Deck 25: Lipids
Question
Question
Question
Question
Question
Question
Question
Question
Question
Question
Question
Question
Question
Question
Question
Question
Question
Question
Question
Question
Question
Question
Question
Question
Question
Question
Question
Question
Question
Question
Question
Question
Question
Question
Question
Question
Question
Question
Question
Question
Question
Question
Question
Question
Question
Question
Question
Question
Question
Question
Question
Question
Question
Question
Question
Question
Question
Question
Question
Question
Question
Question
Question
Question
Question
Question
Question
Question
Question
Question
Question
Question
Question
Question
Question
Question
Question
Question
Question
Question
Unlock Deck
Sign up to unlock the cards in this deck!
Unlock Deck
Unlock Deck
1/127
Play
Full screen (f)
Deck 25: Lipids
1
What IR stretch would most readily distinguish carnauba wax from paraffin wax?
Carnauba wax is a correct wax, an ester of a fatty acid and a long chain alcohol, while paraffin wax is a mixture of high molecular weight hydrocarbons. The carbonyl stretch of the ester functionality in carnauba would readily distinguish it.
2
________ lipids are those that can be easily hydrolyzed to simpler constituents.
Complex
3
Name two of the three predominant groups of simple lipids.
steroids, prostaglandins, terpenes
4
Which of the following peaks would one expect to observe as a major, strong peak in the IR spectrum of a lipid wax?
A) 3200-3500 cm-1
B) 2710 cm-1
C) 2200 cm-1
D) 1730 cm-1
E) 1620 cm-1
A) 3200-3500 cm-1
B) 2710 cm-1
C) 2200 cm-1
D) 1730 cm-1
E) 1620 cm-1
Unlock Deck
Unlock for access to all 127 flashcards in this deck.
Unlock Deck
k this deck
5
Which of the following is a complex lipid?
A) testosterone
B) tristearin
C) arachidic acid
D) sodium palmitate
E) b-carotene
A) testosterone
B) tristearin
C) arachidic acid
D) sodium palmitate
E) b-carotene
Unlock Deck
Unlock for access to all 127 flashcards in this deck.
Unlock Deck
k this deck
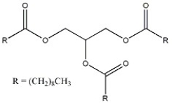
6
Which best describes the lipid shown below? 
A) wax
B) triglyceride
C) saturated fatty acid
D) unsaturated fatty acid
E) lecithin

A) wax
B) triglyceride
C) saturated fatty acid
D) unsaturated fatty acid
E) lecithin
Unlock Deck
Unlock for access to all 127 flashcards in this deck.
Unlock Deck
k this deck
7
Which of the following terms best describes the compound below? CH3(CH2)26CO2CH2(CH2)32CH3
A) a fat
B) an oil
C) a terpene
D) an unsaturated triglyceride
E) a wax
A) a fat
B) an oil
C) a terpene
D) an unsaturated triglyceride
E) a wax
Unlock Deck
Unlock for access to all 127 flashcards in this deck.
Unlock Deck
k this deck
8
Which of the following lipids is an example of a simple lipid?
A) fat
B) terpene
C) oil
D) wax
E) none of the above
A) fat
B) terpene
C) oil
D) wax
E) none of the above
Unlock Deck
Unlock for access to all 127 flashcards in this deck.
Unlock Deck
k this deck
9
How many molecules of fatty acid are needed to produce one molecule of a fat or oil?
A) 1
B) 1.5
C) 2
D) 3
E) 6
A) 1
B) 1.5
C) 2
D) 3
E) 6
Unlock Deck
Unlock for access to all 127 flashcards in this deck.
Unlock Deck
k this deck
10
When spermaceti is heated in aqueous potassium hydroxide, CH3(CH2)14CH2OH and CH3(CH2)14CO2-K+ are formed. Provide the structure of spermaceti.
Unlock Deck
Unlock for access to all 127 flashcards in this deck.
Unlock Deck
k this deck
11
Which of the following terms best describes the compound below? 
A) a wax
B) a saturated triglyceride
C) a terpene
D) a prostaglandin
E) a lecithin

