl carbon
B) replacing a hydroxyl group with an amino group
C) oxidizing a carbon atom to a carboxyl group
D) replacing a hydroxyl group with a hydrogen atom.
E) All of the answer choices are possible sugar derivatives.
Unlock Deck
Unlock for access to all 109 flashcards in this deck.
Unlock Deck
k this deck
38
A glycoconjugate molecule may include a carbohydrate as well as:
A) an amino acid.
B) a lipid.
C) a saccharide.
D) both an amino acid and a lipid.
E) an amino acid, a lipid, and a saccharide.
A) an amino acid.
B) a lipid.
C) a saccharide.
D) both an amino acid and a lipid.
E) an amino acid, a lipid, and a saccharide.
Unlock Deck
Unlock for access to all 109 flashcards in this deck.
Unlock Deck
k this deck
39
Which statement concerning sialic acid residues on glycoproteins is TRUE?
A) Sialic residues on erythrocytes are recognized by lectins, leading to removal of the erythrocytes.
B) Sialic residues on ceruloplasmin are recognized by lectins, leading to removal of ceruloplasmin.
C) Sialic residues are removed by neuraminidases.
D) The antiviral drug oseltamavir accelerates the removal of sialic acid residues.
E) All of the statements are true.
A) Sialic residues on erythrocytes are recognized by lectins, leading to removal of the erythrocytes.
B) Sialic residues on ceruloplasmin are recognized by lectins, leading to removal of ceruloplasmin.
C) Sialic residues are removed by neuraminidases.
D) The antiviral drug oseltamavir accelerates the removal of sialic acid residues.
E) All of the statements are true.
Unlock Deck
Unlock for access to all 109 flashcards in this deck.
Unlock Deck
k this deck
40
In a(n) _____ the carbonyl group is at the end of the carbon chain, but in a(n) _____ the carbonyl group can be at any other position.
A) aldose; ketose
B) ketose; aldose
C) hexose; heptose
D) aldose; hexose
E) ketose; tetrose
A) aldose; ketose
B) ketose; aldose
C) hexose; heptose
D) aldose; hexose
E) ketose; tetrose
Unlock Deck
Unlock for access to all 109 flashcards in this deck.
Unlock Deck
k this deck
41
In most cases, in order for an informational carbohydrate to become a biologically active molecule, it must:
A) be an asymmetric molecule.
B) contain a reducing sugar.
C) contain an O-glycosidic bond.
D) be covalently joined to a protein or lipid.
E) be present in the extracellular matrix.
A) be an asymmetric molecule.
B) contain a reducing sugar.
C) contain an O-glycosidic bond.
D) be covalently joined to a protein or lipid.
E) be present in the extracellular matrix.
Unlock Deck
Unlock for access to all 109 flashcards in this deck.
Unlock Deck
k this deck
42
Which statement about free glucose storage is FALSE?
A) Glucose is insoluble and cannot contribute to the osmotic balance of the cell.
B) Glycogen has an intracellular concentration of 0.1 M, equivalent to a glucose concentration of 0.4 M.
C) The free energy difference between intra- and extracellular free glucose would be difficult to overcome for glucose uptake by the cell.
D) The concentration gradient of intra- and extracellular glucose would be prohibitively large.
E) All statements are true.
A) Glucose is insoluble and cannot contribute to the osmotic balance of the cell.
B) Glycogen has an intracellular concentration of 0.1 M, equivalent to a glucose concentration of 0.4 M.
C) The free energy difference between intra- and extracellular free glucose would be difficult to overcome for glucose uptake by the cell.
D) The concentration gradient of intra- and extracellular glucose would be prohibitively large.
E) All statements are true.
Unlock Deck
Unlock for access to all 109 flashcards in this deck.
Unlock Deck
k this deck
43
The polysaccharide chitin is MOST chemically similar to:
A) cellulose.
B) dextran.
C) glycogen.
D) starch.
E) amylose.
A) cellulose.
B) dextran.
C) glycogen.
D) starch.
E) amylose.
