Essay
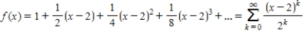
The Taylor expansion for a function
about
is given by
.
-What are all values of
for which
converges? Enter your answer as an interval.
Correct Answer:
Verified
Related Questions
Q86: The base of a certain solid is
Q87: Find the volume of the solid when
Q88: The base of the right triangle pictured
Q89: If Q90: Consider the differentiable function Q92: Find the first three nonzero terms and Q93: A particle moves in the Unlock this Answer For Free Now! View this answer and more for free by performing one of the following actions Scan the QR code to install the App and get 2 free unlocks Unlock quizzes for free by uploading documents![]()
![]()
