Multiple Choice
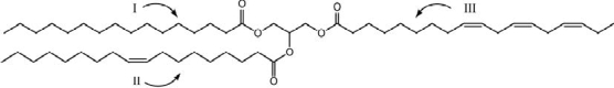
What is the condensed chemical formula for fatty acid component II of the triglyceride shown? 
A) CH3(CH2) 18COOH
B) 
C) CH3(CH2) 16COOH
D) 
E) CH(CH2) 16COOH
Correct Answer:
Verified
Related Questions
Q84: Which of the following triglycerides would you
Q85: What is the condensed chemical formula for
Q86: Which of the following is NOT part
Q87: Which of the following statements regarding fat
Q88: Which of the following statements regarding phospholipids
Q90: What is the name of fatty acid
Q91: The molecules drawn below are examples of
Unlock this Answer For Free Now!
View this answer and more for free by performing one of the following actions
Scan the QR code to install the App and get 2 free unlocks
Unlock quizzes for free by uploading documents