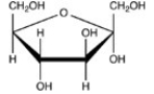
Which Haworth projection represents the α anomer of the monosaccharide shown below? 
A) 
B) 
C) 
D) 
Correct Answer:
Verified
Q11: Which Haworth projection represents the banomer of
Q12: Which of the following is a ketohexose?
A)
Q13: What is the classification of the monosaccharide
Q14: Which compound is the most soluble in
Q15: Which labeled carbon atom in the structure
Q17: The structures of galactose (left)and glucose (right)are
Q18: What is the classification of the compound
Q19: The formation of what color in the
Q20: What is the classification of the compound
Q21: Which is the only polysaccharide to have
Unlock this Answer For Free Now!
View this answer and more for free by performing one of the following actions
Scan the QR code to install the App and get 2 free unlocks
Unlock quizzes for free by uploading documents