A) a wax
B) a saturated triglyceride
C) a terpene
D) a prostaglandin
E) a lecithin
Unlock Deck
Unlock for access to all 127 flashcards in this deck.
Unlock Deck
k this deck
12
Is cholesterol an example of a simple lipid or a complex lipid? Explain briefly.
Unlock Deck
Unlock for access to all 127 flashcards in this deck.
Unlock Deck
k this deck
13
Define
Unlock Deck
Unlock for access to all 127 flashcards in this deck.
Unlock Deck
k this deck
14
Which of the following correctly describe(s) glyceryl trimyristate?
A) an ester
B) a complex lipid
C) a triglyceride
D) a fat
E) all of the above
A) an ester
B) a complex lipid
C) a triglyceride
D) a fat
E) all of the above
Unlock Deck
Unlock for access to all 127 flashcards in this deck.
Unlock Deck
k this deck
15
Are triglycerides simple lipids? Explain.
Unlock Deck
Unlock for access to all 127 flashcards in this deck.
Unlock Deck
k this deck
16
In the formation of a triacylglyceride, what two functional groups chemically combine?
A) carboxylic acid and an amine
B) carboxylic acid and an alcohol
C) alcohol and an aldehyde
D) alcohol and a ketone
E) two different alcohols
A) carboxylic acid and an amine
B) carboxylic acid and an alcohol
C) alcohol and an aldehyde
D) alcohol and a ketone
E) two different alcohols
Unlock Deck
Unlock for access to all 127 flashcards in this deck.
Unlock Deck
k this deck
17
Oleic acid is an example of ________ fatty acid. A molecule of oleic acid contains a single carbon-carbon double bond and ________ carbon atoms.
A) an unsaturated; 18
B) an unsaturated; 9
C) a saturated; 52
D) a saturated; 18
E) a saturated; 9
A) an unsaturated; 18
B) an unsaturated; 9
C) a saturated; 52
D) a saturated; 18
E) a saturated; 9
Unlock Deck
Unlock for access to all 127 flashcards in this deck.
Unlock Deck
k this deck
18
Which of the following terms best describes the compound below? CH3(CH2)7CH=CH(CH2)7CO2H
A) an unsaturated fatty acid
B) a triglyceride
C) a synthetic detergent
D) a micelle
E) isoprene
A) an unsaturated fatty acid
B) a triglyceride
C) a synthetic detergent
D) a micelle
E) isoprene
Unlock Deck
Unlock for access to all 127 flashcards in this deck.
Unlock Deck
k this deck
19
What group of lipids are esters of long-chain fatty acids and long-chain alcohols?
Unlock Deck
Unlock for access to all 127 flashcards in this deck.
Unlock Deck
k this deck
20
Which of the following terms best describes the compound below?
CH3(CH2)12CO2H
A) a triglyceride
B) a fatty acid
C) a wax
D) a prostaglandin
E) a phosphatidic acid
CH3(CH2)12CO2H
A) a triglyceride
B) a fatty acid
C) a wax
D) a prostaglandin
E) a phosphatidic acid
Unlock Deck
Unlock for access to all 127 flashcards in this deck.
Unlock Deck
k this deck
21
Which reagent below could best be used to distinguish CH3(CH2)10CO2H from CH2(CH2)4CH=CH(CH2)4CO2H?
A) NaOH, H2O
B) Ag(NH3)2+
C) H2Cr2O7
D) Br2/CCl4
E) NH3
A) NaOH, H2O
B) Ag(NH3)2+
C) H2Cr2O7
D) Br2/CCl4
E) NH3
Unlock Deck
Unlock for access to all 127 flashcards in this deck.
Unlock Deck
k this deck
22
Name the compound whose formula is CH3(CH2)12CO2H.
Unlock Deck
Unlock for access to all 127 flashcards in this deck.
Unlock Deck
k this deck
23
What reagent is needed to convert CH3(CH2)14CH2OH to CH3(CH2)14CHO?
Unlock Deck
Unlock for access to all 127 flashcards in this deck.
Unlock Deck
k this deck
24
Which of the following fatty acids has the highest melting point?
A) lauric acid
B) myristic acid
C) palmitic acid
D) stearic acid
E) linoleic acid
A) lauric acid
B) myristic acid
C) palmitic acid
D) stearic acid
E) linoleic acid
Unlock Deck
Unlock for access to all 127 flashcards in this deck.
Unlock Deck
k this deck
25
Why are fats more efficient sources of long-term energy than carbohydrates?
Unlock Deck
Unlock for access to all 127 flashcards in this deck.
Unlock Deck
k this deck
26
Which best describes the lipid shown below? 
A) wax
B) triglyceride
C) saturated fatty acid
D) unsaturated fatty acid
E) lecithin