Unlock Deck
Unlock for access to all 109 flashcards in this deck.
Unlock Deck
k this deck
44
Which disaccharide does NOT have an anomeric carbon available for oxidation?
A) Glc ( 1 1 ) Glc
B) Glc ( 1 2 ) Fru
C) Fru ( 2 1 ) Glc
D) both Glc ( 1 2 ) Fru and Fru ( 2 1 ) Glc
E) None of the above
A) Glc ( 1 1 ) Glc
B) Glc ( 1 2 ) Fru
C) Fru ( 2 1 ) Glc
D) both Glc ( 1 2 ) Fru and Fru ( 2 1 ) Glc
E) None of the above
Unlock Deck
Unlock for access to all 109 flashcards in this deck.
Unlock Deck
k this deck
45
Which statement about dextrans is FALSE?
A) Dextrans are bacterial and yeast polysaccharides.
B) All dextrans are made up of ( 1 4)-linked poly-D-glucose.
C) All dextrans have ( 1 3) branches.
D) Some dextrans have ( 1 2) branches.
E) All statements are true.
A) Dextrans are bacterial and yeast polysaccharides.
B) All dextrans are made up of ( 1 4)-linked poly-D-glucose.
C) All dextrans have ( 1 3) branches.
D) Some dextrans have ( 1 2) branches.
E) All statements are true.
Unlock Deck
Unlock for access to all 109 flashcards in this deck.
Unlock Deck
k this deck
46
Which statement is FALSE about the enzyme lysozyme?
A) It is the active ingredient in penicillin.
B) It is found in human tears.
C) It is produced by some bacterial viruses.
D) It hydrolyzes the ( 1 4) glycosidic bond of peptidoglycan.
E) It causes osmotic lysis of bacterial cells.
A) It is the active ingredient in penicillin.
B) It is found in human tears.
C) It is produced by some bacterial viruses.
D) It hydrolyzes the ( 1 4) glycosidic bond of peptidoglycan.
E) It causes osmotic lysis of bacterial cells.
Unlock Deck
Unlock for access to all 109 flashcards in this deck.
Unlock Deck
k this deck
47
Why are ruminant animals like cows able to digest cellulose?
A) Their teeth are able to grind the polysaccharide into smaller saccharides.
B) Their stomachs secrete the enzyme cellulose.
C) They have a stomach compartment that houses symbiotic microorganisms that can hydrolyze cellulose.
D) Their small intestine contains an environment suitable to hydrolyze cellulose.
E) All animals can digest cellulose.
A) Their teeth are able to grind the polysaccharide into smaller saccharides.
B) Their stomachs secrete the enzyme cellulose.
C) They have a stomach compartment that houses symbiotic microorganisms that can hydrolyze cellulose.
D) Their small intestine contains an environment suitable to hydrolyze cellulose.
E) All animals can digest cellulose.
Unlock Deck
Unlock for access to all 109 flashcards in this deck.
Unlock Deck
k this deck
48
In amylose, the most stable structure is a _____, which is stabilized by _____.
A) coiled helix; interchain hydrogen bonds
B) coiled helix; interchain covalent branching
C) coiled helix; hydrogen bonds to surrounding water molecules
D) straight, extended chain; interchain hydrogen bonds
E) straight, extended chain; hydrogen bonds to surrounding water molecules
A) coiled helix; interchain hydrogen bonds
B) coiled helix; interchain covalent branching
C) coiled helix; hydrogen bonds to surrounding water molecules
D) straight, extended chain; interchain hydrogen bonds
E) straight, extended chain; hydrogen bonds to surrounding water molecules
Unlock Deck
Unlock for access to all 109 flashcards in this deck.
Unlock Deck
k this deck
49
Which statement about cellulose is TRUE?
A) Cellulose is the main storage polysaccharide of animal cells.
B) Cellulose is a highly branched polysaccharide.
C) Cellulose is a homopolysaccharide.
D) Cellulose glucose residues contain the same configuration as amylose glucose residues.
E) Cellulose cannot be broken down by invertebrate animals.
