Deck 11: Alkenes: Infrared Spectroscopy and Mass Spectrometry
Question
Question
Question
Question
Question
Question
Question
Question
Question
Question
Question
Question
Question
Question
Question
Question
Question
Question
Question
Question
Question
Question
Question
Question
Question
Question
Question
Question
Question
Question
Question
Question
Question
Question
Question
Question
Question
Question
Question
Question
Question
Question
Question
Question
Question
Question
Question
Unlock Deck
Sign up to unlock the cards in this deck!
Unlock Deck
Unlock Deck
1/47
Play
Full screen (f)
Deck 11: Alkenes: Infrared Spectroscopy and Mass Spectrometry
1
What would be the proper name of the following? 
A) (Z)-3-chloro-2-pentene
B) (Z)-3-chloro-3-pentene
C) (E)-3-chloro-2-pentene
D) (E)-3-chloro-3-pentene
E) cis-3-chloro-3-pentene

A) (Z)-3-chloro-2-pentene
B) (Z)-3-chloro-3-pentene
C) (E)-3-chloro-2-pentene
D) (E)-3-chloro-3-pentene
E) cis-3-chloro-3-pentene
(E)-3-chloro-2-pentene
2
What would be the name of the following compound? 
A) 2,3-dimethylcyclopentene
B) (R)-1,5-dimethylcyclopentene
C) cis-2,3-dimethylcyclopentene
D) cis-1,5-dimethylcyclopentene
E) trans-2,3-dimethylcyclopentene

A) 2,3-dimethylcyclopentene
B) (R)-1,5-dimethylcyclopentene
C) cis-2,3-dimethylcyclopentene
D) cis-1,5-dimethylcyclopentene
E) trans-2,3-dimethylcyclopentene
(R)-1,5-dimethylcyclopentene
3
The following molecule contains how many units of unsaturation? 
A) 7
B) 9
C) 10
D) 11
E) 15

A) 7
B) 9
C) 10
D) 11
E) 15
11
4
The following molecule contains how many units of unsaturation? 
A) 2
B) 3
C) 5
D) 6
E) 7

A) 2
B) 3
C) 5
D) 6
E) 7
Unlock Deck
Unlock for access to all 47 flashcards in this deck.
Unlock Deck
k this deck
5
How many units of unsaturation are indicated by the following molecular formula: C17H18BrI2O2N ?
A) 0
B) 2
C) 6
D) 8
E) 10
A) 0
B) 2
C) 6
D) 8
E) 10
Unlock Deck
Unlock for access to all 47 flashcards in this deck.
Unlock Deck
k this deck
6
Infrared spectroscopy relies on what phenomenon?
A) electronic transitions
B) molecular rotations
C) nuclear alignments
D) molecular stretching and bending
E) conformational interconversion
A) electronic transitions
B) molecular rotations
C) nuclear alignments
D) molecular stretching and bending
E) conformational interconversion
Unlock Deck
Unlock for access to all 47 flashcards in this deck.
Unlock Deck
k this deck
7
What functional group would be indicated by an IR absorption at 2150 cm-1?
A) C=O
B) C=C
C) OH
D) NH
E)

A) C=O
B) C=C
C) OH
D) NH
E)

Unlock Deck
Unlock for access to all 47 flashcards in this deck.
Unlock Deck
k this deck
8
What would be the organic product of the following reaction? 
A)

B)

C)

D)

E) none of the above

A)

B)

C)

D)

E) none of the above
Unlock Deck
Unlock for access to all 47 flashcards in this deck.
Unlock Deck
k this deck
9
What functional group would be indicated by an IR absorption at 1650 cm-1?
A) C=O
B) C=C
C) OH
D) NH
E)

A) C=O
B) C=C
C) OH
D) NH
E)

Unlock Deck
Unlock for access to all 47 flashcards in this deck.
Unlock Deck
k this deck
10
The greatest strength of infrared spectroscopy is in determining
A) the degree of unsaturation.
B) the relationships of structural fragments.
C) the functional groups present.
D) the overall structure of the molecule.
E) if rings are present.
A) the degree of unsaturation.
B) the relationships of structural fragments.
C) the functional groups present.
D) the overall structure of the molecule.
E) if rings are present.
Unlock Deck
Unlock for access to all 47 flashcards in this deck.
Unlock Deck
k this deck
11
The IR spectrum of a compound shows a strong absorbance peak at 1720 cm-1.What functional group is indicated?
A) OH
B) C=C
C) NH
D) C=O
E) CN
A) OH
B) C=C
C) NH
D) C=O
E) CN
Unlock Deck
Unlock for access to all 47 flashcards in this deck.
Unlock Deck
k this deck
12
Under special reaction conditions, -pinene and -pinene can be in equilibrium (caused to interconvert reversibly).Using your knowledge of alkene stability,which of the following would be true at equilibrium? 
A) The -isomer will predominate.
B) The -isomer will predominate.
C) The isomers would be equally favored.
D) A third isomer would predominate.
E) None of the above is true.