A) wax
B) triglyceride
C) saturated fatty acid
D) unsaturated fatty acid
E) lecithin
Unlock Deck
Unlock for access to all 127 flashcards in this deck.
Unlock Deck
k this deck
27
Which of the following oils has the highest percentage of saturated fatty acid?
A) herring oil
B) olive oil
C) soybean oil
D) canola oil
A) herring oil
B) olive oil
C) soybean oil
D) canola oil
Unlock Deck
Unlock for access to all 127 flashcards in this deck.
Unlock Deck
k this deck
28
Which of the following oils has the highest composition of one single fatty acid?
A) herring oil
B) olive oil
C) soybean oil
D) canola oil
A) herring oil
B) olive oil
C) soybean oil
D) canola oil
Unlock Deck
Unlock for access to all 127 flashcards in this deck.
Unlock Deck
k this deck
29
Which of the following statements correctly describe(s) the relationship between the structure of a fatty acid and its melting point?
A) Saturated fatty acids have melting points that increase gradually with their molecular weights.
B) The presence of a trans double bond in the fatty acid has a greater effect on its melting point than does the presence of a cis double bond.
C) As the number of double bonds in a fatty acid increases, its melting point decreases.
D) both A and C
E) A, B, and C
A) Saturated fatty acids have melting points that increase gradually with their molecular weights.
B) The presence of a trans double bond in the fatty acid has a greater effect on its melting point than does the presence of a cis double bond.
C) As the number of double bonds in a fatty acid increases, its melting point decreases.
D) both A and C
E) A, B, and C
Unlock Deck
Unlock for access to all 127 flashcards in this deck.
Unlock Deck
k this deck
30
What reagent is needed to convert CH3(CH2)14CO2H to CH3(CH2)14COCl?
Unlock Deck
Unlock for access to all 127 flashcards in this deck.
Unlock Deck
k this deck
31
What does the term mean when used to describe a triglyceride?
Unlock Deck
Unlock for access to all 127 flashcards in this deck.
Unlock Deck
k this deck
32
Which of the following fatty acids has the lowest melting point?
A) lauric acid
B) myristic acid
C) palmitic acid
D) stearic acid
E) linoleic acid
A) lauric acid
B) myristic acid
C) palmitic acid
D) stearic acid
E) linoleic acid
Unlock Deck
Unlock for access to all 127 flashcards in this deck.
Unlock Deck
k this deck
33
Two families of fatty acids called the Ω- 6 and Ω-3 fatty acids are of significant interest in the area of nutrition. Which of the following structures would be classified as an Ω-3 fatty acid?
A)

B)

C)

D)

E)

A)

B)

C)

D)

E)

Unlock Deck
Unlock for access to all 127 flashcards in this deck.
Unlock Deck
k this deck
34
Which best describes the lipid shown below? 
A) wax
B) triglyceride
C) saturated fatty acid
D) unsaturated fatty acid
E) lecithin

A) wax
B) triglyceride
C) saturated fatty acid
D) unsaturated fatty acid
E) lecithin
Unlock Deck
Unlock for access to all 127 flashcards in this deck.
Unlock Deck
k this deck
35
Which best describes the lipid shown below? 
A) wax
B) triglyceride
C) saturated fatty acid
D) unsaturated fatty acid
E) lecithin