A) Cellulose is the main storage polysaccharide of animal cells.
B) Cellulose is a highly branched polysaccharide.
C) Cellulose is a homopolysaccharide.
D) Cellulose glucose residues contain the same configuration as amylose glucose residues.
E) Cellulose cannot be broken down by invertebrate animals.
Unlock Deck
Unlock for access to all 109 flashcards in this deck.
Unlock Deck
k this deck
50
Which glycosaminoglycan is found in the synovial fluid of joints?
A) chondroitin sulfate
B) dermatan sulfate
C) hyaluronan
D) keratin sulfate
E) heparan sulfate
A) chondroitin sulfate
B) dermatan sulfate
C) hyaluronan
D) keratin sulfate
E) heparan sulfate
Unlock Deck
Unlock for access to all 109 flashcards in this deck.
Unlock Deck
k this deck
51
What is the CORRECT name for the linkage between these monosaccharide derivatives? 
A) ( 1 4)
B) ( 1 4)
C) (1 4)
D) ( 1 4)
E) ( 1 4)

A) ( 1 4)
B) ( 1 4)
C) (1 4)
D) ( 1 4)
E) ( 1 4)
Unlock Deck
Unlock for access to all 109 flashcards in this deck.
Unlock Deck
k this deck
52
What possible benefits are provided by extended conformation that the heteropolysaccharide glycosaminoglycans assume in solution?
A) The repulsive forces of densely packed negative charges are minimized.
B) The hydrophobic portions of the molecules may pack closely together to maximize van der Waals forces.
C) The patterns of sulfated and nonsulfated sugar residues are more easily recognized by their respective ligands.
D) The repulsive forces of densely packed negative charges are minimized, and the hydrophobic portions of the molecules may pack closely together to maximize van der Waals forces.
E) The repulsive forces of densely packed negative charges are minimized, and the patterns of sulfated and nonsulfated sugar residues are more easily recognized by their respective ligands.
A) The repulsive forces of densely packed negative charges are minimized.
B) The hydrophobic portions of the molecules may pack closely together to maximize van der Waals forces.
C) The patterns of sulfated and nonsulfated sugar residues are more easily recognized by their respective ligands.
D) The repulsive forces of densely packed negative charges are minimized, and the hydrophobic portions of the molecules may pack closely together to maximize van der Waals forces.
E) The repulsive forces of densely packed negative charges are minimized, and the patterns of sulfated and nonsulfated sugar residues are more easily recognized by their respective ligands.
Unlock Deck
Unlock for access to all 109 flashcards in this deck.
Unlock Deck
k this deck
53
The difference in interchain stability between the polysaccharides glycogen and cellulose is due to:
A) the different glycosidic linkages of the molecules.
B) the different hydrogen bonding partners of the individual chains.
C) the incorporation of complex ions in the three dimensional structures of both polysaccharides.
D) both the different glycosidic linkages of the molecules and the different hydrogen bonding partners of the individual chains.
E) None of the answers is correct.
A) the different glycosidic linkages of the molecules.
B) the different hydrogen bonding partners of the individual chains.
C) the incorporation of complex ions in the three dimensional structures of both polysaccharides.
D) both the different glycosidic linkages of the molecules and the different hydrogen bonding partners of the individual chains.
E) None of the answers is correct.
Unlock Deck
Unlock for access to all 109 flashcards in this deck.
Unlock Deck
k this deck
54
Which statement provides the MOST compelling reason to devote resources to study cellulose-degrading enzymes?
A) Humans could use cellulose as a food source.
B) Biomass could be converted to crude oil under high pressure.
C) Symbiotic microorganisms in digestive tracts could be used as treatments in some GI tract diseases.
D) Biomass could be converted more easily to bioenergy.
E) None of the answers is correct.
A) Humans could use cellulose as a food source.
B) Biomass could be converted to crude oil under high pressure.
C) Symbiotic microorganisms in digestive tracts could be used as treatments in some GI tract diseases.
D) Biomass could be converted more easily to bioenergy.
E) None of the answers is correct.
