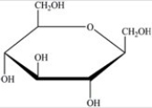
Gentobiose,a rare disaccharide found in saffron,produces two identical monosaccharides when it undergoes hydrolysis. What is the identity of the hydrolysis product? 
A) 
B) 
C) 
D) 
Correct Answer:
Verified
Q37: What is the polysaccharide form in which
Q38: How many acetals are present in the
Q39: Lactose is present in milk. What type
Q40: What monosaccharide is found in cellulose,starch,and glycogen?
A)Glucose
B)Galactose
C)Sucrose
D)Fructose
Q41: Dihydroxyacetone,shown below,is the simplest ketose. Does the
Q43: The monosaccharide shown below is an α
Q44: At equilibrium,a solution of glucose in water
Q45: When a monosaccharide forms a cyclic hemiacetal,the
Q46: The β anomer of a cyclic monosaccharide
Q47: The Fischer projections of two monosaccharides are
Unlock this Answer For Free Now!
View this answer and more for free by performing one of the following actions
Scan the QR code to install the App and get 2 free unlocks
Unlock quizzes for free by uploading documents