A) wax
B) triglyceride
C) saturated fatty acid
D) unsaturated fatty acid
E) lecithin
Unlock Deck
Unlock for access to all 127 flashcards in this deck.
Unlock Deck
k this deck
36
Which of the following is an unsaturated fatty acid?
A) adipic acid
B) linoleic acid
C) stearic acid
D) palmitic acid
E) oxalic acid
A) adipic acid
B) linoleic acid
C) stearic acid
D) palmitic acid
E) oxalic acid
Unlock Deck
Unlock for access to all 127 flashcards in this deck.
Unlock Deck
k this deck
37
Which of the following oils would consume the greatest number of equivalents of hydrogen when subject to catalytic hydrogenation?
A) corn oil
B) olive oil
C) canola oil
D) linseed oil
A) corn oil
B) olive oil
C) canola oil
D) linseed oil
Unlock Deck
Unlock for access to all 127 flashcards in this deck.
Unlock Deck
k this deck
38
What reagent is needed to convert CH3(CH2)14CO2H to CH3(CH2)14CH2OH?
Unlock Deck
Unlock for access to all 127 flashcards in this deck.
Unlock Deck
k this deck
39
Lauric acid has the formula CH3(CH2)10CO2H. Provide the structure of the triglyceride which was formed from three equivalents of lauric acid.
Unlock Deck
Unlock for access to all 127 flashcards in this deck.
Unlock Deck
k this deck
40
Which of the following oils is the least polyunsaturated?
A) herring oil
B) corn oil
C) olive oil
D) soybean oil
E) canola oil
A) herring oil
B) corn oil
C) olive oil
D) soybean oil
E) canola oil
Unlock Deck
Unlock for access to all 127 flashcards in this deck.
Unlock Deck
k this deck
41
When a vegetable oil is partially hydrogenated, how is its structure altered and how is its melting point affected?
Unlock Deck
Unlock for access to all 127 flashcards in this deck.
Unlock Deck
k this deck
42
What are the two major organic products which result when oleic acid,
CH3(CH2)7CH= CH(CH2)7CO2H, is treated with ozone followed by dimethyl sulfide?
CH3(CH2)7CH= CH(CH2)7CO2H, is treated with ozone followed by dimethyl sulfide?
Unlock Deck
Unlock for access to all 127 flashcards in this deck.
Unlock Deck
k this deck
43
Draw the structure of the product which results when the compound shown below is completely hydrogenated using excess H2. 

Unlock Deck
Unlock for access to all 127 flashcards in this deck.
Unlock Deck
k this deck
44
How is a fat distinguished from an oil, (a) based on a physical property difference and (b) based on a difference in molecular structure?
Unlock Deck
Unlock for access to all 127 flashcards in this deck.
Unlock Deck
k this deck
45
Using solely a fatty acid as your starting material, how would you synthesize a wax?
Unlock Deck
Unlock for access to all 127 flashcards in this deck.
Unlock Deck
k this deck
46
Why and in what fashion does the presence of a double bond in a fatty acid affect its melting point relative to the system where the double bond is absent?
Unlock Deck
Unlock for access to all 127 flashcards in this deck.
Unlock Deck
k this deck
47
Was the compound shown below more likely isolated from an animal or a plant? Explain. 

Unlock Deck
Unlock for access to all 127 flashcards in this deck.
Unlock Deck
k this deck
48
Which packs more readily into a crystal lattice, tristearin or triolein? Explain.
Unlock Deck
Unlock for access to all 127 flashcards in this deck.
Unlock Deck
k this deck
49
How can the degree of unsaturation of an oil be gauged using a solution of bromine in carbon tetrachloride?
Unlock Deck
Unlock for access to all 127 flashcards in this deck.
Unlock Deck
k this deck
50
Provide the structure of the major organic compound that results when palmitic acid, CH3(CH2)14CO2H, is heated in ethanol containing catalytic acid.
Unlock Deck
Unlock for access to all 127 flashcards in this deck.
Unlock Deck
k this deck
51
With which of the following reagents would linoleic acid not react?
A) HBr
B) Br2
C) O3
D) warm, concentrated KMnO4
E) Na2Cr2O7
A) HBr
B) Br2
C) O3
D) warm, concentrated KMnO4
E) Na2Cr2O7
Unlock Deck
Unlock for access to all 127 flashcards in this deck.
Unlock Deck
k this deck
52
Provide the structure of the major organic compound that results when palmitic acid, CH3(CH2)14CO2H, is heated in methanol containing catalytic acid.
Unlock Deck
Unlock for access to all 127 flashcards in this deck.
Unlock Deck
k this deck
53
When linoleic acid is hydrogenated, what organic compound is produced and how does its melting point compare to that of linoleic acid?
Unlock Deck
Unlock for access to all 127 flashcards in this deck.
Unlock Deck
k this deck
54
Why do most fatty acids contain an even number of carbons?
Unlock Deck
Unlock for access to all 127 flashcards in this deck.
Unlock Deck
k this deck
55
How would you prepare CH3(CH2)14CH2Br from palmitic acid, CH3(CH2)14CO2H?
Unlock Deck
Unlock for access to all 127 flashcards in this deck.
Unlock Deck
k this deck
56
How would you prepare CH3(CH2)14CH2NH2 from palmitic acid, CH3(CH2)14CO2H?
Unlock Deck
Unlock for access to all 127 flashcards in this deck.
Unlock Deck
k this deck
57
Provide the major organic product of the following reaction. 