Unlock Deck
Unlock for access to all 109 flashcards in this deck.
Unlock Deck
k this deck
55
Which statement is FALSE regarding proteoglycans?
A) Both syndecans and glypicans can be shed into the extracellular space.
B) Proteoglycan shedding is unregulated in cells.
C) A protease or phospholipase is responsible for releasing proteoglycans.
D) Proteoglycan shedding is activated in cancerous cells.
E) Cell features such as proteoglycans can be changed quickly.
A) Both syndecans and glypicans can be shed into the extracellular space.
B) Proteoglycan shedding is unregulated in cells.
C) A protease or phospholipase is responsible for releasing proteoglycans.
D) Proteoglycan shedding is activated in cancerous cells.
E) Cell features such as proteoglycans can be changed quickly.
Unlock Deck
Unlock for access to all 109 flashcards in this deck.
Unlock Deck
k this deck
56
Which commonality does NOT exist between peptides, nucleic acids, and poly- and oligosaccharides?
A) They are all synthesized from a template.
B) They are all information-carrying molecules.
C) They are all created from multiple building blocks.
D) The sequence of monomers is important for function.
E) All of the answer choices are commonalities between peptides, nucleic acids, and poly- and oligosaccharides.
A) They are all synthesized from a template.
B) They are all information-carrying molecules.
C) They are all created from multiple building blocks.
D) The sequence of monomers is important for function.
E) All of the answer choices are commonalities between peptides, nucleic acids, and poly- and oligosaccharides.
Unlock Deck
Unlock for access to all 109 flashcards in this deck.
Unlock Deck
k this deck
57
A solution of the heteropolysaccharide _____ can be heated and cooled to form a three-dimensional matrix that traps water and supports the electrophoretic separation of nucleic acids.
A) dextrose
B) agarose
C) glycosaminoglycans
D) amylose
E) cellulose
A) dextrose
B) agarose
C) glycosaminoglycans
D) amylose
E) cellulose
Unlock Deck
Unlock for access to all 109 flashcards in this deck.
Unlock Deck
k this deck
58
Polysaccharides CANNOT be used by cells:
A) as fuel storage molecules.
B) for structural elements in cell walls.
C) for structural elements in animal exoskeletons.
D) for the extracellular matrix in animal cells.
E) All of the answers are correct.
A) as fuel storage molecules.
B) for structural elements in cell walls.
C) for structural elements in animal exoskeletons.
D) for the extracellular matrix in animal cells.
E) All of the answers are correct.
Unlock Deck
Unlock for access to all 109 flashcards in this deck.
Unlock Deck
k this deck
59
Which polysaccharide(s) can the enzyme -amylase break?
A) glycogen
B) starch
C) cellulose
D) both glycogen and cellulose
E) both glycogen and starch
A) glycogen
B) starch
C) cellulose
D) both glycogen and cellulose
E) both glycogen and starch
Unlock Deck
Unlock for access to all 109 flashcards in this deck.
Unlock Deck
k this deck
60
Which polysaccharide is NOT a homopolysaccharide?
A) glycogen
B) chitin
C) amylose
D) glycosaminoglycan
E) dextran
A) glycogen
B) chitin
C) amylose
D) glycosaminoglycan
E) dextran
Unlock Deck
Unlock for access to all 109 flashcards in this deck.
Unlock Deck
k this deck
61
Why is methyl iodide used in the classical method of exhaustive methylation to determine the positions of glycosidic bonds in a linear polysaccharide?
A) All free hydroxyls become unstable, allowing hydrolysis of only glycosidic bonds to occur in acid.
B) All free hydroxyls become stable, allowing hydrolysis of only glycosidic bonds to occur in acid.
C) All glycosidic bonds react with methyl iodide.
D) All glycosidic bonds become stable for treatment with acid.
E) All glycosidic bonds are hydrolyzed with methyl iodide.
A) All free hydroxyls become unstable, allowing hydrolysis of only glycosidic bonds to occur in acid.
B) All free hydroxyls become stable, allowing hydrolysis of only glycosidic bonds to occur in acid.
