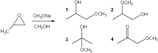
What is the major organic product obtained from the following reaction? 
A) 1
B) 2
C) 3
D) 4
Correct Answer:
Verified
Q5: What are the major products obtained upon
Q20: Which of the following are thiols?
Q21: What is the major organic product obtained
Q22: What is the major organic product obtained
Q23: What is the major organic product obtained
Q27: What is the major organic product obtained
Q28: What is the major organic product obtained
Q29: What is the best choice of reagent(s)
Q30: What is the major organic product obtained
Q36: What are the major products obtained upon
Unlock this Answer For Free Now!
View this answer and more for free by performing one of the following actions
Scan the QR code to install the App and get 2 free unlocks
Unlock quizzes for free by uploading documents