Unlock Deck
Unlock for access to all 127 flashcards in this deck.
Unlock Deck
k this deck
58
Which of the following are omega-3 fatty acids?
A) myristic acid
B) oleic acid
C) linolenic acid
D) arachidonic acid
A) myristic acid
B) oleic acid
C) linolenic acid
D) arachidonic acid
Unlock Deck
Unlock for access to all 127 flashcards in this deck.
Unlock Deck
k this deck
59
What reagents would you use to prepare octadecanal from stearic acid, CH3(CH2)16CO2H?
Unlock Deck
Unlock for access to all 127 flashcards in this deck.
Unlock Deck
k this deck
60
Provide the major organic product of the reaction shown below. 

Unlock Deck
Unlock for access to all 127 flashcards in this deck.
Unlock Deck
k this deck
61
Which of the following terms best describes the compound below? 
A) a phospholipid
B) a cationic detergent
C) an alkaloid
D) a hard-water scum
E) a component of most lipid bilayers

A) a phospholipid
B) a cationic detergent
C) an alkaloid
D) a hard-water scum
E) a component of most lipid bilayers
Unlock Deck
Unlock for access to all 127 flashcards in this deck.
Unlock Deck
k this deck
62
Which of the following chemical reactions could be used to distinguish between a polyunsaturated vegetable oil and a petroleum oil containing a mixture of saturated and unsaturated hydrocarbons?
A) addition of bromine in carbon tetrachloride
B) ozonolysis
C) hydrogenation
D) lipidification
E) saponification
A) addition of bromine in carbon tetrachloride
B) ozonolysis
C) hydrogenation
D) lipidification
E) saponification
Unlock Deck
Unlock for access to all 127 flashcards in this deck.
Unlock Deck
k this deck
63
Which of the following terms best describes the exterior surface of a soap micelle in water?
A) hydrophobic
B) hydrophilic
C) hard
D) saponified
E) hydrogenated
A) hydrophobic
B) hydrophilic
C) hard
D) saponified
E) hydrogenated
Unlock Deck
Unlock for access to all 127 flashcards in this deck.
Unlock Deck
k this deck
64
Arrange the following fatty acids in order of increasing melting point:
stearic acid, linolenic, linoleic, and oleic.
stearic acid, linolenic, linoleic, and oleic.
Unlock Deck
Unlock for access to all 127 flashcards in this deck.
Unlock Deck
k this deck
65
Provide the major organic product of the following reaction sequence. 

Unlock Deck
Unlock for access to all 127 flashcards in this deck.
Unlock Deck
k this deck
66
Draw the two fatty acid structures that result from acid and base hydrolysis of a triacylglyceride and explain how they differ. (Use a core structure of 10 carbon atoms)
Unlock Deck
Unlock for access to all 127 flashcards in this deck.
Unlock Deck
k this deck
67
Provide the structures of the major organic products which result when tristearin (shown below) is heated in aqueous solution of sodium hydroxide. 