C) All glycosidic bonds react with methyl iodide.
D) All glycosidic bonds become stable for treatment with acid.
E) All glycosidic bonds are hydrolyzed with methyl iodide.
Unlock Deck
Unlock for access to all 109 flashcards in this deck.
Unlock Deck
k this deck
62
Which sequence is the CORRECT one for leukocyte extravasion in the inflammatory response?
A) integrin binding selectin binding adhesion arrest extravasion
B) adhesion integrin binding selectin binding arrest extravasion
C) selectin binding integrin binding adhesion arrest extravasion
D) integrin binding adhesion selectin binding arrest extravasion
E) selectin binding adhesion integrin binding arrest extravasion
A) integrin binding selectin binding adhesion arrest extravasion
B) adhesion integrin binding selectin binding arrest extravasion
C) selectin binding integrin binding adhesion arrest extravasion
D) integrin binding adhesion selectin binding arrest extravasion
E) selectin binding adhesion integrin binding arrest extravasion
Unlock Deck
Unlock for access to all 109 flashcards in this deck.
Unlock Deck
k this deck
63
Assuming 20 common amino acids and 20 different monosaccharide subunits that are available for construction of polypeptides and oligosaccharides, respectively, compare the possible variations of these macromolecules using a hypothetical hexameric oligomer.
A) 206 possible variations for both polypeptides and oligosaccharides
B) 620 variations for both polypeptide and oligosaccharides
C) 206 variations for polypeptides and orders of magnitude greater for oligosaccharides
D) 206 variations for oligosaccharides and orders of magnitude greater for polypeptides
E) It cannot be determined from the information given.
A) 206 possible variations for both polypeptides and oligosaccharides
B) 620 variations for both polypeptide and oligosaccharides
C) 206 variations for polypeptides and orders of magnitude greater for oligosaccharides
D) 206 variations for oligosaccharides and orders of magnitude greater for polypeptides
E) It cannot be determined from the information given.
Unlock Deck
Unlock for access to all 109 flashcards in this deck.
Unlock Deck
k this deck
64
_____ is the determination of the full component and function of sugar-containing molecules in a cell or tissue.
A) Genomics
B) Proteomics
C) Glycomics
D) Metabolomics
E) Lipidomics
A) Genomics
B) Proteomics
C) Glycomics
D) Metabolomics
E) Lipidomics
Unlock Deck
Unlock for access to all 109 flashcards in this deck.
Unlock Deck
k this deck
65
What strategy do cells use to overcome the modest affinity between an oligosaccharide and an individual CBD of a lectin?
A) lectin multivalency
B) expressing multiple lectin receptors
C) placing multiple CBDs on a single lectin molecule
D) both lectin multivalency and placing multiple CBDs on a single lectin molecule
E) lectin multivalency, expressing multiple lectin receptors, and placing multiple CBDs on a single lectin molecule
A) lectin multivalency
B) expressing multiple lectin receptors
C) placing multiple CBDs on a single lectin molecule
D) both lectin multivalency and placing multiple CBDs on a single lectin molecule
E) lectin multivalency, expressing multiple lectin receptors, and placing multiple CBDs on a single lectin molecule
Unlock Deck
Unlock for access to all 109 flashcards in this deck.
Unlock Deck
k this deck
66
Enzymatic hydrolysis of a purified polysaccharide with a glycosidase that cleaves specifically usually occurs before analysis by:
A) NMR and mass spectrometry.
B) ion-exchange chromatography.
C) gel-filtration chromatography.
D) lectin-affinity chromatography.
E) gas-liquid chromatography.
A) NMR and mass spectrometry.
B) ion-exchange chromatography.
C) gel-filtration chromatography.
D) lectin-affinity chromatography.
E) gas-liquid chromatography.
Unlock Deck
Unlock for access to all 109 flashcards in this deck.
