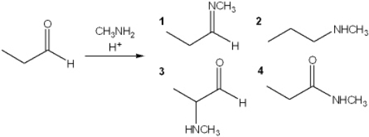
What is the major organic product obtained from the following reaction? 
A) 1
B) 2
C) 3
D) 4
Correct Answer:
Verified
Q18: What is the major organic product obtained
Q19: What is the major organic product obtained
Q20: What is the major organic product obtained
Q22: What is the correct assignment of the
Q24: Which combination(s) of alkyl bromide and carbonyl
Q25: What is the major organic product obtained
Q26: What is the correct assignment of the
Q27: What is the major organic product obtained
Q28: What is the major organic product obtained
Q31: Which of the following is not
Unlock this Answer For Free Now!
View this answer and more for free by performing one of the following actions
Scan the QR code to install the App and get 2 free unlocks
Unlock quizzes for free by uploading documents