A) The -isomer will predominate.
B) The -isomer will predominate.
C) The isomers would be equally favored.
D) A third isomer would predominate.
E) None of the above is true.
Unlock Deck
Unlock for access to all 47 flashcards in this deck.
Unlock Deck
k this deck
13
How many degrees of unsaturation are present in the following molecule? 
A) 3
B) 5
C) 7
D) 8
E) 10

A) 3
B) 5
C) 7
D) 8
E) 10
Unlock Deck
Unlock for access to all 47 flashcards in this deck.
Unlock Deck
k this deck
14
Predict the major product of the following reaction: 
A)

B)

C)

D)

E) None of the above.

A)

B)

C)

D)

E) None of the above.
Unlock Deck
Unlock for access to all 47 flashcards in this deck.
Unlock Deck
k this deck
15
Which of the following are of lowest energy?
A) radio waves
B) x-rays
C) infrared
D) ultraviolet
E) microwaves
A) radio waves
B) x-rays
C) infrared
D) ultraviolet
E) microwaves
Unlock Deck
Unlock for access to all 47 flashcards in this deck.
Unlock Deck
k this deck
16
Which of the following most accurately describes the IR fingerprint region:
A) 2200 - 3400 cm-1
B) 600 - 1500 cm-1
C) 3000 - 3500 cm-1
D) 1500 - 1850 cm-1
E) 600 - 950 cm-1
A) 2200 - 3400 cm-1
B) 600 - 1500 cm-1
C) 3000 - 3500 cm-1
D) 1500 - 1850 cm-1
E) 600 - 950 cm-1
Unlock Deck
Unlock for access to all 47 flashcards in this deck.
Unlock Deck
k this deck
17
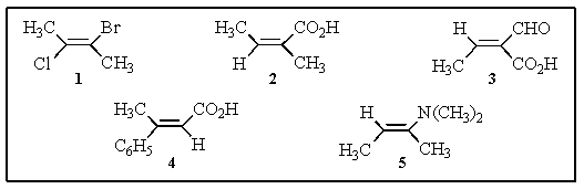
Which of the following are (Z)isomers? 
A) 1 and 5
B) 2 and 5
C) 3 and 5
D) 2 and 3
E) 2,4 and 5

A) 1 and 5
B) 2 and 5
C) 3 and 5
D) 2 and 3
E) 2,4 and 5
Unlock Deck
Unlock for access to all 47 flashcards in this deck.
Unlock Deck
k this deck
18
A hydrocarbon with the molecular formula C7H12 exhibits the following spectroscopic data: 1H NMR = 1.3 (m,2H),1.7 (m,4 H),2.2 (m,4H),and 4.8 (quin,J = 3 Hz,2H)ppm; 13C NMR: = 26.8,28.7,35.7,106.9,and 149.7 ppm.The IR spectrum has key absorbances at 3072,2950,and 1649 cm-1.Hydrogenation of the compound furnishes a product with the molecular formula C7H14.Which structure is consistent with this data?
A)

B)

C)

D)

E) None of the above.
A)

B)

C)

D)

E) None of the above.
Unlock Deck
Unlock for access to all 47 flashcards in this deck.
Unlock Deck
k this deck
19
The following molecule contains how many units of unsaturation? 
A) 1
B) 2
C) 3
D) 4
E) 5

A) 1
B) 2
C) 3
D) 4
E) 5
Unlock Deck
Unlock for access to all 47 flashcards in this deck.
Unlock Deck
k this deck
20
Which of the following alkenes of the formula C5H10 would you expect to be the least stable?
A)

B)

C)

D)

E)

A)

B)

C)

D)

E)

Unlock Deck
Unlock for access to all 47 flashcards in this deck.
Unlock Deck
k this deck
21
Which structure would be named 3-bromo-5-methylcyclohexene?
A)

B)

C)

D)

E) None of the above.
A)

B)

C)

D)

E) None of the above.
Unlock Deck
Unlock for access to all 47 flashcards in this deck.
Unlock Deck
k this deck
22
Which of the following are (E)isomers? 
A) 1,3,and 5
B) 2,4,and 5
C) 1,4,and 5
D) 1,2,and 4
E) 2,3,and 4

A) 1,3,and 5
B) 2,4,and 5
C) 1,4,and 5
D) 1,2,and 4
E) 2,3,and 4
Unlock Deck
Unlock for access to all 47 flashcards in this deck.
Unlock Deck
k this deck
23
Predict the product of the following reaction: 
A)
B)