Unlock Deck
Unlock for access to all 127 flashcards in this deck.
Unlock Deck
k this deck
68
Which of the following terms best describes the interior of a soap micelle in water?
A) hydrophobic
B) hydrophilic
C) hard
D) saponified
E) hydrogenated
A) hydrophobic
B) hydrophilic
C) hard
D) saponified
E) hydrogenated
Unlock Deck
Unlock for access to all 127 flashcards in this deck.
Unlock Deck
k this deck
69
Provide the major organic product of the following reaction. 

Unlock Deck
Unlock for access to all 127 flashcards in this deck.
Unlock Deck
k this deck
70
Which of the following is an advantage of using an alkylbenzenesulfonate detergent over a common soap?
A) The alkylbenzenesulfonate detergent is uncharged.
B) The alkylbenzenesulfonate detergent has no hydrophobic region.
C) Greases are not emulsified by soaps.
D) Calcium, magnesium, and iron salts of sulfonic acids are soluble in water.
E) Sulfonates are protonated at higher pH's than are carboxylates.
A) The alkylbenzenesulfonate detergent is uncharged.
B) The alkylbenzenesulfonate detergent has no hydrophobic region.
C) Greases are not emulsified by soaps.
D) Calcium, magnesium, and iron salts of sulfonic acids are soluble in water.
E) Sulfonates are protonated at higher pH's than are carboxylates.
Unlock Deck
Unlock for access to all 127 flashcards in this deck.
Unlock Deck
k this deck
71
________ is the base-promoted hydrolysis of fats and oils.
Unlock Deck
Unlock for access to all 127 flashcards in this deck.
Unlock Deck
k this deck
72
Which of the following terms best describes the compound below? CH3(CH2)4CH=CHCH2CH=CH(CH2)7CO2-Na+
A) a wax
B) a soap
C) a terpene
D) a lecithin
E) a prostaglandin
A) a wax
B) a soap
C) a terpene
D) a lecithin
E) a prostaglandin
Unlock Deck
Unlock for access to all 127 flashcards in this deck.
Unlock Deck
k this deck
73
What do we call a mixture of two immiscible liquids in which one liquid is dispersed throughout the other in small droplets?
Unlock Deck
Unlock for access to all 127 flashcards in this deck.
Unlock Deck
k this deck
74
What organic compounds result when tristearin is heated in aqueous sodium hydroxide?
Unlock Deck
Unlock for access to all 127 flashcards in this deck.
Unlock Deck
k this deck
75
Which formula best characterizes hard-water scum?
A) [CH3(CH2)16CO2]2Ca
B) CH3CH2CH=CHCH2CH2CH2CO2H
C) CH3(CH2)16CO2Na
D) CH3(CH2)16CO2H
E) CH3(CH2)16SO3Na
A) [CH3(CH2)16CO2]2Ca
B) CH3CH2CH=CHCH2CH2CH2CO2H
C) CH3(CH2)16CO2Na
D) CH3(CH2)16CO2H
E) CH3(CH2)16SO3Na
Unlock Deck
Unlock for access to all 127 flashcards in this deck.
Unlock Deck
k this deck
76
Provide the major organic product of the following reaction sequence. 

Unlock Deck
Unlock for access to all 127 flashcards in this deck.
Unlock Deck
k this deck
77
The sodium or potassium salt of a fatty acid is known as a ________.
Unlock Deck
Unlock for access to all 127 flashcards in this deck.
Unlock Deck
k this deck
78
Given a single triglyceride which contains three identical and fully saturated fatty acid residues, which of the following terms accurately describe(s) it?
A) chiral
B) optically active
C) meso
D) optically inactive
E) both A and B
A) chiral
B) optically active
C) meso
D) optically inactive
E) both A and B
Unlock Deck
Unlock for access to all 127 flashcards in this deck.
Unlock Deck
k this deck
79
Would the addition of HCl to the double bond of oleic acid, CH3(CH2)7CH= CH(CH2)7CO2H, occur with high regioselectivity? Explain.
Unlock Deck
Unlock for access to all 127 flashcards in this deck.
Unlock Deck
k this deck
80
Describe the intermolecular interaction of the surface carboxylate groups of a micelle and the surrounding water.
Unlock Deck
Unlock for access to all 127 flashcards in this deck.
Unlock Deck
k this deck

