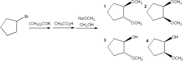
What is the major organic product obtained from the following sequence of reactions? 
A) 1
B) 2
C) 3
D) 4
Correct Answer:
Verified
Q29: What type of reactive intermediate is formed
Q36: What is the best choice of reagent(s)
Q38: What is the major organic product obtained
Q39: What is the major organic product obtained
Q40: What is the best choice of reagent(s)
Q42: What is the name of the following
Q43: What would be the best choice of
Q44: Which of the following synthetic routes is
Q46: What would be the best choice of
Q60: Which of the following ions forms the
Unlock this Answer For Free Now!
View this answer and more for free by performing one of the following actions
Scan the QR code to install the App and get 2 free unlocks
Unlock quizzes for free by uploading documents