Unlock Deck
k this deck
67
_____ are secreted or membrane proteins that contain large numbers of O-linked oligosaccharide chains.
A) Gangliosides
B) Mucins
C) Glycins
D) Aminoglycans
E) Immunoglobulins
A) Gangliosides
B) Mucins
C) Glycins
D) Aminoglycans
E) Immunoglobulins
Unlock Deck
Unlock for access to all 109 flashcards in this deck.
Unlock Deck
k this deck
68
Which statement accurately describes the interactions between the molecules thrombin, antithrombin, and heparan sulfate?
A) In the absence of heparan sulfate, antithrombin binds tightly to thrombin, inhibiting blood coagulation.
B) In the absence of heparan sulfate, antithrombin cannot bind to thrombin, inhibiting blood coagulation.
C) In the presence of heparan sulfate, antithrombin binds tightly to thrombin, inhibiting blood coagulation.
D) In the presence of heparan sulfate, antithrombin cannot bind to thrombin, enabling blood coagulation.
E) In the presence of heparan sulfate, antithrombin binds tightly to thrombin, enabling blood coagulation.
A) In the absence of heparan sulfate, antithrombin binds tightly to thrombin, inhibiting blood coagulation.
B) In the absence of heparan sulfate, antithrombin cannot bind to thrombin, inhibiting blood coagulation.
C) In the presence of heparan sulfate, antithrombin binds tightly to thrombin, inhibiting blood coagulation.
D) In the presence of heparan sulfate, antithrombin cannot bind to thrombin, enabling blood coagulation.
E) In the presence of heparan sulfate, antithrombin binds tightly to thrombin, enabling blood coagulation.
Unlock Deck
Unlock for access to all 109 flashcards in this deck.
Unlock Deck
k this deck
69
Which type of protein interaction is NOT one with the NS domains of heparan sulfate?
A) conformational activation
B) cell-surface localization/concentration
C) enhanced protein-protein interaction
D) binding extracellular signaling molecules
E) All of the answer choices are types of protein interaction with heparan sulfate.
A) conformational activation
B) cell-surface localization/concentration
C) enhanced protein-protein interaction
D) binding extracellular signaling molecules
E) All of the answer choices are types of protein interaction with heparan sulfate.
Unlock Deck
Unlock for access to all 109 flashcards in this deck.
Unlock Deck
k this deck
70
About what percentage of mammalian proteins are glycosylated?
A) 5%
B) 15%
C) 50%
D) 90%
E) 95%
A) 5%
B) 15%
C) 50%
D) 90%
E) 95%
Unlock Deck
Unlock for access to all 109 flashcards in this deck.
Unlock Deck
k this deck
71
The antiviral drugs oseltamivir (Tamiflu) and zanamivir (Relenza) do NOT work by:
A) inhibiting the viral enzyme that trims the host cell's oligosaccharides.
B) causing the viral particles to aggregate.
C) competing with the host cell's oligosaccharides for binding.
D) preventing the release of viruses from the infected cell.
E) All of the answers are correct.
A) inhibiting the viral enzyme that trims the host cell's oligosaccharides.
B) causing the viral particles to aggregate.
C) competing with the host cell's oligosaccharides for binding.
D) preventing the release of viruses from the infected cell.
E) All of the answers are correct.
Unlock Deck
Unlock for access to all 109 flashcards in this deck.
Unlock Deck
k this deck
72
The severalfold greater incidence of gastric ulcers in _____ is due in part to a surface lectin in the bacterium Helicobacter pylori.
A) men versus women
B) people with a certain blood type
C) people of a certain age
D) people with autoimmune diseases
E) None of the answers is correct.
A) men versus women
B) people with a certain blood type
C) people of a certain age
D) people with autoimmune diseases
E) None of the answers is correct.
Unlock Deck
Unlock for access to all 109 flashcards in this deck.
Unlock Deck
k this deck
73
A microarray of oligosaccharides can be used to determine:
A) specificity of lectin binding.
B) affinity of lectin binding.
C) conformational flexibility of lectin binding.
D) both specificity and affinity of lectin binding.
E) both specificity and conformational flexibility of lectin binding.
A) specificity of lectin binding.
B) affinity of lectin binding.
C) conformational flexibility of lectin binding.