C)

D)

E)


A)
B)

C)

D)

E)

Unlock Deck
Unlock for access to all 47 flashcards in this deck.
Unlock Deck
k this deck
24
Which of the following are of highest energy?
A) radio waves
B) X-rays
C) infrared
D) ultraviolet
E) microwaves
A) radio waves
B) X-rays
C) infrared
D) ultraviolet
E) microwaves
Unlock Deck
Unlock for access to all 47 flashcards in this deck.
Unlock Deck
k this deck
25
A chiral compound,C5H8,upon simple catalytic hydrogenation yields an achiral compound.What is the best name for the former?
A) 1-methylcyclobutene
B) 3-methylcyclobutene
C) 1,2-dimethylcyclopropene
D) cyclopentene
E) None of the above.
A) 1-methylcyclobutene
B) 3-methylcyclobutene
C) 1,2-dimethylcyclopropene
D) cyclopentene
E) None of the above.
Unlock Deck
Unlock for access to all 47 flashcards in this deck.
Unlock Deck
k this deck
26
Which is the structure of 3,7-dimethyl-2,6-octadienal?
A)

B)

C)

D)

E)

A)

B)

C)

D)

E)

Unlock Deck
Unlock for access to all 47 flashcards in this deck.
Unlock Deck
k this deck
27
Choose the name of the following compound. 
A) cis-4,5-dimethylcyclopentene
B) cis-1,2-dimethylcyclopent-3-ene
C) cis-2,3-dimethycyclopentene
D) cis-3,4-dimethylcyclopentene
E) cis-1,2-dimethylcyclopent-4-ene

A) cis-4,5-dimethylcyclopentene
B) cis-1,2-dimethylcyclopent-3-ene
C) cis-2,3-dimethycyclopentene
D) cis-3,4-dimethylcyclopentene
E) cis-1,2-dimethylcyclopent-4-ene
Unlock Deck
Unlock for access to all 47 flashcards in this deck.
Unlock Deck
k this deck
28
If you could have only one of the following to use to identify the entire structure of a previously unknown organic compound,which would be the best?
A) melting point
B) IR spectrum
C) molecular weight
D) NMR spectrum
E) boiling point
A) melting point
B) IR spectrum
C) molecular weight
D) NMR spectrum
E) boiling point
Unlock Deck
Unlock for access to all 47 flashcards in this deck.
Unlock Deck
k this deck
29
Which is the correct order of stabilities of alkenes listed from least stable to most stable?
A)

B)

C)

D)

E)

A)

B)

C)

D)

E)

Unlock Deck
Unlock for access to all 47 flashcards in this deck.
Unlock Deck
k this deck
30
What product would you expect from the reaction shown below? 
A)

B)

C)

D)

E)


A)

B)

C)

D)

E)

Unlock Deck
Unlock for access to all 47 flashcards in this deck.
Unlock Deck
k this deck
31
What is the degree of unsaturation in cyclobutene
A) zero
B) one
C) two
D) three
E) This molecule is not unsaturated.
A) zero
B) one
C) two
D) three
E) This molecule is not unsaturated.
Unlock Deck
Unlock for access to all 47 flashcards in this deck.
Unlock Deck
k this deck
32
Based on what you know about carbon-carbon double bonds,which of the following would be true of the allene shown? 
A) The two rings would be in the same plane.
B) The two rings would be in perpendicular planes.
C) There is no way to tell what geometric relationship the rings would have.
D) The three carbons shown would not be co-linear.
E) Allenes cannot exist.

A) The two rings would be in the same plane.
B) The two rings would be in perpendicular planes.
C) There is no way to tell what geometric relationship the rings would have.
D) The three carbons shown would not be co-linear.
E) Allenes cannot exist.
Unlock Deck
Unlock for access to all 47 flashcards in this deck.
Unlock Deck
k this deck
33
Which reagent(s)would you expect to give the highest yield of the product shown? 
A) K+-OtBu
B) CH3S- Na+
C) H2SO4
D) CH3O- Na+
E) K+ -CN

A) K+-OtBu
B) CH3S- Na+
C) H2SO4
D) CH3O- Na+
E) K+ -CN
Unlock Deck
Unlock for access to all 47 flashcards in this deck.
Unlock Deck
k this deck
34
A compound which shows a molecular ion at m/z 84 could plausibly have what formula?
A) C5H10N
B) C4H20O
C) C6H12
D) C5H24
E) C5H10O
A) C5H10N
B) C4H20O
C) C6H12
D) C5H24
E) C5H10O
Unlock Deck
Unlock for access to all 47 flashcards in this deck.
Unlock Deck
k this deck
35
What reagent would give the highest yield of the product shown below? 
A) K+-OtBu
B) NaCN
C) CH3S-Na+
D) NaOH
E) CH3O-Na+