D) both specificity and affinity of lectin binding.
E) both specificity and conformational flexibility of lectin binding.
Unlock Deck
Unlock for access to all 109 flashcards in this deck.
Unlock Deck
k this deck
74
Which factor is NOT a part of determining the complete structure of an oligosaccharide or polysaccharide?
A) determination of linear sequence
B) determination of lectin partners
C) determination of branching positions
D) determination of glycosidic linkages
E) determination of monosaccharide configuration
A) determination of linear sequence
B) determination of lectin partners
C) determination of branching positions
D) determination of glycosidic linkages
E) determination of monosaccharide configuration
Unlock Deck
Unlock for access to all 109 flashcards in this deck.
Unlock Deck
k this deck
75
_____ could be used to determine human blood group type.
A) Lipopolysaccharides
B) Globoside
C) Glycoproteins
D) Lipoproteins
E) Mucins
A) Lipopolysaccharides
B) Globoside
C) Glycoproteins
D) Lipoproteins
E) Mucins
Unlock Deck
Unlock for access to all 109 flashcards in this deck.
Unlock Deck
k this deck
76
Oligosaccharides differ from nucleic acids and proteins in that oligosaccharides are commonly:
A) branched.
B) polymeric.
C) acidic.
D) basic.
E) None of the answers is correct.
A) branched.
B) polymeric.
C) acidic.
D) basic.
E) None of the answers is correct.
Unlock Deck
Unlock for access to all 109 flashcards in this deck.
Unlock Deck
k this deck
77
High-performance liquid chromatography (HPLC) can be used to determine the:
A) position(s) of glycosidic bonds in a polysaccharide.
B) sequence of monosaccharides from a polysaccharide.
C) sequence of monosaccharides, as well as position and configuration of glycosidic bonds.
D) types and amounts of monosaccharide units in a polysaccharide.
E) None of the answers is correct.
A) position(s) of glycosidic bonds in a polysaccharide.
B) sequence of monosaccharides from a polysaccharide.
C) sequence of monosaccharides, as well as position and configuration of glycosidic bonds.
D) types and amounts of monosaccharide units in a polysaccharide.
E) None of the answers is correct.
Unlock Deck
Unlock for access to all 109 flashcards in this deck.
Unlock Deck
k this deck
78
Under what circumstance might an organism's patterns of glycosylation NOT be altered?
A) development
B) genetic diseases
C) cancer
D) cell differentiation
E) All of the answers are correct.
A) development
B) genetic diseases
C) cancer
D) cell differentiation
E) All of the answers are correct.
Unlock Deck
Unlock for access to all 109 flashcards in this deck.
Unlock Deck
k this deck
79
Several types of human joint and skeletal defects are a result of a defect in a biosynthetic enzyme responsible for synthesis of:
A) glycosaminoglycans.
B) glycoproteins.
C) glycolipids.
D) lipopolysaccharides.
E) glycosphingolipids.
A) glycosaminoglycans.
B) glycoproteins.
C) glycolipids.
D) lipopolysaccharides.
E) glycosphingolipids.
Unlock Deck
Unlock for access to all 109 flashcards in this deck.
Unlock Deck
k this deck
80
Which description of a ganglioside is MOST accurate?
A) the dominant surface feature of gram-negative bacteria.
B) the dominant surface feature of gram-positive bacteria.
C) an oligosaccharide chain attached to a newly synthesized protein in the ER
D) a membrane lipid in which the polar head group is a complex oligosaccharide containing at least one sialic acid
E) a membrane lipid in which the oligosaccharide is attached to a mucin
A) the dominant surface feature of gram-negative bacteria.
B) the dominant surface feature of gram-positive bacteria.
C) an oligosaccharide chain attached to a newly synthesized protein in the ER
D) a membrane lipid in which the polar head group is a complex oligosaccharide containing at least one sialic acid
E) a membrane lipid in which the oligosaccharide is attached to a mucin
Unlock Deck
Unlock for access to all 109 flashcards in this deck.
Unlock Deck
k this deck