A) K+-OtBu
B) NaCN
C) CH3S-Na+
D) NaOH
E) CH3O-Na+
Unlock Deck
Unlock for access to all 47 flashcards in this deck.
Unlock Deck
k this deck
36
Which of the following are E isomers? 
A) III and V
B) II and IV
C) I,III,and V
D) II and III
E) I,II,and IV

A) III and V
B) II and IV
C) I,III,and V
D) II and III
E) I,II,and IV
Unlock Deck
Unlock for access to all 47 flashcards in this deck.
Unlock Deck
k this deck
37
What would be the MAJOR organic product of the following reaction? 
A)

B)

C)

D)

E)


A)

B)

C)

D)

E)

Unlock Deck
Unlock for access to all 47 flashcards in this deck.
Unlock Deck
k this deck
38
Which alkene would you expect to release the least amount of heat upon hydrogenation?
A)

B)

C)

D)

E)

A)

B)

C)

D)

E)

Unlock Deck
Unlock for access to all 47 flashcards in this deck.
Unlock Deck
k this deck
39
Which of the alkenes shown below would be expected to have the lowest melting point?
A)

B)

C)

D)

E) There is no basis for such a prediction.
A)

B)

C)

D)

E) There is no basis for such a prediction.
Unlock Deck
Unlock for access to all 47 flashcards in this deck.
Unlock Deck
k this deck
40
Which sets of arrows correctly represents the electron movements during an E2 reaction?
A)

B)

C)

D)

E)

A)

B)

C)

D)

E)

Unlock Deck
Unlock for access to all 47 flashcards in this deck.
Unlock Deck
k this deck
41
What would be the major product of the following reaction? 
A)
B)

C)

D)

E)


A)
B)

C)

D)

E)

Unlock Deck
Unlock for access to all 47 flashcards in this deck.
Unlock Deck
k this deck
42
Enanthotoxin is an extremely poisonous organic compound found in the hemlock water dropwart,which is reputed to be the most poisonous plant in England.It is believed that no British plant has been responsible for more fatal accidents.The most poisonous part of the plant is the roots,which resemble small white carrots,giving the plant the name "five finger death." Also poisonous are its leaves,which look like parsley.Enanthotoxin is thought to interfere with the sodium ion current in nerve cells which leads to convulsions and death.How many stereoisomers are possible for enanthotoxin? 
A) 2
B) 4
C) 8
D) 16
E) 32

A) 2
B) 4
C) 8
D) 16
E) 32
Unlock Deck
Unlock for access to all 47 flashcards in this deck.
Unlock Deck
k this deck
43
The mass spectrum of 1-pentanol gives a large peak at m/z = 70.This peak can be characterized as?
A) the parent ion
B) the parent ion minus hydroxide
C) the parent ion minus water
D) the parent ion plus a proton
E) None of the above.
A) the parent ion
B) the parent ion minus hydroxide
C) the parent ion minus water
D) the parent ion plus a proton
E) None of the above.
Unlock Deck
Unlock for access to all 47 flashcards in this deck.
Unlock Deck
k this deck
44
Label each of the alkenes as either E or Z. 
A) A = E,B = Z,C = E,D = Z
B) A = Z,B = E,C = Z,D = E
C) A = Z,B = E,C = Z,D = Z
D) A = E,B = E,C = E,D = E
E) None of the above.

A) A = E,B = Z,C = E,D = Z
B) A = Z,B = E,C = Z,D = E
C) A = Z,B = E,C = Z,D = Z
D) A = E,B = E,C = E,D = E
E) None of the above.
Unlock Deck
Unlock for access to all 47 flashcards in this deck.
Unlock Deck
k this deck
45
The mass spectrum of isopropylbenzene gives a large peak at m/z = 105.This peak can be characterized as?
A) the parent ion
B) the parent ion minus a proton
C) the parent ion minus water
D) the parent ion minus a methyl group
E) None of the above.
A) the parent ion
B) the parent ion minus a proton
C) the parent ion minus water
D) the parent ion minus a methyl group
E) None of the above.
Unlock Deck
Unlock for access to all 47 flashcards in this deck.
Unlock Deck
k this deck
46
Predict the product of the following reaction. 
A)

B)

C)

D)

E) no reaction

A)

B)

C)

D)

E) no reaction
Unlock Deck
Unlock for access to all 47 flashcards in this deck.
Unlock Deck
k this deck
47
How many degrees of unsaturation are present in the following molecule? 
A) 4
B) 5
C) 6
D) 7
E) 8

A) 4
B) 5
C) 6
D) 7
E) 8
Unlock Deck
Unlock for access to all 47 flashcards in this deck.
Unlock Deck
k this deck

